Abstract
In this article, we investigate the time-periodic pulse electroosmotic flow (EOF) of Jeffreys fluids through a microannulus. By using the Laplace transform method, the velocity expression of the pulse EOF is derived. The effect of some variables on the time it takes for the fluid to go from a static state to a flowing state is analyzed. We find that increasing the relaxation time
1 Introduction
In the past few decades, because of the rapid development of microfluidic devices and their innovative applications in the microelectromechanical system and microbiological sensors such as lab-on-a-chip [1,2], the electroosmosis flow (EOF) has become an interesting topic among researchers. The principle of the EOF is explained as follows. In general, when most substances come into contact with polar solutions, they tend to generate negative charges on the surface. The distribution of ions close to the wall in the solution will be affected by this phenomenon. The ions with opposite polarity to the wall will be attracted to the wall, while the same ions will be repelled away from the wall. In this way, an electric double layer (EDL) will be formed [3]. Furthermore, when an external electric field is applied to both ends of the channel, the ions in the EDL will move under the electric field force. This is mainly due to the viscosity of the fluid itself, which causes the moving free ions to drive the movement of the nearby fluid mass, ultimately forming an EOF. At present, the EOF has become increasingly important owing to its operational advantages, like plug flow type behavior, absence of mechanical pumping equipment and better flow control [4].
By viewing the existing literature studies, a large number of theoretical and experimental studies on the fully developed EOF of the Newtonian fluids in microchannels under different geometric domains and physical conditions have been found [5,6,7,8]. Very recently, the time-dependent EOF as an alternative mechanism of microfluidic transport has attracted increasing attention from many researchers [9,10,11,12].
Although we know from the above-mentioned literature studies that many constructive results have been achieved in the study of Newtonian fluids, there are many applications of fluids with non-Newtonian fluid structure characteristics in actual situations. Especially in the biomedical field where microfluidic devices are widely used, many biological fluids such as blood, saliva and DNA solutions are essentially viscoelastic, and blood viscoelasticity is a useful clinical parameter. Since biological fluids are conductive in nature, electroosmotic flow is also very important for drug delivery and separation and mixing at the atomic level. These biological fluids are usually simulated with non-Newtonian fluid models such as Maxwell fluids model, Phan-Thien-Tanner fluids model, Burgers fluids model, Jeffreys fluids model, Oldroyd-B fluids model, etc. Unlike Newtonian fluids, the shear stress and flow field of non-Newtonian fluids are relatively more complex. Hence, we can use the more general Cauchy momentum equation to replace the Navier–Stokes equation to describe its complex motion model [13]. Some more work related to the current study on non-Newtonian fluids can be seen in references [14–19].
The Jeffreys fluid model, as a typical non-Newtonian fluid model, has received special attraction from researchers due to its wide application in biology, industry, and other fields. In this fluid model, the two parameters
However, to the best of our knowledge, until now, research on pulse EOF of Jeffreys fluids has not been discovered much. Also, taking into account the wide application of pulse current (PC) in materials engineering in recent years [31,32], combined with the remarkable advantages of the annular channel (for instance, compact structure, large heat transfer area, good fluidity, and high heat transfer coefficient), the main purpose of this article is to study the time-periodic pulse EOF of Jeffreys fluids through a microannulus. The semi-analytical expression of velocity is obtained and the influence of some parameters on it is discussed.
2 Problem formulation
2.1 Cauchy momentum equation and constitutive relation
Consider the time-periodic pulse EOF of incompressible viscoelastic fluids through an annular region with an inner radius

(a) Sketch of the time-periodic pulse EOF of Jeffreys fluids through a microannulus. (b) Cross-section of the microannulus.

Schematic of the rectangle pulse wave.
If we assume that any external pressure gradient and gravity effects are ignored, the one-dimensional momentum equation can be given by
where
Generally speaking, the transient relaxation effect of the EDL can be neglected. The reason is that the time scale related to electromigration in the EDL is at least two orders smaller than the characteristic time associated with the evolution of the pulse EOF and also much less than the relaxation time of the viscoelastic fluids [34]. If we further assume that the boundary conditions of equation (2) are no-slip, then the no-slip and the initial condition can be written as [16,33]
For the Jeffreys fluids, its constitutive equation satisfies the following form [35]:
where
2.2 Electric potential field solution
For a symmetrical low-concentration binary electrolyte solution and the thin EDL, the net charge density is governed by the Poisson–Boltzmann equations
where
Combining equations (6) and (7), the electrical potential in the annular region can be derived as
This equation is subject to the following boundary conditions:
where
The following dimensionless groups are introduced:
where
Provided that the wall potentials are axially invariant and low enough (
We notice that equation (11) is a modified Bessel equation, so its solution can be written as
here
By using equation (12) to solve equation (13), the coefficients
The solution of the electric potential field can be derived by integrating equations (13) and (14)
where
with
Finally, the charge density can be obtained by solving equation (11) with boundary conditions (12):
2.3 Velocity field solution
In order to solve the velocity field, some dimensionless variables are defined as
where
Eliminating the dimensionless stress tensor
Let us employ the method of Laplace transform defined by
With the help of the initial condition (22), the transforms of equation (23) and boundary conditions (21) can be rewritten as
where
On the one hand, by solving the homogeneous equation (25), we can get
where C and D are constants and can be determined from the boundary conditions of equation (26).
