Home Crystal structure of 5-methyl-3-phenyl-1-tosyl-1,2,3,4-tetrahydropyridine, C19H21NO2S
Article Open Access

Crystal structure of 5-methyl-3-phenyl-1-tosyl-1,2,3,4-tetrahydropyridine, C19H21NO2S

  • Huixia Liu , Xie Huang and Wei He ORCID logo EMAIL logo
Published/Copyright: April 21, 2020

Abstract

C19H21NO2S, orthorhombic, Pbca (no. 61), a = 16.792(5) Å, b = 9.153(3) Å, c = 22.809(6) Å, V = 3505.8(16) Å3, Z = 8, Rgt(F) = 0.0622, wRref(F2) = 0.1494, T = 296(2) K.

CCDC no.: 1918070

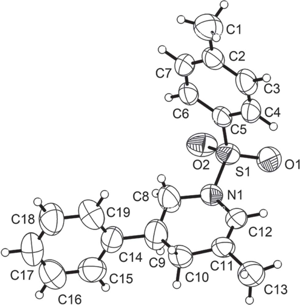
The molecular structure is shown in the figure. Table 1 contains crystallographic data and Table 2 contains the list of the atoms including atomic coordinates and displacement parameters.

Table 1:

Data collection and handling.

Crystal:Colourless block
Size:0.35 × 0.28 × 0.15 mm
Wavelength:Mo Kα radiation (0.71073 Å)
μ:0.19 mm−1
Diffractometer, scan mode:Bruker APEX-II, φ and ω
θmax, completeness:25.1°, >99%
N(hkl)measured, N(hkl)unique, Rint:16417, 3115, 0.077
Criterion for Iobs, N(hkl)gt:Iobs > 2 σ(Iobs), 1758
N(param)refined:210
Programs:SHELX [1], Bruker [2]
Table 2:

Fractional atomic coordinates and isotropic or equivalent isotropic displacement parameters (Å2).

AtomxyzUiso*/Ueq
S10.07474(6)0.85365(12)0.38375(4)0.0705(3)
N10.03435(16)0.8290(3)0.44825(12)0.0658(8)
O10.01643(16)0.9260(3)0.34859(11)0.0915(9)
O20.15099(15)0.9197(3)0.39390(11)0.0844(8)
C10.1290(2)0.2527(5)0.2811(2)0.0941(14)
H1A0.08290.19340.28860.141*
H1B0.17470.20890.29920.141*
H1C0.13750.25970.23960.141*
C20.1161(2)0.4032(5)0.30609(15)0.0646(10)
C30.0439(2)0.4756(5)0.29946(16)0.0744(12)
H30.00320.43090.27840.089*
C40.0313(2)0.6106(5)0.32302(15)0.0700(11)
H4−0.01790.65600.31850.084*
C50.0914(2)0.6802(4)0.35364(13)0.0581(9)
C60.1639(2)0.6111(5)0.36073(14)0.0626(10)
H60.20470.65650.38140.075*
C70.1750(2)0.4750(5)0.33697(15)0.0652(10)
H70.22400.42930.34180.078*
C80.0840(2)0.7682(6)0.49465(16)0.0961(15)
H8A0.10070.67120.48270.115*
H8B0.13160.82780.49780.115*
C90.0504(2)0.7578(7)0.54960(19)0.116(2)
H90.04770.86150.56000.139*
C10−0.0353(2)0.7187(5)0.55439(15)0.0715(11)
H10A−0.05760.76600.58870.086*
H10B−0.03990.61390.55990.086*
C11−0.0825(2)0.7619(4)0.50197(16)0.0657(10)
C12−0.04899(19)0.8092(4)0.45380(16)0.0655(10)
H12−0.08130.83080.42180.079*
C13−0.1719(2)0.7560(5)0.50770(18)0.0975(15)
H13A−0.18890.82480.53690.146*
H13B−0.18780.65940.51910.146*
H13C−0.19590.78020.47080.146*
C140.1028(2)0.7023(6)0.59875(18)0.0762(12)
C150.1141(3)0.7821(5)0.6491(2)0.0891(13)
H150.09030.87330.65290.107*
C160.1600(3)0.7285(6)0.6935(2)0.0951(14)
H160.16730.78390.72720.114*
C170.1951(3)0.5956(6)0.6891(2)0.0974(15)
H170.22650.56020.71950.117*
C180.1841(3)0.5143(6)0.6397(2)0.1043(16)
H180.20820.42320.63630.125*
C190.1373(3)0.5667(6)0.59483(19)0.0935(14)
H190.12900.50990.56160.112*

