Abstract
C18H17NO3, triclinic,
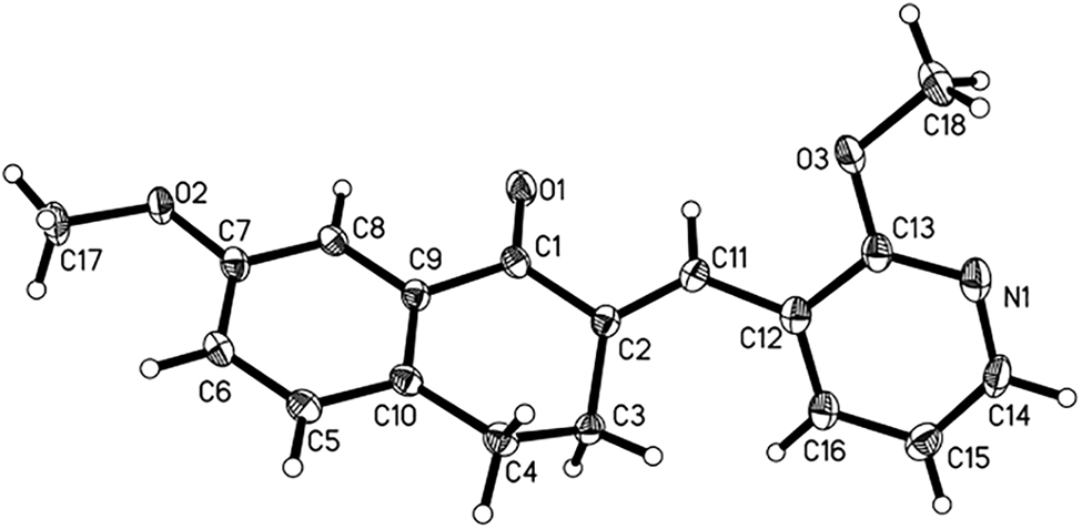
The crystal structure is shown in Figure 1. Displacement ellipsoids are drawn at the 40% probability level.

Tables 1 and 2 contain details on crystal structure and measurement conditions and a list of the atoms including atomic coordinates and displacement parameters.
Data collection and handling.
| Crystal: | Block, colourless |
| Size: | 0.14 × 0.12 × 0.11 mm |
| Wavelength: | Mo Kα radiation (0.71073 Å) |
| μ: | 0.09 mm−1 |
| Diffractometer, scan mode: | SuperNova, ω-scans |
| θmax, completeness: | 25.5°, >99% |
| N(hkl)measured, N(hkl)unique, Rint: | 4744, 2669, 0.037 |
| Criterion for Iobs, N(hkl)gt: | Iobs > 2 σ(Iobs), 2005 |
| N(param)refined: | 201 |
| Programs: | CyrsAlisPRO[1], SHELX [2, 3] |
Fractional atomic coordinates and isotropic or equivalent isotropic displacement parameters (Å2).
| x | y | z | Uiso*/Ueq | |
|---|---|---|---|---|
| C1 | 0.4910 (3) | 0.1203 (2) | 0.86985 (15) | 0.0217 (5) |
| C2 | 0.6695 (3) | 0.1701 (2) | 0.83660 (14) | 0.0206 (5) |
| C3 | 0.8186 (3) | 0.2572 (2) | 0.92903 (14) | 0.0230 (5) |
| H3A | 0.916215 | 0.311075 | 0.899584 | 0.028* |
| H3B | 0.866031 | 0.168400 | 0.956701 | 0.028* |
| C4 | 0.7525 (3) | 0.3980 (2) | 1.02558 (15) | 0.0248 (5) |
| H4A | 0.844833 | 0.433154 | 1.088648 | 0.030* |
| H4B | 0.736184 | 0.500820 | 1.003028 | 0.030* |
| C5 | 0.5290 (3) | 0.4166 (2) | 1.16872 (15) | 0.0252 (5) |
| H5 | 0.610263 | 0.503446 | 1.220032 | 0.030* |
| C6 | 0.3648 (3) | 0.3714 (2) | 1.20108 (15) | 0.0242 (5) |
| H6 | 0.336584 | 0.427547 | 1.272925 | 0.029* |
| C7 | 0.2402 (3) | 0.2406 (2) | 1.12574 (14) | 0.0223 (5) |
| C8 | 0.2868 (3) | 0.1579 (2) | 1.01896 (14) | 0.0200 (5) |
| H8 | 0.205669 | 0.069967 | 0.968295 | 0.024* |
| C9 | 0.4529 (3) | 0.2054 (2) | 0.98746 (14) | 0.0199 (5) |
| C10 | 0.5788 (3) | 0.3375 (2) | 1.06188 (14) | 0.0219 (5) |
| C11 | 0.6814 (3) | 0.1399 (2) | 0.72671 (15) | 0.0228 (5) |
| H11 | 0.576011 | 0.088912 | 0.679913 | 0.027* |
| C12 | 0.8379 (3) | 0.1768 (2) | 0.67181 (15) | 0.0244 (5) |
| C13 | 0.8157 (3) | 0.2338 (2) | 0.57687 (15) | 0.0255 (5) |
| C14 | 1.1129 (3) | 0.2358 (3) | 0.55114 (16) | 0.0329 (5) |
| H14 | 1.206928 | 0.255827 | 0.510601 | 0.039* |
| C15 | 1.1523 (3) | 0.1801 (3) | 0.64078 (16) | 0.0327 (6) |
| H15 | 1.269939 | 0.162890 | 0.660508 | 0.039* |
| C16 | 1.0129 (3) | 0.1501 (2) | 0.70131 (16) | 0.0274 (5) |
| H16 | 1.036791 | 0.111721 | 0.762329 | 0.033* |
| C17 | 0.0170 (3) | 0.2766 (3) | 1.25498 (15) | 0.0336 (6) |
