Home Crystal structure of (E)-7-fluoro-2-(3-fluorobenzylidene)-3,4-dihydronaphthalen-1(2H)-one, C17H12F2O1
Article Open Access

Crystal structure of (E)-7-fluoro-2-(3-fluorobenzylidene)-3,4-dihydronaphthalen-1(2H)-one, C17H12F2O1

  • Jia Song ORCID logo , Feng-Lan Zhao , Qi-bao Wang and Qing-Guo Meng EMAIL logo
Published/Copyright: November 24, 2021

Abstract

C17H12F2O1, monoclinic, P 1 (no. 2), a = 7.3832(8) Å, b = 8.6467(9) Å, c = 11.3278(11) Å, α = 87.633(8)°, β = 88.022(8)°, γ = 65.364(10)°, V = 654.88(13) Å3, Z = 2, R gt (F) = 0.0369, wR ref (F2) = 0.0987, T = 293(2) K.

CCDC no.: 2114782

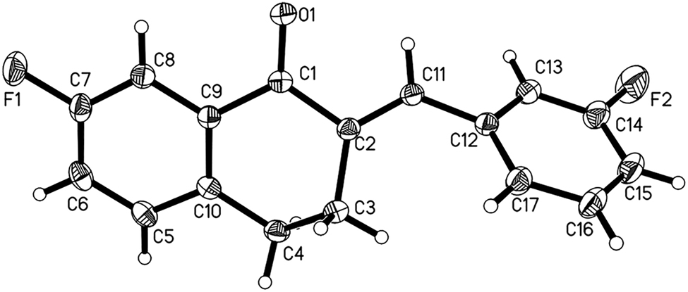
The crystal structure is shown in the figure. Displacement ellipsoids are drawn at the 35% probability level. Tables 1 and 2 contain details on crystal structure and measurement conditions and a list of the atoms including atomic coordinates and displacement parameters.

Table 1:

Data collection and handling.

Crystal: Yellow block
Size: 0.14 × 0.11 × 0.10 mm
Wavelength: Mo Kα radiation (0.71073 Å)
μ: 0.10 mm−1
Diffractometer, scan mode: Xcalibur, CCD plate scans
θmax, completeness: 25.5°, >99%
N(hkl)measuredN(hkl)uniqueRint: 12423, 2433, 0.024
Criterion for Iobs, N(hkl)gt: Iobs > 2 σ(Iobs), 1891
N(param)refined: 182
Programs: CrysAlisPRO [1], Shelx [2, 3]
Table 2:

Fractional atomic coordinates and isotropic or equivalent isotropic displacement parameters (Å2).

x y z Uiso*/Ueq
F1 0.29139 (17) 0.57875 (14) −0.24594 (9) 0.0833 (4)
F2 −0.1989 (2) −0.2361 (2) 0.43629 (12) 0.1241 (6)
O1 0.24884 (16) 0.06387 (13) −0.05141 (9) 0.0550 (3)
C1 0.25997 (19) 0.14906 (17) 0.02942 (12) 0.0418 (3)
C2 0.2600 (2) 0.09233 (17) 0.15540 (12) 0.0422 (3)
C3 0.3449 (2) 0.17173 (19) 0.24109 (13) 0.0503 (4)
H3A 0.488109 0.130181 0.228156 0.060*
H3B 0.320711 0.140288 0.321359 0.060*
C4 0.2471 (2) 0.36500 (19) 0.22417 (13) 0.0512 (4)
H4A 0.108523 0.407188 0.250485 0.061*
H4B 0.313802 0.414192 0.273047 0.061*
C5 0.2493 (2) 0.58209 (18) 0.07057 (15) 0.0527 (4)
H5 0.238161 0.654546 0.131518 0.063*
C6 0.2588 (2) 0.63650 (19) −0.04364 (16) 0.0563 (4)
H6 0.253793 0.744300 −0.060847 0.068*
C7 0.2760 (2) 0.5271 (2) −0.13208 (15) 0.0544 (4)
C8 0.2805 (2) 0.36936 (19) −0.11116 (13) 0.0491 (4)
H8 0.291154 0.298893 −0.173317 0.059*
C9 0.26871 (18) 0.31584 (17) 0.00553 (12) 0.0408 (3)
C10 0.25574 (19) 0.42177 (17) 0.09832 (13) 0.0433 (3)
C11 0.1731 (2) −0.01351 (17) 0.18075 (12) 0.0458 (4)
H11 0.114476 −0.038397 0.117063 0.055*
C12 0.1557 (2) −0.09667 (17) 0.29353 (13) 0.0470 (4)
C13 −0.0152 (2) −0.1248 (2) 0.31512 (14) 0.0579 (4)
H13 −0.118129 −0.086048 0.261061 0.070*
C14 −0.0305 (3) −0.2099 (3) 0.41639 (16) 0.0719 (5)
C15 0.1148 (3) −0.2720 (3) 0.49790 (17) 0.0822 (6)
H15 0.099512 −0.329508 0.566053 0.099*
C16 0.2853 (3) −0.2471 (3) 0.47642 (17) 0.0782 (6)
H16 0.387824 −0.289303 0.530666 0.094*
C17 0.3074 (3) −0.1604 (2) 0.37551 (15) 0.0608 (4)
H17 0.424065 −0.144812 0.362521 0.073*