Source of material

The title compound was prepared by a reported method, which was slightly modified [3]. The mixture of (diacetoxyiodo)benzene and BF3⋅Et2O in anhydrous CH2Cl2 was stirred at room temperature for 1 min and 4-methyl-N-(4-methyl-2-phenylpent-4-en-1-yl)benzenesulfonamide was added to continue the reaction for 3 h. The mixture was concentrated and the residue was purified by flash column chromatography (petroleum ether/ethyl acetate = 5/1) to afford the desired compound.

Experimental details

The Uiso values of the hydrogen atoms of methyl groups were set to 1.5 Ueq(C) while the Uiso values of phenyl, methylene hydrogen atoms were set to 1.2 Ueq(C). There is a small (not refined) disorder in the region of the C8, C9 moiety, which leads to an artificial flattening of this moiety and shortening of the bond lengths.

Comment

As useful building blocks in diverse biologically active nitrogen-containing heterocyclic structures, tetrahydropyridines are widely studied in clinical and preclinical trials [4], [5], [6]. The title compound could be used as main precursor for the synthesis of nitrogen-heterocycles, such as piperidine [7], [8], diludine [9] and pyridine [10], [11] compounds.

In this structure, the substituted phenyl group on C9 and the p-toluenesulfonyl group on N1 are located on the equatorial bond. These substituents are also located in the same side of the 1,2,3,4-tetrahydropyridine ring. The dihedral angles between the plane 1 of phenyl (C2, C3, C4, C5, C6 and C7) and the plane 2 of sulfonyl group (O1, S1 and O2), the plane 3 of phenyl (C14, C15, C16, C17, C18 and C19) are 51.56(14)°, 37.91(14)°, respectively. Moreover, the atoms of N1, C10 and C13 located on alkene are not strictly in the same plane. The dihedral angle between the plane 4 (N1, C12 and C11) and plane 5 (C13, C11 and C12), plane 6 (C10, C11 and C12) are 5.8(4)°, 2.7(4)°, respectively. The distance of carbon-carbon double bond from C11 to C12 is calculated to be 1.308(5) Å. However, the distance of carbon-carbon single bonds of C11—C10 and C11—C13 are calculated to be 1.488(5) Å, 1.507(5) Å, respectively. The angles of C10—C11—C12 and C13—C11—C12 are 122(3)°, 120.9(4)°, respectively.

Acknowledgements

This work is supported by National Science Foundation of China (No. ). I am also grateful to Professor Ping-an Wang of The Fourth Military Medical University for language revision.

References

1. Sheldrick, G. M.: A short history of SHELX. Acta Crystallogr. A64 (2008) 112–122.10.1107/S0108767307043930Search in Google Scholar

2. Bruker. APEX2, SAINT and SADABS. Bruker AXS Inc., Madison, WI, USA (2009).Search in Google Scholar

3. Huang, X.; Wang, P.; He, W.; Ye, X.: Crystal structure of 5-methyl-3,3-diphenyl-1-tosyl-1,2,3,4-tetrahydropyridine, C25H25NO2S. Z. Kristallogr. NCS 233 (2018) 457–458.10.1515/ncrs-2017-0350Search in Google Scholar