| H17A | 0.093695 | 0.256182 | 1.312615 | 0.050* |
| H17B | −0.105858 | 0.233022 | 1.258028 | 0.050* |
| H17C | 0.025292 | 0.400834 | 1.265831 | 0.050* |
| C18 | 0.6192 (4) | 0.3032 (3) | 0.44516 (16) | 0.0382 (6) |
| H18A | 0.694018 | 0.410383 | 0.452263 | 0.057* |
| H18B | 0.494655 | 0.318511 | 0.431122 | 0.057* |
| H18C | 0.651981 | 0.209287 | 0.384248 | 0.057* |
| N1 | 0.9453 (3) | 0.2634 (2) | 0.51818 (13) | 0.0315 (5) |
| O1 | 0.3738 (2) | 0.01520 (17) | 0.80264 (10) | 0.0309 (4) |
| O2 | 0.0733 (2) | 0.18705 (16) | 1.14835 (10) | 0.0259 (4) |
| O3 | 0.6447 (2) | 0.26042 (17) | 0.54699 (10) | 0.0305 (4) |
Source of material
Five milliliters of sodium hydroxide aqueous solution (25%) was added dropwise to the mixture of 7-methoxy-1-tetralone and 2-methoxynicotinaldehyde in 10 mL methanol and stirred at room temperature for 3 h. The in process-control was monitored by silica gel thin layer chromatography (TLC, 254 nm). When the reaction was finished, the precipitate was filtered from the reaction mixture and dissolved with ethyl acetone. The organic phase was washed with water and brine in turn, and dried over anhydrous sodium sulfate. After filtration and concentration in vacuo to yield a white solid, which was purified by silica-gel column chromatography (petroleum ether: ethyl acetate = 1:2, v/v). Suitable crystals of the title compound were obtained by recrystallization in dichloromethane and methanol (1:2, v/v) system and dried under vacuo at 75 °C for 3 h.
Experimental details
The H atoms were placed in idealized positions and treated as riding on their parent atoms, with d (C–H) = 0.97 Å (methylene), Uiso(H) = 1.2Ueq(C), and d(C–H) = 0.93 Å (aromatic), Uiso(H) = 1.2Ueq(C).
Comment
At present, 3,4-dihydronaphthalen-1(2H)-one (DHN) derivatives with anti-tumor and anti-inflammatory activities have been used as novel allergic and inflammatory responses modifiers [4, 5] and as a potential tyrosinase inhibitor for the treatment of pigmentation disorders [6]. However, DHN derivatives are rarely developed as anti-neuroinflammatory drugs. Thus the synthesis and crystal structure of novel benzylidene-substituted DHN derivatives with anti-neuroinflammatory activities are of great significance. Our group also synthesized some of these compounds in the early stage, and studied their anti-neuroinflammatory activity [7], [8], [9]. In this study, we designed and synthesized a new DHN derivative through Claisen–Schmidt condensation reaction.
