Home Physical Sciences Crystal structure of bis(4-(1H-pyrazol-5-yl)pyridine-κ2N:N′)-bis(2-(2-((2,6-difluorophenyl)amino)phenyl)acetate-κO)cadmium(II), C44H34N8CdCl4O4
Article Open Access

Crystal structure of bis(4-(1H-pyrazol-5-yl)pyridine-κ2N:N′)-bis(2-(2-((2,6-difluorophenyl)amino)phenyl)acetate-κO)cadmium(II), C44H34N8CdCl4O4

  • Jin-Bo Guo and Shi-Hui Li EMAIL logo
Published/Copyright: October 20, 2017

Abstract

C44H34N8CdCl4O4, monoclinic, P21/c (no. 14), a = 9.7056(2) Å, b = 14.3244(3) Å, c = 15.3626(3) Å, β = 99.7540(10)°, V = 2104.94(7) Å3, Z = 2, Rgt(F) = 0.0271, wRref(F2) = 0.0717, T = 296(2) K.

CCDC no.:: 1577241

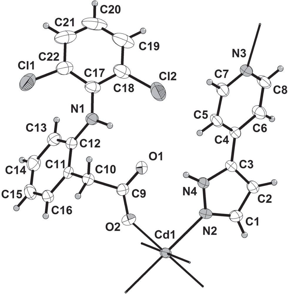
The crystal structure is shown in the figure. Tables 1 and 2 contain details on crystal structure and measurement conditions and a list of the atoms including atomic coordinates and displacement parameters.

Table 1

Data collection and handling.

Crystal:Block, colourless
Size:0.41 × 0.32 × 0.28 mm
Wavelength:Mo radiation (0.71073 Å)
μ:90.83 mm−1
Diffractometer, scan mode:Bruker SMART, φ and ω-scans
2θmax, completeness:27.4°, >99%
N(hkl)measured, N(hkl)unique, Rint:15541, 3916, 0.036
Criterion for Iobs, N(hkl)gt:Iobs > 2 σ(Iobs), 3305
N(param)refined:281
Programs:Bruker programs [1], SHELX [2]
Table 2

Fractional atomic coordinates and isotropic or equivalent isotropic displacement parameters (Å2).

AtomxyzUiso*/Ueq
Cd10.50000.50000.00000.02525(8)
Cl1−0.01106(9)1.02161(5)−0.13655(5)0.0604(2)
Cl20.43714(10)0.94438(6)0.11272(5)0.0698(2)
N10.2092(2)0.89303(14)−0.03446(14)0.0378(5)
N20.6388(2)0.59542(12)0.10400(12)0.0327(4)
N30.5709(2)0.91377(12)0.38330(12)0.0323(4)
N40.58459(19)0.66741(12)0.14308(11)0.0289(4)
H40.50100.68830.12710.035*
O10.33851(18)0.72262(11)0.04983(11)0.0419(4)
O20.29393(17)0.58216(10)−0.01035(11)0.0380(4)
C10.7677(3)0.58519(16)0.14839(16)0.0389(6)
H10.83010.53970.13620.047*
C20.7976(3)0.65099(16)0.21537(16)0.0387(6)
H20.88070.65840.25490.046*
C30.6770(2)0.70289(14)0.21022(14)0.0282(5)
C40.6406(2)0.77903(14)0.26620(14)0.0281(5)
C50.5038(3)0.79654(16)0.27378(15)0.0356(6)
H50.43180.76320.23970.043*
C60.7424(3)0.83333(17)0.31681(16)0.0399(6)
H60.83600.82580.31210.048*
C70.4740(3)0.86353(17)0.33197(15)0.0375(6)
H70.38070.87440.33570.045*
C80.7036(3)0.89851(17)0.37418(16)0.0395(6)
H80.77330.93360.40820.047*
C90.2635(2)0.66551(14)0.00247(14)0.0284(5)
C100.1234(2)0.70103(15)−0.04653(15)0.0322(5)
H10A0.06220.6486−0.06520.039*
H10B0.07910.7398−0.00750.039*
C110.1463(2)0.75718(15)−0.12630(14)0.0290(5)
C120.1924(2)0.84984(15)−0.11815(14)0.0320(5)
C130.2205(3)0.89681(17)−0.19272(16)0.0396(6)
H130.25320.9579−0.18750.048*
C140.2003(3)0.85349(18)−0.27415(16)0.0430(6)
H140.21810.8859−0.32350.052*
C150.1541(3)0.76290(18)−0.28274(16)0.0419(6)
H150.14020.7338−0.33770.050*
C160.1287(2)0.71549(17)−0.20907(16)0.0359(6)
H160.09890.6538−0.21490.043*
C170.2297(3)0.98808(15)−0.02138(16)0.0391(6)
C180.3365(3)1.02311(18)0.04314(18)0.0497(7)
C190.3631(4)1.1166(2)0.0549(2)0.0705(10)
H190.43521.13710.09840.085*
C200.2815(5)1.1801(2)0.0015(2)0.0775(12)
H200.30231.24340.00650.093*
C210.1707(4)1.14997(19)−0.0584(2)0.0641(9)
H210.11411.1930−0.09300.077*
C220.1419(3)1.05543(17)−0.06793(17)0.0468(7)
H1D0.254(3)0.8617(17)0.0036(16)0.037(8)*

