Abstract
The recognition of medicinal plants for their ability to enhance human resilience in confronting pathogenic diseases and extending the lifetime of food preservation has been explored throughout history. This study aims to assess the in vitro phenolic content, antioxidant properties, and antimicrobial potential of pomegranate peel extract (PPE) in ethanol. The antimicrobial activity of PPE was evaluated using the agar well-diffusion method, while the total phenolic content was determined using the Folin–Ciocalteu method. The antioxidant capacity was assessed utilizing the 2,2-diphenyl-1-picrylhydrazyl technique. The polyphenolic compounds present in PPE were identified using liquid chromatography–electrospray ionization–tandem mass spectrometry. Furthermore, the ability of PPE to counteract oil deterioration was assessed using four different plant-based oils: corn, olive, sunflower, and soybean. The study results revealed that PPE exhibits significant antioxidant activity, inhibits the growth of bacterial and fungal cells, and provides superior protection against oil oxidation and peroxidation at a concentration of 200 ppm, surpassing the synthetic antioxidant butylated hydroxytoluene. These findings underscore the role of PPE as a valuable natural resource for various applications in the food and pharmaceutical industries. By harnessing the beneficial properties of PPE, it is possible to develop natural and sustainable alternatives to synthetic antioxidants and antimicrobials. This not only contributes to the preservation of food quality and safety but also aligns with the growing demand for clean-label and eco-friendly products. Overall, this study provides valuable insights into the multifaceted benefits of PPE and paves the way for further exploration and utilization of this natural resource in various applications.
1 Introduction
Medicinal plants play a significant role in traditional herbal medicine practices worldwide, particularly among impoverished individuals [1,2]. The therapeutic properties of these plants can be attributed to the presence of secondary bioactive compounds. One such plant is the pomegranate (Punica granatum L.), which is consumed widely in various forms such as fresh fruit, juice, jams, and wines [3]. The different parts of the pomegranate fruit, including flowers, leaves, arils, and peel, as well as its products like fresh or sweet juices, possess notable biological activities due to their high content of polyphenols [3], alkaloids, tannins, flavonoids, anthocyanins, terpenoids sterols, ellagic acid, and unsaturated fats [4].
Pomegranate peels (PPs) are characterized by an interior network of membranes comprising almost 26–30% of the total fruit weight and are characterized by substantial amounts of phenolic compounds, including flavonoids (anthocyanins, catechins, and other complex flavonoids) and hydrolyzable tannins (punicalin, pedunculagin, punicalagin, gallic, and ellagic acid) [5]. The extract obtained from PP has demonstrated potent antioxidant properties. The methanol–water extraction process effectively preserves the antibacterial properties of PP against a range of pathogens and organisms, such as Bacillus subtilis, Listeria monocytogenes, Yersinia enterocolitica, Staphylococcus aureus, Candida albicans, Saccharomyces cerevisiae, and Aspergillus [5,6]. Moreover, pomegranate peel extract (PPE) has shown strong antimicrobial activity, as evidenced by its inhibitory effect on the growth of two common human bacteria, S. aureus and Escherichia coli, often associated with foodborne illnesses [7]. The antimicrobial effects of PPEs on cariogenic bacteria have also been highlighted in previous studies [8].
Furthermore, both ethanol and water extracts of pomegranate contain phytochemicals such as flavonoids, phenols, and tannins, which are important constituents responsible for these activities. The advantages of using ethanol as a solvent for extracting substances compared to water include the broad solubility of compounds, including both polar and non-polar substances. This makes it suitable for extracting a diverse array of molecules from various sources and also for the efficient extraction of bioactive compounds. It can extract a higher quantity of target compounds compared to water, resulting in higher yields. Furthermore, ethanol can preserve the stability and integrity of phytochemicals during extraction and the compatibility with analysis techniques However, research on the volatile components of pomegranate and its antibacterial effects is scarce [9]. Therefore, our study aims to investigate the phenolic profile of pomegranate PPE in ethanol and evaluate their potential as an anti-rancidity agent in different oils, including corn, olive, sunflower, and soybean. Additionally, the agar-well diffusion method will be employed to assess the antimicrobial activity of PPE against four microorganisms relevant to food safety, including two Gram-positive bacteria (B. subtilis and S. aureus), two Gram-negative bacteria (E. coli and Pseudomonas aeruginosa), yeast strain (C. albicans), and two fungal strains (Aspergillus flavus and Aspergillus niger). The phenolic content, antioxidant scavenging activity, and total phenolic content of PPE will be quantified to determine its efficacy as an anti-rancidity agent in different oils.
2 Materials and methods
2.1 Preparation of PP
Mature pomegranate fruits were procured from local markets in Saudi Arabia. The peels were manually separated and allowed to cool before being cleaned and dried outdoors for 5 days. Subsequently, the dried peels were fragmented into smaller pieces and processed using an electric mixer until they transformed into a fine powder. The powder was then sieved through a 0.2 mm sieve and stored in a paper bag in a refrigerator at 8°C until further use [10].
2.2 Preparation of pomegranate peel ethanolic extract
The ethanolic extraction procedure of PPE was performed according to the approach outlined by Cai et al. [11]. A known weight (20 g) of the dry powdered PP was mixed with 200 mL of 85% ethanol in a 1,000 mL conical flask. The mixture was extracted for 24 h using a Soxhlet extractor. This extraction procedures were repeated three times, and the resulting extracts were pooled together to ensure maximum yield. To ensure the purity and clarity of the extract, the obtained mixture was subjected to triple filtration using Whatman No. 1 filter paper. Subsequently, the filtrate underwent concentration under reduced pressure at a temperature of 40°C utilizing a rotary evaporator. The obtained powder was then redissolved in distilled water to prepare a solution with a final concentration of 200 ppm of PPE. The prepared extract was the stored in a dark environment at −20°C for future use.
2.3 Phytochemical analyses
2.3.1 Radical scavenging activity (2,2-diphenyl-1-picrylhydrazyl [DPPH]) of PPE
The DPPH˙ assay was employed to evaluate the free-radical scavenging activity as an indicator of the antioxidant potential of PPE (200 ppm), following the methodology proposed by El-Beltagi et al. [12]. The DPPH free radical scavenging activity was calculated and expressed as a percentage (%).
2.3.2 Determination of total phenolic content
The Folin–Ciocalteu method, as described by Danial and Basudan [13], was utilized to determine the total phenolic content of PPE. The total phenolic content of the extracts was quantified using gallic acid as the standard phenol, and the results were expressed in milligrams of gallic acid equivalent per 100 g of dry weight of peel.
2.4 Antimicrobial activity of PPE
2.4.1 Microorganisms and media
The Department of Microbiology at King Abdul-Aziz University in Saudi Arabia provided seven strains of microorganisms relevant to food safety. The strains included C. albicans (yeast), A. niger and A. flavus (mycelial fungi), B. subtilis and S. aureus (Gram-positive bacteria), and E. coli and Pseudomonas aeruginosa (Gram-negative bacteria). The bacterial and fungal strains were kept in nutrient agar and potato dextrose agar (PDA) slants, respectively, at 4°C. Before experimentation, the strains were sub-cultured in a nutrient broth of the corresponding medium and incubated at 37°C for 24 h to activate the microorganisms, which were then used as inoculum for evaluating the antimicrobial activity of PPE.
2.4.2 Antimicrobial activity
The agar well diffusion method, as suggested by Bassiri-Jahromi et al. [14], was employed to assess the antimicrobial activity of PPE (200 ppm) against the provided microbial strains. Microbial suspensions with a concentration of 1.0 × 107 CFU/mL were prepared from the stock cultures. A volume of 0.1 mL of the prepared microbial cell suspensions was aseptically spread onto nutrient agar plates for bacterial strains and PDA plates for fungal strains. After allowing the plates to dry at room temperature for 30 min, wells with a diameter of 8 mm were created in the agar using a sterile stainless-steel borer. Subsequently, 30 µL of PPE was added to each well. The plates were then incubated at 37°C for 24 h for bacterial strains and 30°C for 48 h for fungal strains. The diameter of the resulting inhibition zones was measured to determine the antimicrobial activity of PPE.
2.5 Identification of phenolic compounds by liquid chromatography–electrospray ionization–tandem mass spectrometry (LC–ESI–MS/MS)
Phenolic compounds in PPE were identified using LC–ESI–MS/MS analysis (Shimadzu, Japan). The chromatographic separation was performed on an Xtimate C-18 column (4.6 × 250 mm i.d., 5 μm) with a mobile phase consisting of 2% glacial acetic acid in water (solvent A) and acetonitrile (solvent B). The gradient program started with 5% solvent B and increased linearly to 50% over 30 min, followed by a post-run equilibration period. The flow rate was set at 0.8 mL/min, and the column temperature was maintained at 30°C.
The LC eluent was introduced into the ESI source of the mass spectrometer, operating in both positive and negative ionization modes. The mass spectrometer was operated with the following parameters: capillary voltage, 3.5 kV; nebulizing gas flow, 1.5 L/min; drying gas flow, 15 L/min; and drying gas temperature, 350°C. Mass spectra were acquired in the range of m/z 100–1,000. The phenolic compounds in PPE were identified by comparing their retention times and mass spectra with those of authentic standards and available databases. The identification was further confirmed by analyzing the fragmentation patterns of the compounds.
2.6 Rancidity assessment of utilized edible oils
2.6.1 Selection of oils for testing
The present study included four types of plant-based oils, namely olive, sunflower, soybean, and corn oil. The composition of polyunsaturated fatty acids varies among these oils, with olive oil being rich in oleic acid, sunflower oil containing a high proportion of linoleic acid, soybean oil abundant in α-linolenic acid, and corn oil primarily composed of polyunsaturated fatty acids, particularly linoleic acid, and low levels of saturated fatty acids [15].
2.6.2 Evaluation of oxidative stability using the Rancimat test
The oxidative stability of the oils was determined using a Rancimat apparatus (model 679, Switzerland) according to the guidelines outlined in ISO 6886:1997. A 5 g sample of each oil was subjected to a continuous airflow of 20 L/h at a temperature of 110°C. The induction times, measured with an accuracy of 0.005 s, were automatically recorded by the software of the apparatus [12].
2.6.3 Oven test of PPE compared to butylated hydroxytoluene (BHT) in oils
To evaluate the efficacy of PPE as an antioxidant, the used corn, olive, sunflower, and soybean oils were individually treated with PPE at a fixed concentration of 200 ppm. Negative controls (without any antioxidant) and positive controls (with the synthetic antioxidant BHT at a concentration of 200 ppm) were also included, following the recommendations of Cruz-Valenzuela et al. [16]. Each test was performed three times, and the oils were exposed to ambient air, light, surface, and the testing oil itself in open 500 mL containers placed in an oven at 70°C for 10 days [15].
