Abstract
High field-strength elements have been regarded as one of the most important discriminations in subduction zone magma. However, the spatial distribution of Nb and Ta in subduction zone-related rocks has been rarely studied; it is still unclear whether there is a quantitative relationship between the Nb–Ta concentrations and their subduction distance. In this paper, the Nb–Ta concentrations of mafic rocks in arc tectonic systems were calculated from a statistical perspective based on the combined geophysical model and geochemical database. The results showed a typical spatial distribution pattern. The threshold value of Nb (12.20 ppm) and Ta (0.796 ppm) in arc settings was estimated by a cumulative distribution function, which can be used to determine whether the rock is generated in arc tectonic environment. A probability density function of Nb–Ta contents and related subduction distance has been obtained using kernel function estimation. The Nb–Ta concentrations are exponentially correlated with the subduction distance (<700 km), while the Nb/Ta ratios keep in the range of 12–19. We proposed that the subduction depth, along with the degree of partial melting, and possible crustal contamination might be responsible for the Nb–Ta variation correlation with subduction distances.
1 Introduction
In the solar system, Earth is the only planet that does have plate tectonics, which is the main process to trigger magma evolution, differentiation, and elemental cycling. As the main areas for plate demise and magmatism arise, magmatism in subduction zones is closely related to the exchange of matter and energy between the crust and the mantle [1,2,3,4,5,6,7,8]. Meanwhile, many studies have focused on the growth of continental crust (CC) and the role of arc magmatism, modern subduction zone architecture, systematics, magma genesis, and geochemical variations within the products of continental and island arc magmas [8,9,10,11,12,13,14,15,16,17,18,19,20]. Geophysical studies (e.g., seismic wave, geomagnetism, and geo-electricity) can offer the angle at which the plate is being subducted and distance of the subduction zone from continental margins, and geochemical studies reveal the composition of subducting material and involved mechanism in subduction zones, both leading to a better understanding of the subduction zone processes. The inhomogeneity of elements in different layers of our Earth is influenced by events such as oceanic ridge expansion, plate subduction, and magma evolution under different physical–chemical conditions [21,22,23,24]. Therefore, the elemental distributions in different Earth reservoirs can be an effective probe to understand our Earth. Subduction zone-related interplate and intraplate mafic rocks are products of mantle sourced magmas that contain the geochemical signature of crustal components. Several groups of trace elements, such as large ion lithophile elements, light rare Earth elements, heavy rare Earth elements, and high field-strength elements (HFSE), have been used to trace and decipher the subduction processes on account of their unique geochemical properties. Of these trace elements, HFSEs (e.g., Th, U, Zr, Ti, Nb, Ta, and Hf) are relatively stable and are immobile during metamorphism, alteration, and weathering, and therefore can serve as valid tracers for the magmatic process. These elements were used to trace magma sources and geological process [16,25,26,27,28,29,30,31,32,33,34,35,36,37,38,39]. As typical HFSEs, element niobium (Nb) and element tantalum (Ta) have long been regarded as geochemical “identical twins,” as they have similar ionic radius and electronic structures. They are linked with the elemental balance of the Earth and the growth mechanism of the CC [38]. Previous studies focused on different Nb–Ta minerals occurrence state, the Nb–Ta concentrations in minerals and rocks, and the Nb/Ta ratios [25,27,36,40,41,42,43]. However, the spatial distribution of Nb–Ta concentrations and their ratios in subduction zones has long been overlooked in previous studies. In the past decade, the establishment and refinement of the global geochemical databases have provided effective means for big data analysis and statistics in Earth sciences [44]. By analyzing the geochemical characteristic of global rocks, patterns can be found in the distribution of elements in different tectonic settings [45,46,47].
In this study, based on the global geochemical data set of mafic rocks (0–5 Ma) in typical arc-continent systems, the spatial distribution characteristics of Nb–Ta were investigated, and cumulative distribution function (CDF) was used to obtain the threshold value of Nb and Ta in arc tectonic settings (12.20 ppm and 0.796 ppm). It can be fitted that the Nb and Ta concentrations are exponentially correlated with the subduction distance, with the values of Nb/Ta ratios, however, stay stable. The data characteristics implied that the subduction distance, which may be directly related to the subduction depth, may provide a first-order explanation for the observed distribution patterns for the Nb–Ta concentrations in subduction zones.
2 Data and methods
The geochemical data used in the present study came from EarthChem (Geochemical Databases for the Earth), a well-known international scientific database system in petrology [48,49]. Because the database is not expected to arbitrarily generate from a bias for rocks of a particular age, the geochemical data of igneous rocks from the EarthChem database are representative of global magmatism throughout Earth’s history [16]. Therefore, such a database is probably the best means currently for assessing the spatial distribution of geochemical elements in worldwide rocks.
2.1 Data compilation and filtering
The continuous plate tectonic activity on the Earth would constantly change the location of igneous rocks; therefore, ancient rocks, which had been subjected to possible multiple tectonic transformations, are unreliable candidates to represent their geographical locations in subduction zones. The short history of the young rocks (≤5 Ma) makes their occurrence locations reliable to stand for the geographical locations of the geological settings. Therefore, those mafic rocks (45–53 wt% SiO2) younger than 5 Ma in subduction zones were selected to constrain the Nb–Ta properties during plate subduction.
Rocks in the continental collision zone were discarded first, as these rocks were related to continental subduction processes, where the elements may behave differently from those in the oceanic subduction zones. Rocks from East African Great Rift Valley were not included here for the same reason. The Ocean Island Basalts (OIB), which are far away from subduction zones, are also removed from the data sets. Because these rocks are believed to be derived from mantle plumes [50,51,52], they are not suitable for the present study. The mafic rocks in western North America were also excluded because they were related to mid-oceanic ridge subduction [53,54,55,56]. Such geological process may induce complicated geochemical geodynamical processes of mafic rocks.
2.2 Method
2.2.1 Subduction zone geometry model
Subduction zone model data come from the Slab 2 proposed by Hayes et al. [57]. Slab 2 describes the detailed geometry of more than 24 million square kilometers of subducted slabs; the data for Slab 2 include data distribution (X, Y) and slab depth models (Z) on a regional level. It provides greater global coverage at a finer resolution than previous global subduction zone geometry models [57,58]. We modeled the slab depth at individual nodes over a grid for each subduction zone and then interpolated those depths onto a 3D grid, or surface (Figure 1). According to the depth of subduction zone models, we can get the direction that slab subducted and extract the data from the outermost beginning of the subduction zone as the boundary line of subduction zone. The shortest distance from mafic rocks to the subduction zone (trench), called “subduction distance” in this paper, is calculated based on the inferior arc length of the great circle from the sample location (longitude and latitude) to the boundary line of subduction zone.

Global subduction geometry models. Data obtained from https://www.sciencebase.gov/catalog/item/5aa1b00ee4b0b1c392e86467.
2.2.2 Statistical methods
As geochemical element concentrations are influenced by many factors [59], individual elemental concentrations appear to be random, but there is a clear statistical pattern in the case of a large number of samples. In our study, we used the kernel density estimation method that can be used in probability theory to estimate an unknown density function. The probability density function (PDF) of the Nb–Ta concentrations corresponding to subduction distances from 0 to 2,200 km was calculated using kernel density estimation method; the width of the sample window is set at 200 km subduction distance, while the step width is set at 100 km subduction distance. Mean value and corresponding standard error for every 60 km subduction distance were obtained by calculating the average value and standard deviation of those data sets. The step width is set at 30 km subduction distance.
3 Results
3.1 Characteristics of spatial distribution
As shown in Figure 2, in East Asia and South America, mafic rocks in arc tectonic systems hold relatively low Nb concentrations, while the Nb concentrations of the intracontinental mafic are higher (Figure 2a and b). It is also noteworthy that intracontinental mafic rocks in East Asia are significantly more Nb-enriched than those from South America. Similarly, rocks in typical arc tectonic settings (e.g., Sumatra Island and Vanuatu) have the low Nb concentrations (Figure 2c and d). A similar trend can also be observed in Ta (Figure 2e–h). In arc mafic rocks, the concentrations of Ta are lower than in intracontinental mafic rocks. These observations suggest a systematical difference of Nb–Ta concentrations between arc mafic rocks and intracontinental mafic rocks.

The characteristics of Nb–Ta concentrations of mafic rocks near subduction zone. (a–d) Locations and concentrations of Nb (ppm) of mafic rock samples (0–5 Ma ages, 45–53 wt% SiO2) in East Asia, South America, Vanuatu, and Sumatra-Java. (e–f) Locations and concentrations of Ta (ppm) of mafic rock samples (0–5 Ma ages, 45–53 wt% SiO2) in East Asia, South America, Vanuatu, and Sumatra-Java. (i–l) Depth-distance compositional models in East Asia, South America, Vanuatu, and Sumatra-Java. The color bar means the depth of subduction (km), color with yellow means relatively low depth of subduction, and color with blue means the relatively high depth of subduction.
