Home Physical Sciences Crystal structure of ethyl 5-methyl-1-(pyridin-3-yl)-1H-1,2,3-triazole-4-carboxylate, C11H12N4O2
Article Open Access

Crystal structure of ethyl 5-methyl-1-(pyridin-3-yl)-1H-1,2,3-triazole-4-carboxylate, C11H12N4O2

  • Iván Brito EMAIL logo , Victor Kesternich , Marcia Pérez-Fehrmann , Catherine Araneda and Alejandro Cárdenas
Published/Copyright: October 6, 2017

Abstract

C11H12N4O2, monoclinic, P21/c (no. 14), a = 12.0258(15) Å, b = 8.0563(10) Å, c = 12.4478(13) Å, β = 104.157(4)°, V = 1169.4(2) Å3, Z = 4, Rgt(F) = 0.0619, wRref(F2) = 0.1616, T = 293(2) K.

CCDC no.:: 1575214

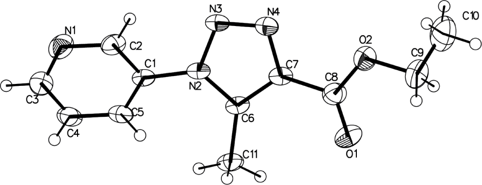
The asymmetric unit of the title crystal structure is shown in the figure. Tables 1 and 2 contain details of the measurement method and a list of the atoms including atomic coordinates and displacement parameters.

Table 1

Data collection and handling.

Crystal:Colourless block
Size:0.20 × 0.10 × 0.09 mm
Wavelength:Mo Kα radiation (0.71073 Å)
μ:1.0 cm−1
Diffractometer, scan mode:Bruker D8-Venture, φ and ω
2θmax, completeness:52.8°, >99%
N(hkl)measured, N(hkl)unique, Rint:30360, 2387, 0.062
Criterion for Iobs, N(hkl)gt:Iobs > 2 σ(Iobs), 1697
N(param)refined:156
Programs:Bruker programs [1], OLEX2 [2], SHELX [3]
Table 2

Fractional atomic coordinates and isotropic or equivalent isotropic displacement parameters (Å2).

AtomxyzUiso*/Ueq
O10.37425(17)0.4462(3)0.25567(18)0.0956(7)
O20.33715(15)0.3149(3)0.09306(16)0.0782(6)
N1−0.27754(18)0.4910(3)0.2075(2)0.0757(7)
N20.01575(16)0.3800(2)0.20036(13)0.0498(5)
N30.00426(18)0.3277(3)0.09342(14)0.0598(5)
N40.10594(17)0.3232(3)0.07596(15)0.0600(6)
C1−0.08503(18)0.3944(3)0.24116(16)0.0481(5)
C5−0.0923(2)0.3206(3)0.33902(17)0.0574(6)
H5−0.0302730.2635140.3827220.069*
C4−0.1938(2)0.3338(3)0.37000(19)0.0647(7)
H4−0.2020740.2859310.4355740.078*
C3−0.2830(2)0.4190(4)0.3025(2)0.0719(7)
H3−0.3513740.4269530.3244000.086*
C2−0.1785(2)0.4790(3)0.1786(2)0.0610(6)
H2−0.1717980.5299560.1134550.073*
C60.12696(19)0.4092(3)0.25018(17)0.0493(5)
C70.1834(2)0.3732(3)0.16983(17)0.0526(6)
C80.3076(2)0.3835(3)0.1790(2)0.0644(7)
C90.4610(3)0.3085(5)0.0996(3)0.1056(12)
H9A0.4926210.4198880.1085460.127*
H9B0.4994270.2433630.1634730.127*
C100.4798(3)0.2365(6)0.0021(4)0.1204(14)
H10A0.4489070.126112−0.0061400.181*
H10B0.5606920.2322540.0069910.181*
H10C0.4426970.302312−0.0607330.181*
C110.1686(2)0.4705(3)0.36622(19)0.0659(7)
H11A0.1100640.5368340.3855080.099*
H11B0.2363070.5363670.3720300.099*
H11C0.1861730.3775570.4157810.099*

