Abstract
C10H18Cl4ZnN2O, orthorhombic, P212121 (no. 19), a = 7.0752(1) Å, b = 7.5085(1) Å, c = 29.3383(5) Å, V = 1558.57(4) Å3, Z = 4, Rgt(F) = 0.0330, wRref(F2) = 0.0672, T = 290(2) K.

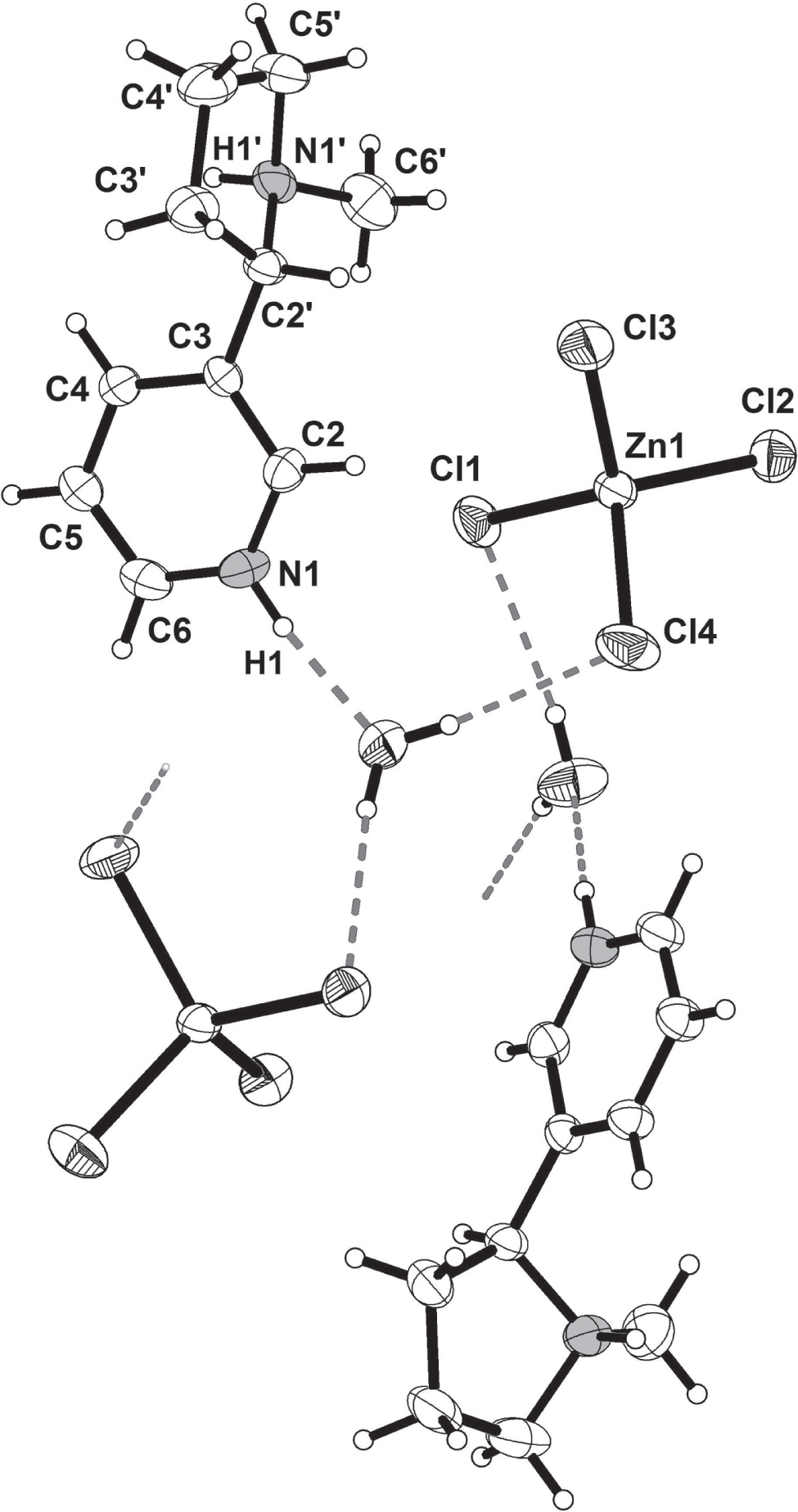
The crystal structure is shown in the figure. Table 1 contains crystallographic data and Table 2 contains the list of the atoms including atomic coordinates and displacement parameters.
Data collection and handling.
| Crystal: | Colourless plate |
| Size: | 0.13 × 0.54 × 0.80 mm |
| Wavelength: | Mo Kα radiation (0.71073 Å) |
| μ: | 2.25 mm−1 |
| Diffractometer, scan mode: | Xcalibur EOS, ω-scans |
| θmax, completeness: | 28°, >99% |
| N(hkl)measured, N(hkl)unique, Rint: | 22747, 3750, 0.030 |
| Criterion for Iobs, N(hkl)gt: | Iobs > 2 σ(Iobs), 3604 |
| N(param)refined: | 179 |
| Programs: | CrysAlisPRO [1], SHELX [2], [3], Diamond [4] |
Fractional atomic coordinates and isotropic or equivalent isotropic displacement parameters (Å2).
