Home Solar energy harvesting-based built-in backpack charger
Article Open Access

Solar energy harvesting-based built-in backpack charger

  • Kyrillos K. Selim EMAIL logo , Saeid Khalid , Dina El-nawam , Mohamed Abdel Fattah and Demyana A. Saleeb
Published/Copyright: December 13, 2023
Become an author with De Gruyter Brill

Abstract

Developing renewable energy sources has gained considerable attention recently. Solar energy is the fastest-growing alternative renewable energy source. A solar energy harvesting-based built-in backpack charger is introduced here. The proposed system aims to utilise the surrounding solar energy and overcome the power limitations of batteries installed in mobile phones in cases where power sockets are unavailable. A 6 cm × 6 cm solar module is employed. Additionally, current, voltage, and power were measured under the two scenarios; the first scenario is when the electrical load is 100 Ω, and the second scenario is when the load is a power bank. The maximum harvested power noticed in the first scenario of the resistive load was 140 mW by the proposed system in the southeast direction from 10:30 a.m. to 4:30 p.m. Moreover, the top-generated output voltage and current in this scenario were 3.6 V and 36 mA. On the other hand, 55 mW was the top value for the second scenario of the power bank as a load in the flat direction with the highest generated output voltage and current of 4.1 V and 13 mA, whereas 4.27 V was the highest generated voltage in this scenario in the west direction.

1 Introduction

Due to an increase in industrial activity and global population growth, the world’s energy consumption has been rising every day. Fossil fuels, which are now widely employed as the primary energy source to supply this demand have limited supplies. Additionally, widespread usage of these types of energy will have unfavourable and hazardous influences on the environment and global climate by 2050 because of their high carbon dioxide emission levels. If this continues long enough, the supply of fossil fuels will run out. Consequently, the global ambient temperature is expected to increase by approximately two °C by 2050 due to the pollutant emissions caused by non-renewable energy resources. For this reason, developing renewable energy has received a lot of attention lately in order to solve these issues; Quick action must be taken to reduce adverse environmental effects and investigate cost-effective and efficient renewable energy alternatives. Thus, the last century saw a substantial diversification in fossil fuel usage, from 94 % of overall energy consumption in 1990 to 79.6 % in 2015, primarily phased out by renewables [1, 2, 5].

Solar energy is the fastest-growing alternative renewable energy source since it is the most abundant of all renewable energy sources. On average, around 10,000 TW of solar energy strikes the earth’s surface daily, while, as of 2015, only 17.4 TW of solar energy were claimed to be used [3]. The potential of solar energy to solve present and future global energy needs can always be emphasised when comparing the hourly solar energy obtained with the present use. Considering the enormous energy usage and demand on a worldwide scale, It becomes necessary to unlock solar energy’s full potential. Some nations, such as Germany, have switched to solar energy for about 38 % of their energy demands, intending to replace nuclear with solar by 2050. However, developing countries are yet to get their feet wet with solar technology. A solar cell uses the photoelectric effect, which is present in some semiconductor materials like silicon and selenium, to convert the energy contained in sunlight’s photons into electric current. Since the efficiency of PV panels depends on the solar parameters of PV panel properties (temperature, insolation, sunlight’s spectrum properties, etc.), successful solar power applications in a given location are influenced by the region’s solar potential. Even though solar energy is available to all countries, the Middle East boasts the most solar resources on the world [3, 10].

Photovoltaic systems are generally categorised into two main groups: grid-connected and stand-alone systems. Grid-connected systems are those that are connected to the public grid. On the other hand, stand-alone systems are not connected to the grid since the energy produced by the system is usually matched with the energy required by the load. Stand-alone systems are typically supported by energy storage systems, such as rechargeable batteries, to provide electricity without sunlight.

In the building sector, small photovoltaic power systems are frequently utilised for producing energy for appliances such as water heaters, TVs, refrigerators, and lighting have a solar energy system that is sufficient to operate all house appliances. Other typical applications for standalone systems are solar-powered vehicles, boats, remote cabins, houses, parking ticket dispenser machines, traffic lights, applications in gardening and landscaping, pump systems and desalination, and systems for microwave communication networks. Since rural regions lack connection to the public grid and the cost of connecting and transmitting power to them is high, standalone solutions appear to be required. Standalone systems rely on the electricity produced from photovoltaic panels [4, 10]. Moreover, solar energy can power and recharge portable and wearable devices to make them self-powered devices [8, 9, 12, 17], especially in applications such as mobile phones [13, 14, 15].