On the other hand, the particular solution is given by considering the variable form of the right-hand side of equation (25)
where E and F are also constants. Inserting equations (29) into (25) yields
From equation (11), we can obtain the following conclusions:
After substituting equation (31) into equation (30), and equalizing the coefficients in front of the modified Bessel functions
Therefore, the solution of the velocity
The coefficients C and D with boundary conditions of equation (26) can be determined as
The analytical solution of the Laplace transform of the time-periodic pulse EOF velocity through a microannulus is shown by equation (33) and the correlation coefficients are determined by equations (16), (32), and (34). Then, we use the method of inverse Laplace transform defined by
where
3 Results and discussion
Although the important results of our work on dimensionless parameters have been presented in the above section, we still need to point out some typical values of the corresponding dimensional parameters when solving practical engineering problems. The typical parameter values are given as follows [13,36]:

Effects of the relaxation time when
List of symbols
| Symbol | Meaning |
|---|---|
|
|
Elementary electric charge (C) |
|
|
Strength of the rectangle pulse electric field (V m−1) |
| K | Dimensionless electrokinetic width |
|
|
Boltzmann constant (J K−1) |
| T | Temperature of the fluid (K) |
|
|
Valence number of ions |
|
|
Bulk volume concentration of the charge of positive or negative ions (m−3) |
|
|
Helmholtz–Smoluchowski electroosmotic velocity (m s−1) |
| R | Outer radius of the annular channel (m) |
| L | Length of the annular channel (m) |
| a | Pulse width of the rectangle pulse electric field (s) |
|
|
Dimensionless pulse width of the rectangle pulse electric field |
|
|
Velocity field (m s−1) |
|
|
Dimensionless velocity field in the axial direction |
|
|
Time-periodic rectangle pulse function |
|
|
Zero-order-modified Bessel functions of first and second types |
|
|
Cylindrical polar coordinate components |
|
|
Fluid permittivity (C V−1 m−1) |
|
|
Density (kg m−3) |
|
|
Zero shear rate viscosity of the fluid (Pa s) |
|
|
Local volumetric net charge density (C m−3) |
|
|
Relaxation time of the fluid (s) |
|
|
Dimensionless relaxation time of the fluid |
|
|
Electrical potential (V) |
|
|
Dimensionless electrical potential |
|
|
Zeta potential of the outer and inner capillary wall (V) |
|
|
Dimensionless zeta potential of the outer and inner capillary wall |
|
|
Inner to outer radius ratio and inner to outer wall zeta potential ratio |
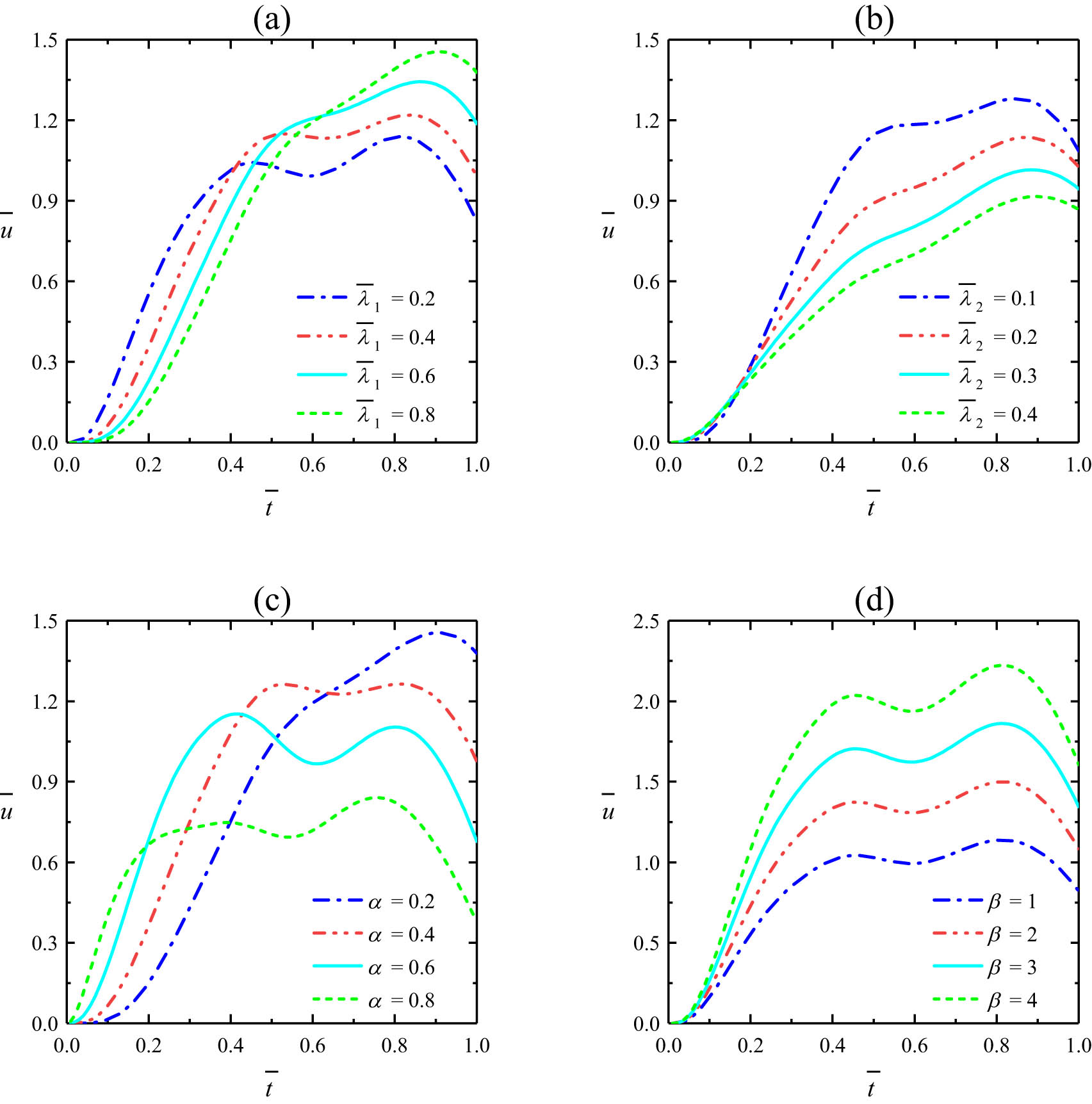
It is well known that studying the time required for the fluid to change from a static state to a flowing state is a very important aspect of pulse EOF research. The effects of some variables (such as the relaxation time
Figures 4–7 depict the effects of several related parameters on the velocity profiles for different inner and outer radius ratios (

Variations of the pulse EOF velocity at different relaxation times

Variations of the pulse EOF velocity at different retardation times

Variations of the pulse EOF velocity at different inner to outer wall zeta potential ratios (

Variations of the pulse EOF velocity at different pulse widths
The impact of the inner to outer wall zeta potential ratio
The variations of the pulse EOF velocity with time for different pulse widths
4 Conclusion
A semi-analytical solution of the time-periodic pulse EOF of Jeffreys fluids in a microannulus under the Debye–Hückel approximation is presented in this work. The effects of some related parameters on pulse EOF velocity are investigated and the following conclusions can be drawn. Increasing the relaxation time
Acknowledgments
The author wishes to express his appreciation to the anonymous reviewers for their high-level comments and the kind editors for all their assistance.
-
Funding information: This work was supported by the Scientific Research Project of Inner Mongolia University of Technology (Grant No. ZZ201813).
-
Author contributions: All authors have accepted responsibility for the entire content of this manuscript and approved its submission.
-
Conflict of interest: The authors state no conflict of interest.
References
[1] Stone HA, Stroock AD, Ajdari A. Engineering flows in small devices: microfluidics toward a Lab-on-a-chip. Ann Rev Fluid Mech. 2004;36:381–411.10.1146/annurev.fluid.36.050802.122124Search in Google Scholar
[2] Bayraktar T, Pidugu SB. Characterization of liquid flows in microfluidic systems. Int J Heat Mass Tran. 2006;49(5–6):815–24.10.1016/j.ijheatmasstransfer.2005.11.007Search in Google Scholar
[3] Hunter RJ. Zeta potential in colloid science. New York: Academic Press; 1981.Search in Google Scholar