Before analysis, both PPE and BHT were dissolved in propylene glycol. At intervals of 0, 2, 4, 6, 8, and 10 days, a random 30 mL aliquot was extracted from each treatment to measure the peroxide value (PV) and acid value (AV) of the oil samples. The testing treatments applied to the used oils are summarized in Table 1.
List of oil samples treated with PPE or BHT at 200 ppm concentration in the present study
| No | Sample | Code |
|---|---|---|
| 1 | Corn oil | C |
| 2 | Corn oil with PPE | C PPE |
| 3 | Corn oil with BHT | C BHT |
| 4 | Olive oil | O |
| 5 | Olive oil with PPE | O PPE |
| 6 | Olive oil with BHT | O BHT |
| 7 | Sunflower oil | F |
| 8 | Sunflower oil with PPE | F PPE |
| 9 | Sunflower oil with BHT | F BHT |
| 10 | Soybean | B |
| 11 | Soybean oil with PPE | B PPE |
| 12 | Soybean oil with BHT | B BHT |
2.6.4 Determination of PV
The PVs of the tested oils, as well as the oils supplemented with PPE and BHT, were calculated using the method proposed by El-Beltagi et al. [12]. The PV was determined using the following formula:
where M represents the molarity of sodium thiosulfate, B is the volume of titrant (mL) for the blank, S is the volume of titrant (mL) for the test portion, and the sample weight refers to the weight of the oil sample.
2.6.5 Calculation of the AV
The AVs of the tested oils and the oil samples fortified with PPE and BHT were determined based on the method described by El-Beltagi et al. [12]. A known weight of the test oils (56.4 ± 0.20 g) was placed in an Erlenmeyer flask, followed by the addition of 2 mL of indicator and 50 mL of hot neutralized alcohol. The AV was calculated using the following formula:
2.7 Statistical analysis
All experiments were performed in triplicate, and the results were expressed as means ± standard deviations (SD). Statistical analysis was conducted using one-way analysis of variance (ANOVA) by means of CoStat software (CoHort, V. 6.311) to compare the data means, followed by Duncan’s multiple range test. Differences were considered significant at P < 0.05.
3 Results and discussion
3.1 Radical scavenging activity of PPE
In the current study, the PPE showed a significant radical scavenging activity (85.26%) as contrasted to the standard antioxidant ascorbic acid (93.88%) (Figure 1). PPE has gained significant attention as a potential natural source of antioxidants due to its high content of phenolic compounds, flavonoids, and tannins [17]. These bioactive constituents have been reported to exhibit strong radical scavenging activity, which plays a crucial role in preventing oxidative damage caused by reactive oxygen species in various biological systems [18]. In this study, the radical scavenging activity of PPE was compared to the standard antioxidant, ascorbic acid. The results demonstrated that PPE exhibited remarkable radical scavenging activity comparable to that of ascorbic acid. This suggests that PPE possesses potent antioxidant properties and can effectively neutralize free radicals.

DPPH radical-scavenging activity of PPE against the standard ascorbic acid. Different letters denote significant differences at the significance level of 0.05.
Several studies have investigated the antioxidant potential of PPE. For instance, Sihag et al. [19] evaluated the radical scavenging activity of PPE using the DPPH assay and reported a strong antioxidant capacity. Similarly, Cervantes-Anaya et al. [20] found that PPE exhibited significant radical scavenging activity against superoxide and hydroxyl radicals. The high radical scavenging activity of PPE can be attributed to its rich composition of phenolic compounds, such as ellagitannins and flavonoids [21]. These compounds possess strong antioxidant properties and can donate hydrogen atoms or electrons to stabilize free radicals, thereby preventing oxidative damage. Thus, the similar radical scavenging activity observed between PPE and ascorbic acid suggests that PPE can serve as a natural alternative to synthetic antioxidants. Overall, the findings of this study highlight the significant radical scavenging activity of PPE, which makes it a promising natural source of antioxidants. Further research is warranted to elucidate the specific bioactive compounds responsible for PPE antioxidant activity and to explore its potential applications in various industries, including food and pharmaceuticals.
3.2 Phenolic content of PPE
The results of the current study revealed that the PPE possessed a relatively high content of phenolic compounds (32.30 mg/g dw) (Figure 2). This extract is known for its high phenolic content, which contributes to its potent antioxidant and therapeutic properties. Phenolic compounds are bioactive compounds found abundantly in plant-based foods and have been extensively studied for their beneficial effects on human health. The high phenolic content in PPE can be attributed to the presence of various phenolic compounds, including ellagitannins, flavonoids, and anthocyanins [17]. These compounds are known for their antioxidant, anti-inflammatory, and antimicrobial activities. Among the phenolic compounds, ellagitannins, such as punicalagins and punicalins, are the major contributors to the phenolic content in PPE [22].

Total phenolic content of PPE as compared to the standard gallic acid. Different letters denote significant differences at the significance level of 0.05.
The high phenolic content in PPE is of great interest due to its potential health benefits. Phenolic compounds are known to scavenge and neutralize free radicals, thereby protecting cells from oxidative damage [23]. Additionally, they have been associated with various health-promoting effects, including anti-inflammatory, anticancer, and cardioprotective properties [24]. Moreover, the phenolic compounds in PPE have been shown to exhibit antimicrobial activity against a wide range of pathogens, including bacteria, fungi, and viruses [25]. This antimicrobial property is of significant interest in the development of natural alternatives to conventional antimicrobial agents.
3.3 Antimicrobial activity of PPE against the tested microorganisms
The data presented in Table 2 provide evidence regarding the antimicrobial properties of PPE against the microorganisms that were tested in comparison to the standard antimicrobial agents (neomycin as an antibiotic and itraconazole as an antifungal). The results indicate that PPE displayed varying degrees of inhibition zone diameter, ranging from 18.2 to 24.5 mm. More specifically, when tested against Gram-positive bacteria, PPE exhibited inhibition zones measuring 22.4 and 20.6 mm against S. aureus and B. subtilis, respectively. However, when tested against Gram-negative bacteria, PPE demonstrated a stronger inhibitory effect against P. aeruginosa (24.5 mm) compared to E. coli (18.2 mm). Moreover, PPE exhibited an inhibition zone diameter of 20.6 mm against the yeast strain C. albicans, while both Aspergillus strains (A. niger and A. flavus) showed an equal inhibition zone diameter of 18.3 mm. PPE, renowned for its high content of phenolic acids, ellagitannins (such as punicalin and punicalagin), and flavonoids, has attracted considerable attention as a potential source for the development of antimicrobial agents due to its diverse biological functions and potential health benefits [26,27]. Several studies have consistently demonstrated the antibacterial and antifungal activities of PPE [9,27,28,29]. Notably, the antimicrobial efficacy of PPE has been found to surpass that of other plant parts, with its activity being closely associated with the presence of total flavonoids and tannins [27].
Inhibition zones diameter (mm) of PPE, antibacterial (neomycin), and antifungal (itraconazole) against the investigated microorganisms
| Microorganism | PPE | Neomycin | Itraconazole |
|---|---|---|---|
| B. subtilis | 20.6 ± 0.4c | 19.6 ± 0.8 | — |
| Staphylococcus aureus | 22.4 ± 0.6b | 17.5 ± 0.7 | — |
| Escherichia coli | 18.2 ± 0.8d | 24.3 ± 1.1 | — |
| Pseudomonas aeruginosa | 24.5 ± 0.5a | 25.4 ± 1.0 | — |
| C. albicans | 20.6 ± 0.4c | — | 27.5 ± 1.1 |
| A. niger | 18.3 ± 0.7d | — | 26.4 ± 0.6 |
| A. flavus | 18.3 ± 0.7d | — | 19.7 ± 0.3 |
| Source of variation | |||
| F | 225.76 | ||
| P | 0.0000 | ||
| LSD at 0.05 | 0.48 | ||
Different letters denate significant differences at the significance level of 0.05.
Furthermore, PPE has been extensively investigated for its antimicrobial effects against various pathogens, including foodborne bacteria such as E. coli and B. subtilis, as well as fungi like F. sambucinum and Penicillium [27,28]. Noteworthy findings include the potent inhibition of spore germination and mycelial growth of F. sambucinum by PPE at a concentration of 20 mg/mL [28]. Furthermore, PPE has exhibited inhibitory effects against Gram-positive bacteria, such as S. aureus, and Gram-negative bacteria, such as Salmonella spp. [30]. In the context of nosocomial infections, Candida species have been of particular concern, and PPE has been investigated for its potential to treat these pathogens. Researchers have explored ethanolic extracts derived from various parts of the pomegranate fruit, including arils, seeds, pericarp, and peels, and have reported their effectiveness against Candida species [31]. Overall, the wealth of research conducted by multiple scholars consistently affirms the antimicrobial activity of PPE. Its ability to inhibit the growth and development of both bacteria and fungi has been demonstrated, with its efficacy attributed to its bioactive constituents, including phenolic acids, ellagitannins, and flavonoids. These findings highlight the potential of PPE as a valuable source for the development of novel antimicrobial agents with broad-spectrum activity.
3.4 LC–ESI–MS/MS identification of PPE phenolic compounds
The LCMS spectra of PPE (as presented in Table 3 and Figure 3a and b) exhibited a diverse array of phenolic compounds within the extract. Both positive and negative modes were utilized for analysis. The results revealed the presence of 16 distinct phenolic compounds in PPE, each with varying retention times and peak areas. Among these compounds, gallic acid was identified as the most abundant, constituting approximately 86.47% of the total phenolic content. Chlorogenic acid and ellagic acid were also present in notable quantities, accounting for 7.35% and 3.64% of PPE composition, respectively. The remaining phenolic compounds were detected in minor proportions, with catechin (0.17%), caffeic acid (0.83%), syringic acid (0.94%), coumaric acid (0.11%), vanillin (0.09%), ferulic acid (0.12%), naringenin (0.17%), rosmarinic acid (0.08%), daidzein (0.01%), cinnamic acid (0.01%), kaempferol (0.02%), and hesperetin (0.01%) being identified. However, three compounds, namely pyrocatechol, rutin, and quercetin, were not detected in the PPE sample under investigation.
