Home Physical Sciences Active vibration suppression of wind turbine blades integrated with piezoelectric sensors
Article Open Access

Active vibration suppression of wind turbine blades integrated with piezoelectric sensors

  • Sang-Lae Lee EMAIL logo
Published/Copyright: July 24, 2021

Abstract

As the wind turbine size gets larger, the optimal design of blades, which is a major source of energy for the wind turbines and also the cause of loads, is becoming more important than anything else. Therefore, reducing the load on the blade should be the top priority in designing a blade. In this article, we studied the vibration control of the stiffened wind blades subjected to a wind load with piezoelectric sensors and actuators to mitigate fluctuations in loading and adding damping to the blade. The model is a laminated composite blade with a shear web and the PZT piezomaterial layers embedded on the top and bottom surfaces act as a sensor and actuator, respectively. A uniformly distributed external wind load is assumed over the entire plate surface for simplicity. The first-order shear deformation (FSDT) theory is adopted, and Hamilton’s principle is used to derive the finite element equation of motion. The modal superposition technique and the Newmark- β method are used in numerical analysis to calculate the dynamic response. Using the constant gain negative velocity feedback control algorithm, vibration characteristics and transient responses are compared. Furthermore, vibration control at various locations of the shear webs subjected to an external load is discussed in detail. Through various calculation results performed in this study, this article proposes a method of designing a blade that can reduce the load by actively responding to the external load acting on the wind turbine blade.

Nomenclature

δ p e

element nodal displacement vector of a plate

δ x s e

element nodal displacement vector of x -shear web

t a

thickness of the piezoelectric actuator layer

F p

resultant force of a plate

M p

resultant moment of a plate

ϕ a

actuating voltage

F x s

resultant axial stress of the x -shear web

M xs

resultant bending stress of the x -shear web

V x s

resultant shear stress of the x -shear web

η

modal displacement vector

ξ

state-space variable

Φ

modal matrix with n retained modes

A s t

system matrix in a state-space form

B s t

control matrix in a state-space form

U f

disturbance matrix in a state-space form

μ

shear-web location parameter

p

plate element

x s

x -shear-web element

y s

y -shear-web element

1 Introduction

A wind turbine blade is a complex engineering system, subjected to highly fluctuating and irregular loads. These vibrations can cause catastrophic damages due to structural fatigue and progressive failure of the lightweight structure, resulting in unexpected maintenances, reduced efficiency and shortened lifetime. To improve the reliability of such lightweight structures, several techniques were used, both experimentally and numerically, to either limit or change the vibration responses of such systems. With the recent developments in the sensor–actuator technologies and in smart materials, especially piezoelectric materials, an active vibration control has been utilized for vibration suppression. The piezoelectric sensors are used to detect and quantify the mechanical stress applied to the materials. This is due to the direct piezoelectric effect, wherein the material generates a certain amount of electric charge when subjected to physical deformation. Actuators, on the other hand, operate in the opposite direction. Rather than generating electric charges, when given a certain amount of electrical energy, the material undergoes mechanical deformation due to the converse piezoelectric effect. These two flexible effects, coupled with the economic availability of the piezoelectric materials and the ease with which they can be bonded to other materials, make the popularity of piezoelectric materials well justified.

In past years, a number of issues related to nonlinear aero-elastic modeling and active vibration control based on piezoelectric actuation were investigated. The vibration control of a thin-walled beam integrated with piezoelectric fiber composites and the modeling and nonlinear vibration analysis of anisotropic laminated cylindrical shells or plates with the piezoelectric fiber-reinforced composite actuators were analyzed [1,2,3,4,5,6,7,8]. St-Amant and Cheng [9] studied the simulations and experiments for the active vibration control of a plate with integrated piezoceramics. Balamurugan and Marayanan [10] investigated the mechanics and the coupled analysis of the piezo-laminated plate and curvilinear shell structures and their vibration control performance. Mukherjee et al. [11] studied the active vibration control of stiffened plates using piezoelectric effects. Based on the finite element method, Sadek and Tawfik [12] developed a refined higher-order displacement model for the analysis of concentrically and eccentrically stiffened laminated plates. The aerothermoelastic characteristics of a supersonic laminated cylindrical shell and the active flutter control of the aeroelastic structure using piezoelectric materials were analyzed by Song and Li [13]. Shen and Yang [14] dealt with small- and large-amplitude flexural vibrations of anisotropic shear-deformable laminated cylindrical shells with the piezoelectric fiber-reinforced composite actuators in thermal environments.

Meanwhile, many studies have been conducted on various types of beam models made of composite materials. Mirzaei et al. [15,16,17] investigated the functionally graded (FG) simple beam model using first-order shear deformation theory. Arefi and Zenkour [18,19] studied the transient analysis of a three-layer microbeam based on higher-order sinusoidal shear deformation theory. Kiani [20] studied the torsional vibration of FG carbon nanotube-reinforced conical shells. Jalaei and Civalek [21] examined the dynamic instability of the magnetically embedded viscoelastic porous FG nanobeam. Civalek et al. [22,23] dealt with the static stability and vibration analysis of microbeams.

In addition, various load-reduction studies using piezoelectric actuation were conducted in the wind blade field as well. Liu [24] investigated the classical flutter and flutter suppression of a composite wind blade beam composed of a single-cell thin-walled structure and an embedded piezoelectric patch. Using piezoelectric actuation on the wind blade, active control of classical flutter suppression was studied. Abdelrahman et al. [25] used an active vibration control method, numerically, for the vibration suppression of a wind turbine blade model, with a piezoelectric sensor and actuator. The effects of the piezoelectric size and the piezoelectric material properties on the vibration response were investigated. Hulskamp et al. [26] designed and constructed a scaled smart rotor, equipped with trailing-edge flaps, to study its fatigue load reduction potentials. The flaps were based on the piezoelectric thunder actuators, and the dynamic strain behavior of the blade was analyzed for the optimal placement of the sensors.

This article presents the investigation of the active vibration control of a stiffened laminated wind blade with piezoelectric materials under an external load. A study is conducted on how to reduce the load in an active way using a piezoelectric material when an external excessive load is applied to the wind turbine blade. This study provides a way for vibration suppression and active control of a wind turbine blade based on the piezoelectric actuation with an optimal shear-web location.