3.2 Threshold value of Nb–Ta in arc tectonic systems
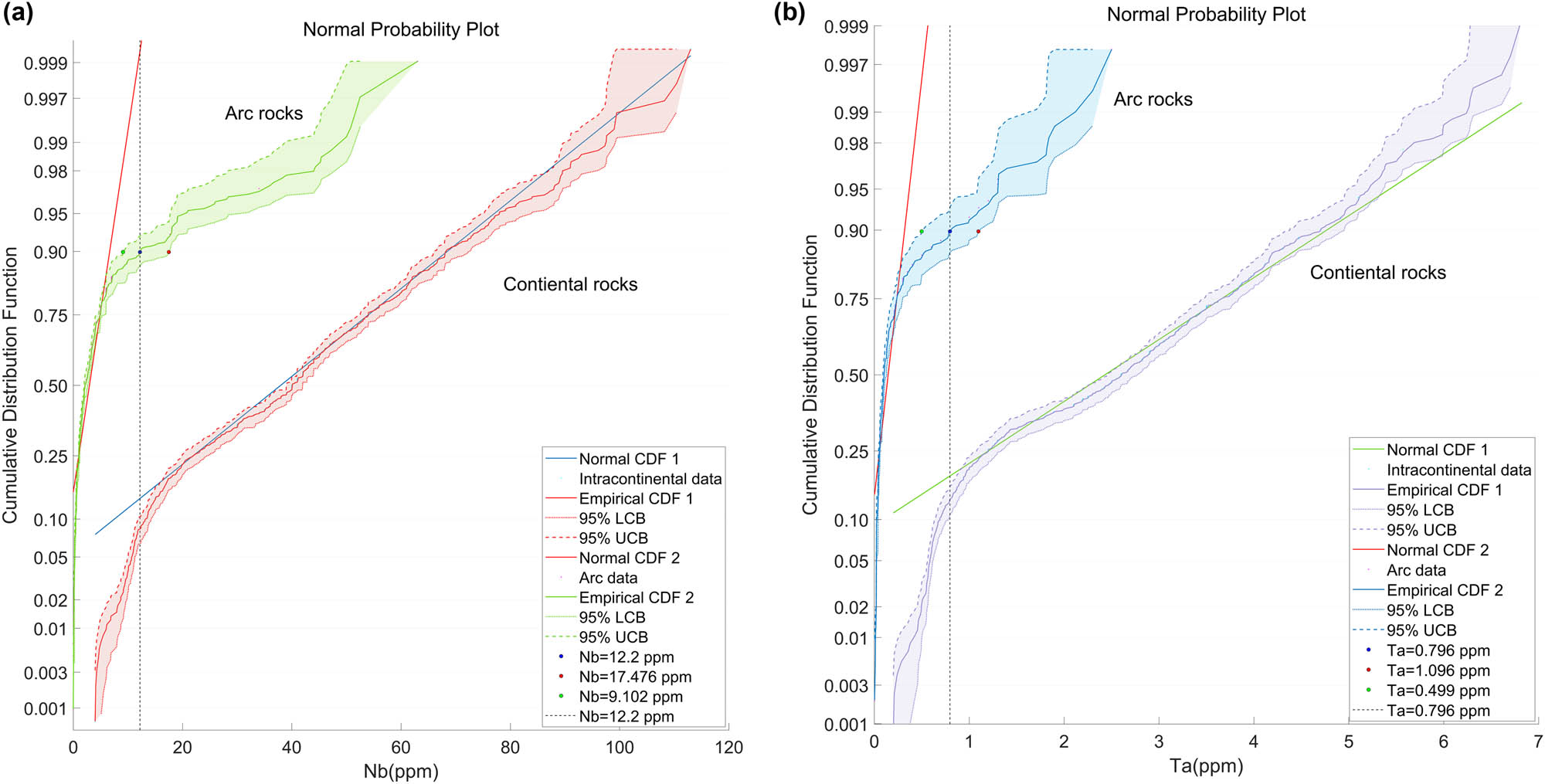
In Figure 3, the element contents (Nb–Ta) of the arc data do not obey a normal distribution. These data points should fall near the Normal CDF 2 (red line) in the figure, but the actual data show that the distribution deviates significantly from the normal distribution. As a result, large biases and misinterpretations will be introduced using traditional means and standard deviations. Therefore, we used the empirical CDF to calculate the cumulative probability of Nb–Ta concentrations of arc and intracontinental mafic rocks. As shown in Figure 3a, 90% of the arc samples have Nb concentrations below 12.20 ppm. In contrast, more than 90% of the intracontinental samples have Nb concentrations above 12.20 ppm. Accordingly, the 12.20 ppm for Nb concentrations was suggested as an empirical reference threshold to distinguish the arc and intracontinental settings. Mafic rocks (<5 Ma) with Nb concentrations above this threshold are less likely to be produced in arc settings, and based on the 95% lower and upper confidence bounds of the empirical CDF, we obtain the threshold upper and lower bounds of 9.20 ppm and 17.68 ppm for Nb concentrations, respectively. In Figure 3b, the classified threshold of Ta in arc systems is 0.796 ppm, and 90% of the arc samples have Ta concentrations below 0.796 ppm, with upper and lower bounds for Ta concentrations of 0.499 ppm and 1.096 ppm, respectively. In general, future big data studies may use the threshold value of Nb–Ta in arc tectonic systems as a reference standard for classifying the rocks from arc or intracontinental tectonic systems preliminarily.

The cumulative distribution function of Nb (a) and Ta concentrations (b) for arc-continent tectonic systems. The green (arc), red (continent), blue (arc), and purple (continent) bands denote 95% lower and upper confidence bounds (CB) of samples. (a) The blue line (normal CDF1) and red line (normal CDF2) denote the normal distribution of Nb concentrations in arc and continent systems, respectively. (b) The green line (normal CDF1) and red line (normal CDF2) denote the normal distribution of Ta concentrations samples in arc and continent systems, respectively. The fold line in bands denotes the cumulative probability of samples based on empirical CDF. Points with green, blue, and red color means the lower limit values, threshold values, and upper limit values of Nb–Ta concentrations in arc tectonic environments, respectively (90% probability).
3.3 The relationship of Nb–Ta concentrations and subduction distance
3.3.1 Probability density function
To investigate the relationship between geochemical indicators (Nb–Ta) of mafic rocks and subduction distance, we calculated the concentrations distribution and mean-standard error distribution, probability density distribution of Nb–Ta at different subduction distance intervals (As shown in Figure 4a and b). It can be used to visualize the distribution of data which is helpful to grasp and summarize the distribution rules of geochemical element contents of mafic rocks at different subduction distance. In different subduction distance intervals, Nb and Ta concentrations of mafic rocks have different trends. All the Nb and Ta concentrations varied over a small range before ∼350 km. Such a region is dominated by arc mafic rocks with the Nb–Ta concentrations. Both Nb and Ta concentrations show a rapid increase in trends with subduction distance from 350 to 700 km. A decrease in Nb and Ta concentrations can be seen in subduction distances between 700 and 1,200 km. After 1,200 km, Nb and Ta concentrations keep at high values with relatively small fluctuations. According to the depth-distance models (Figure 2i–l), slab depth (>700 km) and slab extend distance (>1,300 km) of subduction zone geometry models have few reliable records [57,60,61,62]. When the distance from mafic rocks to the boundary subduction zone is higher than 1,300 km, magmatism may play a lesser role in controlling the concentrations of elements (Nb–Ta) of those mafic rocks.

Concentrations distribution, mean values distribution, and probability density distribution of Nb (a) and Ta (b) trends in mafic rocks. The mean values are applied with the window width equal to 60 km, while the moving step width is 30 km. Error bars denote one standard error of the mean (SEM). The light gray and dark gray bands are the PDF estimated using kernel density estimation method. The window width is 100 km, and the moving step width is 50 km.
3.3.2 The regression equation of Nb–Ta and subduction distance
The current slab models are not available after a certain distance (>1,300 km) and depth (>700 km). There is a difficulty in fitting the relationship with the whole data. Therefore, the data from 0 to 700 km of subduction distance were extracted to establish a function of subduction distance. The results show that all the Nb and Ta concentrations of mafic rocks increase as subduction distance increases from 0 to 700 km (Figure 5a and b). The corresponding fit equations were obtained by regression analysis (see equations (1) and (2)). The R 2 values of the Nb and Ta regression equation were 0.679 and 0.773, respectively, which can be considered statistically significant correlations. It suggests that the content of Nb and Ta in mafic rocks increases as the subduction distance increases during the subduction scenario.

The regression relationship between Nb (a) and Ta (b) concentrations and the subduction distance. The black curve is the regression curve.
