Home Physical Sciences Comparative study on mechanisms for improving mechanical properties and microstructure of cement paste modified by different types of nanomaterials
Article Open Access

Comparative study on mechanisms for improving mechanical properties and microstructure of cement paste modified by different types of nanomaterials

  • Tao Meng EMAIL logo , Kanjun Ying , Xiufen Yang and Yongpeng Hong
Published/Copyright: May 31, 2021
Become an author with De Gruyter Brill

Abstract

Filling and nucleation are the mechanisms of modifying cement paste with nanomaterials, as investigated by previous studies, and are difficult to reflect the different effects of nanomaterials, especially on the changes of cement clinker and hydration products in the cement hydration process. In this study, the mechanisms of modifying cement paste with nano-calcium carbonate (NC), nano-graphene oxide (NG), nano-silica (NS), and nano-titanium dioxide (NT) were investigated by determining the mechanical properties of cement paste treated with nanomaterials and analysing the changes in the cement clinker (tricalcium silicate and dicalcium silicate), hydration products (portlandite and ettringite), and microstructure through many micro-test methods. The results indicate that the incorporation of nanomaterials could improve the early strength of cement paste specimens due to more consumption of cement clinker. Meanwhile, different nanomaterials promote the formation of different hydration products at early ages. C–A–S–H gel, flower-like ettringite, and C–S–H seeds are widely distributed in the cement paste with the incorporation of NC, NG, and NS, respectively. NT exhibits insignificant nucleation effect and has inhibitory effect on portlandite precipitation. This study provides key insights into the mechanism of nanomaterials from the perspective of cement hydration, which may promote the further research and application of nanomaterials in the cement and concrete industries.

Graphical abstract

1 Introduction

When the particle size of a material is reduced to the range of 1–100 nm, the resulting nanoparticles exhibit novel physical and chemical properties. The differences in the structure of the nanomaterials relative to that of the macromaterial are that the former have a large specific surface area, and the state of their surface atoms is closer to the gaseous state, forming neither long-range nor short-range amorphous layers, while the atoms inside the nanoparticles may be in an orderly arrangement. Owing to the small particle size and large surface curvature of nanomaterials, there is a high internal pressure, which can deform the internal structure, triggering small volume effects, surface effects, quantum size effects, and macroscopic quantum tunnelling effects [1,2]. In the last few years, an increasing number of scientists have devoted themselves to studying nanomaterials, including the application of nanomaterials to cement-based material reinforcement, and have achieved fruitful results in the preparation, property modification, and application of nanomaterials [3].

Nano-silica (NS) is the earliest and currently most widely used nanomaterial. Based on the different preparation processes, the types of NS are divided into powder, colloid, and dispersion. To strengthen cement-based materials, colloidal NS and NS dispersions are generally used to uniformly disperse NS in cement-based materials. It has been proven that NS can effectively improve the workability, strength, and durability of cement-based materials, and the reinforcing effect of NS is better than that of silica fume because of its stronger filling effect and greater pozzolanic activity [416]. However, more water is consumed in the cement hydration process due to the large specific area of NS, which significantly affects the rheological properties of cement-based materials [17], and the price of NS is very high, limiting the application of NS in construction engineering.

Relatively cheap nano-calcium carbonate (NC) and nano-titanium dioxide (NT) have drawn widespread attention. Studies have shown that the hydration reaction of NC with C3A in cement clinker changes the early hydration products, and the microhardness and elastic modulus of the early hydration products are significantly improved [18]. At the same time, NC also has a filling effect and can act as a nucleation site to accelerate the hydration process, thereby significantly improving the early strength of cement-based materials [1924]. Moreover, NC has little effect on the water required by cement-based materials to achieve standard consistency. However, excessive addition of NC seriously affects the workability and drastically reduces the later strength of cement-based materials [25]. Because NT has the ability to block ultraviolet rays, as well as induce sterilisation and the photolysis of organic pollutants, it has attracted significant research interest. When applied to cement-based materials, NT can provide additional photocatalysis and self-cleaning functions, but the incorporation of NT will cause adverse effects on the strength and fluidity of cement-based materials [26,27].

With the advancement of graphene application technology, nano-graphene oxide (NG), which has excellent performance, has begun to be used for reinforcing cement-based materials. NG can be regarded as a nucleation site for accelerating the hydration process and is likely to unite hydration products to form a dense microstructure [2830]. Oxygen-containing groups (such as carboxyl, hydroxyl, and carbonyl) in NG can be dispersed in the micropores of cement-based materials [3135]; these groups play a role in modifying the microstructure of the cement matrix and further promoting cement hydration. In addition, the two-dimensional structure of graphene oxide itself can provide a template for cement hydration [2931].

Most studies have shown that the incorporation of nanomaterials significantly increases the early strength of cement-based materials but reduces their later strength. However, some researchers reported that the addition of 4% nano-silica improved the compressive strength of cement paste to 95.3 MPa at 28 days, which is 13% higher than that of the blank control group [36]. The results of previous studies are difficult to match and are even contradictory; thus, it is difficult to draw statistically verified conclusions. Moreover, the incorporation of nanomaterials could promote the formation of early hydration products, such as Ca(OH)2 and C–S–H gel, but quantitative analysis of hydration products has seldom been undertaken. The mechanism by which nanomaterials modify the properties of cement-based materials is still unclear, and different types of nanomaterials with different characteristics must exhibit significant differences in terms of technical performance. Therefore, it is necessary to study the effects of different types of nanomaterials on the mechanical properties and microstructure of cement paste to provide a basis for deeper understanding of the mechanism by which nanomaterials modify cement paste.

In this study, four different types of nanomaterials (NC, NG, NS, and NT) are explored to study the mechanical properties and microstructure of cement paste, particularly at 1 and 28 days. As shown in graphical abstract, thermogravimetric-differential thermal analysis (TG–DTA), quantitative X-ray diffraction (XRD) analysis, Fourier-transform infrared (FTIR) spectrometry, mercury intrusion porosimetry (MIP), and scanning electron microscopy (SEM) are used to reveal the mechanisms of action of the different types of nanomaterials. This study finally proposes the hydration models and hydration reactions of cement to provide key insights into the effects of different types of nanomaterials on the properties and microstructure of cement-based materials.

2 Materials and methods

2.1 Materials

P.O. 42.5 cement according to Chinese standard GB 175-2007 and tap water were used for the test. The four most concerned nanomaterials were selected for experimental research. XFI24 colloid NS (particle size: 20–30 nm; solid content: 30 wt%), XFI22 colloid NT (particle size: 10–20 nm; solid content: 20 wt%), and XF020 NG dispersion (diameter: 50‒200 nm; single layer ratio: ∼99%; thickness: 0.8‒1.2 nm; purity: ∼99%; solid content: 0.1 wt%) produced by Nanjing/Jiangsu XFNANO Materials Tech Co., Ltd. The NC slurry with 3% solid content was developed independently at the Institute of Engineering Materials, Zhejiang University. The colloid NS, colloid NT, and NG dispersion were uniformly dispersed with an ultrasonic disperser to avoid agglomeration. Meanwhile, constant temperature magnetic stirring equipment was used for effective dispersion of the NC slurry. The NC slurry was used immediately after preparation, which could effectively avoid agglomeration. As the cost of nanomaterials continues to decrease, it is of great significance for the application of nanomaterials in practical engineering.

2.2 Preparation of cement paste

Keep the water–binder (binder: cement and nanomaterials) ratio of cement paste at 0.35, the proportions of components in the mix for the cement paste specimens are listed in Table 1. The cement was mixed slowly in a mixer for 120 s, allowed to stand for 15 s, and then mixed quickly for 120 s. The cement paste was then poured into six-joint copper moulds with dimensions of 20 mm × 20 mm × 20 mm and consolidated using a vibration table. The specimens were maintained at a constant temperature of 20°C for 24 h. After demoulding, the specimens were kept under standard curing conditions (temperature of 20 ± 2°C and relative humidity of 95% or greater) until the testing stage.