Source of material

A mixture of Cd(OAc)2⋅2H2O (0.1 mmol, 0.0267 g), [2-(2,6-Dichloro-phenylamino)-phenyl]-acetic acid (0.1 mmol, 891 mg), 4-(1H-pyrazol-5-yl)pyridine (0.1 mmol, 55 mg) and distilled water (10 mL) was heated in a 25 mL stainless steel reactor with a Teflon liner at 403 K for 40 h, followed by slow cooling to room temperature. Colourless crystals of the title compound formed.

Experimental details

The hydrogen atoms were placed geometrically and refined using a riding model were set to 1.2Ueq (C, N).

Discussion

The design and construction of metal-organic frameworks (MOFs) with well-regulated network structures has been provoked significant interest on materials with properties in the areas of electrochemistry, photophysics, catalysis, adsorption and separation [3], [4], [5], [6]. The organic ligands, which have their differences in the size, the flexibility, the coordination ability, the number of the carboxylate groups, the positions of the carboxylate groups and so on, play crucial role in the design and construction of desirable frameworks with interesting properties [7], [8], [9]. In addition, N-containing auxiliary ligands are known to be ideal connectors between metal atoms for the propagation of coordination networks.

The asymmetric unit of the title structure contains one half of a Cd(II) ion, one 4-(1H-Pyrazol-5-yl)-pyridine and one [2-(2,6-Dichloro-phenylamino)-phenyl]-acetate ligands to construct a coordination polymer. The cadmium atom is six-coordinated [CdN4O2] in a distorted octahedral manner by two oxygen atoms and by four nitrogen atoms. The Cd—O bond length is 2.3028(16) Å [10]. The Cd—N bond lengths are 2.347(2) Å and 2.373(2) Å respectively. The C(17)—C(22)—Cl(1) angle is 120.2(2)°, the C(17)—C(18)—Cl(2) angle is 118.2(2)°, the C(17)—N(1)—C(12) angle is 123.7(2)°. The hydrogen bonding between one of the oxygen atoms and the NH group is present (d(N⋯O): 2.943(3) Å and N—H⋯O is 149(2) Å). Weak interactions result in the infinite three dimensional architecture.

Acknowledgements

This work was supported by the Institutions of higher learning key scientific research project of Henan Province (18B150015) and the Natural Science Foundation of Henan Province (142102310295).

References

Bruker. APEX2, SAINT and SADABS. Brucker AXS Inc., Madison, Wisconsin, USA, (2009).Search in Google Scholar

Sheldrick, G. M.: A short history of SHELX. Acta Crystallogr. A64 (2008) 112–122.10.1107/S0108767307043930Search in Google Scholar PubMed

Li, X. L.; Liu, G. Z.; Xin, L. Y.; Wang, L. Y.: Three Zn(II) metal-organic frameworks assembled from a versatile tecton 5-ethyl-pyridine-2,3-dicarboxylate and dipyridyl-type coligand. CrystEngComm 14 (2012) 1729–1736.10.1039/C1CE06050CSearch in Google Scholar

Li, S. H.; Han, M. L.; Liu, G. Z.; Ma, L. F.; Wang, L. Y.: Guest-induced single-crystal-to-single-crystal transformations of a new 4-connected 3D cadmium(II) metal–organic framework. RSC Advances. 5 (2015) 17588–17591.10.1039/C5RA00621JSearch in Google Scholar

