Abstract
To study the influence of basalt fibers on the viscoelastic mechanical properties of asphalt concrete (AC) mixtures, unconfined compressive dynamic modulus tests were performed on styrene–butadiene–styrene (SBS)-modified AC mixtures reinforced with various contents of basalt fibers ranging from 0.2 to 0.5% by weight at five temperatures and six load frequencies, and the dynamic moduli and phase angles of the mixtures were measured. Compared with the test results of the control mixture (with no basalt fibers), the data show that the high-temperature dynamic modulus of the mixtures initially increases and subsequently decreases with increasing fiber content and reaches its maximum value when the basalt fiber content is 0.3%, while the low-temperature dynamic modulus decreases monotonically with increasing fiber content. Furthermore, the phase angle of the mixtures initially decreases and later increases with increasing fiber content and reaches its minimum value when the basalt fiber content is 0.3%. These behaviors indicate that the addition of basalt fiber improves the high-temperature rutting resistance and low-temperature cracking resistance of the SBS-modified AC mixtures. In addition, the results of the wheel rut test exhibit a good correlation with the results of the dynamic modulus test, revealing the reliability of the dynamic modulus test for evaluating the high-temperature rutting resistance of basalt-fiber-reinforced AC mixtures.
1 Introduction
High-temperature rutting and low-temperature cracking are the two most predominant types of distress in road pavement, shortening the service life of the pavement and increasing the maintenance cost. Various studies have demonstrated that adding different types of fibers and polymers to asphalt concrete (AC) could be an effective method for postponing the deterioration of AC pavement and increasing the service life [1,2,3]. Basalt fiber is a type of natural mineral fiber with the advantages of good asphalt adsorption, high strength, high-temperature resistance, and environmental friendliness. It has been reported that adding short basalt fibers into AC can enhance the low-temperature crack resistance, high-temperature rutting resistance, and water stability of AC mixtures [4,5,6].
It is well recognized that the mechanical behavior of AC mixtures strongly depends on time, temperature, and frequency, which can be characterized by dynamic modulus tests or static viscoelasticity tests (e.g., stress relaxation or creep). The dynamic modulus test is an AASHTO standard test for characterizing the stiffness of AC mixtures [7]. The report of the National Cooperative Highway Research Program (NCHRP) of the United States suggests that the dynamic modulus (
Ye et al. [9,10] investigated the influence of three types of fibers, including cellulose fibers, polyester fibers, and mineral fibers, on the dynamic and fatigue properties of fiber-reinforced AC mixtures and demonstrated that the dynamic modulus and phase angle of fiber-reinforced AC mixtures at 15oC were lower than those of the control mixture. The decrease in the dynamic modulus indicates that the addition of fibers reduces the stiffness of the AC mixture and improves its flexibility. The decrease in the phase angle also indicates the enhancement of the elastic property and the improvement of the fatigue damage resistance of the fiber-reinforced AC mixture. Apeagyei [11] conducted dynamic modulus tests at 38°C and flow number (FN) tests at 54°C on 16 AC mixtures, and the results showed that the FN was significantly correlated with
In addition to experimental research, numerical simulation is increasingly used to analyze the multiscale mechanical properties of fiber-reinforced asphalt mixtures [14,15]. Cao et al. [16] predicted the dynamic moduli of the AC material using a finite element method coupled with random aggregate generation technique and considering the linear viscoelasticity of the porous matrix of bituminous mastics. Peng et al. [17] applied the modified two-phase micromechanics model and the generalized self-consistent model to predict the dynamic modulus of asphalt concrete. Zhang et al. [18] employed a new algorithm for generating a 3D numerical model in MATLAB software to reflect the random distribution and orientation of the round and straight basalt fibers dispersed in the asphalt-like matrix, and study the compressive and shear creep behavior and reinforcement effect of different fiber contents under constant loading with ABAQUS finite element software. Sun et al. [19] used a mesoscopic damage constitutive model in accordance with the Mori–Tanaka homogenization algorithm and progressive damage theory to predict the composited material properties of the basalt-fiber-reinforced concrete, and investigated the effects of basalt fiber on the macroscopic compressive, splitting tensile, and bending performances of the concrete by finite element simulation. The multiscale simulation of AC mixtures needs to be verified by standard tests. An appropriate multiscale simulation strategy can provide a promising and powerful tool for gradation design and rapid performance prediction of the AC mixtures.
The aim of this paper is to study the influence of basalt fiber content on the viscoelastic mechanical properties of SBS-modified AC mixtures and determine the optimal fiber content. We conduct unconfined dynamic modulus tests recommended by AASHTO T342 [7] to measure the frequency sweep dynamic mechanical properties of the mixtures reinforced with various basalt fibers at low and high temperatures to evaluate the influence of the basalt fiber content on the dynamic modulus, phase angle and rutting factor of the mixtures. Finally, the test outcomes of dynamic modulus are discussed and compared with the results of wheel rut tests, and the correlation between the dynamic modulus, the rutting factor, and the dynamic stability is established.
2 Materials and testing
2.1 Raw materials
To prepare the AC-13C mixture specimens for dynamic modulus tests, artificially crushed basalt was used as the coarse aggregate, artificial sand was used as the fine aggregate; and limestone powder with a particle size of 0–0.075 mm was used as the mineral filler. The SBS-modified asphalt binder used in this paper was produced by Maoming Petrochemical Co., Ltd. in China. Table 1 lists the physical properties of the asphalt binder tested according to the specification JTG E20-2011 [20]. Basalt fibers with a length of 6 mm were used as reinforcement additives in this study, and the physical and mechanical properties are listed in Table 2. Figure 1 shows the morphology of the basalt fibers.