Identification of phenolic compounds in PPE using LC–ESI–MS/MS technique
| Peak no. | RT (min) | Compound name | Area % | Chemical formula |
|---|---|---|---|---|
| 1 | 3.597 | Gallic acid | 86.47 | C7H6O5 |
| 2 | 4.251 | Chlorogenic acid | 7.35 | C16H18O9 |
| 3 | 4.487 | Catechin | 0.17 | C15H14O6 |
| 4 | 5.501 | Methyl gallate | 0.00 | C8H8O5 |
| 5 | 5.927 | Caffeic acid | 0.83 | C9H8O4 |
| 6 | 6.425 | Syringic acid | 0.94 | C9H10O5 |
| 7 | 6.635 | Pyrocatechol | 0.00 | C6H6O2 |
| 8 | 6.902 | Rutin | 0.00 | C27H30O16 |
| 9 | 7.237 | Ellagic acid | 3.64 | C14H6O8 |
| 10 | 8.681 | Coumaric acid | 0.11 | C9H8O3 |
| 11 | 9.097 | Vanillin | 0.09 | C8H8O3 |
| 12 | 9.735 | Ferulic acid | 0.12 | C10H10O4 |
| 13 | 10.401 | Naringenin | 0.17 | C15H12O5 |
| 14 | 11.842 | Rosmarinic acid | 0.08 | C18H16O8 |
| 15 | 16.001 | Daidzein | 0.01 | C15H10O4 |
| 16 | 17.324 | Quercetin | 0.00 | C15H10O7 |
| 17 | 19.263 | Cinnamic acid | 0.01 | C9H8O2 |
| 18 | 20.620 | Kaempferol | 0.02 | C15H10O6 |
| 19 | 21.209 | Hesperetin | 0.01 | C16H14O6 |
RT = Retention time (min.).

(a) LC–ESI–MS/MS of standard phenolic compounds. (b) LC–ESI–MS/MS of PPE phenolic compounds.
PPE is known to contain a rich assortment of phenolic compounds, which are responsible for its diverse biological activities and potential health benefits. The identification and characterization of these phenolic compounds in PPE have been the focus of numerous studies. Among these compounds, gallic acid was found to be the most abundant, constituting approximately 86.47% of the total phenolic content. Gallic acid is known for its antioxidant properties and potential health benefits, including anti-inflammatory and anticancer activities [32]. Chlorogenic acid, another prominent phenolic compound in PPE, accounted for 7.35% of the composition. Chlorogenic acid has been associated with various health benefits, such as cardioprotective, neuroprotective, and anti-diabetic effects. Its antioxidant and anti-inflammatory properties contribute to its therapeutic potential [33]. Ellagic acid, as a commonly detectable phenolic compound in PPE, present at a concentration of 3.64%, is known for its strong antioxidant activity and potential anticancer properties. It has been studied for its ability to inhibit the growth of cancer cells and induce apoptosis [34].
Although gallic acid, chlorogenic acid, and ellagic acid were the major phenolic compounds identified in PPE, minor quantities of other phenolic compounds were also detected. These include catechin, caffeic acid, syringic acid, coumaric acid, vanillin, ferulic acid, naringenin, rosmarinic acid, daidzein, cinnamic acid, kaempferol, and hesperetin. Each of these compounds possesses unique bioactive properties and contributes to the overall antioxidant and antimicrobial potential of PPE. It is worth noting that three phenolic compounds, namely pyrocatechol, rutin, and quercetin, were not detected in the PPE sample analyzed. These compounds, commonly found in other plant sources, may be present in PPE at concentrations below the detection limit of the analytical method employed. All in all, understanding the composition of phenolic compounds in PPE is crucial for exploring its therapeutic potential and developing novel applications in the fields of medicine, nutrition, and functional foods.
3.5 Oxidative stability (Rancimat) test
The Rancimat test serves as a means to quantify the susceptibility of fats, oils, and fat-containing food products to oxidation, thereby assessing their oxidation stability. This test involves subjecting a sample of fat or oil to an elevated temperature while passing an airstream through it. Consequently, the fat molecules within the sample undergo oxidation, resulting in the formation of volatile organic compounds and other byproducts. The duration of oxidation indicates the level of resistance displayed by the fatty molecules against this process.
In Table 4, the impact of PPE on the oxidative stability of four plant-based oil samples (corn, olive, sunflower, and soybean oils) is summarized. The data reveal that all the oil samples examined exhibited relatively short stability times. Specifically, the order of stability for the oils was as follows: corn > soybean > sunflower > olive oil, with stability times of 6.8, 4.1, 3.5, and 3.2 h, respectively. Introducing PPE to the oil samples at a concentration of 200 ppm significantly enhanced their stability times, surpassing those achieved with the standard antioxidant BHT. For instance, when PPE was added to the corn oil sample, the stability time increased to 12.6 h, compared to 11.0 h with BHT. In the case of olive oil, stability time reached 8.2 h with PPE, whereas it was 7.1 h with BHT. Similarly, supplementation of sunflower oil with PPE resulted in a stability time of 9.2 h, whereas BHT yielded a stability time of 8.3 h. Soybean oil demonstrated a stability time of 10.1 h in the presence of PPE, while BHT achieved 8.5 h. Consequently, the presence of PPE significantly prolonged the stability of the tested oil samples more effectively than the conventionally employed BHT.
The oxidative stability of the investigated plant-based oil samples treated with 200 ppm PPE and BHT
| Sample | Stability time (h) |
|---|---|
| C | 6.8 ± 0.2f |
| C PPE | 12.6 ± 0.3a |
| C BHT | 11.0 ± 0.4b |
| O | 3.2 ± 0.1h |
| O PPE | 8.2 ± 0.3e |
| O BHT | 7.1 ± 0.4f |
| F | 3.5 ± 0.1gh |
| F PPE | 9.2 ± 0.7d |
| F BHT | 8.3 ± 0.6e |
| B | 4.1 ± 0.4g |
| B PPE | 10.1 ± 0.8c |
| B BHT | 8.5 ± 0.1de |
| Statistics | |
| F | 129.29 |
| P | 0.0000 |
| LSD at 0.05 | 0.76 |
Different letters denate significant differences at the significance level of 0.05.
When PPE was added to the oil samples at a concentration of 200 ppm, a significant improvement in stability time was observed compared to the standard antioxidant BHT. These findings indicate that PPE has a greater capacity to extend the oxidative stability of plant-based oils compared to BHT, a commonly used synthetic antioxidant. Similar results were reported in many investigations [35,36,37,38]. The polyphenols present in PPE are known for their strong antioxidant properties, which can effectively scavenge and neutralize free radicals, thereby inhibiting the oxidation process. In their study, Bashir et al. [39] determined that PPE demonstrated antioxidant properties that might be utilized to extend the storage duration of fatty products. They showed that adding the extracts at the maximum concentration (1,000 ppm) led to a reduction in free fatty acids (FFAs), iodine value, saponification value, PV, and thiobarbituric acid reactive substances compared to the control sample, which was supplemented with 200 ppm BHT. Furthermore, the study conducted by Hemachandra et al. [40] examined the impact of a PPE (2% w/w) on the oxidative stability of several edible oils (sunflower oil, coconut oil, palm oil, and sesame oil) during the deep frying process of potato strips at a temperature of 170 ± 5°C. This ability to delay oxidation is crucial in preserving the quality, flavor, and nutritional value of oils, as oxidative degradation can lead to rancidity, off-flavors, and nutrient loss. The results of this study suggest that incorporating PPE as a natural antioxidant in the food industry could be a promising alternative to synthetic antioxidants. Not only does PPE offer improved stability times, but it also aligns with the growing consumer demand for natural and clean-label ingredients. Further research and exploration of the specific polyphenols present in PPE and their mechanisms of action would provide valuable insights into harnessing their antioxidative potential for the preservation of plant-based oils and other food products.
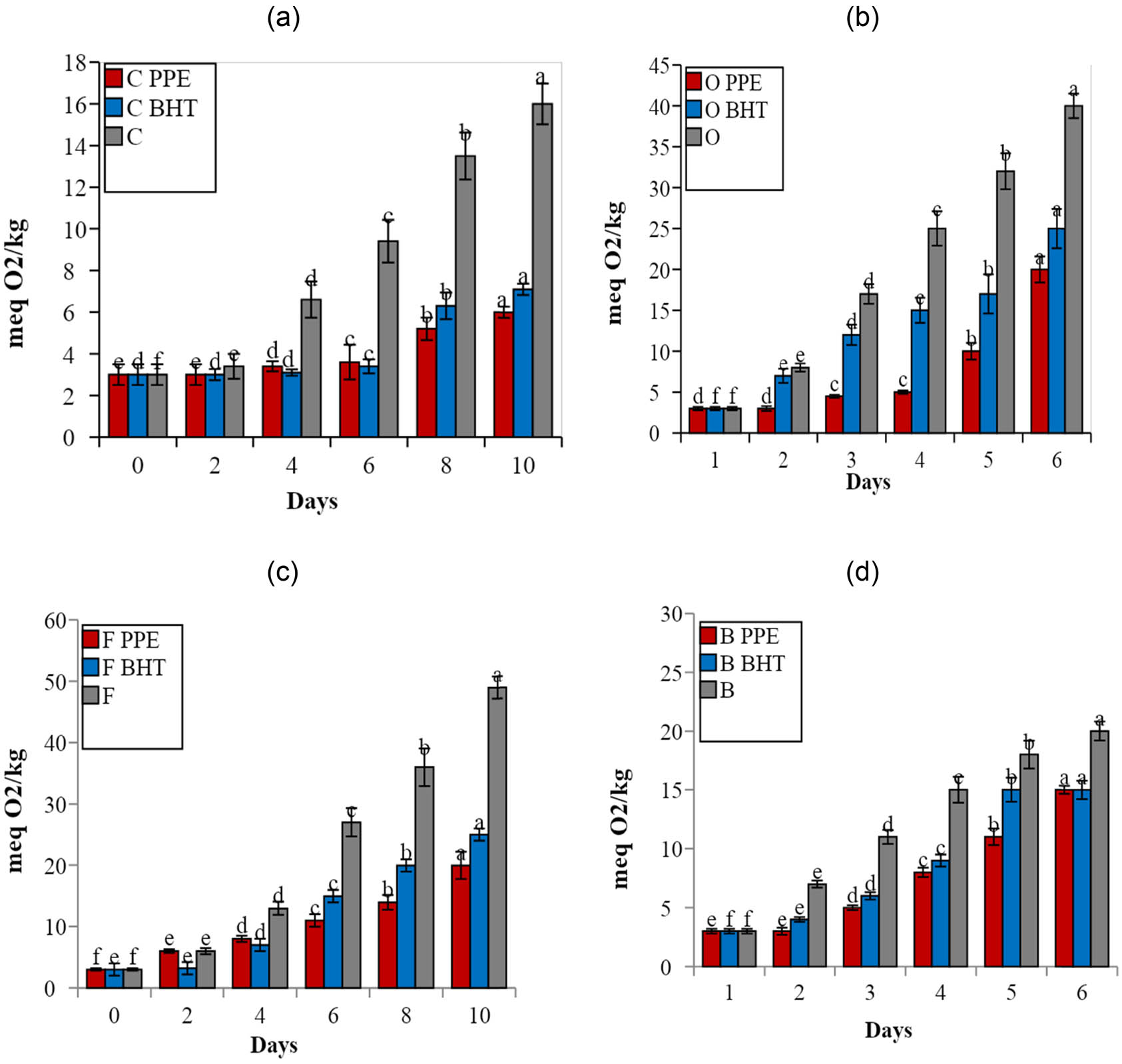
3.6 Changes in PV
The determination of PV serves to measure the concentration of hydroperoxide, which represents the primary oxidation products found in plant-based oils. PV is commonly expressed as milliequivalents (meq) of peroxide oxygen per 1 kg of the oil under analysis [41]. This parameter holds significant importance as it is widely employed to assess the oxidation state of plant-based oils. In the present study, Figure 4 displays the PV of four plant-based oils, namely olive, corn, sunflower, and soybean, over a period of ten days. The investigation focuses on the impact of two treatments: PPE and the synthetic antioxidant BHT. The results indicate that the PV exhibited a time-dependent trend, reaching its maximum level on the 10th day for all oils examined under the respective treatments. Furthermore, the peroxidation values showed the following ranking: sunflower oil > olive oil > soybean oil > corn oil, with mean values of 49.0, 40.0, 20.0, and 16.0 meq O2/kg, respectively.