Banerjee, A.; Singh, R.; Colacio, E.; Razak, K. K.: Binuclear copper(II) chelates with heptadentate ligands: synthesis, structure, magnetic properties, DFT studies, and catecholase and hydrolytic DNA cleavage activity. Eur. J. Inorg.Chem. 2 (2009) 277–284.10.1002/ejic.200800937Search in Google Scholar

Li, K.; Olson, D. H.; Seidel, J.; Emge, T. J.; Gong, H.; Zeng, H.; Li, J.: Zeolitic imidazolate frameworks for kinetic separation of propane and propene. J. Am. Chem. Soc. 131 (2009) 10368–10369.10.1021/ja9039983Search in Google Scholar PubMed

Li, S. H.; Wu, H. X.; Chai, N.: A Cobalt(II) Complex based on 5-methoxyisophthalic acid and 1,6-bis(1,2,4-triazol-1-yl)hexane: synthesis, crystal structure and magnetic properties. Synth. React. Inorg. Met. Org. Nano Met. Chem. 43 (2013) 1487–1491.10.1080/15533174.2012.757750Search in Google Scholar

Li, S. H.; Li, X. L.: A cadmium complex based on 5-methylisophthalic acid and 1,6-bis(imidazol-1-yl)hexane: synthesis, crystal structure, and photoluminescence properties. Synth. React. Inorg. Met. Org. Nano Met. Chem. 43 (2013) 710–713.10.1080/15533174.2012.753630Search in Google Scholar

Pachfule, P.; Panda, T.; Dey, C.; Banerjee, R.: Structural diversity in a series of metal-organic frameworks (MOFs) composed of divalent transition metals, 4,4′-bipyridine and a flexible carboxylic acid. CrystEngComm 12 (2010) 2381–2389.10.1039/c000723dSearch in Google Scholar

Li, S.-H.; Zhao, Y.; Li Zhang, L.: Z. catena-poly[bis(μ2(2-((2,6-dichlorophenyl)amino)phenyl)acetato)cadmium(II)] Z. Kristallogr. NCS 231 (2016) 1009–1010.Search in Google Scholar

Received: 2017-6-5
Accepted: 2017-9-29
Published Online: 2017-10-20
Published in Print: 2017-11-27

©2017 Jin-Bo Guo et al., published by De Gruyter, Berlin/Boston

This work is licensed under the Creative Commons Attribution-NonCommercial-NoDerivatives 4.0 License.