4. El-Dean, A. M. K.; Abd-Ella, A. A.; Hassanien, R.; El-Sayed, M. E. A.; Abdel-Raheem, S. A. A.: Design, synthesis, characterization, and insecticidal bioefficacy screening of some new pyridine derivatives. ACS Omega 4 (2019) 8406–8412.10.1021/acsomega.9b00932Search in Google Scholar

5. Heikkila, R.; Hess, A.; Duvoisin, R.: Dopaminergic neurotoxicity of 1-methyl-4-phenyl-1,2,5,6-tetrahydropyridine in mice. Science 224 (1984) 1451–1453.10.1126/science.6610213Search in Google Scholar

6. Lozano, G. L.; Park, H. B.; Bravo, J. I.; Armstrong, E. A.; Denu, J. M.; Stabb, E. V.; Broderick, N. A.; Crawford, J. M.; Handelsman, J.: Bacterial analogs of plant tetrahydropyridine alkaloids mediate microbial interactions in a rhizosphere model system. Appl. Environ. Microbiol. 85 (2019) e3018–e3058.10.1128/AEM.03058-18Search in Google Scholar

7. Dwyer, M. P.; Lamar, J. E.; Meyers, A. I.: Synthesis of enantiomerically pure cis-2,4-disubstituted piperidines: extension of chiral homoenolate alkylations toward the preparation of nitrogen heterocycles. Tetrahedron Lett. 40 (1999) 8965–8968.10.1016/S0040-4039(99)01784-0Search in Google Scholar

8. Laschat, S.; Dickner, T.: Stereoselective synthesis of piperidines. Synthesis 13 (2000) 1781–1813.10.1055/s-2000-8218Search in Google Scholar

9. Baliah, V.; Jeyaraman, R.; Chandrasekaran, L.: Synthesis of 2,6-disubstituted piperidines, oxanes, and thianes. Chem. Rev. 83 (1983) 379–423.10.1021/cr00056a002Search in Google Scholar

10. Vessally, E.; Hosseinian, A.; Edjlali, L.; Bekhradnia, A.; Esrafili, M. D.: New page to access pyridine derivatives: synthesis from N-propargylamines. RSC Adv. 6 (2016) 71662–71675.10.1039/C6RA08720ESearch in Google Scholar

11. Hill, M. D.: Recent strategies for the synthesis of pyridine derivatives. Chem. Eur. J. 17 (2007) 3860–3863.10.1002/chem.201001100Search in Google Scholar PubMed

Received: 2020-03-19
Accepted: 2020-04-07
Published Online: 2020-04-21
Published in Print: 2020-06-25

©2020 Huixia Liu et al., published by De Gruyter, Berlin/Boston

This work is licensed under the Creative Commons Attribution 4.0 Public License.

