Home An investigation on hyper S-posets over ordered semihypergroups
Article Open Access

An investigation on hyper S-posets over ordered semihypergroups

  • Jian Tang EMAIL logo , Bijan Davvaz and Xiang-Yun Xie
Published/Copyright: February 16, 2017

Abstract

In this paper, we define and study the hyper S-posets over an ordered semihypergroup in detail. We introduce the hyper version of a pseudoorder in a hyper S-poset, and give some related properties. In particular, we characterize the structure of factor hyper S-posets by pseudoorders. Furthermore, we introduce the concepts of order-congruences and strong order-congruences on a hyper S-poset A, and obtain the relationship between strong order-congruences and pseudoorders on A. We also characterize the (strong) order-congruences by the ρ-chains, where ρ is a (strong) congruence on A. Moreover, we give a method of constructing order-congruences, and prove that every hyper S-subposet B of a hyper S-poset A is a congruence class of one order-congruence on A if and only if B is convex. In the sequel, we give some homomorphism theorems of hyper S-posets, which are generalizations of similar results in S-posets and ordered semigroups.

MSC 2010: 20N20; 06F05; 20M30

1 Introduction and preliminaries

It is well known that S-acts (also called S-systems) play an important role not only in studying properties of semigroups or monoids but also in other mathematical areas, such as graph theory and algebraic automata theory, for example, see [18, 22]. For a semigroup (S,⋅), a (right) S-act (or S-system) is a nonempty set A together with a mapping A × SA sending (a, s) to as such that (as)t = a(st) for all s, tS and aA. Further, for an ordered semigroup (S, ⋅, ≤S), a right S-poset AS is a right S-act A equipped with a partial order ≤A and, in addition, for all s, tS and a, bA, if sS t then asA at, and if aA b then asA bs. Left S-posets are defined analogously. During recent years a number of articles on S-posets theory have appeared, for example see [3, 19, 21, 26, 27, 33]. Also see [2] for an overview.

On the other hand, algebraic hyperstructures, particularly hypergroups, were introduced by Marty [23] in 1934. Later on, algebraic hyperstructures have been intensively studied, both from the theoretical point of view and especially for their applications in other fields (see [6, 7]). One of the main reason which attracts researches towards algebraic hyperstructures is its unique property that in algebraic hyperstructures composition of two elements is a set, while in classical algebraic structures the composition of two elements is an element. Thus algebraic hyperstructures are a suitable generalization of classical algebraic structures. The study on the theory of semihypergroups is one of the most active subjects in algebraic hyperstructure theory. Nowadays, many researchers studied different aspects of semihypergroups, for instance, Anvariyeh et al. [1], Chaopraknoi and Triphop [5], Davvaz [8], Hila et al. [14], Leoreanu [20] and Salvo et al. [25], also see [11, 24]. A theory of hyperstructures on ordered semigroups has been recently developed. In [13], Heidari and Davvaz applied the theory of hyperstructures to ordered semigroups and introduced the concept of ordered semihypergroups, which is a generalization of the concept of ordered semigroups. Since then many papers on ordered semihypergroups have been published, for instance, see [4, 9, 12, 28]. Our aim in this paper is to introduce a special type of hyperstructure, namely hyper S-posets, and study the properties of hyper S-posets over ordered semihypergroups. In particular, we define and discuss the order-congruences and strongly order-congruences of hyper S-posets, and give some homomorphism theorems of hyper S-posets by pseudoorders.

In the rest of this section, We recall the basic terms and definitions from the hyperstructure theory.

Definition 1.1

A hypergroupoid (S, ○) is a nonempty set S together with a hyperoperation, that is a map ○ :S × SP*(S), where P*(S) denotes the set of all the nonempty subsets of S. The image of the pair (x, y) is denoted by xy.

Definition 1.2

A hypergroupoid (S, ○) is called a semihypergroup if the hyperoperation “ ○ ” is associative, that is, for all x, y, zS, (xy) ○ z = x ○ (yz), which means that

uxyuz=υyzxυ.

If xS and A, B are nonempty subsets of S, then

AB=aA,bBab,Ax=A{x},andxB={x}B.

Generally, the singleton {x} is identified by its element x.

Definition 1.3

An algebraic hyperstructure (S, ○, ≤) is called an ordered semihypergroup (also called po-semihypergroup in [13]) if (S, ○) is a semihypergroup and (S, ≤) is a partially ordered set such that: for any x, y, aS, xy implies axay and xaya. Here, if A, BP*(S), then we say that AB if for every aA there exists bB such that ab.

Clearly, every ordered semigroup can be regarded as an ordered semihypergroup, for instance, see [28].

Definition 1.4

A nonempty subset A of an ordered semihypergroup S is called a left (resp. right) hyperideal of S if

  1. SAA (resp. ASA).

  2. If aA and Sba, then bA.

If A is both a left and a right hyperideal of S, then it is called a(two-sided) hyperideal of S

For more information on hyperstructure theory, ordered semigroup theory and the properties of S-acts, the reader is referred to [7], [30] and [22], correspondingly.

2 Hyper S-acts over semihypergroups

In order to study the hyper S-posets over ordered semihypergroups in detail, in this section we first discuss the properties of hyper S-acts over semihypergroups. In particular, we investigate the congruences and strong congruences of hyper S-acts over semihypergroups.

We now recall the notion of hyper S-acts over semihypergroups from [10].

Definition 2.1

Let (S, ○) be a semihypergroup and A a nonempty set. If we have a mapping μ : A × SP*(A) |(a, s)↦μ(a, s) := asP*(A), called the hyper action of S (or the S-hyperaction) on A, such that a ∗ (st) = (as) ∗ t, for all aA, s, tS, where

(TS)aT=tTat;(BA)Bt=bBbt,

then we call A a right hyper S-act (also called right S-hypersystem in [10]), denoted by A, or briefly A.

Left hyper S-acts are defined analogously and in this paper we will oten use the term hyper S-act to mean right hyper S-act.

Remark 2.2

Every S-act over a semigroup can be regarded as a hyper S-act over a semihypergroup. In fact, if A is an S-act over a semigroup (S, ⋅), the hyperoperation “ ∘ ” on S and the hyper S-action “∗” on A are defined respectively as st := {st}, as := {as}, for any aA, s, tS, then, clearly A is a hyper S-act over a semihypergroup (S, ○).

Definition 2.3

Let A be a hyper S-act over a semihypergroup (S, ○) and B a nonempty subset of A. B is called a hyper S-subact of A if B is closed under the hyper S-action on A, i.e., bsB for any bB, sS.

Clearly, for any aA, as is a hyper S-subact of A, called cyclic hyper S-subact.

Let A be a hyper S-act over a semihypergroup (S, ○) and ρ an equivalence relation on A. If B and C are both nonempty subsets of A, then we write B ρ¯ C to denote that for every bB, there exists cC such that bρc and for every cC, there exists bB such that bρc. We write B ρ¯¯ C if for every bB and for every cC, we have bρc. The equivalence relation ρ is called congruence if for every (x, y) ∊ A × A, the implication xρyxs ρ¯ ys, for all sS, is valid. ρ is called strong congruence if for every (x, y) ∊ A × A, from x ρ y, it follows that xs ρ¯¯ ys for all sS. We denote by C(A) (resp. SC(A)) the set of all congruences (resp. strong congruences) on a hyper S-act A.

Remark 2.4

The set C(A) of all congruences on a hyper S-act A is a complete lattice with respect to the intersection of set-theoretic and the union (also is called transitive product) defined as follows:

(a,b)αΓραco=a,c1,,cn=bAsuchthat(cj,cj+1)ραjforsomeραj{ρα}αΓ.

It is worth pointing out that the equality relation 1A and the universal relation A × A on A are the minimum element and greatest element of C(A), respectively.

Theorem 2.5

Let A be a hyper S-act over a semihypergroup (S, ○) and ρ an equivalence relation on A. Then

  1. If ρ is a congruence, then A/ρ is a hyper S-act with respect to the following hyper S-action: (a)ρs=xas(x)ρ, and it is called a factor hyper S-act.

  2. If ρ is a strong congruence, then A/ρ is a hyper S-act with respect to the following (hyper) S-action: (a)ρs = (x)ρ for all xas, and it is called a factor hyper S-act. In particular if S is a semigroup and the operation on S is defined by st:= {st} for all s, tS, then A/ρ is an S-act.

Proof

  1. Let ρ be a congruence on A. Then the hyper S-action “ ⊗” is well defined. Indeed, let (a)ρ, (b)ρA/ρ and s, tS be such that (a)ρ = (b, s = t. Then a ρ b. Since ρ is a congruence on A, we have as ρ¯ bs. Hence for any xas, there exists ybt such that xρ y, i.e., (x)ρ = (y)ρ. Thus (a)ρs=xas(x)ρybt(y)ρ=(b)ρt. In a similar way,it can be shown that (b)ρt ⊆(a)ρs. Therefore, (a)ρs = (b)ρt.

    Furthermore, let s, tS and (a)ρA/ρ. Then we have

    (a)ρ(st)=ust((a)ρu)=ustxau(x)ρ=xa(st)(x)ρ=x(as)t(x)ρ(SinceAis a hyperSact)=yasxyt(x)ρ=yas((y)ρt)=((a)ρs)t.

    Thus A/ρ is a hyper S-act over S.

  2. The proof is similar to that of (1), and hence we omit the details.

Let A be a hyper S-act over a semihypergroup (S, ○) and B a hyper S-subact of A. The relation ρB on S is defined as follows:

ρB:={(x,y)AB×AB|x=y}(B×B).

Clearly, ρB is an equivalence relation on A. Moreover, we have the following lemma.

Theorem 2.6

Let A be a hyper S-act over a semihypergroup (S, ○) and B a hyper S-subact of A. Then ρB is a congruence on A and it is called Rees congruence induced by B.

Proof

Let x, yA and x ρBy. Then x = yA\B or x, yB. We consider the following cases:

Case 1. If x = yA\B, then, for any sS, xs = ys. Hence xsρ¯Bys.

Case2. Let x, yB. Since B a hyper S-subact of A, we have xsB, ysB for any sS. Thus, for any axs, bys, we have (a, b)∊ B × BρB. Thus xsρ¯Bys.

Therefore, ρB is a congruence on A.

Remark 2.7

  1. A/ρB = {{x}| xA\B} ∪ {B}, that is, for any (a)ρB} ∊ A/ρB, we have (a)ρB = {a}, aA\B or (a)ρB = B.

  2. By Theorems 2.5 and 2.6, (A/ ρB, ⊗B) forms a factor hyper S-act, which is called Rees factor hyper S-act. Here the hyper S-actionB on A/ρB is defined by (a)ρBBs=xas(x)ρB,(a)ρBA/ρB,sS.

3 Hyper S-posets over ordered semihypergroups

In this section we shall introduce the concept of hyper S-posets over an ordered semihypergroup, and study the properties of hyper S-posets. In particular, we define and discuss the pseudoorders on hyper S-posets.

Definition 3.1

Let (S, ○, ≤S) be an ordered semihypergroup. A right hyper S-poset (A, ≤A), often denoted A (or briefly A), is a right hyper S-act A equipped with a partial orderA and, in addition, for all s, tS and a, bA, if sSt then asAat, and if aAb then asAbs. Here, as stands for the result of the hyper action of s on a, and if A1, A2P ∗ (A), then we say that A1AA2 if for every a1A1 there exists a2A2 such that a1A a2.

