Al 5251-based hybrid nanocomposite by FSP reinforced with graphene nanoplates and boron nitride nanoparticles: Microstructure, wear, and mechanical characterization
Abstract
The strength and wear resistance of aluminium alloys must be improved to enhance their usage in lightweight constructions. Thus, in this study, graphene nanoplates (GNPs) and boron nitride (BN) nanoparticles were reinforced into the Al 5251 aluminium alloy by friction stir processing (FSP). The Al 5251 aluminum alloy sheets were patterned with holes and filled by mono GNPs, mono BN nanoparticles and a hybrid of BN nanoparticles and GNPs. The microstructure, wear, and mechanical properties of the as-received, after FSP, and the manufactured surface nanocomposites were analysed. Wear tests were performed using two methods: weight loss and volume loss methods. FSP led to four times grain refinement. Due to the Zener pinning effect, the reinforcement nanoparticles improved the grain refinement effect by seven times decrease in the mean grain size. The wear rate by volume and weight loss with reinforcing BN nanoparticles decreased by 160 and 1,340%, respectively. Note that the GNP reinforcement insignificantly improved the wear resistance and hardness compared with the BN nanoparticles. The hardness was increased by 50, 120, and 80% by reinforcing the Al 5251 alloy with GNPs, BN, and a hybrid of BN nanoparticles and GNPs, respectively. The nanocomposite reinforced with GNPs exhibited superior mechanical properties compared to the other nanocomposites.
Nomenclature
- Al2O3
-
aluminum oxide
- AMMCs
-
metal matrix composite
- AS
-
advancing side
- BM
-
base metal
- BN
-
boron nitride
- CNT
-
carbon nanotube
- DRX
-
dynamic recrystallization
- FSP
-
friction stir processing
- GNPs
-
graphene nanoplates
- HAZ
-
heat-affected zone
- MWCNT
-
multiwall carbon nanotube
- NG
-
nugget zone
- OM
-
optical microscopy
- RS
-
retreating side
- SD
-
standard deviation
- SEM
-
scanning electron microscopy
- SiC
-
silicon carbide
- SZ
-
nugget or stirred zone
- TEM
-
transmission electron microscopy
- TMAZ
-
thermomechanical affected zone
- UTS
-
ultimate tensile strength
- WC
-
tungsten carbide
1 Introduction
Graphene is a two-dimensional single-layer crystalline material composed of carbon atoms. Its unique mechanical, electrical, and thermal properties have recently attracted considerable research attention [1,2,3,4]. Because of its large aspect area ratio, superior thermal and mechanical properties, and lightweight, graphene is incorporated as a practicable reinforcement material for aluminium metal–matrix composites (AMMCs) [5,6,7]. However, the dispersion of graphene in an AMMC is a major challenge in the fabrication of the nanocomposite matrix. Owing to its elastic incompatibility, the loss of interface bonding at the graphene/aluminium matrix creates a weak interfacial adhesion and degrades the AMMC’s mechanical performance. Graphene is exceptionally hard compared with other reinforcements due to its high interfacial surface [4,8,9,10]. In contrast, due to its good thermal, mechanical, and physical properties, in addition to its excellent lubricating property, boron nitride (BN) nanoparticles are most commonly used for strengthening AMMCs [11,12].
Despite their high specific strength and superior thermal and electrical conductivities, aluminium-based alloys have limited application due to their low hardness and poor wear resistance. Their tribological properties can be significantly enhanced by reinforcing them with ceramic nano/microparticles. These reinforcements exhibit high wear and hardness characteristics and significantly improve the base aluminium alloys’ mechanical performance [13]. For example, tungsten nanoparticles were used to reinforce Al 5182 alloy using friction stir welding; the fabrication processes, which were carried out at different traverse speeds, revealed an indirect relation between the reverse tool speed and ultimate tensile strength. In contrast, the nugget zone’s hardness is directly proportional to the tool traverse speed [14].
Graphene is one of the most common reinforcing nanoparticles used to fabricate metal–matrix nanocomposites. The friction and wear resistance properties of the Al 5000 series are enhanced by impeding graphene nanoplates (GNPs) into the base alloy through friction stir processing (FSP). In addition, GNPs are incorporated into the Al–Mg alloy to improve its tensile strength and obtain microstructure grain refinement. Due to the generation of a lubricant layer during the sliding surfaces’ FSP, the addition of GNPs reduces the friction coefficient by up to 60% compared to that of the base alloy [15,16].
The hybrid composite matrix of Al 5056_SiC_bagasse ash was fabricated using the stir cast method. The addition of 3% silicon additives did not significantly affect the composite matrix; hence, it did not increase the hybrid composite’s hardness; even the addition of 10% additive did not have any significant effect. In contrast, the wear resistance was increased by the addition of a low percentage of bagasse ash [17]. Fabricating an AMMC with uniformly distributed reinforcing particles has a been major challenge recently. FSP is an efficient technique for producing fully homogenized stirred nanocomposite materials [18,19,20,21,22].
The processing parameters of FSP have a significant impact on the mechanical properties and microstructural behaviour of AMMCs; thus, significant efforts have been made to establish a relation between the FSP parameters and the structure and properties of fabricated AMMCs [23,24,25]. The wear and hardness properties of the hybrid composite materials were significantly improved owing to the superior properties of the reinforcement components. However, these particles also produced some undesirable effects, such as decreased strain, ductility, and deformability [26,27,28]. In the case of composites fabricated by FSP, hybrid reinforcements were employed to improve the surface characteristics of the Al matrix by impeding different types of reinforcement particles into the base matrix [29,30,31]. The combination of two different types of reinforced particles improved the microhardness, strength, and wear resistance of the manufactured composite [32,33]. Therefore, in the current study, two distinct reinforced nanoparticles, GNPs and BN nanoparticles were used to create hybrid metal–matrix nanocomposites. The literature has focused on the microstructure and mechanical characteristics of nanocomposites. However, the effects of hybrid nanoparticles on the tribological and mechanical characteristics of the hybridization matrices subjected to FSP have not been studied.
We studied the Al 5251 AMMCs reinforced with mono BN nanoparticles, mono GNPs, and hybrid GNPs and BN nanoparticles and fabricated them using the FSP technique. In addition, we compared the fabricated composites and as-received samples subjected to FSP based on microstructural analysis, tribological behaviour, and mechanical properties to identify the most influential reinforcement that significantly impacts the wear behaviour besides the refinement and mechanical properties. This research aims to study how incorporating two different reinforcement nanoparticles belonging to the same family impacts the fabricated metal–matrix nanocomposite.
2 Experimental work
Al 5251 alloy was used as the matrix for the fabricated nanocomposites. The chemical composition of this alloy is shown in Table 1.
Chemical composition of Al 5251 aluminium alloy (wt%)
| Mg | Fe | Cr | Mn | Ti | Si | Cu | Al |
|---|---|---|---|---|---|---|---|
| 1.83 | 0.55 | 0.21 | 0.058 | 0.03 | 0.2 | 0.1 | Remain |
FSP was used to manufacture the surface nanocomposite on the Al 5251 aluminium alloy plates prepared and machined using a milling machine (Bridgeport, Elmira, NY, USA) to create a set of holes in a linear pattern, as shown in Figure 1(a).

(a) Schematic of the fabrication process of the nanocomposite and (b) tool design used for FSP. All dimensions are in mm.