Source of material

The amounts of 5 ml methanol, 5 ml dichloromethane, 7-fluoro-1-naphthalene ketone and 3-fluorobenzaldehyde were added to a 50 ml flask, stirred in the ice salt bath at −5 °C until the system became soluble and clear. Five millilitre (25%) of sodium hydroxide aqueous solution was added dropwise to the mixture and stirred at room temperature for 3 h. The reaction was monitored by silica gel thin layer chromatography (TLC, 254 nm). When the reaction was finished, the precipitate was filtered from the reaction mixture and dissolved with ethyl acetate. The organic phase was washed successively with water and brine in turn and dried with anhydrous sodium sulfate. After filtration, the filtrate was condensed in vacuum to yield a white solid, which was purified by silica-gel column chromatography (petroleum ether: ethyl acetate = 1:2, v/v). Suitable crystals of the title compound were obtained by recrystallization in the dichloromethane and methanol (1:1, v/v) system and dried in a vacuum at 65 °C for 3 h.

Experimental details

The H atoms were placed in idealized positions and treated as riding on their parent atoms, with d(C–H) = 0.97 Å (methylene), Uiso(H) = 1.2Ueq(C), and d(C–H) = 0.93 Å (aromatic), Uiso(H) = 1.2Ueq(C).

Comment

Central nervous system degenerative disease refers to a group of diseases are caused by chronic progressive degeneration of the central nervous system. Pathologically, degeneration and loss of neurons occurred in the brain and/or spinal cord [4]. Inflammation in the brain is induced by activated microglia and reactive astrocytes [5]. Potential drugs should be able to cross the blood-brain barrier and activate the increase of circulating inflammatory markers of microglia, resulting in the production of cellular inflammation [6]. The cytotoxicity and anti-inflammatory activity of such compounds were evaluated. It is found that they can inhibit tumor growth and has anti-inflammatory activity. Some piperidones may inhibit the expression of NF-/KB and make activated microglia produce an anti-inflammatory effect [79]. Combined with the data of cytotoxicity, cytocompatibility and anti-inflammatory activity, some of these compounds may be a new NF KB inhibitor with anti-inflammatory and anti hepatoma activities, which is expected to be further developed into a multifunctional drug for clinical treatment of liver cancer and inflammatory diseases [10, 11]. However, DHN derivatives are rarely developed as anti-neuroinflammatory drugs. Our group also synthesized some of these compounds, and studied their anti-neuroinflammatory activity [12, 13]. In this paper, we report on a benzylidene-substituted DHN derivative which was designed and synthesized through Claisen–Schmidt condensation reactions (see the figure) [14]. Single crystal of the title compound were prepared under ambient conditions, with crystallization obtained via solvent evaporation in the mixed solution of methanol and dichloromethane (1:1, v/v) [15].

There is one molecule in the asymmetric unit of the title structure (see the Figure). Bond lengths and angles are all in the expected ranges [16]. Because of the disto 3,4-dihydronaphthalen-1(2H)-one, the 7-fluorophenyl and 3-fluorophenyl groups are not coplanar with each other, with a dihedral angle of approximately 65°. This twisted configuration may increase likelihood of interactions with bioactive molecules, for the purposes of creating more potent biological activity [17, 18].


Corresponding author: Qing-Guo Meng, School of Pharmacy, Collaborative Innovation Center of Advanced Drug Delivery System and Biotech Drugs in Universities of Shandong, Key Laboratory of Molecular Pharmacology and Drug Evaluation (Yantai University), Ministry of Education, Yantai University, Yantai, P. R. China, E-mail:

Funding source: Science and Technology Innovation Development Plan of Yantai

Award Identifier / Grant number: 2020XDRH105

Funding source: National Natural Science Foundation of China

Award Identifier / Grant number: 81473104

  1. Author contributions: All the authors have accepted responsibility for the entire content of this submitted manuscript and approved submission.

