Home Fixed point and multidimensional fixed point theorems with applications to nonlinear matrix equations in terms of weak altering distance functions
Article Open Access

Fixed point and multidimensional fixed point theorems with applications to nonlinear matrix equations in terms of weak altering distance functions

  • Kanokwan Sawangsup EMAIL logo and Wutiphol Sintunavarat
Published/Copyright: February 26, 2017

Abstract

The aim of this work is to introduce the notion of weak altering distance functions and prove new fixed point theorems in metric spaces endowed with a transitive binary relation by using weak altering distance functions. We give some examples which support our main results where previous results in literature are not applicable. Then the main results of the paper are applied to the multidimensional fixed point results. As an application, we apply our main results to study a nonlinear matrix equation. Finally, as numerical experiments, we approximate the definite solution of a nonlinear matrix equation using MATLAB.

MSC 2010: 47H10; 54H25

1 Introduction

The classical Banach contraction principle is one of the essential results of analysis. In the recent years, many authors extended fixed point results for weak contractions and generalized contractions, which are generalizations of Banach contraction mapping principle to partially ordered metric spaces (see [1-15]). Some of the above results involve altering distance functions presented by Khan et al. in [16].

Now, we recall the definition of an altering distance function.

Definition 1.1

([16]). A function ψ : [0, ∞) → [0, ∞) is said to be an altering distance function if it satisfies the following conditions:

  1. ψ is continuous and nondecreasing;

  2. ψ(t)= 0 if and only if t = 0.

Example 1.2

Define ψ1, ψ2, ψ3, ψ4:[0, ∞) → [0, ∞) by ψ1(t) = t, ψ2(t) = t2, ψ3(t) = tet, ψ4(t) = ln(l+t) for all t ≥ 0. We see that ψ1, ψ2, ψ3, and ψ4 are altering distance functions because ψ1, ψ2, ψ3, and ψ4 are continuous and nondecreasing.

Moreover, ψi (t) = 0 if and only if t = 0 for all i = 1,2,3, 4. (The graphs of functions ψ1, ψ2, ψ3, and ψ4 show in Figure 1).

Fig. 1 Graphs ψ1, ψ2, ψ3, ψ4 in Example 1.2.
Fig. 1

Graphs ψ1, ψ2, ψ3, ψ4 in Example 1.2.

In 2012, Yan et al. [17] discussed some results on existence and uniqueness of a fixed point in partially ordered metric spaces by using the concept of an altering distance function as follows.

Theorem 1.3

([17]). Let (X, ⪯) be a partially ordered set and suppose that there exists a metric d in X such that (X, d) is a complete metric space. Suppose that Τ : XX is a continuous and nondecreasing mapping such that

ψ d T x , T y ϕ d x , y , x , y X w i t h x _ y ,

where ψ is an altering distance function and φ : [0, ∞) → [0, ∞) is a continuous function with the condition: ψ(t) > φ(t) for all t > 0. If there exists x0X such that x0Tx0, then Τ has a fixed point.

On the other hand, the notion of a coupled fixed point was firstly investigated by Guo and Lakshmikantham in [18]. In 2006, Bhaskar and Lakshmikantham [19] were the first to introduce the notion of mixed monotone property in partially ordered metric spaces. They also established the classical coupled fixed point theorems for mappings by using this property under contractive type conditions. Due to the important role of such results for the investigation of solutions of nonlinear differential and integral equations, several authors have studied various generalizations of these results. In this continuation, several authors introduced concepts of a tripled fixed point, quadruple fixed point and multidimensional fixed point. They also proved new results on the existence and uniqueness of multidimensional fixed points that were presented in partially ordered metric spaces and another spaces. For instance, Rus [20] obtained the existence and uniqueness results for a multidimensional fixed point of nonlinear mappings satisfying the contractive condition with a control function in the following class:

Φ := φ : 0 , 0 , : φ is nonincrasing such that φ n t as n for all t 0 , ,

together with an approximating iterative scheme, in the setting of partially ordered metric spaces.

In 2015, Soleimani Rad et al. [21] compared relation between multidimensional fixed point results and fixed point theorems concerning various contractive conditions which are depended on contractive constants in abstract metric spaces and metric-like spaces. Also, they claimed that these results are true for another spaces with several contractive conditions. Recently, Su et al. [22] have discussed the existence and uniqueness results for multidimensional fixed point of contraction mappings involving some control functions in complete metric spaces.

In this paper, we present a new concept of weak altering distance function and establish fixed point theorems for generalized contraction mappings in complete metric spaces endowed with a transitive relation by using the idea of a weak altering distance function. Also, we provide an example that supports our main result where previous results in literature are not applicable. Our results generalize and improve the main result of Yan et al. [17] and several well-known results given by some authors in partially metric spaces. Moreover, we present a new extension of multidimensional fixed point theorems in metric spaces endowed with a transitive relation. Furthermore, we apply our results to prove the existence and uniqueness of a solution of nonlinear matrix equations. Finally, we use some numerical examples to show the iterative method is feasible to confirm the existence and uniqueness of positive definite solution of a nonlinear matrix equation.

2 Preliminaries

We start our consideration by giving a brief review of the definitions and basic properties in this work. Henceforth, Χ, ℕ and ℕ0 denote a nonempty set, the set of positive integers and nonnegative integers, respectively, and Ν denotes a positive integer. Throughout this paper, unless otherwise specified, ℜ denotes a binary relation on X and ℜN denotes a binary relation on the N-fold Cartesian product XN which is defined by

( ( x 1 , x 2 , x N ) , ( y 1 , y 2 , y N ) ) R N ( x 1 , y 1 ) R , ( x 2 , y 2 ) R , ( x N , y N ) R .

Definition 2.1

([23]). Let X be a nonempty set and Τ : XNX be a given mapping. An element (x1, x2, . . ., xn)∈ XN is said to be a fixed point of Ν-order of the mapping Τ if

T ( x 1 , x 2 , , x N ) = x 1 , T ( x 2 , x 3 , , x N , x 1 ) = x 2 , T ( x N , x 1 , , x N 1 ) = x N .

Definition 2.2

([24]). Let X be a nonempty set. A subsetof X2 is called a binary relation on X. Notice that for each pair x, yX, one of the following conditions holds:

  1. (x, y)∈ ℜ, which amounts to saying thatx is-related to yorx relates to y under ℜ.” Sometimes, we write xy instead of (x, y)∈ ℜ;

  2. (x, y)∈ℜ which means that “x is not-related to y” or “x does not relate to y under ℜ.”

Definition 2.3

A binary relationdefined on a nonempty set X is called transitive if (x, y)∈ ℜ and (y, z)∈ ℜ implies (x, z) ∈ ℜ.

Definition 2.4

([25]). Letbe a binary relation defined on a nonempty set X and x, yX. We say that x and y are-comparative if either (x, y)∈ ℜ or (y, x) ∈ ℜ. We denote it by [x, y]∈ ℜ.

Definition 2.5

([25]). Let X be a nonempty set and Τ be a self-mapping on X. A binary relationdefined on X is called Τ-closed if for any x, yX, (x, y)∈ ℜ ⇒ (Tx, Ty)∈ ℜ.

Definition 2.6

([25]). Let X be a nonempty set andbe a binary relation on X. A sequence {xn}⊂ X is called-preserving if

( x n , x n + 1 ) R n N .

Definition 2.7

([25]). Let (X, d) be a metric space. A binary relationdefined on X is called d-self-closed if whenever {xn} is an-preserving sequence and

x n d x a s n ,

then there exists a subsequence {xnk} of {xn} with [ x n k , x ] ∈ ℜ for all k ∈ ℕ.

