Abstract
C20H22N2O4, monoclinic, P21/c (no. 14), a = 18.1092(12) Å, b = 8.4026(6) Å, c = 11.6983(8) Å, β = 92.582(7)°, V = 1778.3(2) Å3, Z = 4, Rgt(F) = 0.0456, wRref(F2) = 0.1137, T = 200.00(10) K.
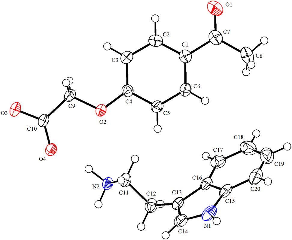
Table 1 contains crystallographic data and Table 2 contains the list of the atoms including atomic coordinates and displacement parameters.

Data collection and handling.
| Crystal: | Bronze block |
| Size 0.14 × 0.11 × 0.10 mm | |
| Wavelength: | Mo Kα radiation (0.71073 Å) |
| μ: | 0.09 mm−1 |
| Diffractometer, scan mode: | SuperNova, ω |
| θmax, completeness: | 25.0°, >99% |
| N(hkl)measured, N(hkl)unique, Rint: | 7718, 3108, 0.035 |
| Criterion for Iobs, N(hkl)gt: | Iobs > 2 σ(Iobs), 2477 |
| N(param)refined: | 252 |
| Programs: | Bruker [1], Olex2 [2], SHELX [3], Diamond [4] |
Fractional atomic coordinates and isotropic or equivalent isotropic displacement parameters (Å2).
| Atom | x | y | z | Uiso*/Ueq |
|---|---|---|---|---|
| O1 | 0.54252 (8) | 0.5713 (2) | 0.68117 (15) | 0.0720 (6) |
| O2 | 0.20651 (6) | 0.63334 (14) | 0.50218 (10) | 0.0285 (3) |
| O3 | 0.10967 (7) | 0.69689 (14) | 0.23523 (10) | 0.0289 (3) |
| O4 | 0.07386 (6) | 0.59419 (14) | 0.39999 (10) | 0.0306 (3) |
| C1 | 0.41219 (10) | 0.5781 (2) | 0.67014 (17) | 0.0329 (5) |
| C2 | 0.40832 (10) | 0.6213 (2) | 0.55554 (17) | 0.0363 (5) |
| H2 | 0.451954 | 0.635271 | 0.517780 | 0.044* |
| C3 | 0.34144 (10) | 0.6442 (2) | 0.49571 (17) | 0.0331 (5) |
| H3 | 0.340210 | 0.673656 | 0.419024 | 0.040* |
| C4 | 0.27613 (9) | 0.62248 (19) | 0.55190 (15) | 0.0248 (4) |
| C5 | 0.27915 (10) | 0.5831 (2) | 0.66746 (15) | 0.0281 (4) |
| H5 | 0.235562 | 0.572034 | 0.705815 | 0.034* |
| C6 | 0.34596 (10) | 0.5602 (2) | 0.72545 (16) | 0.0311 (4) |
| H6 | 0.347096 | 0.532535 | 0.802479 | 0.037* |
| C7 | 0.48516 (11) | 0.5494 (3) | 0.72966 (19) | 0.0433 (5) |
| C8 | 0.48752 (12) | 0.4936 (3) | 0.8512 (2) | 0.0590 (7) |
| H8A | 0.537656 | 0.470042 | 0.875539 | 0.089* |
| H8B | 0.457869 | 0.399533 | 0.856964 | 0.089* |
| H8C | 0.468558 | 0.575547 | 0.898958 | 0.089* |
| C9 | 0.19985 (9) | 0.6734 (2) | 0.38376 (15) | 0.0267 (4) |
| H9A | 0.232219 | 0.605637 | 0.341314 | 0.032* |
| H9B | 0.215290 | 0.782859 | 0.373500 | 0.032* |
| C10 | 0.12087 (9) | 0.65352 (18) | 0.33698 (15) | 0.0223 (4) |
| N1 | 0.12482 (10) | 0.52622 (19) | 1.01261 (15) | 0.0353 (4) |
| H1 | 0.1139 (11) | 0.591 (2) | 1.0647 (19) | 0.044 (6)* |
