Home Synthesis and crystal structure of 6-methoxy-7-[(4-methoxyphenyl)methoxy]-2H-1-benzopyran-2-one, C18H16O5
Article Open Access

Synthesis and crystal structure of 6-methoxy-7-[(4-methoxyphenyl)methoxy]-2H-1-benzopyran-2-one, C18H16O5

  • Wei Tian ORCID logo , Peng Yang , Yuxing Wang and Zengyan Yang ORCID logo EMAIL logo
Published/Copyright: March 7, 2025

Abstract

C18H16O5, Triclinic, P 1 (no. 2), a = 7.6389(9) Å, b = 9.1335(11) Å, c = 10.8946(13) Å, α = 90.983(2)°, β = 90.398(2)°, γ = 93.522(2)°, V = 758.54(16) Å3, Z = 2, Rgt(F) = 0.0433, wRref(F2) = 0.1169, T = 296(2) K.

CCDC no.: 2418002

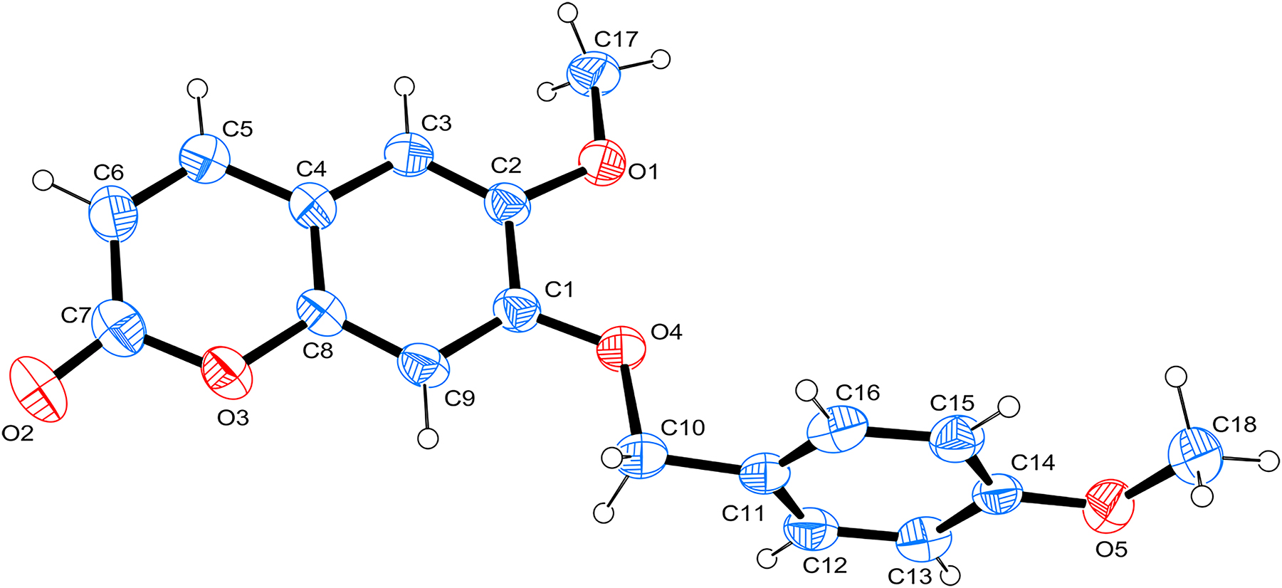
The molecular structure is shown in the figure. Table 1 contains crystallographic data. The list of the atoms including atomic coordinates and displacement parameters can be found in the cif-file attached to this article.

Table 1:

Data collection and handling.