2 Stiffened laminated plate with piezoelectrics

The wind turbine blade is a load-carrying aerodynamic structure, which consists of suction and pressure aerodynamic shells, skin, spar cap and the shear webs, as shown in Figure 1. The skin requires the blade exterior to withstand the torsion load. Thus, it is a sandwich structure composed of bi-axle or tri-axle (2AX or 3AX) glass fibers and foam material. The foam material is used to enhance flexural stiffness and prevent buckling, and PVC foam or balsa wood is mainly used. Spar caps are inserted into the thick beams by stacking dozens of thin unidirectional fibers, which withstand most of the bending moment that occurs due to the wind load. The shear web is located between the skins. It has a sandwich structure consisting of bi-axle glass fiber and foam to withstand the transverse shear load. For the wind turbine blades, the spar cap enables the blade to be structurally robust under a wind load. Additionally, the shear webs support the spar caps that play this role, and the positioning of the shear webs and the optimization of the spar caps are one of the most important factors in designing blades.

Figure 1 
               Cross-section of a wind turbine blade.
Figure 1

Cross-section of a wind turbine blade.

Considering these structural characteristics of the blade, a laminated composite plate, reinforced with a shear web in which a piezoelectric patch is embedded, which simplifies the spar cap area of the blades for various calculations, was used for this calculation, as shown in Figure 2. For various case studies and calculations, the wind turbine blade is replaced by a simplified rectangular model, composed of PZT piezo-material layers embedded on the top and bottom surfaces to act as a sensor and actuator, respectively. For simplicity, a uniform external load is assumed to be distributed over the entire plate surfaces and the shear webs are assumed to be placed parallel to the geometric coordinates x .

Figure 2 
               Cantilevered composite plate with two shear webs, piezoelectric sensors and actuators.
Figure 2

Cantilevered composite plate with two shear webs, piezoelectric sensors and actuators.

2.1 Constitutive equations

Linear piezoelectric coupling for the kth layer between the elastic field and the electric field can be expressed by “direct” and “converse” piezoelectric equations, respectively.

The direct piezoelectric effect is given by

(1) D k = e k ε k + ε k E k ,

whereas the converse piezoelectric effect is given by

(2) σ k = Q k ε k e k T E k .

In equations (1) and (2), ε , σ , D and E are strain, stress, electric displacement and electric field vectors, and e , ε and Q are piezoelectric constants, permittivity coefficients and plane-stress reduced elastic constant matrices, respectively.

2.2 Finite element formulations

A stiffened plate is composed of a plate with a number of shear webs, and the members are assumed to be made up of laminated composites. In this section, a finite element formulation is adopted by using a nine-node plate element with three-node beam elements.

Using the first-order shear deformation plate theory (FSDPT), the displacement fields u , v and w are as follows:

(3) u ( x , y , z ) = u p o ( x , y ) + z θ x p ( x , y ) v ( x , y , z ) = v p o ( x , y ) + z θ y p ( x , y ) w ( x , y , z ) = w p o ( x , y , z ) ,

where subscript p denotes plate. Furthermore, u p o , v p o and w p o are the midplane displacements, and θ p x and θ p y are the rotations of transverse normal on x - and y -axis, respectively.

Then, the strain fields of the plate are expressed as a function of the nodal displacement variables, such as

(4a) ε x x ε y y γ x y p = u p , x 0 v p , y 0 u p , y 0 + v p , x 0 + z θ p x , x θ p y , y θ p x , y + θ p y , x = ( B m + z B b ) δ p ,

(4b) γ x z γ y z p = w p , x o θ p x w p , y o θ p y = B s δ p ,

where subscripts m, b, and s denote the membrane strain, bending strain and shear strain, respectively. Furthermore, B m , B b and B s are the derivative operators between the strain and nodal displacements, and δ p represents the nodal displacement vector of the plate.

The displacement fields for the x -directional shear web can be expressed as follows:

(5) u s x ( x , z ) = u s x o ( x ) + z θ s x ( x ) , w s x ( x , z ) = w s x o ( x ) ,

where subscripts s x denote the x -directional shear webs. In the formulation, the x -axis is taken along the x -directional shear-web centerlines. Furthermore, z -axis is its upward normal line:

(6) ε s x = H s x ε s x o = H s x B s x δ s x ,

(7) σ s x = Q s x ε s x ,

where ε s x = { ε x x , 0 , 0 , ε x z , 0 } T and σ s x = { σ x x , 0 , 0 , τ x z , 0 } T .

Additionally, the conditions of displacement compatibility between the plate and the x -directional shear web are given by

(8) u s x , i o = u p , i o e s x θ p x , i , θ s x , i = θ p x , i , w s x , i = w p , i ,

where e s x = ( t p / 2 ) + ( t s x / 2 ) . Furthermore, t p and t s x stand for the plate thickness and the x directional shear-web depth, respectively.

Using a transformation matrix T s x , the nodal displacement can be written as δ s x = T s x δ p .

Then, applying the extended Hamilton’s principle,

(9) t 1 t 2 ( δ T δ U + δ W ) d t = 0 ,

where δ T and δ U are the variation of the total kinetic energy and the total potential energy of the system, respectively, and δ W denotes the virtual work of the applied forces.

First, the total kinetic energy is given by

(10) T = T e = 1 2 V p e ρ p u ̇ T u ̇ d V + 1 2 V s e ρ s u ̇ T u ̇ d V ,

where ρ p and ρ s are the mass density of the plate structure with piezoelectric layers and shear web, respectively.

Next, the total potential energy is given by

(11) U = U e = 1 2 V p e ε p σ p d V + 1 2 V s e ε s σ s d V .

Finally, the work done by external forces is

(12) W = W e = s e u T f s d A ,

where s e is the surface area of the plate element with a specified surface force f s .

On the other hand, the electric field vector, E , can be expressed as a function of the applied voltage V a ,

(13) E = { 0 0 1 / h a } T V a = B v V a ,

where h a is the thickness of the actuator layer.

Substituting equations (10)–(12) into equation (9) and considering the Rayleigh damping, the equation of motion can be obtained as

(14) ( M p e + M s e ) δ ̈ e + C e δ ̇ e + ( K p e + K s e ) δ e = ( F e + K a v e V e ) ,

where

M p e = V N p T ρ P N p d V ,

M s e = L T x s T N x s T s G x s T ρ s G x s d A N x s T x s d S ,

M p e = A ( B m T A B m + B m T B B b + B b T B B m + B b T D B b + B s T S B s ) d A , K s e = L T x s T B x s T A H x s T Q x s H x s d A B x s T x s d S ,

F e = A N p T f s d A ,

K a v = k = 1 N L ( z k + 1 z k ) A B m T e T B V d A + 1 2 k = 1 N L ( z k + 1 2 z k 2 ) A B b T e T B V d A .

Additionally, N p and N x s are shape function matrices of a plate and a shear web, respectively, G x s is the matrix relating shear web acceleration field to the acceleration vector at the neutral lines A , B , D and S , which are extensional shear web, bending-extension coupling stiffness, bending stiffness and shear stiffness matrix, respectively, and N L is the number of piezoelectric layers.

The damping matrix C e is assumed as follows:

(15) C e = α M e + β K e .

