Abstract
Tractor is the most prominent off-road agricultural machinery that is significant to the global food security. The tractive modelling of tyre–soil interaction and agricultural implement dynamics is a complex phenomenon that require holistic approach. Terramechanics techniques such as empirical, semi-empirical, analytical, and numerical methods such as finite element models and discrete element models have gained traction in tractive performance studies. Some of these approaches are premised on large arrays of variables for modelling tractive performance based on the soil–tyre and tools interactions. In this study, soft computing in R software domain was used to model the tractor tractive performance during ploughing operations on a tropical Alfisol. The research farm at the National Centre for Agricultural Mechanization was used for the field experiment. The experimental design was a nested-factorial under a Randomized Complete Block Design having three replications. The input factors were tractor power size, T, (60, 65, and 70 hp); tyre inflation pressure, P, (83, 124, and 165 kPa); implement configuration, I, (2 and 3 bottoms disc plough); and operational speed, S, (6.31, 7.90, 9.47, 11.05, and 12.63 km/h). Standard procedures were followed to obtain the measured parameters in the field, which were statistically analysed. Correlation analysis and analysis of variance of the measured parameters at 5% significance level were established. Multiple linear regression was used to develop the model, validated using the 10-fold cross-validation method. The results revealed that the evaluated variables have a range of 1.56–7.79 kN, 5.15–27.20%, 9.10–32.00 cm, 4.50–13.94%, 1.31–1.67 g/cm3, 95.89–207.78 kPa, and 98.67–295.56 for draught, wheel slip, depth of cut, moisture content, bulk density, cone index (CI), and shear stress, respectively. A positive correlation exists between the towing force (TF) and the measured variables except for the shear stress and CI. The final developed model has seven variables for predicting TF with a 6.5% error and an average of 0.4735 cross validation root mean square error. The model quality of fit achieved an
1 Introduction
The advent of tractor in the farming ecosystems has revolutionized the modern farming dynamics. It has brought unique transformation through drudgery reduction, energy resource management and the overall enhancement of farm mechanization objectives [1,2,3]. A robust field performance delivery from this vital machinery influences the optimum production process and system efficiency. Due to research efforts in tractor and traction dynamics over the years, innovation in farm tractor development has led to the availability of sophisticated and expensive machinery which has cost implications on the budget of farmers. The improper matching of this machinery with the allied implement produces negative impacts on the machine, operator’s ergonomics, the working environment such as soil compaction, soil structural distortion, pollutants discharge, and the budget of farmer. Accurate prediction of tractor-implement parameters during field work with tillage implements is significant in enhancing the effectiveness of the process [4]. The ability to minimize input resources especially at the production stage is a booster to overall efficiency, productivity, and profitability [5,6,7].
Tractors are mostly used to perform drawbar activities that involve the movement of force over some distances. Thrust is generated to overcome inherent impediments to motion, thereby achieving useful work. The swiftness to how this important function is achieved is a measure of tractor effectiveness in the field [8,9,10]. Ideally, a tractor is expected to convert all its chemical energy (fuel) into useful work at the drawbar but this is hardly the case in practice as losses through the drive-train, terrain, and tractive device–soil interaction set in [8,11]. This decimates the gross torque output developed from the power train needed for intermittent operations such as soil tillage. Studies have shown that approximately 20–55% of tractor available energy is wasted at the tractive device–soil interface. The negative effects of these generate lower output and productivity. Factors relating to the machine, operation characteristics, and soil properties influences the power delivery efficiency that can be obtained from a tractor-implement combination [12,13,14], with the soil properties depicting the most prominent [15]. Ploughing operation as the initial soil manipulation stage is an energy intensive exercise that expend huge force to break soil mass. Draft force depicts the horizontal force required to pull a tillage implement through the soil. This along with other indices are the determining factors in tillage operation efficiency. Accurate draft force predictions are critical for tractor-implement matching which have always been a challenge in the developing economy farming domain. Achieving this will improve machine efficiency, proper machinery selection, production costs reduction, and quality work enhancement [16,17]. Draft force prediction has always been a herculean task because of soil variability and intermittent load that characterized the tillage operations.
Soil properties, tillage depth, and speed of operation are among the many factors that contribute to the draft force of an implement. The type and condition of the soil significantly influence the resistance encountered during tillage operations [18]. The studies by Okayasu et al. [19] and Kim et al. [20] emphasize the influence of soil properties, such as moisture content (MC) , bulk density (BD), cone index (CI), and soil structure, on the draft force exerted by tillage implements. Understanding these soil characteristics and their effects on draft force can aid in selecting the appropriate equipment for specific soil conditions and tillage requirements [21,22].
In addition to soil properties, tillage depth is another critical factor affecting draft force. Azimi-Nejadian et al. [23] and Kim et al. [20] have investigated the relationship between tillage depth and draft force, affirming the need for accurate predictions to optimize tillage practices. Furthermore, the speed of operation plays a significant role in determining the draft force required. Naderloo et al. [24] emphasized the impact of operating speed on draft force, presenting that higher speeds tend to increase the draft force due to increased soil disturbance. Al-Suhaibani et al. [25] have investigated the relationship between forward speed and ploughing depth, and showed that draft force changed non-linearly in a particular tillage system.
Tractor-implement matching and the dynamic tractive interface depict a complex phenomenon due to the intermittent nature of field operation resulting from varying torque and speed. The complexity in soil–tyre interaction and the tool–soil interaction result from the forces acting on a blade that transverse through soil as witness during ploughing. Notable studies in tractor performance improvement during field operations have been documented over the years [15]. These have led to the emergence of improved tractors and mobile systems with high efficiency and stability. The matching of a tractor with an implement requires information on tractor capacity, the implement, and possible load to be imposed. Draft requirements of an implement is premised on the soil characteristics, implement configuration and machine operational conditions. These define the tractive output from a tractor implement combination. Key indices among others are the soil type and moisture content, width and depth of operation, shape and sharpness of the implement, speed of operation, tyre inflation pressure and previous crop planted [26,27]. Studies in terramechanics have adopted majorly four techniques or approaches for vehicle–terrain interaction modelling, namely, empirical methods, semi-empirical methods, analytical methods, and numerical methods [15]. Due to the complexity of these approaches, researchers have investigated the possibility of using soft computing to model the performance of machinery and traction devices both in the laboratory (in situ) and on the field. Software packages such as Microsoft Excel, Visual C++, Statistica, Artificial neural network, machine learning, Adaptive network-based fuzzy inference system have been used for such predictions [4,28,29]. Most often these software are paid access packages and the challenge with user interface interactiveness limit their adoption and usability. The soft computing techniques offer robust approach for solving complex real-world problems that involve approximations, ambiguity, partial truth, and imprecision [30]. These have the capacity to extract insights and identify important variables by unravelling complex relationships among multiple variables [31].
R is a computer language that allows user to program algorithms and also use tools that have been programmed by others known as user-contributed package. It uses functions to perform operations. R software is an open access, versatile package with a wide array of applications. The tool is a powerful modern computation environment for data manipulation, statistical computation, and visualization [32]. Several packages are available in the R project for the most diverse areas. Most of them are demonstrated and described only in the manuals available in the Comprehensive R Archive Network (CRAN) repository. There are several fields of knowledge with detailed scientific documentations using R software packages such as statistics, economics, meteorology, medicine, and medical sciences, bioinformatics, data analytics, engineering, soil science, geology, and earth science [33,34,35,36,37,38,39]. The application of R software packages for soft computing in tillage and traction dynamic investigations will be an avenue to widen the knowledge base in terramechanics studies toward enhancing process efficiency, system reliability, and optimum performance. Therefore, this study explores statistical computing using multiple linear regression modelling technique on tractor tractive performance during ploughing operation on a tropical Alfisol.
2 Materials and methods
2.1 Research conceptual framework
The need to improve operational efficiency and tractive performance of a tractor-implement combination during the initial soil loosen-up process is the focus of this study. Four input variables were investigated to obtain the measured parameters which were statistically analysed using the R software package. Figure 1 presents the experimental flowchart.

Research procedural approach.
2.2 Soil properties and description of the study area
The research farm of National Centre for Agricultural Mechanization, Ilorin was used for the study under real working conditions. The location is 370 m above sea level, longitude 4°30′E and latitude 8°26′N along Ilorin-Lokoja highway, Idofian, Kwara State, Nigeria. It is found under the southern Guinea Savannah agro-ecological zone characterized by a tropical climate with distinct wet and dry seasons, mean annual rainfall of about 1,000 mm, and daily temperature range of 20–35°C [40]
The dominant soil type is a tropical sandy loam classified as Alfisol developed on parent material from the basement complex made up of gneisses and granite. The texture of the ploughed layer (0–21 cm) was established to contain 67% sand, 16% silt, and 17% clay with 0.21% organic matter (OM). Experimental site topography is relatively flat and confirmed to be fallow land as it has not been used for any intensive farming for two farming seasons.
2.3 Machine specifications and experimental equipment
Process parameters for the investigation were measured and recorded following standard procedures [41,42]. The tractors used for the research were TS 604 (60 hp), John Deere 5503 (65 hp), and Shuhe SH750 (70 hp) while JS-800 (80 hp) was the auxiliary tractor. The choice was premised on availability and wide acceptability of these power ranges among the farmers and stakeholders in tractor hiring services. The corresponding implements attachment were tractor mounted 3-bottom and Mex Rav, 2-bottom disc ploughs. The specifications of the tractors and the matching implements are presented in Tables 1 and 2. Other equipment used were digital dynamometer, digital pressure gauge, digital weighing balance, cone penetrometer, shear vane apparatus, Memmert electrical oven, toolbox, measuring tape, metre rule, ranging pole, chain, tray, airtight polythene material, cutlass, rope, and pegs.
Tractors’ specifications used for the fieldwork
| Item | Tested tractors, tractor make, and model auxiliary | |||
|---|---|---|---|---|
| TS 604 | JD 5504 | Shuhe SH750 | JS 800 | |
| Effective output (hp) | 60 | 65 | 70 | 80 |
| Type of fuel | Diesel | Diesel | Diesel | Diesel |
| Type of steering system | Hydrostatic | Hydraulic | Hydrostatic | Power steering |
| Number of cylinders | 4 | 4 | 4 | 4 |
| Engine rated speed (rpm) | 2,300 | 2,300 | 2,200 | 2,300 |
| Type of cooling system | Water-cooled | Water-cooled | Water-cooled | Water-cooled |
| Front tyre size | 8.3–20 | 11.2–24 | 6.50–20 | 7.50–20 |
| Rear tyre size | 13.6–28 | 16.9–30 | 14.9–30 | 16.9–34 |
Specifications of matching implements
| Item | Disc plough | |
|---|---|---|
| 3-Bottom | 2-Bottom | |
| Implement type | Mounted | Mounted |
| Disc diameter (mm) | 635 | 550 |
| Type of disc blade | Plane concave | Plane concave |
| Spacing of discs (mm) | 540 | 545 |
| Average implement draught (D) (kN) | 5.02 | 3.96 |
2.4 Field layout, experimental structure, and procedures
A 5 ha fallow parcel of land was used for the fieldwork under real-time conditions. Preliminary field preparations and marking out of 270 sample plots were done. Each experimental plot measured 35 m × 4 m considering the plough width. The 35 m length was partitioned into 15 and 20 m. The measured variables were taken in the 20 m portion while the 15 m length was for the tractor speed pick up and stability maintenance. Each tractor was prepared before the fieldwork and the required pressures, 83, 124, and 165 kPa were put into the tractor rear wheel being the traction wheel using a digital pressure gauge, while the front wheels were maintained at the manufacturer’s recommended pressures. The tractor-implement combination was investigated at five levels of speed, 6.3, 7.9, 9.5, 11.1, and 12.6 km/h at gear 2 H using the hand throttle.