| N2 | 0.07292 (9) | 0.50832 (17) | 0.62536 (14) | 0.0239 (4) |
| H2A | 0.0216 (12) | 0.495 (2) | 0.6287 (17) | 0.034 (5)* |
| H2B | 0.0790 (11) | 0.550 (2) | 0.547 (2) | 0.044 (6)* |
| H2C | 0.0899 (10) | 0.585 (2) | 0.6805 (17) | 0.032 (5)* |
| C11 | 0.10797 (10) | 0.3497 (2) | 0.64127 (15) | 0.0275 (4) |
| H11A | 0.161174 | 0.360252 | 0.638093 | 0.033* |
| H11B | 0.090976 | 0.279562 | 0.579680 | 0.033* |
| C12 | 0.08921 (10) | 0.2774 (2) | 0.75503 (16) | 0.0313 (4) |
| H12A | 0.035858 | 0.270648 | 0.758032 | 0.038* |
| H12B | 0.108512 | 0.169748 | 0.758725 | 0.038* |
| C13 | 0.11864 (10) | 0.36713 (19) | 0.85832 (15) | 0.0258 (4) |
| C14 | 0.08117 (11) | 0.4742 (2) | 0.92154 (17) | 0.0320 (5) |
| H14 | 0.032832 | 0.507200 | 0.905096 | 0.038* |
| C15 | 0.19231 (11) | 0.4523 (2) | 1.01027 (16) | 0.0294 (4) |
| C16 | 0.19060 (10) | 0.35208 (19) | 0.91338 (15) | 0.0260 (4) |
| C17 | 0.25354 (10) | 0.2606 (2) | 0.89255 (18) | 0.0348 (5) |
| H17 | 0.254463 | 0.195592 | 0.828305 | 0.042* |
| C18 | 0.31375 (11) | 0.2684 (3) | 0.9682 (2) | 0.0464 (6) |
| H18 | 0.355271 | 0.206958 | 0.955413 | 0.056* |
| C19 | 0.31343 (12) | 0.3677 (3) | 1.0644 (2) | 0.0504 (6) |
| H19 | 0.354618 | 0.370034 | 1.114856 | 0.060* |
| C20 | 0.25353 (12) | 0.4618 (2) | 1.08584 (18) | 0.0424 (5) |
| H20 | 0.253971 | 0.529478 | 1.148761 | 0.051* |
Source of material
The title salt was prepared by the following steps: 0.194 g 4-acetyl-phenoxyacetic acid (1.0 mmol), 0.1602 g tryptamine (1.0 mmol), 0.040 g NaOH (1.0 mmol), and 0.1225 g manganese acetate tetrahydrate (0.5 mmol) were dissolved in 25 mL N,N-dimethylformamide-water solution- ethanol (v:v:v = 1:2:2). The mixture was stirred for 4 h at 70 °C, and then continully stirred for 3 h at room temperature. The colorless crystals of the title salt were received from the filtrate after 22 days.
Experimental details
The hydrogen atoms were positioned geometrically (C–H = 0.93–0.97 Å and N–H = 0.85–0.99 Å). Their Uiso values were set to 1.2Ueq or 1.5Ueq of the parent atoms.
Comment
Aminium compounds based on organic carboxylates exhibit applications in cement grinding aids [5], antirust [6], supramolecular assemblies [7]. Our goal was to synthesize a manganese complex of a Schiff base, however, unfortunately, neither the Schiff base ligand nor the manganese complex was formed. Only a new salt compound has been obtained by 4-acetyl-phenoxyacetic acid, tryptamine, NaOH, and manganese acetate tetrahydrate as raw materials.