Two scenarios were used to insert GNPs and BN nanoparticles into the grooved holes: the first scenario used a single additive (mono nanocomposites) and the second scenario used a mixture of GNPs and BN nanoparticles (hybrid nanocomposite). The hybrids were equally divided and well-stirred into the mixture before being inserted into the base matrix holes. FSP was conducted on an automated milling machine under the following conditions: the tilt angle was set to 1°, the linear travelling speed was 30 mm/min, and the tool rotation speed was 1,125 rpm. The stirring action was performed with a triangular pin tool. The design and dimensions of the tool are illustrated in Figure 1(b).
Transmission electron microscopy (TEM; JEOL, Tokyo, Japan) was used to examine the parameters of GNPs and BN nanoparticles (Figure 2). The average particle size of the BN nanoparticles was 100 ± 5 nm, and the GNPs were 7 ± 0.6 nm thick and 5 ± 0.5 μm wide. The BN nanoparticles and GNPs used in this study were purchased from Nanoshel-UK-Ltd. Company (Congleton, UK) with a purity of >99%. The total volume of the manufactured surface nanocomposite can be computed using equations (1) and (2):

TEM images of (a) BN nanoparticles and (b) GNPs.
The volume of the used nanoceramics and the matrix can be calculated using equations (3) and (4):
The volume fraction of the used nanoceramics and the matrix can be calculated using equations (5) and (6):
The volume
The microstructures of the as-received and processed samples were analysed. The samples were partitioned perpendicular to the processing direction, mechanically ground, polished, and etched using metallurgical standard agents. The prepared samples were analysed using an optical microscope Olympus (Olympus BX51, Miami, FL, USA) and a scanning electron microscope (Tescan Brno s.r.o., Kohoutovice, Czech Republic) coupled with an energy dispersive spectrometer (EDS, X-MAX80) system. Vickers micro-hardness tests were conducted using a ZwickRoell (Zwick/Roell, Kennesaw, GA, USA) testing mashing, as per the ASTM E-384-17 standard. Before the hardness test, the samples were ground and polished. Vickers micro-hardness measurements were taken throughout the sample surface in all processing regions to create the hardness profile.
The wear tests were performed using two different methods to ensure the wear behaviour of the hybrid composite metal matrix. The first technique was based on the wear volume loss rate, and the second method used the weight loss technique. The wear behaviour of the base sample fabricated by FSP was evaluated using a pin-on-disk tribometer (CSM Instruments SA Rue de la Gare 42034 Peseux - Switzerland) tester with the volume loss technique at room temperature. The weight loss rate of wear was determined using the TNO equipment (Delft, The Netherlands). The specimens were weighed and measured using a digital scale with a 0.0001 g precision. All samples were polished with various grades of SiC grinding papers ranging from 600 to 4,000. The test was carried out at a constant load of 10 N. The radius of the travelling pin was 2 mm, and the linear speed was 0.1 cm/s. The friction coefficient was calculated from the normal load ratio and the friction force between the steel pin and sample. In contrast, the worn track was measured by a Stylus Profiler System (Dektak XTL Stylus Profiler System, Bruker, Bremen, Germany) at different locations through the wear track. An optical microscope was used to examine the worn track at high magnifications to determine the wear behaviour of different fabricated samples.
The tensile tests were performed using a Zwick/Roell Z250 all-round series testing machine (Zwick/Roell, Kennesaw, GA, USA) according to ASTM B557M-15 [34]. Three tensile samples of each composite were tested (Figure 2d), and the average of these three data points was used to obtain the reported value.
3 Results and discussion
3.1 Microstructural analysis
Figure 3 illustrates the micrographs of the as-received Al 5251 alloy, the cross-sections of the samples subjected to FSP, and the statistical quantity analysis of the grains.

Microstructure of (a) as-received Al 5251 alloy, (b) after FSP, (c) advancing side, and (d) retreating side; (e) grain size distribution of the as-received alloy and (f) grain size distribution of SZ after FSP.
The as-received Al 5251 alloy exhibited elongated grains with an average grain size of 60 μm and a standard deviation (SD) of 25 μm. The aspect ratio of the grains in the as-received state was 1.8. The high SD value suggested nonuniform grain size distribution (Figure 3e). The FSP zone structure was composed of (1) nugget or a stirred zone (SZ), (2) thermomechanical-affected zone, and (3) thermal-affected zone (Figure 4a). During FSP, owing to friction and severe plastic deformation, the SZ was heated intensely, resulting in a dynamically recrystallized (DRX) microstructure with a mean grain size of 15 μm and an SD of 4 μm. Therefore, the SZ exhibited a more uniform, equiaxed (aspect ratio = 1.03), and fine-grained structure than the as-rolled sheet (Figure 3b and c). The SZ grains were typically distributed in size, reflecting the structure’s homogenization during FSP (Figure 3f).

Microstructure and frequency distribution of the grain size of the matrix alloy reinforced with (a and b) mono GNPs, (c and d) mono BN nanoparticles, and (e and f) hybrid of BN nanoparticles and GNPs.
Figure 4 shows the SZ’s microstructure, reinforced with GNPs, BN nanoparticles, and hybrid BN nanoparticles + GNPs, and the grains’ statistical quantity analysis. Reinforcing the base metal with different nanoparticles changed the grain morphology and size. Generally, AMMCs demonstrate a finer and more equiaxed grain structure (Figure 4a, c and, e). The SDs of the grain size of the AMMCs were 3.5, 3.7, and 3.7 μm for mono GPNs (Figure 4b), mono BN nanoparticles (Figure 4d), and the hybrid of BN nanoparticles + GNPs (Figure 4f), respectively. The grains were normally distributed about the mean value, which suggested the homogenous distribution of the equiaxed grains. The aspect ratio of the grains in all manufactured composites was the same (i.e. 1.02).
Figure 5 illustrates the mean grain sizes for the as-rolled alloy and friction SZ of the primary material and the studied AMMCs. Reinforcing particles improved the grain refining effect in the SZ. The mean grain sizes of the mono GPNs, mono BN nanoparticles, and hybrid of BN nanoparticle + GNPs were 11.2 ± 3.5, 12.3 ± 3.7, and 13.0 ± 3.7 μm, respectively. Under the Zener pinning effect, the nanoparticles inhibited grain growth during DRX, resulting in a more refined grain structure formation.

Average grain size of the as-received BM and friction SZ without and with different reinforcements nanoparticles.
Figure 6 shows the SEM micrographs of the studied nanocomposites in the friction SZ. The bonding among AMMCs, BN nanoparticles, and GNPs was observed. The EDS spectra analysis was performed on all SEM images of the manufactured surface nanocomposites (Figure 6). The EDS results confirmed the presence of both reinforcements in the hybrid composite. The BN distribution in the Al 5251_BN composite was uniform after FSP, whereas GNPs were not uniformly distributed in the manufactured composite due to their lubricating nature during FSP (Figure 6a and b). This causes a lack of dispersion for GNPs; hence, it is expected to influence the hardness and mechanical properties of the manufactured AMMCs. The nanocomposite matrix of hybrid Al 5251_BN + GNPs was affected by GNP distribution; however, the BN nanoparticles were dispersed well in the matrix (Figure 6c). The SEM images were scanned at two different magnifications: the main image was captured at low magnification of 7,500×, and the subset figures were scanned at a high magnification of 15,000×.

SEM image of the fabricated nanocomposites: (a) Al 5251_GNPs, (b) Al 5251_BN, and (c) Al 5251_BN + GNPs.
The EDS mapping analysis was conducted to examine the distribution of reinforcements, as well as the undesired nanoclusters, and the agglomeration of the reinforced nanoparticles. Figure 7 shows the EDS mapping after FSP in the SZ without reinforcements (Figure 7a) and with reinforcement with GNPs (Figure 7b), BN nanoparticles (Figure 7c), and a hybrid of GNPs and BN nanoparticles (Figure 7d). The EDS maps reveal the existence of reinforced particles in the SZ in addition to the alloy’s major alloying components and phases. All samples showed a uniform distribution of reinforcement nanoparticles inside the SZ, with no evidence of significant clustering.