Single-crystal structure analysis revealed that the title compound crystallized in the triclinic space group
Funding source: Science and Technology Innovation Development Plan of Yantai
Award Identifier / Grant number: 2020XDRH105
Funding source: National Natural Science Foundation of China
Award Identifier / Grant number: 81473104
-
Author contributions: All the authors have accepted responsibility for the entire content of this submitted manuscript and approved submission.
-
Research funding: This work was supported by Science and Technology Innovation Development Plan of Yantai (No. 2020XDRH105) and the National Natural Science Foundation of China (No. 81473104).
-
Conflict of interest statement: The authors declare no conflicts of interest regarding this article.
References
1. Rigaku OD. CrysAlisPRO; Rigaku Oxford Diffraction Ltd: Yarnton, Oxfordshire, England, 2017.Search in Google Scholar
2. Sheldrick, G. M. A short history of SHELX. Acta Crystallogr. 2008, A64, 112–122; https://doi.org/10.1107/s0108767307043930.Search in Google Scholar
3. Sheldrick, G. M. Crystal structure refinement with SHELXL. Acta Crystallogr. 2015, C71, 3–8; https://doi.org/10.1107/s2053229614024218.Search in Google Scholar
4. Barlow, J. W., Zhang, T., Woods, O., Byrne, A. J., Walsh, J. J. Novel mast cell-stabilising amine derivatives of 3,4-dihydronaphthalen-1(2H)-one and 6,7,8,9-tetrahydro-5H-benzo[7]annulen-5-one. Med. Chem. 2011, 7, 213–223; https://doi.org/10.2174/157340611795564222.Search in Google Scholar
5. Kirby, A. J., Le, L. R., Maharlouie, F., Mason, P., Nicholls, P. J., Smith, H. J., Simons, C. Inhibition of retinoic acid metabolising enzymes by 2-(4-aminophenylmethyl)-6-hydroxy-3,4-dihydronaphthalen-1(2H)-one and related compounds. J. Enzym. Inhib. Med. Chem. 2003, 18, 27–33; https://doi.org/10.1080/1475636021000049221.Search in Google Scholar
6. Ryu, I., Choi, I., Ullah, S., Choi, H., Chun, P., Moon, H. R. Tyrosinase inhibitory effects of derivatives of (E)-2-(substituted benzylidene)-3,4-dihydronaphthalen-1(2H)-one. Bull. Kor. Chem. Soc. 2020, 41, 1134–1139; https://doi.org/10.1002/bkcs.12122.Search in Google Scholar
7. Zhao, S. N., Sun, Z. H., Shan, G. Z., Meng, Q. G. Crystal structure of (E)-7-fluoro-2-(4-methoxy-2(trifluoromethyl)benzylidene)-3,4-dihydronaphthalen-1(2H)-one, C19H14F4O2. Z. Kristallogr. N. Cryst. Struct. 2021, 236, 1059–1061.10.1515/ncrs-2020-0484Search in Google Scholar
8. Luan, M. Z., Wang, H. Y., Zhang, M., Song, J., Hou, G. G., Zhao, F. L., Meng, Q. G. Crystal structure of (E)-2-(3,5-bis(trifluoromethyl) benzylidene)-7-methoxy-3,4-dihydronaphthalen-1(2H)-one, C20H14F6O2. Z. Kristallogr. N. Cryst. Struct. 2021, 236, 61–63; https://doi.org/10.1515/ncrs-2020-0446.Search in Google Scholar