3.3.3 The Nb/Ta ratios
As an important element pair, the ratio between Nb and Tb can be used as a geochemical indicator to trace source materials for magmatic systems [38]. The change of Nb/Ta ratios is an important research field for the formation and evolution of CC [25,26,30,38,63]. Terrestrial major geochemical reservoirs may have distinct Nb/Ta ratios, such as CC has relatively low Na/Ta ratios at ∼12 [12,38] while depleted mantle (DM) has relatively high Nb/Ta ratios of ∼15 [27,64,65], and the Nb/Ta ratios from island arc basalt in Kamchatka is 11.3 to 17.8 [66]. In this paper, the Nb/Ta ratios are 12 to 19 in mafic rocks (<2,200 km), which show an increase in trend from ∼11 to ∼17 with subduction distance in regions of 0–350 km but stayed relatively stable at ∼15–18 when subduction distances between 400 and 2,000 with occasional fluctuations (Figure 6). It is worth noting that although the Nb and Ta concentrations of mafic rocks increase rapidly with the distances to subduction zones increase from 350 to 700 km (Figure 5a and b), their Nb/Ta ratios remain relatively constant.

The Nb/Ta ratios’ trends of mafic rocks. The yellow circles are mean values corresponding to distance ranging from 0 to 2,200 km (the window width is 60 km and the moving step width is 30 km). Error bars denote one standard error of the mean (SEM).
4 Discussion
Several factors may play parts in the Nb and Ta concentrations in mafic rocks, among which Nb–Ta contents of source materials, the degree of partial melting, and possible crustal contamination are key processes that may be responsible for the observed Nb–Ta variation trend with subduction distances. Previous studies [27,67,68,69] have demonstrated that the dehydration fluid of subducted slab can dissolve little HFSEs such as Nb and Ta at low pressure, while at higher pressure, where key accessory minerals such as rutile start to dissolute in hydrous melt or even supercritical fluids, more Nb and Ta can be dissolved in the fluid and transported to the mantle [30,31,33,34,38,43,70,71]. Therefore, deeper metasomatic fluids would entrain greater Nb and Ta to their overlying mantle wedge and induce partial melting, resulting in higher Nb and Ta concentrations in the source. In a typical modern subduction system, the subduction is in direct proportion to the subduction depth, which provides a first-order explanation for the observed co-variation trends between the Nb–Ta concentrations in mafic rocks and the subduction distances. It is also worth noting that the Nb and Ta concentrations follow the first flat and then gradually changed to steep increasing trends with subduction distances. Such a pattern agrees well with the behavior of HFSE partitioning in the subduction zone fluid, which shows limited mobility at low pressure and increase exponentially with depth at high pressure where accessory minerals such as rutile and Fe–Ti oxides start to dissolve into fluids [72], thus releasing Nb and Ta to the mantle. The established transform pressure for rutile to Ti-clinohumite is ∼8 GPa for UHP eclogite, corresponding to the depth of ∼250 km, suggesting a possible transform of HFSE mobility in the subduction zone fluids. Experiment studies also indicate that the HFSE contents of low-degree melts increase dramatically with pressures, and the enrichment of Nb and Ta in some OIBs suggesting a partial melting that takes place at depths of >300 km [73]. Therefore, the observed covariation trends of Nb and Ta concentrations in mafic volcanic rocks with their subduction distances may be large because of the pressure difference of their sources. Crustal contamination may also be capable of increasing the Nb and Ta concentrations in the mafic magma, as crustal rocks have significantly higher Nb and Ta concentrations than the mantle rocks [10,11,65,74–84]. However, because the Nb/Ta ratios of crustal rocks are generally low [12,27], significant crustal contamination would result in a co-variation trend in Nb vs Nb/Ta, with higher Nb concentrations corresponding to lower Nb/Ta ratios. When the subduction distance is between 350 km and 700 km, the Nb and Ta concentrations continue to increase, but the Nb/Ta ratios are relatively similar, thus indicating insignificant crustal contamination in most of the samples investigated here. The degree of partial melting and fractional crystallization of the studied mafic rocks is unlikely to systematically change with subduction distances, as mafic magmas generally experience less degree of fractional crystallizations.
In respect to Nb/Ta ratios, compared with a DM (∼15–17), both CC and arc magmas exhibit low Nb/Ta ratios ∼12. However, the exact mechanism for the arc magma and CC to develop low Nb/Ta ratios is vague. Fractionation of Nb and Ta during slab dehydration and transport of hydrous fluid has been proposed to explain the low Nb/Ta ratios in arc magmas [27]. However, others suggest that arclogites with high Nb/Ta ratios (∼19) may serve as a counterpart for the formation of arc magmas and CC [85,86]. Nevertheless, a fractionation between Nb and Ta during arc magma formation is observed. In the present study, the Nb/Ta ratios in mafic rocks from arc settings show an increasing trend with the subduction distances (0–350 km), from ∼11 to ∼17, with relatively low Nb and Ta concentrations. In contrast, in regions dominated by intracontinental magmatism (350–700 km and beyond), Nb and Ta concentrations rapidly increase to high levels with relatively constant mantle-like Nb/Ta ratios. Such a result suggests that, at low pressure, although the releasing fluid has low concentrations of HFSEs such as Nb and Ta, their Nb/Ta ratios seem lower (maybe less than 11) at first with strong crustal signatures. Such a fluid infiltrated and metasomatized the mantle wedge, thus resulting in low Nb/Ta ratios (∼11) and low Nb and Ta concentrations in mafic arc rocks that are close to the subduction zones. The increase in Nb/Ta ratios with subduction distances suggests that with the increase in subduction depth, the increase in temperature and pressure would result in smaller Nb–Ta fractionations, and fewer continental crustal signatures. The relatively constant high Nb/Ta ratios in mafic rocks that are far away from subduction zones (distance >350–700 km) suggest limited Nb–Ta fractionation during the slab–fluid interactions at the region. Their Nb/Ta ratios are close to the mantle values supporting the above-discussed idea.
Compared with the traditional geochemical analysis, the numerical performance of Nb–Ta concentrations and regression models in this paper was based on large data and statistical methods. During the data process, we found that data distribution has multi-peak characteristics and does not conform to the normal distribution. We introduced the kernel function estimation method from statistics into the study of geochemical data and propose PDF for data sets without removing the anomalous data, so as to accurately grasp the distribution pattern of the data. The Nb–Ta thresholds were estimated using the CDF, which does not require grouping of the data. Besides, this function will not lose any information, and it is unique for given data sets. In future works, more geochemical indicators can be statistically analyzed. Such attempts and practices may bring new insights into the studies of geochemical cycles and geophysical structures in subduction zones.
5 Conclusion
In this paper, we analyzed the spatial distribution of Nb–Ta in mafic rocks from a statistical perspective by using geophysical models and geochemical data. The upper limit values of Nb–Ta in arc tectonic environments were calculated by CDF. Based on the PDF of Nb–Ta with subduction distance, a regression function model was developed. The following conclusions were obtained.
There are obvious differences in spatial distribution of Nb–Ta concentrations in mafic rocks. That is, arc mafic rocks contain relatively low Nb–Ta concentrations, while the intracontinental mafic rocks contain high Nb–Ta concentrations.
The new geochemical index values of Nb (12.20 ppm) and Ta (0.796 ppm) were proposed to reflect the upper limit of Nb–Ta concentrations in arc tectonic systems based on the CDF. The threshold value can be used as a basic standard for judging whether these mafic rocks are produced by arc tectonic systems.
Nb–Ta concentrations showed a correlation with increasing subduction distance, and the coefficients of R 2 were determined to be 0.679 and 0.773, respectively. As the subduction distance increased, the concentrations of Nb and Ta increased. By contrast, the Nb/Ta ratios do not change significantly, and they remain stable in the range of 12–19.
In our research, the observed covariation trends of Nb and Ta concentrations in mafic rocks with their subduction distances may be large because of the pressure difference of their sources and crustal contamination. However, the relatively similar Nb/Ta ratios along with subduction distances between 350 and 700 km thus suggest insignificant crustal contamination for most of the samples here.
Acknowledgments
This study was supported by Natural Science Foundation of China (Grant No. 41873034, 41703006), National Key R&D Program of China (Grant No. 2016YFC0600404, 2016YFC0600206), and the Fundamental Research Funds for the Central Universities (Grant No. PA2018GDQT0020, JZ2019HGTB0071).