The title compound consists of one (4-acetyl-phenoxy)-acetate anion and one 2-(1H-indol-3-yl)-ethyl-ammonium cation (the Figure). The bond distances of C–O are 1.220(2) Å (C7–O1), 1.368(2) Å (C4–O2), 1.425(2) Å (C9–O2), 1.253(2) Å (C10–O3), 1.254(2) Å (C10–O4), respectively, indicating that the C7–O1 bond is double bond. The bond distances of C–N are 1.369(3) Å (C14–N1), 1.372(3) Å (C15–N1) and 1.484(2) Å (C11–N2), respectively. The bond distances of C–O and C–N are consistent with Refs. [8], [9], [10]. The ring 1 (C13–C14–N1–C15–C16) and ring 2 (C15–C16–C17–C18–C19–C20) are coplanar with a dihedral angle of 2.3°. The ring 3 (C1–C2–C3–C4–C5–C6) and ring 2 (C15–C16–C17–C18–C19–C20) are not coplanar with a dihedral angle of 54.2°. The title compound forms a layered structure by N–H…O hydrogen bonds.
Funding source: National Natural Science Foundation of China
Award Identifier / Grant number: 21171132
Funding source: Natural Science Foundation of Shandong
Award Identifier / Grant number: ZR2014BL003
Award Identifier / Grant number: J14LC01
Funding source: Weifang University of Science and Technology
Acknowledgements
We thank Guido J. Reiss for his help on the refinement of crystal data.
-
Author contributions: All the authors have accepted responsibility for the entire content of this submitted manuscript and approved submission.
-
Research funding: This project was supported by the National Natural Science Foundation of China (No. 21171132, https://doi.org/10.13039/501100001809), the Natural Science Foundation of Shandong (ZR2014BL003, https://doi.org/10.13039/501100007129), the project of Shandong Province Higher Educational Science and Technology Program (J14LC01, https://doi.org/10.13039/501100015642) and Weifang University of Science and Technology (https://doi.org/10.13039/501100010887).
-
Conflict of interest statement: The authors declare no conflicts of interest regarding this article.
References
1. Bruker. SAINT and SADABS; Bruker AXS Inc.: Madison, Wisconsin, USA, 2000.Search in Google Scholar
2. Dolomanov, O. V., Bourhis, L. J., Gildea, R. J., Howard, J. A. K., Puschmann, H. Olex2: a complete structure solution, refinement and analysis program. J. Appl. Crystallogr. 2009, 42, 339–341; https://doi.org/10.1107/s0021889808042726.Search in Google Scholar
3. Sheldrick, G. M. Crystal structure refinement with Shelxl. Acta Crystallogr. 2015, C71, 3–8; https://doi.org/10.1107/s2053229614024218.Search in Google Scholar
4. Brandenburg, K. DIAMOND. Visual Crystal Structure Information System. Ver. 4.0; Crystal Impact: Bonn, Germany, 2015.Search in Google Scholar
5. Zhang, J.-L., Zhang, C.-S., Feng, Z.-Z., Zhu, B.-G., Li, Y. Triethanolamine salinized by monoprotic organic acids cement grinding aids. Bull. Chin. Ceram. Soc. 2017, 36, 1706–1712.Search in Google Scholar
6. Wang, L.-C., Zhu, M.-Y., Ding, W. Study on preparation and performance of multifunctional metal processing aid. Lubr. Eng. 2021, 46, 100–105.Search in Google Scholar
7. Ding, A.-H., Jin, S.-W., Jin, S.-D., Guo, M., Liu, H., Guo, J.-Z., Wang, D.-Q. Nine supramolecular assemblies from 5,7-dimethyl-1,8-naphthyridine-2-amine and carboxylic acids by strong classical H-bonds and other noncovalent associations. J. Mol. Struct. 2017, 1150, 595–613; https://doi.org/10.1016/j.molstruc.2017.09.017.Search in Google Scholar
8. Tai, X.-S., Zhang, L.-L., Liu, L.-L., Cao, S.-H., Wang, L.-H. The crystal structure of bis(ethanol-kO)-bis(6-aminopicolinato-k2N,O) manganese(II), C16H22O6N4Mn. Z. Kristallogr. N. Cryst. Struct. 2021, 236, 551–552.10.1515/ncrs-2020-0644Search in Google Scholar
9. Wang, L.-H., Zhou, X.-J., Liu, L.-L., Zhang, A.-L., Tai, X.-S. The crystal structure of (E)-2-(5-bromo-2-hydroxybenzylidene)-N- phenylhydrazine-1-carboxamide monohydrate, C14H14BrN3O3. Z. Kristallogr. N. Cryst. Struct. 2021, 236, 251–252.10.1515/ncrs-2020-0471Search in Google Scholar
10. Tai, X.-S., Ren, Z., Liu, L.-L., Zhang, A.-L., Wang, L.-H. The crystal structure of (E)-2-(2-((2-picolinoylhydrazono)methyl)phenoxy)acetic acid dihydrate, C15H17N3O6. Z. Kristallogr. N. Cryst. Struct. 2021, 236, 315–316.10.1515/ncrs-2020-0534Search in Google Scholar
© 2021 Feng Yi-Min and Tai Xi-Shi, published by De Gruyter, Berlin/Boston
This work is licensed under the Creative Commons Attribution 4.0 International License.