Definition 2.8

([26]). Let X be a nonempty set anda binary relation on X. A subset E of X is called-directed if for each x, yE, there exists zX such that (x, z) ∈ ℜ and (y, z)∈ ℜ.

In this paper, we use the following notations for a binary relation ℜ on a nonempty set X:

X ( T ; R ) := { x X : ( x , T x ) R } ,

where Τ : XX is a given mapping.

3 Main results

We first give the definition of a weak altering distance function as follows:

Definition 3.1

A function ψ : [0, ∞) → [0, ∞) is said to be a weak altering distance function if it satisfies the following conditions:

  1. ψ is lower semicontinuous and nondecreasing;

  2. ψ(t) = 0 if and only if t = 0.

Every continuous function is lower semicontinuous and so the class of weak altering distance functions is larger than the class of altering distance functions. In general, a weak altering distance function need not necessarily be an altering distance function. Next, we give some examples of the weak altering distance functions which show that the weak altering distance functions are real generalization of altering distance functions.

Example 3.2

Define ψ1, ψ2, ψ3: [0, ∞) → [0, ∞) by

ψ 1 ( t ) = ln ( 1 + t ) i f t 1 t i f t > 1 , ψ 2 ( t ) = t 2 i f t 1 e t 1 i f t > 1 , ψ 3 ( t ) = t 2 2 i f t 1 t 2 i f t > 1

We see that ψ1, ψ2 and ψ3 are weak altering distance functions because ψ1, ψ2 and ψ3 are lower semicontinuous and nondecreasing. Moreover, ψi(t) = 0 if and only if t = 0 for all i = 1,2,3. (The graphs of functions ψ1, ψ2 and ψ3 show in Figure 2).

Fig. 2 Graphs of ψ1, ψ2, ψ3in Example 3.2.
Fig. 2

Graphs of ψ1, ψ2, ψ3in Example 3.2.

Now we give an useful proposition concerning a contractive condition given for comparable elements with respect to a binary relation.

Proposition 3.3

If (X, d) is a metric space, ℜ is a binary relation on Χ, Τ is a self-mapping on Χ, ψ is a weak altering distance function and φ : [0, ∞) → [0, ∞) is a right upper semicontinuous function, then the following contractivity conditions are equivalent:

  1. ψ(d(Tx, Ty)) ≤ φ(d(x, y)),   ∀x, yX with (x, y)∈ ℜ,

  2. ψ(d(Tx, Ty)) ≤ φ(d(x, y)),   ∀x, yX with [x, y] ∈ ℜ.

Proof

First, we will show that the implication (i)⇒(ii) holds.

Assume that (i) holds. Take x, yX with [x, y]∈ℜ. If (x, y)∈ℜ, then (ii) directly follows from (i). Now, suppose that (y, x)∈ℜ, then using the symmetry of d and (i), we get

ψ d T x , T y = ψ! d T y , T x ϕ d y , x = ϕ d x , y .

This shows that (i)⇒(ii).

Conversely, the implication (ii)⇒(i) is trivial. This completes the proof.

Theorem 3.4

Let (X, d) be a complete metric space andbe a transitive relation on X. Suppose that Τ : XX is a continuous mappings andis Τ -closed such that

(1) ψ ( d ( T x , T y ) ) ϕ ( d ( x , y ) ) , x , y X w i t h ( x , y ) R ,

where ψ is a weak altering distance function and φ : [0, ∞) → [0, ∞) is a right upper semicontinuous function such that ψ(t) > φ(t) for all t > 0. If X(T; ℜ) is a nonempty set, then Τ has a fixed point.

Proof

Let x0 be an arbitrary point in X(T;ℜ). Put xn = Txn-1 = Tnx0for all n ∈ℕ. If xn* = χn* + 1for some n* ∈ℕ0, then xn*is a fixed point of Τ. Thus we will assume that xnxn+1for all n ∈ ℕ0. Since (x0, Tx0)∈ℜ, using the T-closedness of ℜ, we get

(2) ( T x 0 , T 2 x 0 ) , ( T 2 x 0 , T 3 x 0 ) , . . . , ( T n x 0 , T n + 1 x 0 ) , . . . R

and so (xn, xn+1) ∈ ℜ for all n ∈ ℕ0. Thus the sequence {xn}is ℜ-preserving. From contractive condition (1), we have

(3) ψ ( d ( x n , x n + 1 ) ) = ψ ( d ( T x n 1 , T x n ) ) ϕ ( d ( x n 1 , x n ) ) < ψ ( d ( x n 1 , x n ) )

for all n ∈ℕ. Since ψ is a nondecreasing function, we have

(4) d ( x n , x n + 1 ) < d ( x n 1 , x n )

for all n ∈ ℕ. Thus, the sequence {d{xn, xn+1)} is decreasing and bounded below. Consequently, there exists s ≥ 0 such that

d ( x n , x n + 1 ) s a s n .

From (3), letting n → ∞ and using the property of ψ and φ we get

ψ ( s ) lim inf n ψ ( d ( x n , x n + 1 ) ) lim sup n ψ ( d ( x n , x n + 1 ) ) lim sup n ϕ ( d ( x n 1 , x n ) ) ϕ ( s ) .

Since ψ(t) > φ(t) for all t > 0, we have 5=0 and so {d{xn, xn+1)} converges to 0. Now, we will show that {xn} is a Cauchy sequence.

Assume on the contrary, there is an ϵ > 0 and subsequences { x m k } a n d { x n k } of {xn} with nk > mkk such that

(5) d ( x m k , x n k ) ϵ f o r a l l k N .

Choosing nk to be the smallest integer exceeding mk for which (5) holds, we obtain that

(6) d ( x m k , x n k 1 ) < ϵ .

Using (5) and (6), we get

ϵ d ( x m k , x n k ) d ( x m k , x n k 1 ) + d ( x n k 1 , x n k ) < ϵ + d ( x n k 1 , x n k ) .

Hence, d(xmk, xnk)→ ∊as k→∞. Furthermore, we have

(7) d ( x m k , x n k ) d ( x m k , x m k 1 ) + d ( x m k 1 , x n k 1 ) + d ( x n k 1 , x n k )

and

(8) d ( x m k 1 , x n k 1 ) d ( x m k 1 , x m k ) + d ( x m k , x n k ) + d ( x n k , x n k 1 ) .

Letting k→ ∞ in (7) and (8) and using the fact that lim n d ( x n , x n + 1 ) = 0 a n d lim k 8 d ( x m k , x n k ) = ϵ , we have

lim k 8 d ( x m k 1 , x n k 1 ) = ϵ .

Since nk > mk and ℜ is a transitive relation, we get (xmk−1, xnk–1)∈ℜ. This implies that

(9) ψ ( d ( x m k , x n k ) ) ϕ ( d ( x m k 1 , x n k 1 ) ) .

From (9), letting k→∞ and using the property of ψ and ϕ we get

ψ ( ϵ ) lim inf n ψ ( d ( x m k , x n k ) ) lim sup n ψ ( d ( x m k , x n k ) ) lim sup n ϕ ( d ( x m k 1 , x n k 1 ) ) ϕ ( ϵ )

It yields that ∊ = 0, which is a contradiction. Therefore, {xn} is a Cauchy sequence.

Since (X, d) is a complete metric space, there exists x*X such that xnx* as n→ ∞. Thus, by the continuity of T, we get Tx* = x*.This completes the proof.