Physical properties of the SBS-modified asphalt binder
| Test item | Unit | Test value | Required value | Standard method |
|---|---|---|---|---|
| Penetration (25°C, 5 s, 100 g) | 0.1 mm | 55 | 40–60 | JTGE20-T0604 |
| Elongation (5°C, 5 cm min−1) | cm | 26 |
|
JTGE20-T0605 |
| Softening point | °C | 68 |
|
JTGE20-T0606 |
| Solubility (trichloroethylene) | % | 99.6 |
|
JTGE20-T0607 |
| Density (25°C) | g cm−3 | 1.039 | — | JTGE20-T0603 |
| Kinetic viscosity (135°C) | Pa s | 1.79 |
|
JTGE20-T0620 |
| Flash point | °C | 290 |
|
JTGE20-T0611 |
| Recovery of elasticity (25°C) | % | 83 |
|
JTGE20-T0662 |
| Mass loss after RTFOT | % | 0.5 |
|
JTGE20-T0609 |
| Penetration ratio after RTFOT (25°C) | % | 71 |
|
JTGE20-T0604 |
| Elongation after RTFOT (5°C, 5 cm min−1) | cm | 16 |
|
JTGE20-T0605 |
Physical and mechanical properties of the basalt fiber
| Project | Unit | Value |
|---|---|---|
| Density | g cm−3 | 2.65 |
| Average length | mm | 6 |
| Fiber diameter | µm | 14 |
| Tensile strength | MPa | 3,060 |
| Elastic modulus | GPa | 99 |
| Elongation at break | % | 3 |
| Thermal conductivity | W m−1 K | 0.03–0.038 |
| Melt temperature | °C | 1,050 |

Morphology of 6 mm long basalt fibers.
2.2 Aggregate gradation and specimen preparation
AC-13C asphalt mixture gradation is designed according to the Standard Test Methods of Bitumen and Bituminous Mixtures for Highway Engineering [20], as listed in Table 3, which is widely used in the surface layer of asphalt pavements in China. The asphalt–aggregate mass ratios are determined to be 4.84, 4.9, 4.96, 5.03, and 5.10% for the AC mixtures with 0.0, 0.2, 0.3, 0.4, and 0.5% basalt fibers by weight, respectively. Cylinders with a diameter of 150 mm and height of 170 mm are first fabricated with a 76-PV2522 Superpave gyratory compactor (Controls Corporation, Liscate, Italy) and then cored and cut into specimens with a diameter of 100 mm and height of 150 mm for dynamic modulus tests.
Aggregate gradation of the AC-13C asphalt mixture
| Passing rate (%) | ||||||||||
|---|---|---|---|---|---|---|---|---|---|---|
| Sieve size (mm) | 16 | 13.2 | 9.5 | 4.75 | 2.36 | 1.18 | 0.6 | 0.3 | 0.15 | 0.075 |
| Upper limit | 100 | 100.0 | 85.0 | 68.0 | 50.0 | 38.0 | 28.0 | 20.0 | 15.0 | 8.0 |
| Lower limit | 100 | 90.0 | 68.0 | 38.0 | 24.0 | 15.0 | 10.0 | 7.0 | 5.0 | 4.0 |
| Composite gradation | 100 | 95.6 | 77.1 | 53.3 | 35.4 | 24.0 | 17.2 | 12.0 | 9.1 | 6.2 |
2.3 Experimental procedure