  2. Research funding: This work was supported by Science and Technology Innovation Development Plan of Yantai (No. 2020XDRH105) and the National Natural Science Foundation of China (No. 81473104).

  3. Conflict of interest statement: The authors declare no conflicts of interest regarding this article.

References

1. Rigaku OD. CrysAlisPRO; Rigaku Oxford Diffraction Ltd: Yarnton, Oxfordshire, England, 2017.Search in Google Scholar

2. Sheldrick, G. M. A short history of SHELX. Acta Crystallogr. 2008, A64, 112–122; https://doi.org/10.1107/s0108767307043930.Search in Google Scholar

3. Sheldrick, G. M. Crystal structure refinement with SHELXL. Acta Crystallogr. 2015, C71, 3–8; https://doi.org/10.1107/s2053229614024218.Search in Google Scholar

4. Stephenson, J., Nutma, E., van der Valk, P., Amor, S. Inflammation in CNS neurodegenerative diseases. Immunology 2018, 154, 204–219; https://doi.org/10.1111/imm.12922.Search in Google Scholar

5. Goldmann, T., Prinz, M. Role of microglia in CNS autoimmunity. Clin. Dev. Immunol. 2013, 2013, 208093; https://doi.org/10.1155/2013/208093.Search in Google Scholar

6. Gao, C. L., Hou, G. G., Liu, J., Ru, T., Xu, Y. Z., Zhao, S. Y., Ye, H., Zhang, L. Y., Chen, K. X., Guo, Y. W., Pang, T., Li, X. W. Synthesis and target identification of benzoxepane derivatives as potential anti-neuroinflammatory agents for ischemic stroke. Angew. Chem. Int. Ed. 2020, 59, 2429–2439; https://doi.org/10.1002/anie.201912489.Search in Google Scholar

7. Troubat, R., Barone, P., Leman, S., Desmidt, T., Cressant, A., Atanasova, B., Brizard, B., El Hage, W., Surget, A., Belzung, C., Camus, V. Neuroinflammation and depression: a review. Eur. J. Neurosci. 2021, 154, 151–171; https://doi.org/10.1111/ejn.14720.Search in Google Scholar

8. Li, N., Xin, W. Y., Yao, B. R., Cong, W., Wang, C. H., Hou, G. G. N-phenylsulfonyl-3,5-bis(arylidene)-4-piperidone derivatives as activation NF-kappaB inhibitors in hepatic carcinoma cell lines. Eur. J. Med. Chem. 2018, 155, 531–544; https://doi.org/10.1016/j.ejmech.2018.06.027.Search in Google Scholar

9. Yao, B. R., Sun, Y., Chen, S. L., Suo, H. D., Zhang, Y. L., Wei, H., Wang, C. H., Zhao, F., Cong, W., Xin, W. Y., Hou, G. G. Dissymmetric pyridyl-substituted 3,5-bis(arylidene)-4-piperidones as anti-hepatoma agents by inhibiting NF-κB pathway activation. Eur. J. Med. Chem. 2019, 167, 187–199; https://doi.org/10.1016/j.ejmech.2019.02.020.Search in Google Scholar

10. Sun, Y., Gao, Z. F., Yan, W. B., Yao, B. R., Xin, W. Y., Wang, C. H., Meng, Q. G., Hou, G. G. Discovery of novel NF-κB inhibitor based on scaffold hopping: 1,4,5,6,7,8-hexahydropyrido[4,3-d]pyrimidine. Eur. J. Med. Chem. 2020, 198, 112366; https://doi.org/10.1016/j.ejmech.2020.112366.Search in Google Scholar

11. Sun, Y., Gao, Z. F., Wang, C. H., Hou, G. G. Synthesis, crystal structures and anti-inflammatory activity of fluorine-substituted 1,4,5,6-tetrahydrobenzo[h]quinazolin-2-amine derivatives. Acta Crystallogr. 2019, 75, 1157–1165; https://doi.org/10.1107/s2053229619010118.Search in Google Scholar