2.4.1 Experimental measurements of variables
Dillon EDXtreme precision dynamometer (capacity 5,000 lbs/2,000 kgf, accuracy within ±0.1% functional specification of the machine, resolution 1 part in 5,000 enhanced and up to 7:1 safety factor) was used to measure the D based on availability. This was connected to the front of the lower size tractor being pulled, on which the plough was mounted using chains. Another tractor of higher capacity tractor called auxiliary tractor (JS 800, 80 hp) was used to pull the plough-mounted tractor through the dynamometer. The auxiliary tractor pulls the plough-mounted tractor with the light tractor in neutral gear, first with the plough raised off the ground to measure the towing force (TF) at no load using dynamometer and theoretical time using a digital stop watch. The same process was repeated for the plough in working condition to obtain the TF under load and actual time. All required measurements were taken within the 20 m portion of the experimental plot. The D was the difference between the TF in neutral gear without implements in tillage operation and TF when the implement was engaged in tillage operations [43].
The shear strength (SS) was measured at three random points within the 20 m sub-plots using vane shear test apparatus, Geonor 05903 model [44]. The measuring meter permits the reading of the actual value of torque with ±0.5% range accuracy of torque. The process involves driving the vane to the desired soil depths, namely, 0–7, 7–14, and 14–21 cm, and then turned using the handle. The obtained results were measured prior to the ploughing operations. This same procedure was used to measure the soil CI at 0–7, 7–14, and 14–21 cm depths using a recording soil cone penetrometer (penetrologger ART.NR. 06.15.01; accuracy of 1%). This device complied with ASABE Standard S313.3 having 12.7 mm diameter 30° conical tip [44]. The CI values represent the force required to push the penetrologger into the soil [45].
Soil MC was measured just prior to tillage, using a manual soil auger at 7, 14, and 21 cm depths, at three random points within each experimental plot. The cylindrical soil auger was driven into the soil until the outer end of the ring assumes the same level with the soil surface. The ring was then pulled out carefully. The excess soil sample was cut out with a knife to the same level of the cylinder rim. The content of the soil auger was gently emptied into a polythene bag that was tight to prevent moisture loss and labelled accordingly. This was weighed and recorded prior to oven drying to affirm the moisture condition of the freshly sampled wet soil using a Tianfu electronic weighing scale (W 1 and W c) with 0.01 g accuracy. The sample was dried in an open container using a Memmert electrical oven at a controlled constant temperature of 105°C for 24 h to obtain the dry mass (W 2) of the soil to calculate MC and BD using equations (1) and (2) [46]. The direct method of core sampling was used for the BD (g/cm3) which consist of drying and weighing of soil sample, the volume of which is known [47,48]. The oven-dried soil mass to the volume of the cylindrical soil auger (167 cm3) gave the soil BD.
where W = MC (%); W 1 = mass of container + moist soil (g); W 2 = mass of container + oven dry soil (g); and W c = mass of container (g).
where ρ b = soil BD (g/cm3); M = mass of oven-dried soil (g); and V = volume of wet soil, (cm3)
The theoretical and actual field speeds were measured using a digital stopwatch to record the time taken by the tractor to travel the 20 m specified distance with the specific implement raised up or working in the field, respectively, at the desired speed achieved using the hand throttle and 2 H gear ratio.
The tractor wheel slippage was calculated as a percentage loss of forward speed of the tractor at various levels of the variables considered and their combinations as expressed in equation (3) [49]:
The width of cut (WC) was measured with a measuring tape while a steel rule was used for the depth of cut (DC). The maximum width and deepest depth were obtained at three points within the 20 m ploughed portion.
2.5 Statistical analysis and algorithmic approach
Analysis of Variance (ANOVA) at 95% confidence level was used to examine which of the measured variables contributed significantly to the response variable. Multiple linear regression analysis provided regression coefficient estimation, t-test, and F-test values. These analyses helped to establish the linear relationship existing between the response variable (TF) and the predictors using the R software package. The experimental design used for data collection has both nested and factorial factors of a linear model structure equation (4).
for
Regression analysis help to infer causal relationships between the predictors and response variable. The relationship existing between the TF and the other variables identified to influence tractor tractive performance during ploughing operation was established using the multiple linear regression technique. This is a supervised statistical learning process where both input and output variables were observed and the best mathematical equation that describes the existing relationship was established. Using the least regression approach [50], the mathematical form of the multiple linear regression models in terms of the variables is as follows:
where Y = TF (kN) of ith tractor, X
1 = D (kN) of ith tractor, X
2 = WS (%) of ith tractor, X
3 = DC (cm) of ith tractor, X
4 = WC (cm) of ith tractor, X
5 = MC (%) of ith tractor, X
6 = BD (g/cm3) of ith tractor, X
7 = CI (kPa) of ith tractor, X
8 = SS (kPa) of ith tractor,
2.5.1 Parameter estimation and hypothesis testing
The estimation of all model parameters was done using the stats library of the R software. The research hypotheses adopted were the test adequacy of the fitted models for the data set (F-test) and the significance of the inputs effects in predicting the TF during ploughing operation (t-test). To establish the relationship between the response variable and the predictors, both null and alternative hypotheses were tested with a decision rule that at
Null hypothesis
Alternative hypothesis
Test statistic:
Similarly, to test whether a certain subset q of the coefficients is zero, both null and alternative hypotheses were used.
Null hypothesis
Alternative hypothesis
Test statistic:
where
Variable selection, a process that help to pick the most relevant variables to include in the model was performed. This help to determine those variable associated with TF to fit a single model containing only those significant inputs whether traction inputs or their subset. This help to avoid over fitting and improve model performance [50,51]. This involved attempting different possible combinations of models, each having a different subset of the predictors using the forward selection method [50] in the regsubselect function included in version 1.0 of the ISLR library of the R software [52]. The quality of final models was judged based on forward selection by making a good choice of statistics such as Mallow’s C
p, Akaike information criterion (AIC), Bayesian information criterion (BIC), and adjusted
where d is the number of predictors in the model.
The measurement of the final models quality of fit was obtained using the Regression standard error (RSE) and the fraction of explained variance (R 2) [50] as expressed in equations (10) and (11).
2.6 Model validation
This is to affirm model usefulness and real-life applicability [56]. It was done using a 10-fold cross-validation structure as provided in the DAAG library and the cv.glm function of ISLR library of the R software [50]. This validation structure randomly divides dataset into approximately ten equal subsets or size. At each run, nine subsets were used to construct the model while the remaining subset was used for validation. The average accuracy for ten iterations was recorded as the final measurement [57]. The first fold was treated as a validation set, and the least squares regression was fitted on the remaining folds (ten less one). The Mean square error (MSE) was then computed on the observations in the held-out folds. This procedure was repeated ten times, and each time, a different group of observations was treated as a validation (test) set. The output is in ten estimates of the test errors,
This validation method is an extremely flexible, powerful, and widely used technique in validation work for estimating prediction error. The measure of error for cross-validation is the MSE for a quantitative response [57].
2.7 Multi-collinearity effect estimation
To avoid multi-collinearity effect in the predictors, only models whose variance inflation factor (VIF) is smaller than 10 were retained [51,58,59]. VIF defined the ratio of the variance of β̂ j when fitting the full model divided by the variance of β̂ j if fit on its own equation (13). This has been reported to be a better technique to evaluate multi-collinearity in regression models [50],
where
3 Results and discussion
Field data from the experiment were analysed using descriptive and inferential statistics. This resulted in the development of empirical equations for predicting TF of tractor implement combination during ploughing operations on a tropical Alfisol.
3.1 Experimental site soil textural properties
This established the soil conditions for the tractor-implement working environment, a principal factor that influences machine field performance. Soil data collected included soil grain, BD, MC, cone penetrometer (CI), and SS. The values obtained are indicators to affirm the suitability of the experimental site for the study because agricultural field machines perform well within certain soil properties or conditions [60]. Textural characteristic of the experimental site was found to be sandy loam based on United States Department of Agriculture (USDA) classification (Table 3).
Experimental site soil characteristics
| Soil properties | Values |
|---|---|
| Clay (%) | 17.00 |
| Silt (%) | 16.00 |
| Sand (%) | 67.00 |
| USDA textural class | Tropical Alfisol (Sandy loam) |
| BD (g/cm3) | 1.31–1.67 |
| MC (%, d.b) | 5.95–12.70 |
| CI (kPa) | 85.00–202.00 |
| SS (kPa) | 105.00–285.15 |
d.b - dry basis.
These soil properties affect traction and tyre performance, tractor fuel efficiency, e, wheel slip (WS), tillage energy, and soil morphology [37,61,62].
3.2 Collected experimental field data characteristics
Descriptive statistics of the field data revealed the minimum, maximum, mean value, and standard deviation of the 270 treatments obtained from the fieldwork (Table 4). These variables have a direct impact on tractor performance in the field.
Descriptive statistics overview of the experimental filed data
| Measured parameters | Minimum | Maximum | Mean value | Std. Dev |
|---|---|---|---|---|
| TF (kN) | 3.38 | 10.91 | 7.30 | 1.37 |
| D (kN) | 1.56 | 7.79 | 4.49 | 1.21 |
| WS (%) | 5.15 | 27.20 | 14.21 | 4.37 |
| DC (cm) | 9.10 | 32.00 | 20.51 | 4.20 |
| WC (cm) | 123.00 | 298.00 | 202.40 | 30.00 |
| MC (%) | 4.50 | 13.94 | 8.66 | 1.49 |
| BD (g/cm3) | 1.31 | 1.67 | 1.52 | 0.09 |
| CI (kPa) | 95.89 | 207.78 | 161.56 | 23.17 |
| SS (kPa) | 98.67 | 295.56 | 171.93 | 85.76 |
(TF- Towing force; D- Draught; WS- Wheel slip; DC- Depth of cut; WC- Width of cut; MC- Moisture content; BD- Bulk density; CI- Cone index; SS- Shear strength).
Quantitative output from these indices have impact on the soil, machine, and operational characteristics. Soil BD (ρ b) has a direct effect on soil properties such as porosity, soil moisture availability, and hydraulic conductivity, with an indirect effect on root growth and crop yield [61,62]. A BD greater than 1.2 mg/m3 (clayey soil), 1.6 mg/m3 (loam soil), and 1.8 mg/m3 (sandy loam soil) may adversely affect paddy root growth [60]. Most tillage exercise for crop sowing are usually done at depths of 10–30 cm because average depths of roots penetration for food crops are within this range. The mean DC for the investigations was 20.51 cm which implies a favourable condition for the exercise as the deeper DC has effect on tractive performance indices such as the D, WS, and speed of operation. A CI of 246 kPa was considered a soft soil condition and a CI of 492 kPa was considered a firm soil [63]. Overall, these are pertinent to good traction force and tractor efficiency during field operations.
3.3 Data pre-processing of experimental results for predictive analysis and inference
Based on standard established procedures followed in parametric model assumptions checking and data inspection for the anomaly that may impact the reliability of the predictive inference on the study data, the dataset was checked for missing observations and correlation between the response variable and among the predictors, using version 3.5.1 of the R software for statistical computing and graphics. The dataset run for all the observations produced no missing reading or value. A check for bivariate (Pearson) linear correlation between the variables is as shown in Table 5. Clearly, D, WS, and WC have a significantly strong relationship with tractor TF. The other predictors show no enough data evidence to reject null hypothesis of no significant correlation with tractor TF in ploughing operation. Significant correlations among predictors may suggest multi-collinearity which can be checked only when classical test for multi-collinearity on fitted models is performed.