Source of materials

The title compound was obtained using the synthetic method described by Kalmaraj et al. [4]. A mixture of 3-aminopyridine (7.24 mmol) in 4.50 mL of HCl/water (1:1) was cooled at 0–5 °C and added dropwise a solution of sodium nitrite 525 mg (7.60 mmol) in 30 mL of water. The resulting mixture was stirred for 10 minutes, then it was slowly added a solution of sodium azide (612 mg, 9.41 mmol) in 60 mL of cold water. The mixture was stirred for 30 min and extracted with 10 mL of diethyl ether and washed successively with water (three times, 6 mL). The organic phase was dried over anhydrous sodium sulfate and concentrated in vacuum at 30 °C affording pyridine azide. The pyridine azide obtained was dissolved in DMSO and 7.96 mmol (1.1 eq) of ethyl acetoacetate and 1.0 g of K2CO3 (1 eq) were added. The mixture was stirred for 3 h and the reaction stopped by adding 30 mL of cold water. The precipitate obtained was filtered under vacuum, washed with cold water and vacuum dryed, obtaining 1.98 g (yield 78%) of the title compound. Finally, crystallization from ethanol gave colourless crystals, m.p. 75–76 °C. IR (cm−1) ν: 3062, 3036 (CAr—H); 2981 (Csp3—H); 1630 (C=O), 1508 (N=N); 1483, 1466, 1447 (CAr—CAr); 1446 (COOas). 1H NMR (500 MHz, DMSO-d6) δ (ppm): 8.72 (s, 1H, H5), 8.71 (d, J = 1.3 Hz, 1H, H3), 8.02 (d, J = 7.2 Hz, 1H, H1), 7.66 (dd, J = 7.9 y 4.6 Hz, 1H, H2), 2.45 (s, 3H, H12). 13C NMR (500 MHz, DMSO-d6) δ (ppm): 166.20 (C13), 151.13 (C3), 146.15 (C5), 144.32 (C8), 136.67 (C9), 134.12 (C1), 133.65 (C6), 125.64 (C2), 10.20 (C12). HRESIMS: m/z 233.1 for C11H13N4O2 [M + H]+, calculated: m/z 232.2

Experimental details

H atoms were refined with fixed individual displacement parameters, using a riding model with C—H distances of 0.93 Å (for aromatic rings), 0.92 Å; 0.96 Å (for CH2 and CH3, respectively), with U(H) values of 1.2Ueq(C) (for CH in aromatic moiety and CH2), and 1.5Ueq(C) (for CH3).

Comment

There are numerous papers which report the preparation and characterization of complexes based on 1,2,3-triazole derivatives [5], [6], [7], [8]. As a ligand with multiple coordination sites, 1,2,3-triazole-4-carboxylic acid has gained much interest, since it can bridge different metal centers to afford coordination polymers, which show extraordinary structural diversity and luminescent properties [9]. This work forms part of our continuing efforts in the synthesis, structural characterization, and determination of the photophysical properties of metal-organic hybrids based on d10 ions and flexible organic ligands [10], [11], [12], [13], [14].

In the title compound the triazole fragment makes a dihedral angle of 50.31(13)° and 10.10(18)° with the pyridine and the lateral chain fragments respectively. In the crystal structure weak Csp2—H⋅⋅⋅N intermolecular interactions are observed. All bond distances and angles are in normal ranges.

Acknowledgements

IB Thanks to Fondecyt grant 1170256 and Fondequip Program, grant EQM130021. VK thanks to European Union Project ChemBioFight (grant 269301).