In this paper, a DTS-30 servo-hydraulic dynamic testing machine with a temperature chamber (IPC Global Pty Ltd. Boronia, Australia) is used for the dynamic modulus measurements, as shown in Figure 2. To reduce the friction between the clamps and the specimen, double-layer polytetrafluoroethylene (PTFE) films are placed on both ends of the specimen. Two LVDT deformation sensors with a measurement range of ±1 mm and a gauge length of 100 mm are used to record the deformation data. Haversine compressive stress is applied according to AASHTO T342 [7] on the specimen at five specified temperatures (−10, 4.4, 21.1, 37.8, and 54.4°C) and six load frequencies (0.1, 0.5, 1.0, 5, 10, and 25 Hz). The stress amplitudes are appropriately selected to meet the linear viscoelasticity, ensuring that the strain of each load cycle does not exceed 50–150 microstrains and that the total permanent strain does not exceed 1,500 microstrains. Before the tests at each temperature, the specimens are conditioned in heat preservation for at least 4 h so that the temperature is uniform throughout the mass of the specimen.

(a) DTS-30 dynamic testing machine and (b) specimen and measurement sensors.
For a linearly viscoelastic material, such as the AC mixtures investigated in this study, subjected to harmonic oscillatory stress
where
3 Results and discussion
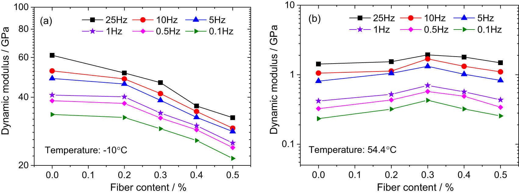
3.1 Relationship between the dynamic modulus and fiber content
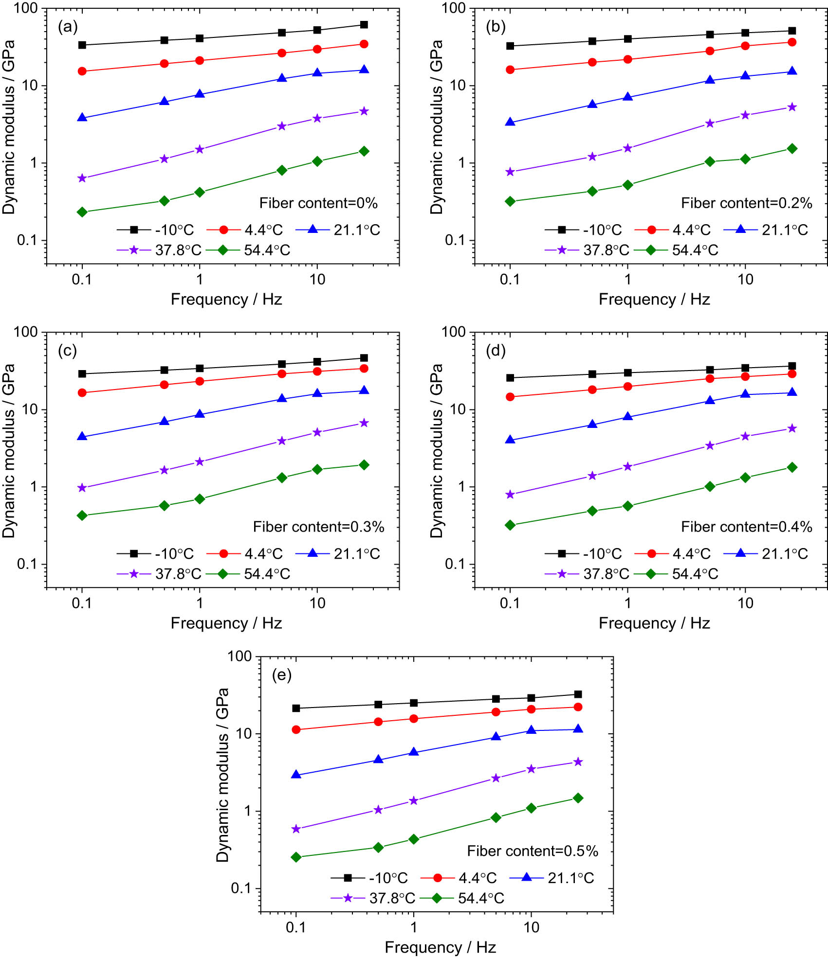
Because

Variation of
Figure 4 shows the variation of

Variation of
3.2 Relationship between the phase angle and fiber content
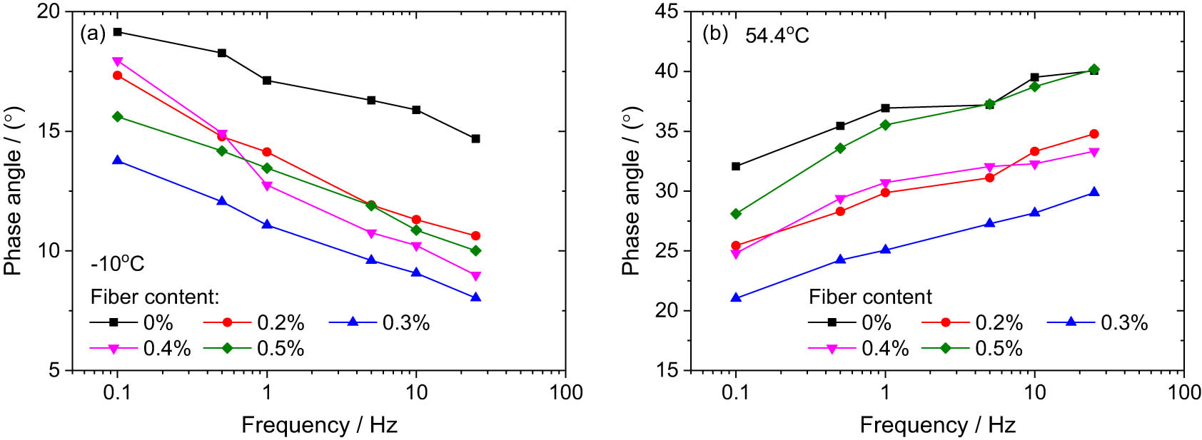
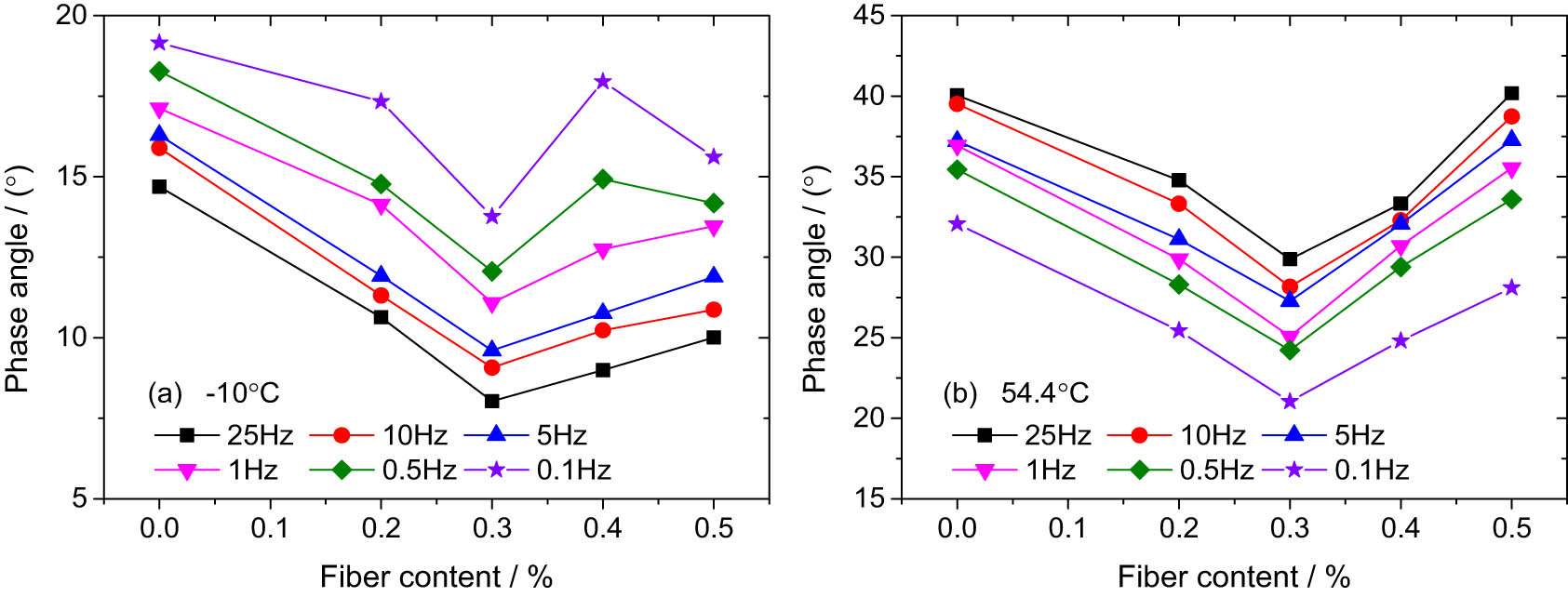
The phase angle is the parameter characterizing the phase lag between the strain response and applied stress in viscoelastic materials, which becomes 0° and 90° for ideal elastic materials and ideal viscous materials, respectively. A larger phase angle manifests more viscous and less elastic behavior. Figure 5(a)–(e) show the frequency sweep data of the phase angle in the dynamic modulus tests of AC mixtures with various basalt fibers, and the same trend can be seen for mixtures with different amounts of fibers. It is obvious from Figure 6 that the phase angles of the fiber-reinforced AC mixtures are smaller than that of the control mixture in the test frequency range, regardless of the test temperature. The reduction in the phase angle reveals that the fiber-reinforced mixtures behave more elastically and less viscously than the control mixture, which produces less permanent deformation and improves the rutting resistance. Moreover, at the lowest temperature (−10°C), the phase angle of the fiber-reinforced AC mixture decreases with increasing frequency, as shown in Figure 6(a), while the opposite trend is found at the highest temperature (54.4°C) as shown in Figure 6(b). This behavior is also apparent in Figure 7; in addition, we can evaluate the influence of the fiber content on the phase angle. The phase angles initially decrease and then increase with increasing fiber content, and the mixtures with 0.3% fibers by weight have the minimum phase angles. This result again indicates that the addition of basalt fiber improves the rutting resistance of the mixtures.