EDS mapping analysis in SZ (a) after FSP without reinforcements and reinforced with (b) GNPs, (c) BN nanoparticles, and (d) hybrid of GNPs and BN nanoparticles.
3.2 Microhardness
Figure 8 shows the Vickers microhardness profiles and a mean value for the as-processed Al 5251 alloy and the SZ of the basic alloy and the studied AMMCs. The as-processed BN nanoparticles exhibited an average Vickers microhardness of 52 ± 2 HV. The hardness of the samples subjected to FSP was increased (63 ± 3 HV) due to good dispersion and distribution of Mg2Al3 intermetallic precipitates [35] (Figure 8b). The hardness in the composite area increased significantly. The average values of the measured microhardness in the SZ of the composite layer reinforced by mono GNPs, mono BN nanoparticles, and a hybrid of BN nanoparticles + GNPs were 75 ± 3, 112 ± 4, and 93 ± 4 HV, respectively. The enhancement in hardness was attributed to the grain structure refining and the presence of hard particles. The nanocomposite reinforced with BN nanoparticles exhibited the highest hardness values, followed by that reinforced with a hybrid of BN nanoparticles and GNPs, and then GNP nanocomposite. The mean grain size significantly impacts the enhancement of hardness based on the Hall–Petch relation. The homogeneity of AMMC grains after FSP also improved the hardness in the SZ.

(a) Vickers microhardness profile and (b) the average Vickers microhardness in the BM and the SZ.
3.3 Mechanical properties
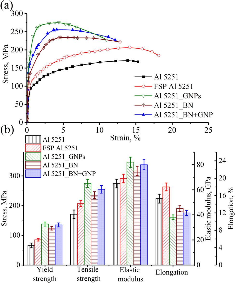
Figure 9 illustrates the stress–strain curves and mechanical properties of AMMCs before and after FSP and those of the manufactured nanocomposites. Each set of data is the average of three specimens. The Al 5251 aluminium alloy sheets exhibited yield strength, tensile strength, Young’s modulus, and elongation to failure of 66 MPa, 171 MPa, 64 GPa, and 15.3%, respectively (Figure 9a and b). After FSP, the microstructure of the processed zone was enhanced, resulting in improvement in the mechanical properties and plasticity; the elongation to failure was increased to 18%. Moreover, finer grains and increased grain boundaries resulted in stronger resistance to dislocation motion. The Hall–Petch equation describes the strengthening mechanism by the grain boundary; this was achieved after FSP. The reinforcing of the nanoparticles within the matrix significantly enhanced the mechanical properties of the manufactured composites, indicating a significant impact of the nanoparticles on the manufactured nanocomposites. However, this reinforcement decreased the plasticity. The yield strength and modulus of elasticity were enhanced for all manufactured nanocomposites. The nanoparticles present in the SZ acted as obstacles for dislocation motions, increasing the mechanical properties of the manufactured composites. The large specific surface area of GNPs led to good interfacial adhesion between them and the matrix, which improved the mechanical properties of Al 5251_GNPs and the Al 5251_BN + GNP nanocomposite. The maximum ultimate tensile strength was obtained for the nanocomposite reinforced with GNPs.

(a) True stress-strain curves; (b) tensile properties of the investigated hybrid composites.
3.4 Wear behaviour
The wear test was carried out using a tribometer tester to calculate the wear rate and coefficient of friction (COF). At the beginning of the test, the wear rate results recorded a short transient response and then reached steady-state wear rate behaviour, as shown in Figure 10. As shown in the COF profile of the worn track section, the base Al 5251 alloy and the manufactured composite reinforced with mono GNPs showed a maximum COF value (0.48) (Figure 10a and b). In contrast, the composite reinforced with mono BN nanoparticles demonstrated a minimum COF value (0.32). This effect can be attributed to the nature of the BN particles as a self-lubricant during sliding wear action [36]. The adhesion behaviour between the Al 5251_BN surface nanocomposite and the sliding wear tool is minimized due to BN’s lubrication effect. This explanation of abrasive wear type is illustrated in refs [37,38]. The COF value for the Al 5251_GNP surface nanocomposite was very close to that for the base alloy. Therefore, despite GNPs being considered a lubricant [39], they insignificantly influence the wear behaviour. The reinforcement dispersion and its distribution after FSP have a major effect on the microstructure and mechanical, wear, and hardness properties of the fabricated composites. The COF value of the Al 5251_BN + GNP nanocomposite lies in the middle of the COF values of mono GNPs and the mono BN surface nanocomposite.

Behaviour of the COF with the time of the fabricated composites.
The wear rates for the investigated Al 5251 alloy decreased with the addition of reinforcement particles. There is a direct relationship between the wear rate and hardness behaviour of composite materials; hard reinforcement particles are incorporated into the nanocomposite matrix and they increase the wear resistance.
The surfaces for the ploughing tracks generated during the dry wear sliding path are presented in Figure 11. The following are the fabricated composites: Al 5251_GNPs, Al 5251_BN, and Al 5251_BN + GNPs composites. According to the worn surfaces with high-magnification images for the investigated samples, the Al 5251 alloy wear surface demonstrated delamination and massive exfoliation, causing extreme wear (Figure 11a). The worn surfaces for Al 5251_BN (Figure 11c) and Al 5251_BN + GNPs (Figure 11d) were cleaner than that for Al 5251_GNPs (Figure 11b), and the base alloy Al 5251 resulted in the nanocomposite having a lower wear rate.

Microscopy image of the worn tracks of the tested samples using a tribometer tester: (a) as-received Al 5251 alloy, (b) Al 5251_GNPs composite, (c) Al 5251_BN composite, and (d) Al 5251_BN + GNPs composite.
Figure 12 compares the cross-sections of the wear track width profiles between the as-received Al 5251 alloy and the fabricated surface nanocomposites. The Al 5251 alloy exhibited a better larger wear profile than all composites. With the addition of mono BN nanoparticles, mono GNPs, and a hybrid of BN nanoparticles and GNPs, the wear penetration depth was decreased to approximately 45, 25, and 35 μm at 10 N load, respectively (Figure 12). There was material uplift on the inside and outside circumferences of the wear track profiles because of the steel pin penetrating the material, causing plastic deformation.

Wear profile of the investigated samples under a constant load of 10 N.
The experimental wear rate by volume loss and weight loss rates of the base Al 5251 and fabricated composites is presented in Figure 13. Using the volume loss method (Figure 13a) and weight loss method (Figure 13b), the wear rate was expectedly improved by reinforcing the studied alloy by BN nanoparticles and GNPs into the base matrix. The Al 5251 alloy exhibits a wear volume loss of 0.069 mm3 and a wear rate by weight loss of 0.0175 mg/s at a 10 N load. As explained above, BN nanoparticles play a significant role in enhancing the wear performance of the nanocomposite matrix. The mono GNPs insignificantly improve the tribological behaviour of Al 5251 alloy, while reinforcing a hybrid of GNPs and BN nanoparticles is a feasible approach for improving the action of GNPs. The results of the two wear methods differ in terms of the behaviour and mechanism of each test. Hence, the volume wear method depends on the extent to which the wear tool scratches the sample during the test. It is determined by the operation of a circular path and depends on the material strength; thus, if the composite matrix is not fully homogeneous and the reinforced particles are not distributed well, the wear results will be affected. In contrast, in the weight loss method, full friction contact to the sample surface is maintained. Hence, in the case of the weight loss method, the reinforced particles and metal matrix are subjected to wear action.