Remark 3.5

It is fascinating to point out that we use the result in Theorem 3.4 to derive a criterion for the existence of fixed points in some cases wherein several results contained in [17, 20-22] cannot guarantee the existence of fixed points. Indeed, the main results of Yan et al. in [17] (Theorem 1.3) are not applicable in the following cases:

  1. (X,⪯) is not a partially ordered set;

  2. ψ is not an altering distance function;

  3. φ is not continuous, the main results of Rus in [20] are not applicable in the following cases:

  4. (X,⪯) is not a partially ordered set (or quasi-ordered set);

  5. Τ does not satisfy the contractive condition with the control function φ ∈ Φ, the main results of Soleimani Rad et al. in [21] are not applicable in the following cases:

  6. Τ does not satisfy the contractive condition with several contractive constant, the main results of Su et al. in [22] are not applicable in the following cases:

  7. Τ does not satisfy the contractive condition in metric space without the transitive relation;

  8. Τ does not satisfy the contractive condition with two control functions ψ and φ (see the detail in [22]).

Now, we give an example to illustrate utility of Theorem 3.4.

Example 3.6

Let X = [0, ∞) with usual metric d. Thus (X, d) is a complete metric space. Define a binary relationon X by

R := { ( x , y ) X × X : x 2 + 2 x = y 2 + 2 y } .

It is easy to prove that ℜ is a transitive relation on X. Also, we define two functions ϕ, ψ: [0, ∞) → [0, ∞) by

ψ ( t ) = ln ( t + 1 ) i f t 1 , 3 t 4 i f t > 1

and ϕ ( t ) = 2 t 3 . Then ψ is a weak altering distance function and ϕ is a right upper semicontinuous function such that ψ(t) > ϕ(t) for all t > 0.

Let Τ: XX be defined by

T x = ln ( x 2 + 2 x + 1 )

for all xX. Then Τ is continuous.

Next, we will show thatis Τ-closed. Assume that x, yX such that (x, y) ∈ ℜ and then ln(x2 + 2x +1) = ln(y2 + 2y +1). This means that Τx = Ty and so (Tx)2 + TT χ = (Ty)2 + 2 Ty. This implies that (Tx, Ty) ∈ . Therefore, ℜ is Τ-closed. Moreover, there exists0 e X such that (0, T0) ∈ . This shows that X(T; ℜ) is a nonempty set.

Finally, it is clear that for each x, y e X with (x, y) ∈ , we get

ψ ( d ( T x , T y ) ) ϕ ( d ( x , y ) ) .

So Τ satisfies the contractive condition (1).

Now all of the conditions in Theorem 3.4 hold and hence Τ has at least one fixed point. For instance, the point x =0 is one of the fixed point of T.

Remark 3.7

We note that Yan et al.’s result in [17] (Theorem 1.3) is not applicable in the above example since ψ is not an altering distance function. This implies that the Banach contraction principle is not also applicable in the above example.

The following theorem guarantees the uniqueness of fixed point in Theorem 3.4.

Theorem 3.8

In addition to the hypothesis of Theorem 3.4, suppose that ϕ (0)= 0 and X is ℜ-directed. Then Τ has a unique fixed point.

Proof. Suppose that there exist x*, y* ∈ X which are fixed points. We distinguish two cases.

Case 1. If (x*, y*) ∈ ℜ, then (Tn x*, Tn y*) ∈ for all n ∈ ℕ0. It yields that

ψ ( d ( x , y ) ) = ψ ( d ( T n x , T n y ) ) ϕ ( d ( T n 1 x , T n 1 y ) ) = ϕ ( d ( x y ) )

for all n ∈ ℕ. From the fact that ψ(t) > ϕ (t) for all t > 0, we get d(x*, y*) = 0. Therefore, x* = y*.

Case 2. If (x*, y*) ∉ ℜ, then there exists z*X such that (x*, z*) ∈ ℜ and (y*, z*) ∈ ℜ. Since ℜ is T-closed, we get (Tnx*, Tn z*)∈ ℜ and (Tn y*, Tn z*)∈ for all n ∈ ℕ0. Moreover, we have

(10) ψ ( d ( x ∗! , T n z ) ) = ψ ( d ( T n x , T n z ) ) ϕ ( d ( T n 1 x , T n 1 z ) ) = ϕ ( d ( x , T n 1 z ) ) ψ ( d ( x , T n 1 z ) )

for all n ∈ ℕ.Since ψ is a nondecreasing function, we have

(11) d ( x , T n z ) d ( x , T n 1 z )

for all n ∈ ℕ.Thus, the sequence {d(x*, Tn z*)}is non-increasing. Thus, there exists ξ such that

lim n →! 8 d ( x , T n z ) = ξ .

From (10), letting n → ∞ and using the property of ψ and ϕ we get

(12) ψ ( ξ! ) lim n 8 sup ψ ( d ( x , T n z ) ) lim n 8 sup ϕ ( d ( x , T n 1 z ) ) ϕ ( ξ ) .

From (12) and the condition: ψ(t) > ϕ(t) for all t > 0, it implies that ξ = 0. Similarly, we can show that

lim n 8 d ( y , T n z ) = 0.

Therefore, Tn z*→ x* and Tn z*y* as n → ∞. This implies that x* = y *.This completes the proof.

Now we use the following notation for a binary relation ℜ on a nonempty set X for all Ν ∈ ℕ,

X N T ; N := x 1 , x 2 , x N X N : x 1 , x 2 , x N , T x 1 , x 2 , x N , T x 2 , x 3 , x N , x 1 , , T x N , x 1 , x N 1 ) ) N } ,

where Τ : XNΧ is a given mapping.

Definition 3.9

([27]). Let X be a nonempty set. Given Ν ∈ ℕ and Τ: Χ N → Χ is a mapping. A binary relationdefined on X is called ΤN -closed if for any (x1, x2,. . ., xN), (y1. y2, . . ., yN) ∈ XN

x 1 , y 1 R x 2 , y 2 R x N , y N R T x 1 , x 2 , x N , T y 1 , y 2 , y N R T x 2 , x 3 , x N , x 1 , T y 2 , y 3 , y N , y 1 R T x N , x 1 , x N 1 , T y N , y 1 , y N 1 R

Definition 3.10

Let X be a nonempty set and ℜ a binary relation on X. Given Ν ∈ ℕ. A subset EN of X N is calledN -directed if for each(x1, x2, . . ., xN) (y1, x2, . . ., yN) ∈ EN, there exists(z1, z2, . . ., zN) ∈ X suchthat

( ( x 1 , x 2 , x N ) , ( z 1 , z 2 , z N ) ) R N

and

( ( y 1 , y 2 , y N ) , ( z 1 , z 2 , z N ) ) R N .

Next, we illustrate how to prove multidimensional results from the unidimensional result by involving simple tools. Given Ν ∈ ℕ and a mapping Τ : XNX, let us denote by G T N : X N X N the mapping

G T N : ( x 1 , x 2 , , x N ) = ( T ( x 2 , x 3 , , x N ) , T ( x N , x 1 , , x N , x 1 ) , T ( x N , x 1 , , x N 1 ) ) .

The following lemmas will be useful later.

Lemma 3.11

([27]). Given Ν ∈ ℕ, Τ : ΧΝ → Χ, a point (x1, x2, . . ., xN) ∈ ΧΝ is a fixed point of Ν-order of mapping Τ if and only if it is a fixed point of G T N .

Lemma 3.12

([27]). Given Ν ∈ ℕ, Τ : ΧΝΧ and G T N : X N X N are two mappings. A binary relation ℜ defined on X is TN -closed if and only if a binary relation ℜN defined on X N is G T N -closed.

Lemma 3.13

([27]). Given Ν ∈ Ν, Τ : ΧΝΧ and G T N : X N x N are two mappings. A point(x1, x2, . . ., xn) ∈ XN (T; ℜN) if and only if a point (x1, x2,..., xN) ∈ XN ( G T N ; R N ) .

