Home The crystal structure of 4-phenyl-4-[2-(pyridine-4-carbonyl)hydrazinylidene]butanoic acid, C16H15N3O3
Article Open Access

The crystal structure of 4-phenyl-4-[2-(pyridine-4-carbonyl)hydrazinylidene]butanoic acid, C16H15N3O3

  • Itumeleng B. Setshedi ORCID logo and Mark G. Smith ORCID logo EMAIL logo
Published/Copyright: January 4, 2022

Abstract

C16H15N3O3, monoclinic, P21/c (no. 14), a = 9.4957(3) Å, b = 18.2275(5) Å, c = 9.0896(3) Å, β = 114.372(1)°, V = 1433.05(15) Å3, Z = 4, R gt (F) = 0.0380, wR ref (F 2) = 0.1011, T = 173 K.

CCDC no.: 2120068

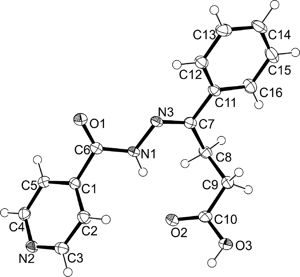
The molecular structure is shown in the figure. Table 1 contains crystallographic data and Table 2 contains the list of the atoms including atomic coordinates and displacement parameters.

Table 1:

Data collection and handling.

Crystal: Colourless cuboid
Size: 0.62 × 0.25 × 0.23 mm
Wavelength: Mo Kα radiation (0.71073 Å)
μ: 0.10 mm−1
Diffractometer, scan mode: Bruker D8 Venture, ω
θ max, completeness: 28.0°, >99%
N(hkl)measured, N(hkl)unique, R int: 20,811, 3446, 0.072
Criterion for I obs, N(hkl)gt: I obs > 2σ(I obs), 3009
N(param)refined: 199
Programs: Bruker [1], SHELX [2], WinGX [3], PLATON [4], ORTEP-III [5, 6]
Table 2:

Fractional atomic coordinates and isotropic or equivalent isotropic displacement parameters (Å2).

Atom X y z U iso*/U eq
C1 0.61662 (13) 0.15765 (6) −0.15151 (13) 0.0196 (2)
C2 0.53059 (14) 0.11646 (7) −0.08990 (15) 0.0252 (3)
H2 0.539844 0.124459 0.016986 0.03*
C3 0.43079 (14) 0.06337 (7) −0.18705 (15) 0.0260 (3)
H3 0.370744 0.035936 −0.144879 0.031*
C4 0.50060 (14) 0.08846 (7) −0.39467 (14) 0.0237 (2)
H4 0.491771 0.07815 −0.500585 0.028*
C5 0.60104 (14) 0.14341 (7) −0.30792 (14) 0.0229 (2)
H5 0.657964 0.170748 −0.353972 0.028*
C6 0.71859 (13) 0.21952 (6) −0.05705 (13) 0.0199 (2)
C7 1.02496 (13) 0.23387 (6) 0.32495 (14) 0.0193 (2)
C8 1.07640 (13) 0.15568 (6) 0.37160 (14) 0.0220 (2)
H8A 1.190778 0.154373 0.424005 0.026*
H8B 1.042697 0.125597 0.272244 0.026*
C9 1.01330 (13) 0.12102 (6) 0.48624 (14) 0.0212 (2)
H9A 1.093684 0.088636 0.563263 0.025*
H9B 0.992392 0.160471 0.549382 0.025*
C10 0.86795 (14) 0.07715 (6) 0.40142 (14) 0.0217 (2)
C11 1.11203 (13) 0.29500 (6) 0.43327 (13) 0.0206 (2)
C12 1.06091 (14) 0.36753 (7) 0.39634 (14) 0.0245 (3)
H12 0.967967 0.377376 0.304194 0.029*
C13 1.14419 (17) 0.42516 (7) 0.49252 (16) 0.0301 (3)
H13 1.108799 0.474128 0.465188 0.036*
C14 1.27918 (16) 0.41148 (8) 0.62870 (16) 0.0330 (3)
H14 1.336257 0.451024 0.694349 0.04*
C15 1.33022 (16) 0.34035 (8) 0.66842 (16) 0.0341 (3)
H15 1.422212 0.330898 0.761944 0.041*
C16 1.24725 (15) 0.28234 (7) 0.57182 (15) 0.0283 (3)
H16 1.283044 0.233508 0.600454 0.034*
N1 0.82074 (11) 0.19997 (5) 0.09310 (11) 0.0210 (2)
H1 0.829793 0.15393 0.124855 0.025*
N2 0.41509 (11) 0.04898 (5) −0.33750 (12) 0.0225 (2)
N3 0.91012 (11) 0.25417 (5) 0.19479 (11) 0.0203 (2)
O1 0.70748 (10) 0.28075 (5) −0.11510 (10) 0.0275 (2)
O2 0.80366 (11) 0.06912 (5) 0.25575 (10) 0.0284 (2)
O3 0.81920 (10) 0.04563 (5) 0.50306 (10) 0.0271 (2)
H3A 0.738051 0.021825 0.450823 0.041*

