Home Crystal structure of catena-poly[(μ2-1,1′-(biphenyl-4,4′-diyl)bis(1H-imidazol)-κ2N:N′)-bis(4-bromobenzoate-κ1O)zinc(II)], C64H44Br4N8O8Zn2
Article Open Access

Crystal structure of catena-poly[(μ2-1,1′-(biphenyl-4,4-diyl)bis(1H-imidazol)-κ2N:N′)-bis(4-bromobenzoate-κ1O)zinc(II)], C64H44Br4N8O8Zn2

  • Xiao-Hui Bai , Yan Xing and Si-Jie Liu ORCID logo EMAIL logo
Published/Copyright: December 14, 2021

Abstract

C64H44Br4N8O8Zn2, monoclinic, P21/c (No. 14), a = 6.6263(5) Å, b = 24.355(2) Å, c = 18.2418(15) Å, β = 96.433(2)°, V = 2925.4(4) Å3, Z = 2, R gt (F) = 0.0400, wR ref (F2) = 0.1302, T = 296(2) K.

CCDC no.: 2125833

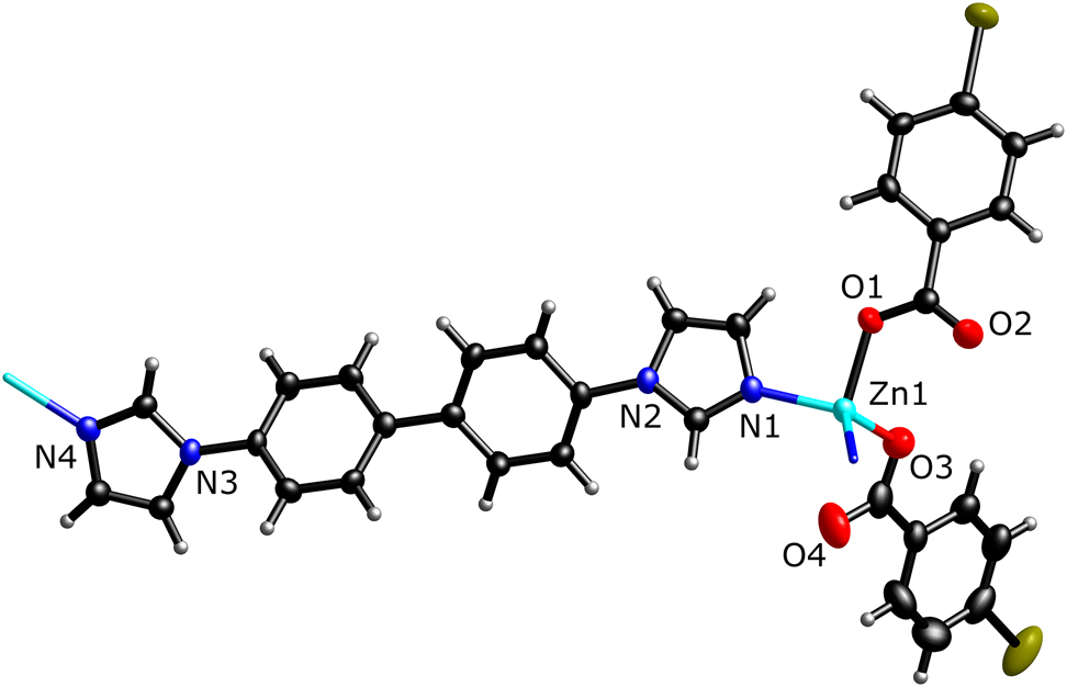
A part of the molecular structure is shown in the figure. Table 1 contains crystallographic data and Table 2 contains the list of the atoms including atomic coordinates and displacement parameters.

Table 1:

Data collection and handling.