This study introduces a solar energy harvesting-based built-in backpack charger. The proposed system aims to utilise the surrounding solar energy and overcome the power limits of mobile phone batteries, especially when power sockets are unavailable. The remainder of this paper is organised as follows: Section 2 introduces the solar cell model. The corresponding experimental setup is presented in Section 3. Experimental results and analysis are provided in Section 4. Finally, the study is concluded in Section 5.

2 Solar cell model

Figure 1 shows a simple diode model of a solar cell in which a current I L represents the amount of electrical energy (based on the created current) produced by a photovoltaic panel (PV) cell that is proportional to solar irradiation, and I is the output current. Moreover, a shunt resistance (R sh ) represents the leakage current in the figure. The internal resistance is characterized by a series resistance (R s ). The mathematical formulas that describe the PV cell are given as follows:

(1) I = I L I d V d R s h

Figure 1: 
A simple diode model of a solar cell.
Figure 1:

A simple diode model of a solar cell.

The expressions for photocurrent I L and diode current I d are expressed as:

(2) I L = ( I s c + K 1 ( T T ref ) ) λ

since I sc is the cell’s short circuit current at test conditions (1000 W/m2 and 25 °C), K 1 is the short circuit current coefficient, T ref is the cell reference temperature, and λ is the solar irradiance in unit W/m2.

(3) I d = I o e V d V T A 1

where I o is the cell saturation current, and V d is the voltage drop between the anode and cathode of the diode. V T is the PV cell thermal voltage, which may be calculated as KT/q, with K is the Boltzmann constant that is equal to 1.38 × 10−23, T is the temperature of the PV cell in Kelvin, q is the electron charge (1.6 × 10−19 C), and A is the diode ideality factor, which depends upon the material doping [6, 7, 11, 16].

3 Methods

A 6 cm × 6  cm PV solar module was used in this design. The small dimensions of the PV module were adopted to fit the backpack size. The standard generated voltage by the PV module is 4.5 V, which is close to the mobile phone’s charger output voltage. The PV module output can be connected directly to the mobile phone or via the power bank. An LED as an indicator is connected in series with a push button via the power bank output, as shown in Figure 2. The PV solar module was mounted on the back of the backpack, whereas the power bank, mobile phone, and one LED connected to a push button were mounted inside the backpack, as illustrated in Figure 3.

Figure 2: 
A block diagram for the proposed solar energy harvesting-based built-in backpack charger.
Figure 2:

A block diagram for the proposed solar energy harvesting-based built-in backpack charger.

Figure 3: 
Experimental setup of the proposed system.
Figure 3:

Experimental setup of the proposed system.

The proposed system was tested under different conditions and parameters, such as various hours of the day, load type, and different motion directions, as a function of the measured current, the generated voltage, and the harvested power, and the test period extended from 10:30 a.m. to 4.30 p.m. with a one-hour step. Moreover, the load tested was either a 100 Ω resistive load or a power bank. Measurements were taken during motion in the directions east, west, south, and north. Current, generated voltage, and harvested power were measured. The used power bank brand TEVDY has a 2600 mA h charging capacity.

4 Results and discussion

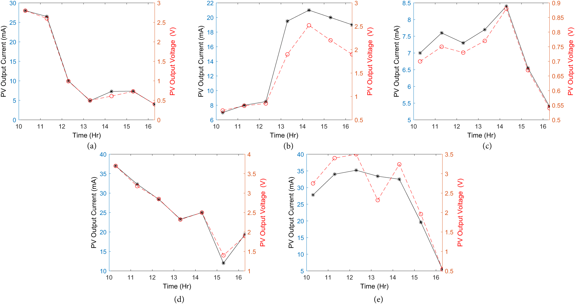
Figure 4 shows the measured output voltage and current when there is a resistive load. The measurements were taken between 10:30 a.m. and 4:30 p.m. Five cases were considered: the solar cell looking (a) east, (b) west, (c) southeast, (d) flat, and (e) north. Looking east between 10:30 a.m. and 12:30 p.m., where the sun’s rays are normal to the solar cell, gives high output. Looking west between 2:30 p.m. and 4:30 p.m., the sun’s rays are normal for the solar cell, giving it a high output. When the solar cell is flat (looking upwards) in the period 12:30 p.m.–2:30 p.m., the sun’s rays are normal to the cell, and the output is high. Looking southeast, the output is high in the morning and decreases with time until it is very low at 4:30 o’clock. Looking north, the sun’s rays are oblique to the cell; therefore, the output is low all the time. The results are summarised in Table 1 below.