[4] Liu QS, Jian YJ, Chang L, Yang LG. Alternating current (AC) electroosmotic flow of generalized Maxwell fluids through a circular microtube. Int J Phys Sci. 2012;7(45):5935–41.Search in Google Scholar
[5] Bianchi F, Ferrigno R, Girault HH. Finite element simulation of an electroosmotic driven flow division at a t-junction of microscale dimensions. Anal Chem. 2000;72:1987–93.10.1021/ac991225zSearch in Google Scholar
[6] Tsao HK. Electroosmotic flow through an annulus. J Colloid Interface Sci. 2000;225:247–50.10.1006/jcis.1999.6696Search in Google Scholar
[7] Hsu JP, Kao CY, Tseng SJ, Chen CJ. Electrokinetic flow through an elliptical microchannel: effects of aspect ratio and electrical boundary conditions. J Colloid Interface Sci. 2002;248(1):176–84.10.1006/jcis.2001.8200Search in Google Scholar
[8] Wang CY, Liu YH, Chang CC. Analytical solution of electro-osmotic flow in a semicircular microchannel. Phys Fluids. 2008;20:063105.10.1063/1.2939399Search in Google Scholar
[9] Dutta P, Beskok A. Analytical solution of time periodic electroosmotic flows: analogies to Stokes’ second problem. Anal Chem. 2001;73:5097–5102.10.1021/ac015546ySearch in Google Scholar
[10] Kang YJ, Yang C, Huang XY. Dynamic aspects of electroosmotic flow in a cylindrical microcapillary. Int J Eng Sci. 2002;40(20):2203–21.10.1016/S0020-7225(02)00143-XSearch in Google Scholar
[11] Wang XM, Chen B, Wu JK. A semianalytical solution of periodical electro-osmosis in a rectangular microchannel. Phys Fluids. 2007;19:127101.10.1063/1.2784532Search in Google Scholar
[12] Chakraborty S, Ray S. Mass flow-rate control through time periodic electro-osmotic flows in circular microchannels. Phys Fluids. 2008;20:083602.10.1063/1.2949306Search in Google Scholar
[13] Liu QS, Jian YJ, Yang LG. Time periodic electroosmotic flow of the generalized Maxwell fluids between two micro-parallel plates. J Non-Newtonian Fluid Mech. 2011;166(9–10):478–86.10.1016/j.jnnfm.2011.02.003Search in Google Scholar
[14] Cao LM, Si XH, Zheng LC, Pang HH. The analysis of the suction/injection on the MHD Maxwell fluid past a stretching plate in the presence of nanoparticles by Lie group method. Open Phys. 2015;13:135–141.10.1515/phys-2015-0017Search in Google Scholar
[15] Tahir M, Naeem MN, Javaid M, Younas M, Imran M, Sadiq N, et al. Unsteady flow of fractional Oldroyd-B fluids through rotating annulus. Open Phys. 2018;16:193–200.10.1515/phys-2018-0028Search in Google Scholar
[16] Wang XP, Jiang YT, Qiao YL, Xu HY, Qi HT. Numerical study of electroosmotic slip flow of fractional Oldroyd-B fluids at high zeta potentials. Electrophoresis. 2020;41:769–77.10.1002/elps.201900370Search in Google Scholar PubMed
[17] Elmaboud YA. Electroosmotic flow of generalized Burgers’ fluid with Caputo-Fabrizio derivatives through a vertical annulus with heat transfer. Alex Eng J. 2020;59(6):4563–75.10.1016/j.aej.2020.08.012Search in Google Scholar
[18] Wang XP, Xu HY, Qi HT. Transient magnetohydrodynamic flow and heat transfer of fractional Oldroyd-B fluids in a microchannel with slip boundary condition. Phys Fluids. 2020;32:103104.10.1063/5.0025195Search in Google Scholar
[19] Ribau AM, Ferrás LL, Morgado ML, Rebelo M, Alves MA, Pinho FT, et al. A study on mixed electro-osmotic/pressure-driven microchannel flows of a generalised Phan-Thien-Tanner fluid. J Eng Math. 2021;127:7.10.1007/s10665-020-10071-6Search in Google Scholar
[20] Ge-JiLe H, Nazeer M, Hussain F, Khan MI, Saleem A, Siddique I. Two-phase flow of MHD Jeffrey fluid with the suspension of tiny metallic particles incorporated with viscous dissipation and Porous medium. Adv Mech Eng. 2021;13(3):1–15.10.1177/16878140211005960Search in Google Scholar
[21] Liu QS, Jian YJ, Yang LG. Alternating current electroosmotic flow of the Jeffreys fluids through a slit microchannel. Phys Fluids. 2011;23:102001.10.1063/1.3640082Search in Google Scholar
[22] Akbar NS, Nadeem S, Ali M. Jeffrey fluid model for blood flow through a tapered artery with a stenosis. J Mech Med Biol. 2011;11(3):529–45.10.1142/S0219519411003879Search in Google Scholar
[23] Imran MA, Miraj F, Khan I, Tlili I. MHD fractional Jeffrey’s fluid flow in the presence of thermo diffusion, thermal radiation effects with first order chemical reaction and uniform heat flux. Results Phys. 2018;10:10–7.10.1016/j.rinp.2018.04.008Search in Google Scholar
[24] Ojjela O, Raju A, Kumar NN. Influence of induced magnetic field and radiation on free convective Jeffrey fluid flow between two parallel porous plates with Soret and Dufour effects. J Mech. 2019;35(5):657–75.10.1017/jmech.2018.68Search in Google Scholar
[25] Babu GS, Sreenadh S, Krishna GG, Mishra S. The Couette flow of a conducting Jeffrey fluid when the walls are lined with deformable porous material. Heat Transf. 2020;49(3):1568–82.10.1002/htj.21678Search in Google Scholar
