Abstract
Hardness is one of the important mechanical properties of high-temperature structural ceramics and their composites. In spite of the extensive use of the materials in high-temperature applications, there are few theoretical models for analyzing their temperature-dependent hardness. To fill this gap in the available literature, this work is focused on developing novel theoretical models for the temperature dependence of the hardness of the ceramics and their composites. The proposed model is just expressed in terms of some basic material parameters including Young’s modulus, melting points, and critical damage size corresponding to plastic deformation, which has no fitting parameters, thereby being simple for materials scientists and engineers to use in the material design. The model predictions for the temperature dependence of hardness of some oxide ceramics, non-oxide ceramics, ceramic–ceramic composites, diamond–ceramic composites, and ceramic-based cermet are presented, and excellent agreements with the experimental measurements are shown. Compared with the experimental measurements, the developed model can effectively save the cost when applied in the material design, which could be used to predict at any targeted temperature. Furthermore, the models could be used to determine the underlying control mechanisms of the temperature dependence of the hardness of the materials.
1 Introduction
High-temperature structural ceramics including oxide structural ceramics and non-oxide structural ceramics are widely used in various industrial fields such as aerospace due to their excellent mechanical and thermal properties [1,2,3,4]. Furthermore, the ceramics are used as substrates or reinforcing materials to prepare composite materials, to improve performance and stability, such as ceramic–ceramic composites, diamond–ceramic composites, and ceramic-based cermet [5,6,7,8,9,10].
Because of the material’s high-temperature applications, the characterization of mechanical properties of the material at different temperatures is very important. Considering that hardness is one of the important mechanical properties of the materials, the temperature dependence of hardness is a critical point, and the hardness at different temperatures has also been a hot topic [11,12,13,14,15,16]. Wang and Hon tested the hardness of Al2O3, mullite, and SiC ceramics at different temperatures and discussed the factors influencing the hardness [11]. Gibson et al. tested the hardness and Young’s modulus of Cr2AlC ceramic up to 980°C [12]. Niihara et al. measured the temperature-dependent hardness of an Al2O3–5% SiC composite up to about 1100°C and analyzed the effect of SiC particles on the hardness [13]. Cygan et al. investigated the hardness of the diamond–ceramic composites at elevated temperatures [14]. Milman et al. reported the temperature dependence of hardness of porous SiC ceramics with porosity of 5, 16, and 20% up to 900°C and discussed the effects of porosity on the mechanical properties of the materials [15]. Zunega tested the high-temperature hardness of the WC–6% Co and WC–10% Co composites [16]. All of the above-mentioned experimental measurements reported that the hardness of the ceramics and their composites are highly temperature-dependent. However, there is still scant knowledge on the predictive models for the temperature dependence of the hardness of the ceramics and their composites in the available literature. The quantitative relationships of the hardness with temperature and material parameters are barely known. As a result, the underlying mechanisms of the changing trends of the hardness with temperature are largely unclear, thus limiting the further design of the materials for the high-temperature applications.
In our previous work [17], based on the concept of the maximum energy storage limit of a ceramic associated with the material yielding, a simple temperature-dependent model of the hardness of ceramics without considering the damage factor was expressed by Young’s modulus and melting points. In this work, to further fill these research gaps, we developed a novel and highly efficient theoretical method that can be used to predict the temperature dependence of the hardness of different types of ceramics and their composites by using some basic material parameters, Young’s modulus, the melting point, and the critical damage size. The proposed models are verified by the excellent agreements between the predictions and the experimental measurements.
2 Theoretical models
The hardness of the ceramic materials corresponds to the yield stress under indentation. The hardness and the yield stress are showed to have the following simple relation [18]:
where H is the hardness of materials,
Assuming that the hardness and the yield stress of the materials at a reference temperature T 0 and a certain temperature T are known, one can obtain the following [17]:
In equations (2a) and (2b),
Under indentation, there is an energy balance between the energy for the creation of new solid surfaces
In equations (3a) and (3b),
The increase in temperature can lead to the material yielding. The study showed that there exists maximum storage of energy associated with the onset of material yielding [17,20], which should include the energy for the plastic deformation and the corresponding heat energy, i.e., molecular kinetic energy,
where
where
Then,
At the melting temperature T
m,
Then, combining equations (5), (6), and (8), a novel and quite simple theoretical model for the temperature dependence of the hardness of the ceramic materials can be proposed as follows:
It can be observed that the used parameters are not created when this model is developed. The Young’s modulus of the materials at a high temperature can be obtained by the experimental measurements or the existing empirical formula. The melting point of the materials can be obtained just from the material handbook. The critical damage size of the materials can be obtained through microscopic measurements [7,19]. Compared with the simple temperature-dependent hardness model of the ceramics reported by Wang et al. [17], the critical damage size is considered in this model (equation (9)), which can thus better analyze the main mechanisms of controlling hardness at different temperatures.