Figure 4: 
The measured output voltage and current for the resistive load of 100Ω at different motion directions (a) east (b) west (c) southeast (d) flat (e) north.
Figure 4:

The measured output voltage and current for the resistive load of 100Ω at different motion directions (a) east (b) west (c) southeast (d) flat (e) north.

Table 1:

The measured output voltage and current for the resistive load of 100Ω at different motion directions.

Direction Voltage (V) Current (mA) Power (mW) Time
East 2.8 27 80 10–12
West 2.5 21 55 2–4
Southeast 3.6–1.5 36–12 140–20 10–4
Flat 3.5 35 120 10–2
North 0.7–0.9 7–8.5 7.5 10–2

Figure 5 shows the measured output voltage and power for the resistive load of 100Ω at different motion directions (a) east, (b) west, (c) southeast, (d) flat, and (e) north. The power variation with time follows the same trend as that of voltage.

Figure 5: 
The measured generated voltage and power for the resistive load of 100Ω at different directions (a) east (b) west (c) southeast (d) flat (e) north.
Figure 5:

The measured generated voltage and power for the resistive load of 100Ω at different directions (a) east (b) west (c) southeast (d) flat (e) north.

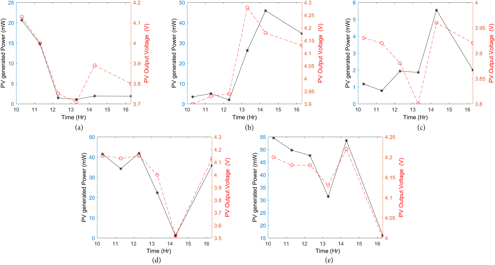
Figure 6 shows the measured voltage and current for the five cases when the load is a power bank. Table 2 summarises the results.

Compared to the case of a 100 Ω load (Table 1), the output voltage is more or less constant at 4 V, but the current is reduced; this is due to the high input impedance of the power bank.

Figure 6: 
The measured output voltage and current for the power bank as a load at different directions (a) east (b) west (c) southeast (d) flat (e) north.
Figure 6:

The measured output voltage and current for the power bank as a load at different directions (a) east (b) west (c) southeast (d) flat (e) north.

Table 2:

The measured output voltage and current at different motion directions when the load is a power bank.

Direction Voltage (V) Current (mA) Power (mW) Time
East 4.1 5 22 10–12
West 4.27 11 43 2–4
Southeast 4.1 10 40 10–12
Flat 4.1 13 55 10–2
North 4 1.4 5.5 10–2

Figure 7 shows the measured voltage for the five cases and power when the load is a power bank. The variation of power with time follows the same trend as that of voltage.

Figure 7: 
The measured output voltage and power for the power bank as a load at different directions (a) east (b) west (c) southeast (d) flat (e) north.
Figure 7:

The measured output voltage and power for the power bank as a load at different directions (a) east (b) west (c) southeast (d) flat (e) north.

5 Conclusions

When fixed to a backpack, a 6 cm × 6 cm solar module was used to generate electric power. Voltage, current, and energy were measured from 10:30 a.m. until 4:30 p.m. Five cases were considered when the module was looking (a) east, (b) west, (c) southeast, (d) flat, and (e) north. The results showed that the output was high when the sun’s rays were typical for the module. The measurements were taken when the load was 100 Ω, and the electrical load was a power bank. The output voltage in the case of the power bank was nearly constant at about 4 V, but the current was reduced compared to the scenario of a 100 Ω load. This was because of the high input impedance of the power bank.


Corresponding author: Kyrillos K. Selim, Electronics Technology Department, Faculty of Technology and Education, Helwan University, Cairo, Egypt, E-mail:

Acknowledgments

The authors are grateful to Faculty of Technology and Education, Helwan University.

