Clinical Chemistry and Laboratory Medicine (CCLM)
-
Editor-in-Chief:
Mario Plebani
-
Herausgegeben von:
Philippe Gillery
, Ronda Greaves , Karl J. Lackner , Giuseppe Lippi , Bohuslav Melichar , Peter Schlattmann und Shiyang Pan
Über diese Zeitschrift
Objective
Clinical Chemistry and Laboratory Medicine (CCLM) publishes articles on novel teaching and training methods applicable to laboratory medicine. It is focused on basic and applied research and cutting-edge clinical laboratory medicine. CCLM is one of the leading international journals in the field of clinical laboratory sciences and drives progress in the field. CCLM is led by a multi-institutional editorial board. All contributions submitted for publication in CCLM are single-blind peer reviewed by at least two experts in the field. CCLM is led by a multi-institutional editorial board. It is issued monthly, both in print and electronically. Letters to the Editor and Congress Abstracts are published online only.
CCLM is the official journal of the European Federation of Clinical Chemistry and Laboratory Medicine (EFLM).
Topics
- clinical biochemistry
- clinical genomics and molecular biology
- clinical haematology and coagulation
- clinical immunology and autoimmunity
- clinical microbiology
- drug monitoring and analysis
- evaluation of diagnostic biomarkers
- disease-oriented topics (cardiovascular disease, cancer diagnostics, diabetes)
- new reagents, instrumentation and technologies
- new methodologies
- reference materials and methods
- reference values and decision limits
- quality and safety in laboratory medicine
- translational laboratory medicine
- clinical metrology
Article formats
Research Articles, Reviews, Mini Reviews and Opinion Papers on all aspects of clinical chemistry and laboratory medicine, Guidelines and Recommendations, Point/Counterpoint Articles, Letters to the Editor, Editorials
For EFLM Academy Members
To take advantage of all the opportunities offered to members of the EFLM Academy, please access your personal area in the EFLM Academy at the link https://academy.eflm.eu/secretariat/login (if you do not remember your login details, you can use the option FORGOT PASSWORD). Click on the section “International Journals” on the left-hand side where you find CCLM as the first listed journal.
Ihre Vorteile
- Latest developments in the clinical laboratory sciences
- Fundamental and applied approach and novel teaching and training methods
- Rapid online publication
- High quality peer-review
- No submission and publication fee
- Each article easily discoverable because of Search Engine Optimization (SEO) and comprehensive abstracting and indexing services
- Secure archiving by De Gruyter and the independent archiving service Portico
-
Authors have the option of publishing their articles under the Creative Commons Attribution (CC-BY-4.0) open access license. Open access allows authors to retain copyright and share their findings with the scientific community without restrictions. Authors who belong to an institution that has an agreement with the publisher can publish open access without paying an article processing charge (APC) or at a considerable discount
-
Open AccessCounting cells is not enough: toward a global vision for quality and training in hematology9. Oktober 2025
-
Erfordert eine Authentifizierung Nicht lizenziertComparative analysis of ISO 15189:2022 with earlier versions with reference to ethicsLizenziert24. September 2025
-
Erfordert eine Authentifizierung Nicht lizenziertFlow cytometry, cytology and histology in the diagnosis of ocular hematologic neoplasms: a 15-year monocentric experience with a focus on ocular lymphomasLizenziert9. Oktober 2025
-
Erfordert eine Authentifizierung Nicht lizenziertSupporting trend detection in the cumulative display of electronic laboratory reports from multiple laboratories while preserving measurement provenanceLizenziert25. September 2025
-
Erfordert eine Authentifizierung Nicht lizenziertBeyond cut-offs: optimizing presepsin for neonatal late-onset sepsisLizenziert10. September 2025
-
Öffentlich zugänglichThe European Health Data Space: challenges and opportunities for laboratory medicine10. Dezember 2025
-