[26] Saleema S, Subiab GS, Nazeerc M, Hussaind F, Hameed MK. Theoretical study of electro-osmotic multiphase flow of Jeffrey fluid in a divergent channel with lubricated walls. Int Commun Heat Mass. 2021;127:105548.10.1016/j.icheatmasstransfer.2021.105548Search in Google Scholar
[27] Firdous H, Husnine SM, Hussain F, Nazeer M. Velocity and thermal slip effects on two-phase flow of MHD Jeffrey fluid with the suspension of tiny metallic particles. Phys Scr. 2021;96:025803.10.1088/1402-4896/abcff0Search in Google Scholar
[28] Saini AK, Chauhan SS, Tiwari A. Creeping flow of Jeffrey fluid through a swarm of porous cylindrical particles: Brinkman-Forchheimer model. Int J Multiphas Flow. 2021;145:103803.10.1016/j.ijmultiphaseflow.2021.103803Search in Google Scholar
[29] Ramesh K, Kumar D, Nazeer M, Waqfi D, Hussain F. Mathematical modeling of MHD Jeffrey nanofluid in a microchannel incorporated with lubrication effects: a Graetz problem. Phys Scr. 2021;96:025225.10.1088/1402-4896/abd3c2Search in Google Scholar
[30] Nazeer M, Hussain F, Ahmad MO, Saeed S, Khan MI, Kadry S, et al. Multi-phase flow of Jeffrey fluid bounded within magnetized horizontal surface. Surf Interfaces. 2021;22:100846.10.1016/j.surfin.2020.100846Search in Google Scholar
[31] Li C, Yun TH, Xu J, Li F, Huai B. Effect of pulse current on bending springback of nanocrystalline ni foil. J Mater Eng Perform. 2020;29:2368–73.10.1007/s11665-020-04761-6Search in Google Scholar
[32] Pujiyulianto E, Suyitno. Effect of pulse current in manufacturing of cardiovascular stent using EDM die-sinking. Int J Adv Manuf Tech. 2021;112:3031–9.10.1007/s00170-020-06484-3Search in Google Scholar
[33] Na R, Jian YJ, Chang L, Su J, Liu QS. Transient electro-osmotic and pressure driven flows through a microannulus. Open J Fluid Dyn. 2013;3(2):50–6.10.4236/ojfd.2013.32007Search in Google Scholar
[34] Escandón J, Jiménez E, Hernández C, Bautista O, Méndez F. Transient electroosmotic flow of Maxwell fluids in a slit microchannel with asymmetric zeta potentials. Eur J Mech B-Fluid. 2015;53:180–9.10.1016/j.euromechflu.2015.05.001Search in Google Scholar
[35] Bird RB, Stewart WE, Lightfoot EN. Transport phenomena. 2nd edn. New York: John Wiley & Sons, Inc; 2001.Search in Google Scholar
[36] Jian YJ, Yang LG, Liu QS. Time periodic electro-osmotic flow through a microannulus. Phys Fluids. 2010;22:042001.10.1063/1.3358473Search in Google Scholar
[37] De Hoog FR, Knight JH, Stokes AN. An improved method for numerical inversion of Laplace transforms. SIAM J Sci Stat Comput. 1982;3(3):357–66.10.1137/0903022Search in Google Scholar
[38] Li FQ, Jian YJ, Xie ZY, Liu YB, Liu QS. Transient alternating current electroosmotic flow of a Jeffrey fluid through a polyelectrolyte-grafted nanochannel. RSC Adv. 2017;7:782–90.10.1039/C6RA24930BSearch in Google Scholar
© 2021 Dongsheng Li et al., published by De Gruyter
This work is licensed under the Creative Commons Attribution 4.0 International License.
Articles in the same Issue
- Regular Articles
- Circular Rydberg states of helium atoms or helium-like ions in a high-frequency laser field
- Closed-form solutions and conservation laws of a generalized Hirota–Satsuma coupled KdV system of fluid mechanics
- W-Chirped optical solitons and modulation instability analysis of Chen–Lee–Liu equation in optical monomode fibres
- The problem of a hydrogen atom in a cavity: Oscillator representation solution versus analytic solution
- An analytical model for the Maxwell radiation field in an axially symmetric galaxy
- Utilization of updated version of heat flux model for the radiative flow of a non-Newtonian material under Joule heating: OHAM application
- Verification of the accommodative responses in viewing an on-axis analog reflection hologram
- Irreversibility as thermodynamic time
- A self-adaptive prescription dose optimization algorithm for radiotherapy
- Algebraic computational methods for solving three nonlinear vital models fractional in mathematical physics
- The diffusion mechanism of the application of intelligent manufacturing in SMEs model based on cellular automata
- Numerical analysis of free convection from a spinning cone with variable wall temperature and pressure work effect using MD-BSQLM
- Numerical simulation of hydrodynamic oscillation of side-by-side double-floating-system with a narrow gap in waves
- Closed-form solutions for the Schrödinger wave equation with non-solvable potentials: A perturbation approach
- Study of dynamic pressure on the packer for deep-water perforation
- Ultrafast dephasing in hydrogen-bonded pyridine–water mixtures
- Crystallization law of karst water in tunnel drainage system based on DBL theory