Articles in the same Issue
- Frontmatter
- New Crystal Structures
- Crystal structure of (E)-7-hydroxy-2-((6-methoxypyridin-3-yl)methylene)-3, 4-dihydronaphthalen-1(2H)-one, C17H15NO3
- Crystal structure of (E)-7-methoxy-2-((2-methoxypyridin-3-yl)methylene)-3,4-dihydronaphthalen-1 (2H)-one, C18H17NO3
- The crystal structure of N 6,N 6′-di(pyridin-2-yl)-[2,2′-bipyridine]-6,6′-diamine, C20H16N6
- The crystal structure of {N 1,N 2-bis[2,4-dimethyl-6-(4-(tert-butyl)phenyl)(phenyl)methyl]acenaphthylene-1,2-diimino-κ2 N, N′}-dibromido-nickel(II) – dichloromethane(1/2), C64H64Br2Cl4N2Ni
- Synthesis and crystal structure of nonacarbonyltris[(2-thia-1,3,5-triaza-7-phosphatricylco[3.3.1.1]decane-κ1 P)-2,2-dioxide]triruthenium(0) – acetonitrile (7/6), C25.71H32.57N9.86O15P3S3Ru3
- A new polymorph of 1-(4-nitrophenyl)-1H-benzimidazole (C13H9N3O2)
- The crystal structure of 2,2′-((1E,1′E)-(naphthalene-2,3 diylbis(azanylylidene)) bis(methanylylidene))bis(4-methylphenol), C26H22N2O2
- The crystal structure of bis(μ2-iodido)-bis(η6-benzene)-bis(iodido)-diosmium(II), C12H12I4Os2
- Redetermination of the crystal structure of bis{hydridotris(3,5-dimethylpyrazol-1-yl-κN 3)borato}copper(II), C30H44B2CuN12
- Crystal structure of (E)-3-((4-(tert-butyl)phenyl)thio)-4-hydroxypent-3-en-2-one, C15H20O2S
- Crystal structure of 2,2′-(p-tolylazanediyl)bis(1-phenylethan-1-one), C23H21NO2
- Redetermination of the crystal structure of the crystal sponge the poly[tetrakis(μ3-2,4,6-tris(pyridin-4-yl)-1,3,5-triazine)-dodecaiodidohexazinc(II) nitrobenzene solvate], C72H48I12N24Zn6⋅10(C6H5NO2)
- Crystal structure of (4′E)-6′-(diethylamino)-2-[(E)-[(6-methylpyridin-2-yl)methylidene]amino]-4′-{2-[(2E)-1,3,3-trimethyl-2,3-dihydro-1H-indol-2-ylidene]ethylidene}-1′,2,2′,3,3′,4′-hexahydrospiro[isoindole-1,9′-xanthene]-3-one, C44H45N5O2
- Crystal structure of (E)-7-fluoro-2-(3-fluorobenzylidene)-3,4-dihydronaphthalen-1(2H)-one, C17H12F2O1
- Crystal structure of tetrabutylammonium sulfanilate – 1-(diaminomethylene)thiourea (1/2)
- Crystal structure of [2,2′-{azanediyl)bis[(propane-3,1-diyl)(azanylylidene)methylylidene]} bis(3,5-dichlorophenolato)-κ2O,O′]-isothiocyanato-κN-iron(III), C21H19Cl4FeN4O2S
- Crystal structure of (4-chlorophenyl)(4-hydroxyphenyl)methanone, C13H9ClO2
- Crystal structure of 6,6′-((pentane-1,3-diylbis(azaneylylidene))bis(methaneylylidene))bis(2,4-dibromolphenolato-κ4 N,N′,O,O′)copper(II),) C19H16Br4CuN2O2
- Chlorido-(2,2′-(ethane-bis(5-methoxyphenolato))-κ4 N,N′,O,O′)manganese(III) monohydrate, C19H18Cl2CuN2O2