Table 1

Composition of mix for cement paste specimens (wt%)

Mix Cement Water Nanomaterials (wt% of original cement)
N-0 100 35 0
NC-0.15 99.85 35 0.15
NC-0.3 99.7 35 0.3
NC-0.45 99.55 35 0.45
NC-0.6 99.4 35 0.6
NG-0.01 99.99 35 0.01
NG-0.02 99.98 35 0.02
NG-0.03 99.97 35 0.03
NG-0.04 99.96 35 0.04
NS-1.5 98.5 35 1.5
NS-3 97 35 3
NS-4.5 95.5 35 4.5
NS-6 94 35 6
NT-1 99 35 1
NT-2 98 35 2
NT-3 97 35 3
NT-4 96 35 4

2.3 Compressive strength

The compressive strength of the analysed cement paste samples was measured by WDW-100 universal testing machine according to GB/T50081-2002. Uniaxial compressive loads were applied at a loading rate of 0.5 kN/s until the specimens failed. Three specimens were tested for each scenario for a specific curing age, and the averages of these three replicates were calculated.

2.4 TG–DTA

TG–DTA was performed using an SDT Q600 (TA Instruments, USA). The samples were the same as those used for XRD analysis. The samples (10 mg) were heated at a rate of 10°C/min from room temperature to 1,000°C, with gaseous N2 flowing at a rate of 120 mL/min.

2.5 XRD

For each analysed cement paste, hydration was stopped by applying pure alcohol at a specific age. Before the test, the specimens were dried in an oven at 60°C for 48 h and ground to a residue ratio on the 45 µm sieve of less than 2%. Mineralogical investigations were performed by XRD analysis, using a Bruker D8 Advance XRD instrument and a Cu-K α  X-ray radiation source. The step size was 0.02°, and the acceleration voltage was 40 kV. The 2 θ scanning range was from 5° to 90°. Following the scanning, the raw diffraction data were located in the PDF-2004 database to identify peaks in the XRD pattern using MDI Jade 6.0 software, and phase quantification was conducted using Rietveld refinement analysis.

2.6 FTIR

FTIR spectra were obtained for the powdered cement paste samples, which were the same as those used for the XRD analysis, by employing a Perkin Elmer FTIR spectrometer in transmittance mode, from 400 to 4,000 cm‒1, using the standard KBr technique.

2.7 MIP

The prepared cement paste specimens cured for 28 days were broken into small fragments after the compressive strength test and dried in an oven at 60°C for 48 h. Thereafter, MIP tests were conducted using an AutoPore IV 9500 instrument. The mercury contact angle θ was 130.0°, and the surface tension of mercury (σ) was set to 485.0 dynes/cm in this test.

2.8 SEM

For the SEM analysis, the cement paste specimens were broken into small fragments after the compressive strength test, and hydration was stopped using pure alcohol at a specific curing age. These small fragments were sprayed with gold for 60 s to make the specimens conductive. The microscopic structures of these specimens were observed at different magnifications using a Gemini 300 SEM device.

3 Results and discussion

3.1 Compressive strength

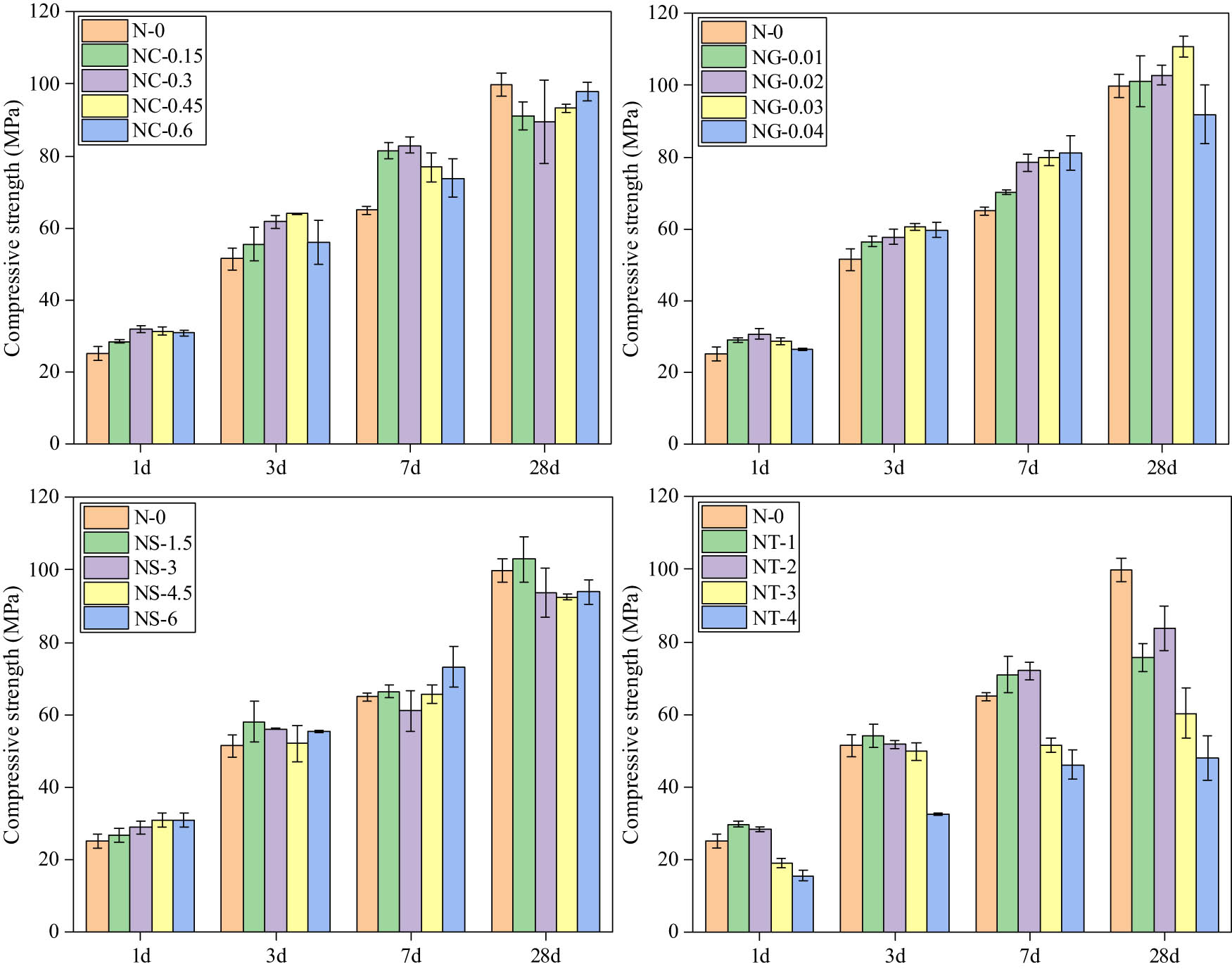
The compressive strength of the cement paste specimens is shown in Figure 1. The results indicate that the incorporation of NS, NC, and NG could improve the early compressive strength of the cement paste specimens at 1, 3, and 7 days. For example, the compressive strength of specimen with 0.3% NC was 27.1% higher at 1 day, 20.2% higher at 3 days, and 25.8% higher at 7 days than that of N-0. However, incorporation of the nanomaterials was not conducive to improving the late compressive strength of the cement paste specimens. Surprisingly, the compressive strength of the cement paste specimens with 0.03% NG was still 10.9% higher than that of N-0 at 28 days. Incorporation of NT at low loadings of 1% and 2% can strengthen the cement paste specimens, whereas the compressive strength of the cement paste specimens exhibited a precipitous decline in both the early and late stages when the content of NT exceeded 3%. Excessive incorporation of NT will cause its uneven distribution in the cement paste, enrichment, or agglomeration in some areas, which will cause the decrease of mechanical properties.

