Home Medicine Clinical Chemistry and Laboratory Medicine (CCLM) Volume 63, Issue 5 - Highlight Issue: External Quality Assurance (EQA): A Fundamental Tool for Quality in Laboratory Medicine; Issue Editor: Christoph Buchta
Clinical Chemistry and Laboratory Medicine (CCLM)
Issue
Licensed
Unlicensed Requires Authentication

Volume 63, Issue 5 - Highlight Issue: External Quality Assurance (EQA): A Fundamental Tool for Quality in Laboratory Medicine; Issue Editor: Christoph Buchta

Contents
  • Publicly Available
    Frontmatter
    March 24, 2025
    Page range: i-v
  • Editorial
  • January 13, 2025
    Finlay MacKenzie
    Page range: 841-843
  • Reviews
  • January 6, 2025
    Christoph Buchta, Rachel Marrington, Barbara De la Salle, Stéphanie Albarède, Tony Badrick, Andreas Bietenbeck, David Bullock, Janne Cadamuro, Vincent Delatour, Enes Dusinovic, Wolf-Jochen Geilenkeuser, Gro Gidske, Andrea Griesmacher, Alexander Haliassos, Derek Holzhauser, Jim F. Huggett, Serafeim Karathanos, Paola Pezzati, Sverre Sandberg, Aditi Sarkar, Anne Elisabeth Solsvik, Michael Spannagl, Marc Thelen, Veronica Restelli, Lucy A. Perrone
    Page range: 844-858
  • January 6, 2025
    Christoph Buchta, Rachel Marrington, Barbara De la Salle, Stéphanie Albarède, Tony Badrick, Heidi Berghäll, David Bullock, Wim Coucke, Vincent Delatour, Wolf-Jochen Geilenkeuser, Andrea Griesmacher, Gitte M. Henriksen, Jim F. Huggett, Peter B. Luppa, Jonna Pelanti, Paola Pezzati, Sverre Sandberg, Michael Spannagl, Marc Thelen, Veronica Restelli, Lucy A. Perrone
    Page range: 859-867
  • January 6, 2025
    Christoph Buchta, Rachel Marrington, Barbara De la Salle, Stéphanie Albarède, Xavier Albe, Tony Badrick, Heidi Berghäll, David Bullock, Christa M. Cobbaert, Wim Coucke, Vincent Delatour, Wolf-Jochen Geilenkeuser, Andrea Griesmacher, Gitte M. Henriksen, Jim F. Huggett, István Juhos, Martin Kammel, Peter B. Luppa, Piet Meijer, Jonna Pelanti, Paola Pezzati, Sverre Sandberg, Michael Spannagl, Marc Thelen, Annette Thomas, Heinz Zeichhardt, Veronica Restelli, Lucy A. Perrone
    Page range: 868-878
  • January 6, 2025
    Christoph Buchta, Barbara De la Salle, Rachel Marrington, Stéphanie Albarède, Tony Badrick, Wolfgang Bicker, Andreas Bietenbeck, David Bullock, Vincent Delatour, Elisabeth Dequeker, Mira Flasch, Wolf-Jochen Geilenkeuser, Jaap van Hellemond, Jim F. Huggett, Viktoriia Ianovska, Patricia Kaiser, Martin Kammel, Anja Kessler, Nele Laudus, Peter B. Luppa, Pierre-Alain Morandi, Gavin O’Connor, Mauro Panteghini, Paola Pezzati, Jennifer Rosendahl, Sverre Sandberg, Heinrich Scheiblauer, Milan Skitek, Michael Spannagl, Anne Stavelin, Marc Thelen, Ursula Unterberger, Heinz Zeichhardt, Veronica Restelli, Lucy A. Perrone