Erfordert eine Authentifizierung Nicht lizenziertBiological variation of serum transthyretin concentrationsLizenziert16. Oktober 2025
-
Erfordert eine Authentifizierung Nicht lizenziertClinical validation of a DBS-based LC-MS/MS method for 25-hydroxyvitamin D: from lab sampling to home samplingLizenziert13. November 2025
-
Erfordert eine Authentifizierung Nicht lizenziertSaliva sampling matters for salivary diagnostics of viral infectionsLizenziert29. Oktober 2025
-
Erfordert eine Authentifizierung Nicht lizenziertPitfalls of immunoassays for diagnosis of hypoglycemia of undetermined etiologyLizenziert18. September 2025
-
Erfordert eine Authentifizierung Nicht lizenziertPerformance evaluation of quantitative hemoglobin A2 and fetal hemoglobin testing using commercially lyophilized vs. in-house whole blood controls in Chinese clinical laboratories: a 12-year analysis of National External Quality Assessment DataLizenziert8. September 2025
-
Erfordert eine Authentifizierung Nicht lizenziertCritical appraisal of presepsin for diagnosing late-onset sepsis in critically ill neonatesLizenziert8. September 2025
-
29. September 2025
-
Erfordert eine Authentifizierung Nicht lizenziertReimagining External Quality Assessment for precision medicine: a perspective from biochemistry laboratoriesLizenziert10. November 2025
-
Erfordert eine Authentifizierung Nicht lizenziertThresholds adjustments and impact on clinical performance of three FIT assays in a colorectal cancer screening programLizenziert10. November 2025
-
Erfordert eine Authentifizierung Nicht lizenziertMoving to practice with the application of Milan model 1b-based analytical performance specificationsLizenziert25. September 2025
-
Erfordert eine Authentifizierung Nicht lizenziertEarly autoimmune signature in a young woman: palmar erythema, capillaroscopic abnormalities, and triple autoantibody positivity including anti-nucleosomeLizenziert16. September 2025
-
Erfordert eine Authentifizierung Nicht lizenziertMethodological evaluation and clinical interpretation of hs-cTnI and hs-cTnT variations: a reappraisalLizenziert28. Oktober 2025
-
Erfordert eine Authentifizierung Nicht lizenziertEQALM recommendations for the analytical performance specifications for blood smear interpretation in haematology: a need for standardizationLizenziert24. September 2025
-
Erfordert eine Authentifizierung Nicht lizenziertSpun citrate samples as a suitable alternative for platelet measurement. Is recollection necessary? A preliminary studyLizenziert11. November 2025
-
Open AccessIonized calcium in serum exposed to air9. Oktober 2025
-
Erfordert eine Authentifizierung Nicht lizenziertFailure Mode and Effects Analysis (FMEA) integrating quality indicators for risk assessment of the total testing process in human papillomavirus genotyping testing: a proactive risk analysis model for molecular diagnosticsLizenziert29. August 2025
-
Erfordert eine Authentifizierung Nicht lizenziertValue is equal to outcome/costs: how to apply to laboratory medicineLizenziert10. September 2025
-
Erfordert eine Authentifizierung Nicht lizenziertA specific-neonatal hemolysis correction model for accurate potassium assessment in blood samples with in vitro hemolysisLizenziert10. Dezember 2025
-
Open AccessShift happens: the utility of external quality assessment data in evaluating folate lot changes11. Dezember 2025
-
Erfordert eine Authentifizierung Nicht lizenziertReferenceRangeR: a novel tool designed to facilitate reference interval estimation and verificationLizenziert23. Oktober 2025
-
Erfordert eine Authentifizierung Nicht lizenziertHemolysis index. Can we uncritically trust manufacturer declarations?Lizenziert23. Oktober 2025
-
Erfordert eine Authentifizierung Nicht lizenziertInnovative closed tube protocol reveals a super critical early preanalytical phase of whole blood glucose stability in routine matricesLizenziert12. November 2025
-
Erfordert eine Authentifizierung Nicht lizenziertADORE: the performance characteristics of five automated platforms in the analysis of urinary dysmorphic erythrocytes and pathological castsLizenziert20. Oktober 2025
-
Erfordert eine Authentifizierung Nicht lizenziertPerformance of GFAP and UCH-L1 compared to S100B in detecting intracranial injury: influence of age, hemolysis, neurodegenerative diseases, and extracranial fractures in a prospective cohort of over 1,000 patientsLizenziert9. Oktober 2025