Articles in the same Issue

  1. Frontmatter
  2. Crystal structure of bis [1-(phenylsulfonyl)-2-(1-(pyrazin-2-yl)ethylidene)hydrazin-1-ido-κ3N,N′,O]cobalt(II), C24H22N8O4S2Co
  3. The crystal structure of 1,3-bis(4-(methoxycarbonyl)benzyl)-2-methyl-1H-benzo[d]imidazol-3-ium bromide, C26H25BrN2O4
  4. Crystal structure of {tris((1H-benzo[d]imidazol-2-yl)methyl)amine-κ4N,N′,N′′,N′′′}-(nitrito-κ2O,O′)nickel(II) perchlorate – ethanol (1/1), C26H27ClN8NiO7
  5. Crystal structure of catena-poly[aqua[(μ2-4,5-dicarboxylato-2-(2-carboxylatophenyl)imidazol-1-ido-κ4N,O,O′:N′)](μ2-4,4′-bipyridine-κ2N:N′)dicopper(II)], C22H14Cu2N4O7
  6. Crystal structure of chlorido-tris(4-methylbenzyl-κC)-(triphenylarsine oxide-κO)tin(IV), C42H42AsClOSn
  7. The crystal structure of 4,4′-bipyridinium bis(3-carboxy-2-nitrobenzoate) tetrahydrate, C13H13N2O8
  8. Crystal structure of 1-(3-chlorophenyl)-4-(4-(((2,3-dihydro-1H-inden-5-yl)oxy)methyl)phenethyl)piperazine, C28H31ClN2O
  9. Crystal structure of catena-poly[diaqua-bis(μ2-5,5′-(1H-imidazole-4,5-diyl)bis(tetrazol-2-ido)-κ4N,N′:N′′,N′′′)magnesium], C10H8N20O2Mg
  10. The crystal structure of (E)-2-((2-hydroxy-4-ethoxybenzylidene)amino)-2-methylpropane-1,3-diol monohydrate, C13H21NO5
  11. Crystal structure of catena-poly[diaqua-(μ2-bipyridine-κ2N:N′)-bis(3,5-dichloroisonicotinato-κO)cadmium(II)] dihydrate, C22H20CdCl4N4O8
  12. The crystal structure of 4-(4-chlorophenyl)cyclohexane-1-carboxylic acid, C13H15ClO2
  13. Redetermination of the crystal structure of yttrium(III) trinitrate(V) pentahydrate, Y(NO3)3 ⋅ 5 H2O, H10N3O14Y
  14. Crystal structure of catena-poly[di-μ2-chlorido-1,10-phenanthroline-κ2N,N′-cadmium(II)], C12H8Cl2CdN2
  15. Crystal structure of 4-((2-methyl-6-(trifluoromethyl)pyrimidin-4-yl)oxy)benzoic acid, C13H9F3N2O3
  16. Crystal structure of 3-acetyl-4-hydroxybenzoic acid, C18H16O8
  17. Crystal structure of bis(N,2-bis(4-ethoxybenzylidene)hydrazine-1-carbohydrazonothioato-κ2N,S)nickel(II) — N,N-dimethylformamide (1/2), C44H56N10S2O6Ni
  18. The crystal structure of 5-chloro-4,6-dimethoxypyrimidin-2-amine, C6H8ClN3O2
  19. Crystal structure of poly[aqua-(μ4-benzene-1,2,4,5-tetracarboxylato-κ4O,O′,O′′,O′′′)bis(μ2-1-(4-(1H-imidazol-1-yl)benzyl)-1H-1,2,4-triazole-κ2N:N)dinickel(II)], NiC17H14N5O5
  20. Crystal structure of poly[aqua(5-dimethylamino)naphthalene-1-sulfonato-κ2N:O)(μ2-4,4′-bipyridyl -κ2N:N′)silver(I)], C44H44Ag2N6O8S2
  21. Crystal structure of 1-[3-(trifluoromethyl)cinnamoyl]-3-(pyridin-2-yl-κN)pyrazole-κ2N-bis(2-phenylpyridinato-k2C,N)iridium(III) hexafluorophosphate complex, [C40H28F3IrN5O]PF6