Lemma 3.14

([27]). Given Ν ∈ ℕ. Let(X, d) be a metric space and a mapping DN : XN× XN → ℝ defined by

D N ( A , B ) = i = 1 N d ( a i , b i ) N

for all A =(a1, a2,..., aN), Β = (b1, b2, ...bN)XN . Then the following properties hold.

  1. (XN , DN) is also a metric space.

  2. Let { A n = ( a n 1 , a n 2 , a n N ) } be a sequence on XN and let A = (a1,a2,..., aN)∈ ΧN . Then { A n } D N A if and only if { a n i } d a i for all i ∈ {1, 2,..., Ν}.

  3. If { A n = ( a n 1 , a n 2 , a n N ) } is a sequence on XN, then {An} is DN -Cauchy if and only if { a n i } is Cauchy for all i ∈ {l,2,...,N}.

  4. (X, d) is complete if and only if (XN,DN) is complete.

Here, we show how to use Theorem 3.4 in order to deduce multidimensional fixed point results.

Theorem 3.15

Let (X, d) be a complete metric space andbe a transitive relation on X. Given Ν ∈ ℕ. Suppose that Τ: XN → X is a continuous andis TN-closed such that for each (x1, x2,..., xN), (y1, y2, …, yN) ∈ XN with((x1, x2,..., xN), (y1, y2,..., yN) N,

ψ d T x 1 , x 2 , x N , T y 1 , y 2 , y N + d T x 2 , x 3 , x N , x 1 , T y 2 , y 3 , y N , y 1 + + d T x N , x 1 , x N 1 , T y N , y 1 , y N 1 ϕ i = 1 N d x i , y i ,

where ψ is a weak altering distance function and ϕ: [0, ∞) → [0, ∞) is a right upper semicontinuous function such that ψ(t) > ϕ (t) for all t > 0. If ΧN (Τ; ℜ) is a nonempty set, then Τ has a fixed point of Ν-order.

Proof.Using items 1 and 4 of Lemma 3.14, we obtain that (XN, DN) is a complete metric space. By Lemma 3.12, a binary relation ℜN defined on XN is G T N -closed. Assume that ( x 0 1 , x 0 2 , , x 0 N ) X N ( T ; R N ) , by Lemma 3.13 we get ( x 0 1 , x 0 2 , , x 0 N ) X N ( G T N ; R N ) . .

Now, let A = (a1,a2,...,aN),B = (b1, b2 ,...,bN) ∈ XN such that (A, B) Ν. Then

ψ ( D N ( G T N A , G T N B ) ) = ψ! D N G T N a 1 , a 2 , , a N , G T N b 1 , b 2 , , b N = ψ D N T a 1 , a 2 , , a N , T a 2 , a 3 , , a N , a 1 , , T a N , a 1 , , a N 1 , T b 1 , b 2 , , b N , T b 2 , b 3 , , b N , b 1 , , T b N , b 1 , , b N 1 , = ψ d T a 1 , a 2 , a N , T b 1 , b 2 , b N + d T a 2 , a 3 , a N , a 1 , T b 2 , b 3 , b N , b 1 + + d T a N , a 1 , a N 1 , T b 2 , b 3 , b N 1 = ϕ i = 1 N d a i , b i = ϕ D N A , B .

Applying Theorem 3.4, there exists X̂ = (1,2, . . ., .....) ∈ XN such that G T N X ^ = X ^ . That is, (1, 2, . . ., N) is a fixed point of G T N . Using Lemma 3.11, (x̂1, x̂2, · · ·, x̂N) is a fixed point of N-order of mapping Τ.This completes the proof.

By using Theorem 3.8, we get the following uniqueness result of fixed point of N-order.

Theorem 3.16

In addition to the hypothesis of Theorem 3.15, suppose that ϕ(0) = 0 and XN isN -directed. Then Τ has a unique fixed point of Ν -order.

4 Applications

In this section, we will use the following notations:

  1. M(n) denotes the set of all n × n complex matrices;

  2. Η (n)⊂ M(n) is the set of all n × n Hermitian matrices;

  3. P(n) ⊂ H(n) is the set of all n × n positive definite matrices;

  4. H + {n) ⊂ Η (η) is the set of all n × n positive semidefinite matrices.

Furthermore, we will use the following notations for Χ, ΥΜ(n):

  1. X ≻ 0 ⊜ ΧΡ (η);

  2. X ⪰ ⊜ ΧH+ (n);

  3. Χ – Υ ≻ 0 ⊜ XΥ;

  4. Χ – Υ ⪰ 0 ⊜ XΥ.

It is well-known that for each Χ, Υ ∈ H(n), there is the greatest lower bound and the least upper bound.

We use the symbol || · || which stands for the spectral norm of a matrix A unless and until it is stated, i.e.,

A = λ + ( A A ) ,

where λ+(Α* A) is the largest eigenvalue of A* A and A* is the conjugate transpose of A.

In the sequel, we use the metric induced by the trace norm || · ||tr defined by A t r = j = 1 n s j ( A ) , where Sj (A), j =1, 2,..., n, are the singular values of A ∈ M(n).The set H(n) endowed with this norm is a complete metric space. See [28-30] for more details. Moreover, we see that H(n) is a partially ordered set with partial order ⪯which is defined by

X _ Y Y _ X .

In 2003, Ran and Reurings [28] discussed an analogue of Banach contraction mapping principle in partially ordered sets and applied this result to linear and nonlinear matrix equations. Later, Petruşel and Rus [31] presented fixed point results in ordered L-spaces and applied it to nonlinear matrix equations which are generalization and extension of Ran and Reurings [28].

Inspired by the work mentioned above and the basis of the fixed point results in previous section, we investigate the nonlinear matrix equation

(13) X = Q + i = 1 m A i G ( X ) A i ,

where Ai is an arbitrary n × n matrices, Q is a Hermitian positive definite matrix and 𝓖 is continuous order preserving maps from H(n) into P(n) such that 𝓖(0) =0. The following lemmas will be useful later.

Lemma 4.1

([28]). If A, B ∈ H+(n), then

0 t r ( A B ) A t r ( B ) .

Lemma 4.2

([32]). If A ∈ Η (n) and AI, then ||A||<1.

Theorem 4.3

Consider the matrix equation (13). Assume that there is a positive number M such that:

(i) for every X, YH(n) such that (X, Y) ∈ ⪯, we have

| t r ( G ( Y ) G ( X ) ) | < _ 1 M | h ( t r ( Y X ) ) |

where h: [0, ∞) → [0, →) is a right upper semicontinuous function with h(t) < t2 for all t > 0; i = 1 m A i A i M I n .

If i = 1 m A i G ( Q ) A i 0 then the matrix equation (13) has a solution. Moreover, the iteration

(14) X n = Q + i = 1 m A i G ( X n 1 ) A i

where X0H(n) such that X 0 _ Q + i = 1 n A i G ( X 0 ) A i , converges in the sense of trace norm|| ·||tr to the solution of matrix equation (13).

Proof. Throughout this proof, we define the mapping 𝓕 : H(n) → H(n) by

(15) F ( X ) = Q + i = 1 m A i G ( X ) A i f o r a l l X H ( n ) .

Then 𝓕 is well defined and ⪯on H(n) is 𝓕-closed and a fixed point of 𝓕 is a solution of equation (13). 1 𝓖 is order preserving if A, B ∈ Η (n) with A ⪯ Β implies that 𝓖(A) ⪯ (B).

Next, we will show that the contractive condition (1) holds with 𝓕.