  1. Research ethics: Not applicable.

  2. Author contributions: All the authors have accepted responsibility for the entire content of this submitted manuscript and approved submission.

  3. Competing interests: The authors have declared no conflict of interests.

  4. Research funding: This research work is not funded by any external agencies.

  5. Data availability: The original data used in the study are all included in the article, further inquiries can be directed to the corresponding author.

References

[1] M. H. Ahmadi, M. Ghazvini, M. Sadeghzadeh, M. A. Nazari, and M. Ghalandari, “Utilization of Hybrid Nanofluids in Solar Energy Applications: A Review,” Nano-Struct. Nano-Objects, vol. 20, p. 100386, 2019, https://doi.org/10.1016/j.nanoso.2019.100386.Search in Google Scholar

[2] O. A. Al-Shahri, F. B. Ismail, M. A. Hannan, M. H. Lipu, A. Q. Al-Shetwi, R. A. Begum, and E. Soujeri, “Solar Photovoltaic Energy Optimization Methods, Challenges and Issues: A Comprehensive Review,” J. Clean. Prod., vol. 284, p. 125465, 2021, https://doi.org/10.1016/j.jclepro.2020.125465.Search in Google Scholar

[3] F. K. Alhousni, F. B. Ismail, P. C. Okonkwo, H. Mohamed, B. O. Okonkwo, and O. A. Al-Shahri, “A Review of PV Solar Energy System Operations and Applications in Dhofar Oman,” AIMS Energy, vol. 10, no. 4, pp. 858–84, 2022, https://doi.org/10.3934/energy.2022039.Search in Google Scholar

[4] Alweheshi, S., A. Abdelali, Z. Rajab, A. Khalil, and F. Mohamed. 2019. “Photovoltaic Solar Energy Applications in Libya: a Survey.” In 2019 10th International Renewable Energy Congress (IREC), 1–6. Sousse, Tunisia: IEEE.10.1109/IREC.2019.8754527Search in Google Scholar

[5] L. Das, F. Rubbi, K. Habib, N. Aslfattahi, R. Saidur, B. B. Saha, and T. Alqahtani, “State-of-the-art Ionic Liquid & Ionanofluids Incorporated with Advanced Nanomaterials for Solar Energy Applications,” J. Mol. Liq., vol. 336, p. 116563, 2021, https://doi.org/10.1016/j.molliq.2021.116563.Search in Google Scholar

[6] Dey, B. K., I. Khan, N. Mandal, and A. Bhattacharjee. 2016. “Mathematical Modelling and Characteristic Analysis of Solar PV Cell.” In 2016 IEEE 7th Annual Information Technology, Electronics and Mobile Communication Conference (IEMCON), 1–5. Vancouver, BC, Canada: IEEE.10.1109/IEMCON.2016.7746318Search in Google Scholar

[7] M. A. Hasan and S. K. Parida, “An Overview of Solar Photovoltaic Panel Modeling Based on Analytical and Experimental Viewpoint,” Renew. Sustain. Energy Rev., vol. 60, pp. 75–83, 2016, https://doi.org/10.1016/j.rser.2016.01.087.Search in Google Scholar

[8] K. A. Kim, F. S. Bagci, and K. L. Dorsey, “Design Considerations for Photovoltaic Energy Harvesting in Wearable Devices,” Sci. Rep., vol. 12, no. 1, p. 18143, 2022 https://doi.org/10.1038/s41598-022-22232-x.Search in Google Scholar PubMed PubMed Central

[9] Y. Liu, S. Zhang, S. Beirne, K. Kim, C. Qin, Y. Du, and J. Chen, “Wearable Photo-Thermo-Electrochemical Cells (PTECs) Harvesting Solar Energy,” Macromol. Rapid Commun., vol. 43, no. 6, p. 2200001, 2022 https://doi.org/10.1002/marc.202200001.Search in Google Scholar PubMed

[10] S. Mekhilef, R. Saidur, and A. Safari, “A Review on Solar Energy Use in Industries,” Renew. Sustain. Energy Rev., vol. 15, no. 4, pp. 1777–90, 2011, https://doi.org/10.1016/j.rser.2010.12.018.Search in Google Scholar