References
[1] Ellam RM, Hawkesworth CJ. Is average continental crust generated at subduction zones? Geology. 1988;16(4):314–7. 10.1130/0091-7613(1988)016<0314:IACCGA>2.3.CO;2.Search in Google Scholar
[2] McCulloch MT, Gamble JA. Geochemical and geodynamical constraints on subduction zone magmatism. Earth Planet Sci Lett. 1991;102(3–4):358–74. 10.1016/0012-821X(91)90029-H.Search in Google Scholar
[3] Bourdon B, Turner S, Dosseto A. Dehydration and partial melting in subduction zones: constraints from U-series disequilibria. J Geophys Res Solid Earth. 2003;108:B6. 10.1029/2002JB001839.Search in Google Scholar
[4] Li HM, Zhai SK, Tao CH, Yu ZH, Ji M. Advances on the magmatism processes in the subduction zones [in Chinese with English abstract]. Adv Mar Sci. 2009;27(1):98–105.Search in Google Scholar
[5] Zheng YF. Metamorphic chemical geodynamics in continental subduction zones. Chem Geol. 2012;328:5–48. 10.1016/j.chemgeo.2012.02.005.Search in Google Scholar
[6] Li HY, Chen RX, Zheng YF, Hu ZC. The crust-mantle interaction in continental subduction channels: zircon evidence from orogenic peridotite in the Sulu orogen. J Geophys Res Solid Earth. 2016;121(2):687–712. 10.1002/2015JB012231.Search in Google Scholar
[7] Cai P, Xu R, Zheng Y, Liu J, Chen X, Yu J. From oceanic subduction to continental collision in North Qaidam: evidence from Kaipinggou orogenic M-type peridotite [in Chinese with English abstract]. Earth Sci. 2018;43(8):2875–92. 10.3799/dqkx.2018.112.Search in Google Scholar
[8] Ma C, Tang YJ, Ying JF. Magmatism in subduction zones and growth of continental crust [in Chinese with English abstract]. Earth Sci. 2019;44(4):1128–42. 10.3799/dqkx.2019.026.Search in Google Scholar
[9] Turcotte DL, Kellogg LH. Isotopic modeling of the evolution of the mantle and crust. Rev Geophys. 1986;24(2):311–28. 10.1029/RG024i002p00311.Search in Google Scholar
[10] Rudnick RL, Fountain DM. Nature and composition of the continental crust: a lower crustal perspective. Rev Geophys. 1995;33(3):267–309. 10.1029/95RG01302.Search in Google Scholar
[11] Plank T, Langmuir CH. The chemical composition of subducting sediment and its consequences for the crust and mantle. Chem Geol. 1998;145(3–4):325–94. 10.1016/S0009-2541(97)00150-2.Search in Google Scholar
[12] Barth MG, McDonough WF, Rudnick RL. Tracking the budget of Nb and Ta in the continental crust. Chem Geol. 2000;165(3–4):197–213. 10.1016/S0009-2541(99)00173-4.Search in Google Scholar
[13] Niu YL, Zhao ZD, Zhu DC, Mo XX. Continental collision zones are primary sites for net continental crust growth – a testable hypothesis. Earth-Sci Rev. 2013;127:96–110. 10.1016/j.earscirev.2013.09.004.Search in Google Scholar
[14] Song SG, Wang MJ, Wang C, Niu YL. Magmatism during continental collision, subduction, exhumation and mountain collapse in collisional orogenic belts and continental net growth: a perspective. Sci China Earth Sci. 2015;58(8):1284–304. 10.1007/s11430-015-5102-x.Search in Google Scholar
[15] Dai LQ, Zhao ZF. Mafic igneous rocks in continental collision orogen record recycling of subducted paleo-oceanic crust [in Chinese with English abstract]. Earth Sci. 2019;44(12):4128–34. 10.3799/dqkx.2019.240.Search in Google Scholar
[16] Liu H, Sun WD, Zartman R, Tang M. Continuous plate subduction marked by the rise of alkali magmatism 2.1 billion years ago. Nat Commun. 2019;10(1):1–8. 10.1038/s41467-019-11329-z.Search in Google Scholar PubMed PubMed Central
[17] Zheng YF. Subduction zone geochemistry. Geosci Front. 2019;10(4):1223–54. 10.1016/j.gsf.2019.02.003.Search in Google Scholar
[18] Zhao ZF, Chen RX, Chen YX, Dai LQ, Zheng YF. Progresses in the study of partial melting of ultrahigh-pressure metamorphic rocks and crust-mantle interaction in continental subduction zones [in Chinese with English abstract]. Bull Mineral Petrol Geochem. 2021;40(01):36–59+3-4. 10.19658/j.issn.1007-2802.2021.40.009.Search in Google Scholar
[19] Yu MM, Dilek Y, Yumul GP Jr, Yan Y, Dimalanta CB. Slab-controlled elemental–isotopic enrichments during subduction initiation magmatism and variations in forearc chemostratigraphy. Earth Planet Sci Lett. 2020;538:116217. 10.1016/j.eps1.2020.116217.Search in Google Scholar
[20] Zhai M, Peng P. Origin of early continents and beginning of plate tectonics. Sci Bull. 2020;65(12):970–3. 10.1016lj.scib.2020.03.022.Search in Google Scholar
[21] Cheng QM. Multifractal theory and geochemical element distribution pattern[in Chinese with English abstract]. Earth Sci. 2000;25(3):311–8.Search in Google Scholar
[22] Wei CJ, Zhang YH. Phase transition in the subducted oceanic lithosphere and generation of the subduction zone magma. Chin Sci Bull. 2008;53(23):3603. 10.1007/s11434-008-0405-3.Search in Google Scholar
[23] Chen L, Zhao ZF, Zheng YF. Origin of andesitic rocks: geochemical constraints from Mesozoic volcanics in the Luzong basin, South China. Lithos. 2014;190:220–39. 10.1016/j.lithos.2013.12.011.Search in Google Scholar
[24] Zheng YF, Chen YX, Dai LQ, Zhao ZF. Developing plate tectonics theory from oceanic subduction zones to collisional orogens. Sci China Earth Sci. 2015;58(7):1045–69. 10.1007/s11430-015-5097-3.Search in Google Scholar
[25] Green TH. Significance of Nb/Ta as an indicator of geochemical processes in the crust-mantle system. Chem Geol. 1995;120(3–4):347–59. 10.1016/0009-2541(94)00145-X.Search in Google Scholar
[26] Dostal J, Chatterjee AK. Contrasting behaviour of Nb/Ta and Zr/Hf ratios in a peraluminous granitic pluton (Nova Scotia, Canada). Chem Geol. 2000;163(1–4):207–18. 10.1016/S0009-2541(99)00113-8.Search in Google Scholar
[27] Rudnick RL, Barth M, Horn I,WF. Rutile-bearing refractory eclogites: missing link between continents and depleted mantle. Science. 2000;287(5451):278–81. 10.1126/science.287.5451.278.Search in Google Scholar
[28] Rapp RP, Shimizu N, Norman MD. Growth of early continental crust by partial melting of eclogite. Nature. 2003;425(6958):605–9. 10.1038/nature02031.Search in Google Scholar
[29] Weyer S, Münker C, Mezger K. Nb/Ta, Zr/Hf and REE in the depleted mantle: implications for the differentiation history of the crust–mantle system. Earth Planet Sci Lett. 2003;205(3–4):309–24. 10.1016/S0012-821X(02)01059-2.Search in Google Scholar
[30] Xiao YL, Sun WD, Hoefs J, Simon K, Zhang ZM, Li SG, et al. Making continental crust through slab melting: constraints from niobium–tantalum fractionation in UHP metamorphic rutile. Geochim Cosmochim Acta. 2006;70(18):4770–82. 10.1016/j.gca.2006.07.010.Search in Google Scholar
[31] Zhang ZM, Shen K, Sun WD, Liu YS, Liou JG, Shi G, et al. Fluids in deeply subducted continental crust: petrology, mineral chemistry and fluid inclusion of UHP metamorphic veins from the Sulu orogen, eastern China. Geochim Cosmochim Acta. 2008;72(13):3200–28. 10.1016/j.gca.2008.04.014.Search in Google Scholar
[32] Ding X, Lundstrom C, Huang F, Li J, Zhang ZM, Sun XM, et al. Natural and experimental constraints on formation of the continental crust based on niobium–tantalum fractionation. Int Geol Rev. 2009;51(6):473–501. 10.1080/00206810902759749.Search in Google Scholar
[33] Beinlich A, Klemd R, John T, Gao J. Trace-element mobilization during Ca-metasomatism along a major fluid conduit: eclogitization of blueschist as a consequence of fluid–rock interaction. Geochim Cosmochim Acta. 2010;74(6):1892–922. 10.1016/j.gca.2009.12.011.Search in Google Scholar
[34] Huang J, Xiao YL, Gao Y, Hou ZH, Wu W. Nb–Ta fractionation induced by fluid-rock interaction in subduction-zones: constraints from UHP eclogite-and vein-hosted rutile from the Dabie orogen, Central-Eastern China. J Metamorphic Geol. 2012;30(8):821–42. 10.1111/j.1525-1314.2012.01000.x.Search in Google Scholar
[35] Liu L, Xiao YL, Aulbach S, Li DY, Hou ZH. Vanadium and niobium behavior in rutile as a function of oxygen fugacity: evidence from natural samples. Contrib Mineral Petrol. 2014;167(6):1026. 10.1007/s00410-014-1026-2.Search in Google Scholar
[36] Chen YX, Zheng YF. Extreme Nb/Ta fractionation in metamorphic titanite from ultrahigh-pressure metagranite. Geochim Cosmochim Acta. 2015;150:53–73. 10.1016/j.gca.2014.12.002.Search in Google Scholar
[37] Peng SB, Liu SF, Lin MS, Wu CF, Hang QS. Early Paleozoic subduction in Cathaysia (ii): new evidence from the Dashuang high magnesian-magnesian andesite[in Chinese with English abstract]. Earth Sci. 2016;41(6):931–47. 10.3799/dqkx.2016.079.Search in Google Scholar
[38] Tan DB, Li DY, Xiao YL. Geochemical characteristics of niobium and tantalum: a review of twin elements [in Chinese with English abstract]. Earth Sci. 2018;43(1):317–32. 10.3799/dqkx.2018.019.Search in Google Scholar
[39] Zheng YF, Xu Z, Chen L, Dai LQ, Zhao ZF. Chemical geodynamics of mafic magmatism above subduction zones. J Asian Earth Sci. 2020;194:104185. 10.1016/j.jseaes.2019.104185.Search in Google Scholar
[40] Stalder R, Foley SF, Brey GP, Horn I. Mineral-aqueous fluid partitioning of trace elements at 900–1,200°C and 3.0–5.7 GPa: new experimental data for garnet, clinopyroxene, and rutile, and implications for mantle metasomatism. Geochim Cosmochim Acta. 1998;62(10):1781–801. 10.1016/s0016-7037(98)00101-x.Search in Google Scholar