Analogously we can define a left hyper S-poset A. Throughout this paper we shall use the term hyper S-poset to mean right hyper S-poset.

Remark 3.2

  1. Every S-poset over an ordered semigroup can be regarded as a hyper S-poset over an ordered semihypergroup.

  2. An ordered semihypergroup S is a hyper S-poset with respect to the hyperoperation of S.

Let A be a hyper S-poset over an ordered semihypergroup (S, ○, ≤S) and B a nonempty subset of A. B is called a hyper S-subposet of A if for any bB, sS, bsB, denoted by BA. For any aA, aS is clearly a hyper S-subposet of A, called cyclic hyper S-subposet. It is easily seen that a hyperideal of an ordered semihypergroup S is a hyper S-subposet of S.

Definition 3.3

Let (A, ≤A) and (B, ≤B) be two hyper S-posets over an ordered semihypergroup (S, ○, ≤), the“∗” and“ ⋄” are hyper S-actions on A and B, respectively f : AB a mapping from A to B. f is called isotone if xA y implies f(x)≤B f (y), for all x, yA. f is called reverse isotone if x, yA, f(x) ≤Bf(y) implies xAy. f is called homomorphism (resp. strong homomorphism) if it is isotone and satisfies f(a)s=xasf(x) (resp. f(a)s=f(x),xas),forallaA,sS. f is called isomorphism (resp. strong isomorphism) if it is homomorphism (resp. strong homomorphism), onto and reverse isotone. The hyper S-posets A and B are called strongly isomorphic, in symbol AB, if there exists a strong isomorphism between them.

Remark 3.4

  1. Suppose that (A, ≤A) and (B, ≤B) are two hyper S-posets over an ordered semihypergroup (S, ○, ≤). If f is a strong homomorphism and reverse isotone mapping from A to B, then AI m(f).

  2. The class of right hyper S-posets and homomorphisms forms a category that we denote by H P O S-S. As usual, the monomorphisms of H P O S-S are exactly the injective homomorphisms.

By Definition 3.1, we can see that the congruences and strong congruences on hyper S-posets can be defined exactly as in the case of hyper S-acts. Thus it is unnecessary to repeat the concepts of congruences and strong congruences on hyper S-posets.

Let A be a hyper S-act and ρ a (strong) congruence on A. Then, by Theorem 2.5, the set A/ ρ := {(a)ρ | aA} is a hyper S-act and the hyper S-action on A/ρ is defined via the hyper S-action on A. The following question is natural: If (A, ≤A) is a hyper S-poset over an ordered semihypergroup (S, ○, ≤) and ρ a (strong) congruence on A, then is the set A/ρ a hyper S-poset? A probable order on A/ρ could be the relation“⪯” on A/ρ defined by means of the order “≤A” on A, that is

_:={((x)ρ,(y)ρ)A/ρ×A/ρ|(x,y)A}.

But this relation is not an order, in general. We illustrate it by the following example.

Example 3.5

We consider a set S :={a, b, c, d, e} with the following hyperoperation “ ○” and the order “≤”:

a b c d e
a {b, d} {b, d} {d} {d} {d}
b {b, d} {b,d} {d} {d} {d}
c {d} {d} {c} {d} {c}
d {d} {d} {d} {d} {d}
e {d} {d} {c} {d} {c}

:={(a,a),(a,b),(b,b),(c,c),(d,b),(d,c),(d,d),(e,c),(e,e)}.

We give the covering relation “≺” and the figure of S as follows:

={(a,b),(d,b),(d,c),(e,c)}.

Then (S, ○, ≤) is an ordered semihypergroup. We now consider the partially ordered set A = {c, d, e} defined by the order below:

A:={(c,c),(d,d),(e,e),(d,e),(d,c),(e,c).

We give the covering relation “≺Aand the figure of A.

A={(d,e),(e,c)}.

Then (A, ≤A) is a hyper S-poset over S with respect to S-hyperaction on A as above hyperoperation table.

Let ρ be a (strong) congruence on A defined as follows:

ρ:={(c,c),(d,d),(e,e),(d,c),(c,d)}.

Then A/ρ = {{d, c},{e}}.Moreover, the relation on A/ρ defined by

_:={((x)ρ,(y)ρ)A/ρ×A/ρ|(x,y)<_A}

is not an order relation on A/ρ. In fact, since dA e, we have (d)ρ ⪯(e)ρ. Also, since eA c, we have (e)/ρ ⪯(c)ρ = (d)ρ. If “⪯” is an order relation on A/ρ, then (d)ρ = (e)ρ, which is impossible. Thus (A/ρ,⪯) is not a hyper S-poset.

The following question arises: Is there a (strong) congruence ρ on A for which A/ρ is a hyper S-poset? To solve the above question, we first introduce the following definition.

Definition 3.6

Let(A, ≤A) be a hyper S-poset over an ordered semihypergroup (S,∘, ≤). A relation ρ on A is called pseudoorder if it satisfies the following conditions:

  1. ≤A⊆ρ.

  2. aρb and bρc imply aρc, i. e., ρ 0 ρρ.

  3. aρb implies asρ=bs for all sS.

Note that an ordered semihypergroup S is a hyper S-poset with respect to the hyperoperation of S. Thus Definition 3.6 is a generalization of Definition 4.1 in [9]. For a similar definition about pseudoorders in ordered semigroups we refer the readers to Definition 1 in [16].

Theorem 3.7

Let (A, ≤A) be a hyper S-poset over an ordered semihypergroup (S, 0, ≤) and ρ a pseudoorder on A. Then, there exists a strong congruence ρ_ on A such that A/ρ_ is a hyper S-poset over S.

Proof

We denote by ρ_ the relation on A defined by

ρ_:={(a,b)A×A|aρbandbρa}(=ρρ1).

First, we claim that ρ_ is a strong congruence on A. In fact, for any aA, clearly, (a, a)∈ ≤Aρ, so aρ_a. If (a,b)ρ_, then aρb and bρa. Thus (b,a)ρ_ Let (a,b)ρ_and(b,c)ρ_ Then aρb, bρa, bρc and cρb. Hence aρc and cρa, which imply that (a,c)ρ_ Thus ρ_ is an equivalence relation on A. Now, let aρ_bandsS Then aρb and bρa. Since ρ is a pseudoorder on A, by condition (3) of Definition 3.6, we have

asρ¯¯bs,bρ¯¯,s.

Thus, for every xas and ybs, we have x ρ y and y ρ x. It implies that xρ_y Hence asρ_¯¯bs Therefore, ρ_ is indeed a strong congruence on A. By Theorem 2.5, A/ρ_ is a hyper S-act over S.

Now, we define a relation _ρonA/ρ_ as follows:

_ρ:={((x)ρ_,(y)ρ_)A/ρ_×A/ρ_|(x,y)ρ}.

Then (A/ρ_,_ρ) is a poset. Indeed, suppose that (x)ρ_A/ρ_, where xA. Then (x, x)∈ ≤Aρ. Hence, (x)ρ__ρ(x)ρ_. Let (x)ρ__ρ(y)ρ_and(y)ρ__ρ(x)ρ_. Then xρy and yρx. Thus xρ_y, and we have (x)ρ_=(y)ρ_. Now, if (x)ρ__ρ(y)ρ_and(y)ρ__ρ(z)ρ_, then x ρ y and y ρ z. Hence x ρ z, and we conclude that (x)ρ__ρ(z)ρ_.

Furthermore, let (x)ρ_,(y)ρ_A/ρ_,(x)ρ__ρ(y)ρ_andsS. Then x ρ y. By hypothesis and Definition 3.6, xsρ¯¯ys. Thus, for any axs and bys, we have a ρ b. This implies that (a)ρ__ρ(b)ρ_. Hence we have

(x)ρ_s=axs(a)ρ__ρbys(b)ρ_=(y)ρ_s,

where the hyper S-action “⊗ ” on A/ρ_ is exactly that defined in Theorem 2.5. Moreover, let s, tS, st and (a)ρ_A/ρ_. Then, similarly as discussed above, we have (a)ρ_s_ρ(a)ρ_t.

Therefore, A/ρ_ is a hyper S-poset over S.

Example 3.8

We consider a set S := {a, b, c, d, e} with the following hyperoperation“ ∘ ” and the order“ ≤ ”:

a b c d e
a {a} {a} {a} {a} {a}
b {a, b} {a, b} {a, b} {a, b} {a, b}
c {a, c} {a, c} {a, c} {a, c} {a, c}
d {a, d} {a, d} {a, d} {a, d} {a, d}
e {e} {e} {e} {e} {e}

<_:={(a,a),(b,b),(b,a),(c,c),(c,a),(d,a),(d,d),(e,e)}.

The covering relation “≺” and the figure of S are given by:

={(b,a),(c,a),(d,a)}.

Then (S, 0, ≤) is an ordered semihypergroup (see [9]). We now consider the partially ordered set A = {a, d, e} defined by the order below:

<_A:={(a,a),(d,d),(e,e),(d,a).

We give the covering relation “ ≺A and the figure of A.

A={(d,a)}.

Then (A, ≤ A) is a hyper S-poset over S with respect to S-hyperaction on A as above hyperoperation table.

Let ρ be a pseudoorder on A defined as follows:

ρ:={(a,a),(d,d),(e,e),(a,d),(d,a),(e,a),(e,d)}.

Applying Theorem 3.7, we get

ρ_:={(a,a),(d,d),(e,e),(a,d),(d,a)}.

Then A/ρ_={{a,d},{e}}.Moreover,(A/ρ_,_ρ) is a hyper S-poset over S, where the order relation _ρonA/ρ_ is defined by

_ρ:={({a,d},{a,d}),({e},{e}),({e},{a,d})}.

Theorem 3.9

Let (A, ≤A) be a hyper S-poset over an ordered semihypergroup (S,∘,≤) nd ρ a pseudoorder on A. Let

A:={θ|θisapseudoorderonAsuchthatρθ}.

Letbe the set of all pseudoorders on A/ρ_. Then, card card(𝒜) = card().

Proof

For θ∈ 𝒜, we define a relation θ′ on A/ρ_ as follows:

θ:={((x)ρ_,(y)ρ_)A/ρ_×A/ρ_|(x,y)θ}.

First, we claim that θ′ is a pseudoorder on A/ρ_. To prove our claim, let ((x)ρ_,(y)ρ_)_ρ. Then, by Theorem 3.7, (x, y) ∈ ρθ, which implies that ((x)ρ_,(y)ρ_)θ.Thus,_ρθ. Now, assume that ((x)ρ_,(y)ρ_)θ and ((y)ρ_,(z)ρ_)θ. Then, (x, y) ∈θ and (y, z)∈θ. It implies that (x, z) ∈θ. Hence, ((x)ρ_,(z)ρ_)θ. Also, let ((x)ρ_,(y)ρ_)θ and sS. Then, (x, y)∈θ and sS. Since θ is a pseudoorder on A, we have xsθ¯¯ys. Thus, for every axs, bys, we have (a,b) ∈θ. This implies that ((a)ρ_,(b)ρ_)θ, and thus (x)ρ_sθ¯¯(y)ρ_s. Therefore, θ′ is indeed a pseudoorder on A/ρ_.