9. Zhang, X. F., Meng, Q. G. Crystal structure of (E)-2-((2-methoxy-3-pyridyl) methylene)-7-fluoro-3,4-dihydronaphthalen-1(2H)-one, C17H14FNO2. Z. Kristallogr. N. Cryst. Struct. 2021, 236, 507–509; https://doi.org/10.1515/ncrs-2020-0603.Search in Google Scholar
10. Luan, M. Z., Meng, Q. G. Crystal structure of (E)-7-methoxy-2((5-methoxypyridin-3-yl)methylene)-3,4-dihydronaphthalen-1(2H)-one, C18H17NO3. Z. Kristallogr. N. Cryst. Struct. 2021, 236, 387–389; https://doi.org/10.1515/ncrs-2020-0602.Search in Google Scholar
11. Wang, L., Meng, Q-G., Jiang, N., Wei, L., Wang, C-H. Crystal structure of (E)-7-methoxy-2-((6-methoxypyridin-3-yl) methylene)-3,4-dihydronaphthalen-1(2H)-one, C18H17NO3. Z. Kristallogr. N. Cryst. Struct. 2021, 236, 1069.10.1515/ncrs-2021-0222Search in Google Scholar
12. Li, N., Xin, W. Y., Yao, B. R., Wang, C. H., Cong, W., Zhao, F., Li, H. J., Hou, Y., Meng, Q. G., Hou, G. G. Novel dissymmetric 3,5-bis(arylidene)-4-piperidones as potential antitumor agents with biological evaluation (in vitro) and (in vivo). Eur. J. Med. Chem. 2018, 147, 21–33; https://doi.org/10.1016/j.ejmech.2018.01.088.Search in Google Scholar
13. Li, N., Yao, B. Y., Wang, C. H., Meng, Q. G., Hou, G. G. Synthesis, crystal structure and activity evaluation of novel 3,4-dihydro-1-benzoxepin-5(2H)-one derivatives as protein-tyrosine kinase (PTK) inhibitors. Acta Crystallogr. 2017, C73, 1003–1009; https://doi.org/10.1107/s2053229617015145.Search in Google Scholar
© 2021 Guang-Qun Ma et al., published by De Gruyter, Berlin/Boston
This work is licensed under the Creative Commons Attribution 4.0 International License.
Articles in the same Issue
- Frontmatter
- New Crystal Structures
- Crystal structure of (E)-7-hydroxy-2-((6-methoxypyridin-3-yl)methylene)-3, 4-dihydronaphthalen-1(2H)-one, C17H15NO3
- Crystal structure of (E)-7-methoxy-2-((2-methoxypyridin-3-yl)methylene)-3,4-dihydronaphthalen-1 (2H)-one, C18H17NO3
- The crystal structure of N 6,N 6′-di(pyridin-2-yl)-[2,2′-bipyridine]-6,6′-diamine, C20H16N6
- The crystal structure of {N 1,N 2-bis[2,4-dimethyl-6-(4-(tert-butyl)phenyl)(phenyl)methyl]acenaphthylene-1,2-diimino-κ2 N, N′}-dibromido-nickel(II) – dichloromethane(1/2), C64H64Br2Cl4N2Ni
- Synthesis and crystal structure of nonacarbonyltris[(2-thia-1,3,5-triaza-7-phosphatricylco[3.3.1.1]decane-κ1 P)-2,2-dioxide]triruthenium(0) – acetonitrile (7/6), C25.71H32.57N9.86O15P3S3Ru3
- A new polymorph of 1-(4-nitrophenyl)-1H-benzimidazole (C13H9N3O2)
- The crystal structure of 2,2′-((1E,1′E)-(naphthalene-2,3 diylbis(azanylylidene)) bis(methanylylidene))bis(4-methylphenol), C26H22N2O2
- The crystal structure of bis(μ2-iodido)-bis(η6-benzene)-bis(iodido)-diosmium(II), C12H12I4Os2
- Redetermination of the crystal structure of bis{hydridotris(3,5-dimethylpyrazol-1-yl-κN 3)borato}copper(II), C30H44B2CuN12
- Crystal structure of (E)-3-((4-(tert-butyl)phenyl)thio)-4-hydroxypent-3-en-2-one, C15H20O2S