References

Bruker. APEX3, SAINT and SADABS. Bruker AXS Inc., Madison, WI, USA (2007).Search in Google Scholar

Dolomanov, O. V.; Bourhis, L. J.; Gildea, R. J.; Howard, J. A. K.; Puschmann, H.: OLEX2: A complete structure solution, refinement and analysis program. J. Appl. Cryst. 42 (2009) 339–341.10.1107/S0021889808042726Search in Google Scholar

Sheldrick, G. M.: Crystal structure refinement with SHELXL. Acta Crystallogr. C71 (2015) 3–8.10.1107/S2053229614024218Search in Google Scholar PubMed PubMed Central

Kalmaraj, V. R.; Senthil, S.; Kannan, P.: One pot synthesis and the fluorescent bahavior of 4-acetyl-5-methyl-1,2,3-triazole regioisomers. J. Mol. Struct. 892 (2008) 210–215.10.1016/j.molstruc.2008.05.028Search in Google Scholar

Chang, C. W.; Lee, G. H.: Synthesis of ruthenium triazolato and tetrazolato complexes by 1,3-dipolar cycloadditions of ruthenium azido complex with alkynes and alkenes and regiospecific alkylation of triazolates. Organometallics 22 (2003) 3107–3116.10.1021/om030079rSearch in Google Scholar

Tong, X. L.; Xin, J. H.; Gao, W. H.; Zhu, X. P.: Two complexes based on 1H-1,2,3-triazole-4,5-dicarboxylic acid: hydrothermal synthesis, crystal structures and spectral properties. J. Coord. Chem. 64 (2011) 2984–2994.10.1080/00958972.2011.611243Search in Google Scholar

Urankar, D.; Pevec, A.; Turel, I.; Košmrlj, V.: Pyridyl conjugated 1,2,3-triazole is a versatile coordination ability ligand enabling supramolecular associations. Cryst. Growth Des. 10 (2010) 4920–4927.10.1021/cg100993kSearch in Google Scholar

Nelson, R.; Kesternich, V.; Pérez-Fehrmann, M.; Jaldin, S.; Marcourt, L.; Christen, P.: Regiospecific synthesis of 1,4,5-trisubstituted 1,2,3-triazoles via enolate–azide cycloaddition between 1,3-dicarbonyl compounds and aryl azides. J. Chem. Res. 40 (2016) 453–457.10.3184/174751916X14656662266973Search in Google Scholar

Fletcher, J. T.; Bumgarner, B. J.; Engels, N. D.; Skoglund, D. A.: Multidentate 1,2,3-triazole-containing chelators from tandem deprotection/click reactions of (trimethylsilyl)alkynes and comparison of their ruthenium(II) complexes. Organometallics 27 (2008) 5430–5433.10.1021/om800768kSearch in Google Scholar

Brito, I.; Vallejos, J.; Cárdenas, A.; López-Rodríguez, M.; Bolte, M.; Llanos, J.: Two novel lineal d10 metal-organic frameworks with a ditopic flexible linker: Structures, blue luminescence and thermal stability. Inorg. Chem. Commun. 14 (2011) 897–901.10.1016/j.inoche.2011.03.022Search in Google Scholar

Vallejos, J.; Brito, I.; Cárdenas, A.; Bolte, M.; Llanos. J.; López-Rodríguez, M.: A novel double-stranded staircase Cu(I)-iodide coordination polymer based on bis(4-pyridyl-carboxylate) ligand with flexible propyl spacer: Syntheses, crystal structure, luminescence properties and thermal stability. Inorg. Chem. Commun. 24 (2012) 59–62.10.1016/j.inoche.2012.07.036Search in Google Scholar

Brito, I.; Vallejos, J.; Bolte, M.; López-Rodríguez, M.; Cárdenas, A.: Propane-1,3-diyl bis(pyridine-4-carboxylate). Acta. Crystallogr. E66 (2010) o1015.10.1107/S1600536810011700Search in Google Scholar PubMed PubMed Central

Brito, I.; Vallejos, J.; Cárdenas, A.; López-Rodríguez, M.: Propane-1,3-diaminium bis(pyridine-4-carboxylate) monohydrate. Acta Crystallogr. E67 (2011) o2423.10.1107/S1600536811033502Search in Google Scholar PubMed PubMed Central