-
11. November 2025
-
Erfordert eine Authentifizierung Nicht lizenziertStaining and serological characteristics of the AC-30 pattern in HEp-2 IIFA: a comparative study with AC-2 patternLizenziert25. September 2025
-
Öffentlich zugänglichExternal Quality Assessment Programs in the US with an emphasis on urinary sediment testing: the College of American Pathologists experience11. August 2015
-
Open AccessEstimated waste generation from 1 million basic metabolic panels: a multisite U.S. study7. Oktober 2025
-
Erfordert eine Authentifizierung Nicht lizenziertA robust ddPCR assay for the absolute quantification of miR-192-5p in hepatocellular carcinoma liquid biopsiesLizenziert31. Oktober 2025
-
Erfordert eine Authentifizierung Nicht lizenziertRequiem for the Passing–Bablok nonparametric regression in assessing the agreement between two measurement methodsLizenziert29. September 2025
-
Erfordert eine Authentifizierung Nicht lizenziertHierarchy of reference interval models: advancing laboratory data interpretationLizenziert29. Oktober 2025
-
Erfordert eine Authentifizierung Nicht lizenziertSpot urine is a suitable matrix for measurement of copeptinLizenziert5. November 2025
-
Erfordert eine Authentifizierung Nicht lizenziertExtended verification of an automated MALDI-TOF mass spectrometry system for high throughput serum M-protein measurementLizenziert3. Dezember 2025
-
Erfordert eine Authentifizierung Nicht lizenziertCortisol measurement challenges in managing ectopic Cushing’s syndrome with etomidateLizenziert15. Dezember 2025
-
Erfordert eine Authentifizierung Nicht lizenziertImpact of an autonomous delivery robot on sample turnaround time in a clinical laboratory: an early evaluation of first implementationLizenziert10. Dezember 2025
-
Erfordert eine Authentifizierung Nicht lizenziertComparison of the cardiac troponin I-cardiac troponin T-troponin C complex and cardiac troponin I and T in distinguishing myocardial infarction using a single sample at presentationLizenziert11. November 2025
-
Erfordert eine Authentifizierung Nicht lizenziertEstablishing reference intervals for high-sensitivity cardiac troponin T in neonates and infantsLizenziert25. September 2025
-
Erfordert eine Authentifizierung Nicht lizenziertPrognostic utility of serial procalcitonin measurements in ICU sepsis: a laboratory-led modelling approach in a resource-limited setting procalcitonin modelling for sepsis mortality in a low-resource ICULizenziert12. November 2025
-
Erfordert eine Authentifizierung Nicht lizenziertPost-analytical practices in clinical mass spectrometry laboratories: an international survey across 57 countriesLizenziert2. Oktober 2025
-
20. Oktober 2025
-
Erfordert eine Authentifizierung Nicht lizenziertSmall-scale external quality assessment of methylated SHOX2 and RASSF1A detection in China: findings from 2023–2024Lizenziert29. Oktober 2025
-
Erfordert eine Authentifizierung Nicht lizenziertInterference with immunofixation in a dabigatran-overdosed patient treated with idarucizumab: beware of a diagnostic pitfallLizenziert25. September 2025
-
Open AccessShort- and medium-term pre-analytical stability of human serum insulin-like growth factor-131. Oktober 2025
-
Erfordert eine Authentifizierung Nicht lizenziertTowards harmonization of autoantibody detection in relation to paraneoplastic neurological syndromes (PNS): a European Survey on laboratory practicesLizenziert7. Oktober 2025
-
Erfordert eine Authentifizierung Nicht lizenziertHyperferritinemia and analytical challenges: can proteomics make the difference?Lizenziert16. Dezember 2025
-
17. November 2025
-
Erfordert eine Authentifizierung Nicht lizenziertAdverse analytical finding with trimetazidine after ingesting contaminated melatonin tablets sold in pharmacies… leading to the suspension of the athleteLizenziert18. September 2025
-
Erfordert eine Authentifizierung Nicht lizenziertThe hook effect of an immunoassay results in a series of pediatric patients with elevated total immunoglobulin E: implications for dilution protocols and method comparisonLizenziert1. Dezember 2025
-