For the ceramic composites, the expression of the hardness of the materials in equation (9) can also be given by the simple rule of mixtures as follows:
where
A simple relationship between the pore volume fraction P and the Young’s modulus of the ceramics E can be expressed as follows [15]:
where
Then, by considering the sensitivities of the thermophysical properties of the materials to temperature, a simple theoretical model for depicting the temperature dependence of the hardness of the porous ceramic materials (equation (12)) can be developed by using equations (9) and (11):
where
It should be noted that all the developed models (equations (9)–(12)) have no fitting parameters, which could be simple to implement in engineering applications. No such hardness model of the ceramics, composites, or porous materials considering the combined effects of temperature and damage factors and without any fitting parameters has previously been reported.
3 Results and discussion
In this part, the hardness of some oxide and non-oxide ceramics, composite materials, and porous materials with respect to temperature are predicted and compared with the experimental measurements. During calculation, Young’s modulus of each material is obtained from the experiment or just used the existing empirical formula. The melting points of the materials are mainly sourced from the material handbook [21]. The melting point of a ceramic composite is simply taken as the melting point of the matrix.
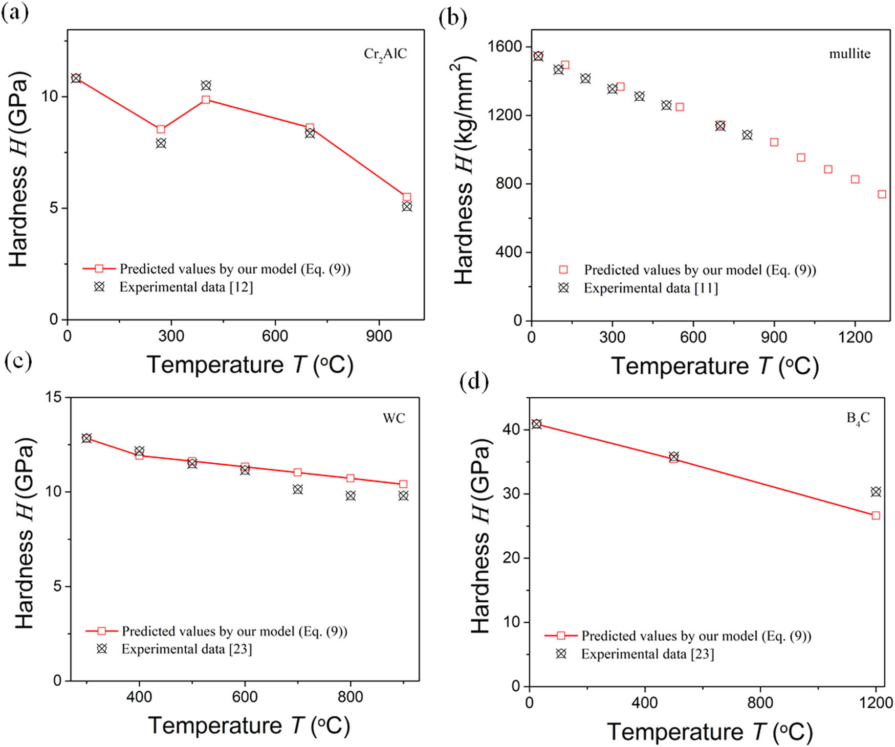
Figure 1 shows the comparisons between measured and predicted hardness of some ceramics at high temperature by equation (9). During prediction, the experimental Young’s moduli of the Cr2AlC and mullite ceramics are used [12,22]. The Young’s moduli of the WC and B4C ceramics are calculated by equations (13) and (14) [23]:

Comparison between the model-predicted and measured hardness of some ceramics at high temperature: (a) Cr2AlC, (b) mullite, (c) WC, and (d) B4C.
The melting point of the Cr2AlC ceramic is sourced from ref. [24]. For all the above-mentioned predicted ceramics, the ratio of R(T 0)/R(T) is assumed to be 1 based on the measured temperature dependence of the hardness of the ceramic [11,12,23]. The model predictions are shown to agree very well with data from experiments, thereby confirming that the critical damage size R of each ceramic in the studied temperature range is nearly temperature independent. Under such circumstances, the developed temperature-dependent hardness model of the materials (equation (9)) can be simplified to equation (15), just as the model developed in our previous work [17]. Then, the hardness of the materials at high temperatures can be calculated just by using Young’s modulus and the melting point [17].