  22. Crystal structure of catena-poly[aqua(μ6-piperazine-1,4-bisethanesulfonato-κ6N:N′:O:O′:O′′:O′′′)(μ2-pyrazinyl-κ2N:N′)disilver(I)sesquihydrate], C12H30Ag2N4O11S2
  23. Crystal structure of (E)-1-(2-nitrophenyl)-N-(o-tolyl)methanimine, C14H12N2O2
  24. Crystal structure of 4′-amino-3′,5′-diisopropyl-(1,1′-biphenyl)-4-carbonitrile, C19H22N2
  25. The crystal structure of poly[bis(N,N-dimethylformamide-κ1O)-tetrakis(μ2-cyanido-κ2C:N)dinickel(II)], C10H14N6O2Ni2
  26. Crystal structure of rac-trans-N,N′-bis(3-bromo-5-chlorosalicylidene)-1,2-cyclohexanediamine, C20H18Br2Cl2N2O2
  27. Crystal structure of rac-trans-N,N′-bis(3,5-dibromosalicylidene)-1,2-cyclohexanediamine, C20H18Br4N2O2
  28. The crystal structure of (dichromato-κ2O,O′)bis(1,10-phenanthroline-κ2N,N′)nickel(II), C12H16N4O7Cr2Ni
  29. The crystal structure of 3-((1R,2S)-1-methylpyrrolidin-1-ium-2-yl)pyridin-1-ium tetrachloridozincate(II) monohydrate, C10H18Cl4ZnN2O
  30. Crystal structure of bis(μ2-azido-k2N,N)-bis(2-amino-1-(N-(3-bromosalicylaldiminato))ethane)-dicopper(II), C20H18Br4N2O2
  31. Crystal structure of (η6-1-methyl-4-isopropylbenzene)-[5-bromo-2-(2-pyridyl)phenyl-κ2C,N]-chloro-ruthenium(II), C21H21BrClNRu
  32. Crystal structure of N-(methyl(oxo)(1-(6-(trifluoromethyl)pyridin-3-yl)ethyl)-λ6-sulfanylidene)cyanamide, C10H10F3N3OS
  33. Crystal structure of 6,6′-((cyclohexane-1,2-diylbis(azanylylidene))bis(methanylylidene))bis(2-bromo-4-chlorophenolato-κ4N,N′,O,O′)nickel(II), C20H16Br2Cl2NiN2O2
  34. Redetermination of the crystal structure of catena-poly[aqua-(1,10-phenanthroline-κ2N,N′)-(μ2-tetraoxidomolybdato(VI)-κ2O:O′)manganese(II) monohydrate, C12H12N2O6MoMn
  35. The crystal structure tetrakis(μ2-o-chlorobenzoato-κ2O:O′)-bis(methanol-κ1O)dirhodium(II), C30H24Cl4O10Rh2
  36. Crystal structure of bis(2,3-diphenyltetrazolidine-5-thione-κ1S)-(nitrato-κ1O)-(nitrato-κ2O,O′)lead(II), C26H20N10O6S2Pb
  37. Crystal structure of bis(3-bromo-N-(1-(3-methylpyrazin-2-yl)ethylidene)benzohydrazonato-κ3O,N,N′)cadmium(II) hemihydrate, C28H25N8O2.5Br2Cd
  38. Crystal structure of catena-poly[tetrakis(μ2-trifluoroacetato-κ2O:O′)(μ2-2,5-dimethylpyrazine-κ2N,N′)dicopper(II)], C7H4CuF6NO4
  39. The crystal structure of catena-poly[bis[3-azoniapentane-1,5-diammonium][bis(μ4-oxo)-tetrakis(μ3-oxo)-heptakis(μ2-oxo)-tetradecaoxo-octa-molybdenum] dihydrate], (C8H36N6O29Mo8)n
  40. Crystal structure of tetraaqua-bis(2-((3,5,6-trichloropyridin-2-yl)oxy)acetato-κO)-nickel(II)—diaqua-bis(2-((3,5,6-trichloropyridin-2-yl)oxy)acetato-nickel(II), C28H24Cl12N4Ni2O18
  41. The crystal structure of bis(2-hydroxypyrimidinium) pentachloridobismuthate(III), (C4N2H5O)2BiCl5