Changes in PV (meq O2/kg) of corn oil (a), olive oil (b), sunflower oil (c), and soybean oil (d) under accelerated oxidation conditions (at 70°C for 10 days) using 200 ppm PPE as a natural antioxidant in comparison with control (without any antioxidant) and positive control using 200 ppm BHT. C = corn oil, O = olive oil, F = sunflower oil, and B = soybean oil. Different letters denote significant differences at the significance level of 0.05.
Interestingly, the treatment of the investigated oils with PPE (200 ppm) led to a significant reduction in the PV compared to the non-treated oil samples throughout the experiment. Specifically, on the 10th day of treatment, the PV of corn, sunflower, olive, and soybean oils exhibited decreases of 166.7, 145.0, 100.0, and 33.3%, respectively, in relation to their untreated counterparts. Notably, the decline in PV resulting from the addition of PPE was more pronounced than that observed with the addition of BHT in most cases during the entire experimental duration for the various oil samples. The fact that the decline in PV due to PPE addition was more significant than that resulting from BHT addition suggests that PPE exhibits superior antioxidant performance in most cases during the experimental period. The same result was obtained by many authors using various oil samples [35,37,38,42]. This finding implies that PPE might be more efficient at inhibiting the formation of hydroperoxides and preventing oil oxidation compared to BHT. This finding has implications for enhancing product stability, improving shelf life, and minimizing potential health risks associated with the consumption or use of oxidized oils.
3.7 Changes in AV
The AV is a widely used parameter for assessing the quality of fats and oils. It quantifies the amount of FFAs present in a given fat or oil sample by measuring the weight of potassium hydroxide (KOH) required to neutralize the organic acids in 1 g of the sample. An increase in FFA content indicates the hydrolysis of triglycerides, and it serves as an indicator of rancidity, as FFAs are typically formed during triglyceride decomposition [43]. In this study, the AVs of four plant-based oils (olive, corn, sunflower, and soybean) were monitored over a 10-day period, focusing on the effects of two treatments: PPE and the synthetic antioxidant BHT. Figure 5 presents the time-dependent trends of the AVs under each treatment. The findings revealed that the AVs reached their highest levels on the 10th day for all oils tested. Moreover, the AVs exhibited the following ranking: corn oil > soybean oil > olive oil > sunflower oil, with mean values of 16.2, 7.0, 6.0, and 4.0 mg KOH/kg, respectively.

Changes in AV (mg KOH/kg) of corn oil (a), olive oil (b), sunflower oil (c), and soybean oil (d) under accelerated oxidation conditions (at 70°C for 10 days) using 200 ppm PPE as a natural antioxidant in comparison with control (without any antioxidant) and positive control using 200 ppm BHT. C = corn oil, O = olive oil, F = sunflower oil, and B = soybean oil. Different letters denote significant differences at the significance level of 0.05.
Interestingly, the application of PPE at a concentration of 200 ppm resulted in a significant reduction in the AVs compared to the untreated oil samples throughout the experiment. Specifically, on the 10th day of treatment, the AVs of corn, soybean, olive, and sunflower oils decreased by 2214.3, 218.2, 66.7, and 65.0%, respectively, in relation to their untreated counterparts. Notably, the decline in AVs due to PPE addition was generally more pronounced than that observed with the addition of BHT across most of the experimental duration for the different oil samples. This suggests that PPE demonstrates superior stability performance compared to BHT in resisting the hydrolytic degradation of the investigated oils. Similar results were affirmed by researchers [35,38,44].
Kaderides et al. [37] demonstrated that the incorporation of PPE into various food products, including meat, fish, poultry, dairy products, edible oils, and fats, resulted in enhanced physicochemical and microbiological stability during processing and storage, leading to extended shelf-life. Importantly, the addition of PPE did not adversely affect the sensory properties or overall acceptability of the final products, indicating promising potential. These findings suggest that PPE may be more effective than the commonly used commercial antioxidant BHT in preventing oil hydrolysis. Because of lipid radicals, including alkoxyl (RO), peroxyl (ROO), and alkyl (R) radicals, are generated during autooxidation of polyunsaturated fatty acids, by factoring in the quantity of free radical scavenging chemicals at the outset and the amount of time needed for oxidation to consume these compounds [12]. These findings hold implications for improving the stability of food products, prolonging their shelf life, and reducing potential health hazards associated with the consumption or use of partially hydrolyzed oils.
4 Conclusion
In conclusion, the significance of PPE in inhibiting the growth of pathogenic microorganisms threatening human life, preventing oil rancidity, and reducing the oils’ hydrolysis cannot be overstated. PPE, rich in antioxidant phenolic compounds, has demonstrated remarkable potential in enhancing food quality and safety. One of the key advantages of PPE is that its inclusion in various food products could enhance their microbiological stability, thereby extending their shelf life. Additionally, PPE, with its high content of antioxidant phenolic compounds, effectively inhibits the hydrolysis of triglycerides, thus reducing the formation of FFAs. This property is crucial for preserving the freshness and quality of oils, as rancidity not only impairs sensory attributes but also poses potential health risks. Consequently, the utilization of PPE represents a promising approach in the food industry for combating microorganisms, reducing plant-based oils’ rancidity, and preventing oil hydrolysis. Further research and exploration of the potential applications of PPE in different food systems are warranted to fully harness their benefits and unlock their diverse functionalities.
-
Funding information: Authors state no funding involved.
-
Author contributions: All authors have accepted responsibility for the entire content of this manuscript and consented to its submission to the journal, reviewed all the results and approved the final version of the manuscript. GAA conceptualization, visualization, methodology, validation, data curation, software, investigation, writing – original draft preparation, writing – reviewing and editing. ASA conceptualization, visualization, methodology, validation, data curation, investigation, writing – reviewing and editing.
-
Conflict of interest: Authors state no conflict of interest.
-
Data availability statement: The datasets generated during and/or analyzed during the current study are available from the corresponding author on reasonable request.
References
[1] Mendes PM, Gomes Fontoura GM, Rodrigues LDS, Souza AS, Viana JPM, Fernandes Pereira AL, et al. Therapeutic potential of Punica granatum and isolated compounds: Evidence-based advances to treat bacterial infections. Int J Microbiol. 2023;2023:e4026440. 10.1155/2023/4026440.Suche in Google Scholar PubMed PubMed Central
[2] Alsaedi S, Aljeddani G. Phytochemical analysis and bioactivity screening of primary and secondary metabolic products of medicinal plants in the Valleys of Medina Region Saudi Arabia. Adv Biol Chem. 2022;12:92–115.10.4236/abc.2022.124009Suche in Google Scholar
[3] Kalaycıoğlu Z, Erim FB. Total phenolic contents, antioxidant activities, and bioactive ingredients of juices from pomegranate cultivars worldwide. Food Chem. 2017;221:496–507. 10.1016/j.foodchem.2016.10.084.Suche in Google Scholar PubMed
[4] Amri Z, Zaouay F, Lazreg-Aref H, Soltana H, Mneri A, Mars M, et al. Phytochemical content, fatty acids composition and antioxidant potential of different pomegranate parts: Comparison between edible and non edible varieties grown in Tunisia. Int J Biol Macromol. 2017;104:274–80. 10.1016/j.ijbiomac.2017.06.022.Suche in Google Scholar PubMed
[5] Rahnemoon P, Jamab MS, Dakheli MJ, Bostan A. Phenolic compounds and antimicrobial properties of pomegranate (Punica granatum) peel extracts. Int J Agric Biosyst Eng. 2016;10:646–51.Suche in Google Scholar
[6] Rosas-Burgos EC, Burgos-Hernández A, Noguera-Artiaga L, Kačániová M, Hernández-García F, Cárdenas-López JL, et al. Antimicrobial activity of pomegranate peel extracts as affected by cultivar. J Sci Food Agric. 2017;97:802–10. 10.1002/jsfa.7799.Suche in Google Scholar PubMed
[7] Pagliarulo C, De Vito V, Picariello G, Colicchio R, Pastore G, Salvatore P, et al. Inhibitory effect of pomegranate (Punica granatum L.) polyphenol extracts on the bacterial growth and survival of clinical isolates of pathogenic Staphylococcus aureus and Escherichia coli. Food Chem. 2016;190:824–31. 10.1016/j.foodchem.2015.06.028.Suche in Google Scholar PubMed
[8] Ferrazzano GF, Scioscia E, Sateriale D, Pastore G, Colicchio R, Pagliuca C, et al. In vitro antibacterial activity of pomegranate juice and peel extracts on cariogenic bacteria. Biomed Res Int. 2017;2017:e2152749. 10.1155/2017/2152749.Suche in Google Scholar PubMed PubMed Central
[9] Al-Zoreky NS. Antimicrobial activity of pomegranate (Punica granatum L.) fruit peels. Int J Food Microbiol. 2009;134:244–8. 10.1016/j.ijfoodmicro.2009.07.002.Suche in Google Scholar PubMed