Now, we define the mapping f:ABbyf(θ)=θ,θA. Then, f is a bijection from 𝒜 onto ℬ. In fact,

  1. f is well defined. Indeed, let θ1, θ2 ∈ 𝒜 and θ1 = θ2. Then, for any ((x)ρ_,(y)ρ_)θ1, we have (x, y) ∈ θ1 = θ2. It implies that ((x)ρ_,(y)ρ_)θ2. Hence θ1θ2 ′. By symmetry, it can be obtained that θ2 ′⊆ θ1′.

  2. f is one to one. In fact, let θ1, θ2 ∈ 𝒜 and θ1 ′ = θ2 ′. Assume that (x, y) ∈θ1. Then, ((x)ρ_,(y)ρ_)θ1 , and thus ((x)ρ_,(y)ρ_)θ2. This implies that (x, y) ∈θ2. Thus, θ1θ2. Similarly, we obtain θ2θ1.

  3. f is onto. In fact, let δ ∈ ℬ. We define a relation θ on A as follows:

    θ:={(x,y)A×A|((x)ρ_,(y)ρ_)δ}.

    We show that θ is a pseudoorder on A and ρθ. Assume that (x, y) ∈ ρ. Then, by Theorem 3.7, ((x)ρ_,(y)ρ_)_ρδ, and thus (x, y) ∈θ. This implies that ρθ. If (x, y) ∈ ≤A, then (x, y) ∈ρθ. Hence, ≤Aθ. Let now (x, y) ∈θ and (y, z) ∈θ. Then ((x)ρ_,(y)ρ_)δand((y)ρ_,(z)ρ_)δ. Hence ((x)ρ_,(z)ρ_)δ, which implies that (x, z) ∈θ. Furthermore, let (x, y) ∈θ and sS. Then ((x)ρ_,(y)ρ_)δ and sS. Since δ is a pseudoorder on A/ρ_, we have (x)ρ_sδ¯(y)ρ_s,i.e.,axs(a)ρ_δ¯¯bys(b)ρ_. Thus, for every axs and bys,((a)ρ_,(b)ρ_)δ. It means that (a, b) ∈θ. Hence we conclude that xsθ¯¯ys. Moreover, clearly, θ′ = δ.

By the proof of Theorem 3.9, we immediately obtain the following corollary:

Corollary 3.10

Let (A, ≤A) be a hyper S-poset over an ordered semihypergroup (S, 0, ≤), ρ, θ be pseudoorders on A such that ρθ. We define a relation θ/ρ on A/ρ_ as follows:

θ/ρ:={((x)ρ_,(y)ρ_)A/ρ_×A/ρ_|(x,y)θ}.

Then θ/ρ is a pseudoorder on A/ρ_.

4 (Strong) order-congruences on hyper S-posets

In the above section, we have illustrated that for a (strong) congruence ρ on a hyper S-poset A the factor hyper S-act A/ρ is not necessarily a hyper S-poset, in general. To characterize the structure of hyper S-posets in detail, in this section we shall define and study the order-congruences and strong order-congruences on a hyper S-poset.

Definition 4.1

Let} (A, ≤A) be a hyper S-poset over an ordered semihypergroup (S,∘, ≤). A congruence (resp. strong congruence) ρ is called an order-congruence (resp. a strong order-congruence) if there exists an order relation “⪯” on A/ρ such that:

  1. (A/ρ,⪯) is a hyper S-poset, where the S-hyperaction “ ⊗” on A/ρ is defined as one in Theorem 2.5.

  2. The canonical epimorphism φ : → A/ρ, x ↦ (x)ρ is isotone, that is, ↦ is a homomorphism (resp. strong homomorphism) from A onto A/ρ.

It is clear that the equality relation 1A and the universal relation A × A on A are both order-congruences, but 1A is not a strong order-congruence on A. In general, a strong order-congruence example is given as follows:

Example 4.2

We consider the ordered semihypergroup (S,∘, ≤) and the hyper S-poset (A, ≤A) over S in Example 3.5. Let ρ be a strong congruence on A defined as follows:

ρ:={((c,c),(d,d),(e,e),(c,e),(e,c)}.

Then S/ρ = {{c, e},{d}}. Moreover, ρ is a strong order-congruence on A. In fact, we define an orderρ on A/ρ as follows:

_ρ:={({d},{d}),({c,e},{c,e}),({d},{c,e})}.

Then (A/ρ,⪯ρ) is a hyper S-poset and the mapping φ : AA/ρ, x ↦(x)ρ is isotone. Hence ρ is a strong order-congruence on A.

Proposition 4.3

Let (A, ≤A) be a hyper S-poset over an ordered semihypergroup (S,∘, ≤) and ρ a pseudoorder on A. Then ρ_ is a strong order-congruence on A, where ρ_=ρρ1.

Proof

By Theorem 3.7, (A/ρ_,_ρ) is a hyper S-poset over s, where the order relation ⪯ρ is defined as follows:

_ρ:={((x)ρ_,(y)ρ_)A/ρ_×A/ρ_|(x,y)ρ}.

Also, let x, yA and xA y. Then, since ρ is a pseudoorder on A, (x, y) ∈ ≤Aρ. Thus ((x)ρ_,(y)ρ_)_ρ, i.e.,(x)ρ__ρ(y)ρ_. Therefore, ρ_ is a strong order-congruence on A.

In order to establish the relationship between strong order-congruences and pseudoorders on a hyper S-poset, the following lemma is essential.

Lemma 4.4

Let (A, ≤A) be a hyper S-poset over an ordered semihypergroup (S,∘, ≤) and σ a relation on A. Then the following statements are equivalent:

  1. σ is a pseudoorder on A.

  2. There exist a hyper S-poset (B, ≤B) over S and a strong homomorphism φ: AB such that

    kerφ:={(a,b)A×A|φ(a)<_Bφ(b)}=σ,

    where kerφ is called the directed kernel of φ

Proof

(1) ⇒(2). Let σ be a pseudoorder on A. We denote by σ_ the strong congruence on A defined by

σ_:={(a,b)A×A|(a,b)σ,(b,a)σ}(=σσ1).

Then, by Theorem 3.7, the set A/σ_:={(a)σ_|aA} with the S-hyperaction (a)σ_s=(x)σ_,xas, for all aA, sS and the order

_σ:={((x)σ_,(y)σ_)A/σ_×A/σ_|(x,y)σ}

is a hyper S-poset. Let B=(A/σ_,_σ) be the mapping of A onto A/σ_ defined by φ:AA/σ_|a(a)σ_. Then, by Proposition 4.3, ↦ is a strong homomorphism from A onto A/σ_ and clearly, kerφ=σ.

(2) ⇒(1). If there exist a hyper S-poset (B, ≤B) over S and a strong homomorphism φ: AB such that kerφ=σ, then σ is a pseudoorder on A. Indeed, let (a, b)∈ ≤A. Then, by hypothesis, φ(a) ≤Bφ(b). Thus (a,b)kerφ=σ, and we have ≤Aσ. Now, let (a, b) ∈σ and (b, c) ∈ σ. Then φ(a) ≤Bφ(b) ≤Bφ(c). Hence φ(a)<_Bφ(c),i.e.,(a,c)kerφ=σ. Also, if (a, b) ∈σ, then φ(a) ≤Bφ(b). Since (B, ≤B) is a hyper S-poset over s, for any sS we have φ(a)⋄ sBφ(b)⋄ s, where “ ⋄” is the S-hyperaction on B. Since ↦ is a strong homomorphism from A to B, for every xas and ybs, we have

φ(x)=φ(a)s<_Bφ(b)s=φ(y).

Then (x,y)kerφ=σ, and thus asσ¯¯bs. Therefore, σ is a pseudoorder on A.

Theorem 4.5

Let (A, ≤A) be a hyper S-poset over an ordered semihypergroup (S,∘, ≤) and ρSC(A). Then the following statements are equivalent:

  1. ρ is a strong order-congruence on A.

  2. There exists a pseudoorder σ on A such that ρ = σσ−1.

  3. There exist a hyper S-poset B over s and a strong homomorphism φ: AB such that ρ = ker(φ), where ker φ = {(a, b) ∈ A × A|φ(a) = φ(b) is the kernel of φ.

Proof

(1) ⇒(2). Let ρ be a strong order-congruence on A. Then there exist an order relation “⪯” on the factor hyper S-act A/ρ such that (A/ρ,⪯) is a hyper S-poset over S, and φ: AA/ρ is a strong homomorphism. Let σ=kerφ. By Lemma 4.4, σ is a pseudoorder on A and it is easy to check that ρ = σσ−1.

(2) ⇒ (3). For a pseudoorder σ on A, by Lemma 4.4, there exist a hyper S-poset B over s and a strong homomorphism φ AB such that σ=kerφ. Then we have

kerφ=kerφ(kerφ)1=σσ1=ρ.

(3) ⇒(1). By hypothesis and Lemma 4.4, kerφ is a pseudoorder on A. Then, by Theorem 3.7, ρ=kerφ(kerφ)1 is a strong congruence on A. Thus, by the proof of Lemma 4.4, ρ is a strong order-congruence on A.

Remark 4.6

  1. For a strong order-congruence ρ on A, since the order “⪯” such that (A/ρ,⪯) is a hyper S-poset is not unique in general we have the pseudoorder σ containing ρ such that ρ = σσ−1 is not unique.

  2. If σ is a pseudoorder on a hyper S-poset A, then ρ = σσ−1 is the greatest strong order-congruence on A contained in σ. In fact, if ρ1 is a strong order-congruence on A contained in σ, then ρ1=ρ1ρ11σσ1=ρ.

Theorem 4.7

Let ρ be a strong order-congruence on a hyper S-poset (A, ≤A). Then the least pseudoorder σ containing ρ is the transitive closure of relationsAρ (resp. ρ∘ ≤A), that is,

σ=n=1(Aρ)n=n=1(ρA)n.

Proof

  1. Let σ1=n=1(Aρ)n. Clearly, ρ⊆ ≤Aρσ1. Similarly, since ≤A⊆ ≤Aρ, we have ≤Aσ1.

  2. If (a, b) ∈σ1, (b, c) ∈σ1, then there exist m, nZ+ such that (a, b)∈( ≤Aρ)m and (b, c) ∈( ≤Aρ)n, where Z+ denotes the set of positive integers. Thus (a, c) ∈( ≤Aρ)m+nσ1, i.e., σ1 is transitive.

  3. Let (a, b)∈σ1 and sS. Then there exists nZ+ such that (a, b)∈( ≤Aρ)n, that is, there exist a1, b1, a2, b2, …, anA such that

    aAa1ρb1a2ρb2AAanρb.

    Since (A, ≤A) is a hyper S-poset and ρSC(A), we have

    asAa1sρ¯¯b1sAa2sρ¯¯sansρ¯¯bs.

    Then, for any xas, ybs, there exist xiais (i = 1,2,…, n), yjbjs (j = 1,2,…, n-1) such that

    xAx1ρy1x2ρy2xnρy.

    It thus implies that (x, y) ∈(≤Aρ)nσ1, and we obtain that asσ¯¯1bs. Thus n=1(Aρ)n is a pseudoorder on A containing ρ.

    Furthermore, since σ is transitive, and ρσ, ≤Aσ, we have n=1(Aρ)nσ. Thus, by hypothesis, σ=n=1(Aρ)n. In the same way, we can verify that σ=n=1(ρA)n. In the following, we shall give some characterizations of (strong) order-congruences on hyper S-posets. In order to obtain the main results, we first introduce the following concept.