Also, a sensor patch is assumed to cover several elements, and the closed circuit charge measured through the electrodes of a sensor patch in the k th layer is

(16) q ( t ) = j = 1 N s 1 2 S j ( z = z k ) D z d A + S j ( z = z k + 1 ) D z d A ,

where an electric displacement in the thickness direction D z is e 31 e 32 e 36 ε p = e 3 ε p , where N s is the number of elements and S j is the surface of the j th element.

The sensor voltage is computed as follows:

(17) V s ( t ) = G c i ( t ) = G c d q ( t ) d t ,

where G c is the gain of the current amplifier, which transforms the sensor current into voltage. The sensor voltage is fed back into the actuator. Using the constant gain control algorithm, the actuating voltage can be expressed as follows:

(18) V a = G i V s = G i G c d q ( t ) d t = G j = 1 N s K s v j δ ̇ ,

where G i is the gain to provide a feedback control, and K s v is

(19) K s v = A e 3 B m + 1 2 ( z k + z k + 1 ) B b d A .

Substituting equation (19) into equation (14) and assembling the element equations gives the global dynamic equation,

(20) M δ ̈ + ( C K a v G K s v ) δ ̇ + K δ = F .

2.3 Control algorithm

The constant gain negative velocity feedback control algorithm is used as a control algorithm. The formula for element equations of motion is as follows:

(21) [ M u u ] { δ ̈ p e } + ( [ K u u ] + [ K u ϕ ] [ K ϕ ϕ ] 1 [ K ϕ u ] ) { δ p e } = { F s e } + [ K u ϕ ] [ K ϕ ϕ ] 1 { F q e } .

If the piezoelectric layer is used as an actuator, we have { ϕ a e } = [ K ϕ ϕ ] 1 { F q e } ,

where

(22) [ M u u ] { δ ̈ p e } + ( [ K u u ] + [ K u ϕ ] [ K ϕ ϕ ] 1 [ K ϕ u ] ) { δ p e } = { F s e } + [ K u ϕ ] { ϕ a e } ,

In the case of the sensing voltage, { ϕ s e } = [ K ϕ ϕ ] 1 [ K ϕ u ] { δ p e } .

In equation (21), the stiffness matrix term [ K ϕ ϕ ] 1 [ K ϕ u ] { δ p e } becomes the sensing voltage, while the actuation voltage,

(23) { ϕ a e } = [ G ] { ϕ ̇ s } = [ G ] ( [ K ϕ ϕ ] s e 1 [ K ϕ u ] s e { δ s e } ) = [ G ] [ K ϕ ϕ ] s e 1 [ K ϕ u ] s e { δ s e } .

Finally, the actuating voltage is summarized as { ϕ a e } = [ G ] [ K ϕ ϕ ] s e 1 [ K ϕ u ] s e { δ s e } .

2.4 Shear web location

With regard to the location of a shear web, two stiffeners are placed at the same distance ( d ) from the centerline along the width of the plate, and the shear-web location can be defined using the following equation:

(24) μ = d C / 2 ,

where μ is the distance between the shear web and the centerline and C is the width of the plate.

Additionally, the displacements are defined as follows [8]:

(25) W L = W 2 C , W T = W 2 ( W 1 + W 3 ) / 2 C , W R = W 1 W 3 C ,

where W L , W T and W R are the longitudinal bending, transverse bending and lateral twisting, respectively, and W 1 , W 2 and W 3 , the lateral deflections at locations, are shown in Figure 2.

2.5 External Load

To study the effects of the piezoelectric actuation and the shear-web location, an external aerodynamic force is applied to the structural model. To simulate the effects of the extreme loading conditions, a blast load is adopted, as shown in Figure 3. It is characterized by an abrupt pressure increase at the shock front, followed by a quasi-exponential decay back to ambient pressure. A negative phase follows, in which the pressure is less than the ambient ( p 0 ), and oscillations between positive and negative overpressures continue as the disturbance quickly disappears. These further oscillations, being of low pressure difference, are not dominant, as compared to the first positive phases, and usually are ignored [27]. Therefore, for simplicity, this variation is ignored and a uniformly distributed pressure is assumed over the entire plate surface.

Figure 3 
                  Time variation of average pressure due to air blast on a square plate.
Figure 3

Time variation of average pressure due to air blast on a square plate.

The variation of the total pressure is given by the Friedlander decay function [28] as

(26) P ( t ) blast = P m 1 t t p e a t / t p ,

where P m is a peak pressure, t p is a positive phase duration and a ' is the waveform parameter.

3 Numerical simulations and discussion

In this study, a stiffened plate with piezoelectric sensors and actuators subjected to blast loading is considered. The numerical results of the effect of the piezoelectric material and the shear-web location are discussed. The wind turbine blade is replaced by a simplified rectangular model as shown in Figure 2, a cantilever laminated composite plate with two shear webs in the x-direction. The plate is bonded at the upper and lower surfaces by piezomaterials, and two shear webs are installed under the plate to reduce the load. For simplicity, a uniform external load is assumed to be distributed over the entire plate surface. The upper and lower piezoelectric layers are assumed as sensor and actuators, respectively. The dimension of the plate is 400 mm × 200 mm × 2 mm , and the uniform thickness layer of the plate is 15 / 15 / 15 / 15 . The eccentric shear webs with width 6 mm and depth 12 mm are made up of the same material and consist of four composite layers ( 0 / 0 / 0 / 0 ). The thickness of the piezomaterial layer is 0.2 mm each, and that of the adhesive layers is neglected. Table 1 summarizes the material properties of the composite plate for T300/976 graphite-epoxy and the piezomaterial for PZT-5A [29]. In addition, the air blast load data are used in equation (23), as shown in Figure 3.

Table 1

Material properties [29]

Properties PZT piezomaterial T300/976
Young’s modulus (GPa): E 11 63.0 150
E 22 = E 33 63.0 9.0
Poisson’s ratio: ν 12 = ν 13 0.3 0.3
ν 23 0.3 0.3
Shear modulus (GPa): G 12 = G 13 24.2 7.10
G 23 24.2 2.50
Density ( kg / m 3 ): ρ 7,600 1,600
Piezoelectric coefficients (pC/N): d 31 = d 32 −171
d 33 374
Relative permittivity ( ε r ): ε 33 1,700
Electromechanical coupling factor (k): k 31 0.34
k 33 0.7

As a control algorithm, a constant gain negative velocity feedback control algorithm is used. A modal superposition method is applied in the analysis by considering the first eight modes, and the initial damping ratio for each of the modes is assumed as 0.7%. The Newmark- β direct integration method is used to calculate the transient response of the plate. Due to the implicit integration scheme, a time step size 0.1 ms may be chosen without the loss of numerical stability. In this article, the effects of the shear-web location and control gain for three types of stiffened plates are studied in detail.