Correlation matrix for study data
| TF | D | WS | DC | WC | MC | BD | CI | SS | |
|---|---|---|---|---|---|---|---|---|---|
| TF | 1.00 | ||||||||
| D | 0.93 | 1.00 | |||||||
| WS | 0.44 | 0.45 | 1.00 | ||||||
| DC | 0.10 | 0.13 | 0.16 | 1.00 | |||||
| WC | 0.48 | 0.47 | 0.24 | 0.05 | 1.00 | ||||
| MC | 0.07 | 0.12 | −0.01 | −0.03 | 0.17 | 1.00 | |||
| BD | 0.03 | 0.00 | −0.24 | −0.05 | −0.16 | 0.07 | 1.00 | ||
| Ave. CI | −0.02 | −0.05 | 0.01 | −0.02 | 0.20 | 0.03 | −0.48 | 1.00 | |
| Ave. SS | −0.02 | −0.04 | −0.05 | −0.02 | −0.03 | −0.01 | 0.00 | −0.07 | 1.00 |
3.4 Multiple linear regression modelling of TF in ploughing operation
To predict TF in the 270 runs included in the study datasets with the eight traction inputs, model was fitted into the data using the lm() function in the R software [64]. Data indications in Table 6 reveal that only least squares estimate of model parameters D, WC, MC, BD, and CI, respectively, are non-zero since their p-values are much smaller than the
Least squares coefficient estimates of the fitted model
| Parameters | Estimate | Std. error | t-value | P-value |
|---|---|---|---|---|
| Intercept | −0.0836808 | 0.8192317 | −0.102 | 0.91872 |
| D | 1.0215985 | 0.0307407 | 33.233 | <2 × 10−16 |
| WS | 0.0129824 | 0.0079402 | 1.635 | 0.10325 |
| DC | −0.0024087 | 0.0025934 | −0.929 | 0.35386 |
| WC | 0.002614 | 0.0011572 | 2.261 | 0.02459** |
| MC | −0.0490483 | 0.0201739 | −2.431 | 0.01572** |
| BD | 1.2746912 | 0.4081898 | 3.123 | 0.00199* |
| Ave. CI | 0.0034808 | 0.0014936 | 2.331 | 0.02054** |
| Ave. SS | 0.0003165 | 0.003447 | 0.918 | 0.35942 |
Residual standard error: 0.4823 on 261 degrees of freedom (DF).
Multiple R-square: 0.8798, Adjusted R-square: 0.8761.
F-statistic: 238.8 on 8 and 261 DF, p-value: <2.2 × 10−16.
* and ** Represent significant at 1 and 5%, respectively.
Based on equation (14), average TF (kN) is −0.0837 when zero unit of D (
The positive least squares estimate for D, WS, WC, BD, CI, and SS, respectively, implies that they have a direct relationship with TF of tractors in ploughing operations. Similarly, the DC and MC are negatively correlated depicting an inverse relationship with the response variable in ploughing operations.
3.5 ANOVA for the fitted regression model
To investigate marginal effects of the individual traction input variables, the ANOVA was obtained and the summary is presented in Table 7. This is to test the null hypothesis of non-dependence of TF (y) on individual traction inputs at the 5% critical rejection region. Data evidence in Table 7 reveals that traction input variables WS, DC, and SS may not have a significant marginal effect on tractor TF in ploughing operation.
ANOVA table for fitted regression model
| Parameters | DF | Sum of squares | Means squares | F-value | P-value |
|---|---|---|---|---|---|
| D | 1 | 439.13 | 439.13 | 1887.9800 | <2 × 10−16* |
| WS | 1 | 0.19 | 0.19 | 0.8307 | 0.36291 |
| DC | 1 | 0.24 | 0.24 | 1.0385 | 0.30912 |
| WC | 1 | 1.02 | 1.02 | 4.3676 | 0.03760** |
| MC | 1 | 1.09 | 1.09 | 4.6865 | 0.03131** |
| BD | 1 | 1.21 | 1.21 | 5.2065 | 0.02331** |
| CI | 1 | 1.19 | 1.19 | 5.1116 | 0.02459** |
| SS | 1 | 0.20 | 0.20 | 0.8429 | 0.35942 |
| Residuals | 261 | 60.71 | 0.23 | — | — |
* and ** Represent significant at 1 and 5%, respectively.
3.6 Variable selection to identify the best model for TF prediction
To determine which subset of these predictors and their interactions are significantly associated with the response, variable selection using a forward stepwise selection algorithm was performed to ascertain the best model for predicting TF, based on the Residual sum of squares (RSS), and AIC criterion [64,65],. In Table 8, all asterisked inputs and interaction terms are said to have marginal significant effects on tractor TF in ploughing operation. They are, therefore, said to be important in the final model.
Forward stepwise selection for best model ploughing operation
| Parameters | Estimates | Std. error | t-value | P-value |
|---|---|---|---|---|
| Intercept | 5.1124795 | 4.3126616 | 1.185 | 0.236931 |
| D | 2.5373008 | 0.6571578 | 3.861 | 0.000143* |
| WC | −0.0582697 | 0.0198565 | −2.935 | 0.003643* |
| MC | 0.5647208 | 0.1689288 | 3.345 | 0.000952* |
| BD | −4.9948011 | 2.6058076 | −1.917 | 0.056373*** |
| WS | 0.0203033 | 0.0075953 | 2.673 | 0.007996* |
| CI | 0.0042445 | 0.0084175 | 0.504 | 0.614521 |
| D:MC | −0.0820288 | 0.0191261 | −4.289 | 2.54 × 10−5* |
| D:BD | −0.6350407 | 0.3281823 | −1.935 | 0.054085** |
| WC: BD | 0.0434395 | 0.0129545 | 3.353 | 0.000919* |
| MC:CI | −0.0015360 | 0.0007975 | −1.926 | 0.055215*** |
| D:CI | 0.0025497 | 0.0012952 | 1.969 | 0.050082** |
| D:WC | −0.0012837 | 0.0008395 | −1.529 | 0.127472 |
Residual standard error: 0.4552 on 257 DF.
Multiple R-square: 0.8945, Adjusted R-square: 0.8896.
F-statistic: 181.7 on 12 and 257 DF, p-value: <2.2 × 10−16.
*, **, and *** Represent significant at 1, 5, and 10%, respectively.
Based on obtained minimum average AIC, the final model includes D, WC, MC, WS, D:MC interaction, and WC:BD interaction, respectively. The final model produces significant improvement by deleting the intercept term to include CI (Table 9). The no-intercept term model also known as regression-through-the-origin is pronounced in engineering and science phenomena depicting input defines the output. Having intercept in the model signify that when all inputs are zero, the output will assume the intercept value.
Final ploughing operation TF model
| Parameters | OLS estimate | Std. error | t-value | P-value | VIF | Ridge estimate |
|---|---|---|---|---|---|---|
| D | 1.5100 | 0.077482 | 19.489 | <2 × 10−16* | 160.024 | 1.5126 |
| WC | −0.0068 | 0.002959 | −2.310 | 0.02165** | 451.621 | −0.0066 |
| MC | 0.1931 | 0.033520 | 5.759 | 2.5 × 10−8* | 106.801 | 0.1938 |
| WS | 0.0149 | 0.007532 | 1.975 | 0.04929** | 15.450 | 0.0148 |
| CI | 0.0029 | 0.001386 | 2.056 | 0.04072** | 62.988 | 0.0028 |
| D:MC | 0.0058 | 0.008279 | −6.880 | 4.37 × 10−11* | 143.152 | 0.0572 |
| WC:BD | 0.0058 | 0.001872 | 3.105 | 0.00211* | 414.314 | 0.0057 |
| MSE | 0.0073 | 0.00710 |
Residual standard error: 0.4684 on 263 DF Multiple R-square: 0.8846, Adjusted R-square: 0.8754.
F-statistic: 9,648 on 7 and DF: 263, p-value: <2.2 × 10−16.
** and ** Represent significance at 1 and 5%, respectively.
The final estimated multiple linear regression model including these input variables and their important combinations is as presented in equation (15).
It can be observed from equation (15) that holding all other variables constant, a unit change in the D will result in 1.51% change in the response variable. Similarly, a unit change in WC will result in a 0.0068% reduction in the TF. This expression depicts the dynamic contribution of the predictors on TF either in the positive or negative trends during ploughing operation on a tropical Alfisol.
Summarily, the adoption of these contributing indices will help to integrate only variables that significantly influence the response variable so that energy and resources can be maximally applied. The use of only significant variables permit the development of simplified models that not only reduce the cost of collecting irrelevant data but also lessen the risk of overfitting the model, which reduces the prediction accuracy for unseen (new) data [66,67]. Mahore et al. [4] reported a perfect R 2 score of 1.000 on the training set based on Decision Tree algorithm, indicating an excellent fit to the data. However, a higher RMSE score on the testing set was affirmed, potentially suggesting overfitting.
The best model quality of fit as investigated using the coefficient of multiple determination (
Inferences from the R 2 may depict the need to establish the presence of multicollinearity as the independent variables may be related [58,59,68,69]. The R 2 is not a sufficient method to diagnose if the model suffers from multicollinearity, hence the model was further diagnosed using the VIF. Those with a VIF greater than 10 show that the model suffers from multicollinearity. One of the consequences of this problem is that ordinary least square (OLS) estimates are no longer reliable because the variance of the regression coefficients becomes very large and sometimes possesses a wrong sign [70,71]. One of the estimators suggested as an alternative to the OLS is the ridge regression [72]. The VIF result in Table 10 shows that there is multicollinearity. Therefore, the model was analysed using the ridge regression estimator, and the results are depicted in Table 9. Though the estimates produced by both estimators are not too far from each other, the result of the ridge regression estimate is more reliable, especially when there is severe multicollinearity. The MSE is the criteria used to compare the two estimators. The estimator with the minimum MSE is generally preferred. The model developed for tractive performance investigations during ploughing operations can be a viable tool for use in the planning of operational characteristics of a tractor-implement matching within the investigated tractor horsepower ranges and input parameters on a tropical Alfisol. The ANOVA for the final fitted regression model is as shown in Table 10. All the terms in equation (12) have a significant effect on the tractor TF during ploughing operations.
ANOVA table for final fitted regression model
| Parameters | DF | Sum of Sq. | Means Sq. | F-value | P-value |
|---|---|---|---|---|---|
| D | 1 | 14689.5 | 14689.5 | 66963.1441 | <2.2 × 1016* |
| WC | 1 | 90.9 | 90.9 | 414.1665 | <2.2 × 1016* |
| MC | 1 | 4.4 | 4.4 | 19.9519 | 1.180 × 10−5* |
| WS | 1 | 2.1 | 2.1 | 9.4044 | 0.002390* |
| CI | 1 | 9.3 | 9.3 | 42.1925 | 4.114 × 10−10* |
| D:MC | 1 | 16.6 | 16.6 | 75.8555 | 3.454 × 10−16* |
| WC:BD | 1 | 2.1 | 2.1 | 9.6387 | 0.002113* |
| Residuals | 263 | 54.7 | 0.2 |
*Represents significance at 1%.
3.7 Model diagnostics to investigate the validity of regression assumptions
Before checking the prediction performances of the final model on test/unseen data, there is a need to check whether required regression assumptions hold for the model by testing the null hypothesis of normally distributed residuals using Kolmogorov–Smirnov (K–S) and Shapiro–Wilk (S–W) test of normality [72,73] as presented in Table 11. The data evidence reveals that residuals of the final model are normally distributed since the p-value 0.4756 of S–W test is larger than the critical value (
Tests of normality for model residuals
| Data | K–Sa | S–W | ||||
|---|---|---|---|---|---|---|
| K–S statistic | DF | p-value | W-Statistic | DF | p-value | |
| Model residuals | 0.044 | 270 | 0.200* | 0.995 | 270 | 0.476 |
*Lower Bound of the True Significance; aLilliefors Significance Correction.