- Crystal structure of 2,2′-(p-tolylazanediyl)bis(1-phenylethan-1-one), C23H21NO2
- Redetermination of the crystal structure of the crystal sponge the poly[tetrakis(μ3-2,4,6-tris(pyridin-4-yl)-1,3,5-triazine)-dodecaiodidohexazinc(II) nitrobenzene solvate], C72H48I12N24Zn6⋅10(C6H5NO2)
- Crystal structure of (4′E)-6′-(diethylamino)-2-[(E)-[(6-methylpyridin-2-yl)methylidene]amino]-4′-{2-[(2E)-1,3,3-trimethyl-2,3-dihydro-1H-indol-2-ylidene]ethylidene}-1′,2,2′,3,3′,4′-hexahydrospiro[isoindole-1,9′-xanthene]-3-one, C44H45N5O2
- Crystal structure of (E)-7-fluoro-2-(3-fluorobenzylidene)-3,4-dihydronaphthalen-1(2H)-one, C17H12F2O1
- Crystal structure of tetrabutylammonium sulfanilate – 1-(diaminomethylene)thiourea (1/2)
- Crystal structure of [2,2′-{azanediyl)bis[(propane-3,1-diyl)(azanylylidene)methylylidene]} bis(3,5-dichlorophenolato)-κ2O,O′]-isothiocyanato-κN-iron(III), C21H19Cl4FeN4O2S
- Crystal structure of (4-chlorophenyl)(4-hydroxyphenyl)methanone, C13H9ClO2
- Crystal structure of 6,6′-((pentane-1,3-diylbis(azaneylylidene))bis(methaneylylidene))bis(2,4-dibromolphenolato-κ4 N,N′,O,O′)copper(II),) C19H16Br4CuN2O2
- Chlorido-(2,2′-(ethane-bis(5-methoxyphenolato))-κ4 N,N′,O,O′)manganese(III) monohydrate, C19H18Cl2CuN2O2
- Crystal structure of 2,6-di-tert-butyl-4-(4-methoxybenzylidene)cyclohexa-2,5-dien-1-one, C22H28O2
- Crystal structure of [6,6′-(((2,2-dimethylpropane-1,3-diyl)bis(azanylylidene))bis(methanylylidene))bis(2-chlorophenolato)-κ4N,N′,O,O′]copper(II)
- Crystal structure of 2-chloro-3-((thiophen-2-ylmethyl)amino)naphthalene-1,4-dione, C30H20O4N2Cl2S2
- Crystal structure of bis{hydridotris(3-trifluoromethyl-5-methylpyrazolyl-1-yl)borato-κN 3}manganese(II), C30H26B2F18MnN12
- Crystal structure of 1-(2-methylphenyl)-2-(2-methylbenzo[b]thienyl)-3,3,4,4,5,5-hexafluorocyclopent-ene, C21H14F6S
- Crystal structure of 2-(3-((carbamimidoylthio)methyl)benzyl)isothiouronium hexafluorophosphate monohydrate, C10H17F6N4OPS2
- Crystal structure of 4,5-diiodo-1,3-dimesityl-1H-1,2,3-triazol-3-ium chloride – chloroform (1/1), C21H23Cl4I2N3
- Crystal structure of azido-k1 N-{6,6′-((((methylazanediyl)bis(propane-3,1-diyl))bis(azanylylidene))bis(methanylylidene))bis(2,4-dibromophenolato)k5 N,N′,N″,O,O′}cobalt(III)-methanol (1/1)), C21H23Br4CoN6O3
- The crystal structure of 2-(4-((carbamimidoylthio)methyl)benzyl)isothiouronium hexafluorophosphate monohydrate, C10H17F6N4OPS2
- Crystal structure of 1,1′-(methane-1,1-diyl)bis(3-methyl-1H-imidazol-3-ium) bis(hexafluoridophosphate), C9H14F12N4P2
- Crystal structure of (4′E)-6′-(diethylamino)-2-[(E)-[(pyren-1-yl)methylidene]amino]-4′-{2-[(2E)-1,3,3-trimethyl-2,3-dihydro-1H-indol-2-ylidene]ethylidene}-1′,2,2′,3,3′,4′-hexahydrospiro[isoindole-1,9′-xanthene]-3-one, C54H48N4O2
- Crystal structure of poly[bis(μ2-2,6-bis(1-imidazoly)pyridine-κ2 N,N′)-bis(thiocyanato-κ1 N)copper(II)] dithiocyanate, C24H18CuN12S2