[41] Klemme S, Blundy JD, Wood BJ. Experimental constraints on major and trace element partitioning during partial melting of eclogite. Geochim Cosmochim Acta. 2002;66(17):3109–23. 10.1016/S0016-7037(02)00859-1.Search in Google Scholar
[42] Zack T, Kronz A, Foley SF, Rivers T. Trace element abundances in rutiles from eclogites and associated garnet mica schists. Chem Geol. 2002;184(1–2):97–122. 10.1016/S0009-2541(01)00357-6.Search in Google Scholar
[43] John T, Gussone N, Podladchikov YY, Bebout GE, Dohmen R, Halama R, et al. Volcanic arcs fed by rapid pulsed fluid flow through subducting slabs. Nat Geosci. 2012;5(7):489–92. 10.1038/ngeo1482.Search in Google Scholar
[44] Wu CL, Liu G. Big data and future development of geological science [in Chinese with English abstract]. Geol Bull China. 2019;38(7):1081–8.Search in Google Scholar
[45] Gray J, Szalay A. eScience-A transformed scientific method. Mountain View, CA: Presentation to the Computer Science and Technology Board of the National Research Council; 2007.Search in Google Scholar
[46] Hey T, Tansley S, Tolle K. The fourth paradigm: data-intensive-scientific discovery. Redmond: Microsoft Research; 2009.Search in Google Scholar
[47] Mayer-Schonberger V, CuKier K. Big data: a revolution that will transform how we live, work and think. New York: Houghton Mifflin Harcourt Publishing Company; 2013.Search in Google Scholar
[48] EarthChem. Portal search: www.earthchem.org/portal; 2017.Search in Google Scholar
[49] Nohl U, Sarbas B. GEOROC, the MPI geochemical rock database: introduction of the Web interface. AGU fall meeting; 1999.Search in Google Scholar
[50] Van der Hilst RD, Widiyantoro S, Engdahl ER. Evidence for deep mantle circulation from global tomography. Nature. 1997;386(6625):578–84. 10.1038/386578a0.Search in Google Scholar
[51] Kellogg LH, Hager BH, van der Hilst RD. Compositional stratification in the deep mantle. Science. 1999;283(5409):1881–4. 10.1126/science.283.5409.1881.Search in Google Scholar
[52] Zhang CL, Zou HB. Permian A-type granites in Tarim and western part of Central Asian orogenic belt (CAOB): genetically related to a common Permian mantle plume? Lithos. 2013;172:47–60. 10.1016/j.lithos.2013.04.001.Search in Google Scholar
[53] Madsen JK, Thorkelson DJ, Friedman RM, Marshall DD. Cenozoic to recent plate configurations in the Pacific Basin: ridge subduction and slab window magmatism in western North America. Geosphere. 2006;2(1):11–34. 10.1130/GES00020.1.Search in Google Scholar
[54] Thorkelson DJ. Subduction of diverging plates and the principles of slab window formation. Tectonophysics. 1996;255(1–2):47–63. 10.1016/0040-1951(95)00106-9.Search in Google Scholar
[55] Defant MJ, Drummond MS. Derivation of some modern arc magmas by melting of young subducted lithosphere. Nature. 1990;347(6294):662–5. 10.1038/347662a0.Search in Google Scholar
[56] Norton IO. Plate motions in the North Pacific: the 43 Ma nonevent. Tectonics. 1995;14(5):1080–94. 10.1029/95TC01256.Search in Google Scholar
[57] Hayes GP, Moore GL, Portner DE, Hearne M, Flamme H, Furthey M, et al. Slab2, a comprehensive subduction zone geometry model. Science. 2018;362(6410):58–61. 10.1126/science.aat4723.Search in Google Scholar PubMed
[58] Portner DE, Hayes GP. Incorporating teleseismic tomography data into models of upper mantle slab geometry. Geophys J Int. 2018;215(1):325–32. 10.1093/gji/ggy279.Search in Google Scholar
[59] Ge C, Wang FY, Li YD, Li XH, Li XY, Zhou YZ, et al. Analysis of geochemical indices of crustal thickness based on GEOROC big data [in Chinese with English abstract]. Acta Petrol Sin. 2018;34(11):3179–88.Search in Google Scholar
[60] Lu Z, Shao XB. Research on the diving plate shape characteristic of global diving belt [in Chinese with English abstract]. Seismol Res Northeast China. 2004;3(20):17–25. 10.3969/j.issn.1674-8565.2004.03.003.Search in Google Scholar
[61] Li CY, Xing JX, Li DY, Gong W, Guo YF, Li CY. Spatial difference and its impact on the subduction characteristics of the Kuril–Kamchatka subduction zone [in Chinese with English abstract]. Mar Sci. 2018;42(8):1–13. 10.11759/hykx20170809002.Search in Google Scholar
[62] Liu Z, Jianghai LI, Cui X, Yun X, Fan Q. Geometry of Aleutian subduction zone and its kinematic genesis [in Chinese with English abstract]. Geol Rev. 2018;64(3):543–550. 10.16509/j.georeview.2018.03.002.Search in Google Scholar
[63] Hofmann AW. Chemical differentiation of the Earth: the relationship between mantle, continental crust, and oceanic crust. Earth Planet Sci Lett. 1988;90(3):297–314. 10.1016/0012-821X(88)90132-X.Search in Google Scholar
[64] Workman RK, Hart SR. Major and trace element composition of the depleted MORB mantle (DMM). Earth Planet Sci Lett. 2005;231(1–2):53–72. 10.1016/j.epsl.2004.12.005.Search in Google Scholar
[65] Münker C, Pfänder JA, Weyer S, Büchl A, Kleine T, Mezger K. Evolution of planetary cores and the Earth–Moon system from Nb/Ta systematics. Science. 2003;301(5629):84–7. 10.1126/science.1084662.Search in Google Scholar
[66] Münker C, Wörner G, Yogodzinski G, Churikova T. Behaviour of high field strength elements in subduction zones: constraints from Kamchatka–Aleutian arc lavas. Earth Planet Sci Lett. 2004;224(3–4):275–93. 10.1016/j.epsl.2004.05.030.Search in Google Scholar
[67] Hermann J, Rubatto D. Accessory phase control on the trace element signature of sediment melts in subduction zones. Chem Geol. 2009;265(3–4):512–26. 10.1016/j.chemgeo.2009.05.018.Search in Google Scholar
[68] Baier J, Audétat A, Keppler H. The origin of the negative niobium tantalum anomaly in subduction zone magmas. Earth Planet Sci Lett. 2008;267(1–2):290–300. 10.1016/j.epsl.2007.11.032.Search in Google Scholar
[69] Janasi VA. Elemental and Sr–Nd isotope geochemistry of two Neoproterozoic mangerite suites in SE Brazil: implications for the origin of the mangerite–charnockite–granite series. Precambrian Res. 2002;119(1–4):301–27. 10.1016/S0301-9268(02)00127-4.Search in Google Scholar
[70] Gao J, John T, Klemd R, Xiong XM. Mobilization of Ti–Nb–Ta during subduction: evidence from rutile-bearing dehydration segregations and veins hosted in eclogite, Tianshan, NW China. Geochim Cosmochim Acta. 2007;71(20):4974–96. 10.1016/j.gca.2007.07.027.Search in Google Scholar
[71] John T, Klemd R, Gao J, Garbe-Schönberg CD. Trace-element mobilization in slabs due to non steady-state fluid-rock interaction: constraints from an eclogite-facies transport vein in blueschist (Tianshan, China). Lithos. 2008;103(1–2):1–24. 10.1016/j.lithos.2007.09.005.Search in Google Scholar
[72] Xiong X, Keppler H, Audétat A, Gudfinnsson G, Sun WD, Song MS, et al. Experimental constraints on rutile saturation during partial melting of metabasalt at the amphibolite to eclogite transition, with applications to TTG genesis. Am Mineral. 2009;94(8–9):1175–86. 10.2138/am.2009.3158.Search in Google Scholar
[73] Spandler C, Hermann J, Faure K, Mavrogenes JA, Arculus RJ. The importance of talc and chlorite “hybrid” rocks for volatile recycling through subduction zones; evidence from the high-pressure subduction mélange of new Caledonia. Contrib Mineral Petrol. 2008;155(2):181–98. 10.1007/s00410-007-0236-2.Search in Google Scholar
[74] Shaw DM, Reilly GA, Muysson JR, Pattenden GE, Campbell FE. An estimate of the chemical composition of the Canadian Precambrian shield. Can J Earth Sci. 1967;4(5):829–53. 10.1139/e67-058.Search in Google Scholar
[75] Shaw DM, Dostal J, Keays RR. Additional estimates of continental surface Precambrian shield composition in Canada. Geochim Cosmochim Acta. 1976;40(1):73–83. 10.1016/0016-7037(76)90195-2.Search in Google Scholar
[76] Weaver BL, Tarney J. Empirical approach to estimating the composition of the continental crust. Nature. 1984;310(5978):575–7. 10.1038/310575a0.Search in Google Scholar
[77] Rudnick RL, Taylor SR. The composition and petrogenesis of the lower crust: a xenolith study. J Geophys Res Solid Earth. 1987;92(B13):13981–4005. 10.1029/JB092iB13p13981.Search in Google Scholar
[78] Condie KC. Chemical composition and evolution of the upper continental crust: contrasting results from surface samples and shales. Chem Geol. 1993;104(1–4):1–37. 10.1016/0009-2541(93)90140-E.Search in Google Scholar
[79] Shaw DM, Dickin AP, Li H, Mcnutt R, Schwarcz H, Truscott MG. Crustal geochemistry in the Wawa-Foleyet region, Ontario. Can J Earth Sci. 1994;31(7):1104–21. 10.1139/e94-099.Search in Google Scholar
[80] Gao S, Luo TC, Zhang BR, Zhang HF, Han YW, Zhao ZD, et al. Chemical composition of the continental crust as revealed by studies in East China. Geochim Cosmochim Acta. 1998;62(11):1959–75. 10.1016/S0016-7037(98)00121-5.Search in Google Scholar
[81] Taylor SR, McLennan SM. The continental crust: its composition and evolution. Oxford: Blackwell Scientific; 1985.Search in Google Scholar
[82] Taylor SR, McLennan SM. The geochemical evolution of the continental crust. Rev Geophys. 1995;33(2):241–65. 10.1029/95RG00262.Search in Google Scholar
[83] Wedepohl KH. The composition of the continental crust. Geochim Cosmochim Acta. 1995;59(7):1217–32. 10.1016/0016-7037(95)00038-2.Search in Google Scholar
[84] Rudnick R, Gao S. Composition of the continental crust. Crust. 2014;3:1–64. 10.1016/B978-0-08-095975-7.00301-6.Search in Google Scholar
