Home Physical Sciences Crystal structure of 2,5-bis((E)-2-(trifluoromethyl)benzylidene)cyclopentan-1-one, C21H14F6O
Article Open Access

Crystal structure of 2,5-bis((E)-2-(trifluoromethyl)benzylidene)cyclopentan-1-one, C21H14F6O

  • Wenxin Zhang , Chenyu Qiu , Shanshan Li , Lina Zhou , Mengwei Hu , Xiaojing Chen , Bin Yu , Yan Hong , Zhiguo Liu EMAIL logo and Qinqin Xia EMAIL logo
Published/Copyright: September 23, 2017

Abstract

C21H14F6O, triclinic, P1̅ (no. 2), a = 7.8470(16) Å, b = 7.9390(16) Å, c = 14.993(3) Å, α = 83.25(3)°, β = 89.18(3)°, γ = 73.79(3)°, V = 890.5(3) Å, Z = 2, Rgt(F) = 0.0658, wRref(F2) = 0.1261, T = 293 K.

CCDC no.: 1569702

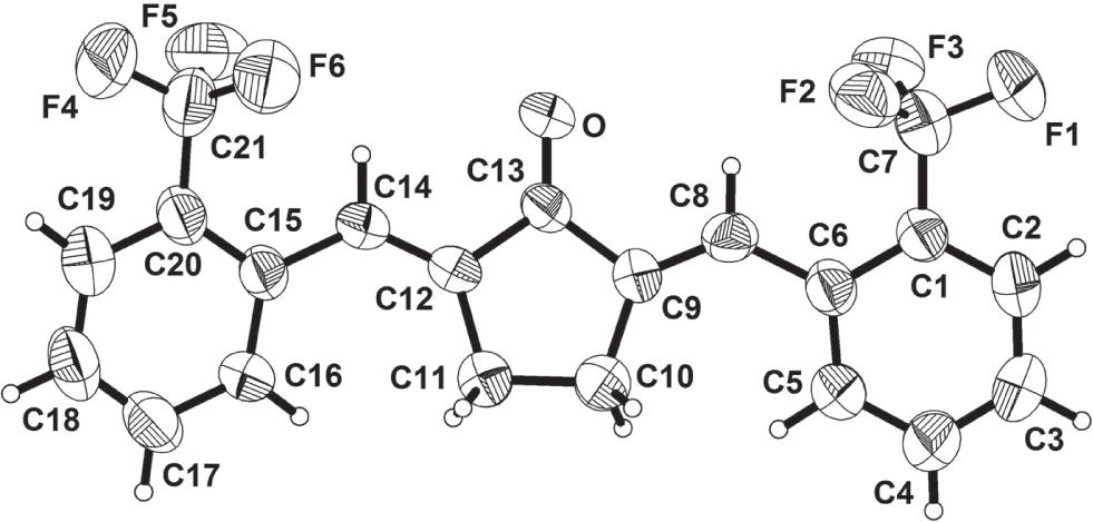
The crystal structure is shown in the figure. Tables 1 and 2 contain details on crystal structure and measurement conditions and a list of the atoms including atomic coordinates and displacement parameters.

Table 1

Data collection and handling.

Crystal:Colorless block
Size:0.30 × 0.22 × 0.20 mm
Wavelength:Mo Kα radiation (0.71073 Å)
μ:0.13 mm−1
Diffractometer, scan mode:Nonius CAD4, ω/2θ
θmax:25.0°
N(hkl)measured, N(hkl)unique:3150, 3150
Criterion for Iobs, N(hkl)gt:Iobs > 2 σ(Iobs), 1298
N(param)refined:253
Programs:SHELX [13]
Table 2

Fractional atomic coordinates and isotropic or equivalent isotropic displacement parameters (Å2).