- Cones with a three-fold symmetry constructed from three hydrogen bonded theophyllinium cations that coat [FeCl4]− anions in the crystal structure of tris(theophyllinium) bis(tetrachloridoferrate(III)) chloride trihydrate, C21H33Cl9Fe2N12O9
- Crystal structure of 14-O-[(4-(4-hydroxypiperidine-1-yl)-6-methylpyrimidine-2-yl)thioacetyl]-mutilin monohydrate, C32H49N3O6S
- The crystal structure of (E)-3-chloro-2-(2-(4-methylbenzylidene)hydrazinyl)pyridine, C13H12ClN3
- The crystal structure of 4-phenyl-4-[2-(pyridine-4-carbonyl)hydrazinylidene]butanoic acid, C16H15N3O3
- The crystal structure of 6-amino-5-carboxypyridin-1-ium pentaiodide monohydrate C6H9I5N2O3
- Crystal structure of bis(μ3-oxido)-bis(μ2-2-formylbenzoato-k2O:O′)-bis(2-(dimethoxymethyl)-benzoato-κO)-oktakismethyl-tetratin(IV)
- Crystal structure of 2-((E)-(((E)-2-hydroxy-4-methylbenzylidene) hydrazineylidene)methyl)-4-methylphenol, C16H16N2O2
- Crystal structure of (E)-amino(2-((5-methylfuran-2-yl)methylene)hydrazinyl) methaniminium nitrate monohydrate, C14H26N10O10
- The crystal structure of N′-(2-chloro-6-hydroxybenzylidene)thiophene-2-carbohydrazide monohydrate, C12H11ClN2O3S
- Crystal structure of catena-poly[(μ2-1,1′-(biphenyl-4,4′-diyl)bis(1H-imidazol)-κ2N:N′)-bis(4-bromobenzoate-κ1O)zinc(II)], C64H44Br4N8O8Zn2
- The crystal structure of catena-poly[(1-(4-carboxybenzyl)pyridin-1-ium-4-carboxylato-κ1O)-(μ2-oxalato-κ4 O:O′:O″:O‴)dioxidouranium(VI)], C16H11NO10U
- Crystal structure of 3-allyl-4-(2-bromoethyl)-5-(4-methoxyphenyl)-2-phenylfuran, C22H21BrO2
- Halogen bonds in the crystal structure of 4,3′:5′,4″-terpyridine — 1,3-diiodotetrafluorobenzene (1/1), C21H11F4I2N3
- Crystal structure of 2-(1H-indol-3-yl)ethan-1-aminium 2-(4-acetylphenoxy)acetate, C20H22N2O4
- Chalcogen bonds in the crystal structure of 4,7-dibromo-2,1,3-benzoselenadiazole, C6H2Br2N2Se
- The crystal structure of 1,4-bis((1H-benzimidazol-2-yl)methyl)-piperazine-2,5-dione dihydrate, C20H22N6O4
- The crystal structure of C19H20O8
- The crystal structure of KNa3Te8O18·5H2O exhibiting a ∞2[Te4O9]2− layer
- Erratum
- Erratum to: Crystal structure of (Z)-3-(6-bromo-1H-indol-3-yl)-1,3-diphenylprop-2-en-1-one, C23H16BrNO
Articles in the same Issue
- Frontmatter
- New Crystal Structures
- Crystal structure of (E)-7-hydroxy-2-((6-methoxypyridin-3-yl)methylene)-3, 4-dihydronaphthalen-1(2H)-one, C17H15NO3
- Crystal structure of (E)-7-methoxy-2-((2-methoxypyridin-3-yl)methylene)-3,4-dihydronaphthalen-1 (2H)-one, C18H17NO3
- The crystal structure of N 6,N 6′-di(pyridin-2-yl)-[2,2′-bipyridine]-6,6′-diamine, C20H16N6
- The crystal structure of {N 1,N 2-bis[2,4-dimethyl-6-(4-(tert-butyl)phenyl)(phenyl)methyl]acenaphthylene-1,2-diimino-κ2 N, N′}-dibromido-nickel(II) – dichloromethane(1/2), C64H64Br2Cl4N2Ni