| Atom | x | y | z | Uiso*/Ueq |
|---|---|---|---|---|
| Zn1 | 0.33235(7) | 0.72221(6) | 0.62657(2) | 0.03149(11) |
| O1W | 0.6448(6) | 0.7405(5) | 0.50298(12) | 0.0562(9) |
| H1W | 0.597(8) | 0.811(6) | 0.5233(14) | 0.082(16)* |
| H2W | 0.689(8) | 0.798(6) | 0.4798(13) | 0.082(16)* |
| N1 | 0.8004(6) | 0.4450(5) | 0.54165(12) | 0.0376(8) |
| H1 | 0.762(7) | 0.540(7) | 0.5281(17) | 0.043(14)* |
| N1′ | 0.7692(6) | 0.1462(5) | 0.68211(12) | 0.0369(9) |
| H1′ | 0.786(7) | 0.043(6) | 0.6693(15) | 0.035(13)* |
| Cl1 | 0.3209(2) | 0.48652(14) | 0.57828(4) | 0.0428(3) |
| Cl2 | 0.03496(15) | 0.76693(15) | 0.65426(3) | 0.0394(2) |
| Cl3 | 0.53251(18) | 0.6885(2) | 0.68610(4) | 0.0531(3) |
| Cl4 | 0.4349(2) | 0.95560(17) | 0.58342(4) | 0.0575(4) |
| C2 | 0.8081(6) | 0.4413(5) | 0.58728(14) | 0.0324(8) |
| H2 | 0.772046 | 0.540726 | 0.604066 | 0.039* |
| C3 | 0.8691(5) | 0.2911(5) | 0.60908(12) | 0.0267(8) |
| C4 | 0.9179(6) | 0.1450(6) | 0.58296(13) | 0.0325(9) |
| H4 | 0.960327 | 0.041586 | 0.597085 | 0.039* |
| C5 | 0.9041(6) | 0.1515(6) | 0.53576(14) | 0.0364(10) |
| H5 | 0.935239 | 0.052961 | 0.518069 | 0.044* |
| C6 | 0.8434(6) | 0.3062(6) | 0.51589(13) | 0.0385(10) |
| H6 | 0.832494 | 0.313690 | 0.484361 | 0.046* |
| C2′ | 0.8895(6) | 0.2897(6) | 0.66041(12) | 0.0309(8) |
| H2′ | 0.849295 | 0.405664 | 0.672283 | 0.037* |
| C3′ | 1.0873(6) | 0.2499(7) | 0.67813(14) | 0.0422(11) |
| H3A | 1.157224 | 0.359508 | 0.682818 | 0.051* |
| H3B | 1.156057 | 0.176240 | 0.656614 | 0.051* |
| C4′ | 1.0607(9) | 0.1516(7) | 0.72322(16) | 0.0526(13) |
| H4A | 1.125026 | 0.037580 | 0.722485 | 0.063* |
| H4B | 1.111298 | 0.221305 | 0.748242 | 0.063* |
| C5′ | 0.8526(9) | 0.1256(8) | 0.72893(15) | 0.0535(13) |
| H5A | 0.800882 | 0.214021 | 0.749559 | 0.064* |
| H5B | 0.825863 | 0.008028 | 0.741021 | 0.064* |
| C6′ | 0.5640(7) | 0.1874(8) | 0.68251(18) | 0.0524(13) |
| H6A | 0.519860 | 0.201113 | 0.651766 | 0.079* |
| H6B | 0.542879 | 0.295953 | 0.699045 | 0.079* |
| H6C | 0.496665 | 0.091920 | 0.696966 | 0.079* |
Source of materials
In a representative experiment 0.161 mL (0.162 g; 1 mmol) S-nicotine ((S)-3-[1-methylpyrrolidin-2-yl]pyridine; Acros Organics) were dissolved in a few drops of concentrated hydrochloric acid (Merck KGa). To the aforementioned solution 0.136 g (1 mmol; Riedel de Haen) of ZnCl2 were added. This mixture was heated to 85 °C, giving a colourless solution. Colourless plate crystals of the title compound were obtained by slow evaporation at room temperature within a few days.
Raman Spectrum (Bruker MultiRam; resolution: 4 cm−1) [cm−1]: 3092(m), 3066(w), 3031(m), 2964(s, br), 2892(w), 2852(w), 1644(m), 1460(m, br), 1382(w), 1240(m), 1189(m), 1052(s), 1029(s), 902(m), 787(m), 619(m), 562(w), 525(w), 400(br, w), 321(m), 280(s), 220(s), 145(vs) 126 (vs); 100 (vs).
Experimental details
Coordinates of hydrogen atoms attached to nitrogen were refined without any constraints or restraints. The hydrogen atoms of the water molecule were refined using one O—H distance restraint and one common Uiso parameter. The carbon-bound hydrogen atoms were placed using a riding model (AFIX 13/23/43/137) implemented in the SHELXL system using the standard parameters for the constrained Uiso(H) values [3]. The absolute structure determination succeeded as the derived Flack parameter is found to be near zero with a low standard uncertainty [0.007(4) from 1388 selected quotients] using Parsons’s method [5]. The classical calculation of the Flack parameter showed a slightly worse result 0.023(18) using all reflections [3], [5].
Comment
A recently conducted Cambridge Structural Database [6] survey on nicotine-containing structures confirms that about fifty structures are deposited that contain a nicotine-fragment. As reported and summarized by one of us [7] structural data are available for (a) metal complexes, which contain neutral nicotine ligands; (b) a small number of co-crystals containing neutral nicotine as one of the components; (c) some examples for pyrrolidinyl-protonated nicotinium salts; (d) and mono-protonated nicotinium as a cationic ligand. As a result of the database survey specified above, only 7 examples of salt structures containing doubly protonated nicotinium cations have been reported so far [7], [8], [9], [10], [11], [12]. This contribution is part of our continuing interest in synthesis, characterization and understanding of hydrogen-bonding schemes of salts of natural products [7], [11], [12], [13], [14].
Description. The asymmetric unit of the title structure contains one 3-((1R,2S)-1-methylpyrrolidin-1-ium-2-yl)pyridin-1-ium (nicotin-1,1′-dium) dication (nicH2), one tetrachloridozincate(II) dianion and one water molecule. As discussed in our preceding contributions [7], [11], [12], the protonation at the nitrogen atom of the pyrrolinyl moiety creates a second chiral center at N2 (cf. the Figure), which shows R configuration in accord with the literature. This R configuration at the nitrogen atom of the pyrrolinyl moiety seems to be the predominant protonation path. The title structure is isomorphous to the literature known structure of nicH2[CoCl4] ⋅ H2O [12]. The four carbon atoms of the pyrrolidinyl moiety are almost planar (RMS deviation = 0.02 Å) with the N1′ atom folded out of this plane by 0.56(1) Å. The best plane defined by the carbon atoms C2′, C3′, C4′, C5′ encloses an angle of 76.9(2) Å with the mean plane of the pyridinyl moiety (see the figure). This parameter represents the flexibility of the nicotin-1,1′-diium cation in the solid state. This variability around the C3—C2′ single bond is obviously more or less a consequence of the packing and hydrogen-bonding schemes, respectively. The bond lengths and angles within the nicH2 dication [7], [11], [12] as well as those in the [ZnCl4]2− ion [15], [16], [17] are in the expected ranges. The Zn–Cl bond lengths of the chlorido ligands of the complex [ZnCl4]2− anion range from 2.2628(12) Å to 2.2803(12) Å. Comparing the [ZnCl4]2− anion with related H3N-R-ZnCl3-complexes [18], which may form an intramolecular NH⋯Cl hydrogen bond, showed that the Zn—Cl bond lengths are slightly shorter than those in the title salt. The Raman spectrum (see the Source of Materials section) supports the finding of a slightly distorted [ZnCl4]2− anion. The assignment of the [ZnCl4]2− anions related Raman signals (80–300 cm−1) is not trivial. A detailed discussion on the assignment of the Raman signals for [ZnCl4]2− anions has been reported earlier [19]. Raman signals in the 400–3100 cm−1 range are as expected [11].