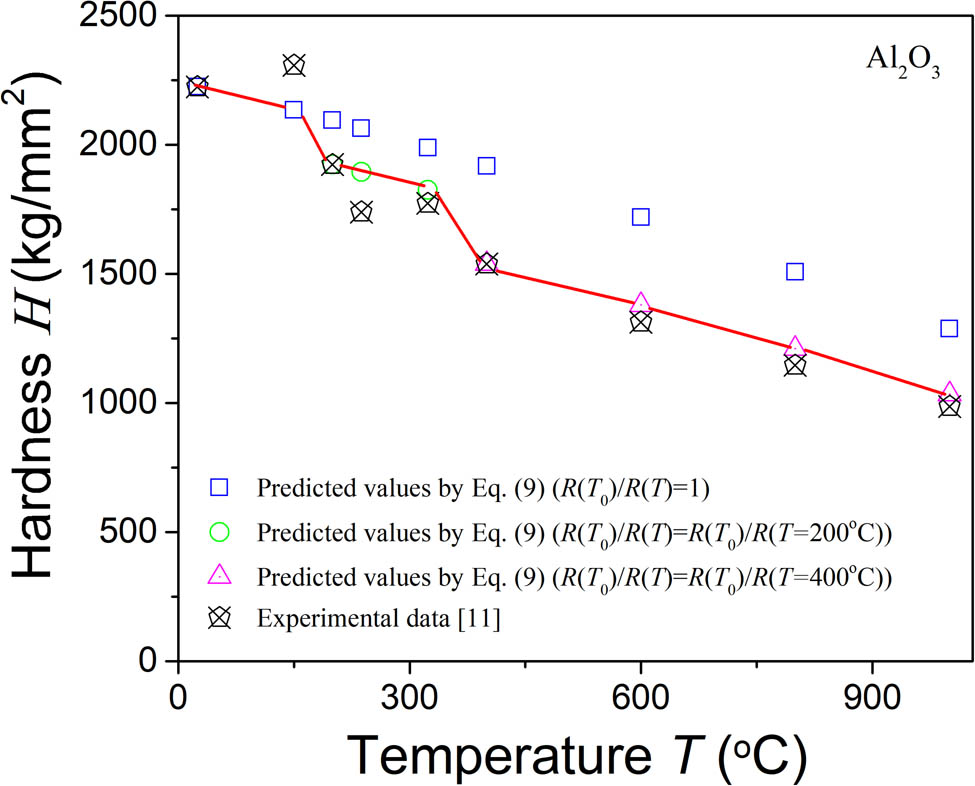
Figure 2 shows the model predictions and experimental data of the temperature-dependent hardness of an Al2O3 ceramic. During prediction, Young’s modulus of the Al2O3 ceramic is calculated by equation (16) [25]:

Comparison between the model-predicted and measured hardness of an Al2O3 ceramic at high temperature.
When defining R(T 0)/R(T) as 1, the predicted value of the hardness of the ceramic at 150°C agrees very well with the experimental data. However, at and above 200°C, the predicted values are much bigger than the tested values, especially above 400°C. According to the experimental obtainment of the temperature dependence of the hardness of the ceramic [11], two obvious turning points (sharp decline) occurred at 200 and 400°C. Some experimental findings showed that the grain-boundary degradation at a certain temperature could cause a rapid decline in the yield stress at this temperature [26,27], and this can be reflected by the change in the critical damage size [20]. In this work, it is considered that at 200 and 400°C, the effects of temperature such as grain-boundary degradation cause the change of the critical damage size of this ceramic [11]. We thus calculate the R(T 0)/R(T) at 200 and 400°C by using the model (equation (9)) and the tested hardness at the two temperature points, which are used to predict the hardness of this ceramic at higher temperatures. Figure 2 indicates the surprising agreements between the model-predicted and tested values in the temperature ranges of 200–400°C and 400–1000°C (see the red line). It can be observed that our model predictions reveal the reason for the rapid decline of the hardness of the material at 200 and 400°C. And more importantly, the model is capable of giving the temperature range where the material hardness is significantly affected by this reason. Additionally, apart from the model prediction, clearly, our proposed model could also become an experimental design tool for the selection of temperature points.
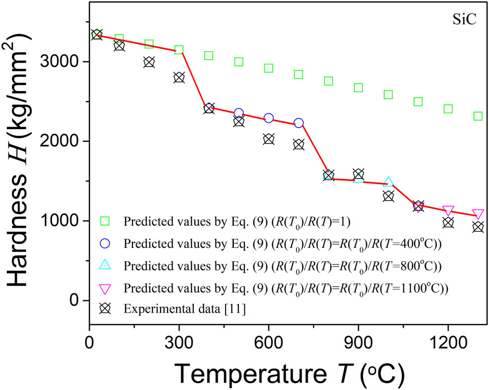
Figure 3 shows the comparison between the model-predicted and measured hardness of a SiC ceramic. During prediction, Young’s modulus of the SiC ceramic is calculated by equation (17) [6].

Comparison between the model-predicted and measured hardness of a SiC ceramic at high temperature.