Definition 4.8

Let (A, ≤A) be a hyper S-poset over an ordered semihypergroup (S, ∘, ≤) and ρ an equivalence relation on A. A finite sequence of the form (x, a1, b1, a2, b2, …, an-1, bn-1, an, y) of elements in A is called a ρ-chain if

  1. (a1, b1) ∈ ρ, (a2, b2) ∈ ρ, …, (an-1, bn-1) ∈ ρ, (an, y) ∈ ρ;

  2. xA a1, bA a2, bA a3, …, bn-2A an-1, bn-1A an.

Briefly we write

xAa1ρbAa2ρbAAanρy.

The number n is called the length, x and y initial and terminal elements, respectively, of the ρ-chain. A ρ-chain is called close if its initial and terminal elements are equal, i.e. x = y.

We denote by ρCxy the set of all ρ-chains with x as the initial and y as the terminal elements in the sequel.

Lemma 4.9

Let (A,≤A) be a hyper S- poset over an ordered semihypergroup (S, 0, ≤) and ρC(A). Then the following statements are true:

  1. (x, y) ∈ (≤A o ρ)n if and only if there exists a ρ-chain with length n in ρCxy, i. e., ρCxy ≠ ∅.

  2. For any s ∈ S, if ρCxy ≠ ∅ for some x, yA, then for every uxs, there exists vys such that ρCuv ≠ ∅.

Proof

  1. The proof is straightforward by Definition 4.8, we omit it.

  2. Let (x, a1, b1, a2, b2, …, an, y) ∈ ρCxy and sS. Then

    xAa1ρb1Aa2ρb2AAanρb.

    Since (A, ≤A) is a hyper S-poset and ρC(A), we have

    xsAa1sρ¯b1sAa2sρ¯b2sAAansρ¯ys.

    Then, for any ux o s, there exist xiai ∗ s(i = 1, 2, …, n), yjbj ∗ s(j=1,2, …, n− 1), vys such that

    uAx1ρy1Ax2ρy2Axnρv.

    It thus implies that (u, x1, y1, x2, y2, …, xn, v) ∈ ρCuv, i.e., ρCuv ≠ ∅.

Lemma 4.10

Let (A, ≤A) be a hyper S-poset over an ordered semihypergroup (S, o, ≤) and ρS C(A). If ρCxy ≠ ∅ for some x, yA, then, for any sS, we have ρCuv ≠ ∅ for every uxs, vys.

Proof

The proof is similar to that of Lemma 4.9 with a slight modification.

Lemma 4.11

Let (A, ≤A) be a hyper S-poset over an ordered semihypergroup (S, o,≤) and ρ a (strong) congruence on A. If(x, y) ∈ ρ, (k, z) ∈ ρ, then ρCxk ≠ ∅ if and only if ρCyz ≠ ∅.

Proof

(⇒). If ρCxk ≠ ∅, by Lemma 4.9 (1), there exists nZ+ such that (x, k) ∈ (≤A oρ)n. Since (x, y) ∈ ρ, (z, k) ∈ ρ, we have

yAyρx(Aoρ)nkAkρz,

which implies that (y, z) ∈ (≤A oρ)n+2. By Lemma 4.9 (1), we have ρCyz ≠ ∅.

(⇐). Similar to the proof of necessity, we omit it.

Now we shall give a characterization of order-congruences on a hyper S-poset.

Theorem 4.12

Let (A, ≤A) be a hyper S-poset over an ordered semihypergroup (S, o,≤) and ρC(A) . Then ρ is an order-congruence on A if and only if every close ρ-chain is contained in a single equivalent class of ρ.

Proof

Let ρ be an order-congruence on A. Then there exists an order ⪯ on the factor hyper S-act A/ρ such that (A/ρ,⪯) is a hyper S-poset over S and φ : AA/ρ is a homomorphism. For any xA, and every close ρ-chain (x, a1, b1, …, an, x) in ρCxx, we have

xAa1ρb1Aa2ρb2AAanρx.

Then,

φ(x)_φ(a1)=φ(b1)_φ(a2)=φ(b2)__φ(an)=φ(x).

It implies that φ(x) = φ(a1}) = φ(b1) = φ(a2) = φ(b2) = ⋯ = φ(an). Consequently, (x, a1, b1, …, an, x) is contained in a single ρ-class.

Conversely, since ρ is a congruence on A, by Theorem 2.5, A/ρ is a hyper S-act. We define a relation “⪯” on the factor hyper S-act A/ρ as follows:

:={((x)ρ,(y)ρ)|ρCxy}.

  1. ⪯ is well-defined. In fact, let x1, y1A be such that (x)ρ = (x1)ρ, (y)ρ = (y1)ρ. If (x)ρ ⪯ (y)ρ, then ρCxy ≠ ∅. By Lemma 4.11, we have ρCx1y1, and (x1)ρ ⪯ (y1)ρ.

  2. ⪯ is an ordered relation on A/ρ.

  3. ⪯ is reflexive. In fact, since for any xA, xA xρx, and we have ρCxx ≠ ∅ i.e., ((x)ρ, (x)ρ) ∈⪯.

  4. ⪯ is transitive. Indeed, let ((x)ρ, (y)ρ)∈ ⪯, ((y)ρ, (z)ρ)∈ ⪯. Then we have ρCxy ≠ ∅, ρCyz ≠ ∅. By Lemma 4.9 (1), there exist m, nZ+ such that (x, y) ∈ (≤A oρ)m, (y, z) ∈ (≤A oρ)n. Then we have

    (x,z)(Aoρ)mo(Aoρ)n=(Aoρ)m+n,

    i.e., ρCXZ ≠ ∅. Thus ((x)ρ, (z)ρ)∈ ⪯.

  5. ⪯ is anti-symmetric. In fact, if ((x)ρ, (y)ρ) ∈⪯, ((y)ρ, (x)ρ) ∈⪯, then ρCxy ≠ ∅, ρCyx ≠ ∅. Similar to the above proof, it can be obtained that ρCxx ≠ ∅, i.e., there exists a close ρ-chain in ρCxx containing x and y. By hypothesis, (x)ρ = (y)ρ.

  6. (A/ρ,⪯) is a hyper S-poset over S. Indeed, let (x)ρ ⪯ (y)ρ and sS. Then ρCxy ≠ ∅. By Lemma 4.9(2), for every uxs, there exists vys such that ρCuv ≠ ∅, i.e., (u)ρ ⪯ (v)ρ. Thus

    (x)ρs=uxs(u)ρvxs(v)ρ=(y)ρs.

    Also, let s, tS be such that st. Then xsA xt for any xA. Thus, for every u′ ∈ xs, there exists v′ ∈ xt such that u′ ≤A v′. It implies that (u′, v′) ∈≤A oρ, and we have ρCuv ≠ ∅. Hence (u′)ρ ⪯ (v′)ρ, and we obtain

    (x)ρs=uxs(u)ρvxt(v)ρ=(x)ρt.
  7. The mapping φ: AA/ρ | x ↦(x)ρ is isotone. In fact, let x, yA be such that xA y. Then (x, y) ∈≤A oρ, we have ρCxy ≠ ∅, i.e. (x)ρ ⪯ (y)ρ.

    Therefore, ρ is an order-congruence on A.

    Similarly, strong order-congruences on a hyper S-poset can be characterized as follows:

Theorem 4.13

Let (A, ≤A) be a hyper S-poset over an ordered semihypergroup (S, o,≤) and ρSC(A). Then ρ is a strong order-congruence on A if and only if every close ρ-chain is contained in a single equivalent class of ρ.

Proof

The proof is similar to that of Theorem 4.12 with suitable modification by using Lemma 4.10.

Recall that a nonempty subset B of a poset (A,≤) is called convex if abc implies bB for all a, cB, bA; B is called strongly convex if aA, bB and ab imply aB. Any strongly convex subset of A is clearly convex, however, the converse does not hold in general.

Corollary 4.14

If ρ is an order-congruence on a hyper S-poset A, then every ρ-class in A is convex.

Proof

Let ρ be an order-congruence on A and B a congruence class of ρ. If xA yA z and x, zB, then (x)ρ = (z)ρ. Thus we have xA yρyA zρx. Hence (x, y, y, z, x) is a close ρ-chain, by Theorem 4.12, we have (x)ρ = (y)ρ = (z)ρ. It thus follows that yB, and B is convex.

Furthermore, we have the following theorem.

Theorem 4.15

Let (A, ≤A) be a hyper S-poset over an ordered semihypergroup (S, o,≤) and B a hyper S-subposet of A. Then B is a congruence class of one order-congruence on A if and only if B is convex.

Proof

(⇒). The proof is straightforward by Corollary 4.14.

(⇐). Let ρB be the Rees congruence induced by B on A. By Remark 2.7(1), B is a congruence class of ρB. Now we define a relation “⪯B” on the factor hyper S-act A/ρB as follows:

(x)ρBB(y)ρB(xAy)or(xAb,bAyfor someb,bB).

We claim that ρB is an order-congruence on A. To prove our claim, we first show that ⪯B is order relation on A/ρB,i.e., ⪯B is reflexive, anti-symmetric and transitive.

  1. Let (x)ρB be any element of A/ρB. Then, since xAx, we have (x)ρBB(x)ρB.

  2. Let (x)ρBB(y)ρB and (y)ρBB (x)ρB. Then xA y or xA b, b′ ≤A y for some b, b′ ∈ B, and yA x or yA b1, b1Axfor someb1,b1B. We consider the following four cases:

    Case 1. If xA y and yA x, then x = y, and thus (x)ρB = (y)ρB.

    Case 2. If xA y and yA b1, b1Ax for some b1, b1B,thenb1AxAyAb1. Since B is convex and b1, b1B, we have x, yB. Thus (x)ρB = (y)ρB = B.

    Case 3. Let xAb, b′≤A y for some b, b′ ∈ B and yA x. Similar to the proof of Case 2, we have (x)ρB = (y)ρB.

    Case 4. Let xA b, b′ ≤A y for some b, b′ ∈ B and yA b1, b1Axfor someb1,b1B. Then b1AxAb and b′≤A yA b1. Since B is convex, we have x, yB. Thus (x)ρB = (y)ρB.

  3. Let (x)ρBB (y)ρB and (y)ρBB(z)ρB. Then xA y or xA b, b′ ≤A y for some b, b′ ∈ B2 and yA z or yA b1, b1Az for some b11, b1B. There are four cases to be considered:

    Case 1. If xA y and yA z, then xA z, and thus (x)ρBB(y)ρB.

    Case 2. If xA y and yAb1, b1Az for some b1, b1B, then xA yAb1 and b1Az. By the definition of ⪯B, (x)ρBB(z)ρB.

    Case 3. Let xA b, b′≤A y for some b, b′ ∈ B and yA z. Analogous to the proof of Case 2, we have (x)ρBB(z)ρB.

    Case 4. Let xA b, b′≤A y for some b, b′ ∈ B and yAb1, b1, b1Az for some b, b′ ∈ B. Then xA b and b1Az. Hence (x)ρBB(z)ρB.

    We now show that (A/ρB,⪯B) is a hyper S-poset over S. Let (x)ρBB(y)ρB and sS. Then xA y or xA b, b′≤A y for some b, b′ ∈ B. We consider the following two cases:

    Case 1. If xA y, then xsA ys. Thus for every uxs there exists vys such that uA v, and we have (u)ρBB (v)ρB. Thus

    (x)ρBBs=uxs(u)ρBBvys(v)ρB=(y)rhoBBs.