Brito, I.; Vallejos, J.; Cárdenas, A.; López-Rodríguez, M.; Bolte, M.: A monoclinic modification of propane-1,3-diyl bis(pyridine-3-carboxylate). Acta Crystallogr. E67 (2011) o278.10.1107/S1600536810054309Search in Google Scholar PubMed PubMed Central

Received: 2017-5-9
Accepted: 2017-9-18
Published Online: 2017-10-6
Published in Print: 2017-11-27

©2017 Iván Brito et al., published by De Gruyter, Berlin/Boston

This work is licensed under the Creative Commons Attribution-NonCommercial-NoDerivatives 4.0 License.

Articles in the same Issue

  1. Cover and Frontmatter
  2. Crystal structure of potassium 1-methyl-1H-1,2,3,4-tetrazole-5-thiolate, C2H3N4SK
  3. Crystal structure of bis(3-(3-ethylureido)-N,N-dimethylpropan-1-aminium) bis (μ3-2-(hydroxymethyl)-2-(oxidomethyl)propane-1,3-bis(olato))-(μ6-oxo)-hexakis(μ2-oxo)-hexaoxo-hexavanadium(V) – dichloromethane (1/1), C27H60Cl2N6O23V6
  4. Crystal structure of bis(μ3-methanolato-κ3O:O:O)-bis(μ2-methanolato-κ2O:O)-dimethanol-bis{6,6′-(1,3-dihydroxyl-2-acetylpropane-1,3-diyl)bis(2-chloro-4-bromophenolato)}tetramanganese(III) C40H40Br4Cl4Mn4O16
  5. Synthesis and crystal structure of tetrakis(μ2-methanolato)-dimethanol-bis(μ2-2-acetyl-1,3-bis(3,5-dibromo-2-oxidophenyl)propane-1,3-bis(olato)-κ5O1,O2,O3:O3,O4,O5)tetramanganese(III), C40H40Br8Mn4O16
  6. Synthesis and crystal structure tetrakis(μ2-methanolato)-dimethanol-bis(μ2-2-acetyl-1,3-bis(3,5-dichloro-2-oxidophenyl)propane-1,3-bis(olato)-κ5O1,O2,O3:O3,O4,O5), tetramanganese(III), C40H40Cl8Mn4O16
  7. Crystal structure of bis{5-methoxy-2-((E)-((4-((E)-1-(methoxyimino)ethyl)phenyl)imino)methyl)phenolato-κ2N,O)}copper(II), C34H34CuN4O6
  8. Crystal structure of (E)-1-(2-hydroxy-3-{[2-hydroxybenzylidene]amino}phenyl)ethan-1-one, C15H13NO3
  9. Crystal structure of bis(μ2-acetato-κ2O:O′)-bis{μ2-4-chloro-2-(8-(4-(diethylamino)-2-oxidophenyl)-3,6-dioxa-2,7-diazaocta-1,7-dien-1-yl)phenolato-κ6O:O,N,N′,O′′:O′′}tricobalt(II), C44H49Cl2Co3N6O12
  10. Crystal structure of bis{μ2-2,4-dichloro-6-(8-(4-(diethylamino)-2-oxidophenyl)-3,6-dioxa-2,7-diazaocta-1,7-dien-1-yl)phenolato-κ5O:O,N,N′,O′}dicobalt(II) acetone solvate, C43H48Br4Co2N6O9
  11. Synthesis and crystal structure of bis(μ2-acetato-κ2O:O′)-bis{μ2-4-chloro-2-(8-(4-(diethylamino)-2-oxidophenyl)-3,6-dioxa-2,7-diazaocta-1,7-dien-1-yl)phenolato-κ6O:O,N,N′,O′:O′}trizinc(II), C44H49Cl2N6O12Zn3
  12. Crystal structure of bis{5-(N,N′-diethylamine)-5′-methoxy -2,2′-[ethylenediyldioxybis(nitrilomethylidyne)]diphenolato}-bis(μ2-acetato-κ2O:O′)trizinc(II), C46H56Zn3N6O14