Variation of phase angles with frequencies at various temperatures for SBS-modified AC mixtures with basalt fibers: (a) 0% fiber, (b) 0.2% fiber, (c) 0.3% fiber, (d) 0.4% fiber, and (e) 0.5% fiber.

Phase angles of AC mixtures with various basalt fibers from frequency sweep measurements at (a) −10°C and (b) 54.4°C.

Variation of phase angles of AC mixtures with basalt fiber contents at (a) −10°C and (b) 54.4°C.
3.3 Relationship between the rutting factor and fiber content
In the previous two sections, the dynamic modulus and phase angle were separately used to evaluate the high-temperature rutting performance of the basalt-fiber-reinforced AC mixtures. The rutting factor (|E*|/sin δ) is a comprehensive consideration of these two indicators [8,10]. A high dynamic modulus and low phase angle benefit the high-temperature performance of asphalt mixtures, which reduces the high-temperature flow deformation and increases the permanent deformation resistance. The higher the rutting factor, the smaller the flow deformation and the greater the resistance to rutting. Table 4 shows the calculated rutting factors of AC mixtures with various basalt fibers at 54.4°C for six load frequencies from the measured dynamic moduli and phase angles. Obviously, all the basalt-fiber-reinforced AC mixtures have higher rutting factors than the control mixture, and the mixtures with 0.3% basalt fibers have the highest rutting factor and consequently the best rutting resistance at each test frequency. According to the values of the rutting factor, the rutting resistance of basalt-fiber-reinforced AC mixtures is in the order of 0.3% > 0.4% > 0.2% > 0.5% > 0.0%.
Rutting factor, |E*|/sin δ, of AC mixtures at 54.4°C
| Fiber content (%) | |E*|/sin δ (GPa) | |||||
|---|---|---|---|---|---|---|
| 25 Hz | 10 Hz | 5 Hz | 1 Hz | 0.5 Hz | 0.1 Hz | |
| 0.0 | 2.21 | 1.66 | 1.34 | 0.70 | 0.56 | 0.44 |
| 0.2 | 2.70 | 2.05 | 2.03 | 1.05 | 0.91 | 0.74 |
| 0.3 | 4.13 | 3.69 | 3.21 | 1.59 | 1.30 | 1.06 |
| 0.4 | 3.27 | 2.47 | 1.91 | 1.11 | 1.00 | 0.76 |
| 0.5 | 2.30 | 1.76 | 1.37 | 0.75 | 0.61 | 0.54 |
3.4 Discussions and further verification
The test results of the dynamic modulus and phase angle show that the addition of basalt fiber enhances the low-temperature cracking resistance and high-temperature rutting resistance of the AC mixtures, and the mixtures with 0.3% basalt fiber content have the best rutting resistance. To explain these phenomena, the temperature sensitivity of AC mixtures should be considered. The material properties and failure mechanism of AC mixtures depend on the temperature. At low temperatures, the unreinforced AC mixture is hard and brittle and is prone to cracking. When basalt fibers are added to an AC mixture, the fibers can bear part of the internal stress of the mixture, and the “bridging” and “reinforcing” effects can reduce the stress concentration, making the mixture more uniform and enhancing the low-temperature load capacity [2,12,13]. Moreover, the basalt fiber has good flexibility and its bridging action can closely connect the two broken parts at the microcrack [13], which enhances the low-temperature flexibility and enables the mixture to withstand the greater tensile strain. Moreover, the degree of strain enhancement of basalt fibers in the AC mixture is greater than that of stress enhancement so the dynamic modulus decreases [3]. At high temperatures, the adhesion of asphalt decreases greatly so the pavement is prone to rutting. The basalt fibers can absorb the oil in the asphalt and increase the adhesion of the asphalt; moreover, the fibers can absorb free asphalt and increase the amount of structural asphalts [3]. Therefore, after adding fibers, the strain of the AC mixture is smaller than that of the control mixture under the same stress; thus, the addition of fibers can improve the dynamic modulus and high-temperature deformation resistance of the AC mixture. However, if the content of fibers is too high (>0.3%), the excess fibers will cause defects, such as fiber agglomeration, which leads to a decrease in the dynamic modulus of the mixture.
The phase angle characterizes the viscosity of the material, while the viscosity at different temperatures is primarily determined by the asphalt binder. When the content of basalt fiber is appropriate, the fibers that are uniformly distributed in the mixture can form a three-dimensional network structure [12], which can absorb free asphalt and increase the amount of structural asphalt [3], which causes reinforced mixtures to behave more elastically and less viscously and so the phase angle decreases. When the fiber content is greater than the optimal value (0.3%), it easily causes internal defects, such as fiber agglomeration, which increases the viscous deformation of AC mixtures under loading and so the phase angle increases.
To verify the influence of the dynamic modulus on the high-temperature performance of basalt-fiber-reinforced AC mixtures, we performed wheel rut tests according to the specification JTG E20-2011 [20] and compared the results with the dynamic modulus and rutting factor. The wheel rut samples are compacted by an LDCX-1 wheel rut specimen sampling machine (Shanghai Luda Experiment Instrument Co., Ltd. Shanghai, China), and the specimen size is 300 mm × 300 mm × 50 mm. The wheel rut tests are performed on an LDCZ-1 automatic wheel rut tester (Shanghai Luda Experiment Instrument Co., Ltd. Shanghai, China). The test temperature is 60°C, the wheel pressure is 0.7 MPa, and the rutting resistance performance parameter obtained from the test is the dynamic stability (DS). The equation for DS is as follows [20]:
where d 1 and d 2 are the deformations in mm at times t 1 and t 2, respectively. In this test, t 1 and t 2 are set to 45 and 60 min, respectively; C 1 is the coefficient of the test instrument type, which is 1.0 for the test in this article; C 2 = 1.0 is the time coefficient for the specimen with a length and width of 300 mm; and N is the rolling speed of the rubber wheel of the wheel rut tester, which is taken 42 times min−1 according to the specification.