- Position-dependent finite symmetric mass harmonic like oscillator: Classical and quantum mechanical study
- Application of Fibonacci heap to fast marching method
- An analytical investigation of the mixed convective Casson fluid flow past a yawed cylinder with heat transfer analysis
- Considering the effect of optical attenuation on photon-enhanced thermionic emission converter of the practical structure
- Fractal calculation method of friction parameters: Surface morphology and load of galvanized sheet
- Charge identification of fragments with the emulsion spectrometer of the FOOT experiment
- Quantization of fractional harmonic oscillator using creation and annihilation operators
- Scaling law for velocity of domino toppling motion in curved paths
- Frequency synchronization detection method based on adaptive frequency standard tracking
- Application of common reflection surface (CRS) to velocity variation with azimuth (VVAz) inversion of the relatively narrow azimuth 3D seismic land data
- Study on the adaptability of binary flooding in a certain oil field
- CompVision: An open-source five-compartmental software for biokinetic simulations
- An electrically switchable wideband metamaterial absorber based on graphene at P band
- Effect of annealing temperature on the interface state density of n-ZnO nanorod/p-Si heterojunction diodes
- A facile fabrication of superhydrophobic and superoleophilic adsorption material 5A zeolite for oil–water separation with potential use in floating oil
- Shannon entropy for Feinberg–Horodecki equation and thermal properties of improved Wei potential model
- Hopf bifurcation analysis for liquid-filled Gyrostat chaotic system and design of a novel technique to control slosh in spacecrafts
- Optical properties of two-dimensional two-electron quantum dot in parabolic confinement
- Optical solitons via the collective variable method for the classical and perturbed Chen–Lee–Liu equations
- Stratified heat transfer of magneto-tangent hyperbolic bio-nanofluid flow with gyrotactic microorganisms: Keller-Box solution technique
- Analysis of the structure and properties of triangular composite light-screen targets
- Magnetic charged particles of optical spherical antiferromagnetic model with fractional system
- Study on acoustic radiation response characteristics of sound barriers
- The tribological properties of single-layer hybrid PTFE/Nomex fabric/phenolic resin composites underwater
- Research on maintenance spare parts requirement prediction based on LSTM recurrent neural network
- Quantum computing simulation of the hydrogen molecular ground-state energies with limited resources
- A DFT study on the molecular properties of synthetic ester under the electric field
- Construction of abundant novel analytical solutions of the space–time fractional nonlinear generalized equal width model via Riemann–Liouville derivative with application of mathematical methods
- Some common and dynamic properties of logarithmic Pareto distribution with applications
- Soliton structures in optical fiber communications with Kundu–Mukherjee–Naskar model
- Fractional modeling of COVID-19 epidemic model with harmonic mean type incidence rate
- Liquid metal-based metamaterial with high-temperature sensitivity: Design and computational study
- Biosynthesis and characterization of Saudi propolis-mediated silver nanoparticles and their biological properties
- New trigonometric B-spline approximation for numerical investigation of the regularized long-wave equation
- Modal characteristics of harmonic gear transmission flexspline based on orthogonal design method
- Revisiting the Reynolds-averaged Navier–Stokes equations
- Time-periodic pulse electroosmotic flow of Jeffreys fluids through a microannulus
- Exact wave solutions of the nonlinear Rosenau equation using an analytical method
- Computational examination of Jeffrey nanofluid through a stretchable surface employing Tiwari and Das model
- Numerical analysis of a single-mode microring resonator on a YAG-on-insulator
- Review Articles
- Double-layer coating using MHD flow of third-grade fluid with Hall current and heat source/sink
- Analysis of aeromagnetic filtering techniques in locating the primary target in sedimentary terrain: A review
- Rapid Communications
- Nonlinear fitting of multi-compartmental data using Hooke and Jeeves direct search method
- Effect of buried depth on thermal performance of a vertical U-tube underground heat exchanger
- Knocking characteristics of a high pressure direct injection natural gas engine operating in stratified combustion mode
- What dominates heat transfer performance of a double-pipe heat exchanger
- Special Issue on Future challenges of advanced computational modeling on nonlinear physical phenomena - Part II