    Page range: 879-897
  • January 6, 2025
    Christoph Buchta, Barbara De la Salle, Rachel Marrington, Andrés Aburto Almonacid, Stéphanie Albarède, Tony Badrick, David Bullock, Christa M. Cobbaert, Wim Coucke, Vincent Delatour, Ana Paula Faria, Wolf-Jochen Geilenkeuser, Andrea Griesmacher, Jim F. Huggett, Viktoriia Ianovska, Martin Kammel, Anja Kessler, Günther F. Körmöczi, Piet Meijer, Armandina Miranda, Dina Patel, Paola Pezzati, Sverre Sandberg, Harald Schennach, Christian R. Schweiger, Karin Schwenoha, Michael Spannagl, Heungsup Sung, Marc Thelen, Cas Weykamp, Heinz Zeichhardt, Veronica Restelli, Lucy A. Perrone
    Page range: 898-915
  • Opinion Papers
  • November 26, 2024
    Mauro Panteghini
    Page range: 916-922
  • November 27, 2024
    Alessia Achille, Gabriella Guarnieri, Andrea Vianello
    Page range: 923-930
  • General Clinical Chemistry and Laboratory Medicine
  • December 16, 2024
    Anna Linko-Parvinen, Jonna Pelanti, Tanja Vanhelo, Pia Eloranta, Hanna-Mari Pallari
    Page range: 931-941
  • December 5, 2024
    Antonio Leon-Justel, Carmen Navarro Bustos, Jose Angel Noval-Padillo, Salomon Martin Perez, Maria Dolores Aviles Gomez, Nelia Jimenez Valencia, Jose M. Garrido Castilla, Miguel Diaz Muñoz, Maria A. Rivera Vizcaino, Laura Alvarez Heredia, Emilia Gracia Moreno, Maria Esther Roldan Fontan, Caludio Bueno Mariscal, Juan Miguel Guerrero Montavez, Catalina Sanchez-Mora
    Page range: 942-951
  • December 13, 2024
    Osama Eisa, Mohammed Dafaalla, Mark Wright, Muhammad Faisal, Kevin Stuart, Nuthar Jassam
    Page range: 952-961
  • December 10, 2024
    Jonathan C.Y. Tang, Rachel Dunn, John J. Dutton, Amrou Farag, Isabelle Piec, Allison Chipchase, Julie Greeves, William D. Fraser, Emma A. Webb
    Page range: 962-971
  • December 11, 2024
    Trine Muhs Nielsen, Charlotte Gils, Mads Nybo
    Page range: 972-978
  • January 3, 2025
    Gabriela Blauth Walber, José Antonio Tesser Poloni, Liane Nanci Rotta
    Page range: 979-986
  • Reference Values and Biological Variations
  • January 28, 2025
    Blanca Beumer Prieto, Isabel Moreno-Parro, Berta Sufrate-Vergara, Blanca Fabre-Estremera, Antonio Buño Soto, Pilar Fernández-Calle, Jorge Díaz-Garzón Marco
    Page range: 987-994
  • November 27, 2024