  42. The crystal structure of catena-poly[(μ2-4,4′-dipyridine-κ2N,N′)-bis(3,5,6-trichloropyridine-2-oxyacetato-κO)-bis(ethanol-κO)nickel(II)], C28H26Cl6N4NiO8
  43. Crystal structure and anti-inflammatory activity of (3E,5E)-1-((4-chlorophenyl)sulfonyl)-3,5-bis(4-fluorobenzylidene)piperidin-4-one-dichloromethane (1/1), C26H20Cl3F2NO3S
  44. The crystal structure of 5-bromopicolinic acid monohydrate, C6H6BrNO3
  45. The crystal structure of 2-(3-(4-bromophenyl)-5-(4-fluorophenyl)-4,5-dihydro-1H-pyrazol-1-yl)-8H-indeno[1,2-d]thiazole, C25H17BrFN3S
  46. The crystal structure of catena-poly[(μ2-2-((3-bromo-2-oxidobenzylidene)amino)acetato-κ4O,N,O′:O′′)-(dimethylformamide-κ1O)]zinc(II), C12H13N2O4BrZn
  47. Crystal structure of aqua-azido-κ1N-(6,6′-((propane-1,3-diylbis(azanylylidene))bis(methanylylidene))bis(3-bromophenolato)-κ4N,N′,O,O′iron(III), C17H16Br2FeN5O3
  48. The crystal structure of tris(1-ethylimidazole-κ1N)-(sulfato-κ2O,O′)vanadium(IV), C15H24N6O5SV
  49. Crystal structure of (E)-3-methoxy-N′-(1-(pyridin-2-yl)ethylidene)benzohydrazide, C15H15N3O2
  50. Crystal structure of dichloro-bis-(1-butyl-1H-benzo[d]imidazole)-nickel(II), C22H28Cl2N4Ni
  51. The crystal structure of 2-(2,3-dimethoxyphenyl)-3-hydroxy-4H-chromen-4-one, C17H14O5
  52. The crystal structure of 5-(2-(4-fluorophenyl)hydrazono)-4-methyl-2-((3-(5-methyl-1-(4-methylphenyl)-1H-1,2,3-triazol-4-yl)-1-phenyl-1H-pyrazol-4-yl)methylene) hydrazono)-2,5-dihydrothiazole dimethylformamide monosolvate, C30H25FN10S⋅C3H7NO
  53. The crystal structure of 1,8-bis(pyridin-4-ylethynyl)anthracene-1,2,4,5-tetrafluoro-3,6-diiodobenzene (2/1), C62H32F4I2N4
  54. The crystal structure of 3,6-di-tert-butyl-1,8-diiodo-9-methyl-9H-carbazole, C21H25I2N
  55. The crystal structure of 8-((4-chlorophenylamino)methylene)-6,10-dioxaspiro[4.5]decane-7,9-dione, C15H14ClNO4
  56. The crystal structure of catena-poly[oktaaqua-bis(μ2-4,4′-ethene-1,2-diyldipyridine-κ2N:N′)-(μ2-3,3′-(1-oxidodiazene-1,2-diyl)diphthalato-κ2O:O′)dicobalt(II)] dihydrate, C28H36N4O19Co2
  57. Crystal structure of (E)-1-(2-cyano-3-oxo-1-phenylprop-1-en-1-yl)-3,7-diphenylindolizine-6-carbonitrile, C31H19N3O
  58. Crystal structure of 1,1′-bis(diphenylphosphino)ferrocene-(1,1′-bis(diphenylphosphino)ferrocene-κ2P,P′)-(O-isobutyl sulfurodithioito-κ2S,S′)copper(I), C39H37CuFeOP2S2
  59. Crystal structure of poly[(5-bimethylamino-1-naphthalenesulfonato-κO)-(μ3-hexamethylenetetramino-κ3N:N′:N′′)silver(I)] dihydrate, C36H52Ag2N10O8S2
  60. Crystal structure of poly[μ2-diaqua-(μ2-2-amino-4,5-dicyano-κ2N:N′-imidazol-1-ide)sodium(I)], C5H6N5O2Na