- Synthesis and crystal structure of nonacarbonyltris[(2-thia-1,3,5-triaza-7-phosphatricylco[3.3.1.1]decane-κ1 P)-2,2-dioxide]triruthenium(0) – acetonitrile (7/6), C25.71H32.57N9.86O15P3S3Ru3
- A new polymorph of 1-(4-nitrophenyl)-1H-benzimidazole (C13H9N3O2)
- The crystal structure of 2,2′-((1E,1′E)-(naphthalene-2,3 diylbis(azanylylidene)) bis(methanylylidene))bis(4-methylphenol), C26H22N2O2
- The crystal structure of bis(μ2-iodido)-bis(η6-benzene)-bis(iodido)-diosmium(II), C12H12I4Os2
- Redetermination of the crystal structure of bis{hydridotris(3,5-dimethylpyrazol-1-yl-κN 3)borato}copper(II), C30H44B2CuN12
- Crystal structure of (E)-3-((4-(tert-butyl)phenyl)thio)-4-hydroxypent-3-en-2-one, C15H20O2S
- Crystal structure of 2,2′-(p-tolylazanediyl)bis(1-phenylethan-1-one), C23H21NO2
- Redetermination of the crystal structure of the crystal sponge the poly[tetrakis(μ3-2,4,6-tris(pyridin-4-yl)-1,3,5-triazine)-dodecaiodidohexazinc(II) nitrobenzene solvate], C72H48I12N24Zn6⋅10(C6H5NO2)
- Crystal structure of (4′E)-6′-(diethylamino)-2-[(E)-[(6-methylpyridin-2-yl)methylidene]amino]-4′-{2-[(2E)-1,3,3-trimethyl-2,3-dihydro-1H-indol-2-ylidene]ethylidene}-1′,2,2′,3,3′,4′-hexahydrospiro[isoindole-1,9′-xanthene]-3-one, C44H45N5O2
- Crystal structure of (E)-7-fluoro-2-(3-fluorobenzylidene)-3,4-dihydronaphthalen-1(2H)-one, C17H12F2O1
- Crystal structure of tetrabutylammonium sulfanilate – 1-(diaminomethylene)thiourea (1/2)
- Crystal structure of [2,2′-{azanediyl)bis[(propane-3,1-diyl)(azanylylidene)methylylidene]} bis(3,5-dichlorophenolato)-κ2O,O′]-isothiocyanato-κN-iron(III), C21H19Cl4FeN4O2S
- Crystal structure of (4-chlorophenyl)(4-hydroxyphenyl)methanone, C13H9ClO2
- Crystal structure of 6,6′-((pentane-1,3-diylbis(azaneylylidene))bis(methaneylylidene))bis(2,4-dibromolphenolato-κ4 N,N′,O,O′)copper(II),) C19H16Br4CuN2O2
- Chlorido-(2,2′-(ethane-bis(5-methoxyphenolato))-κ4 N,N′,O,O′)manganese(III) monohydrate, C19H18Cl2CuN2O2
- Crystal structure of 2,6-di-tert-butyl-4-(4-methoxybenzylidene)cyclohexa-2,5-dien-1-one, C22H28O2
- Crystal structure of [6,6′-(((2,2-dimethylpropane-1,3-diyl)bis(azanylylidene))bis(methanylylidene))bis(2-chlorophenolato)-κ4N,N′,O,O′]copper(II)
- Crystal structure of 2-chloro-3-((thiophen-2-ylmethyl)amino)naphthalene-1,4-dione, C30H20O4N2Cl2S2
- Crystal structure of bis{hydridotris(3-trifluoromethyl-5-methylpyrazolyl-1-yl)borato-κN 3}manganese(II), C30H26B2F18MnN12
- Crystal structure of 1-(2-methylphenyl)-2-(2-methylbenzo[b]thienyl)-3,3,4,4,5,5-hexafluorocyclopent-ene, C21H14F6S
- Crystal structure of 2-(3-((carbamimidoylthio)methyl)benzyl)isothiouronium hexafluorophosphate monohydrate, C10H17F6N4OPS2
- Crystal structure of 4,5-diiodo-1,3-dimesityl-1H-1,2,3-triazol-3-ium chloride – chloroform (1/1), C21H23Cl4I2N3
- Crystal structure of azido-k1 N-{6,6′-((((methylazanediyl)bis(propane-3,1-diyl))bis(azanylylidene))bis(methanylylidene))bis(2,4-dibromophenolato)k5 N,N′,N″,O,O′}cobalt(III)-methanol (1/1)), C21H23Br4CoN6O3