    Aurélie Ladang, George Vavoulis, Ioulia Trifonidi, Emma Calluy, Katerina Karagianni, Athanasios Mitropoulos, Konstantinos Vlachos, Etienne Cavalier, Konstantinos Makris
    Page range: 995-1003
  • Cancer Diagnostics
  • January 7, 2025
    Nora Vogg, Eleanor North, Arne Gessner, Felix Fels, Markus R. Heinrich, Matthias Kroiss, Max Kurlbaum, Martin Fassnacht, Martin F. Fromm
    Page range: 1004-1015
  • Cardiovascular Diseases
  • January 3, 2025
    Meltem Asicioglu, Claudia Swart, Evren Saban, Emrah Yurek, Nevin Gul Karaguler, Merve Oztug
    Page range: 1016-1030
  • Infectious Diseases
  • January 27, 2025
    Vincenzo Roccaforte, Giovanni Sabbatini, Rossella Panella, Massimo Daves, Paolo Formenti, Miriam Gotti, Andrea Galimberti, Marta Spreafico, Andrea Piccin, Giuseppe Lippi, Angelo Pezzi, Stefano Pastori
    Page range: 1031-1042
  • Letters to the Editor
  • December 10, 2024
    Peter A. Kavsak, Lorna Clark, Andrew Worster, Sukhbinder Dhesy-Thind
    Page range: e121-e123
  • Requires Authentication Unlicensed
    Licensed
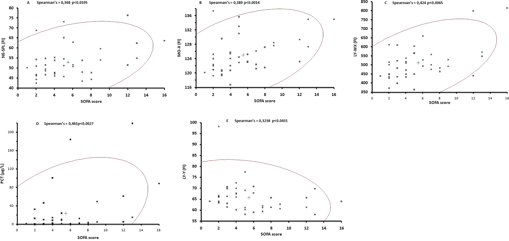
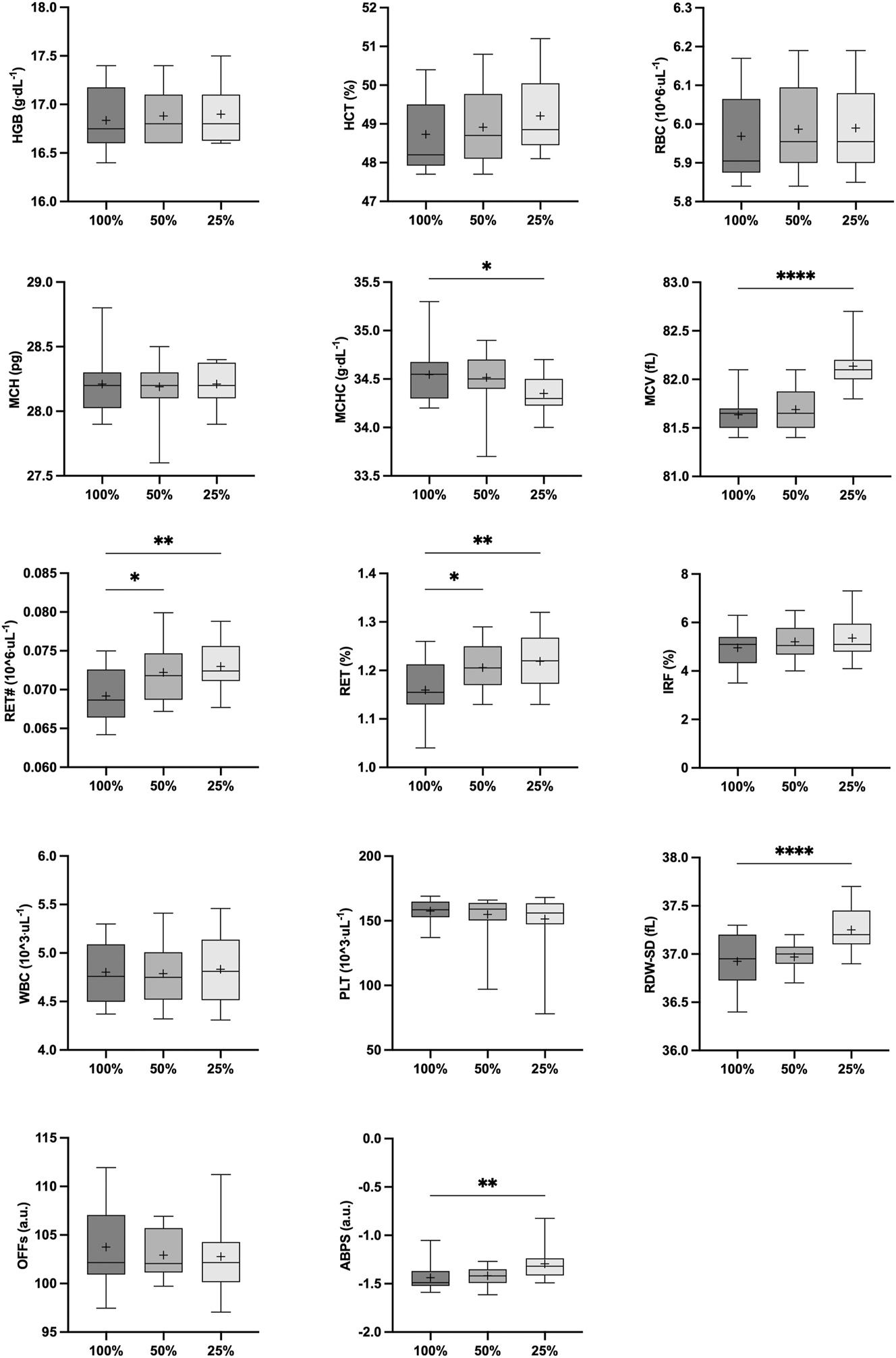
    Does blood tube filling influence the Athlete Biological Passport variables?
    November 29, 2024
    Bastien Krumm, Léna Mettraux, Basile Moreillon, Francesco Botrè, Raphael Faiss
    Page range: e124-e127
  • December 3, 2024
    Christopher-John L. Farrell
    Page range: e128-e129
  • Requires Authentication Unlicensed
    Licensed
    An appeal for biological variation estimates in deep immunophenotyping
    December 27, 2024
    Kai Guo, Xiaoran Feng, Shuxuan Ma
    Page range: e130-e132
  • Requires Authentication Unlicensed
    Licensed
    Serum free light chains reference intervals for the Lebanese population
    December 5, 2024
    Abdulkarim El Karaaoui, Lina Ghandour, Rose T. Daher
    Page range: e133-e136
  • Requires Authentication Unlicensed
    Licensed
    Applying the likelihood ratio concept in external quality assessment for ANCA
    November 27, 2024
    Sylvia Broeders, Martine Vercammen, Carolien Bonroy, Sylvie Goletti, Laurence Lutteri, Sofie Schouwers, Lieve Van Hoovels, Xavier Bossuyt, On behalf of the Belgian Expert Committee on Non-Infectious Serology of Sciensano
    Page range: e137-e138
  • December 17, 2024
    Véronique Raverot, Khalid Hablouj, Pauline Perrin, Hélène Lasolle, Gérald Raverot
    Page range: e139-e142
Downloaded on 31.12.2025 from https://www.degruyterbrill.com/journal/key/cclm/63/5/html
Scroll to top button