Table 5 shows the DS obtained in wheel rut tests on AC mixtures with various basalt fiber contents of 0.2, 0.3, 0.4, and 0.5% and without basalt fibers.
Results of wheel rut tests
| Fiber content (%) | Specimen ID | DS/(times per mm) | Mean value/(times per mm) | Coefficient of variation (%) |
|---|---|---|---|---|
| 0.0 | #1 | 7,470 | 6,497 | 18.76 |
| #2 | 5,130 | |||
| #3 | 6,890 | |||
| 0.2 | #1 | 13,029 | 12,906 | 14.17 |
| #2 | 10,996 | |||
| #3 | 14,693 | |||
| 0.3 | #1 | 24,896 | 25,391 | 3.24 |
| #2 | 26,340 | |||
| #3 | 24,936 | |||
| 0.4 | #1 | 19,020 | 19,090 | 5.59 |
| #2 | 20,190 | |||
| #3 | 18,061 | |||
| 0.5 | #1 | 14,739 | 13,659 | 7.87 |
| #2 | 13,650 | |||
| #3 | 12,588 |
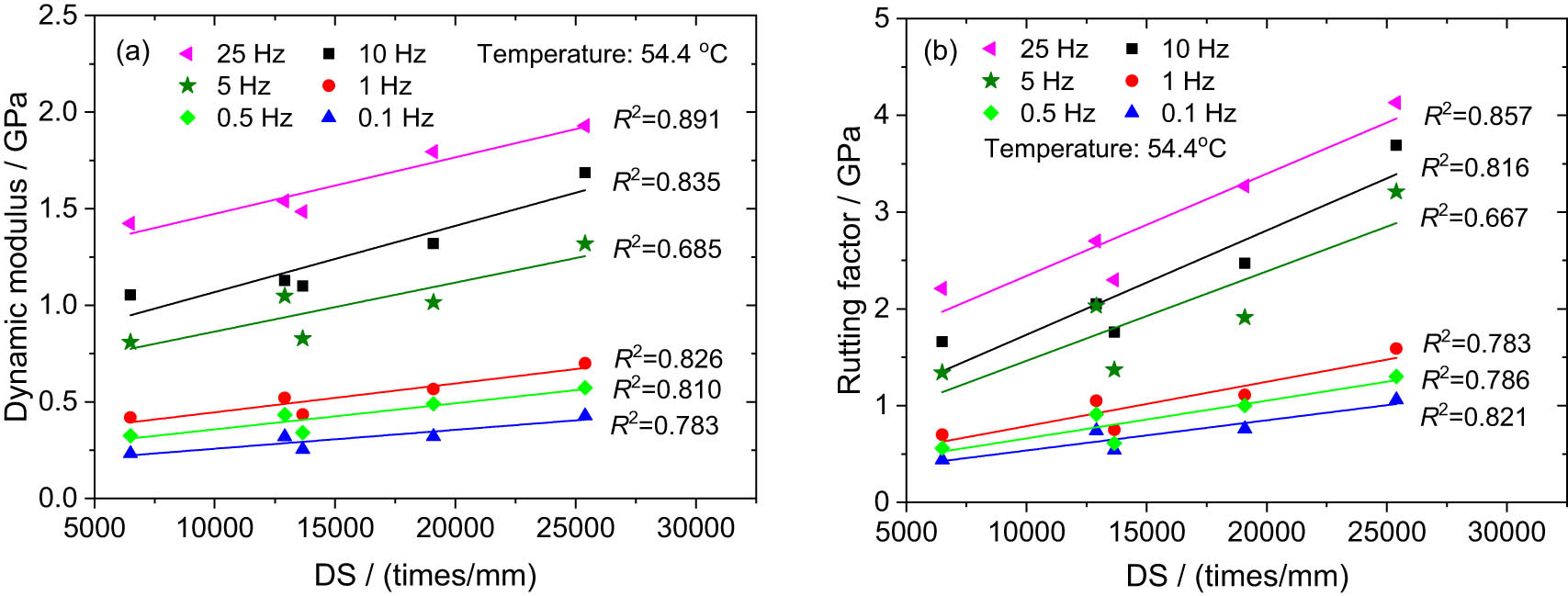
The test results in Table 5 show that the value of the DS more than doubles because of the addition of basalt fibers, which indicates that the rutting resistance of basalt-fiber-reinforced AC mixtures is substantially improved. The DS reaches a maximum when the basalt fiber content is 0.3%, and according to the DS values, the rutting resistance of basalt-fiber-reinforced AC mixtures is of the order of 0.3% > 0.4% > 0.5% ≈ 0.2% > 0%, which is basically consistent with the rutting factor results. To facilitate the comparison and analysis of the results, Figure 8(a) and (b) show the correlation of the dynamic modulus |E*| and rutting factor |E*|/sin δ, respectively, with the DS at 54.4°C. Figure 8 shows that, at 54.4°C, a good correlation holds between the dynamic modulus |E*| and DS and the rutting factor and DS, which verifies that the dynamic modulus at high temperature (54.4°C) can be used to characterize the high-temperature stability of AC mixtures. In addition, Figure 8 shows that a strong correlation (R 2 > 0.85) holds between the dynamic modulus/rutting factor and DS at 54.4°C and 25 Hz, indicating that the dynamic modulus/rutting factor at 54.4°C and 25 Hz is more suitable for describing the high-temperature performance of basalt-fiber-reinforced AC mixtures.

(a) Correlations between the dynamic modulus and DS and (b) correlations between the rutting factor and DS.
4 Conclusions
In this paper, the dynamic modulus tests of SBS-modified AC mixtures at different temperatures and frequencies were performed, and the influence of basalt fiber content on the dynamic viscoelastic properties of AC mixtures was investigated. The following conclusions can be drawn:
Regardless of whether basalt fibers are added, the dynamic modulus of AC mixtures increases with increasing load frequency and decreases with increasing temperature; the phase angle varies with frequency in two ways that depend on temperature: it decreases with increasing frequency at low temperatures and increases with increasing frequency at high temperatures.