Erfordert eine Authentifizierung Nicht lizenziertThe indispensable role of phenotypic screening in thalassemia diagnosis: a case of deception uncovered by inconsistent resultsLizenziert15. Dezember 2025
-
Öffentlich zugänglichCapillary blood in core laboratories: current and future challenges14. November 2025
-
22. September 2025
-
Erfordert eine Authentifizierung Nicht lizenziertFamilial erythrocytosis and phenotypic heterogeneity associated with different defects in alpha globin genes: a significant new case of Hb Wroclaw (α88(F9) Ala>Glu; HBA1: c.266C>A)Lizenziert13. Oktober 2025
-
Erfordert eine Authentifizierung Nicht lizenziertMass spectrometry reveals limitations of serum immunofixation electrophoresis in monitoring lambda light chain myelomaLizenziert11. Dezember 2025
-
Erfordert eine Authentifizierung Nicht lizenziertA study of the performance of different methods for measuring serum lithiumLizenziert17. November 2025
-
Open AccessAutomated reticulocyte counting: advances, standardization challenges, and clinical accessibility20. Oktober 2025
-
Erfordert eine Authentifizierung Nicht lizenziertDevelopment and validation of a machine learning model for accurate detection of wrong blood in tube errors in hospitalized patientsLizenziert29. Oktober 2025
-
Erfordert eine Authentifizierung Nicht lizenziertPleural effusion with a thyroid signature: diagnostic utility of pleural fluid thyroglobulinLizenziert8. September 2025
-
Erfordert eine Authentifizierung Nicht lizenziertCombining the calibrator uncertainty and the long-term measurement uncertainty? A comment to the ISO/TS 20914 guidelineLizenziert26. November 2025
-
Erfordert eine Authentifizierung Nicht lizenziertRecommendations for the study of monoclonal gammopathies in the clinical laboratory. A consensus of the Spanish society of laboratory medicine and the Spanish society of hematology and hemotherapy. Part III: clinical and analytical recommendations for the study of monoclonal gammopathies by MALDI-TOF mass spectrometryLizenziert4. November 2025
-
Erfordert eine Authentifizierung Nicht lizenziertPro-gastrin releasing peptide as a tumor marker of medullary thyroid carcinoma: a comparative bivariate meta-analysisLizenziert10. November 2025
-
Erfordert eine Authentifizierung Nicht lizenziertSerum neuron-specific enolase – reference interval in Danish children and the impact of preanalytical factorsLizenziert3. Oktober 2025
-
Erfordert eine Authentifizierung Nicht lizenziertExpert opinion within the context of the targeted evaluation of Regulation (EU) 2017/746 on in vitro diagnostic medical devices pursuant to Article 111 and Regulation (EU) 2024/1860Lizenziert1. Oktober 2025
-
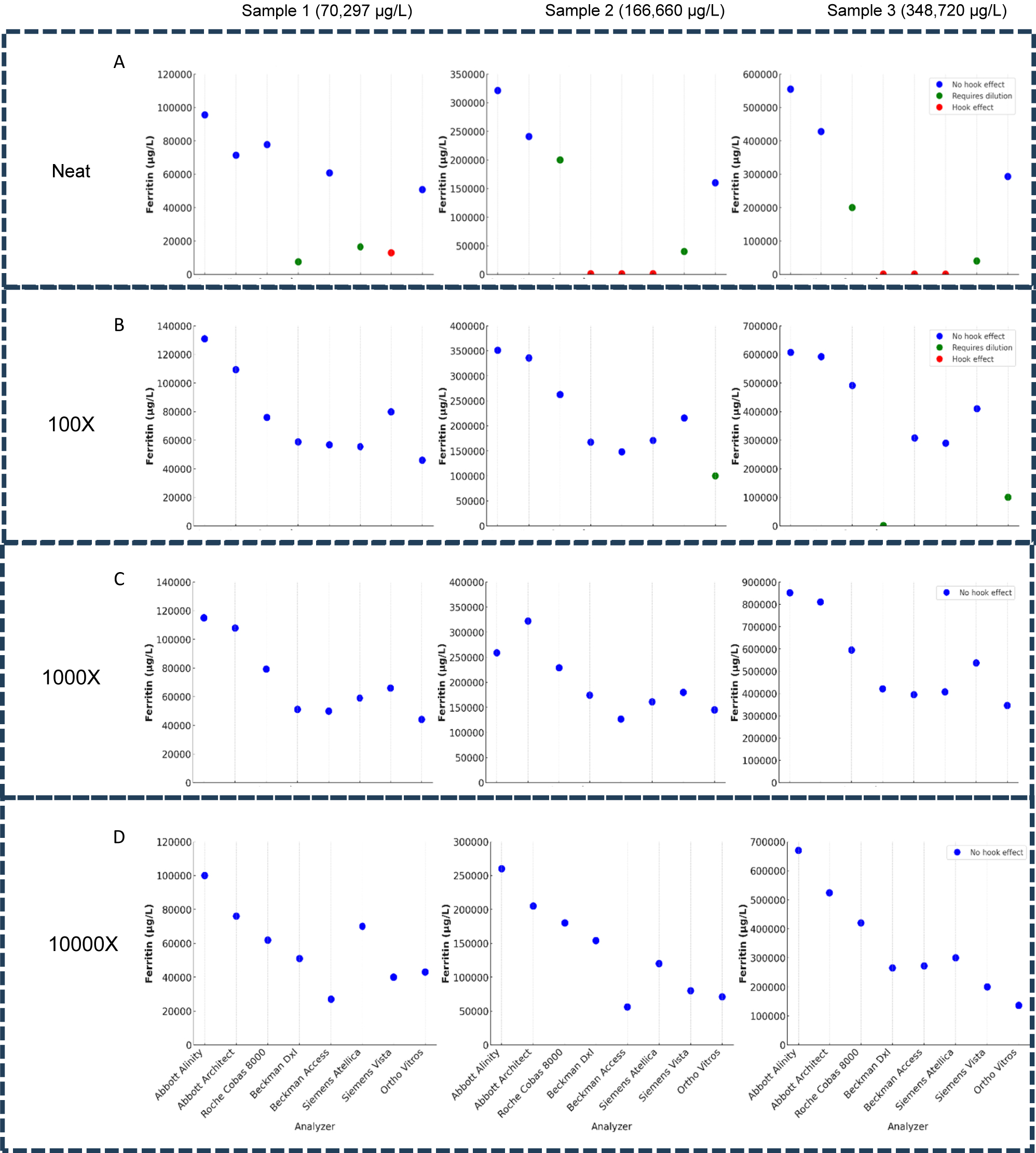
Erfordert eine Authentifizierung Nicht lizenziertHook effect for ferritin immunoassays: implications for clinical practiceLizenziert17. Dezember 2025
-
Erfordert eine Authentifizierung Nicht lizenziertUse of indirect methods and machine learning algorithms for the estimation of reference intervals, taking cortisol measurements as an exampleLizenziert23. Oktober 2025
-
Erfordert eine Authentifizierung Nicht lizenziertConfirmation of the value of the labile HbA1c/HbA1c-ratio in the presence of a Hb J-Baltimore variant: a clinical caseLizenziert23. September 2025
-
Erfordert eine Authentifizierung Nicht lizenziertPerformance evaluation of a new high-sensitivity cardiac troponin T assay: hs-cTnT (CLIA) assayLizenziert26. November 2025
-
Erfordert eine Authentifizierung Nicht lizenziertToward neonatal analytical stewardship: building on Cadamuro et al.’s minimum-volume frameworkLizenziert16. Dezember 2025
-
Erfordert eine Authentifizierung Nicht lizenziertThe democratization of cancer screening, or a waste of valuable resources?Lizenziert15. Dezember 2025
-
Erfordert eine Authentifizierung Nicht lizenziertPrognostic value of suPAR in sepsis: a potential tool to support patient management in the Emergency DepartmentLizenziert15. Dezember 2025
-
Erfordert eine Authentifizierung Nicht lizenziertFrom conventional to personalized reference intervals and decision limits: addressing latent errors in the post-post analytical phaseLizenziert28. November 2025
-
Erfordert eine Authentifizierung Nicht lizenziertROTEM-guided diagnostic pathway in a centralized Laboratory Medicine setting: an organizational reportLizenziert20. Oktober 2025