Articles in the same Issue

  1. Cover and Frontmatter
  2. Crystal structure of potassium 1-methyl-1H-1,2,3,4-tetrazole-5-thiolate, C2H3N4SK
  3. Crystal structure of bis(3-(3-ethylureido)-N,N-dimethylpropan-1-aminium) bis (μ3-2-(hydroxymethyl)-2-(oxidomethyl)propane-1,3-bis(olato))-(μ6-oxo)-hexakis(μ2-oxo)-hexaoxo-hexavanadium(V) – dichloromethane (1/1), C27H60Cl2N6O23V6
  4. Crystal structure of bis(μ3-methanolato-κ3O:O:O)-bis(μ2-methanolato-κ2O:O)-dimethanol-bis{6,6′-(1,3-dihydroxyl-2-acetylpropane-1,3-diyl)bis(2-chloro-4-bromophenolato)}tetramanganese(III) C40H40Br4Cl4Mn4O16
  5. Synthesis and crystal structure of tetrakis(μ2-methanolato)-dimethanol-bis(μ2-2-acetyl-1,3-bis(3,5-dibromo-2-oxidophenyl)propane-1,3-bis(olato)-κ5O1,O2,O3:O3,O4,O5)tetramanganese(III), C40H40Br8Mn4O16
  6. Synthesis and crystal structure tetrakis(μ2-methanolato)-dimethanol-bis(μ2-2-acetyl-1,3-bis(3,5-dichloro-2-oxidophenyl)propane-1,3-bis(olato)-κ5O1,O2,O3:O3,O4,O5), tetramanganese(III), C40H40Cl8Mn4O16
  7. Crystal structure of bis{5-methoxy-2-((E)-((4-((E)-1-(methoxyimino)ethyl)phenyl)imino)methyl)phenolato-κ2N,O)}copper(II), C34H34CuN4O6
  8. Crystal structure of (E)-1-(2-hydroxy-3-{[2-hydroxybenzylidene]amino}phenyl)ethan-1-one, C15H13NO3
  9. Crystal structure of bis(μ2-acetato-κ2O:O′)-bis{μ2-4-chloro-2-(8-(4-(diethylamino)-2-oxidophenyl)-3,6-dioxa-2,7-diazaocta-1,7-dien-1-yl)phenolato-κ6O:O,N,N′,O′′:O′′}tricobalt(II), C44H49Cl2Co3N6O12
  10. Crystal structure of bis{μ2-2,4-dichloro-6-(8-(4-(diethylamino)-2-oxidophenyl)-3,6-dioxa-2,7-diazaocta-1,7-dien-1-yl)phenolato-κ5O:O,N,N′,O′}dicobalt(II) acetone solvate, C43H48Br4Co2N6O9
  11. Synthesis and crystal structure of bis(μ2-acetato-κ2O:O′)-bis{μ2-4-chloro-2-(8-(4-(diethylamino)-2-oxidophenyl)-3,6-dioxa-2,7-diazaocta-1,7-dien-1-yl)phenolato-κ6O:O,N,N′,O′:O′}trizinc(II), C44H49Cl2N6O12Zn3
  12. Crystal structure of bis{5-(N,N′-diethylamine)-5′-methoxy -2,2′-[ethylenediyldioxybis(nitrilomethylidyne)]diphenolato}-bis(μ2-acetato-κ2O:O′)trizinc(II), C46H56Zn3N6O14
  13. Crystal structure of tris(cyano-(hydrogen tris(3,5-dimethylpyrazolyl)borate))-iron(III) 4-methoxypyridinium monohydrate, C24H32BN10O2Fe
  14. Synthesis and crystal structure of bis{1-(((4-(1-(hydroxyimino)ethyl)phenyl)imino)methyl)naphthalen-2-olato-κ2O,N}copper(II), C38H30CuN4O4
  15. Crystal structure of (E)-1-(4-{[(E)-2-Hydroxy-1-naphthalenylmethylene] amino}phenyl)ethanone oxime, C19H16N2O2
  16. The pseudosymmetric crystal structure of 2-(2-naphthalenyl)-3-nitro-2H-1-benzopyran, C38H26N2O6
  17. Crystal structure of 2-benzoyl-3-(4-methoxyphenyl)cyclopropane-1,1-dicarbonitrile, C19H14N2O2
  18. N′-(5-ethoxycarbonyl-3,4-dimethyl-pyrrol-2-yl-methylidene)-4-hydroxybenzohydrazide monohydrate, C17H21N3O5
  19. The crystal structure of carbonyl-[4-(2,4-dichlorophenylamino)pent-3-en-2-onato-κ2N,O]-(triphenylphosphine-κP)rhodium(I), RhC30H25Cl2NO2P
  20. Crystal structure of (E)-5-(diethylamino)-2-(((1,1,2-trihydroxyethyl)iminio)methyl)phenolate, C15H24N2O4
  21. Crystal structure of poly[(μ2-1,4-bis((2-ethyl-1H-benzo[d]imidazol-1-yl)methyl)benzene-κ2N:N′)(μ2-isophthalato-κ4O,O′:O′′,O′′′)cadmium(II)], C34H30N4O4Cd