  13. Crystal structure of tris(cyano-(hydrogen tris(3,5-dimethylpyrazolyl)borate))-iron(III) 4-methoxypyridinium monohydrate, C24H32BN10O2Fe
  14. Synthesis and crystal structure of bis{1-(((4-(1-(hydroxyimino)ethyl)phenyl)imino)methyl)naphthalen-2-olato-κ2O,N}copper(II), C38H30CuN4O4
  15. Crystal structure of (E)-1-(4-{[(E)-2-Hydroxy-1-naphthalenylmethylene] amino}phenyl)ethanone oxime, C19H16N2O2
  16. The pseudosymmetric crystal structure of 2-(2-naphthalenyl)-3-nitro-2H-1-benzopyran, C38H26N2O6
  17. Crystal structure of 2-benzoyl-3-(4-methoxyphenyl)cyclopropane-1,1-dicarbonitrile, C19H14N2O2
  18. N′-(5-ethoxycarbonyl-3,4-dimethyl-pyrrol-2-yl-methylidene)-4-hydroxybenzohydrazide monohydrate, C17H21N3O5
  19. The crystal structure of carbonyl-[4-(2,4-dichlorophenylamino)pent-3-en-2-onato-κ2N,O]-(triphenylphosphine-κP)rhodium(I), RhC30H25Cl2NO2P
  20. Crystal structure of (E)-5-(diethylamino)-2-(((1,1,2-trihydroxyethyl)iminio)methyl)phenolate, C15H24N2O4
  21. Crystal structure of poly[(μ2-1,4-bis((2-ethyl-1H-benzo[d]imidazol-1-yl)methyl)benzene-κ2N:N′)(μ2-isophthalato-κ4O,O′:O′′,O′′′)cadmium(II)], C34H30N4O4Cd
  22. Crystal structure of 5,6-Dihydro-9,10-dimethoxybenzo[g]-1,3-benzodioxolo[5,6-a]chinolizinium 3-(4-hydroxyphenyl)-4-oxo-4H-chromen-7-olate - methanol - water (1/1/1), C36H33NO10
  23. A single crystal study on 2-(methylcarbamoyl)benzoic acid, C9H9NO3
  24. Crystal structure of the salt 1,1′-(ethane-1,2-diyl)bis(1,4-diazabicyclo[2.2.2]octan-1-ium) diperchlorate, C14H28N4(ClO4)2
  25. Crystal structure of 2,5-bis((E)-2-(trifluoromethyl)benzylidene)cyclopentan-1-one, C21H14F6O
  26. Crystal structure of catena-poly[(μ2-benzene-1,4-dicarboxylato-κ2O:O′)-(1-ethyl-6-fluoro-7-(4-methylpiperazin-1-ium-1-yl)-4-oxo-1,4-dihydroquinoline-3-carboxylato-κ2O,O′)zinc(II)] 1.25 hydrate, C25H26.5N3O8.25FZn
  27. Crystal structure of 1-methyl-1,4-diazabicyclo[2.2.2]octan-1-ium poly[aqua-bis(μ2-perchlorato-κ3O,O′:O′′)sodium], C7H17Cl2N2NaO9
  28. Crystal structure of trimethyammonium 2,6-dicarboxyisonicotinate monohydrate, C11H16N2O7
  29. Crystal structure of dodecaguanidinium bis(tetrapropylammonium) heptacarbonate, C43H128N38O21
  30. Crystal structure of poly[tetraaqua-bis(μ6-benzene-1,2,4,5-tetracarboxylato)nickel(II)diyttrium(III)]dihydrate, C20H16NiO22Y2
  31. Halogen bonds and π–π interactions in the crystal structure of 1,3,5-trifluoro-2,4,6-triiodobenzene–N,N-dimethylformamide (1/1), C9H7F3I3NO