[11] X. H. Nguyen and M. P. Nguyen, “Mathematical Modeling of Photovoltaic Cell/module/arrays with Tags in Matlab/Simulink,” Environ. Syst. Res., vol. 4, pp. 1–13, 2015, https://doi.org/10.1186/s40068-015-0047-9.Search in Google Scholar

[12] A. Páez-Montoro, M. García-Valderas, E. Olías-Ruíz, and C. López-Ongil, “Solar Energy Harvesting to Improve Capabilities of Wearable Devices,” Sensors, vol. 22, no. 10, p. 3950, 2022, https://doi.org/10.3390/s22103950.Search in Google Scholar PubMed PubMed Central

[13] C. Schuss and T. Rahkonen, “Solar Energy Harvesting Strategies for Portable Devices Such as Mobile Phones,” in 14th Conference of Open Innovation Association FRUCT, Espoo, Finland, IEEE, 2013, pp. 132–9.10.1109/FRUCT.2013.6737955Search in Google Scholar

[14] A. V. Sutar, V. Dighe, P. Karavkar, P. Mhatre, and V. Tandel, “Solar Energy Based Mobile Charger Using Inductive Coupling Transmission,” in 2020 4th International Conference on Intelligent Computing and Control Systems (ICICCS), Madurai, India, IEEE, 2020, pp. 995–1000.10.1109/ICICCS48265.2020.9120916Search in Google Scholar

[15] C. Schuss, B. Eichberger, and T. Rahkonen, “Design Specifications and Guidelines for Efficient Solar Chargers of Mobile Phones,” in 2014 IEEE 11th International Multi-Conference on Systems, Signals & Devices (SSD14), Barcelona, Spain, IEEE, 2014, pp. 1–5.10.1109/SSD.2014.6808781Search in Google Scholar

[16] C. Sharma and A. Jain, “Solar Panel Mathematical Modelling Using Simulink,” Int. J. Eng. Res. Appl., vol. 4, no. 5, pp. 67–72, 2014.Search in Google Scholar

[17] Yu, B. Y., Z. H. Wang, L. Ju, C. Zhang, Z. G. Liu, L. Tao, and W. B. Lu, “Flexible and Wearable Hybrid RF and Solar Energy Harvesting System,” IEEE Trans. Antenn. Propag., vol. 70, no. 3, pp. 2223–2233, 2021.10.1109/TAP.2021.3118814Search in Google Scholar

Received: 2023-09-18
Accepted: 2023-11-06
Published Online: 2023-12-13

© 2024 the author(s), published by De Gruyter, Berlin/Boston

This work is licensed under the Creative Commons Attribution 4.0 International License.