- Lump, lump-one stripe, multiwave and breather solutions for the Hunter–Saxton equation
- New quantum integral inequalities for some new classes of generalized ψ-convex functions and their scope in physical systems
- Computational fluid dynamic simulations and heat transfer characteristic comparisons of various arc-baffled channels
- Gaussian radial basis functions method for linear and nonlinear convection–diffusion models in physical phenomena
- Investigation of interactional phenomena and multi wave solutions of the quantum hydrodynamic Zakharov–Kuznetsov model
- On the optical solutions to nonlinear Schrödinger equation with second-order spatiotemporal dispersion
- Analysis of couple stress fluid flow with variable viscosity using two homotopy-based methods
- Quantum estimates in two variable forms for Simpson-type inequalities considering generalized Ψ-convex functions with applications
- Series solution to fractional contact problem using Caputo’s derivative
- Solitary wave solutions of the ionic currents along microtubule dynamical equations via analytical mathematical method
- Thermo-viscoelastic orthotropic constraint cylindrical cavity with variable thermal properties heated by laser pulse via the MGT thermoelasticity model
- Theoretical and experimental clues to a flux of Doppler transformation energies during processes with energy conservation
- On solitons: Propagation of shallow water waves for the fifth-order KdV hierarchy integrable equation
- Special Issue on Transport phenomena and thermal analysis in micro/nano-scale structure surfaces - Part II
- Numerical study on heat transfer and flow characteristics of nanofluids in a circular tube with trapezoid ribs
- Experimental and numerical study of heat transfer and flow characteristics with different placement of the multi-deck display cabinet in supermarket
- Thermal-hydraulic performance prediction of two new heat exchangers using RBF based on different DOE
- Diesel engine waste heat recovery system comprehensive optimization based on system and heat exchanger simulation
- Load forecasting of refrigerated display cabinet based on CEEMD–IPSO–LSTM combined model
- Investigation on subcooled flow boiling heat transfer characteristics in ICE-like conditions
- Research on materials of solar selective absorption coating based on the first principle
- Experimental study on enhancement characteristics of steam/nitrogen condensation inside horizontal multi-start helical channels
- Special Issue on Novel Numerical and Analytical Techniques for Fractional Nonlinear Schrodinger Type - Part I
- Numerical exploration of thin film flow of MHD pseudo-plastic fluid in fractional space: Utilization of fractional calculus approach
- A Haar wavelet-based scheme for finding the control parameter in nonlinear inverse heat conduction equation
- Stable novel and accurate solitary wave solutions of an integrable equation: Qiao model
- Novel soliton solutions to the Atangana–Baleanu fractional system of equations for the ISALWs
- On the oscillation of nonlinear delay differential equations and their applications
- Abundant stable novel solutions of fractional-order epidemic model along with saturated treatment and disease transmission
- Fully Legendre spectral collocation technique for stochastic heat equations
- Special Issue on 5th International Conference on Mechanics, Mathematics and Applied Physics (2021)
- Residual service life of erbium-modified AM50 magnesium alloy under corrosion and stress environment
- Special Issue on Advanced Topics on the Modelling and Assessment of Complicated Physical Phenomena - Part I
- Diverse wave propagation in shallow water waves with the Kadomtsev–Petviashvili–Benjamin–Bona–Mahony and Benney–Luke integrable models
- Intensification of thermal stratification on dissipative chemically heating fluid with cross-diffusion and magnetic field over a wedge
Articles in the same Issue
- Regular Articles
- Circular Rydberg states of helium atoms or helium-like ions in a high-frequency laser field
- Closed-form solutions and conservation laws of a generalized Hirota–Satsuma coupled KdV system of fluid mechanics
- W-Chirped optical solitons and modulation instability analysis of Chen–Lee–Liu equation in optical monomode fibres
- The problem of a hydrogen atom in a cavity: Oscillator representation solution versus analytic solution
- An analytical model for the Maxwell radiation field in an axially symmetric galaxy
- Utilization of updated version of heat flux model for the radiative flow of a non-Newtonian material under Joule heating: OHAM application
- Verification of the accommodative responses in viewing an on-axis analog reflection hologram
- Irreversibility as thermodynamic time