-
Erfordert eine Authentifizierung Nicht lizenziertImplementation of an automated alert system of critical results in hospitalized and emergency patientsLizenziert24. November 2025
-
Open AccessComparative analysis of plasma p-tau217 immunoassays: challenges for standardization and harmonization10. November 2025
-
Erfordert eine Authentifizierung Nicht lizenziertPoint of care testing of biochemical markers for monitoring astronauts during long duration missions in deep spaceLizenziert28. Oktober 2025
-
Öffentlich zugänglichMulti-cancer early detection revisited: insights and lessons from the PATHFINDER 2 study29. Oktober 2025
-
Erfordert eine Authentifizierung Nicht lizenziertDoes patient-based data monitoring allow us to reconsider the relationship between IQC and EQA?Lizenziert24. September 2025
-
Erfordert eine Authentifizierung Nicht lizenziertMeasuring neurofilament light in human plasma and cerebrospinal fluid: a comparison of five analytical immunoassaysLizenziert8. September 2025
-
Erfordert eine Authentifizierung Nicht lizenziertQuantitative analysis of phylloquinone (vitamin K1) and menaquinone (vitamin K2) in serum of Russians by liquid chromatography-tandem mass spectrometryLizenziert16. Dezember 2025
-
Erfordert eine Authentifizierung Nicht lizenziertDefining non-diabetic hypoglycemia: is there an appropriate plasma glucose threshold?Lizenziert17. Dezember 2025
-
Heft 12
-
Heft 11
-
Heft 10
-
Heft 9
-
Heft 8
-
Heft 7
-
Heft 6
-
Heft s1Issue s1: EuroMedLab Brussels 2025: Abstracts Issue
-
Heft 5Highlight Issue: External Quality Assurance (EQA): A Fundamental Tool for Quality in Laboratory Medicine; Issue Editor: Christoph Buchta
-
Heft 4
-
Heft 3
-
Heft 2
-
Heft 1
-
Heft 12
-
Heft 11
-
Heft 10Special Issue: Six Years of Progress – Highlights from the IFCC Emerging Technologies Division; Issue Editor: Ronda Greaves
-
Heft 9Highlight Issue: The EFLM European Urinalysis Guideline 2023
-
Heft 8Highlight Issue: Analytical performance specifications – moving from models to practical recommendations; Issue Editors: Sverre Sandberg, Mauro Panteghini and Tomáš Zima
-
Heft 7
-
Heft 6
-
Heft 5
-
Heft 4
-
Heft 3
-
Heft 2
-
Heft 1
-
Heft 12
-
Heft 11Highlight Issue: The Development of Reference Measurement Procedures to Establish Metrological Traceability; Issue Editor: Ronda Greaves
-
Heft 10
-
Heft 9
-
Heft 8
-
Heft 7
-
Heft 6
-
Heft s1Issue s1: WorldLab - EuroMedLab Roma 2023: Abstracts Issue
-
Heft 560 Years of CCLM — Special Anniversary Issue
-
Heft 4Special Issue: Implementing Emerging Technologies, IVDR, and Sustainable Practices in Smart and Green Medical Laboratories. Opportunities and Challenges; Issue Editor: Tomris Özben
-
Heft 3
-
Heft 2
-
Heft 1
-
Heft 12Special Issue: Artificial Intelligence and Big Data in Laboratory Medicine; Issue Editors: Andrea Padoan and Mario Plebani
-
Heft 11
-
Heft 10
-
Heft 9
-
Heft 8
-
Heft 7
-
Heft 6
-
Heft 5
-
Heft 4Special Issue: Biological variation – eight years after the 1st Strategic Conference of EFLM; Issue Editors: Sverre Sandberg, Anna Carobene and Aasne K. Aarsand
-
Heft 3
-
Heft 2
-
Heft 1
-
Heft 12
-
Heft s1Issue s1: EuroMedLab Munich 2021: Abstracts Issue
-
Heft 11
-
Heft 10
-
Heft 9
-
Heft 8
-
Heft 7
-
Heft 6
-
Heft 5
-
Heft 4
-
Heft 3
-
Heft 2
-
Heft 1
-
Heft 12
-
Heft 11
-
Heft 10
-
Heft 9
-
Heft 8
-
Heft 7Special Issue: Critical Role of Laboratory Medicine in the Global Response to the COVID-19 Pandemic
-
Heft 6Special Issue: Advancements in Mass Spectrometry as a Tool for Clinical Analysis. Part 2 / Issue Editor: Liam Heaney
-
Heft 5Special Issue: Advancements in Mass Spectrometry as a Tool for Clinical Analysis. Part 1 / Issue Editor: Liam Heaney
-
Heft 4
-
Heft 3
-
Heft 2
-
Heft 1
-
Heft 12
-
Heft 11
-
Heft 10
-
Heft 9
-
Heft 8
-
Heft 7
-
Heft 6
-
Heft 5
-
Heft 4
-
Heft 3Special Issue: Laboratory Medicine in Digital Health: Disruptive Technologies and Processes / Issue Editors: Michael Neumaier, Ian D. Watson and Thomas Ganslandt
-
Heft 2
-
Heft 1Special Issue: Harmonization in Laboratory Medicine: the Request, the Sample, the Measurement, and the Report – an Update. Part 2 / Editors: Jillian R. Tate, MariaStella Graziani and Mario Plebani
-
Heft 12
-
Heft 11
-