Figure 1 
                  Compressive strength of the specimens with or without nanomaterials.
Figure 1

Compressive strength of the specimens with or without nanomaterials.

3.2 TG–DTA

TG–DTA can identify the phase of the cement paste qualitatively and can be used to quantify the content of calcium hydroxide (CH). By monitoring the dehydration (Ldh), dihydroxylation (Ldx), and decarbonation (Ldc) of cement paste in different temperature regions, the hydration degree can also be calculated according to the method proposed by Bhatty [37].

Figure 2a serves as an example for defining the Ldh, Ldx, and Ldc temperature ranges. In this study, the temperature ranges for Ldx and Ldc were individually calculated for each sample from the derivative of the TG curve. The Ldh temperature ranges were different from those in other studies. Here, we defined the temperature range of Ldh from the beginning of heating to the start of Ldx. The TG–DTA curves of the cement paste specimens with or without nanomaterials are shown in Figure 2b–f.

Figure 2 
                  TG–DTA curves of the specimens. (a) Typical curves, (b) N-0, (c) NC-0.3, (d) NG-0.03, (e) NS-6, (f) NT-2.
Figure 2

TG–DTA curves of the specimens. (a) Typical curves, (b) N-0, (c) NC-0.3, (d) NG-0.03, (e) NS-6, (f) NT-2.

The degree of hydration ( α ) according to Bhatty can be summarised in equations (1) and (2) [38]:

(1) W c = Ldh + Ldx + 0.41 Ldc,

(2) α = w c / 0.24 × 100 ,

where W c is the chemically bound water, W c , Ldh, Ldx, and Ldc are expressed in parts per unit, and α is expressed as a percentage. The definition of the parameters 0.41 and 0.24 is expounded elsewhere by Monteagudo et al. [39].

The hydration degree of the cement paste specimens with and without nanomaterials is shown in Figure 3. Notably, for the cement paste with incorporated nanomaterials, the hydration degree at 1 day was universally higher than that of N-0, which is consistent with the compressive strength data presented in Figure 1. Moreover, the hydration degree was greater than that of N-0 only in the case of NG-0.03 at 28 days, which determined its higher 28 days compressive strength.

Figure 3 
                  Hydration degree of the specimens with or without nanomaterials.
Figure 3

Hydration degree of the specimens with or without nanomaterials.

3.3 Quantitative XRD analysis

The XRD patterns and the results of quantitative XRD analysis of the specimens with or without nanomaterials at 1 day are shown in Figures 4 and 5. Two main indicators were considered to reveal the mechanism by which the nanomaterials influence the cement-based materials. The first indicator is the consumption of cement clinker (tricalcium silicate [C3S] and dicalcium silicate [C2S]), and the other is the production of hydration products (ettringite and CH). With a gradual increase in the NC content, the consumption of C3S and C2S first increased and then decreased, reaching a maximum when the NC dosage was 0.45%. This illustrates that NC can accelerate the hydration reaction of the main clinker phases, such as C3S and C2S. However, the data showed that more ettringite and less CH were formed with the incorporation of 0.45% NC, which resulted in less C–S–H gel in the cement paste. Therefore, the compressive strength of the NC-0.3 cement paste specimen was higher than that of NC-0.45. This was proved by the production of CH (that could also contribute to the early strength), which reached the maximum value when the NC content was 0.3%. With a gradual increase in the NG content, the consumption of C3S and C2S was relatively large and gradually increased, and a large amount of ettringite was formed. Therefore, the compressive strength of the cement paste specimens at 1 day was greatly improved. The C3S and C2S consumption was not significantly different for the cement paste with different loadings of NS, although there was a certain fluctuation, and the C3S and C2S consumption was also much higher than that of N-0. Note that the CH content of the NS and NT groups was also much higher than that of N-0, which may contribute to the increase in the compressive strength with the addition of these materials. However, with the addition of NT-2, the consumption of C3S and C2S showed little improvement compared with that of N-0, leading to a modest increase in the compressive strength of NT-2.

Figure 4 
                  XRD patterns of the specimens with or without nanomaterials at 1 day (E: ettringite; P: portlandite [CH]; CS: C3S and C2S).
Figure 4

XRD patterns of the specimens with or without nanomaterials at 1 day (E: ettringite; P: portlandite [CH]; CS: C3S and C2S).

Figure 5 
                  Results of quantitative XRD analysis of the specimens at 1 day (Aft & Afm: ettringite; OP: other phases).
Figure 5

Results of quantitative XRD analysis of the specimens at 1 day (Aft & Afm: ettringite; OP: other phases).

The XRD patterns and the results of quantitative XRD analysis of the specimens with or without nanomaterials at 28 days are shown in Figures 6 and 7. Compared with the cement paste containing nanomaterials, the consumption of C3S and C2S in N-0 was significantly higher (by 25.6 wt%). With the exception of NG-0.03 for which the C3S and C2S consumption was greater than that of N-0, for the other groups of samples, the C3S and C2S consumption was less than that of N-0 at 28 days, which may be the main reason for the 28 days macroscopic changes in the compressive strength of these samples. In addition, the ettringite content of NG-0.03 and NS-6 was still higher than that of N-0 at 28 days. However, ettringite contributed little to the later compressive strength of the cement paste specimens.

Figure 6 
                  XRD patterns of the specimens with or without nanomaterials at 28 days (E: ettringite; P: portlandite [CH]; CS: C3S and C2S).
Figure 6

XRD patterns of the specimens with or without nanomaterials at 28 days (E: ettringite; P: portlandite [CH]; CS: C3S and C2S).

Figure 7 
                  Results of quantitative XRD analysis of the specimens at 28 days (Aft & Afm: ettringite; OP: other phases).
Figure 7

Results of quantitative XRD analysis of the specimens at 28 days (Aft & Afm: ettringite; OP: other phases).

3.4 FTIR

The FTIR patterns of the cement paste specimens at 1 and 28 days are shown in Figure 8. The peak of the O–H stretching vibration of the hydration product (CH) appeared at 3,640 cm‒1, the peak of the Si–O stretching vibration of C–S–H appeared at 980 cm‒1, and the Si–O stretching vibration of ettringite appeared at 1,100 cm‒1. The types of cement hydration products formed by grinding and incorporating nanomaterials can be determined from the IR absorption profile, as shown in Figure 8a. The patterns from top to bottom show that the intensity of the O–H and Si–O peaks at 3,640 and 980 cm‒1, respectively, gradually increased, indicating that nanomaterials other than NT could accelerate the formation of hydration products. The O–H stretching vibration of the hydration product CH at 3,640 cm‒1 gradually became sharper, and the symmetry of the absorption peak increased. This indicates that the nanomaterials may improve the structural arrangement of CH in the cement matrix. Comparative analysis of the FTIR patterns of the 1 and 28 day samples shows that the intensity of both peaks at 3,640 cm‒1 (O–H) and 980 cm‒1 (Si–O) increased to varying degrees over time. Except with the incorporation of NS, the intensity of the O–H peak decreased, indicating that NS can undergo secondary hydration with CH, thereby reducing CH. Second, the peak intensity of Si–O for the samples with NC and NT increased slightly at 28 days, which was reflected in the 28-day compressive strength of these samples compared with that of the other groups. In addition, the Si–O peak for N-0 and NG-0.03 at 28 days increased significantly, which was also reflected in the higher 28-day compressive strength compared to that of the other groups. At the same time, the symmetry of the Si–O peak at 980 cm‒1 was significantly improved after doping with the nanomaterials, indicating that the nanomaterials could also improve the structure of the C–S–H gel.