12. Sun, Y., Zhou, Y. Q., Liu, Y. K., Zhang, H. Q., Hou, G. G., Meng, Q. G., Hou, Y. Potential anti-neuroinflammatory NF-κB inhibitors based on 3,4-dihydronaphthalen-1(2H)-one derivatives. J. Enzym. Inhib. Med. Chem. 2020, 35, 1631–1640; https://doi.org/10.1080/14756366.2020.1804899.Search in Google Scholar

13. Li, N., Xin, W. Y., Yao, B. R., Wang, C. H., Cong, W., Zhao, F., Li, H. J., Hou, Y., Meng, Q. G., Hou, G. G. Novel dissymmetric 3,5-bis(arylidene)-4-piperidones as potential antitumor agents with biological evaluation in vitro and in vivo. Eur. J. Med. Chem. 2018, 147, 21–33; https://doi.org/10.1016/j.ejmech.2018.01.088.Search in Google Scholar

14. Li, N., Yao, B. Y., Wang, C. H., Meng, Q. G., Hou, G. G. Synthesis, crystal structure and activity evaluation of novel 3,4-dihydro-1-benzoxepin-5(2H)-one derivatives as protein-tyrosine kinase (PTK) inhibitors. Acta Crystallogr. 2017, C73, 1003–1009; https://doi.org/10.1107/s2053229617015145.Search in Google Scholar

15. Xiong, C. L., Lan, Y. D., Song, X. Y ., Xiong, W. M., Nie, X. L. Crystal structure of methyl 4-acetoxy3,5-dimethoxybenzoate, C12H14O6. Z. Kristallogr. N. Cryst. Struct. 2021, 236, 573–575; https://doi.org/10.1515/ncrs-2020-0632.Search in Google Scholar

16. Luan, M.-Z., Meng, Q.-G. Crystal structure of (E)-7-methoxy-2-((5-methoxypyridin-3-yl)methylene)-3,4- dihydronaphthalen-1(2H)-one, C18H17NO3. Z. Kristallogr. N. Cryst. Struct. 2021, 236, 387–389.10.1515/ncrs-2020-0602Search in Google Scholar

17. Sun, Y., Liu, Y. K., Li, J. D., Meng, Q. G., Hou, G. G. Crystal structure and anti-inflammatory activity of (3E,5E)-3-(2-fluorobenzylidene)-1-((4-fluorophenyl)sulfonyl)-5-(pyridin-3-ylmethylene)piperidin-4-one, C24H18F2N2O3S. Z. Kristallogr. N. Cryst. Struct. 2020, 235, 377–379; https://doi.org/10.1515/ncrs-2019-0683.Search in Google Scholar

18. Zhou, Y. Q., Hou, G. G., Meng, Q. G., Hou, Y. Crystal structure and anti-inflammatory activity of (3E,5E)-1-((4-chlorophenyl)sulfonyl)-3-(pyridin-4-ylmethylene)-5-(2-(trifluoromethyl) benzylidene)piperidin-4-one, C25H18ClF3N2O3S. Z. Kristallogr. N. Cryst. Struct. 2020, 235, 411–413; https://doi.org/10.1515/ncrs-2019-0716.Search in Google Scholar

Received: 2021-10-11
Accepted: 2021-11-02
Published Online: 2021-11-24
Published in Print: 2022-02-23

© 2021 Jia Song et al., published by De Gruyter, Berlin/Boston

This work is licensed under the Creative Commons Attribution 4.0 International License.