[10] Kumar YR, Narayanaswamy HD, Rao S, Satyanarayana ML, Nadoor P, Rathnamma D. Effects of pomegranate (Punica granatum) juice and peel extract on biochemical parameters in streptozotocin induced diabetic rats. Pharma Innov J. 2022;11:970–7.Suche in Google Scholar
[11] Cai H, You S, Xu Z, Li Z, Guo J, Ren Z, et al. Novel extraction methods and potential applications of polyphenols in fruit waste: A review. J Food Meas Charact. 2021;15:3250–61. 10.1007/s11694-021-00901-1.Suche in Google Scholar
[12] El-Beltagi HS, Hussein Y, Hendawy EAA, El-Masry R, Al-Gaby A, Osman A. Improving oxidative stability of corn oil by curcumin and beta-carotene under accelerated oxidation conditions. Pol J Env Stud. 2024;33:117–24. 10.15244/pjoes/171572.Suche in Google Scholar
[13] Danial EN, Basudan N. Comparative study as antioxidant, antimicrobial activities and total phenolic content between various parts of pomegranate. Res J Life Sci Bioinf Pharm Chem Sci. 2019;5:674–84. 10.26479/2019.0502.49.Suche in Google Scholar
[14] Bassiri-Jahromi SP, Pourshafie MRP, Mirabzade Ardakani EDVM, Ehsani AHMD, Doostkam AMD, Katirae FP, et al. In vivo comparative evaluation of the pomegranate (Punica granatum) peel extract as an alternative agent to nystatin against oral candidiasis. Iran J Med Sci. 2018;43:296–304.Suche in Google Scholar
[15] Konsoula Z. Comparative efficacy of pomegranate juice, peel and seed extract in the stabilization of corn oil under accelerated conditions. Int J Nutr Food Eng. 2016;10:556–63.Suche in Google Scholar
[16] Cruz-Valenzuela MR, Ayala-Soto RE, Ayala-Zavala JF, Espinoza-Silva BA, González-Aguilar GA, Martín-Belloso O, et al. Pomegranate (Punica granatum L.) peel extracts as antimicrobial and antioxidant additives used in alfalfa sprouts. Foods. 2022;11:e2588. 10.3390/foods11172588.Suche in Google Scholar PubMed PubMed Central
[17] Singh B, Singh JP, Kaur A, Singh N. Phenolic compounds as beneficial phytochemicals in pomegranate (Punica granatum L.) peel: A review. Food Chem. 2018;261:75–86. 10.1016/j.foodchem.2018.04.039.Suche in Google Scholar PubMed
[18] Fawole OA, Makunga NP, Opara UL. Antibacterial, antioxidant and tyrosinase-inhibition activities of pomegranate fruit peel methanolic extract. BMC Complement Altern Med. 2012;12:e200. 10.1186/1472-6882-12-200.Suche in Google Scholar PubMed PubMed Central
[19] Sihag S, Pal A, Ravikant, Saharan V. Antioxidant properties and free radicals scavenging activities of pomegranate (Punica granatum L.) peels: An in-vitro study. Biocatal Agric Biotechnol. 2022;42:e102368. 10.1016/j.bcab.2022.102368.Suche in Google Scholar
[20] Cervantes-Anaya N, Azpilcueta-Morales G, Estrada-Camarena E, Ramírez Ortega D, Pérez de la Cruz V, González-Trujano ME, et al. Pomegranate and its components, punicalagin and ellagic acid, promote antidepressant, antioxidant, and free radical-scavenging activity in ovariectomized rats. Front Behav Neurosci. 2022;16:e836681. 10.3389/fnbeh.2022.836681.Suche in Google Scholar PubMed PubMed Central
[21] Saparbekova AA, Kantureyeva GO, Kudasova DE, Konarbayeva ZK, Latif AS. Potential of phenolic compounds from pomegranate (Punica granatum L.) by-product with significant antioxidant and therapeutic effects: A narrative review. Saudi J Biol Sci. 2023;30:e103553. 10.1016/j.sjbs.2022.103553.Suche in Google Scholar PubMed PubMed Central
[22] Berkoz M, Yalin S, Yildirim M, Yalın AE, Çömelekoğlu Ü. Punicalagin and punicalin suppress the adipocyte differentiation through the transcription factors. Acta Endocrinol. 2021;17:157–67. 10.4183/aeb.2021.157.Suche in Google Scholar PubMed PubMed Central
[23] Diab TA, Donia T, Saad-Allah KM. Characterization, antioxidant, and cytotoxic effects of some Egyptian wild plant extracts. Beni-Suef Univ J Basic Appl Sci. 2021;10:e13. 10.1186/s43088-021-00103-0.Suche in Google Scholar
[24] Saleem A, Akhtar MF, Sharif A, Akhtar B, Siddique R, Ashraf GM, et al. Anticancer, cardio-protective and anti-inflammatory potential of natural-sources-derived phenolic acids. Molecules. 2022;27:e7286.10.3390/molecules27217286Suche in Google Scholar PubMed PubMed Central
[25] Tanveer A, Farooq U, Akram K, Hayat Z, Shafi A, Nazar H, et al. Pomegranate extracts: A natural preventive measure against spoilage and pathogenic microorganisms. Food Rev Int. 2015;31:29–51. 10.1080/87559129.2014.961074.Suche in Google Scholar
[26] Türkyılmaz M, Tağı Ş, Dereli U, Özkan M. Effects of various pressing programs and yields on the antioxidant activity, antimicrobial activity, phenolic content and colour of pomegranate juices. Food Chem. 2013;138:1810–8. 10.1016/j.foodchem.2012.11.100.Suche in Google Scholar PubMed
[27] Kharchoufi S, Licciardello F, Siracusa L, Muratore G, Hamdi M, Restuccia C. Antimicrobial and antioxidant features of ‘Gabsiʼ pomegranate peel extracts. Ind Crop Prod. 2018;111:345–52. 10.1016/j.indcrop.2017.10.037.Suche in Google Scholar
[28] Abdollahzadeh S, Mashouf R, Mortazavi H, Moghaddam M, Roozbahani N, Vahedi M. Antibacterial and antifungal activities of Punica granatum peel extracts against oral pathogens. J Dent. 2011;8:1–6.Suche in Google Scholar
[29] Malviya S, Arvind X, Jha A, Hettiarachchy N. Antioxidant and antibacterial potential of pomegranate peel extracts. J Food Sci Technol. 2014;51:4132–7. 10.1007/s13197-013-0956-4.Suche in Google Scholar PubMed PubMed Central
[30] Ali A, Chen Y, Liu H, Yu L, Baloch Z, Khalid S, et al. Starch-based antimicrobial films functionalized by pomegranate peel. Int J Biol Macromol. 2019;129:1120–6. 10.1016/j.ijbiomac.2018.09.068.Suche in Google Scholar PubMed
[31] Alexandre EMC, Silva S, Santos SAO, Silvestre AJD, Duarte MF, Saraiva JA, et al. Antimicrobial activity of pomegranate peel extracts performed by high pressure and enzymatic assisted extraction. Food Res Int. 2019;115:167–76. 10.1016/j.foodres.2018.08.044.Suche in Google Scholar PubMed
[32] Jiang Y, Pei J, Zheng Y, Miao Y, Duan B, Huang L. Gallic acid: A potential anti-cancer agent. Chin J Integr Med. 2022;28:661–71. 10.1007/s11655-021-3345-2.Suche in Google Scholar PubMed
[33] Singh AK, Singla RK, Pandey AK. Chlorogenic acid: A dietary phenolic acid with promising pharmacotherapeutic potential. Curr Med Chem. 2023;30:3905–26.10.2174/0929867329666220816154634Suche in Google Scholar PubMed
[34] Eroglu Ozkan E, Seyhan MF, Kurt Sirin O, Yilmaz- Ozden T, Ersoy E, Hatipoglu Cakmar SD, et al. Antiproliferative effects of Turkish pomegranate (Punica granatum L.) extracts on MCF-7 human breast cancer cell lines with focus on antioxidant potential and bioactive compounds analyzed by LC-MS/MS. J Food Biochem. 2021;45:e13904. 10.1111/jfbc.13904.Suche in Google Scholar PubMed
[35] Drinić Z, Mudrić J, Zdunić G, Bigović D, Menković N, Šavikin K. Effect of pomegranate peel extract on the oxidative stability of pomegranate seed oil. Food Chem. 2020;333:e127501. 10.1016/j.foodchem.2020.127501.Suche in Google Scholar PubMed
[36] Abd-Allah IMA, Rabie MA, Sulieman AM, Mostfa DM, El-Badawi AA. Oxidative stability of edible oils via addition of pomegranate and orange peel extracts. Foods Raw Mater. 2018;6:413–20. 10.21603/2308-4057-2018-2-413-420.Suche in Google Scholar
[37] Kaderides K, Kyriakoudi A, Mourtzinos I, Goula AM. Potential of pomegranate peel extract as a natural additive in foods. Trends Food Sci Technol. 2021;115:380–90. 10.1016/j.tifs.2021.06.050.Suche in Google Scholar
[38] Iqbal S, Haleem S, Akhtar M, Zia-ul-Haq M, Akbar J. Efficiency of pomegranate peel extracts in stabilization of sunflower oil under accelerated conditions. Food Res Int. 2008;41:194–200. 10.1016/j.foodres.2007.11.005.Suche in Google Scholar
[39] Bashir S, Gilani SA, Shah F, Khan AA, Ullah S. Preparation of chicken nuggets using pomegranate blended sunflower oil. Asian J Hallied Heal Sci. 2016;1:3–10.Suche in Google Scholar
[40] Hemachandra TP, Jayathilake RR, Madhujith WM. The effect of antioxidative extracts on mitigating autoxidation of selected edible oils during deep frying. Trop Agric Res. 2017;28:247–55. 10.4038/tar.v28i3.8229.Suche in Google Scholar
[41] Roselló-Soto E, Barba FJ, Lorenzo JM, Munekata PES, Gómez B, Moltó JC. Phenolic profile of oils obtained from “horchata” by-products assisted by supercritical-CO2 and its relationship with antioxidant and lipid oxidation parameters: Triple TOF-LC-MS-MS characterization. Food Chem. 2019;274:865–71. 10.1016/j.foodchem.2018.09.055.Suche in Google Scholar PubMed
[42] El-Hadary AE, Taha M. Pomegranate peel methanolic-extract improves the shelf-life of edible-oils under accelerated oxidation conditions. Food Sci Nutr. 2020;8:1798–811. 10.1002/fsn3.1391.Suche in Google Scholar PubMed PubMed Central
[43] Dijkstra AJ. Vegetable oils: Composition and analysis. In: Caballero B, Finglas PM, Toldrá F, editors. Encycl. Food Heal. Oxford: Academic Press; 2016. p. 357–64. 10.1016/B978-0-12-384947-2.00708-X.Suche in Google Scholar
[44] Javani-Seraji S, Bazargani-Gilani B, Aghajani N. Influence of extraction techniques on the efficiency of pomegranate (Punica granatum L.) peel extracts in oxidative stability of edible oils. Food Sci Nutr. 2023;11:2344–55. 10.1002/fsn3.3244.Suche in Google Scholar PubMed PubMed Central
© 2024 the author(s), published by De Gruyter
This work is licensed under the Creative Commons Attribution 4.0 International License.
Artikel in diesem Heft
- Regular Articles
- Supplementation of P-solubilizing purple nonsulfur bacteria, Rhodopseudomonas palustris improved soil fertility, P nutrient, growth, and yield of Cucumis melo L.