Articles in the same Issue

  1. Solar photovoltaic-integrated energy storage system with a power electronic interface for operating a brushless DC drive-coupled agricultural load
  2. Analysis of 1-year energy data of a 5 kW and a 122 kW rooftop photovoltaic installation in Dhaka
  3. Reviews
  4. Real yields and PVSYST simulations: comparative analysis based on four photovoltaic installations at Ibn Tofail University
  5. A comprehensive approach of evolving electric vehicles (EVs) to attribute “green self-generation” – a review
  6. Exploring the piezoelectric porous polymers for energy harvesting: a review
  7. A strategic review: the role of commercially available tools for planning, modelling, optimization, and performance measurement of photovoltaic systems
  8. Comparative assessment of high gain boost converters for renewable energy sources and electrical vehicle applications
  9. A review of green hydrogen production based on solar energy; techniques and methods
  10. A review of green hydrogen production by renewable resources
  11. A review of hydrogen production from bio-energy, technologies and assessments
  12. A systematic review of recent developments in IoT-based demand side management for PV power generation
  13. Research Articles
  14. Hybrid optimization strategy for water cooling system: enhancement of photovoltaic panels performance
  15. Solar energy harvesting-based built-in backpack charger
  16. A power source for E-devices based on green energy
  17. Theoretical and experimental investigation of electricity generation through footstep tiles
  18. Experimental investigations on heat transfer enhancement in a double pipe heat exchanger using hybrid nanofluids
  19. Comparative energy and exergy analysis of a CPV/T system based on linear Fresnel reflectors
  20. Investigating the effect of green composite back sheet materials on solar panel output voltage harvesting for better sustainable energy performance
  21. Electrical and thermal modeling of battery cell grouping for analyzing battery pack efficiency and temperature
  22. Intelligent techno-economical optimization with demand side management in microgrid using improved sandpiper optimization algorithm
  23. Investigation of KAPTON–PDMS triboelectric nanogenerator considering the edge-effect capacitor
  24. Design of a novel hybrid soft computing model for passive components selection in multiple load Zeta converter topologies of solar PV energy system
  25. A novel mechatronic absorber of vibration energy in the chimney
  26. An IoT-based intelligent smart energy monitoring system for solar PV power generation
  27. Large-scale green hydrogen production using alkaline water electrolysis based on seasonal solar radiation
  28. Evaluation of performances in DI Diesel engine with different split injection timings
  29. Optimized power flow management based on Harris Hawks optimization for an islanded DC microgrid
  30. Experimental investigation of heat transfer characteristics for a shell and tube heat exchanger
  31. Fuzzy induced controller for optimal power quality improvement with PVA connected UPQC
  32. Impact of using a predictive neural network of multi-term zenith angle function on energy management of solar-harvesting sensor nodes
  33. An analytical study of wireless power transmission system with metamaterials
  34. Hydrogen energy horizon: balancing opportunities and challenges
  35. Development of renewable energy-based power system for the irrigation support: case studies
  36. Maximum power point tracking techniques using improved incremental conductance and particle swarm optimizer for solar power generation systems
  37. Experimental and numerical study on energy harvesting performance thermoelectric generator applied to a screw compressor
  38. Study on the effectiveness of a solar cell with a holographic concentrator
  39. Non-transient optimum design of nonlinear electromagnetic vibration-based energy harvester using homotopy perturbation method
  40. Industrial gas turbine performance prediction and improvement – a case study
  41. An electric-field high energy harvester from medium or high voltage power line with parallel line
  42. FPGA based telecommand system for balloon-borne scientific payloads
  43. Improved design of advanced controller for a step up converter used in photovoltaic system
  44. Techno-economic assessment of battery storage with photovoltaics for maximum self-consumption
  45. Analysis of 1-year energy data of a 5 kW and a 122 kW rooftop photovoltaic installation in Dhaka
  46. Shading impact on the electricity generated by a photovoltaic installation using “Solar Shadow-Mask”
  47. Investigations on the performance of bottle blade overshot water wheel in very low head resources for pico hydropower
  48. Solar photovoltaic-integrated energy storage system with a power electronic interface for operating a brushless DC drive-coupled agricultural load
  49. Numerical investigation of smart material-based structures for vibration energy-harvesting applications
  50. A system-level study of indoor light energy harvesting integrating commercially available power management circuitry
  51. Enhancing the wireless power transfer system performance and output voltage of electric scooters
  52. Harvesting energy from a soldier's gait using the piezoelectric effect
  53. Study of technical means for heat generation, its application, flow control, and conversion of other types of energy into thermal energy
  54. Theoretical analysis of piezoceramic ultrasonic energy harvester applicable in biomedical implanted devices
  55. Corrigendum
  56. Corrigendum to: A numerical investigation of optimum angles for solar energy receivers in the eastern part of Algeria
  57. Special Issue: Recent Trends in Renewable Energy Conversion and Storage Materials for Hybrid Transportation Systems
  58. Typical fault prediction method for wind turbines based on an improved stacked autoencoder network
  59. Power data integrity verification method based on chameleon authentication tree algorithm and missing tendency value
  60. Fault diagnosis of automobile drive based on a novel deep neural network
  61. Research on the development and intelligent application of power environmental protection platform based on big data
  62. Diffusion induced thermal effect and stress in layered Li(Ni0.6Mn0.2Co0.2)O2 cathode materials for button lithium-ion battery electrode plates
  63. Improving power plant technology to increase energy efficiency of autonomous consumers using geothermal sources
  64. Energy-saving analysis of desalination equipment based on a machine-learning sequence modeling
Downloaded on 13.10.2025 from https://www.degruyterbrill.com/document/doi/10.1515/ehs-2023-0114/html?srsltid=AfmBOorzpH5dEFuc51PQs5X3xFM_KOMtYdF8TCtc2fU0_Q1UO3KoUM3h
Scroll to top button