Heft 10Special Issue: Harmonization in Laboratory Medicine: the Request, the Sample, the Measurement, and the Report – an Update. Part 1 / Editors: Jillian R. Tate, MariaStella Graziani and Mario Plebani
-
Heft 9
-
Heft 8
-
Heft 7
-
Heft 6
-
Heft 5
-
Heft 4
-
Heft 3
-
Heft 2
-
Heft 1
-
Heft 12
-
Heft 11
-
Heft 10
-
Heft s2IFCC Worldlab Durban 2017: Abstracts Issue
-
Heft 9
-
Heft 8
-
Heft 7
-
Heft 6
-
Heft s1EuroMedLab Athens 2017: Abstracts Issue
-
Heft 5Special issue: miRNAs in human disease and their impact on laboratory medicine / Guest Editors: Vincent De Guire, Muller Fabbri and Gregory J. Tsongalis
-
Heft 4
-
Heft 3
-
Heft 2
-
Heft 1
-
Heft 12
-
Heft 11
-
Heft 10
-
Heft 9
-
Heft 8
-
Heft 7
-
Heft 6Special issue: Protein electrophoresis and serum free light chains in the diagnosis and monitoring of plasma cell disorders: laboratory testing and current controversies / Guest Editors: Jillian R. Tate, Maria Stella Graziani, Peter Mollee and Giampaolo Merlini
-
Heft 5
-
Heft 4
-
Heft 3
-
Heft 2
-
Heft 1
-
Heft 12
-
Heft s2Special Supplemental Issue: Urinary sediment: still an important diagnostic tool / Guest Editor: Giovanni B. Fogazzi
-
Heft 11
-
Heft 10
-
Heft 9Highlight: New Trends in HbA1c
-
Heft 8
-
Heft 7
-
Heft s1
-
Heft 6Special issue: 1st EFLM Strategic Conference / “Defining analytical performance goals – 15 years after the Stockholm Conference”
-
Heft 5Highlight: High-Sensitivity Assays for Cardiac Troponins
-
Heft 4
-
Heft 3
-
Heft 2
-
Heft 1
-
Heft 12
-
Heft 11
-
Heft 10Special issue: IV Italian GREAT Network Congress / Editors: Giuseppe Lippi, Salvatore Di Somma
-
Heft 9
-
Heft 8
-
Heft Supplement
-
Heft 7
-
Heft 6
-
Heft 5
-
Heft 4
-
Heft 3
-
Heft 2
-
Heft 1Special issue: Frontiers in research on the Maillard reaction in aging and chronic disease / Guest Editors: John Baynes, Columbia, SC, USA and Philipp Gillery, Reims, France
-
Heft 12
-
Heft 11
-
Heft 10
-
Heft 9
-
Heft 8
-
Heft 7
-
Heft 6
-
Heft 5Highlight: IFCC Scientific Division: An update of the ongoing activities
-
Heft 4
-
Heft 3Special issue: Advances and controversies in B vitamins and choline / Editors: Rima Obeid, Wolfgang Herrmann
-
Heft 2
-
Heft 1
-
Heft 12
-
Heft 11
-
Heft 10
-
Heft 9
-
Heft 8
-
Heft 7
-
Heft 62nd IFCC Ortho Clinical Diagnostics (OCD) Conference “Disease and the Clinical Laboratory Pregnancy Related Disorders: Present Perspectives and Emerging Challenges”
-
Heft 5Special issue: Reference values
-
Heft 4
-
Heft 3
-
Heft 2
-
Heft 1
-
Heft 12
-
Heft 11
-
Heft 10
-
Heft 9
-
Heft 8
-
Heft 7
-
Heft 6
-
Heft 5
-
Heft s1Supplement: IFCC WorldLab Berlin 2011
-
Heft 4
-
Heft 3
-
Heft 2
-
Heft 1
-
Heft 12
-
Heft 11
-
Heft 10
-
Heft 9
-
Heft 8
-
Heft 7
-
Heft 6Special Issue: Proteomics and Biomarkers
-
Heft S1Supplement: EUROMEDLAB Innsbruck 2009
-
Heft 5
-
Heft 4
-
Heft 3
-
Heft 2
-
Heft 1
-
Heft 12
-
Heft 11
-
Heft 10
-
Heft 9
-
Heft 8
-
Heft S1Supplement: IFCC WorldLab Fortaleza 2008
-
Heft 7
-
Heft 6
-
Heft 5
-
Heft 4
-
Heft 3
-
Heft 2
-
Heft 1
-
Band 64 | Heft 1 Highlight Issue: Candidate Reference Measurement Procedures: A Step Forward
-
Band 63 | Heft 5 Highlight Issue: External Quality Assurance (EQA): A Fundamental Tool for Quality in Laboratory Medicine; Issue Editor: Christoph Buchta
-
Band 62 | Heft 10 Special Issue: Six Years of Progress – Highlights from the IFCC Emerging Technologies Division; Issue Editor: Ronda Greaves
-
Band 62 | Heft 9 Highlight Issue: The EFLM European Urinalysis Guideline 2023
-
Band 62 | Heft 8 Highlight Issue: Analytical performance specifications – moving from models to practical recommendations; Issue Editors: Sverre Sandberg, Mauro Panteghini and Tomáš Zima
| Journal Impact Factor | 3.7 | 2024, Journal Citation Reports (Clarivate, 2025) |
| 5-year Journal Impact Factor | 3.8 | 2024, Journal Citation Reports (Clarivate, 2025) |
| Journal Citation Indicator | 1.53 | 2024, Journal Citation Reports (Clarivate, 2025) |
| CiteScore | 6.9 | 2024, Scopus (Elsevier B.V., 2025) |
| SCImago Journal Rank | 0.952 | 2024, SJR (Scimago Lab, 2025; Data Source: Scopus) |
| Source Normalized Impact per Paper | 1.306 | 2024, CWTS Journal Indicators (CWTS B.V., 2025; Data Source: Scopus) |
- You can easily submit your manuscript online. Simply go to http://mc.manuscriptcentral.com/cclm and you will be guided through the whole submission and publishing process.