- The crystal structure of 2-(4-((carbamimidoylthio)methyl)benzyl)isothiouronium hexafluorophosphate monohydrate, C10H17F6N4OPS2
- Crystal structure of 1,1′-(methane-1,1-diyl)bis(3-methyl-1H-imidazol-3-ium) bis(hexafluoridophosphate), C9H14F12N4P2
- Crystal structure of (4′E)-6′-(diethylamino)-2-[(E)-[(pyren-1-yl)methylidene]amino]-4′-{2-[(2E)-1,3,3-trimethyl-2,3-dihydro-1H-indol-2-ylidene]ethylidene}-1′,2,2′,3,3′,4′-hexahydrospiro[isoindole-1,9′-xanthene]-3-one, C54H48N4O2
- Crystal structure of poly[bis(μ2-2,6-bis(1-imidazoly)pyridine-κ2 N,N′)-bis(thiocyanato-κ1 N)copper(II)] dithiocyanate, C24H18CuN12S2
- Cones with a three-fold symmetry constructed from three hydrogen bonded theophyllinium cations that coat [FeCl4]− anions in the crystal structure of tris(theophyllinium) bis(tetrachloridoferrate(III)) chloride trihydrate, C21H33Cl9Fe2N12O9
- Crystal structure of 14-O-[(4-(4-hydroxypiperidine-1-yl)-6-methylpyrimidine-2-yl)thioacetyl]-mutilin monohydrate, C32H49N3O6S
- The crystal structure of (E)-3-chloro-2-(2-(4-methylbenzylidene)hydrazinyl)pyridine, C13H12ClN3
- The crystal structure of 4-phenyl-4-[2-(pyridine-4-carbonyl)hydrazinylidene]butanoic acid, C16H15N3O3
- The crystal structure of 6-amino-5-carboxypyridin-1-ium pentaiodide monohydrate C6H9I5N2O3
- Crystal structure of bis(μ3-oxido)-bis(μ2-2-formylbenzoato-k2O:O′)-bis(2-(dimethoxymethyl)-benzoato-κO)-oktakismethyl-tetratin(IV)
- Crystal structure of 2-((E)-(((E)-2-hydroxy-4-methylbenzylidene) hydrazineylidene)methyl)-4-methylphenol, C16H16N2O2
- Crystal structure of (E)-amino(2-((5-methylfuran-2-yl)methylene)hydrazinyl) methaniminium nitrate monohydrate, C14H26N10O10
- The crystal structure of N′-(2-chloro-6-hydroxybenzylidene)thiophene-2-carbohydrazide monohydrate, C12H11ClN2O3S
- Crystal structure of catena-poly[(μ2-1,1′-(biphenyl-4,4′-diyl)bis(1H-imidazol)-κ2N:N′)-bis(4-bromobenzoate-κ1O)zinc(II)], C64H44Br4N8O8Zn2
- The crystal structure of catena-poly[(1-(4-carboxybenzyl)pyridin-1-ium-4-carboxylato-κ1O)-(μ2-oxalato-κ4 O:O′:O″:O‴)dioxidouranium(VI)], C16H11NO10U
- Crystal structure of 3-allyl-4-(2-bromoethyl)-5-(4-methoxyphenyl)-2-phenylfuran, C22H21BrO2
- Halogen bonds in the crystal structure of 4,3′:5′,4″-terpyridine — 1,3-diiodotetrafluorobenzene (1/1), C21H11F4I2N3
- Crystal structure of 2-(1H-indol-3-yl)ethan-1-aminium 2-(4-acetylphenoxy)acetate, C20H22N2O4
- Chalcogen bonds in the crystal structure of 4,7-dibromo-2,1,3-benzoselenadiazole, C6H2Br2N2Se
- The crystal structure of 1,4-bis((1H-benzimidazol-2-yl)methyl)-piperazine-2,5-dione dihydrate, C20H22N6O4
- The crystal structure of C19H20O8
- The crystal structure of KNa3Te8O18·5H2O exhibiting a ∞2[Te4O9]2− layer
- Erratum
- Erratum to: Crystal structure of (Z)-3-(6-bromo-1H-indol-3-yl)-1,3-diphenylprop-2-en-1-one, C23H16BrNO