Crystal: Colorless block
Size: 0.24 × 0.18 × 0.11 mm
Wavelength: Mo Kα radiation (0.71073 Å)
μ: 0.10 mm−1
Diffractometer, scan mode: Bruker APEX-II CCD, φ and ω scans
θmax, completeness: 25.7°, 100 %
N(hkl)measured, N(hkl)unique, Rint: 8452, 2872, 0.029
Criterion for Iobs, N(hkl)gt: Iobs > 2 σ(Iobs), 1,603
N(param)refined: 210
Programs: Bruker, 1 SHELX 2 , 3 , WinGx 4

1 Source of material

All chemicals were purchased from commercial sources and used as received without further purification. The scopoletin (1.0 mmol, 0.192 g), 4-methoxybenzylchloride (3.0 mmol, 0.469 g), potassium carbonate (2 mmol, 0.276 g), and sodium iodide (0.1 mmol, 0.015 g) was suspended in anhydrous N,N-dimethylformamide (30 mL) in a dry round bottom flask at room temperature. The mixture was warmed to 60 °C and stirred for 12 h under N2. All solvents were removed by vacuum distillation to obtain a crude product. The residue was purified by column chromatography on silica gel to yield the pure title compound. The crystal was obtained by slow evaporating chloroform at room temperature.

2 Experimental details

All H-atoms bonded to C atoms were placed geometrically and refined using a riding model with common isotropic displacement factors Uiso(H) = 1.2 or 1.5 Ueq (parent C-atom).

3 Comment

Natural products have always been an important source of medicines for the treatment of various diseases. Among the various natural product scaffolds, benzopyrone compounds play an important role in biologically active compounds. 5 Scopoletin is a natural benzopyrone compound extracted from the ethnopharmacology Prismatomeris tetrandra (Prismatomerisconnata Y. Z. Ruan), which has various biological activities. 6 , 7 , 8 Currently, the benzopyrone class of compounds has shown great potential in drug development. Therefore, the synthesis and crystal structure of the benzopyrone derivative are important significance for the study of the application.

Single-crystal structure analysis revealed that the title compound crystallized in the triclinic space group P 1 . The asymmetric unit of the title compound 6-methoxy-7-[(4-methoxyphenyl)methoxy]-2H-1-benzopyran-2-one molecule. The ORTEP diagram is presented in figure. Bond lengths and angles are all in the expected ranges. All atoms on the benzopyrone scaffold structure are in the same plane, and the bond lengths of C7=O2, C7=O3 and C8=O3 are 1.204(2) Å, 1.380(3) Å and 1.378(2) Å, respectively, they are consistent with the results reported for similar compounds in the literature. 9


Corresponding author: Zengyan Yang, Guangxi International Zhuang Medicine Hospital, Guangxi University of Chinese Medicine, Nanning, Guangxi 530201, China, E-mail:

  1. Author contribution: All the authors have accepted responsibility for the entire content of this submitted manuscript and approved submission.

  2. Research funding: This work were supported by Guangxi Natural Science Foundation (No. 2024GXNSFAA010466), Natural Science Foundation Key Project of Guangxi International Zhuang Medicine Hospital (No. 2023GZYJKT002), Innovation Team for Research and Development of Characteristic Pharmaceutics of Zhuang & Yao Medicine (No. GZCX20231203).

  3. Conflict of interest statement: The authors declare no conflicts of interest regarding this article.

References

1. Bruker. SAINT, APEX2 and SADABS; Bruker AXS Inc.: Madison, WI, USA, 2012.Search in Google Scholar

2. Sheldrick, G. M. SHELXTL – Integrated Space-Group and Crystal-Structure Determination. Acta Crystallogr. 2015, A71, 3–8.10.1107/S2053273314026370Search in Google Scholar PubMed PubMed Central

3. Sheldrick, G. M. Crystal Structure Refinement with SHELXL. Acta Crystallogr. 2015, C71, 3–8; https://doi.org/10.1107/s2053229614024218.Search in Google Scholar

4. Farrugia, L. J. WinGX and ORTEP for Windows: An Update. J. Appl. Crystallogr. 2012, 45, 849–854; https://doi.org/10.1107/s0021889812029111.Search in Google Scholar

5. Sharma, V.; Sharma, A.; Wadje, B. N.; Bharate, S. B. Benzopyrone, A Privileged Scaffold in Drug Discovery: An Overview of FDA-Approved Drugs and Clinical Candidates. Med. Res. Rev. 2024, 44, 2035–2077; https://doi.org/10.1002/med.22032.Search in Google Scholar PubMed