Figure 8 
                  FTIR patterns of the specimens with or without nanomaterials at 1 and 28 days. (a) FTIR patterns of the specimens with or without nanomaterials at 1 day. (b) FTIR patterns of the specimens with or without nanomaterials at 28 days.
Figure 8

FTIR patterns of the specimens with or without nanomaterials at 1 and 28 days. (a) FTIR patterns of the specimens with or without nanomaterials at 1 day. (b) FTIR patterns of the specimens with or without nanomaterials at 28 days.

3.5 MIP

The pore structure curves and porosity of the specimens with or without nanomaterials at 1 and 28 days are shown in Figure 9. At 1 day, the pore structure curve of the specimens with 6% NS was shifted to the left compared to that of N-0. The pore volume was larger, with pores of small diameters (0‒30 nm), indicating that NS can not only refine the pore size of the cement paste but also promote the formation of nanopores, which leads to decreased porosity. In comparison, the pore structure curve of NC-0.3 was greatly skewed to the left compared to that of N-0, which shows that NC only refined the pore diameter, with a slight decrease in porosity. In contrast, the pore structure curves of NG-0.03 and NT-2 were shifted slightly to the right compared to those of N-0, which indicates that NG and NT had little effect on the pore structure at 1 day. The overall pore structure curves of the specimens at 28 days, as shown in Figure 9b, were shifted to the left compared with those of the specimens at 1 day, which shows that the pore diameter of the cement paste specimens gradually decreased with age. Note that the pore structure curves of NC-0.3 and NG-0.03 were slightly offset to the bottom left compared to that of N-0, which indicates that NC and NG could improve the pore structure to make the microstructure more compact between 1 and 28 days. Therefore, the porosities of NC-0.3 and NG-0.03 at 28 days dropped by a large margin compared to that at 1 day. Moreover, the pore structure curve of NG-0.03 was at the bottom, and the porosity of NG-0.03 was the lowest, indicating that NG had the best effect in modifying the pore structure in the late stages.

Figure 9 
                  Pore structure curves and porosity of the specimens with or without nanomaterials at 1 and 28 days. (a) Pore structure curves and porosity of the specimens with or without nanomaterials at 1 day. (b) Pore structure curves and porosity of the specimens with or without nanomaterials at 28 days.
Figure 9

Pore structure curves and porosity of the specimens with or without nanomaterials at 1 and 28 days. (a) Pore structure curves and porosity of the specimens with or without nanomaterials at 1 day. (b) Pore structure curves and porosity of the specimens with or without nanomaterials at 28 days.

3.6 SEM

SEM images of the cement paste with and without nanomaterials at 1 day are shown in Figure 10. The SEM image of N-0 at 1 day shows that only a small amount of acicular ettringite was formed, and there were many cracks and voids in the microstructure. More CH was embedded in the cement matrix of NC-0.3 after stacking, making the microstructure much denser at 1 day. On one hand, this confirmed the results obtained from MIP and XRD quantitative analyses. On the other hand, NC was regarded as a modifier that increased the order in the arrangement of CH. More flower-like ettringite, which was relatively dense, was generated in the cement paste with 0.03% NG. This is beneficial for improving the early compressive strength of the cement paste specimens. However, there were still more pores in the cement matrix of NG-0.03, consistent with the MIP results. Bykkam et al. [40] reported that some NG layers form interlinked three-dimensional sheets that generate a porous structure resembling a sponge, as shown in Figure 11. A large amount of reticulated ettringite and CH were formed in the cement paste containing NS, associated with the improvement in the early compressive strength of the cement paste. There were numerous nanopores in the ettringite, with a network structure, which also verified the deduction from the MIP analysis that NS could promote the generation of more nanopores with sizes of 0–30 nm at 1 day.

Figure 10 
                  SEM images of the specimens with or without nanomaterials at 1 day.
Figure 10

SEM images of the specimens with or without nanomaterials at 1 day.

Figure 11 
                  Layer-like structure of graphene oxide sheet.
Figure 11

Layer-like structure of graphene oxide sheet.

SEM images of the cement paste with and without nanomaterials at 28 days are shown in Figure 12. The cement paste containing NC generated less CH and C–S–H gel at 28 days than the N-0 cement paste, which led to a lower compressive strength gain for the former compared with the latter. In contrast, a large amount of C–S–H gel was formed in the NG-0.03 cement paste specimens, and CH was arranged in the cement matrix in an orderly manner, which made the microstructure much denser, thereby effectively improving the later compressive strength of the cement paste specimens. Although CH was inserted into the cement matrix of the NS-6 specimens in an orderly manner, there were still many cracks and nanopores in the cement matrix, resulting in low late compressive strength.

Figure 12 
                  SEM images of the specimens with or without nanomaterials at 28 days.
Figure 12

SEM images of the specimens with or without nanomaterials at 28 days.

3.7 Mechanisms for improving mechanical properties and microstructure of cement paste modified by different types of nanomaterials

Different types of nanomaterials modify cement paste via different mechanisms. The hydration models of cement with or without incorporated nanomaterials are shown in Figure 13, and the hydration reactions in the presence of the nanomaterials are shown in Figure 14. The nanoparticles can adhere to the surface of the cement particles to promote the formation of C–S–H seeds at an early age, after which the C–S–H seeds would be gradually transformed into C–S–H gel in the later stages. The detailed discussion is as follows.

Figure 13 
                  Hydration models of cement with or without incorporated nanomaterials.
Figure 13

Hydration models of cement with or without incorporated nanomaterials.

Figure 14 
                  Hydration reactions in the presence of NC, NG, NS, and NT. (a) Hydration reactions in the presence of NC. (b) Hydration reactions in the presence of NG. (c) Hydration reactions in the presence of NS. (d) Hydration reactions in the presence of NT.
Figure 14

Hydration reactions in the presence of NC, NG, NS, and NT. (a) Hydration reactions in the presence of NC. (b) Hydration reactions in the presence of NG. (c) Hydration reactions in the presence of NS. (d) Hydration reactions in the presence of NT.

Although the consumption of C3S and C2S in NC-0.3 was not the highest, the specimens of NC-0.3 showed the highest compressive strength at 1 day. This is because NC could accelerate the hydration process and react with C3S, C3A, and C4AF to form C–S–H gel and carboaluminates (C–A–S–H gel) due to the increase in the Ca2+ concentration in the liquid phase [41,42]. As illustrated in Figure 10, CH was arranged in an orderly fashion between the cement particles, which made the cement matrix more compact. However, the denser matrix caused by the incorporation of NC at early ages could not provide available space for the formation of hydration products in the later stages [42], which resulted in the relatively low compressive strength of the specimens at 28 days.

The NG-0.03 mix at 1 day had a coarser structure than that of the other mixes. In fact, the addition of NG led to an increase in the proportion of capillary pores in the range of 100‒1,000 nm, as shown in Figure 14b. Some NG layers form interlinked three-dimensional sheets that generate a porous structure resembling a sponge. Based on SEM observation, NG nanosheets can act as a template for cement hydration and regulate the formation of flower-like crystals [4346], as shown in Figure 10. The main chemical components of the flower-like crystals might be ettringite, as deduced from the XRD results presented in Figure 5.

A possible hydration reaction in the presence of NS is shown in Figure 14c [47,48]. Because of the consumption of Ca2+ by NS and the formation of C–S–H seeds, which accelerate the hydration process through seeding, C3S and C2S are constantly consumed and form more C–S–H gel and CH. This may be the reason why the hydration degree of NS-6 was the highest at 1 day. Moreover, the hydration product CH can undergo a pozzolanic reaction with additional NS, thereby decreasing the CH content in the later stages. Singh et al. [49] found that the addition of NS reduced the porosity of C–S–H, while increasing the gel porosity compared to the control cement paste, which was also reflected herein in the MIP results (Figure 9). Adding NS to cement can reduce the detrimental pores, despite the increase in less harmful and innocuous pores, which may account for the formation of a large amount of ettringite with a network structure between the cement particles, as shown in Figures 12 and 14.