Articles in the same Issue

  1. Frontmatter
  2. New Crystal Structures
  3. Crystal structure of (E)-7-hydroxy-2-((6-methoxypyridin-3-yl)methylene)-3, 4-dihydronaphthalen-1(2H)-one, C17H15NO3
  4. Crystal structure of (E)-7-methoxy-2-((2-methoxypyridin-3-yl)methylene)-3,4-dihydronaphthalen-1 (2H)-one, C18H17NO3
  5. The crystal structure of N 6,N 6′-di(pyridin-2-yl)-[2,2′-bipyridine]-6,6′-diamine, C20H16N6
  6. The crystal structure of {N 1,N 2-bis[2,4-dimethyl-6-(4-(tert-butyl)phenyl)(phenyl)methyl]acenaphthylene-1,2-diimino-κ2 N, N′}-dibromido-nickel(II) – dichloromethane(1/2), C64H64Br2Cl4N2Ni
  7. Synthesis and crystal structure of nonacarbonyltris[(2-thia-1,3,5-triaza-7-phosphatricylco[3.3.1.1]decane-κ1 P)-2,2-dioxide]triruthenium(0) – acetonitrile (7/6), C25.71H32.57N9.86O15P3S3Ru3
  8. A new polymorph of 1-(4-nitrophenyl)-1H-benzimidazole (C13H9N3O2)
  9. The crystal structure of 2,2′-((1E,1′E)-(naphthalene-2,3 diylbis(azanylylidene)) bis(methanylylidene))bis(4-methylphenol), C26H22N2O2
  10. The crystal structure of bis(μ2-iodido)-bis(η6-benzene)-bis(iodido)-diosmium(II), C12H12I4Os2
  11. Redetermination of the crystal structure of bis{hydridotris(3,5-dimethylpyrazol-1-yl-κN 3)borato}copper(II), C30H44B2CuN12
  12. Crystal structure of (E)-3-((4-(tert-butyl)phenyl)thio)-4-hydroxypent-3-en-2-one, C15H20O2S
  13. Crystal structure of 2,2′-(p-tolylazanediyl)bis(1-phenylethan-1-one), C23H21NO2
  14. Redetermination of the crystal structure of the crystal sponge the poly[tetrakis(μ3-2,4,6-tris(pyridin-4-yl)-1,3,5-triazine)-dodecaiodidohexazinc(II) nitrobenzene solvate], C72H48I12N24Zn6⋅10(C6H5NO2)
  15. Crystal structure of (4′E)-6′-(diethylamino)-2-[(E)-[(6-methylpyridin-2-yl)methylidene]amino]-4′-{2-[(2E)-1,3,3-trimethyl-2,3-dihydro-1H-indol-2-ylidene]ethylidene}-1′,2,2′,3,3′,4′-hexahydrospiro[isoindole-1,9′-xanthene]-3-one, C44H45N5O2
  16. Crystal structure of (E)-7-fluoro-2-(3-fluorobenzylidene)-3,4-dihydronaphthalen-1(2H)-one, C17H12F2O1
  17. Crystal structure of tetrabutylammonium sulfanilate – 1-(diaminomethylene)thiourea (1/2)
  18. Crystal structure of [2,2′-{azanediyl)bis[(propane-3,1-diyl)(azanylylidene)methylylidene]} bis(3,5-dichlorophenolato)-κ2O,O′]-isothiocyanato-κN-iron(III), C21H19Cl4FeN4O2S
  19. Crystal structure of (4-chlorophenyl)(4-hydroxyphenyl)methanone, C13H9ClO2
  20. Crystal structure of 6,6′-((pentane-1,3-diylbis(azaneylylidene))bis(methaneylylidene))bis(2,4-dibromolphenolato-κ4 N,N′,O,O′)copper(II),) C19H16Br4CuN2O2
  21. Chlorido-(2,2′-(ethane-bis(5-methoxyphenolato))-κ4 N,N,O,O′)manganese(III) monohydrate, C19H18Cl2CuN2O2
  22. Crystal structure of 2,6-di-tert-butyl-4-(4-methoxybenzylidene)cyclohexa-2,5-dien-1-one, C22H28O2
  23. Crystal structure of [6,6′-(((2,2-dimethylpropane-1,3-diyl)bis(azanylylidene))bis(methanylylidene))bis(2-chlorophenolato)-κ4N,N′,O,O′]copper(II)
  24. Crystal structure of 2-chloro-3-((thiophen-2-ylmethyl)amino)naphthalene-1,4-dione, C30H20O4N2Cl2S2
  25. Crystal structure of bis{hydridotris(3-trifluoromethyl-5-methylpyrazolyl-1-yl)borato-κN 3}manganese(II), C30H26B2F18MnN12
  26. Crystal structure of 1-(2-methylphenyl)-2-(2-methylbenzo[b]thienyl)-3,3,4,4,5,5-hexafluorocyclopent-ene, C21H14F6S
  27. Crystal structure of 2-(3-((carbamimidoylthio)methyl)benzyl)isothiouronium hexafluorophosphate monohydrate, C10H17F6N4OPS2