6. Parama, D.; Girisa, S.; Khatoon, E.; Kumar, A.; Alqahtani, M. S.; Abbas, M.; Sethi, G.; Kunnumakkara, A. B. An Overview of the Pharmacological Activities of Scopoletin against Different Chronic Diseases. Pharmacol. Res. 2022, 179, 106202; https://doi.org/10.1016/j.phrs.2022.106202.Search in Google Scholar PubMed

7. Antika, L.; Tasfiyati, A.; Hikmat, H.; Septama, A. Scopoletin: A Review of Its Source, Biosynthesis, Methods of Extraction, and Pharmacological Activities. Z. Naturforsch. C 2022, 77, 303–316; https://doi.org/10.1515/znc-2021-0193.Search in Google Scholar PubMed

8. Firmansyah, A.; Winingsih, W.; Manobi, J. D. Y. Review of Scopoletin: Isolation, Analysis Process, and Pharmacological Activity. Biointerface Res. App. 2021, 11, 12006–12019; https://doi.org/10.33263/BRIAC114.1200612019.Search in Google Scholar

9. Ikemura, A.; Karuo, Y.; Uehashi, Y.; Agou, T.; Ebihara, M.; Kubota, Y.; Inuzuka, T.; Omote, M.; Funabiki, K. 3-Perfluoroalkylated Fluorescent Coumarin Dyes: Rational Molecular Design and Photophysical Properties. Mol. Syst. Des. Eng. 2024, 9, 332; https://doi.org/10.1039/D4ME00006D.Search in Google Scholar

Received: 2025-01-20
Accepted: 2025-02-17
Published Online: 2025-03-07
Published in Print: 2025-06-26

© 2025 the author(s), published by De Gruyter, Berlin/Boston

This work is licensed under the Creative Commons Attribution 4.0 International License.