[85] Jagoutz O, Behn M. Foundering of lower island-arc crust as an explanation for the origin of the continental Moho. Nature. 2013;504:131–4. 10.1038/nature12758.Search in Google Scholar PubMed
[86] Tang M, Lee CTA, Chen K, Erdman M, Costin G, Jiang HH. Nb/Ta systematics in arc magma differentiation and the role of arclogites in continent formation. Nat Commun. 2019;10(1):1–8. 10.1038/s41467-018-08198-3.Search in Google Scholar PubMed PubMed Central
© 2021 Weiwei Li et al., published by De Gruyter
This work is licensed under the Creative Commons Attribution 4.0 International License.
Articles in the same Issue
- Regular Articles
- Lithopetrographic and geochemical features of the Saalian tills in the Szczerców outcrop (Poland) in various deformation settings
- Spatiotemporal change of land use for deceased in Beijing since the mid-twentieth century
- Geomorphological immaturity as a factor conditioning the dynamics of channel processes in Rządza River
- Modeling of dense well block point bar architecture based on geological vector information: A case study of the third member of Quantou Formation in Songliao Basin
- Predicting the gas resource potential in reservoir C-sand interval of Lower Goru Formation, Middle Indus Basin, Pakistan
- Study on the viscoelastic–viscoplastic model of layered siltstone using creep test and RBF neural network
- Assessment of Chlorophyll-a concentration from Sentinel-3 satellite images at the Mediterranean Sea using CMEMS open source in situ data
- Spatiotemporal evolution of single sandbodies controlled by allocyclicity and autocyclicity in the shallow-water braided river delta front of an open lacustrine basin
- Research and application of seismic porosity inversion method for carbonate reservoir based on Gassmann’s equation
- Impulse noise treatment in magnetotelluric inversion
- Application of multivariate regression on magnetic data to determine further drilling site for iron exploration
- Comparative application of photogrammetry, handmapping and android smartphone for geotechnical mapping and slope stability analysis
- Geochemistry of the black rock series of lower Cambrian Qiongzhusi Formation, SW Yangtze Block, China: Reconstruction of sedimentary and tectonic environments
- The timing of Barleik Formation and its implication for the Devonian tectonic evolution of Western Junggar, NW China
- Risk assessment of geological disasters in Nyingchi, Tibet
- Effect of microbial combination with organic fertilizer on Elymus dahuricus
- An OGC web service geospatial data semantic similarity model for improving geospatial service discovery
- Subsurface structure investigation of the United Arab Emirates using gravity data
- Shallow geophysical and hydrological investigations to identify groundwater contamination in Wadi Bani Malik dam area Jeddah, Saudi Arabia
- Consideration of hyperspectral data in intraspecific variation (spectrotaxonomy) in Prosopis juliflora (Sw.) DC, Saudi Arabia
- Characteristics and evaluation of the Upper Paleozoic source rocks in the Southern North China Basin
- Geospatial assessment of wetland soils for rice production in Ajibode using geospatial techniques
- Input/output inconsistencies of daily evapotranspiration conducted empirically using remote sensing data in arid environments
- Geotechnical profiling of a surface mine waste dump using 2D Wenner–Schlumberger configuration
- Forest cover assessment using remote-sensing techniques in Crete Island, Greece
- Stability of an abandoned siderite mine: A case study in northern Spain
- Assessment of the SWAT model in simulating watersheds in arid regions: Case study of the Yarmouk River Basin (Jordan)
- The spatial distribution characteristics of Nb–Ta of mafic rocks in subduction zones
- Comparison of hydrological model ensemble forecasting based on multiple members and ensemble methods
- Extraction of fractional vegetation cover in arid desert area based on Chinese GF-6 satellite
- Detection and modeling of soil salinity variations in arid lands using remote sensing data
- Monitoring and simulating the distribution of phytoplankton in constructed wetlands based on SPOT 6 images
- Is there an equality in the spatial distribution of urban vitality: A case study of Wuhan in China
- Considering the geological significance in data preprocessing and improving the prediction accuracy of hot springs by deep learning
- Comparing LiDAR and SfM digital surface models for three land cover types
- East Asian monsoon during the past 10,000 years recorded by grain size of Yangtze River delta
- Influence of diagenetic features on petrophysical properties of fine-grained rocks of Oligocene strata in the Lower Indus Basin, Pakistan
- Impact of wall movements on the location of passive Earth thrust
- Ecological risk assessment of toxic metal pollution in the industrial zone on the northern slope of the East Tianshan Mountains in Xinjiang, NW China
- Seasonal color matching method of ornamental plants in urban landscape construction
- Influence of interbedded rock association and fracture characteristics on gas accumulation in the lower Silurian Shiniulan formation, Northern Guizhou Province
- Spatiotemporal variation in groundwater level within the Manas River Basin, Northwest China: Relative impacts of natural and human factors
- GIS and geographical analysis of the main harbors in the world
- Laboratory test and numerical simulation of composite geomembrane leakage in plain reservoir
- Structural deformation characteristics of the Lower Yangtze area in South China and its structural physical simulation experiments
- Analysis on vegetation cover changes and the driving factors in the mid-lower reaches of Hanjiang River Basin between 2001 and 2015
- Extraction of road boundary from MLS data using laser scanner ground trajectory
- Research on the improvement of single tree segmentation algorithm based on airborne LiDAR point cloud
- Research on the conservation and sustainable development strategies of modern historical heritage in the Dabie Mountains based on GIS
- Cenozoic paleostress field of tectonic evolution in Qaidam Basin, northern Tibet
- Sedimentary facies, stratigraphy, and depositional environments of the Ecca Group, Karoo Supergroup in the Eastern Cape Province of South Africa
- Water deep mapping from HJ-1B satellite data by a deep network model in the sea area of Pearl River Estuary, China
- Identifying the density of grassland fire points with kernel density estimation based on spatial distribution characteristics
- A machine learning-driven stochastic simulation of underground sulfide distribution with multiple constraints
- Origin of the low-medium temperature hot springs around Nanjing, China
- LCBRG: A lane-level road cluster mining algorithm with bidirectional region growing
- Constructing 3D geological models based on large-scale geological maps
- Crops planting structure and karst rocky desertification analysis by Sentinel-1 data
- Physical, geochemical, and clay mineralogical properties of unstable soil slopes in the Cameron Highlands
- Estimation of total groundwater reserves and delineation of weathered/fault zones for aquifer potential: A case study from the Federal District of Brazil
- Characteristic and paleoenvironment significance of microbially induced sedimentary structures (MISS) in terrestrial facies across P-T boundary in Western Henan Province, North China
- Experimental study on the behavior of MSE wall having full-height rigid facing and segmental panel-type wall facing
- Prediction of total landslide volume in watershed scale under rainfall events using a probability model
- Toward rainfall prediction by machine learning in Perfume River Basin, Thua Thien Hue Province, Vietnam
- A PLSR model to predict soil salinity using Sentinel-2 MSI data
- Compressive strength and thermal properties of sand–bentonite mixture
- Age of the lower Cambrian Vanadium deposit, East Guizhou, South China: Evidences from age of tuff and carbon isotope analysis along the Bagong section
- Identification and logging evaluation of poor reservoirs in X Oilfield
- Geothermal resource potential assessment of Erdaobaihe, Changbaishan volcanic field: Constraints from geophysics
- Geochemical and petrographic characteristics of sediments along the transboundary (Kenya–Tanzania) Umba River as indicators of provenance and weathering
- Production of a homogeneous seismic catalog based on machine learning for northeast Egypt
- Analysis of transport path and source distribution of winter air pollution in Shenyang
- Triaxial creep tests of glacitectonically disturbed stiff clay – structural, strength, and slope stability aspects
- Effect of groundwater fluctuation, construction, and retaining system on slope stability of Avas Hill in Hungary
- Spatial modeling of ground subsidence susceptibility along Al-Shamal train pathway in Saudi Arabia
- Pore throat characteristics of tight reservoirs by a combined mercury method: A case study of the member 2 of Xujiahe Formation in Yingshan gasfield, North Sichuan Basin
- Geochemistry of the mudrocks and sandstones from the Bredasdorp Basin, offshore South Africa: Implications for tectonic provenance and paleoweathering