AtomxyzUiso*/Ueq
O0.3518(3)0.1788(3)0.12515(15)0.0671(8)
F10.2333(4)−0.1261(4)0.51161(16)0.1268(12)
C10.2977(5)−0.2847(5)0.3855(3)0.0588(11)
F20.1382(4)0.0185(3)0.38446(16)0.0995(9)
C20.2981(6)−0.4343(6)0.4439(3)0.0852(14)
H2A0.2831−0.42670.50510.102*
F30.4119(4)−0.0540(3)0.41798(16)0.0978(9)
C30.3207(6)−0.5934(6)0.4112(3)0.0956(16)
H3A0.3198−0.69320.45030.115*
F40.0923(5)0.7135(4)−0.21608(18)0.1480(14)
C40.3442(6)−0.6054(6)0.3227(3)0.0887(15)
H4A0.3614−0.71370.30080.106*
F50.3074(4)0.5680(4)−0.12766(19)0.1099(10)
C50.3425(6)−0.4567(6)0.2647(3)0.0771(13)
H5A0.3568−0.46660.20370.093*
F60.0446(4)0.5745(3)−0.09335(18)0.1072(9)
C60.3202(5)−0.2930(5)0.2941(3)0.0612(11)
C70.2711(7)−0.1148(7)0.4241(3)0.0746(13)
C80.3224(5)−0.1373(5)0.2300(3)0.0609(11)
H8A0.3457−0.04510.25600.073*
C90.2966(5)−0.1071(5)0.1416(3)0.0573(11)
C100.2523(5)−0.2174(5)0.0759(2)0.0708(12)
H10A0.1384−0.23890.08930.085*
H10B0.3421−0.33020.07840.085*
C110.2460(5)−0.1119(5)−0.0179(2)0.0659(11)
H11A0.3397−0.1740−0.05490.079*
H11B0.1327−0.0962−0.04770.079*
C120.2704(5)0.0626(5)−0.0040(2)0.0596(11)
C130.3126(5)0.0609(5)0.0919(2)0.0542(10)
C140.2613(5)0.2052(5)−0.0631(2)0.0576(11)
H14A0.28240.3005−0.03920.069*
C150.2229(5)0.2331(5)−0.1600(2)0.0591(11)
C160.2400(5)0.0915(5)−0.2090(3)0.0710(12)
H16A0.2774−0.0230−0.17980.085*
C170.2023(6)0.1174(7)−0.3013(3)0.0861(14)
H17A0.21200.0207−0.33250.103*
C180.1514(6)0.2838(7)−0.3455(3)0.0898(16)
H18A0.12810.3011−0.40700.108*
C190.1347(6)0.4255(6)−0.2989(3)0.0817(14)
H19A0.09890.5393−0.32900.098*
C200.1705(5)0.4016(6)−0.2071(3)0.0654(12)
C210.1536(8)0.5632(7)−0.1621(4)0.0916(15)

Source of materials

The title compound was synthesized by Aldol condensation between two molecules of 2-(trifluoromethyl)benzaldehyde and cyclopentanone, which was synthesized according our earlier published method [1, 2] . In detail: 5.0 mmol cyclopentanone was added to a solution of 10 mmol 2-(trifluoromethyl)benzaldehyde in MeOH (10 mL). The solution was stirred at room temperature for 30 min, followed by dropwise addition of NaOCH3/CH3OH (1.0 mL, 5.0 mmol). The mixture was stirred at room temperature and monitored with TLC. When the reaction was finished, the residue was poured into saturated NH4Cl solution and filtered. The precipitate was washed with water and cold ethanol, and dried in vacuum. The solid was further purified by silica gel chromatography (CH2Cl2/CH3OH). All chemicals used for the synthesis were commercially available and were used without further purification. The yellow crystals of the title compound were obtained by slow evaporation of a CH3OH solution at room temperature.

Experimental details

Position of the H atoms were calculated based on geometric criteria (C—H = 0.97 and 0.93 for methyl and aromatic atoms, respectively) and placed in their calculated position and refined, using a riding model with Uiso(H) = 1.5 Ueq (C) for methyl and Uiso(H) = 1.2 Ueq(C) for all others.

Discussion

Curcumin has been demonstrated to possess a wide range of pharmaceutical activities, such as anti-tumor [3, 4] , anti-inflammation [5], anti-oxidation [6], anti-bacterial [7], and cardiovascular protection [8, 9] . However, its high metabolic instability and low bioavailability have dramatically limited its practical application [10]. Recently, our research group has synthesized a series of mono-carbonyl analogs of curcumin (MACs) by deleting β-diketone moiety [11], [12]. The title compound is an Curcumin analogon with one central keto group only.