Source of material

All reagents were commercially sourced and used without further purification. 1.035 g of isonicotinic acid hydrazide (7.55 mmol) and 1.359 g of 3-benzoylpropionic acid (7.63 mmol) were added into a screw-cap dram vial (with rubber septum). 5 mL of methanol was added and stirred at 70 °C for 24 h. The solution was then left slightly open to allow slow evaporation at room temperature. Colourless block crystals were observed after three days.

Experimental details

The collection method involved ω-scans of width 0.5°. Data reduction was carried out using SAINT-Plus version 6.02.6 software, and SADABS was used to process empirical absorption corrections [1]. The crystal structure was solved through direct methods using SHELXS [2]. Hydrogen atoms were positioned geometrically and U iso (H) = 1.2U eq (C). Diagrams and publication material were generated using WinGX [3], PLATON [4] and Ortep [5, 6].

Comment

Isonicotinic acid hydrazide (isoniazid) is primarily used as a treatment for Tuberculosis (TB). It is effective against both latent and active Mycobacteria tuberculosis [7]. However, improper and long term use of the drug has resulted in the resistance of the microorganism [8]. This in turn has led to research focused on the modification of isoniazid to develop derivatives that may be effective against drug resistant mycobacteria strains [9, 10]. The crystal structure being reported in this article represents one such covalently modified isoniazid derivative.

The asymetric unit shown in the figure contains one molecule of 4-phenyl-4-[2-(pyridine-4-carbonyl)hydrazinylidene]butanoic acid. There is an intramolecular hydrogen bond between the O2 oxygen and the H1 donor atom, forming an S1 1(8) ring in graph set notation [11]. Every molecule is bonded to an adjacent molecule which is flipped over, thus forming a symmetrical dimer with an inversion center between the two molecules. This results in each molecule being hydrogen bonded to its neighbour twice via COOH⋯N heterosynthons, namely O3–H3A⋯N2. The COOH⋯N heterosynthons are as expected in literature [12]. The bonding between the two adjacent molecules is further stabilized by a weak C–H⋯O interaction between H3 and O2.


Corresponding author: Mark G. Smith, Chemistry Department, University of South Africa, Unisa Science Campus, 28 Pioneer Avenue, Florida, Roodepoort, Gauteng, South Africa, E-mail:

Funding source: National Research Foundation http://dx.doi.org/10.13039/501100001321

Award Identifier / Grant number: 118127

Award Identifier / Grant number: 117850

  1. Author contributions: All the authors have accepted responsibility for the entire content of this submitted manuscript and approved submission.

  2. Research funding: This work was supported by the National Research Foundation (NRF) Thuthuka Grant Number 118127 as well as Thuthuka Grant Number 117850.

  3. Conflict of interest statement: The authors declare no conflicts of interest regarding this article.

References

1. Bruker. SAINT-Plus and SADABS; Bruker AXS Inc.: Wisconsin, Madison, USA, 2004.Search in Google Scholar

2. Sheldrick, G. M. A short history of SHELX. Acta Crystallogr. 2008, A64, 112–122; https://doi.org/10.1107/s0108767307043930.Search in Google Scholar

3. Farrugia, L. J. WinGX suite for small-molecule single-crystal crystallography. J. Appl. Crystallogr. 1999, 32, 837–838; https://doi.org/10.1107/s0021889899006020.Search in Google Scholar

4. Spek, A. L. Structure validation in chemical crystallography. Acta Crystallogr. 2009, D65, 148–155; https://doi.org/10.1107/s090744490804362x.Search in Google Scholar