- Prepare your manuscript according to the Instructions for Authors and Submission Checklist.
- Clinical Chemistry and Laboratory Medicine follows Tier 3 of our Data Sharing Policy. Authors are required to provide a data availability statement. Please refer to the Data Sharing Policy for guidance on how to write a data availability statement.
- As a condition of submission, the Template for Ethical and Legal Declarations must be customized by the submitting author on behalf of all others and uploaded as a separate Word file.
- If you have any general questions please visit our FAQ page for authors.
Editor-in-Chief
Mario Plebani, University of Padova, Department of Laboratory Medicine, Padova, Italy
Email: mario.plebani@unipd.it
Associate Editors
- Philippe Gillery, University Hospital of Reims, Reims, France
- Ronda Greaves, Victorian Clinical Genetics Services, Murdoch Children’s Research Institute, Parkville, VIC, Australia
- Karl Lackner, Medical University Hospital Mainz, Institute of Clinical Chemistry and Laboratory Medicine, Mainz, Germany
- Giuseppe Lippi, University Verona, Section of Clinical Biochemistry, Ospedale Policnico G.B. Rossi, Verona, Italy
- Bohuslav Melichar, Palacky Unversity Medical School, Oncology, Olomouc, Czech Republic
- Peter Schlattmann, Medical University Hospital Jena, Department of Medical Statistics, Informatics and Documentation, Jena, Germany
- Pan Shiyang, The First Affiliated Hospital of Nanjing Medical University, Department of Laboratory Medicine, Nanjing, P.R. China
Editorial Board
- Fred Apple, Hennepin Healthcare/Hennepin County Medical Center and University of Minnesota, Laboratory Medicine & Pathology, Minneapolis, MN, USA
- Yana Bocheva, Department of Clinical Laboratory, Medical University "Prof. Paraskev Stoyanov", Varna, Bulgaria
- Ivan Brandslund, University of Southern Denmark, Institute of Regional Health Research, Odense, Denmark
- Christoph Buchta, ÖQUASTA, Vienna, Austria
- Janne Cadamuro, University Hospital Salzburg, Paracelsus Medical University, Department of Laboratory Medicine, Salzburger Landeskliniken, Salzburg, Austria
- Etienne Cavalier, University Hospital of Liege, University of Liege, Liège, Belgium
- Abdurrahman Coskun, Acibadem Labmed Clinical Laboratories, Clinical Biochemistry, Istanbul, Türkiye
- Wei Cui, National Cancer Center/Cancer Hospital, Chinese Academy of Medical Sciences and Peking Union Medical College, Department of Clinical Laboratory, Beijing, P.R. China
- Vincent De Guire, Maisonneuve-Rosemont Hospital, Clinical Biochemistry Laboratory, Optilab Montreal-CHUM Laboratory Network, Montreal, Canada
- Vincent Delatour, Laboratoire National de Métrologie et d’Essais, Pole Chimie – Biologie, Paris, France
- Emmanuel Favaloro, Sydney Centres for Thrombosis and Haemostasis, Haematology Department, Institute of Clinical Pathology and Medical Research (ICPMR), NSW Health Pathology, Westmead Hospital, Westmead, NSW, Australia
- Julien Favresse, Université Catholique de Louvain, Department of Laboratory Medicine, Brussels, Belgium
- Pilar Fernandez-Calle, Hospital Universitario La Paz, Clinical Pathology, Planta Baja Hospital Maternal, Madrid, Spain
- Dina N. Greene, University of Washington, Laboratory Medicine, Seattle, WA, USA
- João Tiago Guimarães Porto, University Porto, Department of Biochemistry, Medical Faculty, Porto, Portugal
- Liam Heaney, School of Sport, Exercise & Health Sciences, Loughborough University, Loughborough, UK
- Brandon M. Henry, Cincinnati Children's Hospital Medical Center, Cincinnati, OH, USA
- Markus Herrmann, Medical University of Graz, Clinical Institute for Medical and Chemical Laboratory Diagnostics, Graz, Austria
- Martin Hersberger, University Childrens Hospital Zurich, Division of Clinical Chemistry and Biochemistry Zurich, Switzerland
- Chung Shun Ho, The Chinese University of Hong Kong, Department of Chemical Pathology, Shatin, Hong Kong
- Johannes Hoffmann, Nuenen, Netherlands
- Evgenija Homšak, University Clinical Centre Maribor, Department for Laboratory Diagnostics, Maribor, Croatia
- Zhi-De Hu, Department of Laboratory Medicine, the Affiliated Hospital of Inner Mongolia Medical University, Hohhot, P.R. China
- Aamir Ijaz, Mohi-Uddin Islamic Medical College Mirpur, Mirpur, Pakistan