(a) Wear volume loss and (b) the wear weight-loss rate.
4 Conclusion
FSP transformed the elongated coarse-grained structure of the base Al 5251 alloy into an equiaxed and four times finer structure, with the mean grain size being decreased from 60 to 15 µm. The reinforcement nanoparticles (GNPs and BN nanoparticles) increased the refining effect. Hence, the mean grain size decreased to 11 µm for GNP reinforcement, 12 µm for BN reinforcement, and 13 µm for hybrid GNP/BN reinforcement.
The BN nanocomposites provided a superior wear resistance compared to the base alloy and other composites. The GNPs insignificantly enhanced the wear resistance due to their lubricating nature and the composite morphology difference. The wear resistance of the hybrid nanocomposite was enhanced by 40% compared to that of the base alloy. The integration between GNPs and BN particles in the Al matrix helped improve the mechanical and wear behavior of fabricated nanocomposites.
FSP increased the hardness of the as-received Al 5251 alloy by 20%. Reinforcing the surface by the BN nanoparticles, GPNs and a hybrid of nanoparticles + GNPs increased the hardness by 120, 50, and 80%, respectively.
The Al 5251_BN nanocomposite showed superior wear resistance among the investigated composites due to good uniform dispersion and homogeneity in the composite matrix during FSP. Although both BN particles and GNPs exhibit the same lubricating properties, GNPs’ morphology causes some irregular distribution of these particles during the stirring action. In contrast, the BN nanoparticles were distributed well in such a way to make the matrix resist the applied wear. The dependency criterion between hardness and resistance to wear was not found to be much reliable when investigating and comparing the mono and hybrid composites.
The mechanical properties obtained after FSP were improved in terms of both grain boundary (finer grains and more grain boundaries) and nanoparticle dispersion strengthening mechanisms. Al 5251/GNP nanocomposites exhibited the most significant yield and ultimate tensile strengths, which were 110 and 60% greater than those of the base metal. In contrast, the plasticity was decreased to 40% elongation to failure. The more improvement in the mechanical properties of Al 5251/GNPs and Al 5251/GNPs_BN is attributed to the large specific surface area of GNPs, which led to good interfacial adhesion between the AMMC and the reinforcements.
Acknowledgment
The authors extend their appreciation to the Deputyship of Research & Innovation, Ministry of Education in Saudi Arabia for funding this research work through the project number (IFPRC-201-135-2020) and King Abdulaziz University, Jeddah, Saudi Arabia.
-
Funding information: This research work was funded by an institutional fund project under grant no IFPRC-201-135-2020. The authors gratefully acknowledge technical and financial support from the ministry of education and King Abdulaziz University, DSR, Jeddah, Saudi Arabia.
-
Author contributions: All authors have accepted responsibility for the entire content of this manuscript and approved its submission.
-
Conflict of interest: The authors state no conflict of interest.
References
[1] Kumar HGP, Xavior MA. Graphene reinforced metal matrix composite (GRMMC): a review. Proc Eng. 2014;97:1033–40.10.1016/j.proeng.2014.12.381Search in Google Scholar
[2] AbuShanab WS, Moustafa EB, Ghandourah E, Taha MA. Effect of graphene nanoparticles on the physical and mechanical properties of the Al2024-graphene nanocomposites fabricated by powder metallurgy. Results Phys. 2020;19:103343.10.1016/j.rinp.2020.103343Search in Google Scholar
[3] Sharma A, Sharma VM, Paul J. Fabrication of bulk aluminum-graphene nanocomposite through friction stir alloying. J Composite Mater. 2019;54(1):45–60.10.1177/0021998319859427Search in Google Scholar
[4] Xiang S, Wang X, Gupta M, Wu K, Hu X, Zheng M. Graphene nanoplatelets induced heterogeneous bimodal structural magnesium matrix composites with enhanced mechanical properties. Sci Rep. 2016;6:38824.10.1038/srep38824Search in Google Scholar PubMed PubMed Central
[5] Moustafa EB, Taha MA. Preparation of high strength graphene reinforced Cu-based nanocomposites via mechanical alloying method: microstructural, mechanical and electrical properties. Appl Phys A. 2020;126(3):220.10.1007/s00339-020-3412-0Search in Google Scholar
[6] Li M, Zhang Z, Gao H, Wang Y, Liang J, Shu D, et al. Formation of multilayer interfaces and the load transfer in graphene nanoplatelets reinforced Al matrix composites. Mater Charact. 2020;159:110018.10.1016/j.matchar.2019.110018Search in Google Scholar
[7] Tabandeh-Khorshid M, Ajay K, Omrani E, Kim C, Rohatgi P. Synthesis, characterization, and properties of graphene reinforced metal-matrix nanocomposites. Compos Part B Eng. 2020;13:107664.10.1016/j.compositesb.2019.107664Search in Google Scholar
[8] Khorshid MT, Jahromi SAJ, Moshksar MM. Mechanical properties of tri-modal Al matrix composites reinforced by nano- and submicron-sized Al2O3 particulates developed by wet attrition milling and hot extrusion. Mater Des. 2010;31(8):3880–4.10.1016/j.matdes.2010.02.047Search in Google Scholar
[9] Jeon C-H, Jeong Y-H, Seo J-J, Tien HN, Hong S-T, Yum Y-J, et al. Material properties of graphene/aluminum metal matrix composites fabricated by friction stir processing. Int J Precis Eng Manuf. 2014;15(6):1235–9.10.1007/s12541-014-0462-2Search in Google Scholar
[10] Bhimanapati GR, Lin Z, Meunier V, Jung Y, Cha J, Das S, et al. Recent advances in two-dimensional materials beyond graphene. ACS Nano. 2015;9(12):11509–39.10.1021/acsnano.5b05556Search in Google Scholar PubMed
[11] Xue Y, Jiang B, Bourgeois L, Dai P, Mitome M, Zhang C, et al. Aluminum matrix composites reinforced with multi-walled boron nitride nanotubes fabricated by a high-pressure torsion technique. Mater Des. 2015;88:451–60.10.1016/j.matdes.2015.08.162Search in Google Scholar
[12] Gostariani R, Ebrahimi R, Asadabad MA, Paydar MH. Mechanical properties of Al/BN nanocomposites fabricated by planetary ball milling and conventional hot extrusion. Acta Metall Sin (Engl Lett). 2017;31(3):245–53.10.1007/s40195-017-0640-1Search in Google Scholar