  61. Crystal structure of (1,3-propanediamine-κ2N,N′)(N-(3-aminopropyl)-α-methyl aspartato-κ4N,N′,O,O′)cobalt(III) chloride, C11H24ClCoN4O4
  62. Crystal structure and anti-inflammatory activity of (3E,5E)-3,5-bis(4-fluorobenzylidene)-1-((4-fluorophenyl)sulfonyl)piperidin-4-one-dichloromethane (1/1), C26H20Cl2F3NO3S
  63. Crystal structure of (S)-(+)-1-cyclohexylethylaminium chloride, C8H18NCl
  64. The crystal structure of tris(nitrato-κ2O,O′)-bis(4,4,5,5-tetramethyl-2-(o-pyridyl)imidazoline-1-oxyl 3-oxide-κ2N,O)yttrium(III), C24H32N9O13Y
  65. Hydrogen bonding versus packing effects in the crystal structure of 3-((1R,2S)-1-methylpyrrolidin-1-ium-2-yl)pyridin-1-ium tetraiodidozincate(II), C10H16I4ZnN2
  66. Dimerization of 2-[(2-((2-aminophenyl)thio)phenyl)amino]-cyclohepta-2,4,6-trien-1-one through hydrogen bonding, C19H16N2OS
  67. Crystal structure of 1-(4-chloro-phenyl)-7-ethoxyl-6,8-difluoro-4-oxo-1,4-dihydro-quinoline-3-carboxylic acid, C18H12ClF2NO4
  68. Crystal structure of 7-ethoxy-6,8-difluoro-4-oxo-1-pyridin-2-ylmethyl-1,4-dihydro-quinoline-3-carboxylic acid, C18H14F2N2O4
  69. Crystal structure of octahydro-7aR,8′R-dimethylspiro[isobenzofuran-4(1H), 4′ (3′H)-[1H-7,9a]methanocyclohepta[c]pyran]-1′,3, 9′ (3aH,4′aH)-trione, C20H26O5
  70. Crystal structure of bis(5-ethoxy-2-(((1-hydroxy-2-methyl-3-oxidopropan-2-yl)imino)methyl)phenolato-κ3N,O,O’)manganese(IV) – methanol (1/1), C27H38MnN2O9
  71. Crystal structure of 8a,8a′′-oxybis(8aH-8,9-dioxa-3a1λ4-aza-8aλ4-borabenzo[fg]tetracene), C34H22B2N2O5
  72. Crystal structure of bromido-triphenyl-(triphenylarsine oxide-κO)tin(IV), C36H30AsBrOSn
  73. Crystal structure of catena-poly[chlorido-(μ2-formato-κ2O:O′)-(1,10-phenathroline-κ2N,N′)copper(II)], C26H18Cl2Cu2N4O4
  74. The crystal structure of poly[(μ10-5-carboxyisophthalato-κ10O)disodium], C9H4Na2O6
  75. The crystal structure of 3,5-difluoroisonicotinic acid, C6H3F2NO2
  76. The crystal structure of ethyl-1-(N-(adamantan-1-yl)-carbamothioyl)piperidine-4-carboxylate, C19H30N2O2S
  77. Crystal structure of 5-methyl-3-phenyl-1-tosyl-1,2,3,4-tetrahydropyridine, C19H21NO2S
  78. Crystal structure of bis((3-chlorosalicylidene)-ethylenediaminato-κ4N,N′,O,O′)nickel (II), C16H12Cl2NiN2O2
  79. Crystal structure of (E)-N′-(2-chloro-6-hydroxybenzylidene)-4-hydroxybenzohydrazide — dihydrofuran-2(3H)-one (1/1), C18H17ClN2O5
  80. Crystal structure of bis((3-bromosalicylidene)-ethylenediaminato-κ4N,N′,O,O′) nickel (II), C16H12Br2NiN2O2
  81. Crystal structure of trimethylsulfoxonium tetrachloridocobaltate(II) [(CH3)3SO]2CoCl4
Downloaded on 11.11.2025 from https://www.degruyterbrill.com/document/doi/10.1515/ncrs-2020-0150/html
Scroll to top button