Crystal: Colourless block
Size: 0.25 × 0.22 × 0.18 mm
Wavelength: Mo Kα radiation (0.71073 Å)
μ: 3.62 mm−1
Diffractometer, scan mode: Bruker APEX-II, φ and ω
θmax, completeness: 25.0°, >99%
N(hkl)measured, N(hkl)unique, Rint: 14,841, 5141, 0.037
Criterion for Iobs, N(hkl)gt: Iobs > 2 σ(Iobs), 3836
N(param)refined: 388
Programs: Bruker [1], SHELX [2]
Table 2:

Fractional atomic coordinates and isotropic or equivalent isotropic displacement parameters (Å2).

Atom x y z Uiso*/Ueq
Br1 −0.76816 (8) 0.21102 (2) 0.58783 (3) 0.0566 (2)
Br2 −0.57573 (12) 0.44537 (3) −0.11702 (3) 0.0808 (3)
C1 −0.2321 (7) 0.36584 (19) 0.4241 (2) 0.0343 (10)
C2 −0.3587 (6) 0.32803 (17) 0.4660 (2) 0.0291 (9)
C3 −0.2935 (7) 0.27553 (19) 0.4867 (2) 0.0357 (11)
H3 −0.167762 0.263428 0.475150 0.043*
C4 −0.4112 (7) 0.24100 (19) 0.5241 (2) 0.0385 (11)
H4 −0.364248 0.206418 0.539411 0.046*
C5 −0.6016 (7) 0.25912 (19) 0.5382 (2) 0.0365 (11)
C6 −0.6711 (7) 0.31017 (18) 0.5170 (2) 0.0338 (10)
H6 −0.800177 0.321361 0.526105 0.041*
C7 −0.5489 (7) 0.34491 (18) 0.4820 (2) 0.0336 (10)
H7 −0.594245 0.380086 0.469009 0.040*
C8 −0.0570 (8) 0.3985 (2) 0.1799 (3) 0.0453 (13)
C9 −0.1857 (7) 0.41048 (19) 0.1077 (3) 0.0363 (11)
C10 −0.3933 (7) 0.4026 (2) 0.0995 (3) 0.0445 (12)
H10 −0.456723 0.390002 0.139269 0.053*
C11 −0.5083 (8) 0.4132 (2) 0.0330 (3) 0.0540 (14)
H11 −0.648037 0.407698 0.028133 0.065*
C12 −0.4169 (9) 0.4318 (2) −0.0250 (3) 0.0531 (14)
C13 −0.2115 (10) 0.4412 (2) −0.0189 (3) 0.0621 (16)
H13 −0.150119 0.454539 −0.058661 0.074*
C14 −0.0981 (8) 0.4303 (2) 0.0478 (3) 0.0596 (15)
H14 0.041209 0.436445 0.052412 0.071*
C15 0.4202 (6) 0.29685 (17) 0.2894 (2) 0.0313 (10)
H15 0.494078 0.322288 0.265287 0.038*
C16 0.1879 (7) 0.25870 (17) 0.3451 (3) 0.0353 (11)
H16 0.068910 0.253858 0.366899 0.042*
C17 0.3279 (7) 0.21989 (18) 0.3396 (2) 0.0350 (11)
H17 0.324499 0.183837 0.356265 0.042*
C18 0.6530 (6) 0.21531 (17) 0.2829 (2) 0.0287 (10)
C19 0.7298 (6) 0.17200 (18) 0.3265 (2) 0.0345 (10)
H19 0.681428 0.165228 0.371588 0.041*
C20 0.8787 (7) 0.13883 (18) 0.3027 (3) 0.0361 (11)
H20 0.927446 0.109257 0.331723 0.043*
C21 0.9571 (6) 0.14865 (17) 0.2366 (2) 0.0299 (10)
C22 0.8835 (7) 0.19386 (19) 0.1961 (2) 0.0341 (10)
H22 0.937485 0.202149 0.152446 0.041*
C23 0.7326 (7) 0.22711 (18) 0.2182 (2) 0.0347 (11)
H23 0.685449 0.257108 0.189772 0.042*
C24 1.1159 (6) 0.11215 (16) 0.2118 (2) 0.0282 (9)
C25 1.1064 (6) 0.05530 (18) 0.2193 (3) 0.0333 (10)
H25 0.998225 0.040017 0.240601 0.040*
C26 1.2522 (6) 0.02102 (18) 0.1962 (2) 0.0345 (11)
H26 1.240297 −0.016892 0.200052 0.041*
C27 1.4168 (6) 0.04417 (16) 0.1673 (2) 0.0270 (9)
C28 1.4328 (7) 0.10033 (17) 0.1597 (2) 0.0340 (10)
H28 1.544067 0.115435 0.140126 0.041*
C29 1.2816 (6) 0.13409 (17) 0.1814 (2) 0.0310 (10)
H29 1.291190 0.171898 0.175584 0.037*
C30 1.6501 (6) −0.03478 (16) 0.1826 (2) 0.0305 (10)
H30 1.606079 −0.047450 0.226169 0.037*
C31 1.6783 (7) 0.01509 (18) 0.0844 (2) 0.0341 (10)
H31 1.659815 0.042244 0.048429 0.041*
C32 1.8123 (7) −0.02684 (18) 0.0872 (3) 0.0357 (11)
H32 1.902534 −0.033593 0.052666 0.043*
N1 0.2452 (5) 0.30712 (14) 0.31357 (19) 0.0294 (8)
N2 0.4797 (5) 0.24438 (14) 0.30403 (18) 0.0287 (8)
N3 1.5745 (5) 0.00971 (14) 0.14526 (19) 0.0294 (8)
N4 1.7946 (5) −0.05807 (13) 0.1492 (2) 0.0305 (8)
O1 −0.0915 (5) 0.34167 (13) 0.39403 (18) 0.0454 (9)
O2 −0.2708 (5) 0.41479 (14) 0.4199 (2) 0.0586 (10)
O3 −0.1497 (5) 0.38258 (14) 0.23303 (19) 0.0482 (9)
O4 0.1289 (5) 0.40361 (18) 0.1836 (2) 0.0648 (11)
Zn1 0.05911 (7) 0.37310 (2) 0.31760 (3) 0.02964 (16)