NT could accelerate the cement hydration rate to some extent, but it was more inert in the cement hydration process compared with the other nanomaterials [50], which is reflected in the relatively lower consumption of C3S and C2S and the production of hydration products at 1 and 28 days. This may explain why the nucleation effect of NT was insignificant. Keivan et al. [51] reported that NT could retard the hydration of C2S, thereby resulting in a decrease in the compressive strength of the cement paste at 28 days. The inclusion of NT could also depress the precipitation of CH [52], which might lead to an increase in the porosity at 1 day. In addition, CH could gradually precipitate in the cement matrix during the hydration process, and an appropriate loading of NT could increase the density of the cement paste at 28 days owing to its filling and seeding effect.

4 Conclusion

This study unveiled the strengthening mechanism of four different types of nanomaterials (NC, NG, NS, and NT) by comparing their effects on the mechanical properties and microstructure of cement paste. The key findings are summarised as follows:

  1. Appropriate incorporation of nanomaterials can improve the compressive strength of cement paste specimens at early ages due to more consumption of cement clinker and formation of hydration products but is not conducive to late strength development. For example, the compressive strength of the cement paste specimens with 0.3% NC was 27.1, 20.2, and 25.8% higher than that of N-0 at 1, 3, and 7 days, respectively, but 10.4% lower than that of N-0 at 28 days.

  2. NC can react with cement clinker and modify the microstructure of cement paste. It could accelerate the hydration process and react with C3S, C3A, and C4AF to form C–S–H gel and C–A–S–H gel due to the introduction of Ca2+, which resulted in the improvement of compressive strength in the early stage. NC was also regarded as a modifier for increasing the order of the CH arrangement, leading to a more compact cement matrix.

  3. NG can act as a template for cement hydration and regulate the formation of hydration products. Although NG had little effect on the pore structure at 1 day due to the formation of a sponge-like structure due to the NG nanosheets, it could modify the microstructure and reduce the porosity of the specimen at later ages by promoting the formation of flower-like ettringite.

  4. NS can have hydration reaction with cement clinker and hydration product. H 2 SiO 4 2 formed by incorporating NS could not only react with Ca 2 + , generating C–S–H seeds, but also have secondary hydration reaction with Ca(OH)2, forming C–S–H gel, which would greatly improve the hydration of cement.

  5. NT exhibits insignificant nucleation effect and has inhibitory effect on portlandite precipitation. Exactly, NT is relatively inert in the cement hydration process, so only some NT plays a role of nucleation in the hydration of cement paste. Meanwhile, the inclusion of NT could also delay the precipitation of CH, which led to lower CH content in the early stage and higher in the later stages.

  6. Novel diagrams of hydration models and possible hydration reactions of cement in the presence of nanomaterials were drawn to compare and analyse the different modification mechanisms of different nanomaterials.

Further research is required to investigate the performance of different types of nanomaterials in cement-based material systems, such as mortar and concrete, as well as their long-term strength and durability performance. Moreover, the weak interface transition zone significantly restricts the strength and durability of cement-based materials. Therefore, it is necessary to explore the effects of different types of nanomaterials on the interface transition zone of cement-based materials.

  1. Funding information: The authors are thankful for the financial support from the National Natural Science Foundation of China (52078453).

  2. Author contributions: All authors have accepted responsibility for the entire content of this manuscript and approved its submission.

  3. Conflict of interest: The authors state no conflict of interest.

References

[1] Nazar S, Yang J, Thomas BS, Azim I, Rehman SKU. Rheological properties of cementitious composites with and without nano-materials: a comprehensive review. J Clean Prod. 2020;272:122701. 10.1016/j.clepro.2020.122701.Search in Google Scholar

[2] Zhao ZF, Qi TQ, Zhou W, Hui D, Xiao C, Qi JY, et al. A review on the properties, reinforcing effects, and commercialization of nanomaterials for cement-based materials. Nanotechnol Rev. 2020;9:303–22. 10.1515/ntrev-2020-0023.Search in Google Scholar

[3] Wu Q, Miao WS, Zhang YD, Gao HJ, Hui D. Mechanical properties of nanomaterials: a review. Nanotechnol Rev. 2020;9:259–73. 10.1515/ntrev-2020-0021.Search in Google Scholar

[4] Ren ZC, Liu YY, Yuan LW, Luan CQ, Wang JB, Cheng X, et al. Optimizing the content of nano-SiO2, nano-TiO2 and nano-CaCO3 in Portland cement paste by response surface methodology. J Build Eng. 2021;35:102073. 10.1016/j.jobe.2020.102073.Search in Google Scholar

[5] Mohammad K, Hesam M. An investigation on the influence of nano silica morphology on the characteristics of cement composites. J Build Eng. 2020;30:101293. 10.1016/j.jobe.2020.101293.Search in Google Scholar

[6] Ahmed M, Serwan R, Wael M, Riyadh N, Hind A, Kawan G, et al. Microstructure characterizations, thermal properties, yield stress, plastic viscosity and compression strength of cement paste modified with nanosilica. J Mater Res Technol. 2020;9(5):10941–56. 10.1016/j.jmrt.2020.07.083.Search in Google Scholar

[7] Shuai B, Xinchun G, Guoyu L. Effect of the early-age frost damage and nano-SiO2 modification on the properties of Portland cement paste. Constr Build Mater. 2020;262:120098. 10.1016/j.conbuildmat.2020.120098.Search in Google Scholar

[8] Ahmed M, Serwan R, Wael M, Riyadh N, Kawan G, Warzer Q, et al. Characterization and modeling the flow behavior and compression strength of the cement paste modified with silica nano-size at different temperature conditions. Constr Build Mater. 2020;257:119590. 10.1016/j.conbuildmat.2020.119590.Search in Google Scholar

[9] Lavergne F, Belhadi R, Carriat J, Ben Fraj A. Effect of nano-silica particles on the hydration, the rheology and the strength development of a blended cement paste. Cem Concr Compos. 2019;95:42–55. 10.1016/j.cemconcomp.2018.10.007.Search in Google Scholar

[10] Akin A. Investigation of different permeability properties of self-healing cementitious composites under colloidal nano silica curing conditions. Struct Concr. 2021. 10.1002/suco.202000468.Search in Google Scholar

[11] Lang L, Liu N, Chen B. Strength development of solidified dredged sludge containing humic acid with cement, lime and nano-SiO2. Constr Build Mater. 2020;230:116971. 10.1016/j.conbuildmat.2019.116971.Search in Google Scholar

[12] Zhou F, Sun WB, Shao JL, Kong LJ, Geng XY. Experimental study on nano silica modified cement base grouting reinforcement materials. Geomech Eng. 2020;20:67–73. 10.12989/gae.2020.20.1.067.Search in Google Scholar

[13] Pengkun H, Shiho K, Deyu K, David JC, Jueshi Q, Surendra PS. Modification effects of colloidal nanoSiO2 on cement hydration and its gel property. Compos B Eng. 2013;45:440–8. 10.1016/j.compositesb.2012.05.056.Search in Google Scholar

[14] Snehal K, Das BB, Akanksha M. Early age, hydration, mechanical and microstructure properties of nano-silica blended cementitious composites. Constr Build Mater. 2020;233:117212. 10.1016/j.conbuildmat.2019.117212.Search in Google Scholar

[15] Xiaohai L, Baoguo M, Hongbo T, Ting Z, Junpeng M, Huahui Q, et al. Effects of colloidal nano-SiO2 on the immobilization of chloride ions in cement-fly ash system. Cem Concr Compos. 2020;110:103596. 10.1016/j.cemconcomp.2020.103596.Search in Google Scholar