    Case 2. Let xA b, b′ ≤A y for some d, b′ ∈ B. Then xsA bs, b′ ∗ sA ys. Thus for every uxs, there exists b1bs such that uA b1, and for some b1bs there exists vys such that b1Av. Since B is a hyper S-subposet of A and b, b′ ∈ B, we have b1bsB, b1bsB. On the other hand, uA b1, b1Av for some b1, b1B. Hence (u)ρBB(v)ρB, and thus (x)ρBB sB(y)ρBB s.

    Also, let s, tS be such that st. Then xsA xt for any xA. Thus, for every u′ ∈ xs, there exists v′ ∈ xt such that u′ ≤A v′. It implies that (u′)ρBB(v′)ρB, and we have

    (x)ρBBs=uxs(u)ρBBvxt(v)ρB=(x)ρBBt.

    Therefore, (A/ρBB) is a hyper S-poset over S.

    Furthermore, by the definition of ⪯B, it can be shown that the canonical epimorphism φ : AA/ρB, x ↦ (x)ρB is isotone. Thus ρB is an order-congruence on A. This completes the proof.

By the proof of the above theorem, we immediately obtain the following corollary:

Corollary 4.16

Let (A, ≤A) be a hyper S-poset over an ordered semihypergroup (S, o,≤) and B a strongly convex hyper S-subposet of A. Then (A/ρB, ⪯B) forms a hyper S-poset over S and the Rees congruence ρB induced by B on A is an order-congruence, where the order relation “⪯Bon A/ρB is defined as follows:

(x)ρBB(y)ρB(xAy)or(xAb,bAyforsomeb,bB).

Corollary 4.16 shows that the Rees congruence ρB induced by B on A is an order-congruence. But we state that ρB is not necessarily a strong order-congruence on A in general. We illustrate it by the following example.

Example 4.17

We consider a set S := {a, b, c, d, e, f} with the following hyperoperation “ο” and the order “≤”:

o a b c d e
a {b, d} {b, d} {d} {d} {d}
b {b, d} {b, d} {d} {d} {d}
c {d} {d} {c} {d} {c}
d {d} {d} {d} {d} {d}
e {d} {d} {c} {d} {c}

:={(a,a),(a,b),(b,b),(c,c),(c,d),(d,d),(e,e),(e,f),(f,f)}.

We give the covering relation “≺” and the figure of S as follows:

={(a,b),(c,d),(e,f)}.

Then (S, o,≤) is an ordered semihypergroup. We now consider the partially ordered set A = {c, d, e, f} defined by the order below:

A:={(c,c),(d,d),(e,e),(f,f),(c,d),(e,f).

We give the covering relation “≺” and the figure of A.

A={(c,d),(e,f)}.

Then (A, ≤A) is a hyper S-poset over S with respect to S-hyperaction on A as in the above hyperoperation table. Let B = {c, d}. It is easy to check that B is a strongly convex hyper S-subposet of A. Then ρB = {(c, c),(d, d), (e, e), (f, f), (c, d), (d, c)}. One can easily verify that ρB is an order-congruence on A. But we claim that ρB is not a strong congruence on A. In fact, since (e, e) ∈ ρB, while ebρ¯¯Beb doesn’t hold. Thus ρB is not a strong order-congruence on A.

As a generalization of Theorem 2 in [32], we have the following theorem. The following theorem can be proved using similar techniques as in the proof of Theorem 4.15.

Theorem 4.18

Let (A, ≤A) be a hyper S-poset over an ordered semihypergroup (S, o,≤) and B a strongly convex hyper S-subposet of A. We define an order relation “⪯1on A/ρB(={{x}|xAB}{B}) as follows:

1:={(B,{x})|xAB}{({x},{y})|x,yAB,xAy}{(B,B)}.

Then (A/ρB,⪯1) is a hyper S-poset over S, and ρB is an order-congruence on A.

Proposition 4.19

Let (A, ≤A) be a hyper S-poset over an ordered semihypergroup (S, o,≤) and B a strongly convex hyper S-subposet of A. Then the order relations defined in Corollary 4.16 and Theorem 4.18 are different. Moreover; ⪯B⊆⪯1

Proof

Let (x)ρB, (y)ρBA/ρB and (x)ρBB(y)ρB. Then xA y or xA b, b′ ≤A y for some b, b′ ∈ B. Since B is strongly convex, we have xA y or xB and b′ ≤A y for some b′ ∈ B. The first case implies (x)ρB1 (y)ρB, and the second case implies (x)ρB1(b′)ρB1(y)ρB, i.e., (x)ρB1(y)ρB. Hence ⪯B⊆⪯1.

The following example shows that ⪯B⫋⪯1 in general.

The following example shows that _B_1 in general.

Example 4.20

We consider a set S := {a, b, c, d} with the following hyperoperation “ ○ ” and the order “ ≤ ”:

a b c d
a {a, d} {a, d} {a, d} {a}
b {a, d} {b} {a, d} {a, d}
c {a, d} {a, d} {c} {a, d}
d {a} {a, d} {a, d} {d}

:={(a,a),(a,c),(b,b),(c,c),(d,c),(d,d)}.

We give the covering relation “≺” and the figure of S as follows:

={((a,c),(d,c)}.

Then (S, ○, ≤) is an ordered semihypergroup. We now consider the partially ordered set A = {a, b, d} defined by the order below:

A:={(a,a),(b,b),(d,d),(d,a).

We give the covering relation “ ≺Aand the figure of A.

A={(d,a)}.

Then (A,≤A) is a hyper S-poset over S with respect to S-hyperaction on A as in the above hyperoperation table. Let B = {a, d}. We can easily verify that B is a strong convex hyper S-subposet of A. Since aA b and there does not exist xB such that xA b, we have (a)ρB _B (b)ρB. But, by the definition of1, we have (a){ρB}1(b)ρB.

In the following we shall define and study the strong order-congruence generated by a strong congruence on a hyper S-poset.

Definition 4.21

Let ρ be a strong congruence on a hyper S-poset A. A strong order-congruence σ is called the strong order-congruence generated by ρ on A, if σ satisfies the following conditions:

  1. ρσ.

  2. If there exists a strong order-congruence η on A such that ρ ⊆ η, then σ ⊆ η.

Theorem 4.22

Let (A, ≤A) be a hyper S-poset over an ordered semihypergroup (S, ○, ≤) and ρSC(A). Then

  1. If we define a relation ρ* on A as follows:

    (x,yA)(x,y)ρifandonlyifρCxy,

    then ρ* is a pseudoorder on A.

  2. Rρ is a relation on A defined as follows:

    (x,yA)(x,y)Rρ(x,y)ρand(y,x)ρ.

    Then Rρ is the strong order-congruence generated by ρ on A.

Proof

  1. Let x, yA be such that xA y. Then there is a ρ-chain from x to y:(x, y, y), i.e., ρCxy ≠ ∅. Thus xA y implies *y, and we have ≤Aρ*. Assume that (x, y) ∊ ρ* and (y, z) ∊ ρ*. Then there exist a1, a2, …, an, b1, b2, …, bn−1, c1, c2, …, cm, d1, d2, …, dmA such that

    xAa1ρb1Aa2ρb2AAan1ρbn1Aanρy,yAc1ρd1Ac2ρd2AAcm1ρdm1Admρz.

    Thus, xA a1ρb1A a2ρb2A ⋯ ≤A an−1ρbn−1A an ρyA c1 ρd1A c2 ρd2A ⋯ ≤A cm−1 ρdm−1A dm ρz, which is a ρ-chain from x to z. Hence (x, z)∊ ρ* and ρ* is transitive. Furthermore, let (x, y)∊ ρ* and sS. Then ρCxy ≠ ∅. By Lemma 4.10, for every uxs, vys, we have ρCuv ≠ ∅, which implies that (u, v)∊ρ*. It thus follows that xsρ¯¯ys. Therefore, ρ* is a pseudoorder on A.

  2. By (1), ρ* is a pseudoorder on A. Clearly, Rρ = ρ* ∩ (ρ*)−1. By Proposition 4.3, Rρ is a strong order-congruence on A. We claim that Rρ is the strong order-congruence generated by ρ on A. To prove our claim, let (x, y) ∊ ρ. Since ρ is a strong congruence on A, we have (y, x) ∊ ρ. Consequently, (x, y) ∊ Rρ. Hence ρRρ. Furthermore, suppose that η is a strong order-congruence on A and ρη. Then Rρη. Indeed, let (x, y) ∊ Rρ. Then (x, y) ∊ρ* and (y, x)∊ρ*. By definition of ρ*, there exist a1, a2, …, an, b1, b2, …, bn−1, c1, c2, …, cm, d1, d2, …, dm−1A such that

    xAa1ρb1Aa2ρb2AAan1ρbn1Aanρy,yAc1ρd1Ac2ρd2AAcm1ρdm1Admρx.

    Thus, by ρη, we have xA a1η b1A a2 η b2A ⋯ ≤A an−1 η bn−1A an η yA c1 η d1A c2 η d2 ≤ … ≤A cm−1 η dm−1A dm η x. Since η is a strong order-congruence on A, by Theorem 4.13 we can conclude that the closed η-chain (x, a1, b1, a2, b2, …, an−1, bn−1, an, y, c1, d1, c2, d2, …, cm−1, dm−1, dm, x) is contained in a single equivalence class of η. In particular, we have (x, y)∊η. Therefore, Rρ is the strong order-congruence generated by ρ on A.

By Theorem 4.22, we immediately obtain the following corollary:

Corollary 4.23

Every strong congruence on a hyper S-poset d is contained in a strong order-congruence on A.

5 Homomorphism theorems of hyper S-posets

Homomorphism theorems of semigroups and S-acts based on congruences have been given in [15] and [22], respectively. In cases of ordered semigroups and S-posets, pseudoorders play the role congruences which are “bigger” than the congruences, for example, see [17, 31, 32]. In the current section, we discuss homomorphism theorems of hyper S-posets by pseudoorders defined in Section 3.

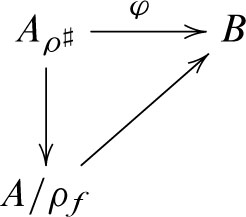
Let σ be a pseudoorder on a hyper S-poset (A, ≤A). Then, by Theorem 4.5, ρ = σσ−1 is a strong order-congruence on A. We denote by ρ# the canonical epimorphism from A onto A/ρ, i.e., ρ# : AA/ρ | x ↦ (x)ρ, which is a strong homomorphism. In the following, we give a homomorphism theorem of hyper S-posets by pseudoorders, which is a generalization of Theorem 12 in [32]. For a similar result about ordered semigroups we refer the readers to Theorem 1 in [17].

Theorem 5.1

Let (A,≤A) and (B, ≤B) be two hyper S-posets over an ordered semihypergroup (S, ○, ≤), φ : AB a strong homomorphism. Then: If σ is a pseudoorder on A such that σkerφ, then there exists the unique strong homomorphism f : A/ρB | (a)ρφ (a) such that the diagram commutes, where ρ = σσ −1. Moreover, I m (φ) = I m (f). Conversely, if σ is a pseudoorder on A for which there exists a strong homomorphism f : (A/ρ, ⪯ σ) → (B, ≤B) (ρ = σσ −1) such that the above diagram commutes, then σkerφ.