Let X, YΗ (n) such that (X, Y) ∈⪯. This mean that ΧY and then 𝓖(Χ)⪯𝓖(Y). Therefore,

| | F Y F X | | t r = t r F Y F X = t r i = 1 m A i ( G ( Y ) G ( X ) ) A i = i = 1 m t r ( A i ( G ( Y ) G ( X ) ) A i ) = i = 1 m t r ( A i A i ( G ( Y ) G ( X ) ) ) = t r i = 1 m A i A i ( G ( Y ) G ( X ) ) i = 1 m A i A i G ( Y ) G ( X ) t r i = 1 m A j A i M h ( Y X t r ) < h ( Y X t r ) .

This yields that,

(16) ( F ( Y ) F ( X ) t r ) 2 h ( Y X t r ) .

Putting ψ(t)= t2 and ϕ(t) = h(t), obviously ψ is a weak altering distance function and φ is a right upper semicontinuous function such that ψ(t) > ϕ(t) for all t > 0.

From the inequality (16), we have

ψ ( F ( Y ) F ( X ) t r ) ϕ ( Y X t r ) .

Thus, the contractive condition (1) in Theorem 3.4 is satisfied for all X, YH(n) such that (X, Y) ∈⪯. From i = 1 m A i G ( Q ) A i 0 , we have Q ⪯ 𝓕(Q)· This means that QH(n)(𝓕; ⪯). Now from Theorem 3.4, there exists 𝓕(X̂) such that 𝓕(X̂) = X̂, that is, the matrix equation (13) has a solution.

Theorem 4.4

Consider the matrix equation (13). Assume that there is a positive number M such that:

  1. for every X, YΗ (n) such that (X, Y) ∈ ⪯, we have

    | t r ( G ( Y ) G ( X ) ) | 1 M | ln ( 1 + h ( t r ( Y X ) ) ) |

    where h : [0, ∞) → [0, ∞) is a right upper semicontinuous function with h(t) < et — 1, for all t > 0;

  2. i = 1 m A i A i M I n . If i = 1 m A i G ( Q ) A i 0 , , then the matrix equation (13) has a solution. Moreover, the iteration

    (17) X n = Q + i = 1 n A i G ( X n 1 ) A i

    where X0Η (n) such that X 0 _ Q + i = 1 n A i G ( X 0 ) A i , converges in the sense of trace norm || · ||t r to the solution of matrix equation (13).

Proof

Throughout this proof, we define the mapping 𝓕 : Η (n) → H(n) by

(18) F ( X ) = Q + i = 1 m A i G ( X ) A i f o r a l l X H ( n ) .

Then 𝓕 is well defined and ⪯on H(n) is 𝓕-closed and a fixed point of 𝓕 is a solution of equation (13).

Next, we will show that the contractive condition (1) holds with 𝓕.

Let X, YΗ (n) such that (X, Y)∈⪯. This mean that ΧY and then 𝓖(X)⪯ 𝓖(Y). Using the same technique to Theorem 4.3, we get

(19) F ( Y ) F ( X ) t r ln ( 1 + h ( Y X t r ) ) .

Putting ψ(t) = t, ϕ(t) = ln(l + h(t)), obviously ψ is a weak altering distance function and ϕ is a right upper semicontinuous function such that ψ(t) > ϕ(t) for all t > 0. From the inequality (19), we have

ψ ( F ( Y ) F ( X ) t r ) ϕ ( Y X t r ) .

Thus, the contractive condition (1) in Theorem 3.4 is satisfied for all X, YH(n) such that (X, Y)∈⪯. From i = 1 m A i G ( Q ) A i 0 , we have Q ⪯ 𝓕This means that Q ∈ H(n)(𝓕; ⪯). Now from Theorem 3.4, there exists ∈(n) such that 𝓕X̂ = X̂, that is, the matrix equation (13) has a solution.

Theorem 4.5

In addition to the hypothesis of Theorem 4.3 (resp. Theorem 4.4), suppose that h(0) = 0. Then the equation (13) has a unique solution X̂H(n).

Proof

It follows from h(0) = 0 that ϕ (0) = 0. Since for every X, YΗ (n) there is the greatest lower bound and the least upper bound, we obtain that H(n) is ⪯ directed. Thus, we deduce from Theorem 3.8 that 𝓕 has a unique fixed point in H(n). This implies that Equation (13) has a unique solution in H(n).

5 Numerical experiments

Next, we use some numerical examples to confirm the correctness of Theorem 4.5.

Example 5.1

Let

Q = 5 2 0 0 2 5 2 0 0 2 5 2 0 0 2 5 , A 1 = 0.002 0.195 0 0.367 0 0.045 0 0.006 0.129 0 0.245 0.028 0.023 0.054 0 0.147 , A 2 0.301 0.02 0.021 0.074 0.11 0.002 0.1 0 0 0 0.201 0.045 0.135 0.01 0.005 0.06 .

Define h : [0, ∞) → [0, ∞) by M = 1 2 . We consider Equation (13) with ∞(X) = X that is

(20) X = Q + A 1 X A 1 + A 2 X A 2 .

All the hypotheses of Theorem 4.5 are satisfied with M = 1 6 . We will consider the iteration

(21) X n = Q + A 1 X n 1 A 1 + A 2 X n 1 A 2 ,

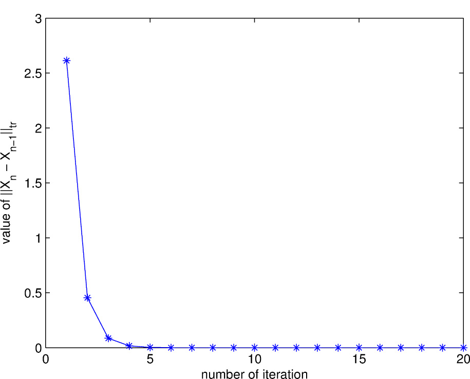
where X0 = Q, and the error En := ||Xn – Xn—1||tr · After 8 iterations, we can approximate a solution X̂ of Equation (20) by

X ^ X 8 = 6.0198 2.1079 0.5126 0.3661 2.1079 5.3083 2.0944 0.5640 0.5126 2.0944 5.7344 2.2998 0.3661 0.5640 2.2998 6.1132

with E8 = 2.3565e – 05.

Fig. 3 The error of iteration process 21 for the Equation (20) given in Example 5.1.
Fig. 3

The error of iteration process 21 for the Equation (20) given in Example 5.1.

Example 5.2

Let

Q = 9 2 0 0 2 9 2 0 0 2 9 2 0 0 2 9 , A 1 = 0.0325 0.0057 0.0746 0.0069 0.0125 0.0215 0 0.215 0.0201 0.257 0 0.201 0 0 0.1874 0.0424 , A 2 = 0.0058 0.0871 0.0526 0 0.0514 0.0215 0 0.0321 0 0 0.0808 0 0.0098 0 0.0165 0.0587 , A 3 = 0.0171 0 0.0751 0.0358 0 0 0.0221 0.012 0.0325 0 0.0316 0.0955 0 0 0 0.0147 .

Define h : [0, ∞) ∞ [0, ∞) by h ( t ) = t 2 9 . We consider Equation (13) with 𝓖(X)= 2X that is

(22) X = Q + A 1 ( 2 X ) A 1 + A 2 ( 2 X ) A 2 + A 3 ( 2 X ) A 3 .

All the hypotheses of Theorem 4.5 are satisfied with M = 1 6 . We will consider the iteration

(23) X n = Q + A 1 X n 1 A 1 + A 2 X n 1 A 2 + A 3 X n 1 A 3 ,

where X0= Q, and the error En := ||Xn – Xn–1||tr. After 7 iterations, we can approximate a solutionof Equation (20) by

X ^ X 7 = 9.1296 2.1938 0.1818 0.3602 2.1938 10.5937 2.4096 1.5582 0.1818 2.4096 10.3194 2.8325 0.3602 1.5582 2.8325 11.8107

with Ε7 = 2.3990e – 004.