3.1 Code verification

To verify the numerical model in this study, the results are compared with the previous data. The first case is a cantilevered laminated composite plate with a size 20 cm × 20 cm , and the total thickness of the plate is 1 mm . The structure consists of four T300/976 graphite-epoxy composite layers [ 45 / 45 / 45 / 45 ] . Further, the upper and lower surfaces are symmetrically bonded by piezomaterials, PZT-5A, and the two outer piezomaterial layers have a thickness of 0.1 mm each. Also, the thickness of the adhesive layers is assumed to be negligible. These two types of plates are exposed to a uniformly distributed load of 100 N/m 2 , and all the piezomaterials on the upper and the lower surfaces of the plate are used as actuators. Equal amplitude voltages with an opposite sign are applied across the thickness of both piezoelectric layers. The centerline deflections of the composite plate under an input voltage of different actuators are shown in Figure 4. The results are consistent with the data obtained by Lam et al. [30].

Figure 4 
                  The centerline deflection under uniform load and different actuator’s input voltage.
Figure 4

The centerline deflection under uniform load and different actuator’s input voltage.

As for the second case, the result is the deflection response of a square plate subjected to an air blast. The size of the plate model is 508 mm × 508 mm × 3.4 mm , and its material properties E , ν and ρ are 206.84 GPa , 0.3 , and 7 , 900 kg/m 3 , respectively. The plate is analyzed by a 10 × 10 mesh. The clamped boundary condition is applied on all edges of the plate. The dynamic response is calculated using a mode superposition method, with 18 modes, and the time step is taken as 0.05 ms . Figure 5 shows the results of the present study and the reference data [31,32] for the deflection at the center of the plate during a time interval of 0 to 18 ms. Comparison of the results reveals that the present result shows an acceptable level of difference, as compared to the previous data.

Figure 5 
                  Displacement-time response of the center of the square plate subjected to air blast.
Figure 5

Displacement-time response of the center of the square plate subjected to air blast.

The last case is a glass-reinforced polyester plate with a centrally placed shear web [11]. The two opposite edges are free and the other two edges are clamped. The dimensions of the plate are 300 mm (free) × 375 mm (clamped) × 2.32 mm (thickness) and those of the shear web are 3 mm (width) × 6 mm (depth). The shear web is placed in the centerline of the plate, parallel to the free edges. Both the plate and shear web are made up of the same isotropic material with E = 7.0 GPa , G = 2.6 GPa , ρ = 1504.2 kg/m 3 and ν = 0.345 . The natural frequencies of the system corroborate well with the previous data [11,33], as shown in Table 2.

Table 2

Comparison of natural frequencies (Hz) of stiffened plate

Mode no. Ref. [11] Ref. [33] Present Discrepancy (%)
With Ref. [11] With Ref. [33]
1st 68.47 68.61 68.13 0.5 0.7
2nd 68.66 71.20 68.77 −0.2 3.5
3rd 119.59 124.70 117.55 1.7 6.1
4th 162.16 150.40 160.12 1.3 −6.1
5th 177.11 183.20 177.45 −0.2 3.2
6th 177.39 184.80 178.31 −0.5 3.6
7th 266.58 251.90 262.58 1.5 −4.1

As shown above, the code used in this calculation corresponds well with the references, and various calculations are performed using this code.

3.2 Vibration suppression of plates with stiffeners under a blast load

The stiffened plate models with three types of shear-web locations are shown in Figure 6. As mentioned in Section 2.3 in detail, various studies were conducted on the behavior of a plate according to the location of the shear web and its control algorithms. In the case of μ = 1 , the shear web is located at the edge of a plate, case 1, as shown in Figure 6(a). On the other hand, in the case of μ = 0 , the shear web is located at the center of the plate, case 3, as shown in Figure 6(c). With regard to the location of a shear web, the two stiffeners are placed at the same distance from the centerline, along the width of the plate, as in equation (24 and 25)

Figure 6 
                  Three cases of shear-web location: (a) case 1, (b) case 2 and (c) case 3.
Figure 6

Three cases of shear-web location: (a) case 1, (b) case 2 and (c) case 3.

3.2.1 Effect of the shear-web locations

The effect of a shear-web location is investigated. Two shear webs are placed at the same distance from the centerline along the width of a plate. In addition, the piezoelectric sensors and actuators are distributed over the entire plate surface. Under these conditions, the modal analysis is performed and the results are shown in Table 3, which lists the first six natural frequencies of the stiffened plate under different cases: case 1 ( μ = 1 ), case 2 ( μ = 0.5 ) and case 3 ( μ = 0 ). It reveals that the natural frequencies of case 2 are higher than those of other cases, except for the second mode. Additionally, the results of the natural frequencies of the stiffened plate under different shear-web locations ( μ ) are shown in Figure 7. It can be seen from Figure 7(a) that the natural frequencies of the bending mode at 0.4 μ 0.6 are higher than those of others. Moreover, the natural frequencies of the twisting mode at 0.8 μ 1 are higher than those of others, as shown in Figure 7(b). Therefore, the stiffened plates, of which the shear webs are placed at the centerline or free edge, are more flexible for the bending mode. When the shear webs are placed between the centerline and the free edge, the stiffness of the stiffened plates is increased for the bending mode. However, the stiffness of a twisting mode is increased at the free edge. Accordingly, the shear-web locations have an effect on the stiffness of the stiffened plate.

Table 3

Natural frequencies of different shear-web cases

Mode no. Case 1 ( μ = 1 ) Case 2 ( μ = 0.5 ) Case 3 ( μ = 0 )
1st 67.6 91.4 39.6
2nd 117.7 92.4 78.7
3rd 155.3 205.2 133.6
4th 212.1 294.7 178.3
5th 290.4 337.2 214.4
6th 379.4 450.2 273.3
Figure 7 
                     Natural frequencies for different shear-web locations: (a) bending modes and (b) twisting modes.
Figure 7

Natural frequencies for different shear-web locations: (a) bending modes and (b) twisting modes.