Source of material

The mixture of Zn(NO3)2⋅6H2O (1 mmol, 297.5 mg), 1,1′-(biphenyl-4,4′-diyl)bis(1H-imidazol) (bibp) (1 mmol, 286.3 mg), 4-bromobenzoic acid (2 mmol, 402.0 mg), dimethylformamide (1 mL) and H2O (3 mL) were placed in a 10 mL Teflon-lined autoclave at 373 K for 72 h, then cooled to room temperature. Colourless block crystals were obtained.

Experimental details

The hydrogen atoms were positioned geometrically with C–H = 0.93 Å. Their Uiso values were set to be 1.2Ueq of the parent atoms.

Comment

As an imidazole derivative, 1,1′-(biphenyl-4,4′-diyl)bis (1H-imidazol) (bibp) is a good neutral N-donor organic ligand to construct coordination polymers because of its versatile coordination modes [3], [4], [5], [6], [7], [8], [9], [10], [11]. In order to expand this research area, the title compound based on bibp ligand and the auxiliary ligand 4-bromobenzoic acid (BBA) was synthesised and its crystal structure determined.

In the title compound, the fundamental unit contains one Zn(II) cation, one bibp ligand, and two 4-bromobenzoate ligands. The Zn(II) cation is four coordinated by two O atoms from two crystallographically independent 4-bromobenzoate ligands (Zn–O = 1.959(3)–1.967(3) Å), and two N atoms from two symmetry related bibp ligands (Zn–N = 1.996(3)–2.032(3) Å), forming a distorted tetrahedral geometry (see the figure). Geometric parameters are all in the expected ranges [12]. The bridging bibp ligands link adjacent Zn(II) cations to form a chain structure with the Zn–Zn distance of 17.797 Å along the b axis.