Fig. 4 The error of iteration process 23 for the Equation (20) given in Example 5.2.
Fig. 4

The error of iteration process 23 for the Equation (20) given in Example 5.2.


,

  1. Competing interests

    The authors declare that they have no competing interests.

  2. Authors’ contributions

    All authors contributed equally and significantly in writing this paper. All authors read and approved the final manuscript.

Acknowledgement

The authors gratefully acknowledge the financial support provided by Thammasat University Research Fund under the TU Research Scholar, Contract No. 2/11/2559.

References

[1] Dhutta P., Choudhury B., A generalization of contractions in partially ordered metric spaces, Appl. Anal., 2008, 87, 109-11610.1080/00036810701556151Search in Google Scholar

[2] Sastry K.P.R., Babu G.V.R., Some fixed point theorems by altering distance between the points, Indian J. Pure Appl. Math., 1999, 30, 641-647Search in Google Scholar

[3] Amini-Harandi A., Emami H., A fixed point theorem for contraction type maps in partially ordered metric spaces and application to ordinary differential equations, Nonlinear Anal., 2010, 72, 2238-224210.1016/j.na.2009.10.023Search in Google Scholar

[4] Harjani J., Sadarangni K., Fixed point theorems for weakly contraction mappings in partially ordered sets, Nonlinear Anal., 2009, 71, 3403-341010.1016/j.na.2009.01.240Search in Google Scholar

[5] Burgic D., Kalabus̃ić S., Kulenović M., Global attractivity results for mixed monotone mappings in partially ordered complete metric spaces, Fixed Point Theory Appl., 2009, 2009, Article ID 76247810.1155/2009/762478Search in Google Scholar

[6] Cirić L., Cakić N., Rajović M., Urna J., Monotone generalized nonlinear contractions in partially ordered metric spaces, Fixed Point Theory Appl., 2008, 2008, Article ID 13129410.1155/2008/131294Search in Google Scholar

[7] Bhaskar T. G., Lakshmikantham V., Fixed point theorems in partially ordered metric spaces and applications, Nonlinear Anal., 2006, 65, 1379-139310.1016/j.na.2005.10.017Search in Google Scholar

[8] Lakshmikantham V., Cirić L., Coupled fixed point theorems for nonlinear contractions in partially ordered metric spaces, Nonlinear Anal., 2009, 70, 4341-434910.1016/j.na.2008.09.020Search in Google Scholar

[9] Nieto JJ., Rodriguez-López R., Contractive mapping theorems in partially ordered sets and applications to ordinary differential equations, Order., 2005, 22, 223-23910.1007/s11083-005-9018-5Search in Google Scholar

[10] Nieto JJ., Rodriguez-López R., Existence and uniqueness of fixed point in partially ordered sets and applications to ordinary differential equations, Acta Math. Sin., 2007, 23, 2205-221210.1007/s10114-005-0769-0Search in Google Scholar

[11] O’Regan D., Petrusel A., Fixed point theorems for generalized contractions in ordered metric spaces, J. Math. Anal. Appl., 2008, 341, 1241-125210.1016/j.jmaa.2007.11.026Search in Google Scholar

[12] Shatanawi W., Postolache M., Common fixed point theorems for dominating and weak annihilator mappings in ordered metric spaces, Fixed Point Theory Appl., 2013, 2013, Article ID 27110.1186/1687-1812-2013-271Search in Google Scholar

[13] Shatanawi W., Postolache M., Common fixed point results of mappings for nonlinear contraction of cyclic form in ordered metric spaces, Fixed Point Theory Appl., 2013, 2013, Article ID 6010.1186/1687-1812-2013-60Search in Google Scholar

[14] E. Karapinar, W. Shatanawi, Z. Mustafa, Quadruple fixed point theorems under nonlinear contractive conditions in partially ordered metric spaces. J. Appl. Math., 2012, 2012, Article ID 95191210.1155/2012/951912Search in Google Scholar

[15] Shatanawi W., Some fixed point results for a generalized-weak contraction mappings in orbitally metric spaces, Chaos Solitons Fractals, 2012, 45, 520-52610.1016/j.chaos.2012.01.015Search in Google Scholar

[16] Khan MS., Swaleh M., Sessa S., Fixed point Theorems by altering distances between the points, Bull. Aust. Math. Soc, 1984, 30 (1), 1-910.1017/S0004972700001659Search in Google Scholar

[17] Yan F., Su Y., Feng Q., A new contraction mapping principle in partially ordered metric spaces and applications to ordinary differenctial equations, Fixed point Theory Appl., 2012, Article ID 15210.1186/1687-1812-2012-152Search in Google Scholar

[18] Guo D., Lakshmikantham V., Coupled fixed points of nonlinear operators with applications, Nonlinear Anal., 1987, 11, 623-63210.1016/0362-546X(87)90077-0Search in Google Scholar

[19] Bhaskar T.G., Lakshmikantham V., Fixed point theorems in partially ordered metric spaces and applications. Nonlinear Anal., 2006, 65, 1379-139310.1016/j.na.2005.10.017Search in Google Scholar

[20] Rus M.-D., The fixed point problem for systems of coordinate-wise uniformly monotone operators and applications, Mediterr. J. Math., 2014, 11, 109-12210.1007/s00009-013-0306-9Search in Google Scholar

[21] Soleimani Rad G., Shukla S., Rahimi H., Some relations between n-tuple fixed point and fixed point results, Revista de la Real Academia de Ciencias Exactas, Físicas y Naturales, Serie A, Matematicas September 2015, Volume 109, Issue 2, pp 471-48110.1007/s13398-014-0196-0Search in Google Scholar

[22] Su Y., Petrusel A., Yao J.-C., Multivariate fixed point theorems for contractions and nonexpansive mappings with applications, Fixed Point Theory Appl., 2016, 2016:9, 19 pp10.1186/s13663-015-0493-0Search in Google Scholar

[23] Samet B., Vetro C, Coupled fixed point, f-invariant set and fixed point of N-order, Ann. Funct. Anal., 2010, 1(2), 46-5610.15352/afa/1399900586Search in Google Scholar

[24] Lipschutz S., Schaum’s Outlines of Theory and Problems of Set Theory and Related Topics, McGraw-Hill, New York, 1964Search in Google Scholar

[25] Alam A., Imdad M., Relation-theoretic contraction principle, Fixed point Theory Appl., 2015, DOI:10.1007/s11784-015-0247-y, 10 ppSearch in Google Scholar

[26] Samet B., Turinici M., Fixed point theorems on a metric space endowed with an arbitrary binary relation and applications, Commun. Math. Anal., 2012, 13, 82-97Search in Google Scholar

[27] Sawangsup, K., Sintunavarat, W., de Hierro, A.F.R.L. J., Fixed point theorems for 𝓕ℜ-contractions with applications to solution of nonlinear matrix equations, Fixed Point Theory Appl., 2016, doi:10.1007/s11784-016-0306-zSearch in Google Scholar

[28] Ran A. C. M., Reurings M. C. B., A fixed point theorem in partially ordered sets and some applications to matrix equations, Proc. Amer. Math. Soc, 2003, 132, 1435-144310.1090/S0002-9939-03-07220-4Search in Google Scholar

[29] Berzig M., Samet B., Solving systems of nonlinear matrix equations involving Lipschitzian mappings, Fixed point Theory Appl., 2011, 8910.1186/1687-1812-2011-89Search in Google Scholar

[30] Berzig M., Solving a class of matrix equations via the Bhaskar-Lakshmikantham coupled fixed point theorem, Appl. Math. Lett., 2012, 25, 1638-164310.1016/j.aml.2012.01.028Search in Google Scholar

[31] Petruşel A., Rus I.A., Fixed point theorems in ordered L-spaces, Proc. Amer. Math. Soc, 2005, 134, no.2, 411-41810.1090/S0002-9939-05-07982-7Search in Google Scholar

[32] Long J. H., Hu X. Y, Zhang L., On the Hermitian positive definite solution of the nonlinear matrix equation X + A*x–1A + B*X–1B = I. Bull. Braz. Math. Soc, 2015, 39(3), 317-38610.1007/s00574-008-0011-7Search in Google Scholar

Received: 2016-6-5
Accepted: 2016-12-3
Published Online: 2017-2-26

© 2017 Sawangsup and Sintunavarat

This work is licensed under the Creative Commons Attribution-NonCommercial-NoDerivatives 3.0 License.