5. Burnett, M. N., Johnson, C. K. ORTEPIII. Report ORNL-6895; Oak Ridge National Laboratory: Tennessee, USA, 1996.Search in Google Scholar

6. Farrugia, L. J. ORTEP-3 for Windows – a version of ORTEP-III with a graphical user interface (GUI). J. Appl. Crystallogr. 1997, 30, 565; https://doi.org/10.1107/s0021889897003117.Search in Google Scholar

7. Torres, E., Moreno, E., Ancizu, S., Barea, C., Galiano, S., Aldana, I., Monge, A., Silanes, S. P. New 1,4-di-N-oxide-quinoxaline-2-ylmethylene isonicotinic acid hydrazide derivatives as anti-mycobacterium tuberculosis agents. Bioorg. Med. Chem. Lett. 2011, 21, 3699–3703; https://doi.org/10.1016/j.bmcl.2011.04.072.Search in Google Scholar

8. Setshedi, I. B., Smith, M. G. The crystal structure of the co-crystal: 2-hydroxybenzoic acid N-(butan-2-ylidene)pyridine-4-carbohydrazide, C10H13N3O·C7H6O3. Z. Kristallogr. N. Cryst. Struct. 2021, 236, 1093–1095; https://doi.org/10.1515/ncrs-2021-0311.Search in Google Scholar

9. Hu, Y.-Q., Zhang, S., Zhao, F., Gao, C., Feng, L.-S., Lv, Z.-S. Isoniazid derivatives and their anti-tubercular activity. Eur. J. Med. Chem. 2017, 133, 255–267; https://doi.org/10.1016/j.ejmech.2017.04.002.Search in Google Scholar

10. Lemmerer, A., Bernstein, J., Kahlenberg, V. Covalent assistance in supramolecular synthesis: in situ modification and masking of the hydrogen bonding functionality of the supramolecular reagent isoniazid in co-crystals. CrystEngComm 2011, 13, 5692–5708; https://doi.org/10.1039/c1ce05152k.Search in Google Scholar

11. Bernstein, J., Davis, R. E., Shimoni, L., Chang, N.-L. Patterns in hydrogen bonding: functionality and graph set analysis in crystals. Angew. Chem. Int. Ed. Engl. 1995, 34, 1555–1573; https://doi.org/10.1002/anie.199515551.Search in Google Scholar

12. Aakeröy, C. B., Hussain, I., Forbes, S., Desper, J. Exploring the hydrogen-bond preference of N–H moieties in co-crystals assembled via O–H(acid)⋯N(py) intermolecular interactions. CrystEngComm 2007, 9, 46–54; https://doi.org/10.1039/b614984g.Search in Google Scholar

Received: 2021-11-03
Accepted: 2021-12-09
Published Online: 2022-01-04
Published in Print: 2022-02-23

© 2021 Itumeleng B. Setshedi and Mark G. Smith, published by De Gruyter, Berlin/Boston

This work is licensed under the Creative Commons Attribution 4.0 International License.