- Berend Isermann, Medical University Hospital, Institute of Laboratory Medicine, Clinical Chemistry and Molecular Diagnostics, Leipzig, Germany
- Joannes Jacobs, Radboud University Medical Center, Department of Laboratory Medicine Laboratory Medical Immunology, Nijmegen, The Netherlands
- Graham Jones, St Vincent's Hospital, Sydney, Darlinghurst, NSW, Australia
- János Kappelmayer, University of Debrecen, Department of Laboratory Medicine, Debrecen, Hungary
- Peter Kavsak, Juravinski Hospital and Cancer Centre, Toronto, ON, Canada
- Magdalena Krintus, Nicolaus Copernicus University, Bydgoszcz, Poland
- Vathany Kulasingam, University of Toronto, Department of Laboratory Medicine and Pathobiology, Toronto, ON, Canada
- Leslie Charles Lai, Gleneagles Hospital Kuala Lumpur, Medical Office Building, Kuala Lumpur, Malaysia
- Ivana Lapić, University Hospital Center Zagreb, Department of Laboratory Diagnostics, Zagreb, Croatia
- Michael Laposata, University of Texas Medical Branch, Galveston Pathology, Galveston, TX, USA
- Nicholas E. Larkey, University of Virginia, Department of Pathology, Charlottesville, VA, USA
- Tze Ping Loh, National University Hospital, Department of Laboratory Medicine, Singapore
- Konstantinos Makris, KAT General Hospital, Clinical Biochemistry Department, Athens, Greece
- Vijayalakshmi Nandakumar, Division of Rheumatology Medicine, University of Colorado Anschutz Medical Campus, Aurora, CO, USA
- Yesim Ozarda, Uludag University, Biochemistry, Bursa, Türkiye
- Tomris Özben, Akdeniz University Medical Faculty, Department of Medical Biochemistry, Antalya, Türkiye
- Andrea Padoan, University Hospital of Padova, Laboratory Medicine, Padova, Italy
- Swarup A.V. Shah, P. D. Hinduja Hospital & Medical Research Centre, Department of Laboratory Medicine Mumbai, India
- Cord Spreckelsen, Friedrich-Schiller-Universitat Jena, Jena, Germany
- Mai Thi Chi Tran, Hanoi Medical University, National Children's Hospital, Biochemistry Department, Hanoi, Vietnam , Hanoi Medical University, National Children's Hospital, Biochemistry Department, Hanoi, Vietnam
- Michael Vogeser, Institute of Laboratory Medicine, University Hospital, LMU München, Munich, Germany
- Maria Alice V. Willrich, Mayo Clinic, Department of Laboratory Medicine and Pathology, Rochester, MN, USA
- Rosita Zakaria, Laboratory Medicine, RMIT University, Melbourne, VIC, Australia
- Annalise E. Zemlin, Tygerberg Hospital, Service and University of Stellenbosch, Division of Chemical Pathology, Cape Town, South Africa
- Tomáš Zima, Charles University, First Faculty of Medicine, Prague, Czech Republic
Editorial
Heike Jahnke
Walter de Gruyter GmbH
Genthiner Str. 13
10785 Berlin, Germany
Tel. +49-30-26005-220
E-mail: Heike.Jahnke@degruyterbrill.com
Clinical Chemistry and Laboratory Medicine (CCLM) ist in den folgenden Services indiziert:
- Analytical Abstracts
- Baidu Scholar
- Cabells Journalytics
- CABI (over 50 subsections)
- Chemical Abstracts Service (CAS) - CAplus
- Chemical Abstracts Service (CAS) - SciFinder
- CNKI Scholar (China National Knowledge Infrastructure)
- CNPIEC - cnpLINKer
- Dimensions
- EBSCO (relevant databases)
- EBSCO Discovery Service
- EMBASE
- Genamics JournalSeek
- Google Scholar
- ICAP Alcohol Information Databases
- Japan Science and Technology Agency (JST)
- J-Gate
- Journal Citation Reports/Science Edition
- JournalGuide
- Medline
- Naver Academic
- Naviga (Softweco)
- Norwegian Register for Scientific Journals, Series and Publishers
- Pathway Studio
- Primo Central (ExLibris)
- ProQuest (relevant databases)
- Publons
- PubMed
- PubsHub
- QOAM (Quality Open Access Market)
- ReadCube
- Reaxys
- ScienceON (Korea Institute of Science and Technology Information)
- Scilit
- SCImago (SJR)
- SCOPUS
- Semantic Scholar
- Sherpa/RoMEO
- Summon (ProQuest)
- TDNet
- TEMA Technik und Management
- Text Mining
- Ulrich's Periodicals Directory/ulrichsweb
- WanFang Data
- Web of Science - Biological Abstracts
- Web of Science - BIOSIS Previews
- Web of Science - Current Contents/Life Sciences
- Web of Science - Prous Science Integrity
- Web of Science - Science Citation Index
- Web of Science - Science Citation Index Expanded
- WorldCat (OCLC)
- X-MOL
- Yewno Discover
Fachgebiete
-
Herstellerinformationen:
Walter de Gruyter GmbH
Genthiner Straße 13
10785 Berlin
productsafety@degruyterbrill.com