Similarly, as the temperature increases, the temperature points at which the hardness of the material drops sharply can be observed from the figure. The model cannot make a good quantitative characterization at the temperature point if the underlying effect of this phenomenon is not included. We consider that the changes in microstructures such as weak grain boundary with temperature cause changes in critical damage sizes corresponding to the yield stress at thoee temperatures. We thus calculate the R(T 0)/R(T) at 400, 800, and 1100°C by using the model (equation (9)) and the corresponding measured hardness of the materials, which are used to predict the hardness of this ceramic at higher temperatures. This indicates the excellent agreements between model predictions and measurements of the hardness of the material at different temperatures (see the red line), thereby providing the validation of the authors’ definition of the critical damage size at some certain temperature and showing its applicable temperature range.
Figure 4 shows the comparison between the measured and model-predicted temperature dependence of hardness of the Al2O3–SiC, diamond–TiC, and diamond–TiB2 composites by equation (10). During prediction, the used Young’s moduli of Al2O3 [25], SiC [6], diamond [28], TiC [29], and TiB2 [30] are given by equations (16)–(20):

Comparison between the model-predicted and measured hardness of some ceramic composites at high temperature: (a) Al2O3–SiC, (b) diamond–TiC, (c) diamond–TiB2.
As there are no temperature points at which the hardness of the materials decreases sharply [13,14], the ratio of R(T 0)/R(T) of the materials is set to be 1 in the studied temperature range. Under such circumstances, the model predictions for the hardness of the composite materials are all in surprising agreement with the measured values.
Taken together, the model to tested data comparisons reveal that when the sharp declines of the hardness of the materials occur at some temperature points, the change of critical damage size corresponding to the yielding of the materials should be considered. Figure 5 shows the comparisons between theory (equation (12)) and experiments of the temperature dependence of the hardness of the porous SiC ceramics with different porosities. During calculation, the expression of equation (17) of Young’s modulus of SiC is used [6]. The Poisson’s ratio of the material is considered to be temperature independent [6]. According to the changing trend of the measured hardness of the material with temperature [15], the ratios of R(T 0)/R(T) of the material with a porosity of 5% at 400 and 600°C, the material with a porosity of 16% at 800°C, and the material with a porosity of 20% at 800°C are calculated by using the proposed model (equation (12)) and the measured hardness at the corresponding temperature. Then, the obtained ratios are used to predict the hardness of the materials at the higher temperatures. Figure 5 indicates the excellent agreements between the model predictions and experimental measurements, thus verifying our assumption of the effect of critical damage size with respect to temperature on the hardness of the porous ceramic materials at high temperatures. Furthermore, this reflects the thermal stability of the different porous materials. For example, the thermal stability of the material with a porosity of 5% is lower than the materials a with porosity of 16 and 20%, which showed the obvious reduction of hardness at a lower temperature [15]. Finally, the comparisons reveal that the model is capable of predicting the hardness of the porous materials at high temperatures and showing the temperature dependence of the stability of different pore materials.