Articles in the same Issue

  1. Frontmatter
  2. New Crystal Structures
  3. Crystal structure of 5,5′-bis(2,4,6-trinitrophenyl)-2,2′-bi(1,3,4-oxadiazole), C16H4N10O14
  4. Crystal structure of catena-poly[(μ3-4,4′-oxydibenzoato- κ5 O,O: O,O:O)-bis(2,4,6-tri(3-pyridine)-1,3,5-triazine-κ1 N)cadmium(II)], C50H32CdN12O5
  5. The crystal structure of 1,4-diazepane-1,4-diium potassium trinitrate, C5H14KN5O9
  6. The crystal structure of benzyl 2,2,5,5-tetramethylthiazolidine-4-carboxylate, C15H21NO2S
  7. Crystal structure of 2-hydroxyethyl-triphenylphosphonium tetracyanidoborate, C24H20BN4OP
  8. The crystal structure of 1-methyl-3-(N-methylnitrous amide–N-methylene) imidazolidine-2,4,5-trione
  9. Crystal structure of N-((3-cyano-1-(2,6-dichloro-4-(trifluoromethyl)phenyl)-4-(2,2,2-trifluoroacetyl)-1H-pyrazol-5-yl)carbamoyl)-2,6-difluorobenzamide, C20H7Cl2F8N5O3S
  10. Crystal structure of 5-(2,2-difluoropropyl)-5-methylbenzo[4,5]imidazo[2,1-a] isoquinolin-6(5H)-one, C20H18F2N2O
  11. The crystal structure of N′,N″-[1,2-bis(4-chlorophenyl)ethane-1,2-diylidene]bis(furan-2- carbohydrazide), C24H16Cl2N4O4
  12. Crystal structure of [(4-bromobenzyl)triphenylphosphonium] tetrabromoantimony(III), [C25H21BrP]+[SbBr4]
  13. Crystal structure of [(4-bromobenzyl)triphenylphosphonium] tetrabromidoindium(III), [C25H21BrP]+[InBr4]
  14. The crystal structure of 4-carboxy-2-oxobutan-1-aminium chloride, C5H10ClNO3
  15. Crystal structure of (4-(4-chlorophenyl)-1H-pyrrole-3-carbonyl)ferrocene, C21H16ClFeNO
  16. The crystal structure of dichlorido(η6-p-cymene)(triphenylarsine)ruthenium(II), C28H29AsCl2Ru
  17. Crystal structure of (Z)-2-hydroxy-N′-(1-(o-tolyl)ethylidene)benzohydrazide, C16H16N2O2
  18. The crystal structure of 10-(1-bromoethyl)-14-(bromomethyl)dibenzo[a, c]acridine, C24H17NBr2
  19. Synthesis and crystal structure of 6-methoxy-7-[(4-methoxyphenyl)methoxy]-2H-1-benzopyran-2-one, C18H16O5
  20. Synthesis and crystal structure of ethyl 4-((4-trifluoromethylbenzyl)amino)benzo, C17H16F3NO2
  21. The crystal structure of (Z)-2-(tert-butyl)-6-(7-(tert-butyl)-5-methylbenzo[d][1,3]oxathiol-2-ylidene)-4-methylcyclohexa-2,4-dien-1-one, C23H28O2S
  22. The crystal structure of (R)-2-aminobutanamide hydrochloride, C4H11ClN2O
  23. Crystal structure of bromido[hydridotris(3-tert-butyl-5-isopropylpyrazolyl)borato-κ3 N,N′,N″]copper(II), C30H52BBrCuN6
  24. Crystal structure of chlorido{hydridotris[3-mesityl-5-methyl-1H-pyrazol-1-yl-κN3]borato}-copper(II) dichloromethane monosolvate
  25. Crystal structure of 4-[3,5-bis(propan-2-yl)-1H-pyrazol-4-yl]pyridine, C14H19N3
  26. Crystal structure of ((4-(4-bromophenyl)-1H-pyrrol-3-yl)methyl)ferrocene, C21H16BrFeNO
  27. Crystal structure of [(4-chlorobenzyl)triphenylphosphonium] dichloridocopper(I), {[C25H21ClP]+[CuCl2]}n
  28. The crystal structure of {Cu(2,9-diisopropyl-4,7-diphenyl-1,10-phenanthroline)[4,5-bis(diphenylphosphino)-9,9-dimethylxanthene]}+ PF6·1.5(EtOAC)
  29. Crystal structure of 3,5-bis(t-butyl)-1H-pyrazol-4-amine, C11H21N3
  30. Crystal structure of [(2,4-dichlorobenzyl)triphenylphosphonium] trichloridocopper(II), [C25H20Cl2P]+[CuCl3]
  31. The crystal structure of dipotassium sulfide, K2S
  32. Crystal structure of (4-(4-methoxyphenyl)-1H-pyrrole-3-carbonyl)ferrocene, C22H19FeNO2