Proof

Let σ be a pseudoorder on A such that σkerφ, f : A/ρB | (a)ρφ (a). Then

  1. f is well defined. Indeed, if (a)ρ = (b)ρ, then (a, b)∊ ρσ. Since σkerφ, we have (φ(a), φ(b)) ∊ ≤ B. Furthermore, since (b, a) ∊ σkerφ, we have (φ(b), φ(a)) ∊ ≤ B. Therefore, φ(a) = φ(b).

  2. f is a strong homomorphism and φ = fρ#. In fact: By Lemma 4.4, there exist an order relation “⪯σ” on the factor hyper S-act A/ρ such that (A/ρ, ⪯σ) is a hyper S-poset and the canonical epimorphism ρ# is a strong homomorphism. Moreover, we have

    (a)ρ_σ(b)ρ(a,b)σkerφφ(a)Bφ(b)f((a)ρ)Bf((b)ρ).

    Also, let (a)ρA/ρ and sS. For any (x)ρ ∊ (a)ρs, we have xas. Since φ is a strong homomorphism from A to B, we have

    f((a)ρ)s=φ(a)s=φ(x)=f((x)ρ),

    where “ ⋄ ” is the S-hyperaction on B. Furthermore, for any aA, (fρ#)(a) = f ((a)ρ) = φ(a), and thus φ = fρ#.

    We claim that f is a unique strong homomorphism from A/ρ to B. To prove our claim, let g be a strong homomorphism from A/ρ to B such that φ = gρ#. Then, for any (a)ρA/ρ, we have

    f((a)ρ)=φ(a)=(gρ#)(a)=g((a)ρ).

    Moreover, I m (f)={f((a)ρ)|aA}={φ(a)|aA}=Im(φ).

    Conversely, let σ be a pseudoorder on A, f : A/ρB is a strong homomorphism and φ = fρ#. Then σkerφ. Indeed, by hypothesis, we have

    (a,b)σ(a)ρ_σ(b)ρf((a)ρ)Bf((b)ρ)(fρ#)(a)B(fρ#)(b)φ(a)Bφ(b)(a,b)kerφ,

    where the order ⪯σ on A/ρ is defined as in the proof of Lemma 4.4, that is

    _σ:={((x)ρ,(y)ρ)A/ρ×A/ρ|(x,y)σ}.

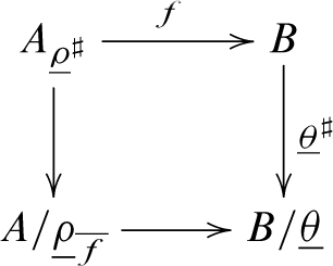
Corollary 5.2

Let (A, ≤A) and (B, ≤B) be two hyper S-posets over an ordered semihypergroup (S, ○, ≤) and φ : AB a strong homomorphism. Then A/ker φI m(φ), where ker φ is the kernel of φ.

Proof

Let σ = kerφ and ρ= kerφ ∩( kerφ )−1. Then, by Theorems 4.5 and 5.1, ρ is a strong order-congruence on A and f : A/ρB | (a)ρφ (a) is a strong homomorphism. Moreover, f is inverse isotone. In fact, let (a)ρ, (b)ρ be two elements of A/ρ such that f((a)ρ) ≤B f ((b)ρ). Then φ (a)≤Bφ(b), and we have (a, b) ∊ kerφ . Thus, by Lemma 4.4, ((a)ρ, (b)ρ) ∊ ⪯σ, i.e., (a)ρσ (b)ρ. Clearly, ρ = ker φ. By Remark 3.4(1), A/ker φI m (f). Also, by Theorem 5.1, I m(f) = I m (φ). Therefore, A/ker φI m (φ).

Remark 5.3

Note that if (A, ≤A) and (B, ≤B) are both S-posets, then Corollary 5.2 coincides with Corollary 13 in [32].

Let (A, ≤A) be a hyper S-poset over an ordered semihypergroup (S, ○, ≤), ρ and \theta pseudoorders on A and ρ ⊆ θ. We define a relation on the hyper S-poset (A/ρ_,_ρ) denoted by θ/ρ as follows:

θ/ρ:={((a)ρ_,(b)ρ_)A/ρ_×A/ρ_|(a,b)θ},

where _ρ:={((a)ρ_,(b)ρ_)|(a,b)ρ},ρ_=ρρ1. By Corollary 3.10, θ/ρ is a pseudoorder on (A/ρ_,_ρ).

Theorem 5.4

Let (A, ≤A) be a hyper S-poset over an ordered semihypergroup (A, ○, ≤), ρ and θ pseudoorders on A and ρ ⊆ θ. Then (A/ρ_)/θ/ρ_A/θ_.

Proof

Since θ/ρ is a pseudoorder on A/ρ_, we have the mapping φ:A/ρ_A/θ_|(a)ρ_(a)θ_ is a strong homomorphism. In fact:

  1. φ is well-defined. Indeed, let (a)ρ_=(b)ρ_.Then(a,b)ρ_. Thus, by the definition of ρ_,(a,b)ρθand(b,a)ρθ. This implies that (a,b)_θ,and thus(a)θ_=(b)θ_.

  2. φ is a strong homomorphism. In fact, let (a)ρ_A/ρ_andsS. Then, since ρ_,θ_SC(A),for anyxas, we have

    (a)ρ_ρs=(x)ρ_,(a)θ_θs=(x)θ_,

    where “ ⊗ ρ” and “ ⊗θ ” are the S-hyperaction on A/ρ_andA/θ_, respectively. Thus

    φ((a)ρ_)θs=(a)θ_θs=(x)θ_=φ((x)ρ_).

    Also, if (a)ρ__ρ(b)ρ_,then(a,b)ρθ. It implies that (a)θ__θ_(b)θ_, and thus φ is isotone.

    On the other hand, it is easy to see that φ is onto, since

    Im(φ)={φ((a)ρ_)|aA}={(a)θ_|aA}=A/θ_.

    It thus follows from Corollary 5.2 that A/ρ_/KerφIm(φ)=A/θ_.

    Furthermore, let kerφ:={((a)ρ_,(b)ρ_)|φ((a)ρ_)_θφ((b)ρ_)}. Then

    ((a)ρ_,(b)ρ_)kerφ(a)θ__θ_(b)θ_(a,b)θ((a)ρ_,(b)ρ_)θ/ρ.

    Therefore, Kerφ=kerφ(kerφ)1=(θ/ρ)(θ/ρ)1=θ/ρ_. We have thus shown that (A/ρ_)/θ/ρ_A/θ_.

Definition 5.5

Let (A, ≤A) and (B, ≤B) be two hyper S-posets over an ordered semihypergroup (S, ○, ≤), ρ, θ be two pseudoorders on A and B, respectively, and the mapping f : AB a homomorphism. Then, f is called a (ρ, θ)-homomorphism if (x, y) ∊ ρ implies (f(x), f(y)) ∊ θ, for all x, yA.

Lemma 5.6

Let (A, ≤A) and (B, ≤B) be two hyper S-posets over an ordered semihypergroup (S, ○, ≤), ρ, θ be two pseudoorders on A and B, respectively, and the mapping f : AB a (ρ, θ)-homomorphism. Then, the mapping f¯:(A/ρ_,_ρ)(B/θ_,_θ) defined by

(xA)f¯((x)ρ_):=(f(x))θ_

is a strong homomorphism of hyper S-posets, where the ordersρ, ⪯ θ on A/ρ_andB/θ_, respectively, are both defined as in the proof of Lemma 4.4.

Proof

Let f : AB be a(ρ, θ)-homomorphism and f¯:A/ρ_B/θ_|(x)ρ_(f(x))θ_. Then

  1. f¯ is well defined. In fact, let (x)ρ_,(y)ρ_A/ρ_ be such that (x)ρ_=(y)ρ_.Then(x,y)ρ_ρ. Since f is a(ρ, θ)-homomorphism, we have (f(x), f(y)) ∊ θ. It implies that ((f(x))θ_,(f(y))θ_)_θ. Similarly, since (y,x)ρ_,we have((f(y))θ_,(f(x))θ_)_θ. Therefore, ((f(x))θ_=(f(y))θ_,i.e.,f¯((x)ρ_)=f¯((y)ρ_).

  2. f¯ is a strong homomorphism. Indeed, let (x)ρ_A/ρ_ and sS. Since f is a homomorphism, for any axs, we have f(a)∊ f(x)⋄s, where “⋄” is the S-hyperaction on B. ByTheorem 3.7, ρ_SC(A),θ_SC(B).

Thus, by Theorem 2.5 we have

f¯((x)ρ_)θs=(f(x))θ_θs=(f(a))θ_=f¯((a)ρ_).

Also, since f is a(ρ, θ)-homomorphism, we have

(x)ρ__ρ(y)ρ_(x,y)ρ(f(x),f(y))θ

(f(x))θ__θ(f(y))θ_f¯((x)ρ_)_θf¯((y)ρ_).

Hence f¯ is isotone. Therefore, f¯ is a strong homomorphism.

Lemma 5.7

Let (A, ≤A) and (B, ≤B) be two hyper S-posets over an ordered semihypergroup (S, o, ≤), ρ, θ be two pseudoorders on A and B, respectively, and the mapping f : AB a(ρ, θ)-homomorphism. We define a relation on the hyper S-poset (A/ρ_,_ρ) denoted by ρf as follows:

ρf:={((x)ρ_,(y)ρ_)A/ρ_×A/ρ_|(f(x))_(f(y))θ_}.

Thenρ f is a pseudoorder on A/ρ_.

Proof

Assume that ((x)ρ_,(y)ρ_)_ρ. By Lemma 5.6, f¯ is a strong homomorphism. Then f¯((x)ρ_)_θf¯((y)ρ_), i.e., (f(x))θ__θ(f(y))θ_. It implies that ((x)ρ_,(y)ρ_)ρf, and thus ⪯ρρf. Now, let ((x)ρ_,(y)ρ_)ρf and ((y)ρ_,(z)ρ_)ρf. Then (f(x))θ__θ(f(y))θ_and(f(y))θ__θ(f(z))θ_. Thus, by the transitivity of ⪯θ, (f(x))θ__θ(f(z))θ_. This implies that ((x)ρ_,(z)ρ_)ρf. Moreover, let ((x)ρ_,(y)ρ_)ρfandsS. Then (f(x))θ__θ(f(y))θ_.Since(B/θ_,_θ) is a hyper S-poset over S, it can be obtained that (f(x))θ_θs_θ(f(y))θ_θs, that is, f¯((x)ρ_)θs_θf¯((y)ρ_)θs. Then, since f¯ is a strong homomorphism, for every axs and for every bys, we have f¯((a)ρ_)_θf¯((b)ρ_), which means that (f(a))θ__θ(f(b))θ_. Hence ((a)ρ_,(b)ρ_)ρf. It thus implies that (x)ρ_ρsρ¯¯f(y)ρ_ρs. Therefore, ρf is a pseudoorder on A/ρ_.

By Lemmas 5.6 and 5.7, we immediately obtain the following two corollaries.

Corollary 5.8

Kerf¯=ρf_.

Corollary 5.9

Let (A, ≤A), (B, ≤B) be two hyper S-posets over an ordered semihypergroup (S, o, ≤), ρ, θ be two pseudoorders on A and B, respectively, and the mapping f : AB a(ρ, θ)-homomorphism. Then, the following diagram

commutates.