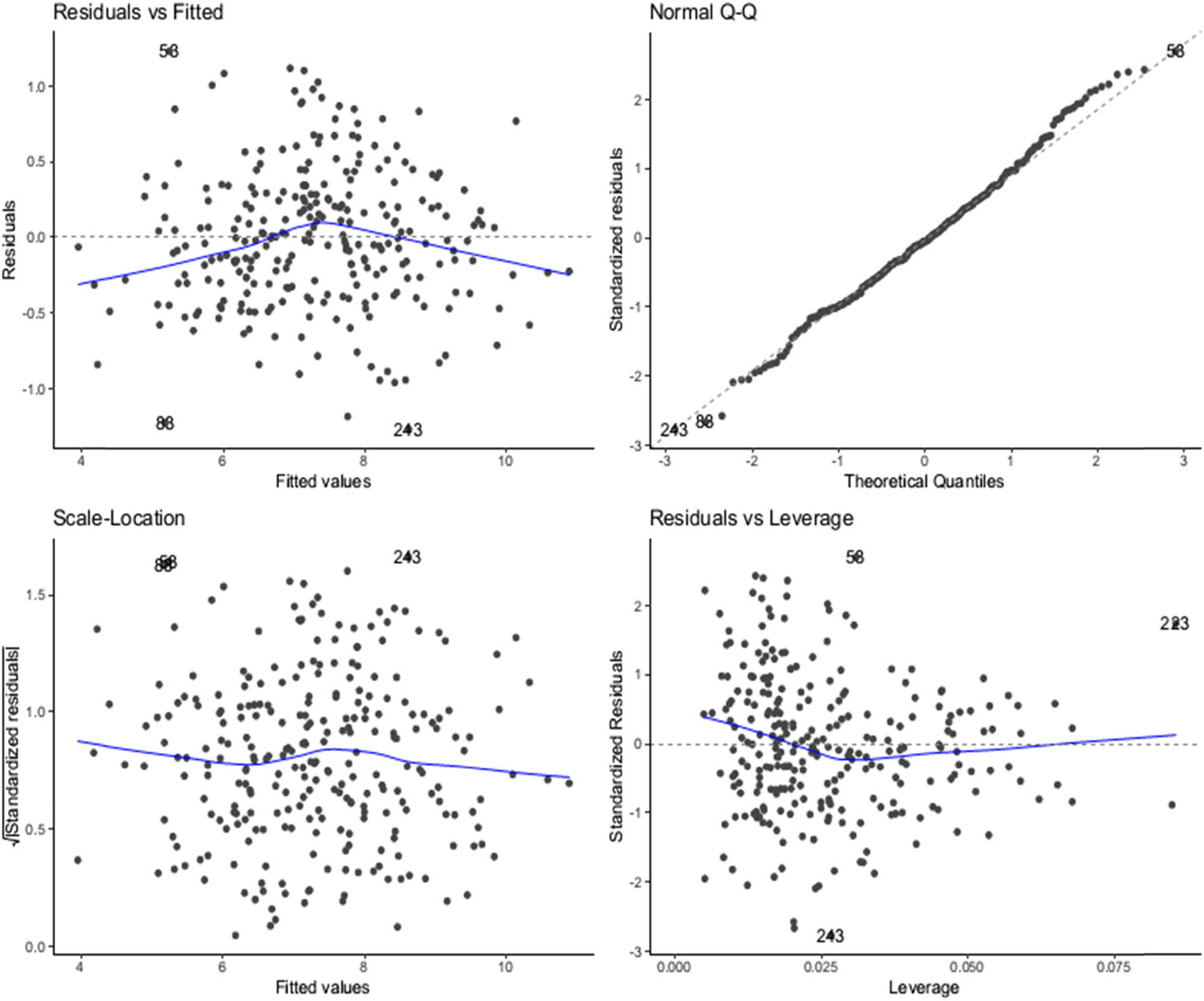
Regression diagnostic plots for ploughing operation for the developed model is as shown in Figure 2. It is evident from residuals against fitted values plot that there is no pattern in the residual plot. This suggests that a linear relationship between the response variables and the predictors can be assumed. Because the horizontal line in bottom left plot has approximately evenly distributed points, the residuals are equally spread along the ranges of the independent variables. Hence, assumptions of homogeneity of error variances hold on the fitted model. Again, the inference from test of normality assumption for fitted model residuals is further supported by the top right normal quantile plot, the normal probability plot of residuals approximately follows a straight line. Supportively, the bottom right plot highlights the top three most extreme points (No. 2, No. 53, and No. 223), with a standardized residuals below −2 or above 2. However, there is no outliers that exceed 3 standard deviations, which is good and acceptable.

Regression diagnostic plots for ploughing operation showing residuals vs fitted values plot (top left), Spread-location plot for homogeneity of variance (bottom left), the normal quantile plot (top right), and the residuals vs leverage plot (bottom right).
Furthermore, no high leverage point can be found in the data. This implies that all data points have a leverage statistic below 2(p + 1)/n = 16/270 = 0.0593 (since there are
As evident in Figure 3, observations number 53, 223, and 243 cannot be removed from the model because they have high Cook’s distance scores and they are to the upper right of the leverage plot. They have leverage, signifying they are important to the regression results. The regression results will be altered if these cases are excluded.

Cook’s distance plot (left) and leverage plot (right).
3.8 Evaluating model predictive performance
The quality of the fitted model in terms of predicting tractor tractive performance of future ploughing operation runs with the identified significant input variables as investigated in terms of MSEs and RMSEs over 10-fold cross-validation iterations as presented in Table 12. The results obtained are within the range of values obtained in a previous study [74] that investigated the development of empirical regression equations for predicting the performances of disc plough and harrow in clay-loam soil.
Results of cross validation iterations for MSEs and RMSEs
| CV. MSE | CV. RMSE |
|---|---|
| 0.2256038 | 0.4749777 |
| 0.2238347 | 0.4731117 |
| 0.2228289 | 0.4720475 |
| 0.2232126 | 0.4724539 |
| 0.2251526 | 0.4745025 |
| 0.2246143 | 0.4739949 |
| 0.2240182 | 0.4733056 |
| 0.2250816 | 0.4744276 |
| 0.2226552 | 0.4718635 |
| 0.2245915 | 0.47399108 |
Based on the cross-validated standard error of prediction (CV. RMSE), the final model has a good prediction performance over all the ten folds. This inference is further supported by the graph of predicted vs observed ploughing operational runs presented in Figure 4. The predicted TF by the model traced out the observed/measured TF as closely as possible. Hence, an estimation of the predicting model obtained in the study reveals a good agreement with the measured or experimental data obtained from the field performance. Multiple regression analysis was employed to predict a describing model for TF as influenced by the predictors with a reliable coefficient of determination (R 2 = 0.8858). This implies that the comparison of the predicted model with the experimental data for TF achieved 88.58% accuracy of prediction during ploughing operations. The result is similar to what was established by Mahore et al. [4] in a study that used machine learning to predict the draft of a mouldboard ploughing in a sandy clay loam soil. The study affirmed that the algorithms linear regression, ridge, and support vector machine exhibit R 2 scores ranging from 0.801 to 0.808, indicating moderate to good predictive performance.

The accuracy of the predicted model and measured values for the TF during ploughing operation.
3.9 Confidence interval for the model coefficients
The fact that none of the confidence intervals for the parameters contains zero further confirms that all estimated parameters are significantly different from zero. Hence, all input variables remaining in the model are significant predictors of TF at 95% confidence level (Table 13).
95% confidence interval for the model coefficients
| Terms | Lower bound | Upper bound |
|---|---|---|
| D | 1.3575 | 1.6626 |
| WC | −0.0127 | −0.0010 |
| MC | 0.1271 | 0.2591 |
| WS | 0.0001 | 0.0297 |
| Ave. CI | 0.0001 | 0.0056 |
| D:MC | −0.0733 | −0.0407 |
| WC:BD | 0.0021 | 0.0095 |
4 Conclusion
The study investigated tractor tractive performance during ploughing operations on a tropical Alfisol using the R software statistical computing approach. This helps to predict TF with moderate higher accuracy based on multiple linear regression. The empirical model was trained and tested from dataset obtained from field experimentation during ploughing operation. The influence of the individual variable and their interactions with the outcome was established.
The following findings were established from the investigation:
Evaluated variables revealed a range of 1.56–7.79 kN, 5.15–27.20%, 9.10–32.00 cm, 4.50–13.94%, 1.31–1.67 g/cm3, and 95.89–207.78 kPa for D, WS, DC, MC, BD, and CI, respectively.
D, WS, and WC exhibit a strong significant relationship with tractor TF.
The developed final multiple linear regression model with all the terms having significant effect on TF is expressed as Y = 1.5100X 1 − 0.0068X 2 + 0.1931X 3 + 0.0149X 4 + 0.0029X 5 − 0.0570X 6 + 0.0058X 7.
The ANOVA for the final fitted regression model shows D, WC, MC, WS, CI, D:MC, and WC:BD have a significant effect on tractor TF during ploughing operation.
The accuracy of the predicted model and measured for the response variable during ploughing operations traced out each other as closely as possible confirming good agreement.
The developed regression model for tractive performance investigations during ploughing operations can be a viable tool for use in the planning of operational characteristics of a tractor-implement matching within the investigated tractor horsepower ranges and input parameters on a tropical Alfisol. It can be used to predict TF during ploughing operation on a tropical Alfisol using the input parameters to enhance work quality and energy efficiency.
Acknowledgements
The support and encouragement received from the Management and Staff of the National Centre for Agricultural Mechanization (NCAM), Idofian, Kwara State and Landmark University, Omu Aran, Kwara State are well appreciated.
-
Funding information: This study was self funded. The article processing charges (APCs) for the article publication was paid by Landmark University, Omu-Aran, Kwara State, Nigeria.
-
Author contributions: All authors have accepted responsibility for the entire content of this manuscript and consented to its submission to the journal, reviewed all the results and approved the final version of the manuscript. EAA: conceptualization, project administration, investigation, resources, data analysis, validation, writing-original draft, review and editing. JOO: supervision, methodology, resources, writing-review and editing. AFL: software, data analysis, validation and visualization. TAA: resources, writing-review and editing. OMA: resources, writing-review and editing.
-
Conflict of interest: Authors state no conflict of interest.
-
Data availability statement: The data that has been used is available from the corresponding author and will be made available on request.