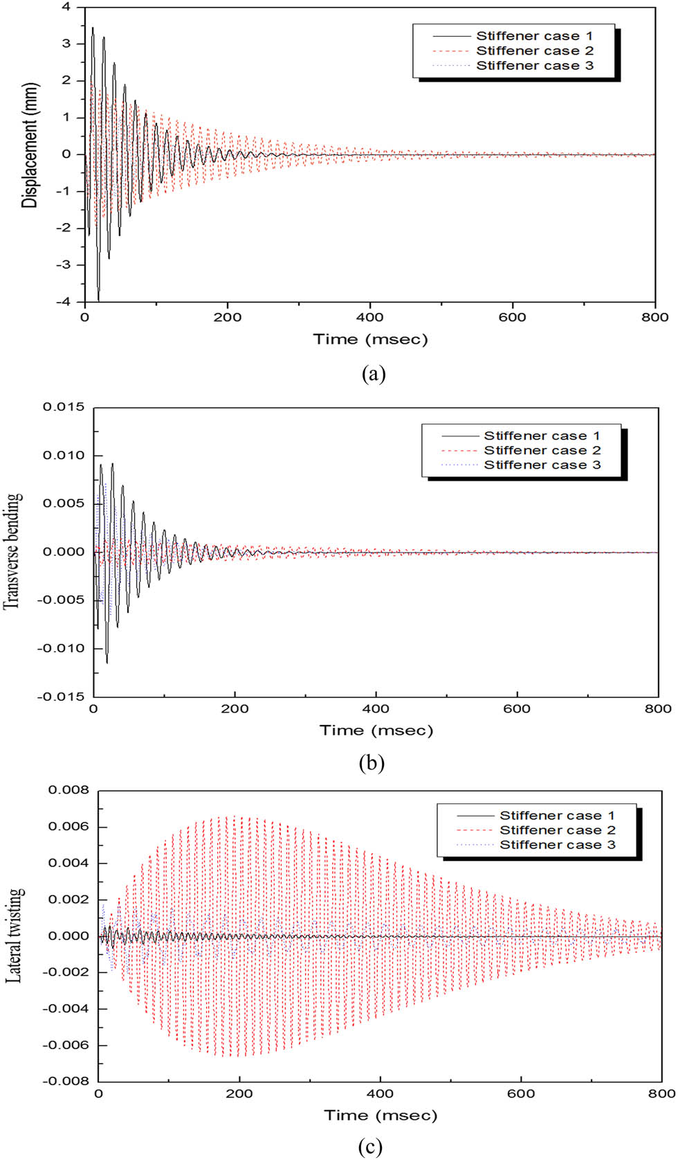
In addition, at a specific constant gain (G = 3,000), the response comparison such as vertical displacement, transverse bending and lateral twisting with three shear-web cases are shown in Figure 8. The controlled displacements of the shear-web case 1 are damped out more effectively when compared to the shear-web cases 2 and 3; however, a peak vertical displacement appeared in the shear-web case 1. Moreover, the transverse bending of the shear-web cases 1, 2 and 3 show the same tendency as with the vertical displacement; however, an effective vibration control can be performed for the shear-web case 2. The lateral twisting of the shear-web case 1 is most effective, as compared to other cases. Therefore, when determining the optimum shear-web position, considering the characteristics of the load direction acting on the wind turbine blades is more important.

Figure 8 
                     Response comparison of the three shear-web cases (gain = 3,000): (a) vertical displacement, (b) transverse bending and (c) lateral twisting.
Figure 8

Response comparison of the three shear-web cases (gain = 3,000): (a) vertical displacement, (b) transverse bending and (c) lateral twisting.

3.2.2 Effect of a control gain

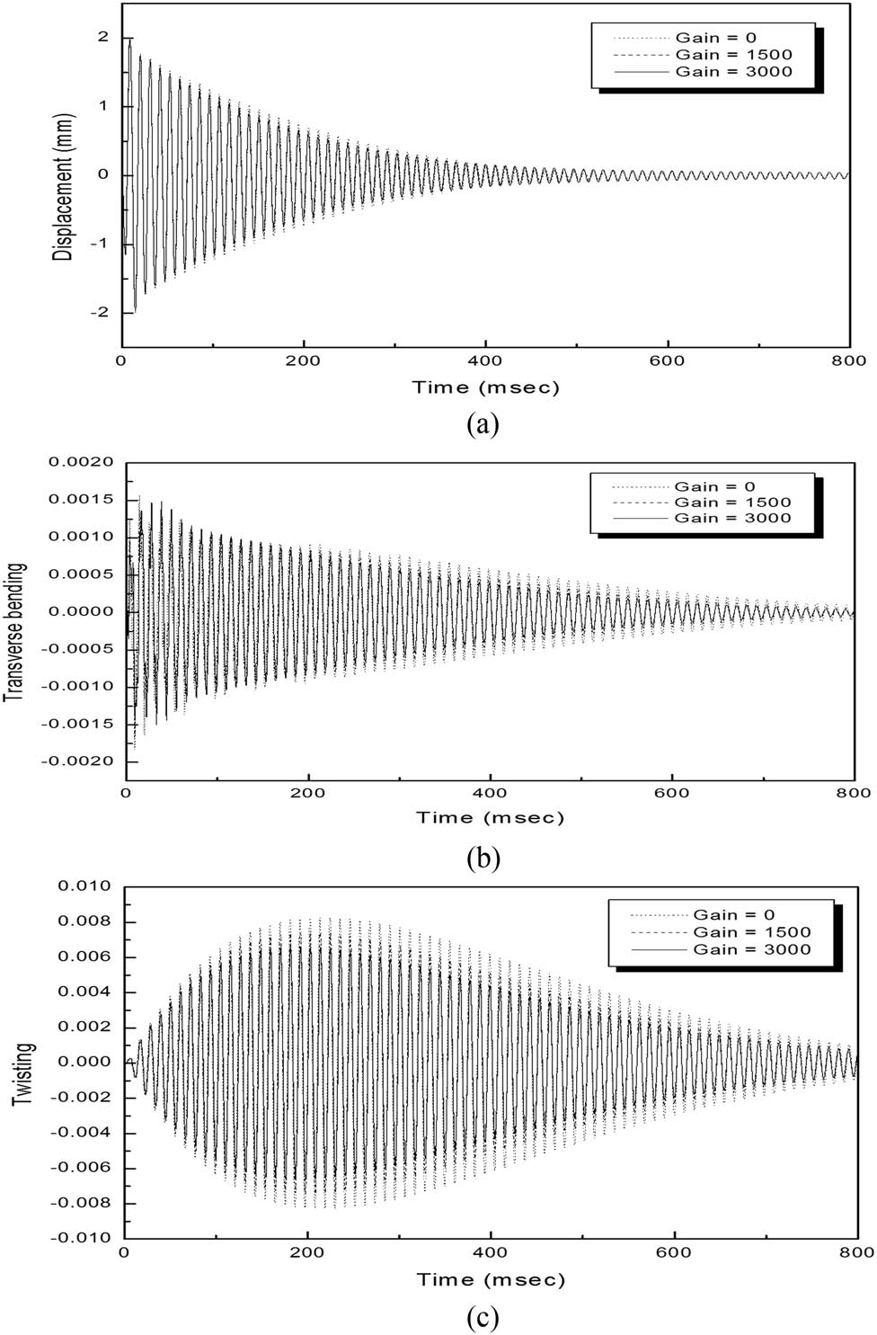
To investigate the effect of a control gain with various shear-web locations on control performance, typical configurations ( μ = 0, 0.5 and 1) of the stiffened plate are considered in this study. Figures 9, 11 and 13 show the frequency responses for each stiffener’s locations, using the constant gain negative velocity feedback control law. The curves of the deflection magnitude of the unit input force applied at the tip point and frequency due to different feedback control gains are investigated. The responses of the plates are calculated at the same location. Figure 9 shows a frequency response of the stiffened plate ( μ = 1) due to different feedback control gains. The figure shows that the controlled responses have a lower magnitude of the first, second and third bending modes. The vertical displacement at the tip, transverse bending and lateral twisting for various control gains, when a stiffened plate is subjected to a uniformly distributed air blast pressure, are given in Figure 10. It can be seen that the vibration of a stiffened plate with a higher control gain is damped out more quickly.