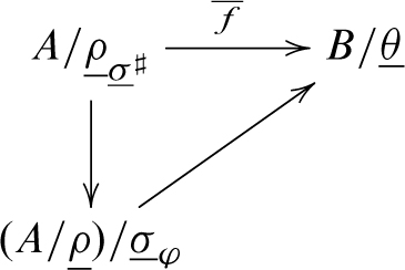
Theorem 5.10

Let (A, ≤A), (B, ≤B) be two hyper S-posets over an ordered semihypergroup (S, o, ≤), ρ, θ be two pseudoorders on A and B, respectively, and the mapping f : AB a (ρ, θ)-homomorphism. If σ is a pseudoorder on A/ρ_ such that σρf, then there exists the unique strong homomorphism φ:(A/ρ_)/σ_B/θ_|((a)ρ_)σ_f_((a)ρ_) such that the diagram

commutes.

Conversely, if σ is a pseudoorder on A/ρ_ for which there exists a strong homomorphism φ:(A/ρ_)/σ_B/θ_ such that the above diagram commutes, then σρf.

Proof

The proof is straightforward by Lemmas 5.6, 5.7 and Theorem 5.1, and we omit the details.

Acknowledgement

This research was partially supported by the National Natural Science Foundation of China (No. 11271040, 11361027), the University Natural Science Project of Anhui Province (No.KJ2015A161), the Key Project of Department of Education of Guangdong Province (No.2014KZDXM055) and the Natural Science Foundation of Guangdong Province (No.2014A030313625).

References

[1] Anvariyeh, S. M., Mirvakili, S., Kazanci, O., Davvaz, B., Algebraic hyperstructures of soft sets associated to semihypergroups, Southeast Asian Bull. Math., 2011, 35, 911-925Search in Google Scholar

[2] Bulman-Fleming, S., Flatness properties of S-posets: an overview, Tartu conference on monoids, acts and categories, with applications to graphs. Math. Proc. Estonian Math. Soc., 2008, 3, 28-40Search in Google Scholar

[3] Bulman-Fleming, S., Gutermuth, D., Gilmour, A., Kilp, M., FIatness properties of S-posets, Comm. Algebra, 2006, 34, 1291-131710.1080/00927870500454547Search in Google Scholar

[4] Changphas, T., Davvaz, B., Properties of hyperideals in ordered semihypergroups, ltal. J. Pure Appl. Math., 2014, 33, 425-432Search in Google Scholar

[5] Chaopraknoi, S., Triphop, N., Regularity of semihypergroups of infinite matrices, Thai J. Math., 2006, 4, 7-11Search in Google Scholar

[6] Corsini, P., Prolegomena of Hypergroup Theory (Aviani Editore Publisher, ltaly, 1993)Search in Google Scholar

[7] Corsini, P., Leoreanu, y., Applications of Hyperstructure Theory, Advances in Mathematics (Kluwer Academic Publishers, Dordrecht, 2003)10.1007/978-1-4757-3714-1Search in Google Scholar

[8] Davvaz, B., Some results on congruences on semihypergroups, Bull. Malays. Math. Sci. Soc., 2000, 23, 53-58Search in Google Scholar

[9] Davvaz, B., Corsini, P., Changphas, T., Relationship between ordered semihypergroups and ordered semigroups by using pseuoorders, European J. Combinatorics, 2015, 44, 208-21710.1016/j.ejc.2014.08.006Search in Google Scholar

[10] Davvaz, B., Poursalavati, N. S., Semihypergroups and S-hypersystems, Pure Math. Appl., 2000, 11, 43-49Search in Google Scholar

[11] Fasino, D., Freni, D., Existence of proper semihypergroups of type U on the right, Discrete Math., 2007, 307, 2826-283610.1016/j.disc.2007.03.001Search in Google Scholar

[12] Gu, Z., Tang, X. L., Ordered regular equivalence relations on ordered semihypergroups, J. Algebra, 2016, 450, 384-39710.1016/j.jalgebra.2015.11.026Search in Google Scholar

[13] Heidari, D., Davvaz, B., On ordered hyperstructures, University Politehnica of Bucharest Scientific Bulletin, Series A, 2011, 73(2), 85-96Search in Google Scholar

[14] Hila, K., Davvaz, B., Naka, K., On quasi-hyperideals in semihypergroups, Comm. Algebra, 2011, 39(11), 4183-419410.1080/00927872.2010.521932Search in Google Scholar

[15] Howie, J. M., Fundamentals of Semigroup Theory (Oxford Science Publications, Oxford, 1995)Search in Google Scholar

[16] Kehayopulu, N., Tsingelis, M., On subdirectly irreducible ordered semigroups, Semigroup Forum, 1995, 50(2), 161-17710.1007/BF02573514Search in Google Scholar

[17] Kehayopulu, N., Tsingelis, M., Pseudoorder in ordered semigroups, Semigroup Forum, 1995, 50(3), 389-39210.1007/BF02573534Search in Google Scholar

[18] Kilp, M., Knauer, U., Mikhalev, A. V., Monoids, Acts and Categories, with Applications to Wreath Products and Graphs (Walter de Gruyter, Berlin, 2000)10.1515/9783110812909Search in Google Scholar

[19] Laan, y., Generators in the category of S-posets, Cent. Eur. J. Math., 2008, 6, 357-36310.2478/s11533-008-0028-6Search in Google Scholar

[20] Leoreanu, y., About the simplifiable cyclic semihypergroups, ltal. J. Pure Appl. Math., 2000, 7, 69-76Search in Google Scholar

[21] Liang, X. L., Luo, y. F., On Condition (PWP)w for S-posets, Turkish J. Math., 2015, 39, 795-80910.3906/mat-1410-26Search in Google Scholar

[22] Liu, Z. K., Theory of S-acts over Semigroups (Science Press, Beijing, 1998)Search in Google Scholar

[23] Marty, F., Sur une generalization de la notion de groupe, Proc. 8th Congress Mathematiciens Scandenaves, Stockholm, 1934, 45-49Search in Google Scholar

[24] Naz, S., Shabir, M., On prime soft bi-hyperideals of semihypergroups, J. lntell. Fuzzy Systems, 2014, 26(3), 1539-154610.3233/IFS-130837Search in Google Scholar

[25] Salvo, M. D., Freni, D., Faro, G. L., Fully simple semihypergroups, J. Algebra, 2014, 399, 358-37710.1016/j.jalgebra.2013.09.046Search in Google Scholar

[26] Shi, X. P., Strongly flat and po-flat S-posets, Comm. Algebra, 2005, 33, 4515-453110.1080/00927870500274853Search in Google Scholar

[27] Shi, X. P., Liu, Z. K., Wang, F., Bulman-Fleming, S., lndecomposable, projective and flat S-posets, Comm. Algebra, 2005, 33, 235-25110.1081/AGB-200040992Search in Google Scholar

[28] Tang, J., Davvaz, B., Luo, y. F., Hyperfilters and fuzzy hyperfilters of ordered semihypergroups, J. lntell. Fuzzy Systems, 2015, 29(1), 75-8410.3233/IFS-151571Search in Google Scholar

[29] Vougiouklis, T., Hyperstructures and Their Representations (Hadronic Press, FIorida, 1994)Search in Google Scholar

[30] Xie, X. y., An lntroduction to Ordered Semigroup Theory (Science Press, Beijing, 2001)Search in Google Scholar

[31] Xie, X. y., On regular, strongly regular congruences on ordered semigroups, Semigroup Forum, 2000, 61 (2), 159-17810.1007/PL00006018Search in Google Scholar

[32] Xie, X. y., Shi, X. P., Order-congruences on S-posets, Commun. Korean Math. Soc., 2005, 20, 1-1410.4134/CKMS.2005.20.1.001Search in Google Scholar

[33] Zhang, X., Laan, y., On homological classification of pomonoids by regular weak injectivity properties of S-posets, Cent. Eur. J. Math., 2007, 5, 181-20010.2478/s11533-006-0036-3Search in Google Scholar

Received: 2016-4-27
Accepted: 2016-11-22
Published Online: 2017-2-16

© 2017 Tang et al.

This work is licensed under the Creative Commons Attribution-NonCommercial-NoDerivatives 3.0 License.