Comparison between the model-predicted and measured hardness of the porous SiC ceramics with different porosity at high temperature: (a) 5%, (b) 16%, (c) 20%.
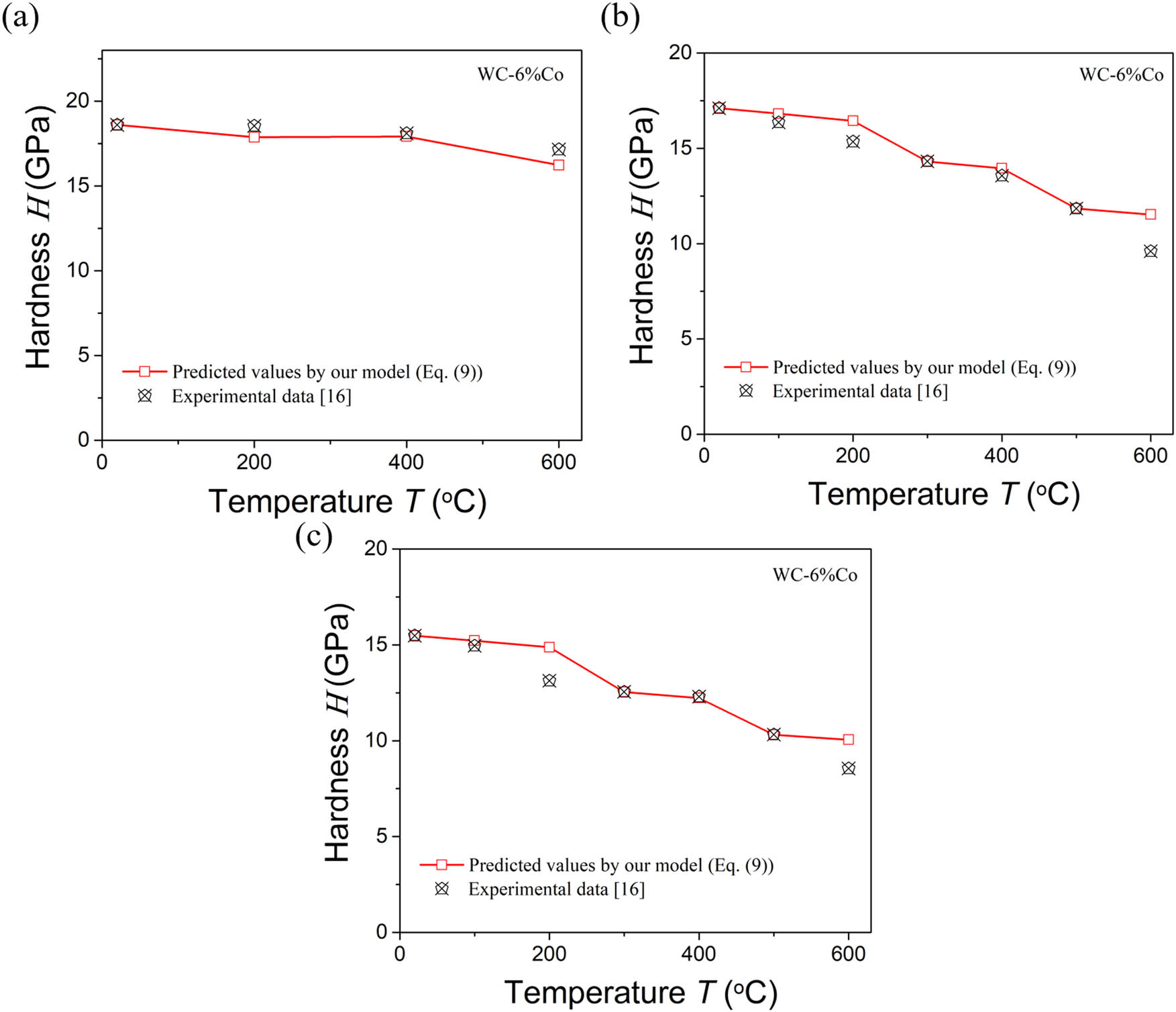
We also use the developed temperature-dependent hardness model to predict the hardness of WC-based cermet (also known as the cemented carbides). Figure 6 compares the model predictions for the hardness of WC–6% Co and tested values. During prediction, the used Young’s moduli of materials are sauced from Ref. [31]. The ratio of R(T 0)/R(T) of the material in Figure 6(a) is assumed to be 1. The ratios of R(T 0)/R(T) of the materials in Figure 6(b) and (c) are equal to 1 lower than 300°C, equal to the value of R(T 0)/R(T = 300°C) in the temperature range of 300–500°C and equal to the value of R(T 0)/R(T = 500°C) higher than 500°C. These definitions are based on the changing trends of the hardness of the materials with respect to temperature [16]. The ratios of R(T 0)/R(T) of the materials in Figure 6(b) and (c) at 300 and 500°C are calculated by using the proposed model and the measured hardness. Figure 6 shows the excellent agreements between the measured and predicted values.

Comparison between the model-predicted and measured hardness of the WC–6% Co composites at high temperature: (a) WC–6% Co composite, (b) 0.87 WC–6% Co composite, (c) 0.87 WC–6% Co composite with pile-up.
Figure 7 compares the model predictions for the temperature-dependent hardness of WC–10% Co and tested values. During prediction, the used Young’s moduli of the materials are sauced from ref. [30]. Based on the measured temperature dependence of the hardness of the materials [16], the ratios of R(T 0)/R(T) of the materials in Figure 7(a) and (b) are set to be 1 lower than 500°C and which are assumed to equal to R(T 0)/R(T = 500°C) higher than 500°C. The ratio R(T 0)/R(T = 500°C) is calculated by using the proposed model and the measured hardness at 500°C. As observed from Figure 7, the surprising excellent agreements are obtained between the model predictions and measured values, thereby showing the model’s capable of predicting the hardness of the ceramic-based cermet at high temperatures.

Comparison between the model-predicted and measured hardness of the WC–10% Co composites at high temperature: (a) 0.87 WC–10% Co composite, (b) 0.87 WC–10% Co composite with pile-up.
In summary, the comparisons between the model-predicted and measured values of the hardness of oxide ceramics, non-oxide ceramics, ceramic–ceramic composites, diamond–ceramic composites, porous ceramics, and ceramic-based cermet in different temperature ranges, as described earlier, illustrate the capacity of the model to predict the temperature dependence of the hardness of ceramics and their composites. When the critical damage size of the materials is nearly temperature independent in a certain temperature range, one can just use the values of Young’s modulus and melting points to obtain the temperature dependence of the hardness of the materials.