Supramolecular aspects. The nicH2 dication participates in a classical NH⋯O hydrogen bond to the water molecule (N⋯O = 2.724(5) Å; cf. the Figure), which is in accord with the isomorphous structure of NicH2[CoCl4] ⋅ H2O [12]. The NH group of the pyrrolinyl moiety is involved in a very weak NH⋯Cl hydrogen bond (N2⋯Cl2′ = 3.509(4) Å; ′ = x + 1, y − 1, z). This distance is significantly longer than that [3.309(4) Å] found in the low-temperature structure of the isomorphous structure of nicH2[CoCl4] ⋅ H2O [12], but in accord with the distance derived from the room-temperature structure [3.539(8) Å] of nicH2[CoCl4] ⋅ H2O [12]. Temperature has obviously a larger influence on intermolecular interactions than the interchange of Zn(II) by Co(II). The water molecule donates in total two hydrogen bonds to two [ZnCl4]2− dianions [O1⋯Cl4 = 3.222(4) Å; O1⋯Cl1′′ = 3.382(4) Å; ′′ = x + 1/2, −y + 3/2, −z + 1]. Neglecting the very weak NH⋯Cl hydrogen bond of the pyrrolidinyl moiety, a hydrogen-bonded chain structure running along the crystallographic a direction is obtained. Including the aforementioned very weak NH⋯Cl hydrogen bond a 2D network parallel to the ab plane is constructed by the connection of adjacent chains. This 2D description is also the most reliable description for the low-temperature structure of nicH2[CoCl4] ⋅ H2O [12].
Outlook. In continuation of this structural study we are still trying to crystallize more nicotin-1,1′-dium tetrahalogenidometallate salts for a detailed comparison and understanding of temperature and element dependent structural changes in groups of isomorphous structures. It may be of interest to test more nicotin-1,1′-dium tetrahalogenidometallate salts in catalysis as for other nicotin-1,1′-dium salts catalytic properties are observed [20], [21].
Acknowledgements
We gratefully acknowledge support by the Ministry of Innovation, Science and Research of North-Rhine Westphalia and the German Research Foundation (DFG) for financial support (Xcalibur diffractometer; INST 208/533-1). We thank E. Hammes for the technical support (Raman spectrum).
References
1. CrysAlis PRO, Oxford Diffraction Ltd., Abingdon, Oxfordshire, England (2006).Search in Google Scholar
2. Sheldrick, G. M.: SHELXT – Integrated space-group and crystal-structure determination. Acta Crystallogr. A71 (2015) 3–8.10.1107/S2053273314026370Search in Google Scholar PubMed PubMed Central
3. Sheldrick, G. M.: Crystal structure refinement with SHELXL. Acta Crystallogr. C71 (2015) 3–8.10.1107/S2053229614024218Search in Google Scholar PubMed PubMed Central
4. Brandenburg, K.: DIAMOND. Visual Crystal Structure Information System. Ver. 4.0. Crystal Impact, Bonn, Germany (2015).Search in Google Scholar
5. Parsons, S.; Flack, H. D.; Wagner, T.: Use of intensity quotients and differences in absolute structure refinement. ActaCrystallogr. B69 (2013) 249–259.10.1107/S2052519213010014Search in Google Scholar PubMed PubMed Central
6. Groom, C. R.; Allen, F. H.: The Cambridge Structural Database in retrospect and prospect. Angew. Chem. Int. Ed. 53 (2014) 662–671.10.1002/anie.201306438Search in Google Scholar PubMed
7. Reiss, G. J.: The crystal structure of 3-((1R,2S)-1-methylpyrrolidin-1-ium-2-yl)pyridin-1-ium tetrachloridomanganate(II), C10H16Cl4MnN2. Z. Kristallogr. NCS 235 (2020) 415–417.10.1515/ncrs-2019-0717Search in Google Scholar
8. Choi, S.-N.; Lee, Y.-M.; Lee, H.-W.; Kang, S. K.; Kim, Y.-I.: Nicotinium tetrachlorocuprate(II). Acta Crystallogr. E58 (2002) m583–m585.10.1107/S1600536802017154Search in Google Scholar
9. Kang, S.-W.; Kim, H.-S.; and Kim, Y.-I.: Preparation and characterization of nicotinium tetrahalocuprate(II) and tetrahalocobaltate(II) complexes: structure of nicotinium tetrachlorocobaltate(II). Bull. Korean Chem. Soc. 27 (2006) 1877–1880.10.5012/bkcs.2006.27.11.1877Search in Google Scholar
10. Koo, C. H.; Kim, H.-S.: The crystal structure of nicotine dihydroiodide. J. Korean Chem. Soc. 9 (1965) 34–41.Search in Google Scholar
11. Reiss, G. J.: I5− Polymers with a layered arrangement: synthesis, spectroscopy and structure of a new polyiodide salt in the nicotine/HI/I2 system. Z. Naturforsch. B70 (2015) 735–739.10.1515/znb-2015-0092Search in Google Scholar
12. Reiss, G. J.; Sergeeva, A.: The crystal structure of 3-((1R,2S)-1-methylpyrrolidin-1-ium-2-yl)pyridin-1-ium tetrachloridocobaltate(II) monohydrate, C10H18Cl4CoN2O. Z. Kristallogr. NCS 232 (2017) 159–161.10.1515/ncrs-2016-0245Search in Google Scholar
13. Merkelbach, J.; Majewski, M. A.; Reiss, G. J.: Crystal structure of caffeinium triiodide — caffeine (1/1), C16H21I3N8O4. Z. Kristallogr. NCS 233 (2018) 941–944.10.1515/ncrs-2018-0125Search in Google Scholar
14. Reiss, G. J.: A cyclic I102− anion in the layered crystal structure of theophyllinium pentaiodide, C7H9I5N4O2. Z. Kristallogr. NCS 234 (2019) 737–739.10.1515/ncrs-2019-0082Search in Google Scholar
15. Akhtar, M.; Zierkiewicz, W.; Michalczyk, M.; Rüffer, T.; Lang, H.; Isab Anvarhusein, A.; Mazhar, M.; Ahmad, S.: Crystal structure and theoretical investigation of bis(cis-1,2-diaminocyclohexane)zinc(II) tetrachloridozincate(II). Z. Naturforsch. B72 (2017) 627–630.10.1515/znb-2017-0006Search in Google Scholar
16. Rayes, A.; Mezzadri, F.; Issaoui, N.; Ayed, B.; Calestani, G.: Synthesis, physico-chemical studies, non-linear optical properties and DFT calculations of a new non-centrosymmetric compound: (3-ammoniumpyridinium) tetrachloridozincate(II). J. Mol. Struct. 1184 (2019) 524–531.10.1016/j.molstruc.2018.12.042Search in Google Scholar
17. Song, Q.; Song, L.: Crystal Structure of 1,1′-dimethyl-[4,4′-bipyridine]-1,1′-diium tetrachloridozincate(II), C12H14Cl4N2Zn. Z.Kristallogr. NCS 232 (2017) 461–462.10.1515/ncrs-2016-0317Search in Google Scholar
18. Reiss, G. J.: Two structurally related, hydrogen-bonded polymorphs of the zwitterionic complex trichlorido-((dimethylphosphoryl)methanaminium-κO) zinc(II). Main Group Met. Chem. 38 (2015) 125–130 and references cited therein.10.1515/mgmc-2015-0024Search in Google Scholar
19. Carter, R. L.: Raman spectra of the double-anion salts M3ZnCl4NO3 (M+ = K+, Rb+, NH4+). Spectrochim. Acta A56 (2000) 2351–2363.10.1016/S1386-1425(00)00284-5Search in Google Scholar
20. Tamaddon, F.; Azadi, D.: Synthesis and identification of nicotinium sulfate (3-(1-methylpyrrolidin-2-yl)pyridine : H2SO4) from tobacco-extracted nicotine: a protic ionic liquid and biocompatible catalyst for selective acetylation of amines. J. Mol. Liq. 255 (2018) 406–412.10.1016/j.molliq.2017.12.107Search in Google Scholar
21. Tamaddon, F.; Azadi, D.: Nicotinium methane sulfonate (NMS): A bio-renewable protic ionic liquid and bi-functional catalyst for synthesis of 2-amino-3-cyano pyridines. J. Mol. Liq. 249 (2018) 789–794.10.1016/j.molliq.2017.10.153Search in Google Scholar
©2020 Guido J. Reiss et al., published by De Gruyter, Berlin/Boston
This work is licensed under the Creative Commons Attribution 4.0 Public License.