Articles in the same Issue

  1. Regular Articles
  2. Integrals of Frullani type and the method of brackets
  3. Regular Articles
  4. Edge of chaos in reaction diffusion CNN model
  5. Regular Articles
  6. Calculus using proximities: a mathematical approach in which students can actually prove theorems
  7. Regular Articles
  8. An investigation on hyper S-posets over ordered semihypergroups
  9. Regular Articles
  10. The Leibniz algebras whose subalgebras are ideals
  11. Regular Articles
  12. Fixed point and multidimensional fixed point theorems with applications to nonlinear matrix equations in terms of weak altering distance functions
  13. Regular Articles
  14. Matrix rank and inertia formulas in the analysis of general linear models
  15. Regular Articles
  16. The hybrid power mean of quartic Gauss sums and Kloosterman sums
  17. Regular Articles
  18. Tauberian theorems for statistically (C,1,1) summable double sequences of fuzzy numbers
  19. Regular Articles
  20. Some properties of graded comultiplication modules
  21. Regular Articles
  22. The characterizations of upper approximation operators based on special coverings
  23. Regular Articles
  24. Bi-integrable and tri-integrable couplings of a soliton hierarchy associated with SO(4)
  25. Regular Articles
  26. Dynamics for a discrete competition and cooperation model of two enterprises with multiple delays and feedback controls
  27. Regular Articles
  28. A new view of relationship between atomic posets and complete (algebraic) lattices
  29. Regular Articles
  30. A class of extensions of Restricted (s, t)-Wythoff’s game
  31. Regular Articles
  32. New bounds for the minimum eigenvalue of 𝓜-tensors
  33. Regular Articles
  34. Shintani and Shimura lifts of cusp forms on certain arithmetic groups and their applications
  35. Regular Articles
  36. Empirical likelihood for quantile regression models with response data missing at random
  37. Regular Articles
  38. Convex combination of analytic functions
  39. Regular Articles
  40. On the Yang-Baxter-like matrix equation for rank-two matrices
  41. Regular Articles
  42. Uniform topology on EQ-algebras
  43. Regular Articles
  44. Integrations on rings
  45. Regular Articles
  46. The quasilinear parabolic kirchhoff equation
  47. Regular Articles
  48. Avoiding rainbow 2-connected subgraphs
  49. Regular Articles
  50. On non-Hopfian groups of fractions
  51. Regular Articles
  52. Singularly perturbed hyperbolic problems on metric graphs: asymptotics of solutions
  53. Regular Articles
  54. Rings in which elements are the sum of a nilpotent and a root of a fixed polynomial that commute
  55. Regular Articles
  56. Superstability of functional equations related to spherical functions
  57. Regular Articles
  58. Evaluation of the convolution sum involving the sum of divisors function for 22, 44 and 52
  59. Regular Articles
  60. Weighted minimal translation surfaces in the Galilean space with density
  61. Regular Articles
  62. Complete convergence for weighted sums of pairwise independent random variables
  63. Regular Articles
  64. Binomials transformation formulae for scaled Fibonacci numbers
  65. Regular Articles
  66. Growth functions for some uniformly amenable groups
  67. Regular Articles
  68. Hopf bifurcations in a three-species food chain system with multiple delays
  69. Regular Articles
  70. Oscillation and nonoscillation of half-linear Euler type differential equations with different periodic coefficients
  71. Regular Articles
  72. Osculating curves in 4-dimensional semi-Euclidean space with index 2
  73. Regular Articles
  74. Some new facts about group 𝒢 generated by the family of convergent permutations
  75. Regular Articles
  76. lnfinitely many solutions for fractional Schrödinger equations with perturbation via variational methods
  77. Regular Articles
  78. Supersolvable orders and inductively free arrangements
  79. Regular Articles
  80. Asymptotically almost automorphic solutions of differential equations with piecewise constant argument
  81. Regular Articles
  82. Finite groups whose all second maximal subgroups are cyclic
  83. Regular Articles
  84. Semilinear systems with a multi-valued nonlinear term
  85. Regular Articles
  86. Positive solutions for Hadamard differential systems with fractional integral conditions on an unbounded domain
  87. Regular Articles
  88. Calibration and simulation of Heston model
  89. Regular Articles
  90. One kind sixth power mean of the three-term exponential sums
  91. Regular Articles
  92. Cyclic pairs and common best proximity points in uniformly convex Banach spaces
  93. Regular Articles
  94. The uniqueness of meromorphic functions in k-punctured complex plane
  95. Regular Articles
  96. Normalizers of intermediate congruence subgroups of the Hecke subgroups
  97. Regular Articles
  98. The hyperbolicity constant of infinite circulant graphs
  99. Regular Articles
  100. Scott convergence and fuzzy Scott topology on L-posets
  101. Regular Articles
  102. One sided strong laws for random variables with infinite mean
  103. Regular Articles
  104. The join of split graphs whose completely regular endomorphisms form a monoid
  105. Regular Articles
  106. A new branch and bound algorithm for minimax ratios problems
  107. Regular Articles
  108. Upper bound estimate of incomplete Cochrane sum
  109. Regular Articles
  110. Value distributions of solutions to complex linear differential equations in angular domains
  111. Regular Articles
  112. The nonlinear diffusion equation of the ideal barotropic gas through a porous medium
  113. Regular Articles
  114. The Sheffer stroke operation reducts of basic algebras
  115. Regular Articles
  116. Extensions and improvements of Sherman’s and related inequalities for n-convex functions
  117. Regular Articles
  118. Classification lattices are geometric for complete atomistic lattices
  119. Regular Articles
  120. Possible numbers of x’s in an {x, y}-matrix with a given rank
  121. Regular Articles
  122. New error bounds for linear complementarity problems of weakly chained diagonally dominant B-matrices
  123. Regular Articles
  124. Boundedness of vector-valued B-singular integral operators in Lebesgue spaces
  125. Regular Articles
  126. On the Golomb’s conjecture and Lehmer’s numbers
  127. Regular Articles
  128. Some applications of the Archimedean copulas in the proof of the almost sure central limit theorem for ordinary maxima
  129. Regular Articles
  130. Dual-stage adaptive finite-time modified function projective multi-lag combined synchronization for multiple uncertain chaotic systems
  131. Regular Articles
  132. Corrigendum to: Dual-stage adaptive finite-time modified function projective multi-lag combined synchronization for multiple uncertain chaotic systems
  133. Regular Articles
  134. Convergence and stability of generalized φ-weak contraction mapping in CAT(0) spaces
  135. Regular Articles
  136. Triple solutions for a Dirichlet boundary value problem involving a perturbed discrete p(k)-Laplacian operator
  137. Regular Articles
  138. OD-characterization of alternating groups Ap+d
  139. Regular Articles
  140. On Jordan mappings of inverse semirings
  141. Regular Articles
  142. On generalized Ehresmann semigroups
  143. Regular Articles
  144. On topological properties of spaces obtained by the double band matrix
  145. Regular Articles
  146. Representing derivatives of Chebyshev polynomials by Chebyshev polynomials and related questions
  147. Regular Articles
  148. Chain conditions on composite Hurwitz series rings
  149. Regular Articles
  150. Coloring subgraphs with restricted amounts of hues
  151. Regular Articles
  152. An extension of the method of brackets. Part 1
  153. Regular Articles
  154. Branch-delete-bound algorithm for globally solving quadratically constrained quadratic programs
  155. Regular Articles
  156. Strong edge geodetic problem in networks
  157. Regular Articles
  158. Ricci solitons on almost Kenmotsu 3-manifolds
  159. Regular Articles
  160. Uniqueness of meromorphic functions sharing two finite sets
  161. Regular Articles
  162. On the fourth-order linear recurrence formula related to classical Gauss sums
  163. Regular Articles
  164. Dynamical behavior for a stochastic two-species competitive model
  165. Regular Articles
  166. Two new eigenvalue localization sets for tensors and theirs applications
  167. Regular Articles
  168. κ-strong sequences and the existence of generalized independent families
  169. Regular Articles
  170. Commutators of Littlewood-Paley gκ -functions on non-homogeneous metric measure spaces
  171. Regular Articles
  172. On decompositions of estimators under a general linear model with partial parameter restrictions
  173. Regular Articles
  174. Groups and monoids of Pythagorean triples connected to conics
  175. Regular Articles
  176. Hom-Lie superalgebra structures on exceptional simple Lie superalgebras of vector fields
  177. Regular Articles
  178. Numerical methods for the multiplicative partial differential equations
  179. Regular Articles
  180. Solvable Leibniz algebras with NFn Fm1 nilradical
  181. Regular Articles
  182. Evaluation of the convolution sums ∑al+bm=n lσ(l) σ(m) with ab ≤ 9
  183. Regular Articles
  184. A study on soft rough semigroups and corresponding decision making applications
  185. Regular Articles
  186. Some new inequalities of Hermite-Hadamard type for s-convex functions with applications
  187. Regular Articles
  188. Deficiency of forests
  189. Regular Articles
  190. Perfect codes in power graphs of finite groups
  191. Regular Articles
  192. A new compact finite difference quasilinearization method for nonlinear evolution partial differential equations
  193. Regular Articles
  194. Does any convex quadrilateral have circumscribed ellipses?
  195. Regular Articles
  196. The dynamic of a Lie group endomorphism
  197. Regular Articles
  198. On pairs of equations in unlike powers of primes and powers of 2
  199. Regular Articles
  200. Differential subordination and convexity criteria of integral operators
  201. Regular Articles
  202. Quantitative relations between short intervals and exceptional sets of cubic Waring-Goldbach problem
  203. Regular Articles
  204. On θ-commutators and the corresponding non-commuting graphs
  205. Regular Articles
  206. Quasi-maximum likelihood estimator of Laplace (1, 1) for GARCH models
  207. Regular Articles
  208. Multiple and sign-changing solutions for discrete Robin boundary value problem with parameter dependence
  209. Regular Articles
  210. Fundamental relation on m-idempotent hyperrings
  211. Regular Articles
  212. A novel recursive method to reconstruct multivariate functions on the unit cube
  213. Regular Articles
  214. Nabla inequalities and permanence for a logistic integrodifferential equation on time scales
  215. Regular Articles
  216. Enumeration of spanning trees in the sequence of Dürer graphs
  217. Regular Articles
  218. Quotient of information matrices in comparison of linear experiments for quadratic estimation
  219. Regular Articles
  220. Fourier series of functions involving higher-order ordered Bell polynomials
  221. Regular Articles
  222. Simple modules over Auslander regular rings
  223. Regular Articles
  224. Weighted multilinear p-adic Hardy operators and commutators
  225. Regular Articles
  226. Guaranteed cost finite-time control of positive switched nonlinear systems with D-perturbation
  227. Regular Articles
  228. A modified quasi-boundary value method for an abstract ill-posed biparabolic problem
  229. Regular Articles
  230. Extended Riemann-Liouville type fractional derivative operator with applications
  231. Topical Issue on Topological and Algebraic Genericity in Infinite Dimensional Spaces
  232. The algebraic size of the family of injective operators
  233. Topical Issue on Topological and Algebraic Genericity in Infinite Dimensional Spaces
  234. The history of a general criterium on spaceability
  235. Topical Issue on Topological and Algebraic Genericity in Infinite Dimensional Spaces
  236. On sequences not enjoying Schur’s property
  237. Topical Issue on Topological and Algebraic Genericity in Infinite Dimensional Spaces
  238. A hierarchy in the family of real surjective functions
  239. Topical Issue on Topological and Algebraic Genericity in Infinite Dimensional Spaces
  240. Dynamics of multivalued linear operators
  241. Topical Issue on Topological and Algebraic Genericity in Infinite Dimensional Spaces
  242. Linear dynamics of semigroups generated by differential operators
  243. Special Issue on Recent Developments in Differential Equations
  244. Isomorphism theorems for some parabolic initial-boundary value problems in Hörmander spaces
  245. Special Issue on Recent Developments in Differential Equations
  246. Determination of a diffusion coefficient in a quasilinear parabolic equation
  247. Special Issue on Recent Developments in Differential Equations
  248. Homogeneous two-point problem for PDE of the second order in time variable and infinite order in spatial variables
  249. Special Issue on Recent Developments in Differential Equations
  250. A nonlinear plate control without linearization
  251. Special Issue on Recent Developments in Differential Equations
  252. Reduction of a Schwartz-type boundary value problem for biharmonic monogenic functions to Fredholm integral equations
  253. Special Issue on Recent Developments in Differential Equations
  254. Inverse problem for a physiologically structured population model with variable-effort harvesting
  255. Special Issue on Recent Developments in Differential Equations
  256. Existence of solutions for delay evolution equations with nonlocal conditions
  257. Special Issue on Recent Developments in Differential Equations
  258. Comments on behaviour of solutions of elliptic quasi-linear problems in a neighbourhood of boundary singularities
  259. Special Issue on Recent Developments in Differential Equations
  260. Coupled fixed point theorems in complete metric spaces endowed with a directed graph and application
  261. Special Issue on Recent Developments in Differential Equations
  262. Existence of entropy solutions for nonlinear elliptic degenerate anisotropic equations
  263. Special Issue on Recent Developments in Differential Equations
  264. Integro-differential systems with variable exponents of nonlinearity
  265. Special Issue on Recent Developments in Differential Equations
  266. Elliptic operators on refined Sobolev scales on vector bundles
  267. Special Issue on Recent Developments in Differential Equations
  268. Multiplicity solutions of a class fractional Schrödinger equations
  269. Special Issue on Recent Developments in Differential Equations
  270. Determining of right-hand side of higher order ultraparabolic equation
  271. Special Issue on Recent Developments in Differential Equations
  272. Asymptotic approximation for the solution to a semi-linear elliptic problem in a thin aneurysm-type domain
  273. Topical Issue on Metaheuristics - Methods and Applications
  274. Learnheuristics: hybridizing metaheuristics with machine learning for optimization with dynamic inputs
  275. Topical Issue on Metaheuristics - Methods and Applications
  276. Nature–inspired metaheuristic algorithms to find near–OGR sequences for WDM channel allocation and their performance comparison
  277. Topical Issue on Cyber-security Mathematics
  278. Monomial codes seen as invariant subspaces
  279. Topical Issue on Cyber-security Mathematics
  280. Expert knowledge and data analysis for detecting advanced persistent threats
  281. Topical Issue on Cyber-security Mathematics
  282. Feedback equivalence of convolutional codes over finite rings
Downloaded on 30.10.2025 from https://www.degruyterbrill.com/document/doi/10.1515/math-2017-0004/html
Scroll to top button