References
[1] Al-Sager SM, Almady SS, Marey SA, Al-Hamed SA, Aboukarima AM. Prediction of specific fuel consumption of a tractor during the tillage process using an artificial neural network method. Agronomy. 2024 Feb;14(3):492.10.3390/agronomy14030492Search in Google Scholar
[2] Alhassan EA, Asaleye JA, Biniyat JK, Alhassan TR, Olaoye JO. Tractor acquisition and agricultural performance among Nigerian farmers: Evidence from co-integration modeling technique. Heliyon. 2024 Jan;10(2).10.1016/j.heliyon.2024.e24485Search in Google Scholar PubMed PubMed Central
[3] Olaniyan AM, Abdulkareem BK, Odewole MM, Ariyo EO, Oyebanji AI, Alhassan EA. Development of a Fermentation Vat for value chain addition in Locust bean processing. In 2023 International Conference on Science, Engineering and Business for Sustainable Development Goals (SEB-SDG). Vol. 1, IEEE; 2023 Apr. p. 1–6.10.1109/SEB-SDG57117.2023.10124577Search in Google Scholar
[4] Mahore V, Soni P, Paul A, Patidar P, Machavaram R. Machine learning-based draft prediction for mouldboard ploughing in sandy clay loam soil. J Terramech. 2024 Feb;111:31–40.10.1016/j.jterra.2023.09.002Search in Google Scholar
[5] Jaroensutasinee K, Jaroensutasinee M, Boonsanong P. Climatic factor differences and mangosteen fruit quality between on- and off-season productions. Emerg Sci J. 2023 Feb;7(2):578–88.10.28991/ESJ-2023-07-02-020Search in Google Scholar
[6] Okonkwo CE, Isaac MO, Alhassan EA, Ogbevire M, Alake AS, Ajao FO, et al. Design and fabrication of a fish feed mixing cum pelleting machine for small-medium scale aquaculture industry. Open Agric. 2023 Aug;8(1):20220124.10.1515/opag-2022-0124Search in Google Scholar
[7] Ishola TA, Ariyo EO, Alhassan EA. Development and testing of a roller type shelling device (RTSD) moringa oleifera seed shelling machine. Int J Eng Res Afr. 2021 Apr;53:31–41.10.4028/www.scientific.net/JERA.53.31Search in Google Scholar
[8] Zoz FM, Grisso RD. Traction and tractor performance. St. Joseph, MI: American Society of Agricultural Engineers; 2003 Feb.Search in Google Scholar
[9] Simikić M, Dedović N, Savin L, Tomić M, Ponjičan O. Power delivery efficiency of a wheeled tractor at oblique drawbar force. Soil Tillage Res. 2014 Aug;141:32–43.10.1016/j.still.2014.03.010Search in Google Scholar
[10] Alhassan EA, Olasehinde DA, Musonda A, Odeniyi OM. Tensile and flexural behaviour of steel materials used in the construction of crop processing machines. In IOP Conference Series: Earth and Environmental Science. Vol. 445, IOP Publishing; 2020 Feb. p. 012044.10.1088/1755-1315/445/1/012044Search in Google Scholar
[11] Grisso RD, Perumpral JV, Vaughan DH, Roberson GT, Pitman RM. Predicting tractor diesel fuel consumption. Blacksburg, VA, USA: Virginia Cooperative Extension; 2010.Search in Google Scholar
[12] Al-Hamed SA, Grisso RD, Zoz FM, Von Bargen K. Tractor performance spreadsheet for radial tires. Comput Electron Agric. 1994 Jan;10(1):45–62.10.1016/0168-1699(94)90035-3Search in Google Scholar
[13] Sümer SK, Sabanci A. Effects of different tire configurations on tractor performance. Turk J Agric For. 2005;29(6):461–8.Search in Google Scholar
[14] Schreiber M, Kutzbach HD. Influence of soil and tire parameters on traction. Res Agric Eng. 2008 Jun;54(2):43–9.10.17221/3105-RAESearch in Google Scholar
[15] Jasoliya D, Untaroiu A, Untaroiu C. A review of soil modeling for numerical simulations of soil- trye/agricultural tools interaction. J Terramech. 2024 Feb;111:41–64.10.1016/j.jterra.2023.09.003Search in Google Scholar
[16] Fawzi H, Mostafa SA, Ahmed D, Alduais N, Mohammed MA, Elhoseny M. TOQO: A new tillage operations quality optimization model based on parallel and dynamic decision support system. J Clean Prod. 2021 Sep;316:128263.10.1016/j.jclepro.2021.128263Search in Google Scholar
[17] Ranjbarian S, Askari M, Jannatkhah J. Performance of tractor and tillage implements in clay soil. J Saudi Soc Agric Sci. 2017 Apr;16(2):154–62.10.1016/j.jssas.2015.05.003Search in Google Scholar
[18] Arefi M, Karparvarfard SH, Azimi-Nejadian H, Naderi-Boldaji M. Draught force prediction from soil relative density and relative water content for a non-winged chisel blade using finite element modelling. J Terramech. 2022 Apr;100:73–80.10.1016/j.jterra.2022.01.001Search in Google Scholar
[19] Okayasu T, Morishita K, Terao H, Mitsuoka M, Inoue E, Fukami K. Modeling and prediction of soil cutting behavior by a plow. 2012; C-2290.Search in Google Scholar
[20] Kim YS, Kim TJ, Kim YJ, Lee SD, Park SU, Kim WS. Development of a real-time tillage depth measurement system for agricultural tractors: application to the effect analysis of tillage depth on draft force during plow tillage. Sensors. 2020 Feb;20(3):912.10.3390/s20030912Search in Google Scholar PubMed PubMed Central
[21] Godwin RJ, O’dogherty MJ, Saunders C, Balafoutis AT. A force prediction model for mouldboard ploughs incorporating the effects of soil characteristic properties, plough geometric factors and ploughing speed. Biosyst Eng. 2007 May;97(1):117–29.10.1016/j.biosystemseng.2007.02.001Search in Google Scholar
[22] Naderi-Boldaji M, Karparvarfard SH, Azimi-Nejadian H. Investigation of the predictability of mouldboard plough draught from soil mechanical strength (cone index vs. shear strength) using finite element modelling. J Terramech. 2023 Aug;108:21–31.10.1016/j.jterra.2023.04.001Search in Google Scholar
[23] Azimi-Nejadian H, Karparvarfard SH, Naderi-Boldaji M, Rahmanian-Koushkaki H. Combined finite element and statistical models for predicting force components on a cylindrical mouldboard plough. Biosyst Eng. 2019 Oct;186:168–81.10.1016/j.biosystemseng.2019.07.007Search in Google Scholar
[24] Naderloo L, Alimadani R, Akram A, Javadikia P, Khanghah HZ. Tillage depth and forward speed effects on draft of three primary tillage implements in clay loam soil. J Food Agric Environ. 2009 Jul;7(3):382–5.Search in Google Scholar
[25] Al-Suhaibani SA, Wahby MF, Aboukarima AM, Tabash IS. Study on the effect of soil moisture content and plowing speed on draft requirements of a moldboard plow. J Adv Agric. 2015;4(3):477–86.10.24297/jaa.v4i3.4280Search in Google Scholar
[26] Ahaneku IE, Oyelade OA, Faleye T. Comparative field evaluation of three models of a tractor. Proceedings of Nigerian Branch of the International soil tillage Research Organization (ISTRO). 93, 2011 Feb.Search in Google Scholar
[27] Senatore C. Prediction of mobility, handling, and tractive efficiency of wheeled off-road vehicles. Doctoral dissertation, 560 Drillfield Drive Blacksburg, Virginia Tech; 2010.Search in Google Scholar
[28] Grisso RD, Perumpral JV, Zoz FM. Spreadsheet for matching tractors and drawn implements. Appl Eng Agric. 2007;23(3):259–65.10.13031/2013.22678Search in Google Scholar
[29] Ishola TA, Ogunlela AO, Abubakar MS. An Object-Oriented Program for Matching Tractors and Implements. Int J Eng Technol IJET-IJENS. 2010;10(2):1–4.Search in Google Scholar
[30] Mitchell TM. Machine learning. Vol. 1, New York: McGraw-hill; 2007.Search in Google Scholar
[31] Kanmani K, Vasanthi P, Pari P, Ahamed NS. Estimation of soil moisture for different crops using SAR polarimetric data. Civ Eng J. 2023 Jun;9(6):1402–11.10.28991/CEJ-2023-09-06-08Search in Google Scholar
[32] Milano M. Computing languages for bioinformatics: R. In: Ranganathan S, Gribskov M, Nakai K, Schönbach C, editors. Encyclopedia of Bioinformatics and Computational Biology–Volume 1. Amsterdam, The Netherlands: Elsevier; 2019; p. 199–205.10.1016/B978-0-12-809633-8.20367-1Search in Google Scholar
[33] López-de-Lacalle J. The R-computing language: Potential for Asian economists. J Asian Econ. 2006 Dec;17(6):1066–81.10.1016/j.asieco.2006.09.010Search in Google Scholar
[34] Javan K, Mirabi M, Hamidi SA, Darestani M, Altaee A, Zhou J. Enhancing environmental sustainability in a critical region: Climate change impacts on agriculture and tourism. Civ Eng J. 2023;9(11):2630–48.10.28991/CEJ-2023-09-11-01Search in Google Scholar
[35] Toumazi A, Comets E, Alberti C, Friede T, Lentz F, Stallard N, et al. dfpk: an R-package for Bayesian dose-finding designs using pharmacokinetics (PK) for phase I clinical trials. Comput Methods Prog Biomed. 2018 Apr;157:163–77.10.1016/j.cmpb.2018.01.023Search in Google Scholar PubMed
[36] Moeys J. The soil texture wizard: R functions for plotting, classifying, transforming and exploring soil texture data. CRAN R-Project. Vienna, Austria: R Foundation for Statistical Computing; 2018 Sep. p. 1–104.Search in Google Scholar
[37] Semin A, Mironov D, Kislitskiy M, Zasypkin A, Ivanov V. Improving the theoretical and methodological framework for implementing digital twin technology in various sectors of agriculture. Emerg Sci J. 2023 Jul;7(4):1100–15.1026.10.28991/ESJ-2023-07-04-05Search in Google Scholar
[38] de Sousa DF, Rodrigues S, de Lima HV, Chagas LT. R software packages as a tool for evaluating soil physical and hydraulic properties. Comput Electron Agric. 2020 Jan;168:105077.10.1016/j.compag.2019.105077Search in Google Scholar
[39] Milano M, Agapito G, Guzzi PH, Cannataro M. An experimental study of information content measurement of gene ontology terms. Int J Mach Learn Cybern. 2018 Mar;9:427–39.10.1007/s13042-015-0482-ySearch in Google Scholar
[40] Ahaneku IE, Onwualu AP. Tillage effects on maize performance and physical properties of a sandy soil. J Appl Sci Eng Technol. 2007;7(1):42–9.10.4314/jaset.v7i1.42720Search in Google Scholar
[41] RNAM. RNAM test code and procedures for agricultural machinery. Technical series No. 12, regional network for agricultural machinery, Economic and Social Commission For Asia and the Pacific. United Nation (UN). 1995.Search in Google Scholar
[42] ASAE. Terminology and definitions for agricultural tillage implements. ASAE Standard EP 291.1:258; 2002.Search in Google Scholar
[43] Nkakini SO, Fubara-Manuel I. Effects of soil moisture and tillage speeds on tractive force of disc ploughing in loamy sand soil. Eur Int J Sci Technol. 2014;3(4):157–64.Search in Google Scholar
[44] ASABE. Soil cone penetrometer. St. Joseph, Michigan: American Society of Agricultural and Biological Engineers (ASABE); 2004.Search in Google Scholar
[45] Adrian R. Vane shear testing in soils: field and laboratory studies. Vol. 14. ASTM International; 2010. ISBN 978.Search in Google Scholar
[46] Walter K, Don A, Tiemeyer B, Freibauer A. Determining soil bulk density for carbon stock calculations: a systematic method comparison. Soil Sci Soc Am J. 2016 May;80(3):579–91.10.2136/sssaj2015.11.0407Search in Google Scholar
[47] Ma Y, Lei T, Zhang X, Chen Y. Volume replacement method for direct measurement of soil moisture and bulk density. Trans Chin Soc Agric Eng. 2013 Sep;29(9):86–93.Search in Google Scholar
[48] ISO11272 IS. Soil Qual – Determ Dry Bulk Density. Geneva, Switzerland: ISO; 2017. p. 14.Search in Google Scholar
[49] Sirelkatim KA, Hasan AA, Mohamed OS. The effect of some operating parameters on field performance of a 2WD tractor. Sci J King Faisal Univ (Basic Appl Sci). 2001;2(1):153–66.Search in Google Scholar
[50] James G, Witten D, Hastie T, Tibshirani R. ISLR: An Introduction to Statistical Learning with Applications in R. R Package Version 1.0; 2013. https://Cran.R-Project.Org/Package=Islr.Search in Google Scholar
[51] Lawal B, Famoye F. Applied statistics: Regression and analysis of variance. Lanham, MD: University Press of America; 2013.Search in Google Scholar
[52] RCore Team. Frank, E Harrell Jr, With Contributions from Charles Dupont and Many Others. Hmisc: Harrell Miscellaneous. R Package Version 4.1-1. 2018. https://Cran.R-Project.Org/Package=Hmisc.Search in Google Scholar
[53] Akaike H. Prediction and entropy. In: Atkinson AC, Fienberg SE, editors. A celebration of statistics. Springer. p. 1–24; Macal, C. M. (2005). Model verification and validation. Workshop on threat anticipation: social science methods and models. Chicago, Illinois: University of Chicago and Argonne National Laboratory; 1985.Search in Google Scholar
[54] Kass RE, Wasserman L. A reference Bayesian test for nested hypotheses and its relationship to the Schwarz criterion. J Am Stat Assoc. 1995 Sep;90(431):928–34.10.1080/01621459.1995.10476592Search in Google Scholar
[55] Bhat HS, Kumar N. On the derivation of the Bayesian information criterion. Vol. 99. School of Natural Sciences, University of California. Springer-Verlag; 2010 Nov.Search in Google Scholar
[56] Macal CM. Model verification and validation workshop on threat anticipation: social science methods and models. The University of Chicago and Argonne National Laboratory; 2005 Apr. p. 7–9.Search in Google Scholar
[57] Zhang H, Yang S, Guo L, Zhao Y, Shao F, Chen F. Comparisons of isomiR patterns and classification performance using the rank-based MANOVA and 10-fold cross-validation. Gene. 2015 Sep;569(1):21–6.10.1016/j.gene.2014.11.026Search in Google Scholar PubMed
[58] Gujarati DN. Basic econometrics. Upper Saddle River, New Jersey: Prentice Hall; 2022 Jan.Search in Google Scholar
[59] Araveeporn A. Comparing the linear and quadratic discriminant analysis of diabetes disease classification based on data multicollinearity. Int J Maths Maths Sci. 2022;2022(1):7829795.10.1155/2022/7829795Search in Google Scholar
[60] Reichert JM, Suzuki LE, Reinert DJ, Horn R, Håkansson I. Reference bulk density and critical degree-of-compactness for no-till crop production in subtropical highly weathered soils. Soil Tillage Res. 2009 Mar;102(2):242–54.10.1016/j.still.2008.07.002Search in Google Scholar
[61] Nkakini SO, Vurasi NM. Effects of moisture content, bulk density and tractor forward speeds on energy requirement of disc plough. Technology. 2015;6(7):69–79.Search in Google Scholar
[62] Keen A, Hall N, Soni P, Gholkar MD, Cooper S, Ferdous J. A review of the tractive performance of wheeled tractors and soil management in lowland intensive rice production. J Terramech. 2013 Feb;50(1):45–62.10.1016/j.jterra.2012.08.001Search in Google Scholar
[63] Chambers JM, Hastie TJ. Linear models. Chapter 4 of statistical models. Pacific Grove, California: S Wadsworth & Brooks/Cole; 1992.Search in Google Scholar
[64] Schloerke B, Cook D, Briatte F, Marbach M, Thoen E, Elberg A, et al. GGally: Extension to ‘ggplot2’. R package version 1.4. 0. CRAN. R-project. org/package=Ggally. Last accessed December 2019; 2018.Search in Google Scholar
[65] Aertsen W, Kint V, Van Orshoven J, Özkan K, Muys B. Comparison and ranking of different modelling techniques for prediction of site index in Mediterranean mountain forests. Ecol Model. 2010 Apr;221(8):1119–30.10.1016/j.ecolmodel.2010.01.007Search in Google Scholar
[66] Chan KY, Kwong CK, Dillon TS, Tsim YC. Reducing overfitting in manufacturing process modeling using a backward elimination based genetic programming. Appl Soft Comput. 2011 Mar;11(2):1648–56.10.1016/j.asoc.2010.04.022Search in Google Scholar
[67] Lukman AF, Ayinde K, Binuomote S, Clement OA. Modified ridge‐type estimator to combat multicollinearity: Application to chemical data. J Chemometrics. 2019 May;33(5):e3125.10.1002/cem.3125Search in Google Scholar
[68] Lukman AF, Ayinde K, Siok Kun S, Adewuyi ET. A modified new two-parameter estimator in a linear regression model. Model Simul Eng. 2019;2019(1):6342702.10.1155/2019/6342702Search in Google Scholar
[69] Kibria BG. Performance of some new ridge regression estimators. Commun Stat-Simul Comput. 2003 Jan;32(2):419–35.10.1081/SAC-120017499Search in Google Scholar
[70] Lukman AF, Ayinde K. Review and classifications of the ridge parameter estimation techniques. Hacet J Maths Stat. 2017 Jan;46(5):953–67.Search in Google Scholar
[71] Hoerl AE, Kennard RW. Ridge regression: Biased estimation for non-orthogonal problems. Technometrics. 1970 Feb;12(1):55–67.10.1080/00401706.1970.10488634Search in Google Scholar
[72] Royston JP. An extension of Shapiro and Wilk’s W test for normality to large samples. J R Stat Soc: Ser C (Appl Stat). 1982 Jun;31(2):115–24.10.2307/2347973Search in Google Scholar
[73] Royston P. Remark AS R94: A remark on algorithm AS 181: The W-test for normality. J R Stat Soc Ser C (Appl Stat). 1995 Jan;44(4):547–51.10.2307/2986146Search in Google Scholar
[74] Oduma O. Development of empirical regression equations for predicting the performances of disc plough and harrow in clay-loam soil. Agric Eng Int: CIGR J. 2019 Oct;21(3):18–25.Search in Google Scholar
© 2024 the author(s), published by De Gruyter
This work is licensed under the Creative Commons Attribution 4.0 International License.