Articles in the same Issue
- Frontmatter
- Crystal structure of bis [1-(phenylsulfonyl)-2-(1-(pyrazin-2-yl)ethylidene)hydrazin-1-ido-κ3N,N′,O]cobalt(II), C24H22N8O4S2Co
- The crystal structure of 1,3-bis(4-(methoxycarbonyl)benzyl)-2-methyl-1H-benzo[d]imidazol-3-ium bromide, C26H25BrN2O4
- Crystal structure of {tris((1H-benzo[d]imidazol-2-yl)methyl)amine-κ4N,N′,N′′,N′′′}-(nitrito-κ2O,O′)nickel(II) perchlorate – ethanol (1/1), C26H27ClN8NiO7
- Crystal structure of catena-poly[aqua[(μ2-4,5-dicarboxylato-2-(2-carboxylatophenyl)imidazol-1-ido-κ4N,O,O′:N′)](μ2-4,4′-bipyridine-κ2N:N′)dicopper(II)], C22H14Cu2N4O7
- Crystal structure of chlorido-tris(4-methylbenzyl-κC)-(triphenylarsine oxide-κO)tin(IV), C42H42AsClOSn
- The crystal structure of 4,4′-bipyridinium bis(3-carboxy-2-nitrobenzoate) tetrahydrate, C13H13N2O8
- Crystal structure of 1-(3-chlorophenyl)-4-(4-(((2,3-dihydro-1H-inden-5-yl)oxy)methyl)phenethyl)piperazine, C28H31ClN2O
- Crystal structure of catena-poly[diaqua-bis(μ2-5,5′-(1H-imidazole-4,5-diyl)bis(tetrazol-2-ido)-κ4N,N′:N′′,N′′′)magnesium], C10H8N20O2Mg
- The crystal structure of (E)-2-((2-hydroxy-4-ethoxybenzylidene)amino)-2-methylpropane-1,3-diol monohydrate, C13H21NO5
- Crystal structure of catena-poly[diaqua-(μ2-bipyridine-κ2N:N′)-bis(3,5-dichloroisonicotinato-κO)cadmium(II)] dihydrate, C22H20CdCl4N4O8
- The crystal structure of 4-(4-chlorophenyl)cyclohexane-1-carboxylic acid, C13H15ClO2
- Redetermination of the crystal structure of yttrium(III) trinitrate(V) pentahydrate, Y(NO3)3 ⋅ 5 H2O, H10N3O14Y
- Crystal structure of catena-poly[di-μ2-chlorido-1,10-phenanthroline-κ2N,N′-cadmium(II)], C12H8Cl2CdN2
- Crystal structure of 4-((2-methyl-6-(trifluoromethyl)pyrimidin-4-yl)oxy)benzoic acid, C13H9F3N2O3
- Crystal structure of 3-acetyl-4-hydroxybenzoic acid, C18H16O8
- Crystal structure of bis(N,2-bis(4-ethoxybenzylidene)hydrazine-1-carbohydrazonothioato-κ2N,S)nickel(II) — N,N-dimethylformamide (1/2), C44H56N10S2O6Ni
- The crystal structure of 5-chloro-4,6-dimethoxypyrimidin-2-amine, C6H8ClN3O2
- Crystal structure of poly[aqua-(μ4-benzene-1,2,4,5-tetracarboxylato-κ4O,O′,O′′,O′′′)bis(μ2-1-(4-(1H-imidazol-1-yl)benzyl)-1H-1,2,4-triazole-κ2N:N)dinickel(II)], NiC17H14N5O5
- Crystal structure of poly[aqua(5-dimethylamino)naphthalene-1-sulfonato-κ2N:O)(μ2-4,4′-bipyridyl -κ2N:N′)silver(I)], C44H44Ag2N6O8S2
- Crystal structure of 1-[3-(trifluoromethyl)cinnamoyl]-3-(pyridin-2-yl-κN)pyrazole-κ2N-bis(2-phenylpyridinato-k2C,N)iridium(III) hexafluorophosphate complex, [C40H28F3IrN5O]PF6
- Crystal structure of catena-poly[aqua(μ6-piperazine-1,4-bisethanesulfonato-κ6N:N′:O:O′:O′′:O′′′)(μ2-pyrazinyl-κ2N:N′)disilver(I)sesquihydrate], C12H30Ag2N4O11S2
- Crystal structure of (E)-1-(2-nitrophenyl)-N-(o-tolyl)methanimine, C14H12N2O2
- Crystal structure of 4′-amino-3′,5′-diisopropyl-(1,1′-biphenyl)-4-carbonitrile, C19H22N2
- The crystal structure of poly[bis(N,N-dimethylformamide-κ1O)-tetrakis(μ2-cyanido-κ2C:N)dinickel(II)], C10H14N6O2Ni2
- Crystal structure of rac-trans-N,N′-bis(3-bromo-5-chlorosalicylidene)-1,2-cyclohexanediamine, C20H18Br2Cl2N2O2
- Crystal structure of rac-trans-N,N′-bis(3,5-dibromosalicylidene)-1,2-cyclohexanediamine, C20H18Br4N2O2
- The crystal structure of (dichromato-κ2O,O′)bis(1,10-phenanthroline-κ2N,N′)nickel(II), C12H16N4O7Cr2Ni
- The crystal structure of 3-((1R,2S)-1-methylpyrrolidin-1-ium-2-yl)pyridin-1-ium tetrachloridozincate(II) monohydrate, C10H18Cl4ZnN2O
- Crystal structure of bis(μ2-azido-k2N,N)-bis(2-amino-1-(N-(3-bromosalicylaldiminato))ethane)-dicopper(II), C20H18Br4N2O2
- Crystal structure of (η6-1-methyl-4-isopropylbenzene)-[5-bromo-2-(2-pyridyl)phenyl-κ2C,N]-chloro-ruthenium(II), C21H21BrClNRu
- Crystal structure of N-(methyl(oxo)(1-(6-(trifluoromethyl)pyridin-3-yl)ethyl)-λ6-sulfanylidene)cyanamide, C10H10F3N3OS
- Crystal structure of 6,6′-((cyclohexane-1,2-diylbis(azanylylidene))bis(methanylylidene))bis(2-bromo-4-chlorophenolato-κ4N,N′,O,O′)nickel(II), C20H16Br2Cl2NiN2O2