  32. Crystal structure of guanidinium tetraethylammonium carbonate dihydrate, C10H30N4O5
  33. The crystal structure of oxonium chlorido-ethylenediaminetetraactetotin(IV) hydrate, C10H17ClN2O10Sn
  34. Crystal structure of 8-((E)-((4-((E)-1-((benzyloxy)imino)ethyl)phenyl)imino)methyl)-7-hydroxy-4-methyl-2H-chromen-2-one, C26H22N2O4
  35. Crystal structure of bis{5-(diethylamino)-2-(((2-oxo-2H-chromen-6-yl)imino)methyl)phenolato-κ2O,N}copper(II), C40H38CuN4O6
  36. Crystal structure of fac-(acetylacetonato-κ2O,O′)tricarbonyl(tri(p-tolyl)phosphine-κP)rhenium(I), C29H28O5PRe
  37. Crystal structure of fac-(acetylacetonato-κ2O,O′)tricarbonyl(benzyldiphenylphosphine-κP)rhenium(I), C27H24O5PRe
  38. Crystal structure of triethylammonium bis{3-(((3-oxidonaphthalen-1-yl)methylene)amino)-2-oxo-2H-chromen-4-olato-κ3O,N,O′}manganese(III), C46H38MnN3O8
  39. Crystal structure of bis(N,N,N-ethyldimethylethanaminium) bis(heptaselenido-κ2Se1,Se7)palladate(II), C12H32N2PdSe14
  40. Crystal structure of bis(4-(1H-pyrazol-5-yl)pyridine-κ2N:N′)-bis(2-(2-((2,6-difluorophenyl)amino)phenyl)acetate-κO)cadmium(II), C44H34N8CdCl4O4
  41. Crystal structure of 4,4′-(1,4-phenylene)bis(pyridin-1-ium) catena-poly[diaqua-bis(μ2-3′,5′-dicarboxy-[1,1′-biphenyl]-2,5-dicarboxylato-κ2O:O′] dihydrate, C48H42O22N2Ca
  42. The crystal structure of (S)-2-benzylsuccinic acid, C11H12O4
  43. Crystal structure of poly[aqua-(μ3-4-(pyridin-4-yl)isophthalato-κ4O,O′:O′′:O′′′)-(μ2-5-carboxy-2-(pyridin-4-yl)benzoato-κ2O:O′)yttrium(III)], C26H17N2O9Y
  44. Crystal structure of ethyl 1-(3,4-dimethylphenyl)-5-methyl-1H-1,2,3-triazole-4-carboxylate, C14H17N3O2
  45. Crystal structure of tetrakis(methanol-κO)-bis{μ2-3-((4-methoxy-2-oxidobenzylidene)amino)-2-oxo-2H-chromen-4-olate-κ4O,N;O′:O′}dizinc(II), C38H38Zn2N2O14
  46. Crystal structure of bromido(4,4′-dimethoxy-2,2′-bipyridine-κ2N,N′)(isopropyl(diphenyl)phosphane-κP)copper(I), C27H29BrCuN2O2P
  47. Crystal structure of bis(4,4,5,5-tetramethyl-1,3,2-dioxaborolane)-9,9-dioctylfluorene, C41H64B2O4
  48. Crystal structure of 11-oxo-2,3,6,7-tetrahydro-1H,5H,11H-pyrano[2,3-f]pyrido[3,2,1-ij]quinoline-10-carbaldehyde - a julolidine derivative, C16H15NO3
  49. Crystal structure of 1,3-dimethyl-5,5-dibenzylbarbituric acid, C20H20N2O3
  50. Crystal structure of bis(N,N,N-trimethylethanaminium) poly[bis(μ2-heptaselenido-κ2Se1,Se7)palladate(II)], C10H28N2PdSe14
  51. Crystal structure of 1-{4-[(5-Chloro-2-hydroxy-benzylidene)amino]phenyl} ethanone O-ethyl-oxime, C17H17ClN2O2