Figure 9 
                     Frequency response of the shear-web case 1 due to a different feedback control gain.
Figure 9

Frequency response of the shear-web case 1 due to a different feedback control gain.

Figure 10 
                     Responses of a stiffened plate (case 1) with various control gains: (a) vertical displacement, (b) transverse bending displacement and (c) lateral twisting displacement.
Figure 10

Responses of a stiffened plate (case 1) with various control gains: (a) vertical displacement, (b) transverse bending displacement and (c) lateral twisting displacement.

In the case of μ = 0.5, the frequency responses are shown in Figures 11 and 12 shows the vertical displacement at the tip, transverse bending and lateral twisting for various control gains. The controlled responses have a lower magnitude of first and second bending modes. However, Figures 13 and 14 show that the effect of a control gain is weaker than the other stiffener’s locations, and the vibration of a lateral twisting has a higher magnitude than those of others. This may be due to an increased stiffness associated with the stiffener’s location. Considering the stiffener’s location in the case of μ = 0, it can be seen that the lower magnitude of first, second and third bending modes for higher control gains and the vibration is damped out more quickly, except for the lateral twisting.

Figure 11 
                     Frequency response of the shear-web case 2 due to a different feedback control gain.
Figure 11

Frequency response of the shear-web case 2 due to a different feedback control gain.

Figure 12 
                     Responses of a stiffened plate (case 2) with various control gains: (a) vertical displacement, (b) transverse bending displacement and (c) lateral twisting displacement.
Figure 12

Responses of a stiffened plate (case 2) with various control gains: (a) vertical displacement, (b) transverse bending displacement and (c) lateral twisting displacement.

Figure 13 
                     Frequency response of the shear-web case 3 due to a different feedback control gain.
Figure 13

Frequency response of the shear-web case 3 due to a different feedback control gain.

Figure 14 
                     Responses of a stiffened plate (case 3) with various control gains: (a) vertical displacement, (b) transverse bending displacement and (c) lateral twisting displacement.
Figure 14

Responses of a stiffened plate (case 3) with various control gains: (a) vertical displacement, (b) transverse bending displacement and (c) lateral twisting displacement.

As can be seen from Figures 914, the piezoelectric actuators can control the bending modes effectively; however, the control of the torsion modes is weak in the cases of all the stiffeners. This indicates that the vibration amplitude decays depend on the modal damping and the feedback control gain. According to equation (17), increasing the feedback control gains can result in a higher damping matrix in the system equation. Therefore, the vibration of a plate can be suppressed much faster at higher feedback control gains. It is important to optimize the control algorithm with the location of the shear web by considering the characteristics of the load direction applied to the wind turbine blades.

4 Conclusion

This article presents a transient response of a stiffened plate with the piezoelectric sensors and actuators subjected to external wind loads. The formulation is based on the first-order shear deformation theory of plate and beam. The constant negative velocity feedback control algorithm is used as a control scheme. The external wind load is assumed to be uniformly distributed on the plate surface. The numerical model is validated with theoretical and experimental data from the literature. In this study, the vibration characteristics and transient responses are compared with control algorithms and various shear-web locations.

When the piezoelectric patches are distributed over the entire surface of a plate, the effect of a shear-web location is investigated with three types of typical configurations. The shear-web locations have an effect on the stiffness of the stiffened plate. When the shear webs are placed between the centerline and the free edge, the stiffness of the stiffened plates is increased for a bending mode. However, the stiffness of a twisting mode is increased at free edges. Using a negative velocity feedback control algorithm, the control effect of a shear-web location at the middle of a plate (case 2) is weaker than those of others because of the increased stiffness due to the shear-web location. Moreover, the piezoelectric actuators can control the bending modes effectively; however, the control of the torsion modes is weak in all shear-web cases.

Therefore, optimizing the shear-web position and control algorithm according to the various load directions applied to the wind turbine blade is important. In the future, as an extension of the active vibration suppression method proposed in this article, an improved control algorithm will apply to the wind turbine blade for a load reduction.

  1. Funding information: This work was supported by the Korea Institute of Energy Technology Evaluation and Planning (KETEP) and the Ministry of Trade, Industry & Energy (MOTIE) of the Republic of Korea (No. 20193010025800).

  2. Conflict of interest: Author states no conflict of interest.

References

[1] Song ZG, Li FM. Active aeroelastic flutter analysis and vibration control of supersonic composite laminated plate. Comp Struct. 2012;94:702–13.10.1016/j.compstruct.2011.09.005Search in Google Scholar

[2] Qiao YH, Han J, Zhang CY, Chen J. Active vibration control of wind turbine blades by piezoelectric materials. Chin J Appl Mech. 2013;30(4):587–92.Search in Google Scholar

[3] Chandiramani NK. Active control of a piezo-composite rotating beam using coupled plant dynamics. J Sound Vib. 2010;329:2716–37.10.1016/j.jsv.2010.01.023Search in Google Scholar

[4] Li FM. Active aeroelastic flutter suppression of a supersonic plate with piezoelectric material. Int J Mech Sci. 2012;51:190–203.10.1016/j.ijengsci.2011.10.003Search in Google Scholar

[5] Kapuria S, Yasin MY. Active vibration suppression of multilayered plates integrated with piezoelectric fiber reinforced composites using an efficient finite element mode. J Sound Vib. 2010;329:3247–65.10.1016/j.jsv.2010.02.019Search in Google Scholar

[6] Phung PV, Lorenzis LD, Chien HT, Wahab MA. Analysis of laminated composite plates integrated with piezoelectric sensors and actuators using higher-order shear deformation theory and isogeometric finite elements. Comput Mater Sci. 2015;96:495–550.10.1016/j.commatsci.2014.04.068Search in Google Scholar