  22. Crystal structure of 5,6-Dihydro-9,10-dimethoxybenzo[g]-1,3-benzodioxolo[5,6-a]chinolizinium 3-(4-hydroxyphenyl)-4-oxo-4H-chromen-7-olate - methanol - water (1/1/1), C36H33NO10
  23. A single crystal study on 2-(methylcarbamoyl)benzoic acid, C9H9NO3
  24. Crystal structure of the salt 1,1′-(ethane-1,2-diyl)bis(1,4-diazabicyclo[2.2.2]octan-1-ium) diperchlorate, C14H28N4(ClO4)2
  25. Crystal structure of 2,5-bis((E)-2-(trifluoromethyl)benzylidene)cyclopentan-1-one, C21H14F6O
  26. Crystal structure of catena-poly[(μ2-benzene-1,4-dicarboxylato-κ2O:O′)-(1-ethyl-6-fluoro-7-(4-methylpiperazin-1-ium-1-yl)-4-oxo-1,4-dihydroquinoline-3-carboxylato-κ2O,O′)zinc(II)] 1.25 hydrate, C25H26.5N3O8.25FZn
  27. Crystal structure of 1-methyl-1,4-diazabicyclo[2.2.2]octan-1-ium poly[aqua-bis(μ2-perchlorato-κ3O,O′:O′′)sodium], C7H17Cl2N2NaO9
  28. Crystal structure of trimethyammonium 2,6-dicarboxyisonicotinate monohydrate, C11H16N2O7
  29. Crystal structure of dodecaguanidinium bis(tetrapropylammonium) heptacarbonate, C43H128N38O21
  30. Crystal structure of poly[tetraaqua-bis(μ6-benzene-1,2,4,5-tetracarboxylato)nickel(II)diyttrium(III)]dihydrate, C20H16NiO22Y2
  31. Halogen bonds and π–π interactions in the crystal structure of 1,3,5-trifluoro-2,4,6-triiodobenzene–N,N-dimethylformamide (1/1), C9H7F3I3NO
  32. Crystal structure of guanidinium tetraethylammonium carbonate dihydrate, C10H30N4O5
  33. The crystal structure of oxonium chlorido-ethylenediaminetetraactetotin(IV) hydrate, C10H17ClN2O10Sn
  34. Crystal structure of 8-((E)-((4-((E)-1-((benzyloxy)imino)ethyl)phenyl)imino)methyl)-7-hydroxy-4-methyl-2H-chromen-2-one, C26H22N2O4
  35. Crystal structure of bis{5-(diethylamino)-2-(((2-oxo-2H-chromen-6-yl)imino)methyl)phenolato-κ2O,N}copper(II), C40H38CuN4O6
  36. Crystal structure of fac-(acetylacetonato-κ2O,O′)tricarbonyl(tri(p-tolyl)phosphine-κP)rhenium(I), C29H28O5PRe
  37. Crystal structure of fac-(acetylacetonato-κ2O,O′)tricarbonyl(benzyldiphenylphosphine-κP)rhenium(I), C27H24O5PRe
  38. Crystal structure of triethylammonium bis{3-(((3-oxidonaphthalen-1-yl)methylene)amino)-2-oxo-2H-chromen-4-olato-κ3O,N,O′}manganese(III), C46H38MnN3O8
  39. Crystal structure of bis(N,N,N-ethyldimethylethanaminium) bis(heptaselenido-κ2Se1,Se7)palladate(II), C12H32N2PdSe14
  40. Crystal structure of bis(4-(1H-pyrazol-5-yl)pyridine-κ2N:N′)-bis(2-(2-((2,6-difluorophenyl)amino)phenyl)acetate-κO)cadmium(II), C44H34N8CdCl4O4
  41. Crystal structure of 4,4′-(1,4-phenylene)bis(pyridin-1-ium) catena-poly[diaqua-bis(μ2-3′,5′-dicarboxy-[1,1′-biphenyl]-2,5-dicarboxylato-κ2O:O′] dihydrate, C48H42O22N2Ca
  42. The crystal structure of (S)-2-benzylsuccinic acid, C11H12O4
  43. Crystal structure of poly[aqua-(μ3-4-(pyridin-4-yl)isophthalato-κ4O,O′:O′′:O′′′)-(μ2-5-carboxy-2-(pyridin-4-yl)benzoato-κ2O:O′)yttrium(III)], C26H17N2O9Y
  44. Crystal structure of ethyl 1-(3,4-dimethylphenyl)-5-methyl-1H-1,2,3-triazole-4-carboxylate, C14H17N3O2
  45. Crystal structure of tetrakis(methanol-κO)-bis{μ2-3-((4-methoxy-2-oxidobenzylidene)amino)-2-oxo-2H-chromen-4-olate-κ4O,N;O′:O′}dizinc(II), C38H38Zn2N2O14