Articles in the same Issue
- Regular Articles
- Supplementation of P-solubilizing purple nonsulfur bacteria, Rhodopseudomonas palustris improved soil fertility, P nutrient, growth, and yield of Cucumis melo L.
- Yield gap variation in rice cultivation in Indonesia
- Effects of co-inoculation of indole-3-acetic acid- and ammonia-producing bacteria on plant growth and nutrition, soil elements, and the relationships of soil microbiomes with soil physicochemical parameters
- Impact of mulching and planting time on spring-wheat (Triticum aestivum) growth: A combined field experiment and empirical modeling approach
- Morphological diversity, correlation studies, and multiple-traits selection for yield and yield components of local cowpea varieties
- Participatory on-farm evaluation of new orange-fleshed sweetpotato varieties in Southern Ethiopia
- Yield performance and stability analysis of three cultivars of Gayo Arabica coffee across six different environments
- Biology of Spodoptera frugiperda (Lepidoptera: Noctuidae) on different types of plants feeds: Potency as a pest on various agricultural plants
- Antidiabetic activity of methanolic extract of Hibiscus sabdariffa Linn. fruit in alloxan-induced Swiss albino diabetic mice
- Bioinformatics investigation of the effect of volatile and non-volatile compounds of rhizobacteria in inhibiting late embryogenesis abundant protein that induces drought tolerance
- Nicotinamide as a biostimulant improves soybean growth and yield
- Farmer’s willingness to accept the sustainable zoning-based organic farming development plan: A lesson from Sleman District, Indonesia
- Uncovering hidden determinants of millennial farmers’ intentions in running conservation agriculture: An application of the Norm Activation Model
- Mediating role of leadership and group capital between human capital component and sustainability of horticultural agribusiness institutions in Indonesia
- Biochar technology to increase cassava crop productivity: A study of sustainable agriculture on degraded land
- Effect of struvite on the growth of green beans on Mars and Moon regolith simulants
- UrbanAgriKG: A knowledge graph on urban agriculture and its embeddings
- Provision of loans and credit by cocoa buyers under non-price competition: Cocoa beans market in Ghana
- Effectiveness of micro-dosing of lime on selected chemical properties of soil in Banja District, North West, Ethiopia
- Effect of weather, nitrogen fertilizer, and biostimulators on the root size and yield components of Hordeum vulgare
- Effects of selected biostimulants on qualitative and quantitative parameters of nine cultivars of the genus Capsicum spp.
- Growth, yield, and secondary metabolite responses of three shallot cultivars at different watering intervals
- Design of drainage channel for effective use of land on fully mechanized sugarcane plantations: A case study at Bone Sugarcane Plantation
- Technical feasibility and economic benefit of combined shallot seedlings techniques in Indonesia
- Control of Meloidogyne javanica in banana by endophytic bacteria
- Comparison of important quality components of red-flesh kiwifruit (Actinidia chinensis) in different locations
- Efficiency of rice farming in flood-prone areas of East Java, Indonesia
- Comparative analysis of alpine agritourism in Trentino, Tyrol, and South Tyrol: Regional variations and prospects
- Detection of Fusarium spp. infection in potato (Solanum tuberosum L.) during postharvest storage through visible–near-infrared and shortwave–near-infrared reflectance spectroscopy
- Forage yield, seed, and forage qualitative traits evaluation by determining the optimal forage harvesting stage in dual-purpose cultivation in safflower varieties (Carthamus tinctorius L.)
- The influence of tourism on the development of urban space: Comparison in Hanoi, Danang, and Ho Chi Minh City
- Optimum intra-row spacing and clove size for the economical production of garlic (Allium sativum L.) in Northwestern Highlands of Ethiopia
- The role of organic rice farm income on farmer household welfare: Evidence from Yogyakarta, Indonesia
- Exploring innovative food in a developing country: Edible insects as a sustainable option
- Genotype by environment interaction and performance stability of common bean (Phaseolus vulgaris L.) cultivars grown in Dawuro zone, Southwestern Ethiopia
- Factors influencing green, environmentally-friendly consumer behaviour
- Factors affecting coffee farmers’ access to financial institutions: The case of Bandung Regency, Indonesia
- Morphological and yield trait-based evaluation and selection of chili (Capsicum annuum L.) genotypes suitable for both summer and winter seasons
- Sustainability analysis and decision-making strategy for swamp buffalo (Bubalus bubalis carabauesis) conservation in Jambi Province, Indonesia
- Understanding factors affecting rice purchasing decisions in Indonesia: Does rice brand matter?
- An implementation of an extended theory of planned behavior to investigate consumer behavior on hygiene sanitation-certified livestock food products
- Information technology adoption in Indonesia’s small-scale dairy farms
- Draft genome of a biological control agent against Bipolaris sorokiniana, the causal phytopathogen of spot blotch in wheat (Triticum turgidum L. subsp. durum): Bacillus inaquosorum TSO22
- Assessment of the recurrent mutagenesis efficacy of sesame crosses followed by isolation and evaluation of promising genetic resources for use in future breeding programs
- Fostering cocoa industry resilience: A collaborative approach to managing farm gate price fluctuations in West Sulawesi, Indonesia
- Field investigation of component failures for selected farm machinery used in small rice farming operations
- Near-infrared technology in agriculture: Rapid, simultaneous, and non-destructive determination of inner quality parameters on intact coffee beans
- The synergistic application of sucrose and various LED light exposures to enhance the in vitro growth of Stevia rebaudiana (Bertoni)
- Weather index-based agricultural insurance for flower farmers: Willingness to pay, sales, and profitability perspectives
- Meta-analysis of dietary Bacillus spp. on serum biochemical and antioxidant status and egg quality of laying hens
- Biochemical characterization of trypsin from Indonesian skipjack tuna (Katsuwonus pelamis) viscera
- Determination of C-factor for conventional cultivation and soil conservation technique used in hop gardens
- Empowering farmers: Unveiling the economic impacts of contract farming on red chilli farmers’ income in Magelang District, Indonesia
- Evaluating salt tolerance in fodder crops: A field experiment in the dry land
- Labor productivity of lowland rice (Oryza sativa L.) farmers in Central Java Province, Indonesia
- Cropping systems and production assessment in southern Myanmar: Informing strategic interventions
- The effect of biostimulants and red mud on the growth and yield of shallots in post-unlicensed gold mining soil
- Effects of dietary Adansonia digitata L. (baobab) seed meal on growth performance and carcass characteristics of broiler chickens: A systematic review and meta-analysis
- Analysis and structural characterization of the vid-pisco market
- Pseudomonas fluorescens SP007s enhances defense responses against the soybean bacterial pustule caused by Xanthomonas axonopodis pv. glycines
- A brief investigation on the prospective of co-composted biochar as a fertilizer for Zucchini plants cultivated in arid sandy soil
- Supply chain efficiency of red chilies in the production center of Sleman Indonesia based on performance measurement system
- Investment development path for developed economies: Is agriculture different?