[16] Deyu K, Haiwen P, Linhai W, David JC, Yang Y, Surendra PS, et al. Effect and mechanism of colloidal silica sol on properties and microstructure of the hardened cement-based materials as compared to nano-silica powder with agglomerates in micron-scale. Cem Concr Compos. 2019;98:137–49. 10.1016/j.cemconcomp.2019.02.015.Search in Google Scholar

[17] Haibin Y, Manuel M, Dapeng Z, Hongzhi C, Waiching T, Xiaohua B, et al. Effects of nano silica on the properties of cement-based materials: a comprehensive review. Constr Build Mater. 2021;282:122715. 10.1016/j.conbuildmat.2021.122715.Search in Google Scholar

[18] Mingli C, Xing M, Kaiyu H, Li L, Shirley S. Effect of macro-, micro- and nano-calcium carbonate on properties of cementitious composites – a review. Materials. 2019;12:781. 10.3390/ma12050781.Search in Google Scholar PubMed PubMed Central

[19] Teixeira CS, Wasielewsky JC, dos Santos GS, Bernardi A, Bortoluzzi EA, Roberti Garcia LF. Effect of the addition of nanoparticles of CaCO3 and different water-to-powder ratios on the physicochemical properties of white Portland cement. Microsc Res Tech. 2021;84:592–601. 10.1002/jemt.23617.Search in Google Scholar PubMed

[20] Taijiro S, Fatoumata D. Seeding effect of Nano-CaCO3 on the hydration of tricalcium silicate. Transport Res Res. 2010;2141:61–7. 10.3141/2141-11.Search in Google Scholar

[21] Yang HS, Li WW, Che YJ. 3D printing cementitious materials containing nano-CaCO3: workability, strength, and microstructure. Front Mater. 2020;7:260. 10.3389/fmats.2020.00260.Search in Google Scholar

[22] Anwar H, Faiz UAS. Influence of nano-CaCO3 addition on the compressive strength and microstructure of high volume slag and high volume slag-fly ash blended pastes. J Build Eng. 2020;27:100929. 10.1016/j.jobe.2019.100929.Search in Google Scholar

[23] Zhang S, Qiao WG, Wu Y, Fan ZW, Zhang L. Optimization of microfine-cement-based slurry containing microfine fly ash and nano-CaCO3 for microfracture grouting. B Eng Geol Environ. 2021;80. 10.1007/s10064-021-02199-1.Search in Google Scholar

[24] Faiz UAS, Steve WMS. Chloride induced corrosion durability of high volume fly ash concretes containing nano particles. Constr Build Mater. 2015;99:208–25. 10.1016/j.conbuildmat.2015.09.030.Search in Google Scholar

[25] Shiho K, Pengkun H, David JC, Surendra PS. Modification of cement-based materials with nanoparticles. Cem Concr Compos. 2013;36:8–15. 10.1016/j.cemconcomp.2012.06.012.Search in Google Scholar

[26] Zhen L, Siqi D, Xun Y, Baoguo H, Jinping O. Multifunctional cementitious composites modified with nano titanium dioxide: a review. Compos Part A. 2018;111:115–37. 10.1016/j.compositesa.2018.05.019.Search in Google Scholar

[27] Ikotun BD, Raheem AA. Characteristics of Wood Ash Cement Mortar Incorporating Green-Synthesized Nano-TiO2. Int J Concr Struct M. 2021;15. 10.1186/s40069-021-00456-x.Search in Google Scholar

[28] Wang J, Xu YQ, Wu XP, Zhang P, Hu SW. Advances of graphene- and graphene oxide-modified cementitious materials. Nanotechnol Rev. 2020;9:465–77. 10.1515/ntrev-2020-0041.Search in Google Scholar

[29] Lingchao L, Piqi Z, Zeyu L. A short discussion on how to effectively use graphene oxide to reinforce cementitious composites. Constr Build Mater. 2018;189:33–41. 10.1016/j.conbuildmat.2018.08.170.Search in Google Scholar

[30] Karthik C, Rama MRP. An intense review on the performance of graphene oxide and reduced graphene oxide in an admixed cement system. Constr Build Mater. 2020;259:120598. 10.1016/j.conbuildmat.2020.120598.Search in Google Scholar

[31] Li Z, Xinli G, Luguang S, Yang S, Guozhong D, Jiaping L. An intensive review on the role of graphene oxide in cement-based materials. Constr Build Mater. 2020;241:117939. 10.1016/j.conbuildmat.2019.117939.Search in Google Scholar

[32] Weijin L, Guoxue Z. Effect of reduced graphene oxide on the early-age mechanical properties of geopolymer cement. Mater Lett. 2020;276:128223. 10.1016/j.matlet.2020.128223.Search in Google Scholar

[33] Mokhtar MM, Abo-El-Enein SA, Hassaan MY, Morsy MS, Khalil MH. Mechanical performance, pore structure and micro-structural characteristics of graphene oxide nano platelets reinforced cement. Constr Build Mater. 2017;138:333–9. 10.1016/j.conbuildmat.2017.02.021.Search in Google Scholar

[34] Karthik C, Rama MRP. Strength properties of graphene oxide cement composites. Mater Today. 2020;8:1–5. 10.1016/j.matpr.2020.08.369.Search in Google Scholar

[35] Devi SC, Khan RA. Effect of graphene oxide on mechanical and durability performance of concrete. J Build Eng. 2020;27:101007. 10.1016/j.jobe.2019.101007.Search in Google Scholar

[36] Liu YT, Chen B, Qin ZH. Effect of nano-silica on properties and microstructures of magnesium phosphate cement. Constr Build Mater. 2020;264:120728. 10.1016/j.conbuildmat.2020.120728.Search in Google Scholar

[37] Bhatty JI. Hydration versus strength in a Portland cement developed from domestic mineral wastes – a comparative study. Thermochim Acta. 1986;106:93–103.10.1016/0040-6031(86)85120-6Search in Google Scholar

[38] EI-Jazairi B, IIIston JM. The hydration of cement paste using the semi-isothermal method of derivative thermogravimetry. Cem Concr Compos. 1980;10:361–6.10.1016/0008-8846(80)90111-8Search in Google Scholar

[39] Monteagudo SM, Moragues A, Gálvez JC, Casati MJ, Reyes E. The degree of hydration assessment of blended cement pastes by differential thermal and thermogravimetric analysis. Morphological evolution of the solid phases. Thermochim Acta. 2014;592:37–51.10.1016/j.tca.2014.08.008Search in Google Scholar

[40] Bykkam S, Rao KV, Chakra CHS, Thunugunta T. Synthesis and characterization of graphene oxide and its antimicrobial activity against Klebseilla and Staphylococcus. Int J Adv Biotechnol Res. 2013;4:142–6.Search in Google Scholar

[41] Makar JM, Chan GW, Beaudoin JJ, Torres F, Trischuk K. Effect of n-CaCO3 and metakaolin on hydrated Portland cement. Adv Cem Res. 2012;24:211–9. 10.1680/adcr.11.00010.Search in Google Scholar

[42] Wu Z, Shi C, Khayat KH, Wan S. Effects of different nanomaterials on hardening and performance of ultra-high strength concrete (UHSC). Cem Concr Compos. 2016;70:24–34. 10.1016/j.cemconcomp.2016.03.003.Search in Google Scholar

[43] Shenghua L, Jingjing L, Ting S, Yujuan M, Qingfang Z. Effect of GO nanosheets on shapes of cement hydration crystals and their formation process. Constr Build Mater. 2014;64:231–9. 10.1016/j.conbuildmat.2014.04.061.Search in Google Scholar