Articles in the same Issue

  1. Frontmatter
  2. New Crystal Structures
  3. Crystal structure of (E)-7-hydroxy-2-((6-methoxypyridin-3-yl)methylene)-3, 4-dihydronaphthalen-1(2H)-one, C17H15NO3
  4. Crystal structure of (E)-7-methoxy-2-((2-methoxypyridin-3-yl)methylene)-3,4-dihydronaphthalen-1 (2H)-one, C18H17NO3
  5. The crystal structure of N 6,N 6′-di(pyridin-2-yl)-[2,2′-bipyridine]-6,6′-diamine, C20H16N6
  6. The crystal structure of {N 1,N 2-bis[2,4-dimethyl-6-(4-(tert-butyl)phenyl)(phenyl)methyl]acenaphthylene-1,2-diimino-κ2 N, N′}-dibromido-nickel(II) – dichloromethane(1/2), C64H64Br2Cl4N2Ni
  7. Synthesis and crystal structure of nonacarbonyltris[(2-thia-1,3,5-triaza-7-phosphatricylco[3.3.1.1]decane-κ1 P)-2,2-dioxide]triruthenium(0) – acetonitrile (7/6), C25.71H32.57N9.86O15P3S3Ru3
  8. A new polymorph of 1-(4-nitrophenyl)-1H-benzimidazole (C13H9N3O2)
  9. The crystal structure of 2,2′-((1E,1′E)-(naphthalene-2,3 diylbis(azanylylidene)) bis(methanylylidene))bis(4-methylphenol), C26H22N2O2
  10. The crystal structure of bis(μ2-iodido)-bis(η6-benzene)-bis(iodido)-diosmium(II), C12H12I4Os2
  11. Redetermination of the crystal structure of bis{hydridotris(3,5-dimethylpyrazol-1-yl-κN 3)borato}copper(II), C30H44B2CuN12
  12. Crystal structure of (E)-3-((4-(tert-butyl)phenyl)thio)-4-hydroxypent-3-en-2-one, C15H20O2S
  13. Crystal structure of 2,2′-(p-tolylazanediyl)bis(1-phenylethan-1-one), C23H21NO2
  14. Redetermination of the crystal structure of the crystal sponge the poly[tetrakis(μ3-2,4,6-tris(pyridin-4-yl)-1,3,5-triazine)-dodecaiodidohexazinc(II) nitrobenzene solvate], C72H48I12N24Zn6⋅10(C6H5NO2)
  15. Crystal structure of (4′E)-6′-(diethylamino)-2-[(E)-[(6-methylpyridin-2-yl)methylidene]amino]-4′-{2-[(2E)-1,3,3-trimethyl-2,3-dihydro-1H-indol-2-ylidene]ethylidene}-1′,2,2′,3,3′,4′-hexahydrospiro[isoindole-1,9′-xanthene]-3-one, C44H45N5O2
  16. Crystal structure of (E)-7-fluoro-2-(3-fluorobenzylidene)-3,4-dihydronaphthalen-1(2H)-one, C17H12F2O1
  17. Crystal structure of tetrabutylammonium sulfanilate – 1-(diaminomethylene)thiourea (1/2)
  18. Crystal structure of [2,2′-{azanediyl)bis[(propane-3,1-diyl)(azanylylidene)methylylidene]} bis(3,5-dichlorophenolato)-κ2O,O′]-isothiocyanato-κN-iron(III), C21H19Cl4FeN4O2S
  19. Crystal structure of (4-chlorophenyl)(4-hydroxyphenyl)methanone, C13H9ClO2
  20. Crystal structure of 6,6′-((pentane-1,3-diylbis(azaneylylidene))bis(methaneylylidene))bis(2,4-dibromolphenolato-κ4 N,N′,O,O′)copper(II),) C19H16Br4CuN2O2
  21. Chlorido-(2,2′-(ethane-bis(5-methoxyphenolato))-κ4 N,N,O,O′)manganese(III) monohydrate, C19H18Cl2CuN2O2
  22. Crystal structure of 2,6-di-tert-butyl-4-(4-methoxybenzylidene)cyclohexa-2,5-dien-1-one, C22H28O2
  23. Crystal structure of [6,6′-(((2,2-dimethylpropane-1,3-diyl)bis(azanylylidene))bis(methanylylidene))bis(2-chlorophenolato)-κ4N,N′,O,O′]copper(II)
  24. Crystal structure of 2-chloro-3-((thiophen-2-ylmethyl)amino)naphthalene-1,4-dione, C30H20O4N2Cl2S2
  25. Crystal structure of bis{hydridotris(3-trifluoromethyl-5-methylpyrazolyl-1-yl)borato-κN 3}manganese(II), C30H26B2F18MnN12
  26. Crystal structure of 1-(2-methylphenyl)-2-(2-methylbenzo[b]thienyl)-3,3,4,4,5,5-hexafluorocyclopent-ene, C21H14F6S
  27. Crystal structure of 2-(3-((carbamimidoylthio)methyl)benzyl)isothiouronium hexafluorophosphate monohydrate, C10H17F6N4OPS2