- Redetermination of the crystal structure of catena-poly[aqua-(1,10-phenanthroline-κ2N,N′)-(μ2-tetraoxidomolybdato(VI)-κ2O:O′)manganese(II) monohydrate, C12H12N2O6MoMn
- The crystal structure tetrakis(μ2-o-chlorobenzoato-κ2O:O′)-bis(methanol-κ1O)dirhodium(II), C30H24Cl4O10Rh2
- Crystal structure of bis(2,3-diphenyltetrazolidine-5-thione-κ1S)-(nitrato-κ1O)-(nitrato-κ2O,O′)lead(II), C26H20N10O6S2Pb
- Crystal structure of bis(3-bromo-N-(1-(3-methylpyrazin-2-yl)ethylidene)benzohydrazonato-κ3O,N,N′)cadmium(II) hemihydrate, C28H25N8O2.5Br2Cd
- Crystal structure of catena-poly[tetrakis(μ2-trifluoroacetato-κ2O:O′)(μ2-2,5-dimethylpyrazine-κ2N,N′)dicopper(II)], C7H4CuF6NO4
- The crystal structure of catena-poly[bis[3-azoniapentane-1,5-diammonium][bis(μ4-oxo)-tetrakis(μ3-oxo)-heptakis(μ2-oxo)-tetradecaoxo-octa-molybdenum] dihydrate], (C8H36N6O29Mo8)n
- Crystal structure of tetraaqua-bis(2-((3,5,6-trichloropyridin-2-yl)oxy)acetato-κO)-nickel(II)—diaqua-bis(2-((3,5,6-trichloropyridin-2-yl)oxy)acetato-nickel(II), C28H24Cl12N4Ni2O18
- The crystal structure of bis(2-hydroxypyrimidinium) pentachloridobismuthate(III), (C4N2H5O)2BiCl5
- The crystal structure of catena-poly[(μ2-4,4′-dipyridine-κ2N,N′)-bis(3,5,6-trichloropyridine-2-oxyacetato-κO)-bis(ethanol-κO)nickel(II)], C28H26Cl6N4NiO8
- Crystal structure and anti-inflammatory activity of (3E,5E)-1-((4-chlorophenyl)sulfonyl)-3,5-bis(4-fluorobenzylidene)piperidin-4-one-dichloromethane (1/1), C26H20Cl3F2NO3S
- The crystal structure of 5-bromopicolinic acid monohydrate, C6H6BrNO3
- The crystal structure of 2-(3-(4-bromophenyl)-5-(4-fluorophenyl)-4,5-dihydro-1H-pyrazol-1-yl)-8H-indeno[1,2-d]thiazole, C25H17BrFN3S
- The crystal structure of catena-poly[(μ2-2-((3-bromo-2-oxidobenzylidene)amino)acetato-κ4O,N,O′:O′′)-(dimethylformamide-κ1O)]zinc(II), C12H13N2O4BrZn
- Crystal structure of aqua-azido-κ1N-(6,6′-((propane-1,3-diylbis(azanylylidene))bis(methanylylidene))bis(3-bromophenolato)-κ4N,N′,O,O′iron(III), C17H16Br2FeN5O3
- The crystal structure of tris(1-ethylimidazole-κ1N)-(sulfato-κ2O,O′)vanadium(IV), C15H24N6O5SV
- Crystal structure of (E)-3-methoxy-N′-(1-(pyridin-2-yl)ethylidene)benzohydrazide, C15H15N3O2
- Crystal structure of dichloro-bis-(1-butyl-1H-benzo[d]imidazole)-nickel(II), C22H28Cl2N4Ni
- The crystal structure of 2-(2,3-dimethoxyphenyl)-3-hydroxy-4H-chromen-4-one, C17H14O5
- The crystal structure of 5-(2-(4-fluorophenyl)hydrazono)-4-methyl-2-((3-(5-methyl-1-(4-methylphenyl)-1H-1,2,3-triazol-4-yl)-1-phenyl-1H-pyrazol-4-yl)methylene) hydrazono)-2,5-dihydrothiazole dimethylformamide monosolvate, C30H25FN10S⋅C3H7NO
- The crystal structure of 1,8-bis(pyridin-4-ylethynyl)anthracene-1,2,4,5-tetrafluoro-3,6-diiodobenzene (2/1), C62H32F4I2N4
- The crystal structure of 3,6-di-tert-butyl-1,8-diiodo-9-methyl-9H-carbazole, C21H25I2N
- The crystal structure of 8-((4-chlorophenylamino)methylene)-6,10-dioxaspiro[4.5]decane-7,9-dione, C15H14ClNO4
- The crystal structure of catena-poly[oktaaqua-bis(μ2-4,4′-ethene-1,2-diyldipyridine-κ2N:N′)-(μ2-3,3′-(1-oxidodiazene-1,2-diyl)diphthalato-κ2O:O′)dicobalt(II)] dihydrate, C28H36N4O19Co2
- Crystal structure of (E)-1-(2-cyano-3-oxo-1-phenylprop-1-en-1-yl)-3,7-diphenylindolizine-6-carbonitrile, C31H19N3O
- Crystal structure of 1,1′-bis(diphenylphosphino)ferrocene-(1,1′-bis(diphenylphosphino)ferrocene-κ2P,P′)-(O-isobutyl sulfurodithioito-κ2S,S′)copper(I), C39H37CuFeOP2S2
- Crystal structure of poly[(5-bimethylamino-1-naphthalenesulfonato-κO)-(μ3-hexamethylenetetramino-κ3N:N′:N′′)silver(I)] dihydrate, C36H52Ag2N10O8S2
- Crystal structure of poly[μ2-diaqua-(μ2-2-amino-4,5-dicyano-κ2N:N′-imidazol-1-ide)sodium(I)], C5H6N5O2Na
- Crystal structure of (1,3-propanediamine-κ2N,N′)(N-(3-aminopropyl)-α-methyl aspartato-κ4N,N′,O,O′)cobalt(III) chloride, C11H24ClCoN4O4
- Crystal structure and anti-inflammatory activity of (3E,5E)-3,5-bis(4-fluorobenzylidene)-1-((4-fluorophenyl)sulfonyl)piperidin-4-one-dichloromethane (1/1), C26H20Cl2F3NO3S
- Crystal structure of (S)-(+)-1-cyclohexylethylaminium chloride, C8H18NCl
- The crystal structure of tris(nitrato-κ2O,O′)-bis(4,4,5,5-tetramethyl-2-(o-pyridyl)imidazoline-1-oxyl 3-oxide-κ2N,O)yttrium(III), C24H32N9O13Y