[44] Shenghua L, Yujuan M, Chaochao Q, Ting S, Jingjing L, Qingfang Z. Effect of graphene oxide nanosheets of microstructure and mechanical properties of cement composites. Constr Build Mater. 2013;49:121–7. 10.1016/j.conbuildmat.2013.08.022.Search in Google Scholar

[45] Shenghua L, Sun T, Jingjing L, Qingfang Z. Use of graphene oxide nanosheets to regulate the microstructure of hardened cement paste to increase its strength and toughness. CrystEngComm. 2014;16:8508–16. 10.1039/c4ce00684d.Search in Google Scholar

[46] Lv SH, Ma YJ, Qiu CC, Zhou QF. Regulation of GO on cement hydration crystals and its toughening effect. Mag Concrete Res. 2013;65:1246–54. 10.1680/macr.13.00190.Search in Google Scholar

[47] Singh LP, Bhattacharyya SK, Shah SP, Mishra G, Ahalawat S, Sharma U. Studies on early stage hydration of tricalcium silicate incorporating silica nanoparticles: Part I. Constr Build Mater. 2015;74:278–86. 10.1016/j.conbuildmat.2014.08.046.Search in Google Scholar

[48] Singh LP, Bhattacharyya SK, Shah SP, Mishra G, Sharma U. Studies on early stage hydration of tricalcium silicate incorporating silica nanoparticles: Part II. Constr Build Mater. 2016;102:943–9. 10.1016/j.conbuildmat.2015.05.084.Search in Google Scholar

[49] Singh LP, Ali D, Sharma U. Studies on optimization of silica nanoparticles dosage in cementitious system. Cem Concr Compos. 2016;70:60–8. 10.1016/j.cemconcomp.2016.03.006.Search in Google Scholar

[50] Jun C, Shi-cong K, Chi-sun P. Hydration and properties of nano-TiO2 blended cement composites. Cem Concr Compos. 2012;34:642–9. 10.1016/j.cemconcomp.2012.02.009.Search in Google Scholar

[51] Keivan A, Keivan A, Behfarnia K. The effects of TiO2 and ZnO nanoparticles on physical and mechanical properties of normal concrete. Asian J Civ Eng. 2013;14:517–31.Search in Google Scholar

[52] Kurihara R, Maruyama I. Influences of nano-TiO2 particles on alteration of microstructure of hardened cement. https://www.researchgate.net/publication/304755102Search in Google Scholar

Received: 2021-04-09
Revised: 2021-05-06
Accepted: 2021-05-06
Published Online: 2021-05-31

© 2021 Tao Meng et al., published by De Gruyter

This work is licensed under the Creative Commons Attribution 4.0 International License.