The symmetrical unit of this complex is constructed by two 2-(trifluoromethyl)benzylidene groups and a cyclopentanone linker. The C—C bond lengths of the cyclopentanone moiety are with 1.477(4) to 1.543(4) Å quite normal. The C8—C9 and C12—C14 bond lengths of 1.326(4) and 1.340(4) Å conform to a double bond. The C6—C8 and C14—C15 bond lengths of 1.477(5) and 1.465(5) Å are between double and single bonds. The shortening of the C—C bonds showing the partial double-bond character of the C—C bonds, which are influenced by adjacent double bonds.

Award Identifier / Grant number: wyx2016101001

Award Identifier / Grant number: wyx2016101026

Award Identifier / Grant number: wyx2016101107

Funding statement: We are grateful to the project of students academic research of Wenzhou Medical University (wyx2016101001, wyx2016101026, wyx2016101107) for financial support.

References

Liang, G.; Shao, L.; Wang, Y.; Zhao, C.; Chu, Y.; Xiao, J.; Zhao, Y.; Li, X.; Yang, S.: Exploration and synthesis of curcumin analogues with improved structural stability both in vitro and in vivo as cytotoxic agents. Bioorg. Med. Chem. 17 (2009) 2623–2631.10.1016/j.bmc.2008.10.044Search in Google Scholar PubMed

Zhao, C.; Yang, J.; Huang, Y.; Liang, G.; Li, X.: Crystal structure of ortho-(2E,5E)-2,5-bis(2-methoxybenzylidene) cyclopentanone, C21H20O3. Z. Kristallogr. NCS. 224 (2009) 337–338.10.1524/ncrs.2009.0150Search in Google Scholar

Gao, X.; Wang, B. L.; Wu, Q. J.; Wei, X. W.; Zheng, F. J.; Men, K.; Shi, H. S.; Huang, N.; Wei, Y. Q.; Gong, C. Y.: Combined delivery and anti-cancer activity of paclitaxel and curcumin using polymeric micelles. J. Biomed. Nanotech. 11 (2015) 578–589.10.1166/jbn.2015.1964Search in Google Scholar PubMed

Kumar, D.; Kumar, M.; Saravanan, C.; Singh, S. K.: Curcumin: a potential candidate for matrix metalloproteinase inhibitors. Expert. Opin. Ther. Targets 16 (2012) 959–972.10.1517/14728222.2012.710603Search in Google Scholar PubMed

Zhang, Y. L.; Zhao, L. P.; Wu, J. Z.; Jiang, X.; Dong, L. L.; Xu, F. L.; Zou, P.; Dai, Y. R.; Shan, X. O.; Yang, S. L.: Synthesis and evaluation of a series of novel asymmetrical curcumin Analogs for the treatment of inflammation. Molecules. 19 (2014) 7287–7307.10.3390/molecules19067287Search in Google Scholar PubMed PubMed Central

Yu, C.; Wei, C.; Liao, V.: Curcumin-mediated oxidative stress resistance in Caenorhabditis elegans is modulated by age-1, akt-1, pdk-1, osr-1, unc-43, sek-1, skn-1, sir-2.1, and mev-1. Free Radical Res. 48 (2014) 371–379.10.3109/10715762.2013.872779Search in Google Scholar PubMed

Negi, P. S.; Jayaprakasha, G. K.; Jagan, M.; Sakariah, K. K.: Antibacterial activity of turmeric oil: a byproduct from curcumin manufacture. J. Agric. Food. Chem. 47 (1999) 4297–4300.10.1021/jf990308dSearch in Google Scholar PubMed

Kapakos, G.; Youreva, V.; Srivastava, A. K.: Cardiovascular protection by curcumin: molecular aspects. Indian J. Biochem. Biophys. 49 (2012) 306–315.Search in Google Scholar

Zeng, C.; Zhong, P.; Zhao, Y.; Kanchana, K.; Zhang, Y.; Khan, Z. A.; Chakrabarti, S.; Wu, L.; Wang, J.; Liang, G.: Curcumin protects hearts from FFA-induced injury by activating Nrf2 and inactivating NF-κB both in vitro and in vivo. J. Mol. Cell. Cardiol. 79 (2014) 1–12.10.1016/j.yjmcc.2014.10.002Search in Google Scholar PubMed