Corresponding author: Si-Jie Liu, College of Chemical Engineering, Shijiazhuang University, 050035, Shijiazhuang, Hebei, People’s Republic of China, E-mail:

Funding source: Yulin Science and Technology Bureau

Award Identifier / Grant number: 2019-83-3

Award Identifier / Grant number: 2019-83-5

Funding source: Natural Science Youth Foundation of Hebei Province

Award Identifier / Grant number: H2018106015

  1. Author contributions: All the authors have accepted responsibility for the entire content of this submitted manuscript and approved submission.

  2. Research funding: This work was financial supported by research project of Yulin Science and Technology Bureau (2019-83-3 and 2019-83-5) and Natural Science Youth Foundation of Hebei Province (H2018106015).

  3. Conflict of interest statement: The authors declare no conflicts of interest regarding this article.

References

1. Bruker. APEX2, SAINT and SADABS; Bruker AXS Inc.: Madison, Wisconsin, USA, 2008.Search in Google Scholar

2. Sheldrick, G. M. A short history of SHELX. Acta Crystallogr. 2008, A64, 112–122; https://doi.org/10.1107/s0108767307043930.Search in Google Scholar

3. Li, H., Han, X., Cao, B. Crystal structure of catena-poly[trans-tetraaqua(μ2-1,1′-(biphenyl-4,4′-diyl)bis(1H-imidazol)-κ2N:N′)cobalt(II)] dinitrate – 1,1′-(biphenyl-4,4′-diyl)bis(1H-imidazol) – water (1/3/2), C72H68CoN18O12. Z. Kristallogr. NCS. 2021, 236, 463–465; https://doi.org/10.1515/ncrs-2020-0572.Search in Google Scholar

4. Yang, X., Ren, Y., Chai, H., Hou, X., Wang, Z., Wang, J. Highly sensitive detection of nitrobenzene by a series of fluorescent 2D zinc(II) metal-organic frameworks with a flexible triangular ligand. RSC Adv. 2021, 11, 23975–23984; https://doi.org/10.1039/d1ra03737d.Search in Google Scholar

5. Fan, C., Xu, C., Zhu, B., Wang, L., Zong, Z., Wu, R., Zhang, X., Fan, Y. New topological Zn metal organic frameworks as multi-responsive fluorescent sensing materials for detecting Fe3+, Cr2O72−, CrO42− and tetracycline in aqueous system. J. Solid State Chem. 2021, 298, 122157; https://doi.org/10.1016/j.jssc.2021.122157.Search in Google Scholar

6. Lozan, V., Makhloufi, G., Druta, V., Bourosh, P., Kravtsov, V.-Ch., Marangoci, N., Heering, C., Janiak, C. Synthesis and structure of zinc(II) and cobalt(II) coordination polymers involving the elongated 2′,3′,5′,6′ tetramethylterphenyl-4,4″-dicarboxylate ligand. Inorg. Chim. Acta 2020, 506, 119500; https://doi.org/10.1016/j.ica.2020.119500.Search in Google Scholar

7. Meng, L., Zhao, L., Guo, G., Liu, X. Multifunctional polymers with interpenetrating structures: luminescent sensing, ECL behaviors, selective detection of Fe3+ ion and rapid removal of anionic dyes. New J. Chem. 2020, 44, 9025–9036; https://doi.org/10.1039/d0nj01066a.Search in Google Scholar

8. Fan, C., Zhang, X., Li, N., Xu, C., Wu, R., Zhu, B., Zhang, G., Bi, S., Fan, Y. Zn-MOFs based luminescent sensors for selective and highly sensitive detection of Fe3+ and tetracycline antibiotic. J. Pharmaceut. Biomed. Anal. 2020, 188, 113444; https://doi.org/10.1016/j.jpba.2020.113444.Search in Google Scholar