- Yield gap variation in rice cultivation in Indonesia
- Effects of co-inoculation of indole-3-acetic acid- and ammonia-producing bacteria on plant growth and nutrition, soil elements, and the relationships of soil microbiomes with soil physicochemical parameters
- Impact of mulching and planting time on spring-wheat (Triticum aestivum) growth: A combined field experiment and empirical modeling approach
- Morphological diversity, correlation studies, and multiple-traits selection for yield and yield components of local cowpea varieties
- Participatory on-farm evaluation of new orange-fleshed sweetpotato varieties in Southern Ethiopia
- Yield performance and stability analysis of three cultivars of Gayo Arabica coffee across six different environments
- Biology of Spodoptera frugiperda (Lepidoptera: Noctuidae) on different types of plants feeds: Potency as a pest on various agricultural plants
- Antidiabetic activity of methanolic extract of Hibiscus sabdariffa Linn. fruit in alloxan-induced Swiss albino diabetic mice
- Bioinformatics investigation of the effect of volatile and non-volatile compounds of rhizobacteria in inhibiting late embryogenesis abundant protein that induces drought tolerance
- Nicotinamide as a biostimulant improves soybean growth and yield
- Farmer’s willingness to accept the sustainable zoning-based organic farming development plan: A lesson from Sleman District, Indonesia
- Uncovering hidden determinants of millennial farmers’ intentions in running conservation agriculture: An application of the Norm Activation Model
- Mediating role of leadership and group capital between human capital component and sustainability of horticultural agribusiness institutions in Indonesia
- Biochar technology to increase cassava crop productivity: A study of sustainable agriculture on degraded land
- Effect of struvite on the growth of green beans on Mars and Moon regolith simulants
- UrbanAgriKG: A knowledge graph on urban agriculture and its embeddings
- Provision of loans and credit by cocoa buyers under non-price competition: Cocoa beans market in Ghana
- Effectiveness of micro-dosing of lime on selected chemical properties of soil in Banja District, North West, Ethiopia
- Effect of weather, nitrogen fertilizer, and biostimulators on the root size and yield components of Hordeum vulgare
- Effects of selected biostimulants on qualitative and quantitative parameters of nine cultivars of the genus Capsicum spp.
- Growth, yield, and secondary metabolite responses of three shallot cultivars at different watering intervals
- Design of drainage channel for effective use of land on fully mechanized sugarcane plantations: A case study at Bone Sugarcane Plantation
- Technical feasibility and economic benefit of combined shallot seedlings techniques in Indonesia
- Control of Meloidogyne javanica in banana by endophytic bacteria
- Comparison of important quality components of red-flesh kiwifruit (Actinidia chinensis) in different locations
- Efficiency of rice farming in flood-prone areas of East Java, Indonesia
- Comparative analysis of alpine agritourism in Trentino, Tyrol, and South Tyrol: Regional variations and prospects
- Detection of Fusarium spp. infection in potato (Solanum tuberosum L.) during postharvest storage through visible–near-infrared and shortwave–near-infrared reflectance spectroscopy
- Forage yield, seed, and forage qualitative traits evaluation by determining the optimal forage harvesting stage in dual-purpose cultivation in safflower varieties (Carthamus tinctorius L.)
- The influence of tourism on the development of urban space: Comparison in Hanoi, Danang, and Ho Chi Minh City
- Optimum intra-row spacing and clove size for the economical production of garlic (Allium sativum L.) in Northwestern Highlands of Ethiopia
- The role of organic rice farm income on farmer household welfare: Evidence from Yogyakarta, Indonesia
- Exploring innovative food in a developing country: Edible insects as a sustainable option
- Genotype by environment interaction and performance stability of common bean (Phaseolus vulgaris L.) cultivars grown in Dawuro zone, Southwestern Ethiopia
- Factors influencing green, environmentally-friendly consumer behaviour
- Factors affecting coffee farmers’ access to financial institutions: The case of Bandung Regency, Indonesia
- Morphological and yield trait-based evaluation and selection of chili (Capsicum annuum L.) genotypes suitable for both summer and winter seasons
- Sustainability analysis and decision-making strategy for swamp buffalo (Bubalus bubalis carabauesis) conservation in Jambi Province, Indonesia
- Understanding factors affecting rice purchasing decisions in Indonesia: Does rice brand matter?
- An implementation of an extended theory of planned behavior to investigate consumer behavior on hygiene sanitation-certified livestock food products
- Information technology adoption in Indonesia’s small-scale dairy farms
- Draft genome of a biological control agent against Bipolaris sorokiniana, the causal phytopathogen of spot blotch in wheat (Triticum turgidum L. subsp. durum): Bacillus inaquosorum TSO22
- Assessment of the recurrent mutagenesis efficacy of sesame crosses followed by isolation and evaluation of promising genetic resources for use in future breeding programs
- Fostering cocoa industry resilience: A collaborative approach to managing farm gate price fluctuations in West Sulawesi, Indonesia
- Field investigation of component failures for selected farm machinery used in small rice farming operations
- Near-infrared technology in agriculture: Rapid, simultaneous, and non-destructive determination of inner quality parameters on intact coffee beans
- The synergistic application of sucrose and various LED light exposures to enhance the in vitro growth of Stevia rebaudiana (Bertoni)
- Weather index-based agricultural insurance for flower farmers: Willingness to pay, sales, and profitability perspectives
- Meta-analysis of dietary Bacillus spp. on serum biochemical and antioxidant status and egg quality of laying hens
- Biochemical characterization of trypsin from Indonesian skipjack tuna (Katsuwonus pelamis) viscera
- Determination of C-factor for conventional cultivation and soil conservation technique used in hop gardens
- Empowering farmers: Unveiling the economic impacts of contract farming on red chilli farmers’ income in Magelang District, Indonesia
- Evaluating salt tolerance in fodder crops: A field experiment in the dry land
- Labor productivity of lowland rice (Oryza sativa L.) farmers in Central Java Province, Indonesia
- Cropping systems and production assessment in southern Myanmar: Informing strategic interventions
- The effect of biostimulants and red mud on the growth and yield of shallots in post-unlicensed gold mining soil
- Effects of dietary Adansonia digitata L. (baobab) seed meal on growth performance and carcass characteristics of broiler chickens: A systematic review and meta-analysis
- Analysis and structural characterization of the vid-pisco market
- Pseudomonas fluorescens SP007s enhances defense responses against the soybean bacterial pustule caused by Xanthomonas axonopodis pv. glycines
- A brief investigation on the prospective of co-composted biochar as a fertilizer for Zucchini plants cultivated in arid sandy soil
- Supply chain efficiency of red chilies in the production center of Sleman Indonesia based on performance measurement system
- Investment development path for developed economies: Is agriculture different?
- Power relations among actors in laying hen business in Indonesia: A MACTOR analysis
- High-throughput digital imaging and detection of morpho-physiological traits in tomato plants under drought
- Converting compression ignition engine to dual-fuel (diesel + CNG) engine and experimentally investigating its performance and emissions
- Structuration, risk management, and institutional dynamics in resolving palm oil conflicts
- Spacing strategies for enhancing drought resilience and yield in maize agriculture
- Composition and quality of winter annual agrestal and ruderal herbages of two different land-use types
- Investigating Spodoptera spp. diversity, percentage of attack, and control strategies in the West Java, Indonesia, corn cultivation
- Yield stability of biofertilizer treatments to soybean in the rainy season based on the GGE biplot
- Evaluating agricultural yield and economic implications of varied irrigation depths on maize yield in semi-arid environments, at Birfarm, Upper Blue Nile, Ethiopia
- Chemometrics for mapping the spatial nitrate distribution on the leaf lamina of fenugreek grown under varying nitrogenous fertilizer doses
- Pomegranate peel ethanolic extract: A promising natural antioxidant, antimicrobial agent, and novel approach to mitigate rancidity in used edible oils
- Transformative learning and engagement with organic farming: Lessons learned from Indonesia
- Tourism in rural areas as a broader concept: Some insights from the Portuguese reality
- Assessment enhancing drought tolerance in henna (Lawsonia inermis L.) ecotypes through sodium nitroprusside foliar application
- Edible insects: A survey about perceptions regarding possible beneficial health effects and safety concerns among adult citizens from Portugal and Romania
- Phenological stages analysis in peach trees using electronic nose
- Harvest date and salicylic acid impact on peanut (Arachis hypogaea L.) properties under different humidity conditions
- Hibiscus sabdariffa L. petal biomass: A green source of nanoparticles of multifarious potential
- Use of different vegetation indices for the evaluation of the kinetics of the cherry tomato (Solanum lycopersicum var. cerasiforme) growth based on multispectral images by UAV
- First evidence of microplastic pollution in mangrove sediments and its ingestion by coral reef fish: Case study in Biawak Island, Indonesia
- Physical and textural properties and sensory acceptability of wheat bread partially incorporated with unripe non-commercial banana cultivars
- Cereibacter sphaeroides ST16 and ST26 were used to solubilize insoluble P forms to improve P uptake, growth, and yield of rice in acidic and extreme saline soil
- Avocado peel by-product in cattle diets and supplementation with oregano oil and effects on production, carcass, and meat quality
- Optimizing inorganic blended fertilizer application for the maximum grain yield and profitability of bread wheat and food barley in Dawuro Zone, Southwest Ethiopia
- The acceptance of social media as a channel of communication and livestock information for sheep farmers
- Adaptation of rice farmers to aging in Thailand
- Combined use of improved maize hybrids and nitrogen application increases grain yield of maize, under natural Striga hermonthica infestation
- From aquatic to terrestrial: An examination of plant diversity and ecological shifts
- Statistical modelling of a tractor tractive performance during ploughing operation on a tropical Alfisol
- Participation in artisanal diamond mining and food security: A case study of Kasai Oriental in DR Congo
- Assessment and multi-scenario simulation of ecosystem service values in Southwest China’s mountainous and hilly region
- Analysis of agricultural emissions and economic growth in Europe in search of ecological balance
- Bacillus thuringiensis strains with high insecticidal activity against insect larvae of the orders Coleoptera and Lepidoptera
- Technical efficiency of sugarcane farming in East Java, Indonesia: A bootstrap data envelopment analysis
- Comparison between mycobiota diversity and fungi and mycotoxin contamination of maize and wheat
- Evaluation of cultivation technology package and corn variety based on agronomy characters and leaf green indices
- Exploring the association between the consumption of beverages, fast foods, sweets, fats, and oils and the risk of gastric and pancreatic cancers: Findings from case–control study
- Phytochemical composition and insecticidal activity of Acokanthera oblongifolia (Hochst.) Benth & Hook.f. ex B.D.Jacks. extract on life span and biological aspects of Spodoptera littoralis (Biosd.)