  46. Crystal structure of bromido(4,4′-dimethoxy-2,2′-bipyridine-κ2N,N′)(isopropyl(diphenyl)phosphane-κP)copper(I), C27H29BrCuN2O2P
  47. Crystal structure of bis(4,4,5,5-tetramethyl-1,3,2-dioxaborolane)-9,9-dioctylfluorene, C41H64B2O4
  48. Crystal structure of 11-oxo-2,3,6,7-tetrahydro-1H,5H,11H-pyrano[2,3-f]pyrido[3,2,1-ij]quinoline-10-carbaldehyde - a julolidine derivative, C16H15NO3
  49. Crystal structure of 1,3-dimethyl-5,5-dibenzylbarbituric acid, C20H20N2O3
  50. Crystal structure of bis(N,N,N-trimethylethanaminium) poly[bis(μ2-heptaselenido-κ2Se1,Se7)palladate(II)], C10H28N2PdSe14
  51. Crystal structure of 1-{4-[(5-Chloro-2-hydroxy-benzylidene)amino]phenyl} ethanone O-ethyl-oxime, C17H17ClN2O2
  52. The crystal structure of methyl N-(4-bromophenyl)carbamate, C8H8BrNO2
  53. Synthesis and crystal structure of 1-{4-[(2-hydroxy-benzylidene)amino]phenyl}ethanone oxime, C15H14N2O2
  54. Crystal structure of 1,1′-butanebis(3-methyl-1H-imidazol-3-ium)bis(hexafluorophosphate), C12H20F12N4P2
  55. (E)-N-benzylidene-3-(benzylthio)-5-p-tolyl-4H-1,2,4-triazol-4-amine, C23H20N4S
  56. Crystal structure of ethyl 5-methyl-1-(pyridin-3-yl)-1H-1,2,3-triazole-4-carboxylate, C11H12N4O2
  57. Crystal structure of 5,5-difluoro-10-(4-fluorophenyl)-1,3,7,9-tetramethyl-5H-4l4,5l4-dipyrrolo[1,2-c:2′,1′-f][1,3,2]diazaborinine - a Z′ = 3 structure, C19H18B2F3N2
  58. The crystal structure of the Matrine derivative: 12-(1H-indol-1-yl)dodecahydro-1H,5H,10H-dipyrido[2,1-f:3′,2′,1′-ij][1,6]naphthyridin-10-one hydrate, C23H29N3O
  59. The crystal structure of tris(μ2-1,3-bis(4,4,4-trifluoro-3-oxido-1-(oxo)but-2-en-1-yl)phenyl-κ4O,O′:O′′,O′′′)-bis(1,2-dimethoxyethane-κ2O,O′)dilutetium(III), C50H38F18Lu2O16
  60. The crystal structure of (Z)-2-(3-(2-(4-chlorobenzoyl)hydrazono)-2-oxoindolin-1-yl) acetic acid, C17H12ClN3O4
  61. Synthesis and crystal structure of trans-tetraqua-bis(2-(((7-hydroxy-3-(4-hydroxy-3-sulfonatophenyl)-4-oxo-4H-chromen-8-yl)methyl)ammonio)acetato-κO)cobalt(II) hexahydrate, C36H48CoN2O28S2
  62. The crystal structure of N,N-dimethyl-2,6-di-p-tolylpyrimidin-4-amine, C20H21N3
  63. The crystal structure (E)-4-methyl-N′-(2-nitrobenzylidene)benzenesulfonohydrazide, C14H13N3O4S
  64. Crystal structure of catena-poly[(μ2-1,3-bis(benzimidazol-1-yl)propane κ2N:N′)-(μ2-5-methoxyisophthalato-κ2O:O′)zinc(II)] hydrate, C26H24ZnN4O6
  65. The crystal structure of (E)-N′-(quinolin-2-ylmethylene)furan-2-carbohydrazide monohydrate, C15H13N3O3
  66. Crystal structure of 2,8-diphenyl-3,7,9-trioxa-1-azaspiro[4.5]dec-1-ene, C18H17N1O3
  67. Crystal structure of diethyl 2-(4-chlorophenyl)-1,3-dioxane-5,5-dicarboxylate, C16H19ClO6
  68. Crystal structure of 1-(carboxymethyl)-1H-benzo[d][1,2,3]triazole 3-oxide, C8H7N3O3
  69. Crystal structure of (acetylacetonato-κ2O,O′)-(2-amino-6-chlorobenzoato-κO)-oxido(1,10-phenanthroline-κ2N,N′)vanadium(IV) – trichloromethane (1/1)
  70. Crystal structure of (1E,4E)-1,5-bis(4-chlorophenyl)penta-1,4-dien-3-one, C17H12Cl2O
  71. The crystal structure of trans-dibromido-bis(pyridine-κN)platinum(II), C10H10Br2N2Pt
Downloaded on 25.1.2026 from https://www.degruyterbrill.com/document/doi/10.1515/ncrs-2017-0102/html
Scroll to top button