While for the materials for which the critical damage size changes with the increase of the temperature, the effect of temperature on the critical damage size should be considered. However, owing to the lack of a theoretical model that can quantitatively characterize the temperature dependence of hardness of the materials, the researchers give the many possible influencing factors while without the determined key control mechanisms. No researchers realize and propose the influence of the critical damage size and its change with the temperature on the hardness of the materials at high temperatures. Even for the fracture strength of the ceramics at high temperature, it is found that only the experimental work of Neuman et al. [5] proposed the concept of the temperature-dependent critical flaw size. The determination of the critical flaw size of the materials leads them to found the key control mechanisms (the certain microstructure) of the strength at different temperatures [5]. Therefore, with the help of the developed temperature-dependent hardness model in this work, the future work should be devoted to characterizing the effect of certain microstructures on the hardness of the materials at high temperatures, as to determine the key control mechanisms of the hardness of the materials, which can be used directly in the design of materials for the high-temperature applications.
4 Conclusion
In this work, the novel and simple theoretical models for predicting temperature dependence of the hardness of the high-temperature structural ceramics and their composites are presented. The developed temperature-dependent models are just expressed in terms of Young’s modulus, melting points, and critical damage size, which are simple for engineering applications. Several examples of oxide ceramics, non-oxide ceramics, ceramic–ceramic composites, diamond–ceramic composites, porous ceramics, and ceramic-based cermet are presented and analyzed to show that the model-predicted value agrees very well with the measured data. The authors believe that the novel models proposed in this study could provide practical and simple tools for guidelines to materials scientists and engineers in the design of high-temperature structural ceramics in critical applications. By using the developed novel model, the future work would be devoted to characterizing the effects of certain microstructures on the hardness of the materials at high temperatures, as to determine the key control mechanisms of the hardness of the materials at different temperatures. This could become a new entry point for the temperature dependence of the hardness of the materials. This can also further verify the applicability and rationality of this modeling idea.
-
Funding information: This work was supported by the National Natural Science Foundation of China under Grant Nos. 11972100, 11602044, and 11727802, and the Project Foundation of Chongqing Municipal Education Committee under Grant No. KJQN201801535.
-
Author contributions: All authors have accepted responsibility for the entire content of this manuscript and approved its submission.
-
Conflict of interest: The authors state no conflict of interest.
References
[1] Katz RN. High-temperature structural ceramics. Science. 1980;208:841–7.10.1126/science.208.4446.841Search in Google Scholar PubMed
[2] Raj R. Fundamental research in structural ceramics for service near 2000°C. J Am Ceram Soc. 1993;76:2147–74.10.1111/j.1151-2916.1993.tb07750.xSearch in Google Scholar
[3] Yu Z, Lv X, Mao K, Yang Y, Liu A. Role of in-situ formed free carbon on electromagnetic absorption properties of polymer-derived SiC ceramics. J Adv Ceram. 2020;9:617–28.10.1007/s40145-020-0401-xSearch in Google Scholar
[4] Wu Q, Miao W, Zhang Y, Gao H, Hui D. Mechanical properties of nanomaterials: a review. Nanotechnol Rev. 2020;9:259–73.10.1515/ntrev-2020-0021Search in Google Scholar
[5] Neuman E, Hilmas G, Fahrenholtz W. Mechanical behavior of zirconium diboride–silicon carbide–boron carbide ceramics up to 2200°C. J Eur Ceram Soc. 2015;35:463–76.10.1016/j.jeurceramsoc.2014.09.021Search in Google Scholar
[6] Wang R, Li W, Ji B, Fang D. Fracture strength of the particulate-reinforced ultra-high temperature ceramics based on a temperature dependent fracture toughness model. J Mech Phys Solids. 2017;107:365–78.10.1016/j.jmps.2017.07.012Search in Google Scholar
[7] Skrzypczak M, Guerret-Piecourt C, Bec S, Loubet JL, Guerret O. Use of a nanoindentation fatigue test to characterize the ductile-brittle transition. J Eur Ceram Soc. 2009;29:1021–8.10.1016/j.jeurceramsoc.2008.07.066Search in Google Scholar
[8] Wang R, Li D, Wang X, Li W. Temperature dependent fracture toughness of the particulate-reinforced ultra-high-temperature-ceramics considering effects of change in critical flaw size and plastic power. Compos Part B-Eng. 2019;158:28–33.10.1016/j.compositesb.2018.09.049Search in Google Scholar
[9] Herrmann M, Matthey B, Höhn S, Kinski I, Rafaja D, Michaelis A. Diamond-ceramics composites — new materials for a wide range of challenging applications. J Eur Ceram Soc. 2012;32:1915–23.10.1016/j.jeurceramsoc.2011.11.005Search in Google Scholar