[7] Arefi M, Zenkour AM. Vibration and bending analysis of a sandwich microbeam with two integrated piezo-magnetic face-sheets. Comp Struct. 2017;159(1):479–90.10.1016/j.compstruct.2016.09.088Search in Google Scholar

[8] Arefi M, Zenkour AM. Size-dependent vibration and bending analyses of the piezomagnetic three-layer nanobeams. Appl Phys A. 2017;123:202.10.1007/s00339-017-0801-0Search in Google Scholar

[9] St-Amant Y, Cheng L. Simulations and experiments on active vibration control of a plate with integrated piezoceramics. Thin-Walled Struct. 2000;38(2):105–23.10.1016/S0263-8231(00)00034-3Search in Google Scholar

[10] Balamurugan V, Narayanan S. Shell finite element for smart piezoelectric composite plate/shell structures and its application to the study of active vibration control. Finite Elem Anal Des. 2001;37(9):713–38.10.1016/S0168-874X(00)00070-6Search in Google Scholar

[11] Mukherjee A, Joshi SP, Ganguli A. Active vibration control of piezolaminated stiffened plates. Comp Struct. 2002;55(4):435–43.10.1016/S0263-8223(01)00171-4Search in Google Scholar

[12] Sadek EA, Tawfik SA. A finite element model for the analysis of stiffened laminated plates. Comput Structure. 2000;75(4):369–83.10.1016/S0045-7949(99)00094-2Search in Google Scholar

[13] Song ZG, Li FM. Aerothermoelastic analysis and active flutter control of supersonic composite laminated cylindrical shells. Comp Struct. 2013;106:653–60.10.1016/j.compstruct.2013.07.029Search in Google Scholar

[14] Shen SH, Yang DQ. Nonlinear vibration of anisotropic laminated cylindrical shells with piezoelectric fiber reinforced composite actuators. Ocean Eng. 2014;80:36–49.10.1016/j.oceaneng.2014.01.016Search in Google Scholar

[15] Mirzaei MMH, Arefi M, Loghman A. Creep analysis of a rotating functionally graded simple blade: steady state analysis. Steel Comp Struct. 2019;33(3):463–72.Search in Google Scholar

[16] Mirzaei MMH, Arefi M, Loghman A. Thermoelastic analysis of a functionally graded simple blade using first-order shear deformation theory. Mech Adv Comp Structure. 2020;7(1):147–55.Search in Google Scholar

[17] Mirzaei MMH, Loghman A, Arefi M. Time-dependent creep analysis of a functionally graded beam with trapezoidal cross section using first-order shear deformation theory. Steel Comp Struct. 2019;30(6):567–76.10.1080/14484846.2019.1678994Search in Google Scholar

[18] Arefi M, Zenkour AM. Size-dependent electro-elastic analysis of a sandwich microbeam based on higher-order sinusoidal shear deformation theory and strain gradient theory. J Intell Mater Syst Struct. 2018;29(7):1394–1406.10.1177/1045389X17733333Search in Google Scholar

[19] Arefi M, Zenkour AM. Transient analysis of a three-layer microbeam subjected to electric potential. Int J Smart Nano Mater. 2017;8(1):20–40.10.1080/19475411.2017.1292967Search in Google Scholar

[20] Kiani Y. Torsional vibration of functionally graded carbon nanotube reinforced conical shells. Sci Eng Comp Mater. 2016;July 21:41–52.10.1515/secm-2015-0454Search in Google Scholar

[21] Jalaei MH, Civalek O. On dynamic instability of magnetically embedded viscoelastic porous FG nanobeam. Int J Eng Sci. 2019;143:14–32.10.1016/j.ijengsci.2019.06.013Search in Google Scholar

[22] Demir C, Civalek O. On the analysis of microbeams. Int J Eng Sci. 2017;121:14–33.10.1016/j.ijengsci.2017.08.016Search in Google Scholar

[23] Ebrahimi F, Barati MR, Civalek O. Application of Chebyshev-Ritz method for static stability and vibration analysis of nonlocal microstructure-dependent nanostructures. Eng Computers. 2020;36:953–64.10.1007/s00366-019-00742-zSearch in Google Scholar

[24] Liu T. Classical flutter and active control of wind turbine blade based on piezoelectric actuation. Shock Vib. 2015;2015:13. Article ID 292368, 13 pages.10.1155/2015/292368Search in Google Scholar

[25] Abdelrahman WG, Al-Garni AZ, Abdelmaksoud SI, Abdallah A. Effect of Piezoelectric Patch Size and Material on Active Vibration Control of Wind Turbine Blades. J Vib Eng Technol. 2018;6:155–61.10.1007/s42417-018-0020-9Search in Google Scholar

[26] Hulskamp AW, Wingerden JW, Barlas T, Champliaud H, van Kuik GAM, Bersee HEN, et al. Design of a scaled wind turbine with a smart rotor for dynamic load control experiments. Wind Energy. 2011;14:339–54.10.1002/we.424Search in Google Scholar

[27] Jacinto AC, Ambrosini RK, Danesi RF. Experimental and computational analysis of plates under air blast loading. Int J Impact Eng. 2001; 25(10):927–47.10.1016/S0734-743X(01)00031-8Search in Google Scholar

[28] Gupta AD, Gregory FH, Bitting RL, Bhattacharya S. Dynamic analysis of an explosively loaded hinged rectangular plate. Comput Struct. 1987;26(1–2):339–44.10.1016/0045-7949(87)90263-XSearch in Google Scholar

[29] Uchino K. “Future of ferroelectric devices”, ferroelectric devices. 2nd ed. Boca Raton: CRC Press; 2009. p. 297–338.10.1201/b15852-12Search in Google Scholar

[30] Lam KY, Peng XQ, Liu1 GR, Reddy JN. A finite-element model for piezoelectric composite laminates. Smart Mater Struct. 1997;6(5):583–91.10.1088/0964-1726/6/5/009Search in Google Scholar

[31] Mukherjee A. On finite element dynamic and stability analyses of stiffened plate structures. PhD Thesis. Kharagpur, India: Department of Naval Architecture, IIT Kharagpur; 1987.Search in Google Scholar

[32] Houlston R, Slater JE, Pegg N, Desrochers CG. On analysis of structural response of ship panels subjected to air blast loading. Comput Struct. 1985;21:273–89.10.1016/0045-7949(85)90250-0Search in Google Scholar

[33] Attaf B, Hollaway L. Vibrational analyses of stiffened and unstiffened composite plates subjected to in-plane loads. Composites. 1990;21(2):117–26.10.1016/0010-4361(90)90003-FSearch in Google Scholar

Received: 2021-03-15
Revised: 2021-06-23
Accepted: 2021-06-30
Published Online: 2021-07-24

© 2021 Sang-Lae Lee, published by De Gruyter

This work is licensed under the Creative Commons Attribution 4.0 International License.