- Crystal structure of 2,6-di-tert-butyl-4-(4-methoxybenzylidene)cyclohexa-2,5-dien-1-one, C22H28O2
- Crystal structure of [6,6′-(((2,2-dimethylpropane-1,3-diyl)bis(azanylylidene))bis(methanylylidene))bis(2-chlorophenolato)-κ4N,N′,O,O′]copper(II)
- Crystal structure of 2-chloro-3-((thiophen-2-ylmethyl)amino)naphthalene-1,4-dione, C30H20O4N2Cl2S2
- Crystal structure of bis{hydridotris(3-trifluoromethyl-5-methylpyrazolyl-1-yl)borato-κN 3}manganese(II), C30H26B2F18MnN12
- Crystal structure of 1-(2-methylphenyl)-2-(2-methylbenzo[b]thienyl)-3,3,4,4,5,5-hexafluorocyclopent-ene, C21H14F6S
- Crystal structure of 2-(3-((carbamimidoylthio)methyl)benzyl)isothiouronium hexafluorophosphate monohydrate, C10H17F6N4OPS2
- Crystal structure of 4,5-diiodo-1,3-dimesityl-1H-1,2,3-triazol-3-ium chloride – chloroform (1/1), C21H23Cl4I2N3
- Crystal structure of azido-k1 N-{6,6′-((((methylazanediyl)bis(propane-3,1-diyl))bis(azanylylidene))bis(methanylylidene))bis(2,4-dibromophenolato)k5 N,N′,N″,O,O′}cobalt(III)-methanol (1/1)), C21H23Br4CoN6O3
- The crystal structure of 2-(4-((carbamimidoylthio)methyl)benzyl)isothiouronium hexafluorophosphate monohydrate, C10H17F6N4OPS2
- Crystal structure of 1,1′-(methane-1,1-diyl)bis(3-methyl-1H-imidazol-3-ium) bis(hexafluoridophosphate), C9H14F12N4P2
- Crystal structure of (4′E)-6′-(diethylamino)-2-[(E)-[(pyren-1-yl)methylidene]amino]-4′-{2-[(2E)-1,3,3-trimethyl-2,3-dihydro-1H-indol-2-ylidene]ethylidene}-1′,2,2′,3,3′,4′-hexahydrospiro[isoindole-1,9′-xanthene]-3-one, C54H48N4O2
- Crystal structure of poly[bis(μ2-2,6-bis(1-imidazoly)pyridine-κ2 N,N′)-bis(thiocyanato-κ1 N)copper(II)] dithiocyanate, C24H18CuN12S2
- Cones with a three-fold symmetry constructed from three hydrogen bonded theophyllinium cations that coat [FeCl4]− anions in the crystal structure of tris(theophyllinium) bis(tetrachloridoferrate(III)) chloride trihydrate, C21H33Cl9Fe2N12O9
- Crystal structure of 14-O-[(4-(4-hydroxypiperidine-1-yl)-6-methylpyrimidine-2-yl)thioacetyl]-mutilin monohydrate, C32H49N3O6S
- The crystal structure of (E)-3-chloro-2-(2-(4-methylbenzylidene)hydrazinyl)pyridine, C13H12ClN3
- The crystal structure of 4-phenyl-4-[2-(pyridine-4-carbonyl)hydrazinylidene]butanoic acid, C16H15N3O3
- The crystal structure of 6-amino-5-carboxypyridin-1-ium pentaiodide monohydrate C6H9I5N2O3
- Crystal structure of bis(μ3-oxido)-bis(μ2-2-formylbenzoato-k2O:O′)-bis(2-(dimethoxymethyl)-benzoato-κO)-oktakismethyl-tetratin(IV)
- Crystal structure of 2-((E)-(((E)-2-hydroxy-4-methylbenzylidene) hydrazineylidene)methyl)-4-methylphenol, C16H16N2O2