- Power relations among actors in laying hen business in Indonesia: A MACTOR analysis
- High-throughput digital imaging and detection of morpho-physiological traits in tomato plants under drought
- Converting compression ignition engine to dual-fuel (diesel + CNG) engine and experimentally investigating its performance and emissions
- Structuration, risk management, and institutional dynamics in resolving palm oil conflicts
- Spacing strategies for enhancing drought resilience and yield in maize agriculture
- Composition and quality of winter annual agrestal and ruderal herbages of two different land-use types
- Investigating Spodoptera spp. diversity, percentage of attack, and control strategies in the West Java, Indonesia, corn cultivation
- Yield stability of biofertilizer treatments to soybean in the rainy season based on the GGE biplot
- Evaluating agricultural yield and economic implications of varied irrigation depths on maize yield in semi-arid environments, at Birfarm, Upper Blue Nile, Ethiopia
- Chemometrics for mapping the spatial nitrate distribution on the leaf lamina of fenugreek grown under varying nitrogenous fertilizer doses
- Pomegranate peel ethanolic extract: A promising natural antioxidant, antimicrobial agent, and novel approach to mitigate rancidity in used edible oils
- Transformative learning and engagement with organic farming: Lessons learned from Indonesia
- Tourism in rural areas as a broader concept: Some insights from the Portuguese reality
- Assessment enhancing drought tolerance in henna (Lawsonia inermis L.) ecotypes through sodium nitroprusside foliar application
- Edible insects: A survey about perceptions regarding possible beneficial health effects and safety concerns among adult citizens from Portugal and Romania
- Phenological stages analysis in peach trees using electronic nose
- Harvest date and salicylic acid impact on peanut (Arachis hypogaea L.) properties under different humidity conditions
- Hibiscus sabdariffa L. petal biomass: A green source of nanoparticles of multifarious potential
- Use of different vegetation indices for the evaluation of the kinetics of the cherry tomato (Solanum lycopersicum var. cerasiforme) growth based on multispectral images by UAV
- First evidence of microplastic pollution in mangrove sediments and its ingestion by coral reef fish: Case study in Biawak Island, Indonesia
- Physical and textural properties and sensory acceptability of wheat bread partially incorporated with unripe non-commercial banana cultivars
- Cereibacter sphaeroides ST16 and ST26 were used to solubilize insoluble P forms to improve P uptake, growth, and yield of rice in acidic and extreme saline soil
- Avocado peel by-product in cattle diets and supplementation with oregano oil and effects on production, carcass, and meat quality
- Optimizing inorganic blended fertilizer application for the maximum grain yield and profitability of bread wheat and food barley in Dawuro Zone, Southwest Ethiopia
- The acceptance of social media as a channel of communication and livestock information for sheep farmers
- Adaptation of rice farmers to aging in Thailand
- Combined use of improved maize hybrids and nitrogen application increases grain yield of maize, under natural Striga hermonthica infestation
- From aquatic to terrestrial: An examination of plant diversity and ecological shifts
- Statistical modelling of a tractor tractive performance during ploughing operation on a tropical Alfisol
- Participation in artisanal diamond mining and food security: A case study of Kasai Oriental in DR Congo
- Assessment and multi-scenario simulation of ecosystem service values in Southwest China’s mountainous and hilly region
- Analysis of agricultural emissions and economic growth in Europe in search of ecological balance
- Bacillus thuringiensis strains with high insecticidal activity against insect larvae of the orders Coleoptera and Lepidoptera
- Technical efficiency of sugarcane farming in East Java, Indonesia: A bootstrap data envelopment analysis
- Comparison between mycobiota diversity and fungi and mycotoxin contamination of maize and wheat
- Evaluation of cultivation technology package and corn variety based on agronomy characters and leaf green indices
- Exploring the association between the consumption of beverages, fast foods, sweets, fats, and oils and the risk of gastric and pancreatic cancers: Findings from case–control study
- Phytochemical composition and insecticidal activity of Acokanthera oblongifolia (Hochst.) Benth & Hook.f. ex B.D.Jacks. extract on life span and biological aspects of Spodoptera littoralis (Biosd.)
- Land use management solutions in response to climate change: Case study in the central coastal areas of Vietnam
- Evaluation of coffee pulp as a feed ingredient for ruminants: A meta-analysis
- Interannual variations of normalized difference vegetation index and potential evapotranspiration and their relationship in the Baghdad area
- Harnessing synthetic microbial communities with nitrogen-fixing activity to promote rice growth
- Agronomic and economic benefits of rice–sweetpotato rotation in lowland rice cropping systems in Uganda
- Response of potato tuber as an effect of the N-fertilizer and paclobutrazol application in medium altitude
- Bridging the gap: The role of geographic proximity in enhancing seed sustainability in Bandung District
- Evaluation of Abrams curve in agricultural sector using the NARDL approach
- Challenges and opportunities for young farmers in the implementation of the Rural Development Program 2014–2020 of the Republic of Croatia
- Yield stability of ten common bean (Phaseolus vulgaris L.) genotypes at different sowing dates in Lubumbashi, South-East of DR Congo
- Effects of encapsulation and combining probiotics with different nitrate forms on methane emission and in vitro rumen fermentation characteristics
- Phytochemical analysis of Bienertia sinuspersici extract and its antioxidant and antimicrobial activities
- Evaluation of relative drought tolerance of grapevines by leaf fluorescence parameters
- Yield assessment of new streak-resistant topcross maize hybrids in Benin
- Improvement of cocoa powder properties through ultrasonic- and microwave-assisted alkalization
- Potential of ecoenzymes made from nutmeg (Myristica fragrans) leaf and pulp waste as bioinsecticides for Periplaneta americana
- Analysis of farm performance to realize the sustainability of organic cabbage vegetable farming in Getasan Semarang, Indonesia
- Revealing the influences of organic amendment-derived dissolved organic matter on growth and nutrient accumulation in lettuce seedlings (Lactuca sativa L.)
- Identification of viruses infecting sweetpotato (Ipomoea batatas Lam.) in Benin
- Assessing the soil physical and chemical properties of long-term pomelo orchard based on tree growth
- Investigating access and use of digital tools for agriculture among rural farmers: A case study of Nkomazi Municipality, South Africa
- Does sex influence the impact of dietary vitD3 and UVB light on performance parameters and welfare indicators of broilers?
- Design of intelligent sprayer control for an autonomous farming drone using a multiclass support vector machine
- Deciphering salt-responsive NB-ARC genes in rice transcriptomic data: A bioinformatics approach with gene expression validation
- Review Articles
- Impact of nematode infestation in livestock production and the role of natural feed additives – A review
- Role of dietary fats in reproductive, health, and nutritional benefits in farm animals: A review
- Climate change and adaptive strategies on viticulture (Vitis spp.)
- The false tiger of almond, Monosteira unicostata (Hemiptera: Tingidae): Biology, ecology, and control methods
- A systematic review on potential analogy of phytobiomass and soil carbon evaluation methods: Ethiopia insights
- A review of storage temperature and relative humidity effects on shelf life and quality of mango (Mangifera indica L.) fruit and implications for nutrition insecurity in Ethiopia
- Green extraction of nutmeg (Myristica fragrans) phytochemicals: Prospective strategies and roadblocks
- Potential influence of nitrogen fertilizer rates on yield and yield components of carrot (Dacus carota L.) in Ethiopia: Systematic review
- Corn silk: A promising source of antimicrobial compounds for health and wellness
- State and contours of research on roselle (Hibiscus sabdariffa L.) in Africa
- The potential of phosphorus-solubilizing purple nonsulfur bacteria in agriculture: Present and future perspectives
- Minor millets: Processing techniques and their nutritional and health benefits
- Meta-analysis of reproductive performance of improved dairy cattle under Ethiopian environmental conditions
- Review on enhancing the efficiency of fertilizer utilization: Strategies for optimal nutrient management
- The nutritional, phytochemical composition, and utilisation of different parts of maize: A comparative analysis
- Motivations for farmers’ participation in agri-environmental scheme in the EU, literature review
- Evolution of climate-smart agriculture research: A science mapping exploration and network analysis
- Short Communications
- Music enrichment improves the behavior and leukocyte profile of dairy cattle
- Effect of pruning height and organic fertilization on the morphological and productive characteristics of Moringa oleifera Lam. in the Peruvian dry tropics
- Corrigendum
- Corrigendum to “Bioinformatics investigation of the effect of volatile and non-volatile compounds of rhizobacteria in inhibiting late embryogenesis abundant protein that induces drought tolerance”
- Corrigendum to “Composition and quality of winter annual agrestal and ruderal herbages of two different land-use types”
- Special issue: Smart Agriculture System for Sustainable Development: Methods and Practices
- Construction of a sustainable model to predict the moisture content of porang powder (Amorphophallus oncophyllus) based on pointed-scan visible near-infrared spectroscopy
- FruitVision: A deep learning based automatic fruit grading system
- Energy harvesting and ANFIS modeling of a PVDF/GO-ZNO piezoelectric nanogenerator on a UAV
- Effects of stress hormones on digestibility and performance in cattle: A review
- Special Issue of The 4th International Conference on Food Science and Engineering (ICFSE) 2022 - Part II
- Assessment of omega-3 and omega-6 fatty acid profiles and ratio of omega-6/omega-3 of white eggs produced by laying hens fed diets enriched with omega-3 rich vegetable oil
- Special Issue on FCEM - International Web Conference on Food Choice & Eating Motivation - Part II
- Special Issue on FCEM – International Web Conference on Food Choice & Eating Motivation: Message from the editor
- Fruit and vegetable consumption: Study involving Portuguese and French consumers
- Knowledge about consumption of milk: Study involving consumers from two European Countries – France and Portugal
Articles in the same Issue
- Regular Articles
- Supplementation of P-solubilizing purple nonsulfur bacteria, Rhodopseudomonas palustris improved soil fertility, P nutrient, growth, and yield of Cucumis melo L.
- Yield gap variation in rice cultivation in Indonesia
- Effects of co-inoculation of indole-3-acetic acid- and ammonia-producing bacteria on plant growth and nutrition, soil elements, and the relationships of soil microbiomes with soil physicochemical parameters
- Impact of mulching and planting time on spring-wheat (Triticum aestivum) growth: A combined field experiment and empirical modeling approach
- Morphological diversity, correlation studies, and multiple-traits selection for yield and yield components of local cowpea varieties
- Participatory on-farm evaluation of new orange-fleshed sweetpotato varieties in Southern Ethiopia
- Yield performance and stability analysis of three cultivars of Gayo Arabica coffee across six different environments
- Biology of Spodoptera frugiperda (Lepidoptera: Noctuidae) on different types of plants feeds: Potency as a pest on various agricultural plants
- Antidiabetic activity of methanolic extract of Hibiscus sabdariffa Linn. fruit in alloxan-induced Swiss albino diabetic mice
- Bioinformatics investigation of the effect of volatile and non-volatile compounds of rhizobacteria in inhibiting late embryogenesis abundant protein that induces drought tolerance
- Nicotinamide as a biostimulant improves soybean growth and yield
- Farmer’s willingness to accept the sustainable zoning-based organic farming development plan: A lesson from Sleman District, Indonesia
- Uncovering hidden determinants of millennial farmers’ intentions in running conservation agriculture: An application of the Norm Activation Model
- Mediating role of leadership and group capital between human capital component and sustainability of horticultural agribusiness institutions in Indonesia
- Biochar technology to increase cassava crop productivity: A study of sustainable agriculture on degraded land
- Effect of struvite on the growth of green beans on Mars and Moon regolith simulants
- UrbanAgriKG: A knowledge graph on urban agriculture and its embeddings
- Provision of loans and credit by cocoa buyers under non-price competition: Cocoa beans market in Ghana
- Effectiveness of micro-dosing of lime on selected chemical properties of soil in Banja District, North West, Ethiopia
- Effect of weather, nitrogen fertilizer, and biostimulators on the root size and yield components of Hordeum vulgare
- Effects of selected biostimulants on qualitative and quantitative parameters of nine cultivars of the genus Capsicum spp.
- Growth, yield, and secondary metabolite responses of three shallot cultivars at different watering intervals
- Design of drainage channel for effective use of land on fully mechanized sugarcane plantations: A case study at Bone Sugarcane Plantation
- Technical feasibility and economic benefit of combined shallot seedlings techniques in Indonesia
- Control of Meloidogyne javanica in banana by endophytic bacteria
- Comparison of important quality components of red-flesh kiwifruit (Actinidia chinensis) in different locations
- Efficiency of rice farming in flood-prone areas of East Java, Indonesia
- Comparative analysis of alpine agritourism in Trentino, Tyrol, and South Tyrol: Regional variations and prospects
- Detection of Fusarium spp. infection in potato (Solanum tuberosum L.) during postharvest storage through visible–near-infrared and shortwave–near-infrared reflectance spectroscopy
- Forage yield, seed, and forage qualitative traits evaluation by determining the optimal forage harvesting stage in dual-purpose cultivation in safflower varieties (Carthamus tinctorius L.)
- The influence of tourism on the development of urban space: Comparison in Hanoi, Danang, and Ho Chi Minh City
- Optimum intra-row spacing and clove size for the economical production of garlic (Allium sativum L.) in Northwestern Highlands of Ethiopia
- The role of organic rice farm income on farmer household welfare: Evidence from Yogyakarta, Indonesia
- Exploring innovative food in a developing country: Edible insects as a sustainable option
- Genotype by environment interaction and performance stability of common bean (Phaseolus vulgaris L.) cultivars grown in Dawuro zone, Southwestern Ethiopia
- Factors influencing green, environmentally-friendly consumer behaviour
- Factors affecting coffee farmers’ access to financial institutions: The case of Bandung Regency, Indonesia
- Morphological and yield trait-based evaluation and selection of chili (Capsicum annuum L.) genotypes suitable for both summer and winter seasons
- Sustainability analysis and decision-making strategy for swamp buffalo (Bubalus bubalis carabauesis) conservation in Jambi Province, Indonesia
- Understanding factors affecting rice purchasing decisions in Indonesia: Does rice brand matter?