[13] Bhat A, Budholiya S, Aravind Raj S, Sultan MTH, Hui D, Md Shah AU, et al. Review on nanocomposites based on aerospace applications. Nanotechnol Rev. 2021;10(1):237–53.10.1515/ntrev-2021-0018Search in Google Scholar
[14] Paidar M, Asgari A, Ojo OO, Saberi A. Mechanical properties and wear behavior of AA5182/WC nanocomposite fabricated by friction stir welding at different tool traverse speeds. J Mater Eng Perform. 2018;27(4):1714–24.10.1007/s11665-018-3297-7Search in Google Scholar
[15] Mondal S. Aluminum or its alloy matrix hybrid nanocomposites. Met Mater Int. 2021;27:2188–204.10.1007/s12540-020-00750-5Search in Google Scholar
[16] Arab M, Marashi SPH. Graphene nanoplatelet (GNP)-incorporated AZ31 magnesium nanocomposite: microstructural, mechanical and tribological properties. Tribol Lett. 2018;66:4.10.1007/s11249-018-1108-9Search in Google Scholar
[17] Harish TM, Mathai S, Cherian J, Mathew KM, Thomas T, Vishnu Prasad KV, et al. Development of aluminium 5056/SiC/bagasse ash hybrid composites using stir casting method. Mater Today Proc. 2020;27:2635–9.10.1016/j.matpr.2019.11.081Search in Google Scholar
[18] Moustafa E, Mohammed S, Abdel-Wanis S, Mahmoud T, El-Kady ES. Review multi pass friction stir processing. Am Sci Res J Eng Technol Sci. 2016;22(1):98–108.Search in Google Scholar
[19] Eskandari H, Taheri R. A novel technique for development of aluminum alloy matrix/TiB2/Al2O3 hybrid surface nanocomposite by friction stir processing. Proc Mater Sci. 2015;11:503–8.10.1016/j.mspro.2015.11.080Search in Google Scholar
[20] Gan YX, Solomon D, Reinbolt M. Friction stir processing of particle reinforced composite materials. Materials. 2010;3(1):329–50.10.3390/ma3010329Search in Google Scholar
[21] Moustafa E. Effect of multi-pass friction stir processing on mechanical properties for AA2024/Al2O3 nanocomposites. Mater (Basel). 2017;10:9.10.3390/ma10091053Search in Google Scholar PubMed PubMed Central
[22] Moustafa EB, Mosleh AO. Effect of (Ti–B) modifier elements and FSP on 5052 aluminum alloy. J Alloy Compd. 2020;153745.10.1016/j.jallcom.2020.153745Search in Google Scholar
[23] Tang J, Shen Y, Li J. Influences of friction stir processing parameters on microstructure and mechanical properties of SiC/Al composites fabricated by multi-pin tool. J Manuf Process. 2019;38:279–89.10.1016/j.jmapro.2019.01.029Search in Google Scholar
[24] Kurt HI. Influence of hybrid ratio and friction stir processing parameters on ultimate tensile strength of 5083 aluminum matrix hybrid composites. Compos Part B Eng. 2016;93:26–34.10.1016/j.compositesb.2016.02.056Search in Google Scholar
[25] Sahraeinejad S, Izadi H, Haghshenas M, Gerlich AP. Fabrication of metal matrix composites by friction stir processing with different particles and processing parameters. Mater Sci Eng A. 2015;626:505–13.10.1016/j.msea.2014.12.077Search in Google Scholar
[26] Me B. Dynamic characteristics study for surface composite of AMMNCs matrix fabricated by friction stir process. Materials (Basel). 2018;11:710.3390/ma11071240Search in Google Scholar
[27] Essam B, Moustafa SM, Tamer M, Sayed A, El-Sayed E. Surface composite defects of Al/Al2O3 metal matrix fabricated by friction stir processing. J Mater Sci Surf Eng. 2017;5(2):524–7.Search in Google Scholar
[28] Moustafa E. Effect of multi-pass friction stir processing on mechanical properties for AA2024/Al(2)O(3) nanocomposites. Materials. 2017;10(9):1053.10.3390/ma10091053Search in Google Scholar PubMed PubMed Central
[29] Pol N, Verma G, Pandey RP, Shanmugasundaram T. Fabrication of AA7005/TiB2-B4C surface composite by friction stir processing: evaluation of ballistic behaviour. Def Technol. 2019;15(3):363–8.10.1016/j.dt.2018.08.002Search in Google Scholar
[30] Rasagopal P, Senthilkumar P, Magibalan S, Nallakumarasamy G. A study surface integrity of aluminum hybrid composites during milling operation. J Mater Res Technol. 2020;9(3):4884–93.10.1016/j.jmrt.2020.03.008Search in Google Scholar
[31] Kalaf O, Nasir T, Asmael M, Safaei B, Zeeshan Q, Motallebzadeh A, et al. Friction stir spot welding of AA5052 with additional carbon fiber-reinforced polymer composite interlayer. Nanotechnol Rev. 2021;10(1):201–9.10.1515/ntrev-2021-0017Search in Google Scholar
[32] Hosseini SA, Ranjbar K, Dehmolaei R, Amirani AR. Fabrication of Al5083 surface composites reinforced by CNTs and cerium oxide nano particles via friction stir processing. J Alloy Compd. 2015;622:725–33.10.1016/j.jallcom.2014.10.158Search in Google Scholar
[33] Moustafa EB. Hybridization effect of BN and Al2O3 nanoparticles on the physical, wear, and electrical properties of aluminum AA1060 nanocomposites. Appl Phys A. 2021;127:9.10.1007/s00339-021-04871-5Search in Google Scholar
[34] ASTM. Standard test methods for tension testing wrought and cast aluminum- and magnesium-alloy products. West Conshohocken, PA: ASTM International; 2015.Search in Google Scholar
[35] Mouritz AP. Aluminium alloys for aircraft structures. Introduction to aerospace materials. Cambridge, UK: Woodhead Publishing; 2012. p. 173–201.10.2514/4.869198Search in Google Scholar
[36] Mucelin KJ, Gonçalves PdC, Hammes G, Binder R, Janssen R, Klein AN, et al. Tribological study of self-lubricating composites with hexagonal boron nitride and graphite as solid lubricants. ABM Proceedings; 2014. p. 3772–81.10.5151/1472-5836-25390Search in Google Scholar
[37] Menezes PL, Kishore, Kailas SV. Studies on friction and transfer layer using inclined scratch. Tribol Int. 2006;39(2):175–83.10.1016/S0167-8922(06)80050-7Search in Google Scholar
[38] Cowap MJH, Moghaddam SRM, Menezes PL, Beschorner KE. Contributions of adhesion and hysteresis to coefficient of friction between shoe and floor surfaces: effects of floor roughness and sliding speed. Tribol Mater Surf Interfaces. 2015;9(2):77–84.10.1179/1751584X15Y.0000000005Search in Google Scholar
[39] Shen Q, Shi X, Zou J, Yang K, Huang Y, Zhang A, et al. Tribological performance and self-lubricating film formation mechanism of TiAl-based composites at elevated temperatures. J Mater Eng Perform. 2016;26(1):268–76.10.1007/s11665-016-2433-5Search in Google Scholar
© 2021 Essam B. Moustafa et al., published by De Gruyter
This work is licensed under the Creative Commons Attribution 4.0 International License.