Mythri, R. B.; Bharath, M. M.: Curcumin: a potential neuroprotective agent in Parkinson′s disease. Curr. Pharm. Des. 18 (2012) 91–9.10.2174/138161212798918995Search in Google Scholar PubMed

Liu, Z.; Tang, L.; Zou, P.; Zhang, Y.; Wang, Z.; Fang, Q.; Jiang, L.; Chen, G.; Xu, Z.; Zhang, H.; Liang, G.: Synthesis and biological evaluation of allylated and prenylated mono-carbonyl analogues of curcumin as anti-inflammatory agents. Eur. J. Med. Chem. 74 (2014) 671–682.10.1016/j.ejmech.2013.10.061Search in Google Scholar PubMed

Zhang, Y.; Jiang, X.; Peng, K.; Chen, C.; Fu, L.; Wang, Z.; Feng, J.; Liu, Z.; Zhang, H.; Liang, G.; Pan, Z.: Discovery and evaluation of novel anti-inflammatory derivatives of natural bioactive curcumin. Drug. Des. Devel. Ther. 8 (2014) 2161–2171.10.2147/DDDT.S69914Search in Google Scholar PubMed PubMed Central

Sheldrick G. M.: A short history of SHELX. Acta Crystallogr. A64 (2008) 112–122.10.1107/S0108767307043930Search in Google Scholar PubMed

Received: 2017-5-2
Accepted: 2017-8-18
Published Online: 2017-9-23
Published in Print: 2017-11-27

©2017 Wenxin Zhang et al., published by De Gruyter, Berlin/Boston

This work is licensed under the Creative Commons Attribution-NonCommercial-NoDerivatives 4.0 License.