The phase angle of basalt-fiber-reinforced AC mixtures is smaller than that of the control mixture, and it initially decreases and then increases with increasing fiber content; however, the variation of dynamic modulus with the fiber content is temperature-dependent and the addition of basalt fibers increases the high-temperature dynamic modulus and decreases the low-temperature dynamic modulus of AC mixtures, which improves the high-temperature stability and rutting resistance and enhances the low-temperature flexibility and cracking resistance. When the basalt fiber content is 0.3%, the fiber-reinforced AC mixture has the highest high-temperature dynamic modulus and the lowest phase angle and so it has the best high-temperature rutting resistance.
The DS obtained from the wheel rut tests has a good correlation with the high-temperature dynamic modulus/rutting factor, which verifies that the dynamic modulus at high temperatures can be used to characterize the high-temperature stability of asphalt mixtures.
-
Funding information: This research was funded by the National Natural Science Foundation of China (No. 12072308, 11802259), the High-level Talent Gathering Project in Hunan Province (No.2019RS1059), Hunan Provincial Natural Science Foundation of China (No.2021JJ30644), and Changdu Municipal Science and Technology Innovation and R&D Promotion Program of Tibet Autonomous Region.
-
Conflict of interest: Authors state no conflict of interest.
References
[1] Abiola OS, Kupolati WK, Sadiku ER, Ndambuki JM. Utilisation of natural fiber as modifier in bituminous mixes: a review. Constr Build Mater. 2014;54:305–12.10.1016/j.conbuildmat.2013.12.037Search in Google Scholar
[2] Ma LJ, Yang CF. Study on the influence of fiber on flexibility and road performance of high modulus asphalt mixture. J Funct Mater. 2019;50(1):1164–73+1177 (in Chinese).Search in Google Scholar
[3] Liu H, Kong YJ, Cao DW. Influence of adding polyester fiber on dynamic modulus of asphalt mixture. J Highw Transp Res Dev. 2011;28(8):25–9 (in Chinese).Search in Google Scholar
[4] Zheng YX, Cai YC, Zhang YM. Laboratory study of pavement performance of basalt fiber-modified asphalt mixture. Adv Mater Res. 2011;266:175–9.10.4028/www.scientific.net/AMR.266.175Search in Google Scholar
[5] Wang WS, Cheng YC, Tan GJ. Design optimization of SBS-modified asphalt mixture reinforced with eco-friendly basalt fiber based on response surface methodology. Materials. 2018;11(8):1311.10.3390/ma11081311Search in Google Scholar
[6] Wang WS, Cheng YC, Zhou PL, Tan GJ, Wang HT, Liu HB. Performance evaluation of styrene-butadiene-styrene-modified stone mastic asphalt with basalt fiber using different compaction methods. Polymers. 2019;11(6):1006.10.3390/polym11061006Search in Google Scholar
[7] AASHTO: T 342-11. Standard method of test for determining dynamic modulus of hot mix asphalt (HMA). Washington D.C.: American Association of State Highway and Transportation Officials; 2011.Search in Google Scholar
[8] NCHRP. Simple performance test for superpave mix design. NCHRP Report 465. Washington D.C.: Transportation Research Board; 2002.Search in Google Scholar
[9] Ye Q, Wu S, Li N. Investigation of the dynamic and fatigue properties of fiber-modified asphalt mixtures. Int J Fatigue. 2009;31:1598–602.10.1016/j.ijfatigue.2009.04.008Search in Google Scholar
[10] Wu S, Ye Q, Li N, Yue H. Effect of fibers on the dynamic properties of asphalt mixtures. J Wuhan Univ Technol Mater Sci Ed. 2007;22(4):733–6.10.1007/s11595-006-4733-3Search in Google Scholar
[11] Apeagyei AK. Rutting as a function of dynamic modulus and gradation. J Mater Civ Eng. 2011;23(9):1302–10.10.1061/(ASCE)MT.1943-5533.0000309Search in Google Scholar
[12] Morova N. Investigation of usability of basalt fibers in hot mix asphalt concrete. Constr Build Mater. 2013;47:175–80.10.1016/j.conbuildmat.2013.04.048Search in Google Scholar
[13] Qin X, Shen A, Guo Y, Li Z, Lv Z. Characterization of asphalt mastics reinforced with basalt fibers. Constr Build Mater. 2018;159:508–16.10.1016/j.conbuildmat.2017.11.012Search in Google Scholar
[14] Editorial Department of China Journal of Highway and Transport. Review on China’s pavement engineering research 2020. China J Highw Transp. 2020;33(10):5–66 (in Chinese).Search in Google Scholar
[15] Beskou ND, Theodorakopoulos DD. Dynamic effects of moving loads on road pavements: a review. Soil Dyn Earthq Eng. 2011;31(4):547–67.10.1016/j.soildyn.2010.11.002Search in Google Scholar
[16] Cao P, Jin F, Zhou C, Feng D. Investigation on statistical characteristics of asphalt concrete dynamic moduli with random aggregate distribution model. Constr Build Mater. 2017;148:723–33.10.1016/j.conbuildmat.2017.05.012Search in Google Scholar
[17] Peng C, Chen P, You Z, Lv S, Zhang R, Xu F, et al. Effect of silane coupling agent on improving the adhesive properties between asphalt binder and aggregates. Constr Build Mater. 2018;169:591–600.10.1016/j.conbuildmat.2018.02.186Search in Google Scholar
[18] Zhang X, Gu X, Lv J, Zou X. 3D numerical model to investigate the rheological properties of basalt fiber reinforced asphalt-like materials. Constr Build Mater. 2017;138:185–94.10.1016/j.conbuildmat.2017.01.110Search in Google Scholar
[19] Sun X, Gao Z, Cao P, Zhou C. Mechanical properties tests and multiscale numerical simulations for basalt fiber reinforced concrete. Constr Build Mater. 2019;202:58–72.10.1016/j.conbuildmat.2019.01.018Search in Google Scholar
[20] Standard JTG E20-2011. Standard test methods of bitumen and bituminous mixtures for highway engineering. Beijing: Research Institute of Highway Ministry of Transport; 2011 (in Chinese).Search in Google Scholar
[21] Christensen RM. Theory of viscoelasticity: an introduction. 2nd edn. New York: Academic Press; 1982.10.1016/B978-0-12-174252-2.50012-0Search in Google Scholar
© 2021 Yongjun Zhang et al., published by De Gruyter
This work is licensed under the Creative Commons Attribution 4.0 International License.