  28. Crystal structure of 4,5-diiodo-1,3-dimesityl-1H-1,2,3-triazol-3-ium chloride – chloroform (1/1), C21H23Cl4I2N3
  29. Crystal structure of azido-k1 N-{6,6′-((((methylazanediyl)bis(propane-3,1-diyl))bis(azanylylidene))bis(methanylylidene))bis(2,4-dibromophenolato)k5 N,N′,N″,O,O′}cobalt(III)-methanol (1/1)), C21H23Br4CoN6O3
  30. The crystal structure of 2-(4-((carbamimidoylthio)methyl)benzyl)isothiouronium hexafluorophosphate monohydrate, C10H17F6N4OPS2
  31. Crystal structure of 1,1′-(methane-1,1-diyl)bis(3-methyl-1H-imidazol-3-ium) bis(hexafluoridophosphate), C9H14F12N4P2
  32. Crystal structure of (4′E)-6′-(diethylamino)-2-[(E)-[(pyren-1-yl)methylidene]amino]-4′-{2-[(2E)-1,3,3-trimethyl-2,3-dihydro-1H-indol-2-ylidene]ethylidene}-1′,2,2′,3,3′,4′-hexahydrospiro[isoindole-1,9′-xanthene]-3-one, C54H48N4O2
  33. Crystal structure of poly[bis(μ2-2,6-bis(1-imidazoly)pyridine-κ2 N,N′)-bis(thiocyanato-κ1 N)copper(II)] dithiocyanate, C24H18CuN12S2
  34. Cones with a three-fold symmetry constructed from three hydrogen bonded theophyllinium cations that coat [FeCl4] anions in the crystal structure of tris(theophyllinium) bis(tetrachloridoferrate(III)) chloride trihydrate, C21H33Cl9Fe2N12O9
  35. Crystal structure of 14-O-[(4-(4-hydroxypiperidine-1-yl)-6-methylpyrimidine-2-yl)thioacetyl]-mutilin monohydrate, C32H49N3O6S
  36. The crystal structure of (E)-3-chloro-2-(2-(4-methylbenzylidene)hydrazinyl)pyridine, C13H12ClN3
  37. The crystal structure of 4-phenyl-4-[2-(pyridine-4-carbonyl)hydrazinylidene]butanoic acid, C16H15N3O3
  38. The crystal structure of 6-amino-5-carboxypyridin-1-ium pentaiodide monohydrate C6H9I5N2O3
  39. Crystal structure of bis(μ3-oxido)-bis(μ2-2-formylbenzoato-k2O:O′)-bis(2-(dimethoxymethyl)-benzoato-κO)-oktakismethyl-tetratin(IV)
  40. Crystal structure of 2-((E)-(((E)-2-hydroxy-4-methylbenzylidene) hydrazineylidene)methyl)-4-methylphenol, C16H16N2O2
  41. Crystal structure of (E)-amino(2-((5-methylfuran-2-yl)methylene)hydrazinyl) methaniminium nitrate monohydrate, C14H26N10O10
  42. The crystal structure of N′-(2-chloro-6-hydroxybenzylidene)thiophene-2-carbohydrazide monohydrate, C12H11ClN2O3S
  43. Crystal structure of catena-poly[(μ2-1,1′-(biphenyl-4,4-diyl)bis(1H-imidazol)-κ2N:N′)-bis(4-bromobenzoate-κ1O)zinc(II)], C64H44Br4N8O8Zn2
  44. The crystal structure of catena-poly[(1-(4-carboxybenzyl)pyridin-1-ium-4-carboxylato-κ1O)-(μ2-oxalato-κ4 O:O′:O″:O‴)dioxidouranium(VI)], C16H11NO10U
  45. Crystal structure of 3-allyl-4-(2-bromoethyl)-5-(4-methoxyphenyl)-2-phenylfuran, C22H21BrO2
  46. Halogen bonds in the crystal structure of 4,3′:5′,4″-terpyridine — 1,3-diiodotetrafluorobenzene (1/1), C21H11F4I2N3
  47. Crystal structure of 2-(1H-indol-3-yl)ethan-1-aminium 2-(4-acetylphenoxy)acetate, C20H22N2O4
  48. Chalcogen bonds in the crystal structure of 4,7-dibromo-2,1,3-benzoselenadiazole, C6H2Br2N2Se
  49. The crystal structure of 1,4-bis((1H-benzimidazol-2-yl)methyl)-piperazine-2,5-dione dihydrate, C20H22N6O4
  50. The crystal structure of C19H20O8
  51. The crystal structure of KNa3Te8O18·5H2O exhibiting a 2[Te4O9]2− layer
  52. Erratum
  53. Erratum to: Crystal structure of (Z)-3-(6-bromo-1H-indol-3-yl)-1,3-diphenylprop-2-en-1-one, C23H16BrNO
Downloaded on 9.11.2025 from https://www.degruyterbrill.com/document/doi/10.1515/ncrs-2021-0429/html
Scroll to top button