Articles in the same Issue

  1. Cover and Frontmatter
  2. Crystal structure of potassium 1-methyl-1H-1,2,3,4-tetrazole-5-thiolate, C2H3N4SK
  3. Crystal structure of bis(3-(3-ethylureido)-N,N-dimethylpropan-1-aminium) bis (μ3-2-(hydroxymethyl)-2-(oxidomethyl)propane-1,3-bis(olato))-(μ6-oxo)-hexakis(μ2-oxo)-hexaoxo-hexavanadium(V) – dichloromethane (1/1), C27H60Cl2N6O23V6
  4. Crystal structure of bis(μ3-methanolato-κ3O:O:O)-bis(μ2-methanolato-κ2O:O)-dimethanol-bis{6,6′-(1,3-dihydroxyl-2-acetylpropane-1,3-diyl)bis(2-chloro-4-bromophenolato)}tetramanganese(III) C40H40Br4Cl4Mn4O16
  5. Synthesis and crystal structure of tetrakis(μ2-methanolato)-dimethanol-bis(μ2-2-acetyl-1,3-bis(3,5-dibromo-2-oxidophenyl)propane-1,3-bis(olato)-κ5O1,O2,O3:O3,O4,O5)tetramanganese(III), C40H40Br8Mn4O16
  6. Synthesis and crystal structure tetrakis(μ2-methanolato)-dimethanol-bis(μ2-2-acetyl-1,3-bis(3,5-dichloro-2-oxidophenyl)propane-1,3-bis(olato)-κ5O1,O2,O3:O3,O4,O5), tetramanganese(III), C40H40Cl8Mn4O16
  7. Crystal structure of bis{5-methoxy-2-((E)-((4-((E)-1-(methoxyimino)ethyl)phenyl)imino)methyl)phenolato-κ2N,O)}copper(II), C34H34CuN4O6
  8. Crystal structure of (E)-1-(2-hydroxy-3-{[2-hydroxybenzylidene]amino}phenyl)ethan-1-one, C15H13NO3
  9. Crystal structure of bis(μ2-acetato-κ2O:O′)-bis{μ2-4-chloro-2-(8-(4-(diethylamino)-2-oxidophenyl)-3,6-dioxa-2,7-diazaocta-1,7-dien-1-yl)phenolato-κ6O:O,N,N′,O′′:O′′}tricobalt(II), C44H49Cl2Co3N6O12
  10. Crystal structure of bis{μ2-2,4-dichloro-6-(8-(4-(diethylamino)-2-oxidophenyl)-3,6-dioxa-2,7-diazaocta-1,7-dien-1-yl)phenolato-κ5O:O,N,N′,O′}dicobalt(II) acetone solvate, C43H48Br4Co2N6O9
  11. Synthesis and crystal structure of bis(μ2-acetato-κ2O:O′)-bis{μ2-4-chloro-2-(8-(4-(diethylamino)-2-oxidophenyl)-3,6-dioxa-2,7-diazaocta-1,7-dien-1-yl)phenolato-κ6O:O,N,N′,O′:O′}trizinc(II), C44H49Cl2N6O12Zn3
  12. Crystal structure of bis{5-(N,N′-diethylamine)-5′-methoxy -2,2′-[ethylenediyldioxybis(nitrilomethylidyne)]diphenolato}-bis(μ2-acetato-κ2O:O′)trizinc(II), C46H56Zn3N6O14
  13. Crystal structure of tris(cyano-(hydrogen tris(3,5-dimethylpyrazolyl)borate))-iron(III) 4-methoxypyridinium monohydrate, C24H32BN10O2Fe
  14. Synthesis and crystal structure of bis{1-(((4-(1-(hydroxyimino)ethyl)phenyl)imino)methyl)naphthalen-2-olato-κ2O,N}copper(II), C38H30CuN4O4
  15. Crystal structure of (E)-1-(4-{[(E)-2-Hydroxy-1-naphthalenylmethylene] amino}phenyl)ethanone oxime, C19H16N2O2
  16. The pseudosymmetric crystal structure of 2-(2-naphthalenyl)-3-nitro-2H-1-benzopyran, C38H26N2O6
  17. Crystal structure of 2-benzoyl-3-(4-methoxyphenyl)cyclopropane-1,1-dicarbonitrile, C19H14N2O2
  18. N′-(5-ethoxycarbonyl-3,4-dimethyl-pyrrol-2-yl-methylidene)-4-hydroxybenzohydrazide monohydrate, C17H21N3O5
  19. The crystal structure of carbonyl-[4-(2,4-dichlorophenylamino)pent-3-en-2-onato-κ2N,O]-(triphenylphosphine-κP)rhodium(I), RhC30H25Cl2NO2P
  20. Crystal structure of (E)-5-(diethylamino)-2-(((1,1,2-trihydroxyethyl)iminio)methyl)phenolate, C15H24N2O4
  21. Crystal structure of poly[(μ2-1,4-bis((2-ethyl-1H-benzo[d]imidazol-1-yl)methyl)benzene-κ2N:N′)(μ2-isophthalato-κ4O,O′:O′′,O′′′)cadmium(II)], C34H30N4O4Cd