  33. Crystal structure of (E)-6-(4-methylpiperazin-1-yl)-2-(4-(trifluoromethyl)benzylidene)-3, 4-dihydronaphthalen-1(2H)-one, C23H23F3N2O
  34. Crystal structure of (E)-6-morpholino-2-(4-(trifluoromethyl)benzylidene)-3,4-dihydronaphthalen-1(2H)-one, C22H20F3NO2
  35. Crystal structure of Ce9Ir37Ge25
  36. The crystal structure of ethyl 6-(2-nitrophenyl)imidazo[2,1-b]thiazole-3-carboxylate, C14H11N3O4S
  37. Crystal structure of (4-(4-isopropylphenyl)-1H-pyrrol-3-yl)(ferrocenyl)methanone, C24H23FeNO
  38. Crystal structure of bis(methylammonium) tetrathiotungstate(VI), (CH3NH3)2[WS4]
  39. Crystal structure of 6,11-dihydro-12H-benzo[e]indeno[1,2-b]oxepin-12-one, C17H12O2
  40. Crystal structure of 3-[(4-phenylpiperidin-1-yl)methyl]-5-(thiophen-2-yl)-2,3-dihydro-1,3,4- oxadiazole-2-thione, C18H19N3OS2
  41. Crystal structure of N-isopropyl-1,8-naphthalimide C15H13NO2
  42. TiNiSi-type EuPdBi
  43. Crystal structure of 1-(p-tolylphenyl)-4-(2-thienoyl)-3-methyl-1H-pyrazol-5-ol, C16H14N2O2S
  44. The crystal structure of 3-(3-carboxypropyl)-2-nitro-1H-pyrrole 1-oxide, C7H9N3O5
  45. The crystal structure of tetraaqua-bis(2-(2-methyl-5-nitro-1H-imidazol-1-yl)acetato-k2O:N)-tetrakis(2-(2-methyl-5-nitro-1H-imidazol-1-yl)acetato-k1N)trizinc(II) hexahydrate C36H52N18O32Zn3
  46. The crystal structure of 4-(3-carboxy-1-ethyl-6-fluoro-4-oxo-1,4-dihydroquinolin-7-yl)piperazin-1-ium 4-hydroxy-3,5-dimethoxybenzoate monohydrate, C25H30FN3O9
  47. Crystal structure of bis(DL-1-carboxy-2-(1H-indol-3-yl)ethan-1-aminium) oxalate — acetic acid (1/2)
  48. Crystal structure of methyl (E)-4-((4-methylphenyl)sulfonamido)but-2-enoate, C12H15NO4S
  49. The crystal structure of actarit, C10H11NO3
  50. The crystal structure of bicyclol, C19H18O9
  51. The crystal structure of topiroxostat, C13H8N6
  52. Crystal structure of 2,2-dichloro-N-methyl-N-(4-p-tolylthiazol-2-yl)acetamide, C13H12Cl2N2OS
  53. Crystal structure of 4-(trifluoromethyl)-7-coumarinyl trifluoromethanesulfonate C11H4F6O5S
  54. Crystal structure of (1,4,7,10,13,16-hexaoxacyclooctadecane-κ6O6)-((Z)-N,N′-bis(2-(dimethylamino)phenyl)carbamimidato-κ1N)potassium(I)
  55. Crystal structure of (Z)-2-(5-((4-(dimethylamino)naphthalen-1-yl)methylene)-4-oxo-2-thioxothiazolidin-3-yl)acetic acid, C18H16N2O3S2
  56. Crystal structure of (4-fluorobenzyl)triphenylphosphonium bromide, C25H21BrFP
  57. The crystal structure of dichlorido-[6-(pyridin-2-yl)phenanthridine-κ2N, N′]zinc(II)-chloroform (1/1), C19H13N2ZnCl5
  58. Crystal structure of (E)-(3-(2,4-dichlorophenyl)acryloyl)ferrocene, C19H14Cl2FeO
  59. The crystal structure of (E)-7-chloro-1-cyclopropyl-6-fluoro-3-((2-hydroxybenzylidene)amino)quinolin-4(1H)-one, C19H14ClFN2O2
  60. Crystal structure of 2-bromo-11-(((fluoromethyl)sulfonyl)methyl)-6-methyl-6,11-dihydrodibenzo[c,f][1,2]thiazepine 5,5-dioxide, C16H13BrFNO4S2
  61. Crystal structure of 2-chloro-11-(((fluoromethyl)sulfonyl)methyl)-6-methyl-6,11-dihydrodibenzo[c,f][1,2]thiazepine 5,5-dioxide, C16H13ClFNO4S2
  62. Crystal structure of 5-(2,2-difluoropropyl)-5-methyl-6-oxo-5,6-dihydrobenzo[4,5]imidazo[2,1-a]isoquinoline-3-carbonitrile, C20H15F2N3O
Downloaded on 5.10.2025 from https://www.degruyterbrill.com/document/doi/10.1515/ncrs-2025-0039/html?srsltid=AfmBOormPaDh3yxtJJao8EPEaCqge5e63IGnN0AOyuLuK0selMn67LRu
Scroll to top button