- Crystal structure of (E)-amino(2-((5-methylfuran-2-yl)methylene)hydrazinyl) methaniminium nitrate monohydrate, C14H26N10O10
- The crystal structure of N′-(2-chloro-6-hydroxybenzylidene)thiophene-2-carbohydrazide monohydrate, C12H11ClN2O3S
- Crystal structure of catena-poly[(μ2-1,1′-(biphenyl-4,4′-diyl)bis(1H-imidazol)-κ2N:N′)-bis(4-bromobenzoate-κ1O)zinc(II)], C64H44Br4N8O8Zn2
- The crystal structure of catena-poly[(1-(4-carboxybenzyl)pyridin-1-ium-4-carboxylato-κ1O)-(μ2-oxalato-κ4 O:O′:O″:O‴)dioxidouranium(VI)], C16H11NO10U
- Crystal structure of 3-allyl-4-(2-bromoethyl)-5-(4-methoxyphenyl)-2-phenylfuran, C22H21BrO2
- Halogen bonds in the crystal structure of 4,3′:5′,4″-terpyridine — 1,3-diiodotetrafluorobenzene (1/1), C21H11F4I2N3
- Crystal structure of 2-(1H-indol-3-yl)ethan-1-aminium 2-(4-acetylphenoxy)acetate, C20H22N2O4
- Chalcogen bonds in the crystal structure of 4,7-dibromo-2,1,3-benzoselenadiazole, C6H2Br2N2Se
- The crystal structure of 1,4-bis((1H-benzimidazol-2-yl)methyl)-piperazine-2,5-dione dihydrate, C20H22N6O4
- The crystal structure of C19H20O8
- The crystal structure of KNa3Te8O18·5H2O exhibiting a ∞2[Te4O9]2− layer
- Erratum
- Erratum to: Crystal structure of (Z)-3-(6-bromo-1H-indol-3-yl)-1,3-diphenylprop-2-en-1-one, C23H16BrNO
Articles in the same Issue
- Frontmatter
- New Crystal Structures
- Crystal structure of (E)-7-hydroxy-2-((6-methoxypyridin-3-yl)methylene)-3, 4-dihydronaphthalen-1(2H)-one, C17H15NO3
- Crystal structure of (E)-7-methoxy-2-((2-methoxypyridin-3-yl)methylene)-3,4-dihydronaphthalen-1 (2H)-one, C18H17NO3
- The crystal structure of N 6,N 6′-di(pyridin-2-yl)-[2,2′-bipyridine]-6,6′-diamine, C20H16N6
- The crystal structure of {N 1,N 2-bis[2,4-dimethyl-6-(4-(tert-butyl)phenyl)(phenyl)methyl]acenaphthylene-1,2-diimino-κ2 N, N′}-dibromido-nickel(II) – dichloromethane(1/2), C64H64Br2Cl4N2Ni
- Synthesis and crystal structure of nonacarbonyltris[(2-thia-1,3,5-triaza-7-phosphatricylco[3.3.1.1]decane-κ1 P)-2,2-dioxide]triruthenium(0) – acetonitrile (7/6), C25.71H32.57N9.86O15P3S3Ru3
- A new polymorph of 1-(4-nitrophenyl)-1H-benzimidazole (C13H9N3O2)
- The crystal structure of 2,2′-((1E,1′E)-(naphthalene-2,3 diylbis(azanylylidene)) bis(methanylylidene))bis(4-methylphenol), C26H22N2O2
- The crystal structure of bis(μ2-iodido)-bis(η6-benzene)-bis(iodido)-diosmium(II), C12H12I4Os2
- Redetermination of the crystal structure of bis{hydridotris(3,5-dimethylpyrazol-1-yl-κN 3)borato}copper(II), C30H44B2CuN12
- Crystal structure of (E)-3-((4-(tert-butyl)phenyl)thio)-4-hydroxypent-3-en-2-one, C15H20O2S