- A self-adaptive prescription dose optimization algorithm for radiotherapy
- Algebraic computational methods for solving three nonlinear vital models fractional in mathematical physics
- The diffusion mechanism of the application of intelligent manufacturing in SMEs model based on cellular automata
- Numerical analysis of free convection from a spinning cone with variable wall temperature and pressure work effect using MD-BSQLM
- Numerical simulation of hydrodynamic oscillation of side-by-side double-floating-system with a narrow gap in waves
- Closed-form solutions for the Schrödinger wave equation with non-solvable potentials: A perturbation approach
- Study of dynamic pressure on the packer for deep-water perforation
- Ultrafast dephasing in hydrogen-bonded pyridine–water mixtures
- Crystallization law of karst water in tunnel drainage system based on DBL theory
- Position-dependent finite symmetric mass harmonic like oscillator: Classical and quantum mechanical study
- Application of Fibonacci heap to fast marching method
- An analytical investigation of the mixed convective Casson fluid flow past a yawed cylinder with heat transfer analysis
- Considering the effect of optical attenuation on photon-enhanced thermionic emission converter of the practical structure
- Fractal calculation method of friction parameters: Surface morphology and load of galvanized sheet
- Charge identification of fragments with the emulsion spectrometer of the FOOT experiment
- Quantization of fractional harmonic oscillator using creation and annihilation operators
- Scaling law for velocity of domino toppling motion in curved paths
- Frequency synchronization detection method based on adaptive frequency standard tracking
- Application of common reflection surface (CRS) to velocity variation with azimuth (VVAz) inversion of the relatively narrow azimuth 3D seismic land data
- Study on the adaptability of binary flooding in a certain oil field
- CompVision: An open-source five-compartmental software for biokinetic simulations
- An electrically switchable wideband metamaterial absorber based on graphene at P band
- Effect of annealing temperature on the interface state density of n-ZnO nanorod/p-Si heterojunction diodes
- A facile fabrication of superhydrophobic and superoleophilic adsorption material 5A zeolite for oil–water separation with potential use in floating oil
- Shannon entropy for Feinberg–Horodecki equation and thermal properties of improved Wei potential model
- Hopf bifurcation analysis for liquid-filled Gyrostat chaotic system and design of a novel technique to control slosh in spacecrafts
- Optical properties of two-dimensional two-electron quantum dot in parabolic confinement
- Optical solitons via the collective variable method for the classical and perturbed Chen–Lee–Liu equations
- Stratified heat transfer of magneto-tangent hyperbolic bio-nanofluid flow with gyrotactic microorganisms: Keller-Box solution technique
- Analysis of the structure and properties of triangular composite light-screen targets
- Magnetic charged particles of optical spherical antiferromagnetic model with fractional system
- Study on acoustic radiation response characteristics of sound barriers
- The tribological properties of single-layer hybrid PTFE/Nomex fabric/phenolic resin composites underwater
- Research on maintenance spare parts requirement prediction based on LSTM recurrent neural network
- Quantum computing simulation of the hydrogen molecular ground-state energies with limited resources
- A DFT study on the molecular properties of synthetic ester under the electric field
- Construction of abundant novel analytical solutions of the space–time fractional nonlinear generalized equal width model via Riemann–Liouville derivative with application of mathematical methods
- Some common and dynamic properties of logarithmic Pareto distribution with applications
- Soliton structures in optical fiber communications with Kundu–Mukherjee–Naskar model
- Fractional modeling of COVID-19 epidemic model with harmonic mean type incidence rate
- Liquid metal-based metamaterial with high-temperature sensitivity: Design and computational study
- Biosynthesis and characterization of Saudi propolis-mediated silver nanoparticles and their biological properties
- New trigonometric B-spline approximation for numerical investigation of the regularized long-wave equation
- Modal characteristics of harmonic gear transmission flexspline based on orthogonal design method
- Revisiting the Reynolds-averaged Navier–Stokes equations
- Time-periodic pulse electroosmotic flow of Jeffreys fluids through a microannulus
- Exact wave solutions of the nonlinear Rosenau equation using an analytical method
- Computational examination of Jeffrey nanofluid through a stretchable surface employing Tiwari and Das model