- Hydrogen bonding versus packing effects in the crystal structure of 3-((1R,2S)-1-methylpyrrolidin-1-ium-2-yl)pyridin-1-ium tetraiodidozincate(II), C10H16I4ZnN2
- Dimerization of 2-[(2-((2-aminophenyl)thio)phenyl)amino]-cyclohepta-2,4,6-trien-1-one through hydrogen bonding, C19H16N2OS
- Crystal structure of 1-(4-chloro-phenyl)-7-ethoxyl-6,8-difluoro-4-oxo-1,4-dihydro-quinoline-3-carboxylic acid, C18H12ClF2NO4
- Crystal structure of 7-ethoxy-6,8-difluoro-4-oxo-1-pyridin-2-ylmethyl-1,4-dihydro-quinoline-3-carboxylic acid, C18H14F2N2O4
- Crystal structure of octahydro-7aR,8′R-dimethylspiro[isobenzofuran-4(1H), 4′ (3′H)-[1H-7,9a]methanocyclohepta[c]pyran]-1′,3, 9′ (3aH,4′aH)-trione, C20H26O5
- Crystal structure of bis(5-ethoxy-2-(((1-hydroxy-2-methyl-3-oxidopropan-2-yl)imino)methyl)phenolato-κ3N,O,O’)manganese(IV) – methanol (1/1), C27H38MnN2O9
- Crystal structure of 8a,8a′′-oxybis(8aH-8,9-dioxa-3a1λ4-aza-8aλ4-borabenzo[fg]tetracene), C34H22B2N2O5
- Crystal structure of bromido-triphenyl-(triphenylarsine oxide-κO)tin(IV), C36H30AsBrOSn
- Crystal structure of catena-poly[chlorido-(μ2-formato-κ2O:O′)-(1,10-phenathroline-κ2N,N′)copper(II)], C26H18Cl2Cu2N4O4
- The crystal structure of poly[(μ10-5-carboxyisophthalato-κ10O)disodium], C9H4Na2O6
- The crystal structure of 3,5-difluoroisonicotinic acid, C6H3F2NO2
- The crystal structure of ethyl-1-(N-(adamantan-1-yl)-carbamothioyl)piperidine-4-carboxylate, C19H30N2O2S
- Crystal structure of 5-methyl-3-phenyl-1-tosyl-1,2,3,4-tetrahydropyridine, C19H21NO2S
- Crystal structure of bis((3-chlorosalicylidene)-ethylenediaminato-κ4N,N′,O,O′)nickel (II), C16H12Cl2NiN2O2
- Crystal structure of (E)-N′-(2-chloro-6-hydroxybenzylidene)-4-hydroxybenzohydrazide — dihydrofuran-2(3H)-one (1/1), C18H17ClN2O5
- Crystal structure of bis((3-bromosalicylidene)-ethylenediaminato-κ4N,N′,O,O′) nickel (II), C16H12Br2NiN2O2
- Crystal structure of trimethylsulfoxonium tetrachloridocobaltate(II) [(CH3)3SO]2CoCl4
Articles in the same Issue
- Frontmatter
- Crystal structure of bis [1-(phenylsulfonyl)-2-(1-(pyrazin-2-yl)ethylidene)hydrazin-1-ido-κ3N,N′,O]cobalt(II), C24H22N8O4S2Co
- The crystal structure of 1,3-bis(4-(methoxycarbonyl)benzyl)-2-methyl-1H-benzo[d]imidazol-3-ium bromide, C26H25BrN2O4
- Crystal structure of {tris((1H-benzo[d]imidazol-2-yl)methyl)amine-κ4N,N′,N′′,N′′′}-(nitrito-κ2O,O′)nickel(II) perchlorate – ethanol (1/1), C26H27ClN8NiO7
- Crystal structure of catena-poly[aqua[(μ2-4,5-dicarboxylato-2-(2-carboxylatophenyl)imidazol-1-ido-κ4N,O,O′:N′)](μ2-4,4′-bipyridine-κ2N:N′)dicopper(II)], C22H14Cu2N4O7
- Crystal structure of chlorido-tris(4-methylbenzyl-κC)-(triphenylarsine oxide-κO)tin(IV), C42H42AsClOSn
- The crystal structure of 4,4′-bipyridinium bis(3-carboxy-2-nitrobenzoate) tetrahydrate, C13H13N2O8
- Crystal structure of 1-(3-chlorophenyl)-4-(4-(((2,3-dihydro-1H-inden-5-yl)oxy)methyl)phenethyl)piperazine, C28H31ClN2O
- Crystal structure of catena-poly[diaqua-bis(μ2-5,5′-(1H-imidazole-4,5-diyl)bis(tetrazol-2-ido)-κ4N,N′:N′′,N′′′)magnesium], C10H8N20O2Mg
- The crystal structure of (E)-2-((2-hydroxy-4-ethoxybenzylidene)amino)-2-methylpropane-1,3-diol monohydrate, C13H21NO5
- Crystal structure of catena-poly[diaqua-(μ2-bipyridine-κ2N:N′)-bis(3,5-dichloroisonicotinato-κO)cadmium(II)] dihydrate, C22H20CdCl4N4O8
- The crystal structure of 4-(4-chlorophenyl)cyclohexane-1-carboxylic acid, C13H15ClO2
- Redetermination of the crystal structure of yttrium(III) trinitrate(V) pentahydrate, Y(NO3)3 ⋅ 5 H2O, H10N3O14Y
- Crystal structure of catena-poly[di-μ2-chlorido-1,10-phenanthroline-κ2N,N′-cadmium(II)], C12H8Cl2CdN2
- Crystal structure of 4-((2-methyl-6-(trifluoromethyl)pyrimidin-4-yl)oxy)benzoic acid, C13H9F3N2O3
- Crystal structure of 3-acetyl-4-hydroxybenzoic acid, C18H16O8
- Crystal structure of bis(N,2-bis(4-ethoxybenzylidene)hydrazine-1-carbohydrazonothioato-κ2N,S)nickel(II) — N,N-dimethylformamide (1/2), C44H56N10S2O6Ni
- The crystal structure of 5-chloro-4,6-dimethoxypyrimidin-2-amine, C6H8ClN3O2