9. Voda, I., Makhloufi, G., Druta, V., Lozan, V., Shova, S., Bourosh, P., Kravtsov, V., Janiak, C. Mixed-ligand coordination compounds based on the rigid 4,4′-bis(1-imidazolyl)biphenyl and pyridinedicarboxylate ligands. Inorg. Chim. Acta 2018, 482, 526–534; https://doi.org/10.1016/j.ica.2018.06.038.Search in Google Scholar

10. Zhu, Z., Meng, X., Zhang, D., Zhang, X., Wang, M., Jin, F., Fan, Y. Syntheses, structures and selective dye adsorption of five formic-based coordination polymers prepared by in-situ hydrolysis of N,N′-dimethylformamide. J. Solid State Chem. 2017, 248, 109–118; https://doi.org/10.1016/j.jssc.2017.01.027.Search in Google Scholar

11. Ning, Y.-X., Fan, W., Xie, G. catena-poly[[(dichloridozinc)-μ-4,4′-bis(1H-imidazol-1-yl)biphenyl-κ2N3:N3′] 0.25 -hydrate]. Acta Crystallogr. 2012, E68, m406; https://doi.org/10.1107/s1600536812009543.Search in Google Scholar

12. Liu, G.-Z., Chen, H.-T., Zhang, X.-T. Syntheses, crystal structures, and fluorescence properties of three coordination polymers constructed based on benzoic acid and its derivatives. Huaxue J. 2017, 36, 2058; https://doi.org/10.14102/j.cnki.0254–5861.2011–1727.Search in Google Scholar

Received: 2021-10-24
Accepted: 2021-12-02
Published Online: 2021-12-14
Published in Print: 2022-02-23

© 2021 Xiao-Hui Bai et al., published by De Gruyter, Berlin/Boston

This work is licensed under the Creative Commons Attribution 4.0 International License.