  52. The crystal structure of methyl N-(4-bromophenyl)carbamate, C8H8BrNO2
  53. Synthesis and crystal structure of 1-{4-[(2-hydroxy-benzylidene)amino]phenyl}ethanone oxime, C15H14N2O2
  54. Crystal structure of 1,1′-butanebis(3-methyl-1H-imidazol-3-ium)bis(hexafluorophosphate), C12H20F12N4P2
  55. (E)-N-benzylidene-3-(benzylthio)-5-p-tolyl-4H-1,2,4-triazol-4-amine, C23H20N4S
  56. Crystal structure of ethyl 5-methyl-1-(pyridin-3-yl)-1H-1,2,3-triazole-4-carboxylate, C11H12N4O2
  57. Crystal structure of 5,5-difluoro-10-(4-fluorophenyl)-1,3,7,9-tetramethyl-5H-4l4,5l4-dipyrrolo[1,2-c:2′,1′-f][1,3,2]diazaborinine - a Z′ = 3 structure, C19H18B2F3N2
  58. The crystal structure of the Matrine derivative: 12-(1H-indol-1-yl)dodecahydro-1H,5H,10H-dipyrido[2,1-f:3′,2′,1′-ij][1,6]naphthyridin-10-one hydrate, C23H29N3O
  59. The crystal structure of tris(μ2-1,3-bis(4,4,4-trifluoro-3-oxido-1-(oxo)but-2-en-1-yl)phenyl-κ4O,O′:O′′,O′′′)-bis(1,2-dimethoxyethane-κ2O,O′)dilutetium(III), C50H38F18Lu2O16
  60. The crystal structure of (Z)-2-(3-(2-(4-chlorobenzoyl)hydrazono)-2-oxoindolin-1-yl) acetic acid, C17H12ClN3O4
  61. Synthesis and crystal structure of trans-tetraqua-bis(2-(((7-hydroxy-3-(4-hydroxy-3-sulfonatophenyl)-4-oxo-4H-chromen-8-yl)methyl)ammonio)acetato-κO)cobalt(II) hexahydrate, C36H48CoN2O28S2
  62. The crystal structure of N,N-dimethyl-2,6-di-p-tolylpyrimidin-4-amine, C20H21N3
  63. The crystal structure (E)-4-methyl-N′-(2-nitrobenzylidene)benzenesulfonohydrazide, C14H13N3O4S
  64. Crystal structure of catena-poly[(μ2-1,3-bis(benzimidazol-1-yl)propane κ2N:N′)-(μ2-5-methoxyisophthalato-κ2O:O′)zinc(II)] hydrate, C26H24ZnN4O6
  65. The crystal structure of (E)-N′-(quinolin-2-ylmethylene)furan-2-carbohydrazide monohydrate, C15H13N3O3
  66. Crystal structure of 2,8-diphenyl-3,7,9-trioxa-1-azaspiro[4.5]dec-1-ene, C18H17N1O3
  67. Crystal structure of diethyl 2-(4-chlorophenyl)-1,3-dioxane-5,5-dicarboxylate, C16H19ClO6
  68. Crystal structure of 1-(carboxymethyl)-1H-benzo[d][1,2,3]triazole 3-oxide, C8H7N3O3
  69. Crystal structure of (acetylacetonato-κ2O,O′)-(2-amino-6-chlorobenzoato-κO)-oxido(1,10-phenanthroline-κ2N,N′)vanadium(IV) – trichloromethane (1/1)
  70. Crystal structure of (1E,4E)-1,5-bis(4-chlorophenyl)penta-1,4-dien-3-one, C17H12Cl2O
  71. The crystal structure of trans-dibromido-bis(pyridine-κN)platinum(II), C10H10Br2N2Pt
Downloaded on 25.1.2026 from https://www.degruyterbrill.com/document/doi/10.1515/ncrs-2017-0139/html
Scroll to top button