[10] Zhou X, Jing L, Kwon YD, Kim JY, Huang Z, Yoon DH, et al. Fabrication of SiCw/Ti3SiC2 composites with improved thermal conductivity and mechanical properties using spark plasma sintering. J Adv Ceram. 2020;9:462–70.10.1007/s40145-020-0389-2Search in Google Scholar
[11] Wang HL, Hon MH. Temperature dependence of ceramics hardness. Ceram Int. 1999;25:267–71.10.1016/S0272-8842(98)00035-2Search in Google Scholar
[12] Gibson JSK-L, Gonzalez-Julian J, Krishnan S, Vaßen R, Korte-Kerzel S. Mechanical characterisation of the protective Al2O3 scale in Cr2AlC MAX phases. J Eur Ceram Soc. 2019;39:5149–55.10.1016/j.jeurceramsoc.2019.07.045Search in Google Scholar
[13] Niihara K, Nakahira A, Uchiyama T, Hirai T. High-temperature mechanical properties of Al2O3-SiC composites. In Bradt RC, Evans AG, Hasselman DPH, et al., editors. Fracture Mechanics of Ceramics. Boston: Springer; 1986. p. 103–6.10.1007/978-1-4615-7023-3_8Search in Google Scholar
[14] Cygan S, Jaworska L, Putyra P, Ratuszek W, Cyboron J, Klimczyk P. Thermal stability and coefficient of friction of the diamond composites with the titanium compound bonding phase. J Mater Eng Perform. 2017;26:2593–8.10.1007/s11665-017-2712-9Search in Google Scholar
[15] Milman YV, Chugunova SI, Goncharova IV, Chudoba T, Lojkowski W, Gooch W, et al. Temperature dependence of hardness in silicon–carbide ceramics with different porosity. Int J Refract Met H. 1999;17:361–8.10.1016/S0263-4368(99)00022-0Search in Google Scholar
[16] Zunega JCP. High temperature Indentation of WC/CO Hardmetals. Ph.D. Thesis. Southampton, the United Kingdom: University of Southampton; 2013.Search in Google Scholar
[17] Wang R, Wang X, Li D, Li W. A novel temperature-dependent hardness model for high-temperature structural ceramics. Ceram Int. 2021;47:1462–5.10.1016/j.ceramint.2020.08.128Search in Google Scholar
[18] Rhee YW, Kim HW, Deng Y, Lawn BR. Brittle fracture versus quasi plasticity in ceramics: a simple predictive index. J Am Ceram Soc. 2001;84:561–5.10.1111/j.1151-2916.2001.tb00698.xSearch in Google Scholar
[19] Li C, Wang R, Wang X, Li D, Li W. A novel temperature-dependent yield stress model for ceramic materials under indentation. Ceram Int. 2020;46:9943–6.10.1016/j.ceramint.2019.12.109Search in Google Scholar
[20] Li W, Zhang X, Kou H, Wang R, Fang D. Theoretical prediction of temperature dependent yield strength for metallic materials. Int J Mech Sci. 2016;105:273–8.10.1016/j.ijmecsci.2015.11.017Search in Google Scholar
[21] Ye DL. Practical handbook of thermodynamic data for inorganic compounds. Beijing, China: Metallurgical Industry Publishing House; 1981.Search in Google Scholar
[22] Ohnishi H, Kawanami T, Nakahira A, Niihara K. Microstructure and mechanical properties of mullite ceramics. J Ceram Soc Jpn. 1990;98:541–7.10.2109/jcersj.98.541Search in Google Scholar
[23] Information on https://www.anton-paar.com/cn-cn/products/applications/review-of-indenter-materials-for-high-temperature-nanoindentation/.Search in Google Scholar
[24] Barsoum MW. The MN+1AXN phases: a new class of solids: Thermodynamically stable nanolaminates. Prog Solid St Chem. 2000;28:201–81.10.1016/S0079-6786(00)00006-6Search in Google Scholar
[25] Wolfenden A. Measurement and analysis of elastic and anelastic properties of alumina and silicon carbide. J Mater Sci. 1997;32:2275–82.10.1023/A:1018524200517Search in Google Scholar
[26] Zamora V, Sánchez-González E, Ortiz AL, Miranda P, Guiberteau F. Hertzian indentation of a ZrB2–30% SiC ultra-high-temperature ceramic up to 800°C in air. J Am Ceram Soc. 2010;93:1848–51.10.1111/j.1551-2916.2010.03631.xSearch in Google Scholar
[27] Rodríguez-Sánchez J, Sánchez-González E, Guiberteau F, Ortiz AL. Contact-mechanical properties at intermediate temperatures of ZrB2 ultra-high-temperature ceramics pressureless sintered with Mo, Ta, or Zr disilicides. J Eur Ceram Soc. 2015;35:3179–85.10.1016/j.jeurceramsoc.2015.04.023Search in Google Scholar
[28] Seino Y, Nagai S. Temperature dependence of the Young’s modulus of diamond thin film prepared by microwave plasma chemical vapour deposition. J Mater Sci. 1993;12:324–5.10.1007/BF01910092Search in Google Scholar
[29] Hannink RHJ, Murray MJ. Elastic moduli measurements of some cubic transition metal carbides and alloyed carbides. J Mater Sci. 1974;9:223–8.10.1007/BF00550945Search in Google Scholar
[30] Xiang H, Feng Z, Li Z, Zhou Y. Temperature-dependence of structural and mechanical properties of TiB2: a first principle investigation. J Appl Phys. 2015;117:225902.10.1063/1.4922408Search in Google Scholar
[31] Teppernegg T, Klünsner T, Kremsner C, Tritremmel C, Czettl C, Puchegger S, et al. High temperature mechanical properties of WC–Co hard metals. Int J Refract Met H. 2016;56:139–44.10.1016/j.ijrmhm.2016.01.002Search in Google Scholar
© 2021 Ruzhuan Wang et al., published by De Gruyter
This work is licensed under the Creative Commons Attribution 4.0 International License.