Articles in the same Issue

  1. Frontmatter
  2. New Crystal Structures
  3. Crystal structure of (E)-7-hydroxy-2-((6-methoxypyridin-3-yl)methylene)-3, 4-dihydronaphthalen-1(2H)-one, C17H15NO3
  4. Crystal structure of (E)-7-methoxy-2-((2-methoxypyridin-3-yl)methylene)-3,4-dihydronaphthalen-1 (2H)-one, C18H17NO3
  5. The crystal structure of N 6,N 6′-di(pyridin-2-yl)-[2,2′-bipyridine]-6,6′-diamine, C20H16N6
  6. The crystal structure of {N 1,N 2-bis[2,4-dimethyl-6-(4-(tert-butyl)phenyl)(phenyl)methyl]acenaphthylene-1,2-diimino-κ2 N, N′}-dibromido-nickel(II) – dichloromethane(1/2), C64H64Br2Cl4N2Ni
  7. Synthesis and crystal structure of nonacarbonyltris[(2-thia-1,3,5-triaza-7-phosphatricylco[3.3.1.1]decane-κ1 P)-2,2-dioxide]triruthenium(0) – acetonitrile (7/6), C25.71H32.57N9.86O15P3S3Ru3
  8. A new polymorph of 1-(4-nitrophenyl)-1H-benzimidazole (C13H9N3O2)
  9. The crystal structure of 2,2′-((1E,1′E)-(naphthalene-2,3 diylbis(azanylylidene)) bis(methanylylidene))bis(4-methylphenol), C26H22N2O2
  10. The crystal structure of bis(μ2-iodido)-bis(η6-benzene)-bis(iodido)-diosmium(II), C12H12I4Os2
  11. Redetermination of the crystal structure of bis{hydridotris(3,5-dimethylpyrazol-1-yl-κN 3)borato}copper(II), C30H44B2CuN12
  12. Crystal structure of (E)-3-((4-(tert-butyl)phenyl)thio)-4-hydroxypent-3-en-2-one, C15H20O2S
  13. Crystal structure of 2,2′-(p-tolylazanediyl)bis(1-phenylethan-1-one), C23H21NO2
  14. Redetermination of the crystal structure of the crystal sponge the poly[tetrakis(μ3-2,4,6-tris(pyridin-4-yl)-1,3,5-triazine)-dodecaiodidohexazinc(II) nitrobenzene solvate], C72H48I12N24Zn6⋅10(C6H5NO2)
  15. Crystal structure of (4′E)-6′-(diethylamino)-2-[(E)-[(6-methylpyridin-2-yl)methylidene]amino]-4′-{2-[(2E)-1,3,3-trimethyl-2,3-dihydro-1H-indol-2-ylidene]ethylidene}-1′,2,2′,3,3′,4′-hexahydrospiro[isoindole-1,9′-xanthene]-3-one, C44H45N5O2
  16. Crystal structure of (E)-7-fluoro-2-(3-fluorobenzylidene)-3,4-dihydronaphthalen-1(2H)-one, C17H12F2O1
  17. Crystal structure of tetrabutylammonium sulfanilate – 1-(diaminomethylene)thiourea (1/2)
  18. Crystal structure of [2,2′-{azanediyl)bis[(propane-3,1-diyl)(azanylylidene)methylylidene]} bis(3,5-dichlorophenolato)-κ2O,O′]-isothiocyanato-κN-iron(III), C21H19Cl4FeN4O2S
  19. Crystal structure of (4-chlorophenyl)(4-hydroxyphenyl)methanone, C13H9ClO2
  20. Crystal structure of 6,6′-((pentane-1,3-diylbis(azaneylylidene))bis(methaneylylidene))bis(2,4-dibromolphenolato-κ4 N,N′,O,O′)copper(II),) C19H16Br4CuN2O2
  21. Chlorido-(2,2′-(ethane-bis(5-methoxyphenolato))-κ4 N,N,O,O′)manganese(III) monohydrate, C19H18Cl2CuN2O2
  22. Crystal structure of 2,6-di-tert-butyl-4-(4-methoxybenzylidene)cyclohexa-2,5-dien-1-one, C22H28O2
  23. Crystal structure of [6,6′-(((2,2-dimethylpropane-1,3-diyl)bis(azanylylidene))bis(methanylylidene))bis(2-chlorophenolato)-κ4N,N′,O,O′]copper(II)
  24. Crystal structure of 2-chloro-3-((thiophen-2-ylmethyl)amino)naphthalene-1,4-dione, C30H20O4N2Cl2S2
  25. Crystal structure of bis{hydridotris(3-trifluoromethyl-5-methylpyrazolyl-1-yl)borato-κN 3}manganese(II), C30H26B2F18MnN12
  26. Crystal structure of 1-(2-methylphenyl)-2-(2-methylbenzo[b]thienyl)-3,3,4,4,5,5-hexafluorocyclopent-ene, C21H14F6S
  27. Crystal structure of 2-(3-((carbamimidoylthio)methyl)benzyl)isothiouronium hexafluorophosphate monohydrate, C10H17F6N4OPS2