Articles in the same Issue

  1. Regular Articles
  2. Integrals of Frullani type and the method of brackets
  3. Regular Articles
  4. Edge of chaos in reaction diffusion CNN model
  5. Regular Articles
  6. Calculus using proximities: a mathematical approach in which students can actually prove theorems
  7. Regular Articles
  8. An investigation on hyper S-posets over ordered semihypergroups
  9. Regular Articles
  10. The Leibniz algebras whose subalgebras are ideals
  11. Regular Articles
  12. Fixed point and multidimensional fixed point theorems with applications to nonlinear matrix equations in terms of weak altering distance functions
  13. Regular Articles
  14. Matrix rank and inertia formulas in the analysis of general linear models
  15. Regular Articles
  16. The hybrid power mean of quartic Gauss sums and Kloosterman sums
  17. Regular Articles
  18. Tauberian theorems for statistically (C,1,1) summable double sequences of fuzzy numbers
  19. Regular Articles
  20. Some properties of graded comultiplication modules
  21. Regular Articles
  22. The characterizations of upper approximation operators based on special coverings
  23. Regular Articles
  24. Bi-integrable and tri-integrable couplings of a soliton hierarchy associated with SO(4)
  25. Regular Articles
  26. Dynamics for a discrete competition and cooperation model of two enterprises with multiple delays and feedback controls
  27. Regular Articles
  28. A new view of relationship between atomic posets and complete (algebraic) lattices
  29. Regular Articles
  30. A class of extensions of Restricted (s, t)-Wythoff’s game
  31. Regular Articles
  32. New bounds for the minimum eigenvalue of 𝓜-tensors
  33. Regular Articles
  34. Shintani and Shimura lifts of cusp forms on certain arithmetic groups and their applications
  35. Regular Articles
  36. Empirical likelihood for quantile regression models with response data missing at random
  37. Regular Articles
  38. Convex combination of analytic functions
  39. Regular Articles
  40. On the Yang-Baxter-like matrix equation for rank-two matrices
  41. Regular Articles
  42. Uniform topology on EQ-algebras
  43. Regular Articles
  44. Integrations on rings
  45. Regular Articles
  46. The quasilinear parabolic kirchhoff equation
  47. Regular Articles
  48. Avoiding rainbow 2-connected subgraphs
  49. Regular Articles
  50. On non-Hopfian groups of fractions
  51. Regular Articles
  52. Singularly perturbed hyperbolic problems on metric graphs: asymptotics of solutions
  53. Regular Articles
  54. Rings in which elements are the sum of a nilpotent and a root of a fixed polynomial that commute
  55. Regular Articles
  56. Superstability of functional equations related to spherical functions
  57. Regular Articles
  58. Evaluation of the convolution sum involving the sum of divisors function for 22, 44 and 52
  59. Regular Articles
  60. Weighted minimal translation surfaces in the Galilean space with density
  61. Regular Articles
  62. Complete convergence for weighted sums of pairwise independent random variables
  63. Regular Articles
  64. Binomials transformation formulae for scaled Fibonacci numbers
  65. Regular Articles
  66. Growth functions for some uniformly amenable groups
  67. Regular Articles
  68. Hopf bifurcations in a three-species food chain system with multiple delays
  69. Regular Articles
  70. Oscillation and nonoscillation of half-linear Euler type differential equations with different periodic coefficients
  71. Regular Articles
  72. Osculating curves in 4-dimensional semi-Euclidean space with index 2
  73. Regular Articles
  74. Some new facts about group 𝒢 generated by the family of convergent permutations
  75. Regular Articles
  76. lnfinitely many solutions for fractional Schrödinger equations with perturbation via variational methods
  77. Regular Articles
  78. Supersolvable orders and inductively free arrangements
  79. Regular Articles
  80. Asymptotically almost automorphic solutions of differential equations with piecewise constant argument
  81. Regular Articles
  82. Finite groups whose all second maximal subgroups are cyclic
  83. Regular Articles
  84. Semilinear systems with a multi-valued nonlinear term
  85. Regular Articles
  86. Positive solutions for Hadamard differential systems with fractional integral conditions on an unbounded domain
  87. Regular Articles
  88. Calibration and simulation of Heston model
  89. Regular Articles
  90. One kind sixth power mean of the three-term exponential sums
  91. Regular Articles
  92. Cyclic pairs and common best proximity points in uniformly convex Banach spaces
  93. Regular Articles
  94. The uniqueness of meromorphic functions in k-punctured complex plane
  95. Regular Articles
  96. Normalizers of intermediate congruence subgroups of the Hecke subgroups
  97. Regular Articles
  98. The hyperbolicity constant of infinite circulant graphs
  99. Regular Articles
  100. Scott convergence and fuzzy Scott topology on L-posets
  101. Regular Articles
  102. One sided strong laws for random variables with infinite mean
  103. Regular Articles
  104. The join of split graphs whose completely regular endomorphisms form a monoid
  105. Regular Articles
  106. A new branch and bound algorithm for minimax ratios problems
  107. Regular Articles
  108. Upper bound estimate of incomplete Cochrane sum
  109. Regular Articles
  110. Value distributions of solutions to complex linear differential equations in angular domains
  111. Regular Articles
  112. The nonlinear diffusion equation of the ideal barotropic gas through a porous medium
  113. Regular Articles
  114. The Sheffer stroke operation reducts of basic algebras
  115. Regular Articles
  116. Extensions and improvements of Sherman’s and related inequalities for n-convex functions
  117. Regular Articles
  118. Classification lattices are geometric for complete atomistic lattices
  119. Regular Articles
  120. Possible numbers of x’s in an {x, y}-matrix with a given rank
  121. Regular Articles
  122. New error bounds for linear complementarity problems of weakly chained diagonally dominant B-matrices
  123. Regular Articles
  124. Boundedness of vector-valued B-singular integral operators in Lebesgue spaces
  125. Regular Articles
  126. On the Golomb’s conjecture and Lehmer’s numbers
  127. Regular Articles
  128. Some applications of the Archimedean copulas in the proof of the almost sure central limit theorem for ordinary maxima
  129. Regular Articles
  130. Dual-stage adaptive finite-time modified function projective multi-lag combined synchronization for multiple uncertain chaotic systems
  131. Regular Articles
  132. Corrigendum to: Dual-stage adaptive finite-time modified function projective multi-lag combined synchronization for multiple uncertain chaotic systems
  133. Regular Articles
  134. Convergence and stability of generalized φ-weak contraction mapping in CAT(0) spaces
  135. Regular Articles
  136. Triple solutions for a Dirichlet boundary value problem involving a perturbed discrete p(k)-Laplacian operator
  137. Regular Articles
  138. OD-characterization of alternating groups Ap+d
  139. Regular Articles
  140. On Jordan mappings of inverse semirings
  141. Regular Articles
  142. On generalized Ehresmann semigroups
  143. Regular Articles
  144. On topological properties of spaces obtained by the double band matrix
  145. Regular Articles
  146. Representing derivatives of Chebyshev polynomials by Chebyshev polynomials and related questions
  147. Regular Articles
  148. Chain conditions on composite Hurwitz series rings
  149. Regular Articles
  150. Coloring subgraphs with restricted amounts of hues
  151. Regular Articles
  152. An extension of the method of brackets. Part 1
  153. Regular Articles
  154. Branch-delete-bound algorithm for globally solving quadratically constrained quadratic programs
  155. Regular Articles
  156. Strong edge geodetic problem in networks
  157. Regular Articles