Articles in the same Issue
- Research Articles
- Improved impedance matching by multi-componential metal-hybridized rGO toward high performance of microwave absorption
- Pure-silk fibroin hydrogel with stable aligned micropattern toward peripheral nerve regeneration
- Effective ion pathways and 3D conductive carbon networks in bentonite host enable stable and high-rate lithium–sulfur batteries
- Fabrication and characterization of 3D-printed gellan gum/starch composite scaffold for Schwann cells growth
- Synergistic strengthening mechanism of copper matrix composite reinforced with nano-Al2O3 particles and micro-SiC whiskers
- Deformation mechanisms and plasticity of ultrafine-grained Al under complex stress state revealed by digital image correlation technique
- On the deformation-induced grain rotations in gradient nano-grained copper based on molecular dynamics simulations
- Removal of sulfate from aqueous solution using Mg–Al nano-layered double hydroxides synthesized under different dual solvent systems
- Microwave-assisted sol–gel synthesis of TiO2-mixed metal oxide nanocatalyst for degradation of organic pollutant
- Electrophoretic deposition of graphene on basalt fiber for composite applications
- Polyphenylene sulfide-coated wrench composites by nanopinning effect
- Thermal conductivity and thermoelectric properties in 3D macroscopic pure carbon nanotube materials
- An effective thermal conductivity and thermomechanical homogenization scheme for a multiscale Nb3Sn filaments
- Friction stir spot welding of AA5052 with additional carbon fiber-reinforced polymer composite interlayer
- Improvement of long-term cycling performance of high-nickel cathode materials by ZnO coating
- Quantum effects of gas flow in nanochannels
- An approach to effectively improve the interfacial bonding of nano-perfused composites by in situ growth of CNTs
- Effects of nano-modified polymer cement-based materials on the bending behavior of repaired concrete beams
- Effects of the combined usage of nanomaterials and steel fibres on the workability, compressive strength, and microstructure of ultra-high performance concrete
- One-pot solvothermal synthesis and characterization of highly stable nickel nanoparticles
- Comparative study on mechanisms for improving mechanical properties and microstructure of cement paste modified by different types of nanomaterials
- Effect of in situ graphene-doped nano-CeO2 on microstructure and electrical contact properties of Cu30Cr10W contacts
- The experimental study of CFRP interlayer of dissimilar joint AA7075-T651/Ti-6Al-4V alloys by friction stir spot welding on mechanical and microstructural properties
- Vibration analysis of a sandwich cylindrical shell in hygrothermal environment
- Water barrier and mechanical properties of sugar palm crystalline nanocellulose reinforced thermoplastic sugar palm starch (TPS)/poly(lactic acid) (PLA) blend bionanocomposites
- Strong quadratic acousto-optic coupling in 1D multilayer phoxonic crystal cavity
- Three-dimensional shape analysis of peripapillary retinal pigment epithelium-basement membrane layer based on OCT radial images
- Solvent regulation synthesis of single-component white emission carbon quantum dots for white light-emitting diodes
- Xanthate-modified nanoTiO2 as a novel vulcanization accelerator enhancing mechanical and antibacterial properties of natural rubber
- Effect of steel fiber on impact resistance and durability of concrete containing nano-SiO2
- Ultrasound-enhanced biosynthesis of uniform ZnO nanorice using Swietenia macrophylla seed extract and its in vitro anticancer activity
- Temperature dependence of hardness prediction for high-temperature structural ceramics and their composites
- Study on the frequency of acoustic emission signal during crystal growth of salicylic acid
- Controllable modification of helical carbon nanotubes for high-performance microwave absorption
- Role of dry ozonization of basalt fibers on interfacial properties and fracture toughness of epoxy matrix composites
- Nanosystem’s density functional theory study of the chlorine adsorption on the Fe(100) surface
- A rapid nanobiosensing platform based on herceptin-conjugated graphene for ultrasensitive detection of circulating tumor cells in early breast cancer
- Improving flexural strength of UHPC with sustainably synthesized graphene oxide
- The role of graphene/graphene oxide in cement hydration
- Structural characterization of microcrystalline and nanocrystalline cellulose from Ananas comosus L. leaves: Cytocompatibility and molecular docking studies
- Evaluation of the nanostructure of calcium silicate hydrate based on atomic force microscopy-infrared spectroscopy experiments
- Combined effects of nano-silica and silica fume on the mechanical behavior of recycled aggregate concrete
- Safety study of malapposition of the bio-corrodible nitrided iron stent in vivo
- Triethanolamine interface modification of crystallized ZnO nanospheres enabling fast photocatalytic hazard-free treatment of Cr(vi) ions
- Novel electrodes for precise and accurate droplet dispensing and splitting in digital microfluidics
- Construction of Chi(Zn/BMP2)/HA composite coating on AZ31B magnesium alloy surface to improve the corrosion resistance and biocompatibility
- Experimental and multiscale numerical investigations on low-velocity impact responses of syntactic foam composites reinforced with modified MWCNTs
- Comprehensive performance analysis and optimal design of smart light pole for cooperative vehicle infrastructure system
- Room temperature growth of ZnO with highly active exposed facets for photocatalytic application
- Influences of poling temperature and elongation ratio on PVDF-HFP piezoelectric films
- Large strain hardening of magnesium containing in situ nanoparticles
- Super stable water-based magnetic fluid as a dual-mode contrast agent
- Photocatalytic activity of biogenic zinc oxide nanoparticles: In vitro antimicrobial, biocompatibility, and molecular docking studies
- Hygrothermal environment effect on the critical buckling load of FGP microbeams with initial curvature integrated by CNT-reinforced skins considering the influence of thickness stretching
- Thermal aging behavior characteristics of asphalt binder modified by nano-stabilizer based on DSR and AFM
- Building effective core/shell polymer nanoparticles for epoxy composite toughening based on Hansen solubility parameters
- Structural characterization and nanoscale strain field analysis of α/β interface layer of a near α titanium alloy
- Optimization of thermal and hydrophobic properties of GO-doped epoxy nanocomposite coatings
- The properties of nano-CaCO3/nano-ZnO/SBR composite-modified asphalt
- Three-dimensional metallic carbon allotropes with superhardness
- Physical stability and rheological behavior of Pickering emulsions stabilized by protein–polysaccharide hybrid nanoconjugates
- Optimization of volume fraction and microstructure evolution during thermal deformation of nano-SiCp/Al–7Si composites
- Phase analysis and corrosion behavior of brazing Cu/Al dissimilar metal joint with BAl88Si filler metal
- High-efficiency nano polishing of steel materials
- On the rheological properties of multi-walled carbon nano-polyvinylpyrrolidone/silicon-based shear thickening fluid
- Fabrication of Ag/ZnO hollow nanospheres and cubic TiO2/ZnO heterojunction photocatalysts for RhB degradation
- Fabrication and properties of PLA/nano-HA composite scaffolds with balanced mechanical properties and biological functions for bone tissue engineering application
- Investigation of the early-age performance and microstructure of nano-C–S–H blended cement-based materials
- Reduced graphene oxide coating on basalt fabric using electrophoretic deposition and its role in the mechanical and tribological performance of epoxy/basalt fiber composites
- Effect of nano-silica as cementitious materials-reducing admixtures on the workability, mechanical properties and durability of concrete
- Machine-learning-assisted microstructure–property linkages of carbon nanotube-reinforced aluminum matrix nanocomposites produced by laser powder bed fusion
- Physical, thermal, and mechanical properties of highly porous polylactic acid/cellulose nanofibre scaffolds prepared by salt leaching technique
- A comparative study on characterizations and synthesis of pure lead sulfide (PbS) and Ag-doped PbS for photovoltaic applications
- Clean preparation of washable antibacterial polyester fibers by high temperature and high pressure hydrothermal self-assembly
- Al 5251-based hybrid nanocomposite by FSP reinforced with graphene nanoplates and boron nitride nanoparticles: Microstructure, wear, and mechanical characterization
- Interlaminar fracture toughness properties of hybrid glass fiber-reinforced composite interlayered with carbon nanotube using electrospray deposition
- Microstructure and life prediction model of steel slag concrete under freezing-thawing environment
- Synthesis of biogenic silver nanoparticles from the seed coat waste of pistachio (Pistacia vera) and their effect on the growth of eggplant