  28. Crystal structure of 4,5-diiodo-1,3-dimesityl-1H-1,2,3-triazol-3-ium chloride – chloroform (1/1), C21H23Cl4I2N3
  29. Crystal structure of azido-k1 N-{6,6′-((((methylazanediyl)bis(propane-3,1-diyl))bis(azanylylidene))bis(methanylylidene))bis(2,4-dibromophenolato)k5 N,N′,N″,O,O′}cobalt(III)-methanol (1/1)), C21H23Br4CoN6O3
  30. The crystal structure of 2-(4-((carbamimidoylthio)methyl)benzyl)isothiouronium hexafluorophosphate monohydrate, C10H17F6N4OPS2
  31. Crystal structure of 1,1′-(methane-1,1-diyl)bis(3-methyl-1H-imidazol-3-ium) bis(hexafluoridophosphate), C9H14F12N4P2
  32. Crystal structure of (4′E)-6′-(diethylamino)-2-[(E)-[(pyren-1-yl)methylidene]amino]-4′-{2-[(2E)-1,3,3-trimethyl-2,3-dihydro-1H-indol-2-ylidene]ethylidene}-1′,2,2′,3,3′,4′-hexahydrospiro[isoindole-1,9′-xanthene]-3-one, C54H48N4O2
  33. Crystal structure of poly[bis(μ2-2,6-bis(1-imidazoly)pyridine-κ2 N,N′)-bis(thiocyanato-κ1 N)copper(II)] dithiocyanate, C24H18CuN12S2
  34. Cones with a three-fold symmetry constructed from three hydrogen bonded theophyllinium cations that coat [FeCl4] anions in the crystal structure of tris(theophyllinium) bis(tetrachloridoferrate(III)) chloride trihydrate, C21H33Cl9Fe2N12O9
  35. Crystal structure of 14-O-[(4-(4-hydroxypiperidine-1-yl)-6-methylpyrimidine-2-yl)thioacetyl]-mutilin monohydrate, C32H49N3O6S
  36. The crystal structure of (E)-3-chloro-2-(2-(4-methylbenzylidene)hydrazinyl)pyridine, C13H12ClN3
  37. The crystal structure of 4-phenyl-4-[2-(pyridine-4-carbonyl)hydrazinylidene]butanoic acid, C16H15N3O3
  38. The crystal structure of 6-amino-5-carboxypyridin-1-ium pentaiodide monohydrate C6H9I5N2O3
  39. Crystal structure of bis(μ3-oxido)-bis(μ2-2-formylbenzoato-k2O:O′)-bis(2-(dimethoxymethyl)-benzoato-κO)-oktakismethyl-tetratin(IV)
  40. Crystal structure of 2-((E)-(((E)-2-hydroxy-4-methylbenzylidene) hydrazineylidene)methyl)-4-methylphenol, C16H16N2O2
  41. Crystal structure of (E)-amino(2-((5-methylfuran-2-yl)methylene)hydrazinyl) methaniminium nitrate monohydrate, C14H26N10O10
  42. The crystal structure of N′-(2-chloro-6-hydroxybenzylidene)thiophene-2-carbohydrazide monohydrate, C12H11ClN2O3S
  43. Crystal structure of catena-poly[(μ2-1,1′-(biphenyl-4,4-diyl)bis(1H-imidazol)-κ2N:N′)-bis(4-bromobenzoate-κ1O)zinc(II)], C64H44Br4N8O8Zn2
  44. The crystal structure of catena-poly[(1-(4-carboxybenzyl)pyridin-1-ium-4-carboxylato-κ1O)-(μ2-oxalato-κ4 O:O′:O″:O‴)dioxidouranium(VI)], C16H11NO10U
  45. Crystal structure of 3-allyl-4-(2-bromoethyl)-5-(4-methoxyphenyl)-2-phenylfuran, C22H21BrO2
  46. Halogen bonds in the crystal structure of 4,3′:5′,4″-terpyridine — 1,3-diiodotetrafluorobenzene (1/1), C21H11F4I2N3
  47. Crystal structure of 2-(1H-indol-3-yl)ethan-1-aminium 2-(4-acetylphenoxy)acetate, C20H22N2O4
  48. Chalcogen bonds in the crystal structure of 4,7-dibromo-2,1,3-benzoselenadiazole, C6H2Br2N2Se
  49. The crystal structure of 1,4-bis((1H-benzimidazol-2-yl)methyl)-piperazine-2,5-dione dihydrate, C20H22N6O4
  50. The crystal structure of C19H20O8
  51. The crystal structure of KNa3Te8O18·5H2O exhibiting a 2[Te4O9]2− layer
  52. Erratum
  53. Erratum to: Crystal structure of (Z)-3-(6-bromo-1H-indol-3-yl)-1,3-diphenylprop-2-en-1-one, C23H16BrNO
Downloaded on 9.11.2025 from https://www.degruyterbrill.com/document/doi/10.1515/ncrs-2021-0392/html
Scroll to top button