  158. Ricci solitons on almost Kenmotsu 3-manifolds
  159. Regular Articles
  160. Uniqueness of meromorphic functions sharing two finite sets
  161. Regular Articles
  162. On the fourth-order linear recurrence formula related to classical Gauss sums
  163. Regular Articles
  164. Dynamical behavior for a stochastic two-species competitive model
  165. Regular Articles
  166. Two new eigenvalue localization sets for tensors and theirs applications
  167. Regular Articles
  168. κ-strong sequences and the existence of generalized independent families
  169. Regular Articles
  170. Commutators of Littlewood-Paley gκ -functions on non-homogeneous metric measure spaces
  171. Regular Articles
  172. On decompositions of estimators under a general linear model with partial parameter restrictions
  173. Regular Articles
  174. Groups and monoids of Pythagorean triples connected to conics
  175. Regular Articles
  176. Hom-Lie superalgebra structures on exceptional simple Lie superalgebras of vector fields
  177. Regular Articles
  178. Numerical methods for the multiplicative partial differential equations
  179. Regular Articles
  180. Solvable Leibniz algebras with NFn Fm1 nilradical
  181. Regular Articles
  182. Evaluation of the convolution sums ∑al+bm=n lσ(l) σ(m) with ab ≤ 9
  183. Regular Articles
  184. A study on soft rough semigroups and corresponding decision making applications
  185. Regular Articles
  186. Some new inequalities of Hermite-Hadamard type for s-convex functions with applications
  187. Regular Articles
  188. Deficiency of forests
  189. Regular Articles
  190. Perfect codes in power graphs of finite groups
  191. Regular Articles
  192. A new compact finite difference quasilinearization method for nonlinear evolution partial differential equations
  193. Regular Articles
  194. Does any convex quadrilateral have circumscribed ellipses?
  195. Regular Articles
  196. The dynamic of a Lie group endomorphism
  197. Regular Articles
  198. On pairs of equations in unlike powers of primes and powers of 2
  199. Regular Articles
  200. Differential subordination and convexity criteria of integral operators
  201. Regular Articles
  202. Quantitative relations between short intervals and exceptional sets of cubic Waring-Goldbach problem
  203. Regular Articles
  204. On θ-commutators and the corresponding non-commuting graphs
  205. Regular Articles
  206. Quasi-maximum likelihood estimator of Laplace (1, 1) for GARCH models
  207. Regular Articles
  208. Multiple and sign-changing solutions for discrete Robin boundary value problem with parameter dependence
  209. Regular Articles
  210. Fundamental relation on m-idempotent hyperrings
  211. Regular Articles
  212. A novel recursive method to reconstruct multivariate functions on the unit cube
  213. Regular Articles
  214. Nabla inequalities and permanence for a logistic integrodifferential equation on time scales
  215. Regular Articles
  216. Enumeration of spanning trees in the sequence of Dürer graphs
  217. Regular Articles
  218. Quotient of information matrices in comparison of linear experiments for quadratic estimation
  219. Regular Articles
  220. Fourier series of functions involving higher-order ordered Bell polynomials
  221. Regular Articles
  222. Simple modules over Auslander regular rings
  223. Regular Articles
  224. Weighted multilinear p-adic Hardy operators and commutators
  225. Regular Articles
  226. Guaranteed cost finite-time control of positive switched nonlinear systems with D-perturbation
  227. Regular Articles
  228. A modified quasi-boundary value method for an abstract ill-posed biparabolic problem
  229. Regular Articles
  230. Extended Riemann-Liouville type fractional derivative operator with applications
  231. Topical Issue on Topological and Algebraic Genericity in Infinite Dimensional Spaces
  232. The algebraic size of the family of injective operators
  233. Topical Issue on Topological and Algebraic Genericity in Infinite Dimensional Spaces
  234. The history of a general criterium on spaceability
  235. Topical Issue on Topological and Algebraic Genericity in Infinite Dimensional Spaces
  236. On sequences not enjoying Schur’s property
  237. Topical Issue on Topological and Algebraic Genericity in Infinite Dimensional Spaces
  238. A hierarchy in the family of real surjective functions
  239. Topical Issue on Topological and Algebraic Genericity in Infinite Dimensional Spaces
  240. Dynamics of multivalued linear operators
  241. Topical Issue on Topological and Algebraic Genericity in Infinite Dimensional Spaces
  242. Linear dynamics of semigroups generated by differential operators
  243. Special Issue on Recent Developments in Differential Equations
  244. Isomorphism theorems for some parabolic initial-boundary value problems in Hörmander spaces
  245. Special Issue on Recent Developments in Differential Equations
  246. Determination of a diffusion coefficient in a quasilinear parabolic equation
  247. Special Issue on Recent Developments in Differential Equations
  248. Homogeneous two-point problem for PDE of the second order in time variable and infinite order in spatial variables
  249. Special Issue on Recent Developments in Differential Equations
  250. A nonlinear plate control without linearization
  251. Special Issue on Recent Developments in Differential Equations
  252. Reduction of a Schwartz-type boundary value problem for biharmonic monogenic functions to Fredholm integral equations
  253. Special Issue on Recent Developments in Differential Equations
  254. Inverse problem for a physiologically structured population model with variable-effort harvesting
  255. Special Issue on Recent Developments in Differential Equations
  256. Existence of solutions for delay evolution equations with nonlocal conditions
  257. Special Issue on Recent Developments in Differential Equations
  258. Comments on behaviour of solutions of elliptic quasi-linear problems in a neighbourhood of boundary singularities
  259. Special Issue on Recent Developments in Differential Equations
  260. Coupled fixed point theorems in complete metric spaces endowed with a directed graph and application
  261. Special Issue on Recent Developments in Differential Equations
  262. Existence of entropy solutions for nonlinear elliptic degenerate anisotropic equations
  263. Special Issue on Recent Developments in Differential Equations
  264. Integro-differential systems with variable exponents of nonlinearity
  265. Special Issue on Recent Developments in Differential Equations
  266. Elliptic operators on refined Sobolev scales on vector bundles
  267. Special Issue on Recent Developments in Differential Equations
  268. Multiplicity solutions of a class fractional Schrödinger equations
  269. Special Issue on Recent Developments in Differential Equations
  270. Determining of right-hand side of higher order ultraparabolic equation
  271. Special Issue on Recent Developments in Differential Equations
  272. Asymptotic approximation for the solution to a semi-linear elliptic problem in a thin aneurysm-type domain
  273. Topical Issue on Metaheuristics - Methods and Applications
  274. Learnheuristics: hybridizing metaheuristics with machine learning for optimization with dynamic inputs
  275. Topical Issue on Metaheuristics - Methods and Applications
  276. Nature–inspired metaheuristic algorithms to find near–OGR sequences for WDM channel allocation and their performance comparison
  277. Topical Issue on Cyber-security Mathematics
  278. Monomial codes seen as invariant subspaces
  279. Topical Issue on Cyber-security Mathematics
  280. Expert knowledge and data analysis for detecting advanced persistent threats
  281. Topical Issue on Cyber-security Mathematics
  282. Feedback equivalence of convolutional codes over finite rings
Downloaded on 17.10.2025 from https://www.degruyterbrill.com/document/doi/10.1515/math-2017-0012/html
Scroll to top button