  22. Crystal structure of 5,6-Dihydro-9,10-dimethoxybenzo[g]-1,3-benzodioxolo[5,6-a]chinolizinium 3-(4-hydroxyphenyl)-4-oxo-4H-chromen-7-olate - methanol - water (1/1/1), C36H33NO10
  23. A single crystal study on 2-(methylcarbamoyl)benzoic acid, C9H9NO3
  24. Crystal structure of the salt 1,1′-(ethane-1,2-diyl)bis(1,4-diazabicyclo[2.2.2]octan-1-ium) diperchlorate, C14H28N4(ClO4)2
  25. Crystal structure of 2,5-bis((E)-2-(trifluoromethyl)benzylidene)cyclopentan-1-one, C21H14F6O
  26. Crystal structure of catena-poly[(μ2-benzene-1,4-dicarboxylato-κ2O:O′)-(1-ethyl-6-fluoro-7-(4-methylpiperazin-1-ium-1-yl)-4-oxo-1,4-dihydroquinoline-3-carboxylato-κ2O,O′)zinc(II)] 1.25 hydrate, C25H26.5N3O8.25FZn
  27. Crystal structure of 1-methyl-1,4-diazabicyclo[2.2.2]octan-1-ium poly[aqua-bis(μ2-perchlorato-κ3O,O′:O′′)sodium], C7H17Cl2N2NaO9
  28. Crystal structure of trimethyammonium 2,6-dicarboxyisonicotinate monohydrate, C11H16N2O7
  29. Crystal structure of dodecaguanidinium bis(tetrapropylammonium) heptacarbonate, C43H128N38O21
  30. Crystal structure of poly[tetraaqua-bis(μ6-benzene-1,2,4,5-tetracarboxylato)nickel(II)diyttrium(III)]dihydrate, C20H16NiO22Y2
  31. Halogen bonds and π–π interactions in the crystal structure of 1,3,5-trifluoro-2,4,6-triiodobenzene–N,N-dimethylformamide (1/1), C9H7F3I3NO
  32. Crystal structure of guanidinium tetraethylammonium carbonate dihydrate, C10H30N4O5
  33. The crystal structure of oxonium chlorido-ethylenediaminetetraactetotin(IV) hydrate, C10H17ClN2O10Sn
  34. Crystal structure of 8-((E)-((4-((E)-1-((benzyloxy)imino)ethyl)phenyl)imino)methyl)-7-hydroxy-4-methyl-2H-chromen-2-one, C26H22N2O4
  35. Crystal structure of bis{5-(diethylamino)-2-(((2-oxo-2H-chromen-6-yl)imino)methyl)phenolato-κ2O,N}copper(II), C40H38CuN4O6
  36. Crystal structure of fac-(acetylacetonato-κ2O,O′)tricarbonyl(tri(p-tolyl)phosphine-κP)rhenium(I), C29H28O5PRe
  37. Crystal structure of fac-(acetylacetonato-κ2O,O′)tricarbonyl(benzyldiphenylphosphine-κP)rhenium(I), C27H24O5PRe
  38. Crystal structure of triethylammonium bis{3-(((3-oxidonaphthalen-1-yl)methylene)amino)-2-oxo-2H-chromen-4-olato-κ3O,N,O′}manganese(III), C46H38MnN3O8
  39. Crystal structure of bis(N,N,N-ethyldimethylethanaminium) bis(heptaselenido-κ2Se1,Se7)palladate(II), C12H32N2PdSe14
  40. Crystal structure of bis(4-(1H-pyrazol-5-yl)pyridine-κ2N:N′)-bis(2-(2-((2,6-difluorophenyl)amino)phenyl)acetate-κO)cadmium(II), C44H34N8CdCl4O4
  41. Crystal structure of 4,4′-(1,4-phenylene)bis(pyridin-1-ium) catena-poly[diaqua-bis(μ2-3′,5′-dicarboxy-[1,1′-biphenyl]-2,5-dicarboxylato-κ2O:O′] dihydrate, C48H42O22N2Ca
  42. The crystal structure of (S)-2-benzylsuccinic acid, C11H12O4
  43. Crystal structure of poly[aqua-(μ3-4-(pyridin-4-yl)isophthalato-κ4O,O′:O′′:O′′′)-(μ2-5-carboxy-2-(pyridin-4-yl)benzoato-κ2O:O′)yttrium(III)], C26H17N2O9Y
  44. Crystal structure of ethyl 1-(3,4-dimethylphenyl)-5-methyl-1H-1,2,3-triazole-4-carboxylate, C14H17N3O2
  45. Crystal structure of tetrakis(methanol-κO)-bis{μ2-3-((4-methoxy-2-oxidobenzylidene)amino)-2-oxo-2H-chromen-4-olate-κ4O,N;O′:O′}dizinc(II), C38H38Zn2N2O14
  46. Crystal structure of bromido(4,4′-dimethoxy-2,2′-bipyridine-κ2N,N′)(isopropyl(diphenyl)phosphane-κP)copper(I), C27H29BrCuN2O2P