  28. Crystal structure of 4,5-diiodo-1,3-dimesityl-1H-1,2,3-triazol-3-ium chloride – chloroform (1/1), C21H23Cl4I2N3
  29. Crystal structure of azido-k1 N-{6,6′-((((methylazanediyl)bis(propane-3,1-diyl))bis(azanylylidene))bis(methanylylidene))bis(2,4-dibromophenolato)k5 N,N′,N″,O,O′}cobalt(III)-methanol (1/1)), C21H23Br4CoN6O3
  30. The crystal structure of 2-(4-((carbamimidoylthio)methyl)benzyl)isothiouronium hexafluorophosphate monohydrate, C10H17F6N4OPS2
  31. Crystal structure of 1,1′-(methane-1,1-diyl)bis(3-methyl-1H-imidazol-3-ium) bis(hexafluoridophosphate), C9H14F12N4P2
  32. Crystal structure of (4′E)-6′-(diethylamino)-2-[(E)-[(pyren-1-yl)methylidene]amino]-4′-{2-[(2E)-1,3,3-trimethyl-2,3-dihydro-1H-indol-2-ylidene]ethylidene}-1′,2,2′,3,3′,4′-hexahydrospiro[isoindole-1,9′-xanthene]-3-one, C54H48N4O2
  33. Crystal structure of poly[bis(μ2-2,6-bis(1-imidazoly)pyridine-κ2 N,N′)-bis(thiocyanato-κ1 N)copper(II)] dithiocyanate, C24H18CuN12S2
  34. Cones with a three-fold symmetry constructed from three hydrogen bonded theophyllinium cations that coat [FeCl4] anions in the crystal structure of tris(theophyllinium) bis(tetrachloridoferrate(III)) chloride trihydrate, C21H33Cl9Fe2N12O9
  35. Crystal structure of 14-O-[(4-(4-hydroxypiperidine-1-yl)-6-methylpyrimidine-2-yl)thioacetyl]-mutilin monohydrate, C32H49N3O6S
  36. The crystal structure of (E)-3-chloro-2-(2-(4-methylbenzylidene)hydrazinyl)pyridine, C13H12ClN3
  37. The crystal structure of 4-phenyl-4-[2-(pyridine-4-carbonyl)hydrazinylidene]butanoic acid, C16H15N3O3
  38. The crystal structure of 6-amino-5-carboxypyridin-1-ium pentaiodide monohydrate C6H9I5N2O3
  39. Crystal structure of bis(μ3-oxido)-bis(μ2-2-formylbenzoato-k2O:O′)-bis(2-(dimethoxymethyl)-benzoato-κO)-oktakismethyl-tetratin(IV)
  40. Crystal structure of 2-((E)-(((E)-2-hydroxy-4-methylbenzylidene) hydrazineylidene)methyl)-4-methylphenol, C16H16N2O2
  41. Crystal structure of (E)-amino(2-((5-methylfuran-2-yl)methylene)hydrazinyl) methaniminium nitrate monohydrate, C14H26N10O10
  42. The crystal structure of N′-(2-chloro-6-hydroxybenzylidene)thiophene-2-carbohydrazide monohydrate, C12H11ClN2O3S
  43. Crystal structure of catena-poly[(μ2-1,1′-(biphenyl-4,4-diyl)bis(1H-imidazol)-κ2N:N′)-bis(4-bromobenzoate-κ1O)zinc(II)], C64H44Br4N8O8Zn2
  44. The crystal structure of catena-poly[(1-(4-carboxybenzyl)pyridin-1-ium-4-carboxylato-κ1O)-(μ2-oxalato-κ4 O:O′:O″:O‴)dioxidouranium(VI)], C16H11NO10U
  45. Crystal structure of 3-allyl-4-(2-bromoethyl)-5-(4-methoxyphenyl)-2-phenylfuran, C22H21BrO2
  46. Halogen bonds in the crystal structure of 4,3′:5′,4″-terpyridine — 1,3-diiodotetrafluorobenzene (1/1), C21H11F4I2N3
  47. Crystal structure of 2-(1H-indol-3-yl)ethan-1-aminium 2-(4-acetylphenoxy)acetate, C20H22N2O4
  48. Chalcogen bonds in the crystal structure of 4,7-dibromo-2,1,3-benzoselenadiazole, C6H2Br2N2Se
  49. The crystal structure of 1,4-bis((1H-benzimidazol-2-yl)methyl)-piperazine-2,5-dione dihydrate, C20H22N6O4
  50. The crystal structure of C19H20O8
  51. The crystal structure of KNa3Te8O18·5H2O exhibiting a 2[Te4O9]2− layer
  52. Erratum
  53. Erratum to: Crystal structure of (Z)-3-(6-bromo-1H-indol-3-yl)-1,3-diphenylprop-2-en-1-one, C23H16BrNO
Downloaded on 9.11.2025 from https://www.degruyterbrill.com/document/doi/10.1515/ncrs-2021-0413/html
Scroll to top button