- Numerical analysis of a single-mode microring resonator on a YAG-on-insulator
- Review Articles
- Double-layer coating using MHD flow of third-grade fluid with Hall current and heat source/sink
- Analysis of aeromagnetic filtering techniques in locating the primary target in sedimentary terrain: A review
- Rapid Communications
- Nonlinear fitting of multi-compartmental data using Hooke and Jeeves direct search method
- Effect of buried depth on thermal performance of a vertical U-tube underground heat exchanger
- Knocking characteristics of a high pressure direct injection natural gas engine operating in stratified combustion mode
- What dominates heat transfer performance of a double-pipe heat exchanger
- Special Issue on Future challenges of advanced computational modeling on nonlinear physical phenomena - Part II
- Lump, lump-one stripe, multiwave and breather solutions for the Hunter–Saxton equation
- New quantum integral inequalities for some new classes of generalized ψ-convex functions and their scope in physical systems
- Computational fluid dynamic simulations and heat transfer characteristic comparisons of various arc-baffled channels
- Gaussian radial basis functions method for linear and nonlinear convection–diffusion models in physical phenomena
- Investigation of interactional phenomena and multi wave solutions of the quantum hydrodynamic Zakharov–Kuznetsov model
- On the optical solutions to nonlinear Schrödinger equation with second-order spatiotemporal dispersion
- Analysis of couple stress fluid flow with variable viscosity using two homotopy-based methods
- Quantum estimates in two variable forms for Simpson-type inequalities considering generalized Ψ-convex functions with applications
- Series solution to fractional contact problem using Caputo’s derivative
- Solitary wave solutions of the ionic currents along microtubule dynamical equations via analytical mathematical method
- Thermo-viscoelastic orthotropic constraint cylindrical cavity with variable thermal properties heated by laser pulse via the MGT thermoelasticity model
- Theoretical and experimental clues to a flux of Doppler transformation energies during processes with energy conservation
- On solitons: Propagation of shallow water waves for the fifth-order KdV hierarchy integrable equation
- Special Issue on Transport phenomena and thermal analysis in micro/nano-scale structure surfaces - Part II
- Numerical study on heat transfer and flow characteristics of nanofluids in a circular tube with trapezoid ribs
- Experimental and numerical study of heat transfer and flow characteristics with different placement of the multi-deck display cabinet in supermarket
- Thermal-hydraulic performance prediction of two new heat exchangers using RBF based on different DOE
- Diesel engine waste heat recovery system comprehensive optimization based on system and heat exchanger simulation
- Load forecasting of refrigerated display cabinet based on CEEMD–IPSO–LSTM combined model
- Investigation on subcooled flow boiling heat transfer characteristics in ICE-like conditions
- Research on materials of solar selective absorption coating based on the first principle
- Experimental study on enhancement characteristics of steam/nitrogen condensation inside horizontal multi-start helical channels
- Special Issue on Novel Numerical and Analytical Techniques for Fractional Nonlinear Schrodinger Type - Part I
- Numerical exploration of thin film flow of MHD pseudo-plastic fluid in fractional space: Utilization of fractional calculus approach
- A Haar wavelet-based scheme for finding the control parameter in nonlinear inverse heat conduction equation
- Stable novel and accurate solitary wave solutions of an integrable equation: Qiao model
- Novel soliton solutions to the Atangana–Baleanu fractional system of equations for the ISALWs
- On the oscillation of nonlinear delay differential equations and their applications
- Abundant stable novel solutions of fractional-order epidemic model along with saturated treatment and disease transmission
- Fully Legendre spectral collocation technique for stochastic heat equations
- Special Issue on 5th International Conference on Mechanics, Mathematics and Applied Physics (2021)
- Residual service life of erbium-modified AM50 magnesium alloy under corrosion and stress environment
- Special Issue on Advanced Topics on the Modelling and Assessment of Complicated Physical Phenomena - Part I
- Diverse wave propagation in shallow water waves with the Kadomtsev–Petviashvili–Benjamin–Bona–Mahony and Benney–Luke integrable models
- Intensification of thermal stratification on dissipative chemically heating fluid with cross-diffusion and magnetic field over a wedge