Articles in the same Issue
- Effects of Material Constructions on Supersonic Flutter Characteristics for Composite Rectangular Plates Reinforced with Carbon Nano-structures
- Processing of Hollow Glass Microspheres (HGM) filled Epoxy Syntactic Foam Composites with improved Structural Characteristics
- Investigation on the anti-penetration performance of the steel/nylon sandwich plate
- Flexural bearing capacity and failure mechanism of CFRP-aluminum laminate beam with double-channel cross-section
- In-Plane Permeability Measurement of Biaxial Woven Fabrics by 2D-Radial Flow Method
- Regular Articles
- Real time defect detection during composite layup via Tactile Shape Sensing
- Mechanical and durability properties of GFRP bars exposed to aggressive solution environments
- Cushioning energy absorption of paper corrugation tubes with regular polygonal cross-section under axial static compression
- An investigation on the degradation behaviors of Mg wires/PLA composite for bone fixation implants: influence of wire content and load mode
- Compressive bearing capacity and failure mechanism of CFRP–aluminum laminate column with single-channel cross section
- Self-Fibers Compacting Concrete Properties Reinforced with Propylene Fibers
- Study on the fabrication of in-situ TiB2/Al composite by electroslag melting
- Characterization and Comparison Research on Composite of Alluvial Clayey Soil Modified with Fine Aggregates of Construction Waste and Fly Ash
- Axial and lateral stiffness of spherical self-balancing fiber reinforced rubber pipes under internal pressure
- Influence of technical parameters on the structure of annular axis braided preforms
- Nano titanium oxide for modifying water physical property and acid-resistance of alluvial soil in Yangtze River estuary
- Modified Halpin–Tsai equation for predicting interfacial effect in water diffusion process
- Experimental research on effect of opening configuration and reinforcement method on buckling and strength analyses of spar web made of composite material
- Photoluminescence characteristics and energy transfer phenomena in Ce3+-doped YVO4 single crystal
- Influence of fiber type on mechanical properties of lightweight cement-based composites
- Mechanical and fracture properties of steel fiber-reinforced geopolymer concrete
- Handcrafted digital light processing apparatus for additively manufacturing oral-prosthesis targeted nano-ceramic resin composites
- 3D printing path planning algorithm for thin walled and complex devices
- Material-removing machining wastes as a filler of a polymer concrete (industrial chips as a filler of a polymer concrete)
- The electrochemical performance and modification mechanism of the corrosion inhibitor on concrete
- Evaluation of the applicability of different viscoelasticity constitutive models in bamboo scrimber short-term tensile creep property research
- Experimental and microstructure analysis of the penetration resistance of composite structures
- Ultrasensitive analysis of SW-BNNT with an extra attached mass
- Active vibration suppression of wind turbine blades integrated with piezoelectric sensors
- Delamination properties and in situ damage monitoring of z-pinned carbon fiber/epoxy composites
- Analysis of the influence of asymmetric geological conditions on stability of high arch dam
- Measurement and simulation validation of numerical model parameters of fresh concrete
- Tuning the through-thickness orientation of 1D nanocarbons to enhance the electrical conductivity and ILSS of hierarchical CFRP composites
- Performance improvements of a short glass fiber-reinforced PA66 composite
- Investigation on the acoustic properties of structural gradient 316L stainless steel hollow spheres composites
- Experimental studies on the dynamic viscoelastic properties of basalt fiber-reinforced asphalt mixtures
- Hot deformation behavior of nano-Al2O3-dispersion-strengthened Cu20W composite
- Synthesize and characterization of conductive nano silver/graphene oxide composites
- Analysis and optimization of mechanical properties of recycled concrete based on aggregate characteristics
- Synthesis and characterization of polyurethane–polysiloxane block copolymers modified by α,ω-hydroxyalkyl polysiloxanes with methacrylate side chain
- Buckling analysis of thin-walled metal liner of cylindrical composite overwrapped pressure vessels with depressions after autofrettage processing
- Use of polypropylene fibres to increase the resistance of reinforcement to chloride corrosion in concretes
- Oblique penetration mechanism of hybrid composite laminates
- Comparative study between dry and wet properties of thermoplastic PA6/PP novel matrix-based carbon fibre composites
- Experimental study on the low-velocity impact failure mechanism of foam core sandwich panels with shape memory alloy hybrid face-sheets
- Preparation, optical properties, and thermal stability of polyvinyl butyral composite films containing core (lanthanum hexaboride)–shell (titanium dioxide)-structured nanoparticles
- Research on the size effect of roughness on rock uniaxial compressive strength and characteristic strength
- Research on the mechanical model of cord-reinforced air spring with winding formation
- Experimental study on the influence of mixing time on concrete performance under different mixing modes
- A continuum damage model for fatigue life prediction of 2.5D woven composites
- Investigation of the influence of recyclate content on Poisson number of composites
- A hard-core soft-shell model for vibration condition of fresh concrete based on low water-cement ratio concrete
- Retraction
- Thermal and mechanical characteristics of cement nanocomposites
- Influence of class F fly ash and silica nano-micro powder on water permeability and thermal properties of high performance cementitious composites
- Effects of fly ash and cement content on rheological, mechanical, and transport properties of high-performance self-compacting concrete
- Erratum
- Inverse analysis of concrete meso-constitutive model parameters considering aggregate size effect
- Special Issue: MDA 2020
- Comparison of the shear behavior in graphite-epoxy composites evaluated by means of biaxial test and off-axis tension test
- Photosynthetic textile biocomposites: Using laboratory testing and digital fabrication to develop flexible living building materials
- Study of gypsum composites with fine solid aggregates at elevated temperatures
- Optimization for drilling process of metal-composite aeronautical structures
- Engineering of composite materials made of epoxy resins modified with recycled fine aggregate
- Evaluation of carbon fiber reinforced polymer – CFRP – machining by applying industrial robots
- Experimental and analytical study of bio-based epoxy composite materials for strengthening reinforced concrete structures
- Environmental effects on mode II fracture toughness of unidirectional E-glass/vinyl ester laminated composites
- Special Issue: NCM4EA
- Effect and mechanism of different excitation modes on the activities of the recycled brick micropowder