- Crystal structure of poly[aqua-(μ4-benzene-1,2,4,5-tetracarboxylato-κ4O,O′,O′′,O′′′)bis(μ2-1-(4-(1H-imidazol-1-yl)benzyl)-1H-1,2,4-triazole-κ2N:N)dinickel(II)], NiC17H14N5O5
- Crystal structure of poly[aqua(5-dimethylamino)naphthalene-1-sulfonato-κ2N:O)(μ2-4,4′-bipyridyl -κ2N:N′)silver(I)], C44H44Ag2N6O8S2
- Crystal structure of 1-[3-(trifluoromethyl)cinnamoyl]-3-(pyridin-2-yl-κN)pyrazole-κ2N-bis(2-phenylpyridinato-k2C,N)iridium(III) hexafluorophosphate complex, [C40H28F3IrN5O]PF6
- Crystal structure of catena-poly[aqua(μ6-piperazine-1,4-bisethanesulfonato-κ6N:N′:O:O′:O′′:O′′′)(μ2-pyrazinyl-κ2N:N′)disilver(I)sesquihydrate], C12H30Ag2N4O11S2
- Crystal structure of (E)-1-(2-nitrophenyl)-N-(o-tolyl)methanimine, C14H12N2O2
- Crystal structure of 4′-amino-3′,5′-diisopropyl-(1,1′-biphenyl)-4-carbonitrile, C19H22N2
- The crystal structure of poly[bis(N,N-dimethylformamide-κ1O)-tetrakis(μ2-cyanido-κ2C:N)dinickel(II)], C10H14N6O2Ni2
- Crystal structure of rac-trans-N,N′-bis(3-bromo-5-chlorosalicylidene)-1,2-cyclohexanediamine, C20H18Br2Cl2N2O2
- Crystal structure of rac-trans-N,N′-bis(3,5-dibromosalicylidene)-1,2-cyclohexanediamine, C20H18Br4N2O2
- The crystal structure of (dichromato-κ2O,O′)bis(1,10-phenanthroline-κ2N,N′)nickel(II), C12H16N4O7Cr2Ni
- The crystal structure of 3-((1R,2S)-1-methylpyrrolidin-1-ium-2-yl)pyridin-1-ium tetrachloridozincate(II) monohydrate, C10H18Cl4ZnN2O
- Crystal structure of bis(μ2-azido-k2N,N)-bis(2-amino-1-(N-(3-bromosalicylaldiminato))ethane)-dicopper(II), C20H18Br4N2O2
- Crystal structure of (η6-1-methyl-4-isopropylbenzene)-[5-bromo-2-(2-pyridyl)phenyl-κ2C,N]-chloro-ruthenium(II), C21H21BrClNRu
- Crystal structure of N-(methyl(oxo)(1-(6-(trifluoromethyl)pyridin-3-yl)ethyl)-λ6-sulfanylidene)cyanamide, C10H10F3N3OS
- Crystal structure of 6,6′-((cyclohexane-1,2-diylbis(azanylylidene))bis(methanylylidene))bis(2-bromo-4-chlorophenolato-κ4N,N′,O,O′)nickel(II), C20H16Br2Cl2NiN2O2
- Redetermination of the crystal structure of catena-poly[aqua-(1,10-phenanthroline-κ2N,N′)-(μ2-tetraoxidomolybdato(VI)-κ2O:O′)manganese(II) monohydrate, C12H12N2O6MoMn
- The crystal structure tetrakis(μ2-o-chlorobenzoato-κ2O:O′)-bis(methanol-κ1O)dirhodium(II), C30H24Cl4O10Rh2
- Crystal structure of bis(2,3-diphenyltetrazolidine-5-thione-κ1S)-(nitrato-κ1O)-(nitrato-κ2O,O′)lead(II), C26H20N10O6S2Pb
- Crystal structure of bis(3-bromo-N-(1-(3-methylpyrazin-2-yl)ethylidene)benzohydrazonato-κ3O,N,N′)cadmium(II) hemihydrate, C28H25N8O2.5Br2Cd
- Crystal structure of catena-poly[tetrakis(μ2-trifluoroacetato-κ2O:O′)(μ2-2,5-dimethylpyrazine-κ2N,N′)dicopper(II)], C7H4CuF6NO4
- The crystal structure of catena-poly[bis[3-azoniapentane-1,5-diammonium][bis(μ4-oxo)-tetrakis(μ3-oxo)-heptakis(μ2-oxo)-tetradecaoxo-octa-molybdenum] dihydrate], (C8H36N6O29Mo8)n
- Crystal structure of tetraaqua-bis(2-((3,5,6-trichloropyridin-2-yl)oxy)acetato-κO)-nickel(II)—diaqua-bis(2-((3,5,6-trichloropyridin-2-yl)oxy)acetato-nickel(II), C28H24Cl12N4Ni2O18
- The crystal structure of bis(2-hydroxypyrimidinium) pentachloridobismuthate(III), (C4N2H5O)2BiCl5
- The crystal structure of catena-poly[(μ2-4,4′-dipyridine-κ2N,N′)-bis(3,5,6-trichloropyridine-2-oxyacetato-κO)-bis(ethanol-κO)nickel(II)], C28H26Cl6N4NiO8
- Crystal structure and anti-inflammatory activity of (3E,5E)-1-((4-chlorophenyl)sulfonyl)-3,5-bis(4-fluorobenzylidene)piperidin-4-one-dichloromethane (1/1), C26H20Cl3F2NO3S
- The crystal structure of 5-bromopicolinic acid monohydrate, C6H6BrNO3
- The crystal structure of 2-(3-(4-bromophenyl)-5-(4-fluorophenyl)-4,5-dihydro-1H-pyrazol-1-yl)-8H-indeno[1,2-d]thiazole, C25H17BrFN3S
- The crystal structure of catena-poly[(μ2-2-((3-bromo-2-oxidobenzylidene)amino)acetato-κ4O,N,O′:O′′)-(dimethylformamide-κ1O)]zinc(II), C12H13N2O4BrZn
- Crystal structure of aqua-azido-κ1N-(6,6′-((propane-1,3-diylbis(azanylylidene))bis(methanylylidene))bis(3-bromophenolato)-κ4N,N′,O,O′iron(III), C17H16Br2FeN5O3
- The crystal structure of tris(1-ethylimidazole-κ1N)-(sulfato-κ2O,O′)vanadium(IV), C15H24N6O5SV