Articles in the same Issue

  1. Effects of Material Constructions on Supersonic Flutter Characteristics for Composite Rectangular Plates Reinforced with Carbon Nano-structures
  2. Processing of Hollow Glass Microspheres (HGM) filled Epoxy Syntactic Foam Composites with improved Structural Characteristics
  3. Investigation on the anti-penetration performance of the steel/nylon sandwich plate
  4. Flexural bearing capacity and failure mechanism of CFRP-aluminum laminate beam with double-channel cross-section
  5. In-Plane Permeability Measurement of Biaxial Woven Fabrics by 2D-Radial Flow Method
  6. Regular Articles
  7. Real time defect detection during composite layup via Tactile Shape Sensing
  8. Mechanical and durability properties of GFRP bars exposed to aggressive solution environments
  9. Cushioning energy absorption of paper corrugation tubes with regular polygonal cross-section under axial static compression
  10. An investigation on the degradation behaviors of Mg wires/PLA composite for bone fixation implants: influence of wire content and load mode
  11. Compressive bearing capacity and failure mechanism of CFRP–aluminum laminate column with single-channel cross section
  12. Self-Fibers Compacting Concrete Properties Reinforced with Propylene Fibers
  13. Study on the fabrication of in-situ TiB2/Al composite by electroslag melting
  14. Characterization and Comparison Research on Composite of Alluvial Clayey Soil Modified with Fine Aggregates of Construction Waste and Fly Ash
  15. Axial and lateral stiffness of spherical self-balancing fiber reinforced rubber pipes under internal pressure
  16. Influence of technical parameters on the structure of annular axis braided preforms
  17. Nano titanium oxide for modifying water physical property and acid-resistance of alluvial soil in Yangtze River estuary
  18. Modified Halpin–Tsai equation for predicting interfacial effect in water diffusion process
  19. Experimental research on effect of opening configuration and reinforcement method on buckling and strength analyses of spar web made of composite material
  20. Photoluminescence characteristics and energy transfer phenomena in Ce3+-doped YVO4 single crystal
  21. Influence of fiber type on mechanical properties of lightweight cement-based composites
  22. Mechanical and fracture properties of steel fiber-reinforced geopolymer concrete
  23. Handcrafted digital light processing apparatus for additively manufacturing oral-prosthesis targeted nano-ceramic resin composites
  24. 3D printing path planning algorithm for thin walled and complex devices
  25. Material-removing machining wastes as a filler of a polymer concrete (industrial chips as a filler of a polymer concrete)
  26. The electrochemical performance and modification mechanism of the corrosion inhibitor on concrete
  27. Evaluation of the applicability of different viscoelasticity constitutive models in bamboo scrimber short-term tensile creep property research
  28. Experimental and microstructure analysis of the penetration resistance of composite structures
  29. Ultrasensitive analysis of SW-BNNT with an extra attached mass
  30. Active vibration suppression of wind turbine blades integrated with piezoelectric sensors
  31. Delamination properties and in situ damage monitoring of z-pinned carbon fiber/epoxy composites
  32. Analysis of the influence of asymmetric geological conditions on stability of high arch dam
  33. Measurement and simulation validation of numerical model parameters of fresh concrete
  34. Tuning the through-thickness orientation of 1D nanocarbons to enhance the electrical conductivity and ILSS of hierarchical CFRP composites
  35. Performance improvements of a short glass fiber-reinforced PA66 composite
  36. Investigation on the acoustic properties of structural gradient 316L stainless steel hollow spheres composites
  37. Experimental studies on the dynamic viscoelastic properties of basalt fiber-reinforced asphalt mixtures
  38. Hot deformation behavior of nano-Al2O3-dispersion-strengthened Cu20W composite
  39. Synthesize and characterization of conductive nano silver/graphene oxide composites
  40. Analysis and optimization of mechanical properties of recycled concrete based on aggregate characteristics
  41. Synthesis and characterization of polyurethane–polysiloxane block copolymers modified by α,ω-hydroxyalkyl polysiloxanes with methacrylate side chain
  42. Buckling analysis of thin-walled metal liner of cylindrical composite overwrapped pressure vessels with depressions after autofrettage processing
  43. Use of polypropylene fibres to increase the resistance of reinforcement to chloride corrosion in concretes
  44. Oblique penetration mechanism of hybrid composite laminates
  45. Comparative study between dry and wet properties of thermoplastic PA6/PP novel matrix-based carbon fibre composites
  46. Experimental study on the low-velocity impact failure mechanism of foam core sandwich panels with shape memory alloy hybrid face-sheets
  47. Preparation, optical properties, and thermal stability of polyvinyl butyral composite films containing core (lanthanum hexaboride)–shell (titanium dioxide)-structured nanoparticles
  48. Research on the size effect of roughness on rock uniaxial compressive strength and characteristic strength
  49. Research on the mechanical model of cord-reinforced air spring with winding formation
  50. Experimental study on the influence of mixing time on concrete performance under different mixing modes
  51. A continuum damage model for fatigue life prediction of 2.5D woven composites
  52. Investigation of the influence of recyclate content on Poisson number of composites
  53. A hard-core soft-shell model for vibration condition of fresh concrete based on low water-cement ratio concrete
  54. Retraction
  55. Thermal and mechanical characteristics of cement nanocomposites
  56. Influence of class F fly ash and silica nano-micro powder on water permeability and thermal properties of high performance cementitious composites
  57. Effects of fly ash and cement content on rheological, mechanical, and transport properties of high-performance self-compacting concrete
  58. Erratum
  59. Inverse analysis of concrete meso-constitutive model parameters considering aggregate size effect
  60. Special Issue: MDA 2020
  61. Comparison of the shear behavior in graphite-epoxy composites evaluated by means of biaxial test and off-axis tension test
  62. Photosynthetic textile biocomposites: Using laboratory testing and digital fabrication to develop flexible living building materials
  63. Study of gypsum composites with fine solid aggregates at elevated temperatures
  64. Optimization for drilling process of metal-composite aeronautical structures
  65. Engineering of composite materials made of epoxy resins modified with recycled fine aggregate
  66. Evaluation of carbon fiber reinforced polymer – CFRP – machining by applying industrial robots
  67. Experimental and analytical study of bio-based epoxy composite materials for strengthening reinforced concrete structures
  68. Environmental effects on mode II fracture toughness of unidirectional E-glass/vinyl ester laminated composites
  69. Special Issue: NCM4EA
  70. Effect and mechanism of different excitation modes on the activities of the recycled brick micropowder
Downloaded on 12.12.2025 from https://www.degruyterbrill.com/document/doi/10.1515/secm-2021-0039/html
Scroll to top button