- Study on adaptability of rheological index of nano-PUA-modified asphalt based on geometric parameters of parallel plate
- Preparation and adsorption properties of nano-graphene oxide/tourmaline composites
- A study on interfacial behaviors of epoxy/graphene oxide derived from pitch-based graphite fibers
- Multiresponsive carboxylated graphene oxide-grafted aptamer as a multifunctional nanocarrier for targeted delivery of chemotherapeutics and bioactive compounds in cancer therapy
- Piezoresistive/piezoelectric intrinsic sensing properties of carbon nanotube cement-based smart composite and its electromechanical sensing mechanisms: A review
- Smart stimuli-responsive biofunctionalized niosomal nanocarriers for programmed release of bioactive compounds into cancer cells in vitro and in vivo
- Photoremediation of methylene blue by biosynthesized ZnO/Fe3O4 nanocomposites using Callistemon viminalis leaves aqueous extract: A comparative study
- Study of gold nanoparticles’ preparation through ultrasonic spray pyrolysis and lyophilisation for possible use as markers in LFIA tests
- Review Articles
- Advance on the dispersion treatment of graphene oxide and the graphene oxide modified cement-based materials
- Development of ionic liquid-based electroactive polymer composites using nanotechnology
- Nanostructured multifunctional electrocatalysts for efficient energy conversion systems: Recent perspectives
- Recent advances on the fabrication methods of nanocomposite yarn-based strain sensor
- Review on nanocomposites based on aerospace applications
- Overview of nanocellulose as additives in paper processing and paper products
- The frontiers of functionalized graphene-based nanocomposites as chemical sensors
- Material advancement in tissue-engineered nerve conduit
- Carbon nanostructure-based superhydrophobic surfaces and coatings
- Functionalized graphene-based nanocomposites for smart optoelectronic applications
- Interfacial technology for enhancement in steel fiber reinforced cementitious composite from nano to macroscale
- Metal nanoparticles and biomaterials: The multipronged approach for potential diabetic wound therapy
- Review on resistive switching mechanisms of bio-organic thin film for non-volatile memory application
- Nanotechnology-enabled biomedical engineering: Current trends, future scopes, and perspectives
- Research progress on key problems of nanomaterials-modified geopolymer concrete
- Smart stimuli-responsive nanocarriers for the cancer therapy – nanomedicine
- An overview of methods for production and detection of silver nanoparticles, with emphasis on their fate and toxicological effects on human, soil, and aquatic environment
- Effects of chemical modification and nanotechnology on wood properties
- Mechanisms, influencing factors, and applications of electrohydrodynamic jet printing
- Application of antiviral materials in textiles: A review
- Phase transformation and strengthening mechanisms of nanostructured high-entropy alloys
- Research progress on individual effect of graphene oxide in cement-based materials and its synergistic effect with other nanomaterials
- Catalytic defense against fungal pathogens using nanozymes
- A mini-review of three-dimensional network topological structure nanocomposites: Preparation and mechanical properties
- Mechanical properties and structural health monitoring performance of carbon nanotube-modified FRP composites: A review
- Nano-scale delivery: A comprehensive review of nano-structured devices, preparative techniques, site-specificity designs, biomedical applications, commercial products, and references to safety, cellular uptake, and organ toxicity
- Effects of alloying, heat treatment and nanoreinforcement on mechanical properties and damping performances of Cu–Al-based alloys: A review
- Recent progress in the synthesis and applications of vertically aligned carbon nanotube materials
- Thermal conductivity and dynamic viscosity of mono and hybrid organic- and synthetic-based nanofluids: A critical review
- Recent advances in waste-recycled nanomaterials for biomedical applications: Waste-to-wealth
- Layup sequence and interfacial bonding of additively manufactured polymeric composite: A brief review
- Quantum dots synthetization and future prospect applications
- Approved and marketed nanoparticles for disease targeting and applications in COVID-19
- Strategies for improving rechargeable lithium-ion batteries: From active materials to CO2 emissions
Articles in the same Issue
- Research Articles
- Improved impedance matching by multi-componential metal-hybridized rGO toward high performance of microwave absorption
- Pure-silk fibroin hydrogel with stable aligned micropattern toward peripheral nerve regeneration
- Effective ion pathways and 3D conductive carbon networks in bentonite host enable stable and high-rate lithium–sulfur batteries
- Fabrication and characterization of 3D-printed gellan gum/starch composite scaffold for Schwann cells growth
- Synergistic strengthening mechanism of copper matrix composite reinforced with nano-Al2O3 particles and micro-SiC whiskers
- Deformation mechanisms and plasticity of ultrafine-grained Al under complex stress state revealed by digital image correlation technique
- On the deformation-induced grain rotations in gradient nano-grained copper based on molecular dynamics simulations
- Removal of sulfate from aqueous solution using Mg–Al nano-layered double hydroxides synthesized under different dual solvent systems
- Microwave-assisted sol–gel synthesis of TiO2-mixed metal oxide nanocatalyst for degradation of organic pollutant
- Electrophoretic deposition of graphene on basalt fiber for composite applications
- Polyphenylene sulfide-coated wrench composites by nanopinning effect
- Thermal conductivity and thermoelectric properties in 3D macroscopic pure carbon nanotube materials
- An effective thermal conductivity and thermomechanical homogenization scheme for a multiscale Nb3Sn filaments
- Friction stir spot welding of AA5052 with additional carbon fiber-reinforced polymer composite interlayer
- Improvement of long-term cycling performance of high-nickel cathode materials by ZnO coating
- Quantum effects of gas flow in nanochannels
- An approach to effectively improve the interfacial bonding of nano-perfused composites by in situ growth of CNTs
- Effects of nano-modified polymer cement-based materials on the bending behavior of repaired concrete beams
- Effects of the combined usage of nanomaterials and steel fibres on the workability, compressive strength, and microstructure of ultra-high performance concrete
- One-pot solvothermal synthesis and characterization of highly stable nickel nanoparticles
- Comparative study on mechanisms for improving mechanical properties and microstructure of cement paste modified by different types of nanomaterials
- Effect of in situ graphene-doped nano-CeO2 on microstructure and electrical contact properties of Cu30Cr10W contacts
- The experimental study of CFRP interlayer of dissimilar joint AA7075-T651/Ti-6Al-4V alloys by friction stir spot welding on mechanical and microstructural properties
- Vibration analysis of a sandwich cylindrical shell in hygrothermal environment
- Water barrier and mechanical properties of sugar palm crystalline nanocellulose reinforced thermoplastic sugar palm starch (TPS)/poly(lactic acid) (PLA) blend bionanocomposites
- Strong quadratic acousto-optic coupling in 1D multilayer phoxonic crystal cavity
- Three-dimensional shape analysis of peripapillary retinal pigment epithelium-basement membrane layer based on OCT radial images
- Solvent regulation synthesis of single-component white emission carbon quantum dots for white light-emitting diodes
- Xanthate-modified nanoTiO2 as a novel vulcanization accelerator enhancing mechanical and antibacterial properties of natural rubber
- Effect of steel fiber on impact resistance and durability of concrete containing nano-SiO2
- Ultrasound-enhanced biosynthesis of uniform ZnO nanorice using Swietenia macrophylla seed extract and its in vitro anticancer activity
- Temperature dependence of hardness prediction for high-temperature structural ceramics and their composites
- Study on the frequency of acoustic emission signal during crystal growth of salicylic acid
- Controllable modification of helical carbon nanotubes for high-performance microwave absorption
- Role of dry ozonization of basalt fibers on interfacial properties and fracture toughness of epoxy matrix composites
- Nanosystem’s density functional theory study of the chlorine adsorption on the Fe(100) surface
- A rapid nanobiosensing platform based on herceptin-conjugated graphene for ultrasensitive detection of circulating tumor cells in early breast cancer
- Improving flexural strength of UHPC with sustainably synthesized graphene oxide
- The role of graphene/graphene oxide in cement hydration
- Structural characterization of microcrystalline and nanocrystalline cellulose from Ananas comosus L. leaves: Cytocompatibility and molecular docking studies