Articles in the same Issue

  1. Research Articles
  2. Improved impedance matching by multi-componential metal-hybridized rGO toward high performance of microwave absorption
  3. Pure-silk fibroin hydrogel with stable aligned micropattern toward peripheral nerve regeneration
  4. Effective ion pathways and 3D conductive carbon networks in bentonite host enable stable and high-rate lithium–sulfur batteries
  5. Fabrication and characterization of 3D-printed gellan gum/starch composite scaffold for Schwann cells growth
  6. Synergistic strengthening mechanism of copper matrix composite reinforced with nano-Al2O3 particles and micro-SiC whiskers
  7. Deformation mechanisms and plasticity of ultrafine-grained Al under complex stress state revealed by digital image correlation technique
  8. On the deformation-induced grain rotations in gradient nano-grained copper based on molecular dynamics simulations
  9. Removal of sulfate from aqueous solution using Mg–Al nano-layered double hydroxides synthesized under different dual solvent systems
  10. Microwave-assisted sol–gel synthesis of TiO2-mixed metal oxide nanocatalyst for degradation of organic pollutant
  11. Electrophoretic deposition of graphene on basalt fiber for composite applications
  12. Polyphenylene sulfide-coated wrench composites by nanopinning effect
  13. Thermal conductivity and thermoelectric properties in 3D macroscopic pure carbon nanotube materials
  14. An effective thermal conductivity and thermomechanical homogenization scheme for a multiscale Nb3Sn filaments
  15. Friction stir spot welding of AA5052 with additional carbon fiber-reinforced polymer composite interlayer
  16. Improvement of long-term cycling performance of high-nickel cathode materials by ZnO coating
  17. Quantum effects of gas flow in nanochannels
  18. An approach to effectively improve the interfacial bonding of nano-perfused composites by in situ growth of CNTs
  19. Effects of nano-modified polymer cement-based materials on the bending behavior of repaired concrete beams
  20. Effects of the combined usage of nanomaterials and steel fibres on the workability, compressive strength, and microstructure of ultra-high performance concrete
  21. One-pot solvothermal synthesis and characterization of highly stable nickel nanoparticles
  22. Comparative study on mechanisms for improving mechanical properties and microstructure of cement paste modified by different types of nanomaterials
  23. Effect of in situ graphene-doped nano-CeO2 on microstructure and electrical contact properties of Cu30Cr10W contacts
  24. The experimental study of CFRP interlayer of dissimilar joint AA7075-T651/Ti-6Al-4V alloys by friction stir spot welding on mechanical and microstructural properties
  25. Vibration analysis of a sandwich cylindrical shell in hygrothermal environment
  26. Water barrier and mechanical properties of sugar palm crystalline nanocellulose reinforced thermoplastic sugar palm starch (TPS)/poly(lactic acid) (PLA) blend bionanocomposites
  27. Strong quadratic acousto-optic coupling in 1D multilayer phoxonic crystal cavity
  28. Three-dimensional shape analysis of peripapillary retinal pigment epithelium-basement membrane layer based on OCT radial images
  29. Solvent regulation synthesis of single-component white emission carbon quantum dots for white light-emitting diodes
  30. Xanthate-modified nanoTiO2 as a novel vulcanization accelerator enhancing mechanical and antibacterial properties of natural rubber
  31. Effect of steel fiber on impact resistance and durability of concrete containing nano-SiO2
  32. Ultrasound-enhanced biosynthesis of uniform ZnO nanorice using Swietenia macrophylla seed extract and its in vitro anticancer activity
  33. Temperature dependence of hardness prediction for high-temperature structural ceramics and their composites
  34. Study on the frequency of acoustic emission signal during crystal growth of salicylic acid
  35. Controllable modification of helical carbon nanotubes for high-performance microwave absorption
  36. Role of dry ozonization of basalt fibers on interfacial properties and fracture toughness of epoxy matrix composites
  37. Nanosystem’s density functional theory study of the chlorine adsorption on the Fe(100) surface
  38. A rapid nanobiosensing platform based on herceptin-conjugated graphene for ultrasensitive detection of circulating tumor cells in early breast cancer
  39. Improving flexural strength of UHPC with sustainably synthesized graphene oxide
  40. The role of graphene/graphene oxide in cement hydration
  41. Structural characterization of microcrystalline and nanocrystalline cellulose from Ananas comosus L. leaves: Cytocompatibility and molecular docking studies
  42. Evaluation of the nanostructure of calcium silicate hydrate based on atomic force microscopy-infrared spectroscopy experiments
  43. Combined effects of nano-silica and silica fume on the mechanical behavior of recycled aggregate concrete
  44. Safety study of malapposition of the bio-corrodible nitrided iron stent in vivo
  45. Triethanolamine interface modification of crystallized ZnO nanospheres enabling fast photocatalytic hazard-free treatment of Cr(vi) ions
  46. Novel electrodes for precise and accurate droplet dispensing and splitting in digital microfluidics
  47. Construction of Chi(Zn/BMP2)/HA composite coating on AZ31B magnesium alloy surface to improve the corrosion resistance and biocompatibility
  48. Experimental and multiscale numerical investigations on low-velocity impact responses of syntactic foam composites reinforced with modified MWCNTs
  49. Comprehensive performance analysis and optimal design of smart light pole for cooperative vehicle infrastructure system
  50. Room temperature growth of ZnO with highly active exposed facets for photocatalytic application
  51. Influences of poling temperature and elongation ratio on PVDF-HFP piezoelectric films
  52. Large strain hardening of magnesium containing in situ nanoparticles
  53. Super stable water-based magnetic fluid as a dual-mode contrast agent
  54. Photocatalytic activity of biogenic zinc oxide nanoparticles: In vitro antimicrobial, biocompatibility, and molecular docking studies
  55. Hygrothermal environment effect on the critical buckling load of FGP microbeams with initial curvature integrated by CNT-reinforced skins considering the influence of thickness stretching
  56. Thermal aging behavior characteristics of asphalt binder modified by nano-stabilizer based on DSR and AFM
  57. Building effective core/shell polymer nanoparticles for epoxy composite toughening based on Hansen solubility parameters
  58. Structural characterization and nanoscale strain field analysis of α/β interface layer of a near α titanium alloy
  59. Optimization of thermal and hydrophobic properties of GO-doped epoxy nanocomposite coatings
  60. The properties of nano-CaCO3/nano-ZnO/SBR composite-modified asphalt
  61. Three-dimensional metallic carbon allotropes with superhardness
  62. Physical stability and rheological behavior of Pickering emulsions stabilized by protein–polysaccharide hybrid nanoconjugates
  63. Optimization of volume fraction and microstructure evolution during thermal deformation of nano-SiCp/Al–7Si composites
  64. Phase analysis and corrosion behavior of brazing Cu/Al dissimilar metal joint with BAl88Si filler metal
  65. High-efficiency nano polishing of steel materials
  66. On the rheological properties of multi-walled carbon nano-polyvinylpyrrolidone/silicon-based shear thickening fluid
  67. Fabrication of Ag/ZnO hollow nanospheres and cubic TiO2/ZnO heterojunction photocatalysts for RhB degradation
  68. Fabrication and properties of PLA/nano-HA composite scaffolds with balanced mechanical properties and biological functions for bone tissue engineering application
  69. Investigation of the early-age performance and microstructure of nano-C–S–H blended cement-based materials
  70. Reduced graphene oxide coating on basalt fabric using electrophoretic deposition and its role in the mechanical and tribological performance of epoxy/basalt fiber composites
  71. Effect of nano-silica as cementitious materials-reducing admixtures on the workability, mechanical properties and durability of concrete
  72. Machine-learning-assisted microstructure–property linkages of carbon nanotube-reinforced aluminum matrix nanocomposites produced by laser powder bed fusion
  73. Physical, thermal, and mechanical properties of highly porous polylactic acid/cellulose nanofibre scaffolds prepared by salt leaching technique
  74. A comparative study on characterizations and synthesis of pure lead sulfide (PbS) and Ag-doped PbS for photovoltaic applications
  75. Clean preparation of washable antibacterial polyester fibers by high temperature and high pressure hydrothermal self-assembly
  76. Al 5251-based hybrid nanocomposite by FSP reinforced with graphene nanoplates and boron nitride nanoparticles: Microstructure, wear, and mechanical characterization
  77. Interlaminar fracture toughness properties of hybrid glass fiber-reinforced composite interlayered with carbon nanotube using electrospray deposition
  78. Microstructure and life prediction model of steel slag concrete under freezing-thawing environment
  79. Synthesis of biogenic silver nanoparticles from the seed coat waste of pistachio (Pistacia vera) and their effect on the growth of eggplant
  80. Study on adaptability of rheological index of nano-PUA-modified asphalt based on geometric parameters of parallel plate
  81. Preparation and adsorption properties of nano-graphene oxide/tourmaline composites
  82. A study on interfacial behaviors of epoxy/graphene oxide derived from pitch-based graphite fibers
  83. Multiresponsive carboxylated graphene oxide-grafted aptamer as a multifunctional nanocarrier for targeted delivery of chemotherapeutics and bioactive compounds in cancer therapy
  84. Piezoresistive/piezoelectric intrinsic sensing properties of carbon nanotube cement-based smart composite and its electromechanical sensing mechanisms: A review
  85. Smart stimuli-responsive biofunctionalized niosomal nanocarriers for programmed release of bioactive compounds into cancer cells in vitro and in vivo
  86. Photoremediation of methylene blue by biosynthesized ZnO/Fe3O4 nanocomposites using Callistemon viminalis leaves aqueous extract: A comparative study
  87. Study of gold nanoparticles’ preparation through ultrasonic spray pyrolysis and lyophilisation for possible use as markers in LFIA tests
  88. Review Articles
  89. Advance on the dispersion treatment of graphene oxide and the graphene oxide modified cement-based materials
  90. Development of ionic liquid-based electroactive polymer composites using nanotechnology
  91. Nanostructured multifunctional electrocatalysts for efficient energy conversion systems: Recent perspectives
  92. Recent advances on the fabrication methods of nanocomposite yarn-based strain sensor
  93. Review on nanocomposites based on aerospace applications
  94. Overview of nanocellulose as additives in paper processing and paper products
  95. The frontiers of functionalized graphene-based nanocomposites as chemical sensors
  96. Material advancement in tissue-engineered nerve conduit
  97. Carbon nanostructure-based superhydrophobic surfaces and coatings
  98. Functionalized graphene-based nanocomposites for smart optoelectronic applications
  99. Interfacial technology for enhancement in steel fiber reinforced cementitious composite from nano to macroscale
  100. Metal nanoparticles and biomaterials: The multipronged approach for potential diabetic wound therapy
  101. Review on resistive switching mechanisms of bio-organic thin film for non-volatile memory application
  102. Nanotechnology-enabled biomedical engineering: Current trends, future scopes, and perspectives
  103. Research progress on key problems of nanomaterials-modified geopolymer concrete
  104. Smart stimuli-responsive nanocarriers for the cancer therapy – nanomedicine
  105. An overview of methods for production and detection of silver nanoparticles, with emphasis on their fate and toxicological effects on human, soil, and aquatic environment
  106. Effects of chemical modification and nanotechnology on wood properties
  107. Mechanisms, influencing factors, and applications of electrohydrodynamic jet printing
  108. Application of antiviral materials in textiles: A review
  109. Phase transformation and strengthening mechanisms of nanostructured high-entropy alloys
  110. Research progress on individual effect of graphene oxide in cement-based materials and its synergistic effect with other nanomaterials
  111. Catalytic defense against fungal pathogens using nanozymes
  112. A mini-review of three-dimensional network topological structure nanocomposites: Preparation and mechanical properties
  113. Mechanical properties and structural health monitoring performance of carbon nanotube-modified FRP composites: A review
  114. Nano-scale delivery: A comprehensive review of nano-structured devices, preparative techniques, site-specificity designs, biomedical applications, commercial products, and references to safety, cellular uptake, and organ toxicity
  115. Effects of alloying, heat treatment and nanoreinforcement on mechanical properties and damping performances of Cu–Al-based alloys: A review
  116. Recent progress in the synthesis and applications of vertically aligned carbon nanotube materials
  117. Thermal conductivity and dynamic viscosity of mono and hybrid organic- and synthetic-based nanofluids: A critical review
  118. Recent advances in waste-recycled nanomaterials for biomedical applications: Waste-to-wealth
  119. Layup sequence and interfacial bonding of additively manufactured polymeric composite: A brief review
  120. Quantum dots synthetization and future prospect applications
  121. Approved and marketed nanoparticles for disease targeting and applications in COVID-19
  122. Strategies for improving rechargeable lithium-ion batteries: From active materials to CO2 emissions
Downloaded on 18.1.2026 from https://www.degruyterbrill.com/document/doi/10.1515/ntrev-2021-0027/html
Scroll to top button