- Crystal structure of 2,2′-(p-tolylazanediyl)bis(1-phenylethan-1-one), C23H21NO2
- Redetermination of the crystal structure of the crystal sponge the poly[tetrakis(μ3-2,4,6-tris(pyridin-4-yl)-1,3,5-triazine)-dodecaiodidohexazinc(II) nitrobenzene solvate], C72H48I12N24Zn6⋅10(C6H5NO2)
- Crystal structure of (4′E)-6′-(diethylamino)-2-[(E)-[(6-methylpyridin-2-yl)methylidene]amino]-4′-{2-[(2E)-1,3,3-trimethyl-2,3-dihydro-1H-indol-2-ylidene]ethylidene}-1′,2,2′,3,3′,4′-hexahydrospiro[isoindole-1,9′-xanthene]-3-one, C44H45N5O2
- Crystal structure of (E)-7-fluoro-2-(3-fluorobenzylidene)-3,4-dihydronaphthalen-1(2H)-one, C17H12F2O1
- Crystal structure of tetrabutylammonium sulfanilate – 1-(diaminomethylene)thiourea (1/2)
- Crystal structure of [2,2′-{azanediyl)bis[(propane-3,1-diyl)(azanylylidene)methylylidene]} bis(3,5-dichlorophenolato)-κ2O,O′]-isothiocyanato-κN-iron(III), C21H19Cl4FeN4O2S
- Crystal structure of (4-chlorophenyl)(4-hydroxyphenyl)methanone, C13H9ClO2
- Crystal structure of 6,6′-((pentane-1,3-diylbis(azaneylylidene))bis(methaneylylidene))bis(2,4-dibromolphenolato-κ4 N,N′,O,O′)copper(II),) C19H16Br4CuN2O2
- Chlorido-(2,2′-(ethane-bis(5-methoxyphenolato))-κ4 N,N′,O,O′)manganese(III) monohydrate, C19H18Cl2CuN2O2
- Crystal structure of 2,6-di-tert-butyl-4-(4-methoxybenzylidene)cyclohexa-2,5-dien-1-one, C22H28O2
- Crystal structure of [6,6′-(((2,2-dimethylpropane-1,3-diyl)bis(azanylylidene))bis(methanylylidene))bis(2-chlorophenolato)-κ4N,N′,O,O′]copper(II)
- Crystal structure of 2-chloro-3-((thiophen-2-ylmethyl)amino)naphthalene-1,4-dione, C30H20O4N2Cl2S2
- Crystal structure of bis{hydridotris(3-trifluoromethyl-5-methylpyrazolyl-1-yl)borato-κN 3}manganese(II), C30H26B2F18MnN12
- Crystal structure of 1-(2-methylphenyl)-2-(2-methylbenzo[b]thienyl)-3,3,4,4,5,5-hexafluorocyclopent-ene, C21H14F6S
- Crystal structure of 2-(3-((carbamimidoylthio)methyl)benzyl)isothiouronium hexafluorophosphate monohydrate, C10H17F6N4OPS2
- Crystal structure of 4,5-diiodo-1,3-dimesityl-1H-1,2,3-triazol-3-ium chloride – chloroform (1/1), C21H23Cl4I2N3
- Crystal structure of azido-k1 N-{6,6′-((((methylazanediyl)bis(propane-3,1-diyl))bis(azanylylidene))bis(methanylylidene))bis(2,4-dibromophenolato)k5 N,N′,N″,O,O′}cobalt(III)-methanol (1/1)), C21H23Br4CoN6O3
- The crystal structure of 2-(4-((carbamimidoylthio)methyl)benzyl)isothiouronium hexafluorophosphate monohydrate, C10H17F6N4OPS2
- Crystal structure of 1,1′-(methane-1,1-diyl)bis(3-methyl-1H-imidazol-3-ium) bis(hexafluoridophosphate), C9H14F12N4P2