- Land use management solutions in response to climate change: Case study in the central coastal areas of Vietnam
- Evaluation of coffee pulp as a feed ingredient for ruminants: A meta-analysis
- Interannual variations of normalized difference vegetation index and potential evapotranspiration and their relationship in the Baghdad area
- Harnessing synthetic microbial communities with nitrogen-fixing activity to promote rice growth
- Agronomic and economic benefits of rice–sweetpotato rotation in lowland rice cropping systems in Uganda
- Response of potato tuber as an effect of the N-fertilizer and paclobutrazol application in medium altitude
- Bridging the gap: The role of geographic proximity in enhancing seed sustainability in Bandung District
- Evaluation of Abrams curve in agricultural sector using the NARDL approach
- Challenges and opportunities for young farmers in the implementation of the Rural Development Program 2014–2020 of the Republic of Croatia
- Yield stability of ten common bean (Phaseolus vulgaris L.) genotypes at different sowing dates in Lubumbashi, South-East of DR Congo
- Effects of encapsulation and combining probiotics with different nitrate forms on methane emission and in vitro rumen fermentation characteristics
- Phytochemical analysis of Bienertia sinuspersici extract and its antioxidant and antimicrobial activities
- Evaluation of relative drought tolerance of grapevines by leaf fluorescence parameters
- Yield assessment of new streak-resistant topcross maize hybrids in Benin
- Improvement of cocoa powder properties through ultrasonic- and microwave-assisted alkalization
- Potential of ecoenzymes made from nutmeg (Myristica fragrans) leaf and pulp waste as bioinsecticides for Periplaneta americana
- Analysis of farm performance to realize the sustainability of organic cabbage vegetable farming in Getasan Semarang, Indonesia
- Revealing the influences of organic amendment-derived dissolved organic matter on growth and nutrient accumulation in lettuce seedlings (Lactuca sativa L.)
- Identification of viruses infecting sweetpotato (Ipomoea batatas Lam.) in Benin
- Assessing the soil physical and chemical properties of long-term pomelo orchard based on tree growth
- Investigating access and use of digital tools for agriculture among rural farmers: A case study of Nkomazi Municipality, South Africa
- Does sex influence the impact of dietary vitD3 and UVB light on performance parameters and welfare indicators of broilers?
- Design of intelligent sprayer control for an autonomous farming drone using a multiclass support vector machine
- Deciphering salt-responsive NB-ARC genes in rice transcriptomic data: A bioinformatics approach with gene expression validation
- Review Articles
- Impact of nematode infestation in livestock production and the role of natural feed additives – A review
- Role of dietary fats in reproductive, health, and nutritional benefits in farm animals: A review
- Climate change and adaptive strategies on viticulture (Vitis spp.)
- The false tiger of almond, Monosteira unicostata (Hemiptera: Tingidae): Biology, ecology, and control methods
- A systematic review on potential analogy of phytobiomass and soil carbon evaluation methods: Ethiopia insights
- A review of storage temperature and relative humidity effects on shelf life and quality of mango (Mangifera indica L.) fruit and implications for nutrition insecurity in Ethiopia
- Green extraction of nutmeg (Myristica fragrans) phytochemicals: Prospective strategies and roadblocks
- Potential influence of nitrogen fertilizer rates on yield and yield components of carrot (Dacus carota L.) in Ethiopia: Systematic review
- Corn silk: A promising source of antimicrobial compounds for health and wellness
- State and contours of research on roselle (Hibiscus sabdariffa L.) in Africa
- The potential of phosphorus-solubilizing purple nonsulfur bacteria in agriculture: Present and future perspectives
- Minor millets: Processing techniques and their nutritional and health benefits
- Meta-analysis of reproductive performance of improved dairy cattle under Ethiopian environmental conditions
- Review on enhancing the efficiency of fertilizer utilization: Strategies for optimal nutrient management
- The nutritional, phytochemical composition, and utilisation of different parts of maize: A comparative analysis
- Motivations for farmers’ participation in agri-environmental scheme in the EU, literature review
- Evolution of climate-smart agriculture research: A science mapping exploration and network analysis
- Short Communications
- Music enrichment improves the behavior and leukocyte profile of dairy cattle
- Effect of pruning height and organic fertilization on the morphological and productive characteristics of Moringa oleifera Lam. in the Peruvian dry tropics
- Corrigendum
- Corrigendum to “Bioinformatics investigation of the effect of volatile and non-volatile compounds of rhizobacteria in inhibiting late embryogenesis abundant protein that induces drought tolerance”
- Corrigendum to “Composition and quality of winter annual agrestal and ruderal herbages of two different land-use types”
- Special issue: Smart Agriculture System for Sustainable Development: Methods and Practices
- Construction of a sustainable model to predict the moisture content of porang powder (Amorphophallus oncophyllus) based on pointed-scan visible near-infrared spectroscopy
- FruitVision: A deep learning based automatic fruit grading system
- Energy harvesting and ANFIS modeling of a PVDF/GO-ZNO piezoelectric nanogenerator on a UAV
- Effects of stress hormones on digestibility and performance in cattle: A review
- Special Issue of The 4th International Conference on Food Science and Engineering (ICFSE) 2022 - Part II
- Assessment of omega-3 and omega-6 fatty acid profiles and ratio of omega-6/omega-3 of white eggs produced by laying hens fed diets enriched with omega-3 rich vegetable oil
- Special Issue on FCEM - International Web Conference on Food Choice & Eating Motivation - Part II
- Special Issue on FCEM – International Web Conference on Food Choice & Eating Motivation: Message from the editor
- Fruit and vegetable consumption: Study involving Portuguese and French consumers
- Knowledge about consumption of milk: Study involving consumers from two European Countries – France and Portugal
Artikel in diesem Heft
- Regular Articles
- Supplementation of P-solubilizing purple nonsulfur bacteria, Rhodopseudomonas palustris improved soil fertility, P nutrient, growth, and yield of Cucumis melo L.
- Yield gap variation in rice cultivation in Indonesia
- Effects of co-inoculation of indole-3-acetic acid- and ammonia-producing bacteria on plant growth and nutrition, soil elements, and the relationships of soil microbiomes with soil physicochemical parameters
- Impact of mulching and planting time on spring-wheat (Triticum aestivum) growth: A combined field experiment and empirical modeling approach
- Morphological diversity, correlation studies, and multiple-traits selection for yield and yield components of local cowpea varieties
- Participatory on-farm evaluation of new orange-fleshed sweetpotato varieties in Southern Ethiopia
- Yield performance and stability analysis of three cultivars of Gayo Arabica coffee across six different environments
- Biology of Spodoptera frugiperda (Lepidoptera: Noctuidae) on different types of plants feeds: Potency as a pest on various agricultural plants
- Antidiabetic activity of methanolic extract of Hibiscus sabdariffa Linn. fruit in alloxan-induced Swiss albino diabetic mice
- Bioinformatics investigation of the effect of volatile and non-volatile compounds of rhizobacteria in inhibiting late embryogenesis abundant protein that induces drought tolerance
- Nicotinamide as a biostimulant improves soybean growth and yield
- Farmer’s willingness to accept the sustainable zoning-based organic farming development plan: A lesson from Sleman District, Indonesia
- Uncovering hidden determinants of millennial farmers’ intentions in running conservation agriculture: An application of the Norm Activation Model
- Mediating role of leadership and group capital between human capital component and sustainability of horticultural agribusiness institutions in Indonesia
- Biochar technology to increase cassava crop productivity: A study of sustainable agriculture on degraded land
- Effect of struvite on the growth of green beans on Mars and Moon regolith simulants
- UrbanAgriKG: A knowledge graph on urban agriculture and its embeddings
- Provision of loans and credit by cocoa buyers under non-price competition: Cocoa beans market in Ghana
- Effectiveness of micro-dosing of lime on selected chemical properties of soil in Banja District, North West, Ethiopia
- Effect of weather, nitrogen fertilizer, and biostimulators on the root size and yield components of Hordeum vulgare
- Effects of selected biostimulants on qualitative and quantitative parameters of nine cultivars of the genus Capsicum spp.
- Growth, yield, and secondary metabolite responses of three shallot cultivars at different watering intervals
- Design of drainage channel for effective use of land on fully mechanized sugarcane plantations: A case study at Bone Sugarcane Plantation
- Technical feasibility and economic benefit of combined shallot seedlings techniques in Indonesia
- Control of Meloidogyne javanica in banana by endophytic bacteria
- Comparison of important quality components of red-flesh kiwifruit (Actinidia chinensis) in different locations
- Efficiency of rice farming in flood-prone areas of East Java, Indonesia
- Comparative analysis of alpine agritourism in Trentino, Tyrol, and South Tyrol: Regional variations and prospects
- Detection of Fusarium spp. infection in potato (Solanum tuberosum L.) during postharvest storage through visible–near-infrared and shortwave–near-infrared reflectance spectroscopy
- Forage yield, seed, and forage qualitative traits evaluation by determining the optimal forage harvesting stage in dual-purpose cultivation in safflower varieties (Carthamus tinctorius L.)
- The influence of tourism on the development of urban space: Comparison in Hanoi, Danang, and Ho Chi Minh City
- Optimum intra-row spacing and clove size for the economical production of garlic (Allium sativum L.) in Northwestern Highlands of Ethiopia
- The role of organic rice farm income on farmer household welfare: Evidence from Yogyakarta, Indonesia
- Exploring innovative food in a developing country: Edible insects as a sustainable option
- Genotype by environment interaction and performance stability of common bean (Phaseolus vulgaris L.) cultivars grown in Dawuro zone, Southwestern Ethiopia
- Factors influencing green, environmentally-friendly consumer behaviour
- Factors affecting coffee farmers’ access to financial institutions: The case of Bandung Regency, Indonesia
- Morphological and yield trait-based evaluation and selection of chili (Capsicum annuum L.) genotypes suitable for both summer and winter seasons
- Sustainability analysis and decision-making strategy for swamp buffalo (Bubalus bubalis carabauesis) conservation in Jambi Province, Indonesia
- Understanding factors affecting rice purchasing decisions in Indonesia: Does rice brand matter?
- An implementation of an extended theory of planned behavior to investigate consumer behavior on hygiene sanitation-certified livestock food products
- Information technology adoption in Indonesia’s small-scale dairy farms
- Draft genome of a biological control agent against Bipolaris sorokiniana, the causal phytopathogen of spot blotch in wheat (Triticum turgidum L. subsp. durum): Bacillus inaquosorum TSO22
- Assessment of the recurrent mutagenesis efficacy of sesame crosses followed by isolation and evaluation of promising genetic resources for use in future breeding programs
- Fostering cocoa industry resilience: A collaborative approach to managing farm gate price fluctuations in West Sulawesi, Indonesia
- Field investigation of component failures for selected farm machinery used in small rice farming operations
- Near-infrared technology in agriculture: Rapid, simultaneous, and non-destructive determination of inner quality parameters on intact coffee beans
- The synergistic application of sucrose and various LED light exposures to enhance the in vitro growth of Stevia rebaudiana (Bertoni)
- Weather index-based agricultural insurance for flower farmers: Willingness to pay, sales, and profitability perspectives
- Meta-analysis of dietary Bacillus spp. on serum biochemical and antioxidant status and egg quality of laying hens
- Biochemical characterization of trypsin from Indonesian skipjack tuna (Katsuwonus pelamis) viscera
- Determination of C-factor for conventional cultivation and soil conservation technique used in hop gardens
- Empowering farmers: Unveiling the economic impacts of contract farming on red chilli farmers’ income in Magelang District, Indonesia
- Evaluating salt tolerance in fodder crops: A field experiment in the dry land
- Labor productivity of lowland rice (Oryza sativa L.) farmers in Central Java Province, Indonesia
- Cropping systems and production assessment in southern Myanmar: Informing strategic interventions
- The effect of biostimulants and red mud on the growth and yield of shallots in post-unlicensed gold mining soil
- Effects of dietary Adansonia digitata L. (baobab) seed meal on growth performance and carcass characteristics of broiler chickens: A systematic review and meta-analysis
- Analysis and structural characterization of the vid-pisco market
- Pseudomonas fluorescens SP007s enhances defense responses against the soybean bacterial pustule caused by Xanthomonas axonopodis pv. glycines
- A brief investigation on the prospective of co-composted biochar as a fertilizer for Zucchini plants cultivated in arid sandy soil
- Supply chain efficiency of red chilies in the production center of Sleman Indonesia based on performance measurement system
- Investment development path for developed economies: Is agriculture different?