- Apriori association rule and K-means clustering algorithms for interpretation of pre-event landslide areas and landslide inventory mapping
- Lithology classification of volcanic rocks based on conventional logging data of machine learning: A case study of the eastern depression of Liaohe oil field
- Sequence stratigraphy and coal accumulation model of the Taiyuan Formation in the Tashan Mine, Datong Basin, China
- Influence of thick soft superficial layers of seabed on ground motion and its treatment suggestions for site response analysis
- Monitoring the spatiotemporal dynamics of surface water body of the Xiaolangdi Reservoir using Landsat-5/7/8 imagery and Google Earth Engine
- Research on the traditional zoning, evolution, and integrated conservation of village cultural landscapes based on “production-living-ecology spaces” – A case study of villages in Meicheng, Guangdong, China
- A prediction method for water enrichment in aquifer based on GIS and coupled AHP–entropy model
- Earthflow reactivation assessment by multichannel analysis of surface waves and electrical resistivity tomography: A case study
- Geologic structures associated with gold mineralization in the Kirk Range area in Southern Malawi
- Research on the impact of expressway on its peripheral land use in Hunan Province, China
- Concentrations of heavy metals in PM2.5 and health risk assessment around Chinese New Year in Dalian, China
- Origin of carbonate cements in deep sandstone reservoirs and its significance for hydrocarbon indication: A case of Shahejie Formation in Dongying Sag
- Coupling the K-nearest neighbors and locally weighted linear regression with ensemble Kalman filter for data-driven data assimilation
- Multihazard susceptibility assessment: A case study – Municipality of Štrpce (Southern Serbia)
- A full-view scenario model for urban waterlogging response in a big data environment
- Elemental geochemistry of the Middle Jurassic shales in the northern Qaidam Basin, northwestern China: Constraints for tectonics and paleoclimate
- Geometric similarity of the twin collapsed glaciers in the west Tibet
- Improved gas sand facies classification and enhanced reservoir description based on calibrated rock physics modelling: A case study
- Utilization of dolerite waste powder for improving geotechnical parameters of compacted clay soil
- Geochemical characterization of the source rock intervals, Beni-Suef Basin, West Nile Valley, Egypt
- Satellite-based evaluation of temporal change in cultivated land in Southern Punjab (Multan region) through dynamics of vegetation and land surface temperature
- Ground motion of the Ms7.0 Jiuzhaigou earthquake
- Shale types and sedimentary environments of the Upper Ordovician Wufeng Formation-Member 1 of the Lower Silurian Longmaxi Formation in western Hubei Province, China
- An era of Sentinels in flood management: Potential of Sentinel-1, -2, and -3 satellites for effective flood management
- Water quality assessment and spatial–temporal variation analysis in Erhai lake, southwest China
- Dynamic analysis of particulate pollution in haze in Harbin city, Northeast China
- Comparison of statistical and analytical hierarchy process methods on flood susceptibility mapping: In a case study of the Lake Tana sub-basin in northwestern Ethiopia
- Performance comparison of the wavenumber and spatial domain techniques for mapping basement reliefs from gravity data
- Spatiotemporal evolution of ecological environment quality in arid areas based on the remote sensing ecological distance index: A case study of Yuyang district in Yulin city, China
- Petrogenesis and tectonic significance of the Mengjiaping beschtauite in the southern Taihang mountains
- Review Articles
- The significance of scanning electron microscopy (SEM) analysis on the microstructure of improved clay: An overview
- A review of some nonexplosive alternative methods to conventional rock blasting
- Retrieval of digital elevation models from Sentinel-1 radar data – open applications, techniques, and limitations
- A review of genetic classification and characteristics of soil cracks
- Potential CO2 forcing and Asian summer monsoon precipitation trends during the last 2,000 years
- Erratum
- Erratum to “Calibration of the depth invariant algorithm to monitor the tidal action of Rabigh City at the Red Sea Coast, Saudi Arabia”
- Rapid Communication
- Individual tree detection using UAV-lidar and UAV-SfM data: A tutorial for beginners
- Technical Note
- Construction and application of the 3D geo-hazard monitoring and early warning platform
- Enhancing the success of new dams implantation under semi-arid climate, based on a multicriteria analysis approach: Case of Marrakech region (Central Morocco)
- TRANSFORMATION OF TRADITIONAL CULTURAL LANDSCAPES - Koper 2019
- The “changing actor” and the transformation of landscapes
Articles in the same Issue
- Regular Articles
- Lithopetrographic and geochemical features of the Saalian tills in the Szczerców outcrop (Poland) in various deformation settings
- Spatiotemporal change of land use for deceased in Beijing since the mid-twentieth century
- Geomorphological immaturity as a factor conditioning the dynamics of channel processes in Rządza River
- Modeling of dense well block point bar architecture based on geological vector information: A case study of the third member of Quantou Formation in Songliao Basin
- Predicting the gas resource potential in reservoir C-sand interval of Lower Goru Formation, Middle Indus Basin, Pakistan
- Study on the viscoelastic–viscoplastic model of layered siltstone using creep test and RBF neural network
- Assessment of Chlorophyll-a concentration from Sentinel-3 satellite images at the Mediterranean Sea using CMEMS open source in situ data
- Spatiotemporal evolution of single sandbodies controlled by allocyclicity and autocyclicity in the shallow-water braided river delta front of an open lacustrine basin
- Research and application of seismic porosity inversion method for carbonate reservoir based on Gassmann’s equation
- Impulse noise treatment in magnetotelluric inversion
- Application of multivariate regression on magnetic data to determine further drilling site for iron exploration
- Comparative application of photogrammetry, handmapping and android smartphone for geotechnical mapping and slope stability analysis
- Geochemistry of the black rock series of lower Cambrian Qiongzhusi Formation, SW Yangtze Block, China: Reconstruction of sedimentary and tectonic environments
- The timing of Barleik Formation and its implication for the Devonian tectonic evolution of Western Junggar, NW China
- Risk assessment of geological disasters in Nyingchi, Tibet
- Effect of microbial combination with organic fertilizer on Elymus dahuricus
- An OGC web service geospatial data semantic similarity model for improving geospatial service discovery
- Subsurface structure investigation of the United Arab Emirates using gravity data
- Shallow geophysical and hydrological investigations to identify groundwater contamination in Wadi Bani Malik dam area Jeddah, Saudi Arabia
- Consideration of hyperspectral data in intraspecific variation (spectrotaxonomy) in Prosopis juliflora (Sw.) DC, Saudi Arabia
- Characteristics and evaluation of the Upper Paleozoic source rocks in the Southern North China Basin
- Geospatial assessment of wetland soils for rice production in Ajibode using geospatial techniques
- Input/output inconsistencies of daily evapotranspiration conducted empirically using remote sensing data in arid environments
- Geotechnical profiling of a surface mine waste dump using 2D Wenner–Schlumberger configuration
- Forest cover assessment using remote-sensing techniques in Crete Island, Greece
- Stability of an abandoned siderite mine: A case study in northern Spain
- Assessment of the SWAT model in simulating watersheds in arid regions: Case study of the Yarmouk River Basin (Jordan)
- The spatial distribution characteristics of Nb–Ta of mafic rocks in subduction zones
- Comparison of hydrological model ensemble forecasting based on multiple members and ensemble methods
- Extraction of fractional vegetation cover in arid desert area based on Chinese GF-6 satellite
- Detection and modeling of soil salinity variations in arid lands using remote sensing data
- Monitoring and simulating the distribution of phytoplankton in constructed wetlands based on SPOT 6 images
- Is there an equality in the spatial distribution of urban vitality: A case study of Wuhan in China
- Considering the geological significance in data preprocessing and improving the prediction accuracy of hot springs by deep learning
- Comparing LiDAR and SfM digital surface models for three land cover types
- East Asian monsoon during the past 10,000 years recorded by grain size of Yangtze River delta
- Influence of diagenetic features on petrophysical properties of fine-grained rocks of Oligocene strata in the Lower Indus Basin, Pakistan
- Impact of wall movements on the location of passive Earth thrust
- Ecological risk assessment of toxic metal pollution in the industrial zone on the northern slope of the East Tianshan Mountains in Xinjiang, NW China