  47. Crystal structure of bis(4,4,5,5-tetramethyl-1,3,2-dioxaborolane)-9,9-dioctylfluorene, C41H64B2O4
  48. Crystal structure of 11-oxo-2,3,6,7-tetrahydro-1H,5H,11H-pyrano[2,3-f]pyrido[3,2,1-ij]quinoline-10-carbaldehyde - a julolidine derivative, C16H15NO3
  49. Crystal structure of 1,3-dimethyl-5,5-dibenzylbarbituric acid, C20H20N2O3
  50. Crystal structure of bis(N,N,N-trimethylethanaminium) poly[bis(μ2-heptaselenido-κ2Se1,Se7)palladate(II)], C10H28N2PdSe14
  51. Crystal structure of 1-{4-[(5-Chloro-2-hydroxy-benzylidene)amino]phenyl} ethanone O-ethyl-oxime, C17H17ClN2O2
  52. The crystal structure of methyl N-(4-bromophenyl)carbamate, C8H8BrNO2
  53. Synthesis and crystal structure of 1-{4-[(2-hydroxy-benzylidene)amino]phenyl}ethanone oxime, C15H14N2O2
  54. Crystal structure of 1,1′-butanebis(3-methyl-1H-imidazol-3-ium)bis(hexafluorophosphate), C12H20F12N4P2
  55. (E)-N-benzylidene-3-(benzylthio)-5-p-tolyl-4H-1,2,4-triazol-4-amine, C23H20N4S
  56. Crystal structure of ethyl 5-methyl-1-(pyridin-3-yl)-1H-1,2,3-triazole-4-carboxylate, C11H12N4O2
  57. Crystal structure of 5,5-difluoro-10-(4-fluorophenyl)-1,3,7,9-tetramethyl-5H-4l4,5l4-dipyrrolo[1,2-c:2′,1′-f][1,3,2]diazaborinine - a Z′ = 3 structure, C19H18B2F3N2
  58. The crystal structure of the Matrine derivative: 12-(1H-indol-1-yl)dodecahydro-1H,5H,10H-dipyrido[2,1-f:3′,2′,1′-ij][1,6]naphthyridin-10-one hydrate, C23H29N3O
  59. The crystal structure of tris(μ2-1,3-bis(4,4,4-trifluoro-3-oxido-1-(oxo)but-2-en-1-yl)phenyl-κ4O,O′:O′′,O′′′)-bis(1,2-dimethoxyethane-κ2O,O′)dilutetium(III), C50H38F18Lu2O16
  60. The crystal structure of (Z)-2-(3-(2-(4-chlorobenzoyl)hydrazono)-2-oxoindolin-1-yl) acetic acid, C17H12ClN3O4
  61. Synthesis and crystal structure of trans-tetraqua-bis(2-(((7-hydroxy-3-(4-hydroxy-3-sulfonatophenyl)-4-oxo-4H-chromen-8-yl)methyl)ammonio)acetato-κO)cobalt(II) hexahydrate, C36H48CoN2O28S2
  62. The crystal structure of N,N-dimethyl-2,6-di-p-tolylpyrimidin-4-amine, C20H21N3
  63. The crystal structure (E)-4-methyl-N′-(2-nitrobenzylidene)benzenesulfonohydrazide, C14H13N3O4S
  64. Crystal structure of catena-poly[(μ2-1,3-bis(benzimidazol-1-yl)propane κ2N:N′)-(μ2-5-methoxyisophthalato-κ2O:O′)zinc(II)] hydrate, C26H24ZnN4O6
  65. The crystal structure of (E)-N′-(quinolin-2-ylmethylene)furan-2-carbohydrazide monohydrate, C15H13N3O3
  66. Crystal structure of 2,8-diphenyl-3,7,9-trioxa-1-azaspiro[4.5]dec-1-ene, C18H17N1O3
  67. Crystal structure of diethyl 2-(4-chlorophenyl)-1,3-dioxane-5,5-dicarboxylate, C16H19ClO6
  68. Crystal structure of 1-(carboxymethyl)-1H-benzo[d][1,2,3]triazole 3-oxide, C8H7N3O3
  69. Crystal structure of (acetylacetonato-κ2O,O′)-(2-amino-6-chlorobenzoato-κO)-oxido(1,10-phenanthroline-κ2N,N′)vanadium(IV) – trichloromethane (1/1)
  70. Crystal structure of (1E,4E)-1,5-bis(4-chlorophenyl)penta-1,4-dien-3-one, C17H12Cl2O
  71. The crystal structure of trans-dibromido-bis(pyridine-κN)platinum(II), C10H10Br2N2Pt
Downloaded on 26.12.2025 from https://www.degruyterbrill.com/document/doi/10.1515/ncrs-2017-0080/html?srsltid=AfmBOopwHUmwvXMjqSz11A1m-h8YDwfKTtvGwn7PJ9fOirIgbCZOwU9K
Scroll to top button