- Crystal structure of (4′E)-6′-(diethylamino)-2-[(E)-[(pyren-1-yl)methylidene]amino]-4′-{2-[(2E)-1,3,3-trimethyl-2,3-dihydro-1H-indol-2-ylidene]ethylidene}-1′,2,2′,3,3′,4′-hexahydrospiro[isoindole-1,9′-xanthene]-3-one, C54H48N4O2
- Crystal structure of poly[bis(μ2-2,6-bis(1-imidazoly)pyridine-κ2 N,N′)-bis(thiocyanato-κ1 N)copper(II)] dithiocyanate, C24H18CuN12S2
- Cones with a three-fold symmetry constructed from three hydrogen bonded theophyllinium cations that coat [FeCl4]− anions in the crystal structure of tris(theophyllinium) bis(tetrachloridoferrate(III)) chloride trihydrate, C21H33Cl9Fe2N12O9
- Crystal structure of 14-O-[(4-(4-hydroxypiperidine-1-yl)-6-methylpyrimidine-2-yl)thioacetyl]-mutilin monohydrate, C32H49N3O6S
- The crystal structure of (E)-3-chloro-2-(2-(4-methylbenzylidene)hydrazinyl)pyridine, C13H12ClN3
- The crystal structure of 4-phenyl-4-[2-(pyridine-4-carbonyl)hydrazinylidene]butanoic acid, C16H15N3O3
- The crystal structure of 6-amino-5-carboxypyridin-1-ium pentaiodide monohydrate C6H9I5N2O3
- Crystal structure of bis(μ3-oxido)-bis(μ2-2-formylbenzoato-k2O:O′)-bis(2-(dimethoxymethyl)-benzoato-κO)-oktakismethyl-tetratin(IV)
- Crystal structure of 2-((E)-(((E)-2-hydroxy-4-methylbenzylidene) hydrazineylidene)methyl)-4-methylphenol, C16H16N2O2
- Crystal structure of (E)-amino(2-((5-methylfuran-2-yl)methylene)hydrazinyl) methaniminium nitrate monohydrate, C14H26N10O10
- The crystal structure of N′-(2-chloro-6-hydroxybenzylidene)thiophene-2-carbohydrazide monohydrate, C12H11ClN2O3S
- Crystal structure of catena-poly[(μ2-1,1′-(biphenyl-4,4′-diyl)bis(1H-imidazol)-κ2N:N′)-bis(4-bromobenzoate-κ1O)zinc(II)], C64H44Br4N8O8Zn2
- The crystal structure of catena-poly[(1-(4-carboxybenzyl)pyridin-1-ium-4-carboxylato-κ1O)-(μ2-oxalato-κ4 O:O′:O″:O‴)dioxidouranium(VI)], C16H11NO10U
- Crystal structure of 3-allyl-4-(2-bromoethyl)-5-(4-methoxyphenyl)-2-phenylfuran, C22H21BrO2
- Halogen bonds in the crystal structure of 4,3′:5′,4″-terpyridine — 1,3-diiodotetrafluorobenzene (1/1), C21H11F4I2N3
- Crystal structure of 2-(1H-indol-3-yl)ethan-1-aminium 2-(4-acetylphenoxy)acetate, C20H22N2O4
- Chalcogen bonds in the crystal structure of 4,7-dibromo-2,1,3-benzoselenadiazole, C6H2Br2N2Se
- The crystal structure of 1,4-bis((1H-benzimidazol-2-yl)methyl)-piperazine-2,5-dione dihydrate, C20H22N6O4
- The crystal structure of C19H20O8
- The crystal structure of KNa3Te8O18·5H2O exhibiting a ∞2[Te4O9]2− layer
- Erratum
- Erratum to: Crystal structure of (Z)-3-(6-bromo-1H-indol-3-yl)-1,3-diphenylprop-2-en-1-one, C23H16BrNO