- Crystal structure of (E)-3-methoxy-N′-(1-(pyridin-2-yl)ethylidene)benzohydrazide, C15H15N3O2
- Crystal structure of dichloro-bis-(1-butyl-1H-benzo[d]imidazole)-nickel(II), C22H28Cl2N4Ni
- The crystal structure of 2-(2,3-dimethoxyphenyl)-3-hydroxy-4H-chromen-4-one, C17H14O5
- The crystal structure of 5-(2-(4-fluorophenyl)hydrazono)-4-methyl-2-((3-(5-methyl-1-(4-methylphenyl)-1H-1,2,3-triazol-4-yl)-1-phenyl-1H-pyrazol-4-yl)methylene) hydrazono)-2,5-dihydrothiazole dimethylformamide monosolvate, C30H25FN10S⋅C3H7NO
- The crystal structure of 1,8-bis(pyridin-4-ylethynyl)anthracene-1,2,4,5-tetrafluoro-3,6-diiodobenzene (2/1), C62H32F4I2N4
- The crystal structure of 3,6-di-tert-butyl-1,8-diiodo-9-methyl-9H-carbazole, C21H25I2N
- The crystal structure of 8-((4-chlorophenylamino)methylene)-6,10-dioxaspiro[4.5]decane-7,9-dione, C15H14ClNO4
- The crystal structure of catena-poly[oktaaqua-bis(μ2-4,4′-ethene-1,2-diyldipyridine-κ2N:N′)-(μ2-3,3′-(1-oxidodiazene-1,2-diyl)diphthalato-κ2O:O′)dicobalt(II)] dihydrate, C28H36N4O19Co2
- Crystal structure of (E)-1-(2-cyano-3-oxo-1-phenylprop-1-en-1-yl)-3,7-diphenylindolizine-6-carbonitrile, C31H19N3O
- Crystal structure of 1,1′-bis(diphenylphosphino)ferrocene-(1,1′-bis(diphenylphosphino)ferrocene-κ2P,P′)-(O-isobutyl sulfurodithioito-κ2S,S′)copper(I), C39H37CuFeOP2S2
- Crystal structure of poly[(5-bimethylamino-1-naphthalenesulfonato-κO)-(μ3-hexamethylenetetramino-κ3N:N′:N′′)silver(I)] dihydrate, C36H52Ag2N10O8S2
- Crystal structure of poly[μ2-diaqua-(μ2-2-amino-4,5-dicyano-κ2N:N′-imidazol-1-ide)sodium(I)], C5H6N5O2Na
- Crystal structure of (1,3-propanediamine-κ2N,N′)(N-(3-aminopropyl)-α-methyl aspartato-κ4N,N′,O,O′)cobalt(III) chloride, C11H24ClCoN4O4
- Crystal structure and anti-inflammatory activity of (3E,5E)-3,5-bis(4-fluorobenzylidene)-1-((4-fluorophenyl)sulfonyl)piperidin-4-one-dichloromethane (1/1), C26H20Cl2F3NO3S
- Crystal structure of (S)-(+)-1-cyclohexylethylaminium chloride, C8H18NCl
- The crystal structure of tris(nitrato-κ2O,O′)-bis(4,4,5,5-tetramethyl-2-(o-pyridyl)imidazoline-1-oxyl 3-oxide-κ2N,O)yttrium(III), C24H32N9O13Y
- Hydrogen bonding versus packing effects in the crystal structure of 3-((1R,2S)-1-methylpyrrolidin-1-ium-2-yl)pyridin-1-ium tetraiodidozincate(II), C10H16I4ZnN2
- Dimerization of 2-[(2-((2-aminophenyl)thio)phenyl)amino]-cyclohepta-2,4,6-trien-1-one through hydrogen bonding, C19H16N2OS
- Crystal structure of 1-(4-chloro-phenyl)-7-ethoxyl-6,8-difluoro-4-oxo-1,4-dihydro-quinoline-3-carboxylic acid, C18H12ClF2NO4
- Crystal structure of 7-ethoxy-6,8-difluoro-4-oxo-1-pyridin-2-ylmethyl-1,4-dihydro-quinoline-3-carboxylic acid, C18H14F2N2O4
- Crystal structure of octahydro-7aR,8′R-dimethylspiro[isobenzofuran-4(1H), 4′ (3′H)-[1H-7,9a]methanocyclohepta[c]pyran]-1′,3, 9′ (3aH,4′aH)-trione, C20H26O5
- Crystal structure of bis(5-ethoxy-2-(((1-hydroxy-2-methyl-3-oxidopropan-2-yl)imino)methyl)phenolato-κ3N,O,O’)manganese(IV) – methanol (1/1), C27H38MnN2O9
- Crystal structure of 8a,8a′′-oxybis(8aH-8,9-dioxa-3a1λ4-aza-8aλ4-borabenzo[fg]tetracene), C34H22B2N2O5
- Crystal structure of bromido-triphenyl-(triphenylarsine oxide-κO)tin(IV), C36H30AsBrOSn
- Crystal structure of catena-poly[chlorido-(μ2-formato-κ2O:O′)-(1,10-phenathroline-κ2N,N′)copper(II)], C26H18Cl2Cu2N4O4
- The crystal structure of poly[(μ10-5-carboxyisophthalato-κ10O)disodium], C9H4Na2O6
- The crystal structure of 3,5-difluoroisonicotinic acid, C6H3F2NO2
- The crystal structure of ethyl-1-(N-(adamantan-1-yl)-carbamothioyl)piperidine-4-carboxylate, C19H30N2O2S
- Crystal structure of 5-methyl-3-phenyl-1-tosyl-1,2,3,4-tetrahydropyridine, C19H21NO2S
- Crystal structure of bis((3-chlorosalicylidene)-ethylenediaminato-κ4N,N′,O,O′)nickel (II), C16H12Cl2NiN2O2
- Crystal structure of (E)-N′-(2-chloro-6-hydroxybenzylidene)-4-hydroxybenzohydrazide — dihydrofuran-2(3H)-one (1/1), C18H17ClN2O5
- Crystal structure of bis((3-bromosalicylidene)-ethylenediaminato-κ4N,N′,O,O′) nickel (II), C16H12Br2NiN2O2
- Crystal structure of trimethylsulfoxonium tetrachloridocobaltate(II) [(CH3)3SO]2CoCl4