- An implementation of an extended theory of planned behavior to investigate consumer behavior on hygiene sanitation-certified livestock food products
- Information technology adoption in Indonesia’s small-scale dairy farms
- Draft genome of a biological control agent against Bipolaris sorokiniana, the causal phytopathogen of spot blotch in wheat (Triticum turgidum L. subsp. durum): Bacillus inaquosorum TSO22
- Assessment of the recurrent mutagenesis efficacy of sesame crosses followed by isolation and evaluation of promising genetic resources for use in future breeding programs
- Fostering cocoa industry resilience: A collaborative approach to managing farm gate price fluctuations in West Sulawesi, Indonesia
- Field investigation of component failures for selected farm machinery used in small rice farming operations
- Near-infrared technology in agriculture: Rapid, simultaneous, and non-destructive determination of inner quality parameters on intact coffee beans
- The synergistic application of sucrose and various LED light exposures to enhance the in vitro growth of Stevia rebaudiana (Bertoni)
- Weather index-based agricultural insurance for flower farmers: Willingness to pay, sales, and profitability perspectives
- Meta-analysis of dietary Bacillus spp. on serum biochemical and antioxidant status and egg quality of laying hens
- Biochemical characterization of trypsin from Indonesian skipjack tuna (Katsuwonus pelamis) viscera
- Determination of C-factor for conventional cultivation and soil conservation technique used in hop gardens
- Empowering farmers: Unveiling the economic impacts of contract farming on red chilli farmers’ income in Magelang District, Indonesia
- Evaluating salt tolerance in fodder crops: A field experiment in the dry land
- Labor productivity of lowland rice (Oryza sativa L.) farmers in Central Java Province, Indonesia
- Cropping systems and production assessment in southern Myanmar: Informing strategic interventions
- The effect of biostimulants and red mud on the growth and yield of shallots in post-unlicensed gold mining soil
- Effects of dietary Adansonia digitata L. (baobab) seed meal on growth performance and carcass characteristics of broiler chickens: A systematic review and meta-analysis
- Analysis and structural characterization of the vid-pisco market
- Pseudomonas fluorescens SP007s enhances defense responses against the soybean bacterial pustule caused by Xanthomonas axonopodis pv. glycines
- A brief investigation on the prospective of co-composted biochar as a fertilizer for Zucchini plants cultivated in arid sandy soil
- Supply chain efficiency of red chilies in the production center of Sleman Indonesia based on performance measurement system
- Investment development path for developed economies: Is agriculture different?
- Power relations among actors in laying hen business in Indonesia: A MACTOR analysis
- High-throughput digital imaging and detection of morpho-physiological traits in tomato plants under drought
- Converting compression ignition engine to dual-fuel (diesel + CNG) engine and experimentally investigating its performance and emissions
- Structuration, risk management, and institutional dynamics in resolving palm oil conflicts
- Spacing strategies for enhancing drought resilience and yield in maize agriculture
- Composition and quality of winter annual agrestal and ruderal herbages of two different land-use types
- Investigating Spodoptera spp. diversity, percentage of attack, and control strategies in the West Java, Indonesia, corn cultivation
- Yield stability of biofertilizer treatments to soybean in the rainy season based on the GGE biplot
- Evaluating agricultural yield and economic implications of varied irrigation depths on maize yield in semi-arid environments, at Birfarm, Upper Blue Nile, Ethiopia
- Chemometrics for mapping the spatial nitrate distribution on the leaf lamina of fenugreek grown under varying nitrogenous fertilizer doses
- Pomegranate peel ethanolic extract: A promising natural antioxidant, antimicrobial agent, and novel approach to mitigate rancidity in used edible oils
- Transformative learning and engagement with organic farming: Lessons learned from Indonesia
- Tourism in rural areas as a broader concept: Some insights from the Portuguese reality
- Assessment enhancing drought tolerance in henna (Lawsonia inermis L.) ecotypes through sodium nitroprusside foliar application
- Edible insects: A survey about perceptions regarding possible beneficial health effects and safety concerns among adult citizens from Portugal and Romania
- Phenological stages analysis in peach trees using electronic nose
- Harvest date and salicylic acid impact on peanut (Arachis hypogaea L.) properties under different humidity conditions
- Hibiscus sabdariffa L. petal biomass: A green source of nanoparticles of multifarious potential
- Use of different vegetation indices for the evaluation of the kinetics of the cherry tomato (Solanum lycopersicum var. cerasiforme) growth based on multispectral images by UAV
- First evidence of microplastic pollution in mangrove sediments and its ingestion by coral reef fish: Case study in Biawak Island, Indonesia
- Physical and textural properties and sensory acceptability of wheat bread partially incorporated with unripe non-commercial banana cultivars
- Cereibacter sphaeroides ST16 and ST26 were used to solubilize insoluble P forms to improve P uptake, growth, and yield of rice in acidic and extreme saline soil
- Avocado peel by-product in cattle diets and supplementation with oregano oil and effects on production, carcass, and meat quality
- Optimizing inorganic blended fertilizer application for the maximum grain yield and profitability of bread wheat and food barley in Dawuro Zone, Southwest Ethiopia
- The acceptance of social media as a channel of communication and livestock information for sheep farmers
- Adaptation of rice farmers to aging in Thailand
- Combined use of improved maize hybrids and nitrogen application increases grain yield of maize, under natural Striga hermonthica infestation
- From aquatic to terrestrial: An examination of plant diversity and ecological shifts
- Statistical modelling of a tractor tractive performance during ploughing operation on a tropical Alfisol
- Participation in artisanal diamond mining and food security: A case study of Kasai Oriental in DR Congo
- Assessment and multi-scenario simulation of ecosystem service values in Southwest China’s mountainous and hilly region
- Analysis of agricultural emissions and economic growth in Europe in search of ecological balance
- Bacillus thuringiensis strains with high insecticidal activity against insect larvae of the orders Coleoptera and Lepidoptera
- Technical efficiency of sugarcane farming in East Java, Indonesia: A bootstrap data envelopment analysis
- Comparison between mycobiota diversity and fungi and mycotoxin contamination of maize and wheat
- Evaluation of cultivation technology package and corn variety based on agronomy characters and leaf green indices
- Exploring the association between the consumption of beverages, fast foods, sweets, fats, and oils and the risk of gastric and pancreatic cancers: Findings from case–control study
- Phytochemical composition and insecticidal activity of Acokanthera oblongifolia (Hochst.) Benth & Hook.f. ex B.D.Jacks. extract on life span and biological aspects of Spodoptera littoralis (Biosd.)
- Land use management solutions in response to climate change: Case study in the central coastal areas of Vietnam
- Evaluation of coffee pulp as a feed ingredient for ruminants: A meta-analysis
- Interannual variations of normalized difference vegetation index and potential evapotranspiration and their relationship in the Baghdad area
- Harnessing synthetic microbial communities with nitrogen-fixing activity to promote rice growth
- Agronomic and economic benefits of rice–sweetpotato rotation in lowland rice cropping systems in Uganda
- Response of potato tuber as an effect of the N-fertilizer and paclobutrazol application in medium altitude
- Bridging the gap: The role of geographic proximity in enhancing seed sustainability in Bandung District
- Evaluation of Abrams curve in agricultural sector using the NARDL approach
- Challenges and opportunities for young farmers in the implementation of the Rural Development Program 2014–2020 of the Republic of Croatia
- Yield stability of ten common bean (Phaseolus vulgaris L.) genotypes at different sowing dates in Lubumbashi, South-East of DR Congo
- Effects of encapsulation and combining probiotics with different nitrate forms on methane emission and in vitro rumen fermentation characteristics
- Phytochemical analysis of Bienertia sinuspersici extract and its antioxidant and antimicrobial activities
- Evaluation of relative drought tolerance of grapevines by leaf fluorescence parameters
- Yield assessment of new streak-resistant topcross maize hybrids in Benin
- Improvement of cocoa powder properties through ultrasonic- and microwave-assisted alkalization
- Potential of ecoenzymes made from nutmeg (Myristica fragrans) leaf and pulp waste as bioinsecticides for Periplaneta americana
- Analysis of farm performance to realize the sustainability of organic cabbage vegetable farming in Getasan Semarang, Indonesia
- Revealing the influences of organic amendment-derived dissolved organic matter on growth and nutrient accumulation in lettuce seedlings (Lactuca sativa L.)
- Identification of viruses infecting sweetpotato (Ipomoea batatas Lam.) in Benin
- Assessing the soil physical and chemical properties of long-term pomelo orchard based on tree growth
- Investigating access and use of digital tools for agriculture among rural farmers: A case study of Nkomazi Municipality, South Africa
- Does sex influence the impact of dietary vitD3 and UVB light on performance parameters and welfare indicators of broilers?
- Design of intelligent sprayer control for an autonomous farming drone using a multiclass support vector machine
- Deciphering salt-responsive NB-ARC genes in rice transcriptomic data: A bioinformatics approach with gene expression validation
- Review Articles
- Impact of nematode infestation in livestock production and the role of natural feed additives – A review
- Role of dietary fats in reproductive, health, and nutritional benefits in farm animals: A review
- Climate change and adaptive strategies on viticulture (Vitis spp.)
- The false tiger of almond, Monosteira unicostata (Hemiptera: Tingidae): Biology, ecology, and control methods
- A systematic review on potential analogy of phytobiomass and soil carbon evaluation methods: Ethiopia insights
- A review of storage temperature and relative humidity effects on shelf life and quality of mango (Mangifera indica L.) fruit and implications for nutrition insecurity in Ethiopia
- Green extraction of nutmeg (Myristica fragrans) phytochemicals: Prospective strategies and roadblocks
- Potential influence of nitrogen fertilizer rates on yield and yield components of carrot (Dacus carota L.) in Ethiopia: Systematic review
- Corn silk: A promising source of antimicrobial compounds for health and wellness
- State and contours of research on roselle (Hibiscus sabdariffa L.) in Africa
- The potential of phosphorus-solubilizing purple nonsulfur bacteria in agriculture: Present and future perspectives
- Minor millets: Processing techniques and their nutritional and health benefits
- Meta-analysis of reproductive performance of improved dairy cattle under Ethiopian environmental conditions
- Review on enhancing the efficiency of fertilizer utilization: Strategies for optimal nutrient management
- The nutritional, phytochemical composition, and utilisation of different parts of maize: A comparative analysis
- Motivations for farmers’ participation in agri-environmental scheme in the EU, literature review
- Evolution of climate-smart agriculture research: A science mapping exploration and network analysis
- Short Communications
- Music enrichment improves the behavior and leukocyte profile of dairy cattle
- Effect of pruning height and organic fertilization on the morphological and productive characteristics of Moringa oleifera Lam. in the Peruvian dry tropics
- Corrigendum
- Corrigendum to “Bioinformatics investigation of the effect of volatile and non-volatile compounds of rhizobacteria in inhibiting late embryogenesis abundant protein that induces drought tolerance”
- Corrigendum to “Composition and quality of winter annual agrestal and ruderal herbages of two different land-use types”
- Special issue: Smart Agriculture System for Sustainable Development: Methods and Practices
- Construction of a sustainable model to predict the moisture content of porang powder (Amorphophallus oncophyllus) based on pointed-scan visible near-infrared spectroscopy
- FruitVision: A deep learning based automatic fruit grading system
- Energy harvesting and ANFIS modeling of a PVDF/GO-ZNO piezoelectric nanogenerator on a UAV
- Effects of stress hormones on digestibility and performance in cattle: A review
- Special Issue of The 4th International Conference on Food Science and Engineering (ICFSE) 2022 - Part II
- Assessment of omega-3 and omega-6 fatty acid profiles and ratio of omega-6/omega-3 of white eggs produced by laying hens fed diets enriched with omega-3 rich vegetable oil
- Special Issue on FCEM - International Web Conference on Food Choice & Eating Motivation - Part II
- Special Issue on FCEM – International Web Conference on Food Choice & Eating Motivation: Message from the editor
- Fruit and vegetable consumption: Study involving Portuguese and French consumers
- Knowledge about consumption of milk: Study involving consumers from two European Countries – France and Portugal