- Power relations among actors in laying hen business in Indonesia: A MACTOR analysis
- High-throughput digital imaging and detection of morpho-physiological traits in tomato plants under drought
- Converting compression ignition engine to dual-fuel (diesel + CNG) engine and experimentally investigating its performance and emissions
- Structuration, risk management, and institutional dynamics in resolving palm oil conflicts
- Spacing strategies for enhancing drought resilience and yield in maize agriculture
- Composition and quality of winter annual agrestal and ruderal herbages of two different land-use types
- Investigating Spodoptera spp. diversity, percentage of attack, and control strategies in the West Java, Indonesia, corn cultivation
- Yield stability of biofertilizer treatments to soybean in the rainy season based on the GGE biplot
- Evaluating agricultural yield and economic implications of varied irrigation depths on maize yield in semi-arid environments, at Birfarm, Upper Blue Nile, Ethiopia
- Chemometrics for mapping the spatial nitrate distribution on the leaf lamina of fenugreek grown under varying nitrogenous fertilizer doses
- Pomegranate peel ethanolic extract: A promising natural antioxidant, antimicrobial agent, and novel approach to mitigate rancidity in used edible oils
- Transformative learning and engagement with organic farming: Lessons learned from Indonesia
- Tourism in rural areas as a broader concept: Some insights from the Portuguese reality
- Assessment enhancing drought tolerance in henna (Lawsonia inermis L.) ecotypes through sodium nitroprusside foliar application
- Edible insects: A survey about perceptions regarding possible beneficial health effects and safety concerns among adult citizens from Portugal and Romania
- Phenological stages analysis in peach trees using electronic nose
- Harvest date and salicylic acid impact on peanut (Arachis hypogaea L.) properties under different humidity conditions
- Hibiscus sabdariffa L. petal biomass: A green source of nanoparticles of multifarious potential
- Use of different vegetation indices for the evaluation of the kinetics of the cherry tomato (Solanum lycopersicum var. cerasiforme) growth based on multispectral images by UAV
- First evidence of microplastic pollution in mangrove sediments and its ingestion by coral reef fish: Case study in Biawak Island, Indonesia
- Physical and textural properties and sensory acceptability of wheat bread partially incorporated with unripe non-commercial banana cultivars
- Cereibacter sphaeroides ST16 and ST26 were used to solubilize insoluble P forms to improve P uptake, growth, and yield of rice in acidic and extreme saline soil
- Avocado peel by-product in cattle diets and supplementation with oregano oil and effects on production, carcass, and meat quality
- Optimizing inorganic blended fertilizer application for the maximum grain yield and profitability of bread wheat and food barley in Dawuro Zone, Southwest Ethiopia
- The acceptance of social media as a channel of communication and livestock information for sheep farmers
- Adaptation of rice farmers to aging in Thailand
- Combined use of improved maize hybrids and nitrogen application increases grain yield of maize, under natural Striga hermonthica infestation
- From aquatic to terrestrial: An examination of plant diversity and ecological shifts
- Statistical modelling of a tractor tractive performance during ploughing operation on a tropical Alfisol
- Participation in artisanal diamond mining and food security: A case study of Kasai Oriental in DR Congo
- Assessment and multi-scenario simulation of ecosystem service values in Southwest China’s mountainous and hilly region
- Analysis of agricultural emissions and economic growth in Europe in search of ecological balance
- Bacillus thuringiensis strains with high insecticidal activity against insect larvae of the orders Coleoptera and Lepidoptera
- Technical efficiency of sugarcane farming in East Java, Indonesia: A bootstrap data envelopment analysis
- Comparison between mycobiota diversity and fungi and mycotoxin contamination of maize and wheat
- Evaluation of cultivation technology package and corn variety based on agronomy characters and leaf green indices
- Exploring the association between the consumption of beverages, fast foods, sweets, fats, and oils and the risk of gastric and pancreatic cancers: Findings from case–control study
- Phytochemical composition and insecticidal activity of Acokanthera oblongifolia (Hochst.) Benth & Hook.f. ex B.D.Jacks. extract on life span and biological aspects of Spodoptera littoralis (Biosd.)
- Land use management solutions in response to climate change: Case study in the central coastal areas of Vietnam
- Evaluation of coffee pulp as a feed ingredient for ruminants: A meta-analysis
- Interannual variations of normalized difference vegetation index and potential evapotranspiration and their relationship in the Baghdad area
- Harnessing synthetic microbial communities with nitrogen-fixing activity to promote rice growth
- Agronomic and economic benefits of rice–sweetpotato rotation in lowland rice cropping systems in Uganda
- Response of potato tuber as an effect of the N-fertilizer and paclobutrazol application in medium altitude
- Bridging the gap: The role of geographic proximity in enhancing seed sustainability in Bandung District
- Evaluation of Abrams curve in agricultural sector using the NARDL approach
- Challenges and opportunities for young farmers in the implementation of the Rural Development Program 2014–2020 of the Republic of Croatia
- Yield stability of ten common bean (Phaseolus vulgaris L.) genotypes at different sowing dates in Lubumbashi, South-East of DR Congo
- Effects of encapsulation and combining probiotics with different nitrate forms on methane emission and in vitro rumen fermentation characteristics
- Phytochemical analysis of Bienertia sinuspersici extract and its antioxidant and antimicrobial activities
- Evaluation of relative drought tolerance of grapevines by leaf fluorescence parameters
- Yield assessment of new streak-resistant topcross maize hybrids in Benin
- Improvement of cocoa powder properties through ultrasonic- and microwave-assisted alkalization
- Potential of ecoenzymes made from nutmeg (Myristica fragrans) leaf and pulp waste as bioinsecticides for Periplaneta americana
- Analysis of farm performance to realize the sustainability of organic cabbage vegetable farming in Getasan Semarang, Indonesia
- Revealing the influences of organic amendment-derived dissolved organic matter on growth and nutrient accumulation in lettuce seedlings (Lactuca sativa L.)
- Identification of viruses infecting sweetpotato (Ipomoea batatas Lam.) in Benin
- Assessing the soil physical and chemical properties of long-term pomelo orchard based on tree growth
- Investigating access and use of digital tools for agriculture among rural farmers: A case study of Nkomazi Municipality, South Africa
- Does sex influence the impact of dietary vitD3 and UVB light on performance parameters and welfare indicators of broilers?
- Design of intelligent sprayer control for an autonomous farming drone using a multiclass support vector machine
- Deciphering salt-responsive NB-ARC genes in rice transcriptomic data: A bioinformatics approach with gene expression validation
- Review Articles
- Impact of nematode infestation in livestock production and the role of natural feed additives – A review
- Role of dietary fats in reproductive, health, and nutritional benefits in farm animals: A review
- Climate change and adaptive strategies on viticulture (Vitis spp.)
- The false tiger of almond, Monosteira unicostata (Hemiptera: Tingidae): Biology, ecology, and control methods
- A systematic review on potential analogy of phytobiomass and soil carbon evaluation methods: Ethiopia insights
- A review of storage temperature and relative humidity effects on shelf life and quality of mango (Mangifera indica L.) fruit and implications for nutrition insecurity in Ethiopia
- Green extraction of nutmeg (Myristica fragrans) phytochemicals: Prospective strategies and roadblocks
- Potential influence of nitrogen fertilizer rates on yield and yield components of carrot (Dacus carota L.) in Ethiopia: Systematic review
- Corn silk: A promising source of antimicrobial compounds for health and wellness
- State and contours of research on roselle (Hibiscus sabdariffa L.) in Africa
- The potential of phosphorus-solubilizing purple nonsulfur bacteria in agriculture: Present and future perspectives
- Minor millets: Processing techniques and their nutritional and health benefits
- Meta-analysis of reproductive performance of improved dairy cattle under Ethiopian environmental conditions
- Review on enhancing the efficiency of fertilizer utilization: Strategies for optimal nutrient management
- The nutritional, phytochemical composition, and utilisation of different parts of maize: A comparative analysis
- Motivations for farmers’ participation in agri-environmental scheme in the EU, literature review
- Evolution of climate-smart agriculture research: A science mapping exploration and network analysis
- Short Communications
- Music enrichment improves the behavior and leukocyte profile of dairy cattle
- Effect of pruning height and organic fertilization on the morphological and productive characteristics of Moringa oleifera Lam. in the Peruvian dry tropics
- Corrigendum
- Corrigendum to “Bioinformatics investigation of the effect of volatile and non-volatile compounds of rhizobacteria in inhibiting late embryogenesis abundant protein that induces drought tolerance”
- Corrigendum to “Composition and quality of winter annual agrestal and ruderal herbages of two different land-use types”
- Special issue: Smart Agriculture System for Sustainable Development: Methods and Practices
- Construction of a sustainable model to predict the moisture content of porang powder (Amorphophallus oncophyllus) based on pointed-scan visible near-infrared spectroscopy
- FruitVision: A deep learning based automatic fruit grading system
- Energy harvesting and ANFIS modeling of a PVDF/GO-ZNO piezoelectric nanogenerator on a UAV
- Effects of stress hormones on digestibility and performance in cattle: A review
- Special Issue of The 4th International Conference on Food Science and Engineering (ICFSE) 2022 - Part II
- Assessment of omega-3 and omega-6 fatty acid profiles and ratio of omega-6/omega-3 of white eggs produced by laying hens fed diets enriched with omega-3 rich vegetable oil
- Special Issue on FCEM - International Web Conference on Food Choice & Eating Motivation - Part II
- Special Issue on FCEM – International Web Conference on Food Choice & Eating Motivation: Message from the editor
- Fruit and vegetable consumption: Study involving Portuguese and French consumers
- Knowledge about consumption of milk: Study involving consumers from two European Countries – France and Portugal