Articles in the same Issue
- Effects of Material Constructions on Supersonic Flutter Characteristics for Composite Rectangular Plates Reinforced with Carbon Nano-structures
- Processing of Hollow Glass Microspheres (HGM) filled Epoxy Syntactic Foam Composites with improved Structural Characteristics
- Investigation on the anti-penetration performance of the steel/nylon sandwich plate
- Flexural bearing capacity and failure mechanism of CFRP-aluminum laminate beam with double-channel cross-section
- In-Plane Permeability Measurement of Biaxial Woven Fabrics by 2D-Radial Flow Method
- Regular Articles
- Real time defect detection during composite layup via Tactile Shape Sensing
- Mechanical and durability properties of GFRP bars exposed to aggressive solution environments
- Cushioning energy absorption of paper corrugation tubes with regular polygonal cross-section under axial static compression
- An investigation on the degradation behaviors of Mg wires/PLA composite for bone fixation implants: influence of wire content and load mode
- Compressive bearing capacity and failure mechanism of CFRP–aluminum laminate column with single-channel cross section
- Self-Fibers Compacting Concrete Properties Reinforced with Propylene Fibers
- Study on the fabrication of in-situ TiB2/Al composite by electroslag melting
- Characterization and Comparison Research on Composite of Alluvial Clayey Soil Modified with Fine Aggregates of Construction Waste and Fly Ash
- Axial and lateral stiffness of spherical self-balancing fiber reinforced rubber pipes under internal pressure
- Influence of technical parameters on the structure of annular axis braided preforms
- Nano titanium oxide for modifying water physical property and acid-resistance of alluvial soil in Yangtze River estuary
- Modified Halpin–Tsai equation for predicting interfacial effect in water diffusion process
- Experimental research on effect of opening configuration and reinforcement method on buckling and strength analyses of spar web made of composite material
- Photoluminescence characteristics and energy transfer phenomena in Ce3+-doped YVO4 single crystal
- Influence of fiber type on mechanical properties of lightweight cement-based composites
- Mechanical and fracture properties of steel fiber-reinforced geopolymer concrete
- Handcrafted digital light processing apparatus for additively manufacturing oral-prosthesis targeted nano-ceramic resin composites
- 3D printing path planning algorithm for thin walled and complex devices
- Material-removing machining wastes as a filler of a polymer concrete (industrial chips as a filler of a polymer concrete)
- The electrochemical performance and modification mechanism of the corrosion inhibitor on concrete
- Evaluation of the applicability of different viscoelasticity constitutive models in bamboo scrimber short-term tensile creep property research
- Experimental and microstructure analysis of the penetration resistance of composite structures
- Ultrasensitive analysis of SW-BNNT with an extra attached mass
- Active vibration suppression of wind turbine blades integrated with piezoelectric sensors
- Delamination properties and in situ damage monitoring of z-pinned carbon fiber/epoxy composites
- Analysis of the influence of asymmetric geological conditions on stability of high arch dam
- Measurement and simulation validation of numerical model parameters of fresh concrete
- Tuning the through-thickness orientation of 1D nanocarbons to enhance the electrical conductivity and ILSS of hierarchical CFRP composites
- Performance improvements of a short glass fiber-reinforced PA66 composite
- Investigation on the acoustic properties of structural gradient 316L stainless steel hollow spheres composites
- Experimental studies on the dynamic viscoelastic properties of basalt fiber-reinforced asphalt mixtures
- Hot deformation behavior of nano-Al2O3-dispersion-strengthened Cu20W composite
- Synthesize and characterization of conductive nano silver/graphene oxide composites
- Analysis and optimization of mechanical properties of recycled concrete based on aggregate characteristics
- Synthesis and characterization of polyurethane–polysiloxane block copolymers modified by α,ω-hydroxyalkyl polysiloxanes with methacrylate side chain
- Buckling analysis of thin-walled metal liner of cylindrical composite overwrapped pressure vessels with depressions after autofrettage processing
- Use of polypropylene fibres to increase the resistance of reinforcement to chloride corrosion in concretes
- Oblique penetration mechanism of hybrid composite laminates
- Comparative study between dry and wet properties of thermoplastic PA6/PP novel matrix-based carbon fibre composites
- Experimental study on the low-velocity impact failure mechanism of foam core sandwich panels with shape memory alloy hybrid face-sheets
- Preparation, optical properties, and thermal stability of polyvinyl butyral composite films containing core (lanthanum hexaboride)–shell (titanium dioxide)-structured nanoparticles
- Research on the size effect of roughness on rock uniaxial compressive strength and characteristic strength
- Research on the mechanical model of cord-reinforced air spring with winding formation
- Experimental study on the influence of mixing time on concrete performance under different mixing modes
- A continuum damage model for fatigue life prediction of 2.5D woven composites
- Investigation of the influence of recyclate content on Poisson number of composites
- A hard-core soft-shell model for vibration condition of fresh concrete based on low water-cement ratio concrete
- Retraction
- Thermal and mechanical characteristics of cement nanocomposites
- Influence of class F fly ash and silica nano-micro powder on water permeability and thermal properties of high performance cementitious composites
- Effects of fly ash and cement content on rheological, mechanical, and transport properties of high-performance self-compacting concrete
- Erratum
- Inverse analysis of concrete meso-constitutive model parameters considering aggregate size effect
- Special Issue: MDA 2020
- Comparison of the shear behavior in graphite-epoxy composites evaluated by means of biaxial test and off-axis tension test
- Photosynthetic textile biocomposites: Using laboratory testing and digital fabrication to develop flexible living building materials
- Study of gypsum composites with fine solid aggregates at elevated temperatures
- Optimization for drilling process of metal-composite aeronautical structures
- Engineering of composite materials made of epoxy resins modified with recycled fine aggregate
- Evaluation of carbon fiber reinforced polymer – CFRP – machining by applying industrial robots
- Experimental and analytical study of bio-based epoxy composite materials for strengthening reinforced concrete structures
- Environmental effects on mode II fracture toughness of unidirectional E-glass/vinyl ester laminated composites
- Special Issue: NCM4EA
- Effect and mechanism of different excitation modes on the activities of the recycled brick micropowder