- Seasonal color matching method of ornamental plants in urban landscape construction
- Influence of interbedded rock association and fracture characteristics on gas accumulation in the lower Silurian Shiniulan formation, Northern Guizhou Province
- Spatiotemporal variation in groundwater level within the Manas River Basin, Northwest China: Relative impacts of natural and human factors
- GIS and geographical analysis of the main harbors in the world
- Laboratory test and numerical simulation of composite geomembrane leakage in plain reservoir
- Structural deformation characteristics of the Lower Yangtze area in South China and its structural physical simulation experiments
- Analysis on vegetation cover changes and the driving factors in the mid-lower reaches of Hanjiang River Basin between 2001 and 2015
- Extraction of road boundary from MLS data using laser scanner ground trajectory
- Research on the improvement of single tree segmentation algorithm based on airborne LiDAR point cloud
- Research on the conservation and sustainable development strategies of modern historical heritage in the Dabie Mountains based on GIS
- Cenozoic paleostress field of tectonic evolution in Qaidam Basin, northern Tibet
- Sedimentary facies, stratigraphy, and depositional environments of the Ecca Group, Karoo Supergroup in the Eastern Cape Province of South Africa
- Water deep mapping from HJ-1B satellite data by a deep network model in the sea area of Pearl River Estuary, China
- Identifying the density of grassland fire points with kernel density estimation based on spatial distribution characteristics
- A machine learning-driven stochastic simulation of underground sulfide distribution with multiple constraints
- Origin of the low-medium temperature hot springs around Nanjing, China
- LCBRG: A lane-level road cluster mining algorithm with bidirectional region growing
- Constructing 3D geological models based on large-scale geological maps
- Crops planting structure and karst rocky desertification analysis by Sentinel-1 data
- Physical, geochemical, and clay mineralogical properties of unstable soil slopes in the Cameron Highlands
- Estimation of total groundwater reserves and delineation of weathered/fault zones for aquifer potential: A case study from the Federal District of Brazil
- Characteristic and paleoenvironment significance of microbially induced sedimentary structures (MISS) in terrestrial facies across P-T boundary in Western Henan Province, North China
- Experimental study on the behavior of MSE wall having full-height rigid facing and segmental panel-type wall facing
- Prediction of total landslide volume in watershed scale under rainfall events using a probability model
- Toward rainfall prediction by machine learning in Perfume River Basin, Thua Thien Hue Province, Vietnam
- A PLSR model to predict soil salinity using Sentinel-2 MSI data
- Compressive strength and thermal properties of sand–bentonite mixture
- Age of the lower Cambrian Vanadium deposit, East Guizhou, South China: Evidences from age of tuff and carbon isotope analysis along the Bagong section
- Identification and logging evaluation of poor reservoirs in X Oilfield
- Geothermal resource potential assessment of Erdaobaihe, Changbaishan volcanic field: Constraints from geophysics
- Geochemical and petrographic characteristics of sediments along the transboundary (Kenya–Tanzania) Umba River as indicators of provenance and weathering
- Production of a homogeneous seismic catalog based on machine learning for northeast Egypt
- Analysis of transport path and source distribution of winter air pollution in Shenyang
- Triaxial creep tests of glacitectonically disturbed stiff clay – structural, strength, and slope stability aspects
- Effect of groundwater fluctuation, construction, and retaining system on slope stability of Avas Hill in Hungary
- Spatial modeling of ground subsidence susceptibility along Al-Shamal train pathway in Saudi Arabia
- Pore throat characteristics of tight reservoirs by a combined mercury method: A case study of the member 2 of Xujiahe Formation in Yingshan gasfield, North Sichuan Basin
- Geochemistry of the mudrocks and sandstones from the Bredasdorp Basin, offshore South Africa: Implications for tectonic provenance and paleoweathering
- Apriori association rule and K-means clustering algorithms for interpretation of pre-event landslide areas and landslide inventory mapping
- Lithology classification of volcanic rocks based on conventional logging data of machine learning: A case study of the eastern depression of Liaohe oil field
- Sequence stratigraphy and coal accumulation model of the Taiyuan Formation in the Tashan Mine, Datong Basin, China
- Influence of thick soft superficial layers of seabed on ground motion and its treatment suggestions for site response analysis
- Monitoring the spatiotemporal dynamics of surface water body of the Xiaolangdi Reservoir using Landsat-5/7/8 imagery and Google Earth Engine
- Research on the traditional zoning, evolution, and integrated conservation of village cultural landscapes based on “production-living-ecology spaces” – A case study of villages in Meicheng, Guangdong, China
- A prediction method for water enrichment in aquifer based on GIS and coupled AHP–entropy model
- Earthflow reactivation assessment by multichannel analysis of surface waves and electrical resistivity tomography: A case study
- Geologic structures associated with gold mineralization in the Kirk Range area in Southern Malawi
- Research on the impact of expressway on its peripheral land use in Hunan Province, China
- Concentrations of heavy metals in PM2.5 and health risk assessment around Chinese New Year in Dalian, China
- Origin of carbonate cements in deep sandstone reservoirs and its significance for hydrocarbon indication: A case of Shahejie Formation in Dongying Sag
- Coupling the K-nearest neighbors and locally weighted linear regression with ensemble Kalman filter for data-driven data assimilation
- Multihazard susceptibility assessment: A case study – Municipality of Štrpce (Southern Serbia)
- A full-view scenario model for urban waterlogging response in a big data environment
- Elemental geochemistry of the Middle Jurassic shales in the northern Qaidam Basin, northwestern China: Constraints for tectonics and paleoclimate
- Geometric similarity of the twin collapsed glaciers in the west Tibet
- Improved gas sand facies classification and enhanced reservoir description based on calibrated rock physics modelling: A case study
- Utilization of dolerite waste powder for improving geotechnical parameters of compacted clay soil
- Geochemical characterization of the source rock intervals, Beni-Suef Basin, West Nile Valley, Egypt
- Satellite-based evaluation of temporal change in cultivated land in Southern Punjab (Multan region) through dynamics of vegetation and land surface temperature
- Ground motion of the Ms7.0 Jiuzhaigou earthquake
- Shale types and sedimentary environments of the Upper Ordovician Wufeng Formation-Member 1 of the Lower Silurian Longmaxi Formation in western Hubei Province, China
- An era of Sentinels in flood management: Potential of Sentinel-1, -2, and -3 satellites for effective flood management
- Water quality assessment and spatial–temporal variation analysis in Erhai lake, southwest China
- Dynamic analysis of particulate pollution in haze in Harbin city, Northeast China
- Comparison of statistical and analytical hierarchy process methods on flood susceptibility mapping: In a case study of the Lake Tana sub-basin in northwestern Ethiopia
- Performance comparison of the wavenumber and spatial domain techniques for mapping basement reliefs from gravity data
- Spatiotemporal evolution of ecological environment quality in arid areas based on the remote sensing ecological distance index: A case study of Yuyang district in Yulin city, China
- Petrogenesis and tectonic significance of the Mengjiaping beschtauite in the southern Taihang mountains
- Review Articles
- The significance of scanning electron microscopy (SEM) analysis on the microstructure of improved clay: An overview
- A review of some nonexplosive alternative methods to conventional rock blasting
- Retrieval of digital elevation models from Sentinel-1 radar data – open applications, techniques, and limitations
- A review of genetic classification and characteristics of soil cracks
- Potential CO2 forcing and Asian summer monsoon precipitation trends during the last 2,000 years
- Erratum
- Erratum to “Calibration of the depth invariant algorithm to monitor the tidal action of Rabigh City at the Red Sea Coast, Saudi Arabia”
- Rapid Communication
- Individual tree detection using UAV-lidar and UAV-SfM data: A tutorial for beginners
- Technical Note
- Construction and application of the 3D geo-hazard monitoring and early warning platform
- Enhancing the success of new dams implantation under semi-arid climate, based on a multicriteria analysis approach: Case of Marrakech region (Central Morocco)
- TRANSFORMATION OF TRADITIONAL CULTURAL LANDSCAPES - Koper 2019
- The “changing actor” and the transformation of landscapes