- Evaluation of the nanostructure of calcium silicate hydrate based on atomic force microscopy-infrared spectroscopy experiments
- Combined effects of nano-silica and silica fume on the mechanical behavior of recycled aggregate concrete
- Safety study of malapposition of the bio-corrodible nitrided iron stent in vivo
- Triethanolamine interface modification of crystallized ZnO nanospheres enabling fast photocatalytic hazard-free treatment of Cr(vi) ions
- Novel electrodes for precise and accurate droplet dispensing and splitting in digital microfluidics
- Construction of Chi(Zn/BMP2)/HA composite coating on AZ31B magnesium alloy surface to improve the corrosion resistance and biocompatibility
- Experimental and multiscale numerical investigations on low-velocity impact responses of syntactic foam composites reinforced with modified MWCNTs
- Comprehensive performance analysis and optimal design of smart light pole for cooperative vehicle infrastructure system
- Room temperature growth of ZnO with highly active exposed facets for photocatalytic application
- Influences of poling temperature and elongation ratio on PVDF-HFP piezoelectric films
- Large strain hardening of magnesium containing in situ nanoparticles
- Super stable water-based magnetic fluid as a dual-mode contrast agent
- Photocatalytic activity of biogenic zinc oxide nanoparticles: In vitro antimicrobial, biocompatibility, and molecular docking studies
- Hygrothermal environment effect on the critical buckling load of FGP microbeams with initial curvature integrated by CNT-reinforced skins considering the influence of thickness stretching
- Thermal aging behavior characteristics of asphalt binder modified by nano-stabilizer based on DSR and AFM
- Building effective core/shell polymer nanoparticles for epoxy composite toughening based on Hansen solubility parameters
- Structural characterization and nanoscale strain field analysis of α/β interface layer of a near α titanium alloy
- Optimization of thermal and hydrophobic properties of GO-doped epoxy nanocomposite coatings
- The properties of nano-CaCO3/nano-ZnO/SBR composite-modified asphalt
- Three-dimensional metallic carbon allotropes with superhardness
- Physical stability and rheological behavior of Pickering emulsions stabilized by protein–polysaccharide hybrid nanoconjugates
- Optimization of volume fraction and microstructure evolution during thermal deformation of nano-SiCp/Al–7Si composites
- Phase analysis and corrosion behavior of brazing Cu/Al dissimilar metal joint with BAl88Si filler metal
- High-efficiency nano polishing of steel materials
- On the rheological properties of multi-walled carbon nano-polyvinylpyrrolidone/silicon-based shear thickening fluid
- Fabrication of Ag/ZnO hollow nanospheres and cubic TiO2/ZnO heterojunction photocatalysts for RhB degradation
- Fabrication and properties of PLA/nano-HA composite scaffolds with balanced mechanical properties and biological functions for bone tissue engineering application
- Investigation of the early-age performance and microstructure of nano-C–S–H blended cement-based materials
- Reduced graphene oxide coating on basalt fabric using electrophoretic deposition and its role in the mechanical and tribological performance of epoxy/basalt fiber composites
- Effect of nano-silica as cementitious materials-reducing admixtures on the workability, mechanical properties and durability of concrete
- Machine-learning-assisted microstructure–property linkages of carbon nanotube-reinforced aluminum matrix nanocomposites produced by laser powder bed fusion
- Physical, thermal, and mechanical properties of highly porous polylactic acid/cellulose nanofibre scaffolds prepared by salt leaching technique
- A comparative study on characterizations and synthesis of pure lead sulfide (PbS) and Ag-doped PbS for photovoltaic applications
- Clean preparation of washable antibacterial polyester fibers by high temperature and high pressure hydrothermal self-assembly
- Al 5251-based hybrid nanocomposite by FSP reinforced with graphene nanoplates and boron nitride nanoparticles: Microstructure, wear, and mechanical characterization
- Interlaminar fracture toughness properties of hybrid glass fiber-reinforced composite interlayered with carbon nanotube using electrospray deposition
- Microstructure and life prediction model of steel slag concrete under freezing-thawing environment
- Synthesis of biogenic silver nanoparticles from the seed coat waste of pistachio (Pistacia vera) and their effect on the growth of eggplant
- Study on adaptability of rheological index of nano-PUA-modified asphalt based on geometric parameters of parallel plate
- Preparation and adsorption properties of nano-graphene oxide/tourmaline composites
- A study on interfacial behaviors of epoxy/graphene oxide derived from pitch-based graphite fibers
- Multiresponsive carboxylated graphene oxide-grafted aptamer as a multifunctional nanocarrier for targeted delivery of chemotherapeutics and bioactive compounds in cancer therapy
- Piezoresistive/piezoelectric intrinsic sensing properties of carbon nanotube cement-based smart composite and its electromechanical sensing mechanisms: A review
- Smart stimuli-responsive biofunctionalized niosomal nanocarriers for programmed release of bioactive compounds into cancer cells in vitro and in vivo
- Photoremediation of methylene blue by biosynthesized ZnO/Fe3O4 nanocomposites using Callistemon viminalis leaves aqueous extract: A comparative study
- Study of gold nanoparticles’ preparation through ultrasonic spray pyrolysis and lyophilisation for possible use as markers in LFIA tests
- Review Articles
- Advance on the dispersion treatment of graphene oxide and the graphene oxide modified cement-based materials
- Development of ionic liquid-based electroactive polymer composites using nanotechnology
- Nanostructured multifunctional electrocatalysts for efficient energy conversion systems: Recent perspectives
- Recent advances on the fabrication methods of nanocomposite yarn-based strain sensor
- Review on nanocomposites based on aerospace applications
- Overview of nanocellulose as additives in paper processing and paper products
- The frontiers of functionalized graphene-based nanocomposites as chemical sensors
- Material advancement in tissue-engineered nerve conduit
- Carbon nanostructure-based superhydrophobic surfaces and coatings
- Functionalized graphene-based nanocomposites for smart optoelectronic applications
- Interfacial technology for enhancement in steel fiber reinforced cementitious composite from nano to macroscale
- Metal nanoparticles and biomaterials: The multipronged approach for potential diabetic wound therapy
- Review on resistive switching mechanisms of bio-organic thin film for non-volatile memory application
- Nanotechnology-enabled biomedical engineering: Current trends, future scopes, and perspectives
- Research progress on key problems of nanomaterials-modified geopolymer concrete
- Smart stimuli-responsive nanocarriers for the cancer therapy – nanomedicine
- An overview of methods for production and detection of silver nanoparticles, with emphasis on their fate and toxicological effects on human, soil, and aquatic environment
- Effects of chemical modification and nanotechnology on wood properties
- Mechanisms, influencing factors, and applications of electrohydrodynamic jet printing
- Application of antiviral materials in textiles: A review
- Phase transformation and strengthening mechanisms of nanostructured high-entropy alloys
- Research progress on individual effect of graphene oxide in cement-based materials and its synergistic effect with other nanomaterials
- Catalytic defense against fungal pathogens using nanozymes
- A mini-review of three-dimensional network topological structure nanocomposites: Preparation and mechanical properties
- Mechanical properties and structural health monitoring performance of carbon nanotube-modified FRP composites: A review
- Nano-scale delivery: A comprehensive review of nano-structured devices, preparative techniques, site-specificity designs, biomedical applications, commercial products, and references to safety, cellular uptake, and organ toxicity
- Effects of alloying, heat treatment and nanoreinforcement on mechanical properties and damping performances of Cu–Al-based alloys: A review
- Recent progress in the synthesis and applications of vertically aligned carbon nanotube materials
- Thermal conductivity and dynamic viscosity of mono and hybrid organic- and synthetic-based nanofluids: A critical review
- Recent advances in waste-recycled nanomaterials for biomedical applications: Waste-to-wealth
- Layup sequence and interfacial bonding of additively manufactured polymeric composite: A brief review
- Quantum dots synthetization and future prospect applications
- Approved and marketed nanoparticles for disease targeting and applications in COVID-19
- Strategies for improving rechargeable lithium-ion batteries: From active materials to CO2 emissions