Articles in the same Issue
- Research Articles
- Improved impedance matching by multi-componential metal-hybridized rGO toward high performance of microwave absorption
- Pure-silk fibroin hydrogel with stable aligned micropattern toward peripheral nerve regeneration
- Effective ion pathways and 3D conductive carbon networks in bentonite host enable stable and high-rate lithium–sulfur batteries
- Fabrication and characterization of 3D-printed gellan gum/starch composite scaffold for Schwann cells growth
- Synergistic strengthening mechanism of copper matrix composite reinforced with nano-Al2O3 particles and micro-SiC whiskers
- Deformation mechanisms and plasticity of ultrafine-grained Al under complex stress state revealed by digital image correlation technique
- On the deformation-induced grain rotations in gradient nano-grained copper based on molecular dynamics simulations
- Removal of sulfate from aqueous solution using Mg–Al nano-layered double hydroxides synthesized under different dual solvent systems
- Microwave-assisted sol–gel synthesis of TiO2-mixed metal oxide nanocatalyst for degradation of organic pollutant
- Electrophoretic deposition of graphene on basalt fiber for composite applications
- Polyphenylene sulfide-coated wrench composites by nanopinning effect
- Thermal conductivity and thermoelectric properties in 3D macroscopic pure carbon nanotube materials
- An effective thermal conductivity and thermomechanical homogenization scheme for a multiscale Nb3Sn filaments
- Friction stir spot welding of AA5052 with additional carbon fiber-reinforced polymer composite interlayer
- Improvement of long-term cycling performance of high-nickel cathode materials by ZnO coating
- Quantum effects of gas flow in nanochannels
- An approach to effectively improve the interfacial bonding of nano-perfused composites by in situ growth of CNTs
- Effects of nano-modified polymer cement-based materials on the bending behavior of repaired concrete beams
- Effects of the combined usage of nanomaterials and steel fibres on the workability, compressive strength, and microstructure of ultra-high performance concrete
- One-pot solvothermal synthesis and characterization of highly stable nickel nanoparticles
- Comparative study on mechanisms for improving mechanical properties and microstructure of cement paste modified by different types of nanomaterials
- Effect of in situ graphene-doped nano-CeO2 on microstructure and electrical contact properties of Cu30Cr10W contacts
- The experimental study of CFRP interlayer of dissimilar joint AA7075-T651/Ti-6Al-4V alloys by friction stir spot welding on mechanical and microstructural properties
- Vibration analysis of a sandwich cylindrical shell in hygrothermal environment
- Water barrier and mechanical properties of sugar palm crystalline nanocellulose reinforced thermoplastic sugar palm starch (TPS)/poly(lactic acid) (PLA) blend bionanocomposites
- Strong quadratic acousto-optic coupling in 1D multilayer phoxonic crystal cavity
- Three-dimensional shape analysis of peripapillary retinal pigment epithelium-basement membrane layer based on OCT radial images
- Solvent regulation synthesis of single-component white emission carbon quantum dots for white light-emitting diodes
- Xanthate-modified nanoTiO2 as a novel vulcanization accelerator enhancing mechanical and antibacterial properties of natural rubber
- Effect of steel fiber on impact resistance and durability of concrete containing nano-SiO2
- Ultrasound-enhanced biosynthesis of uniform ZnO nanorice using Swietenia macrophylla seed extract and its in vitro anticancer activity
- Temperature dependence of hardness prediction for high-temperature structural ceramics and their composites
- Study on the frequency of acoustic emission signal during crystal growth of salicylic acid
- Controllable modification of helical carbon nanotubes for high-performance microwave absorption
- Role of dry ozonization of basalt fibers on interfacial properties and fracture toughness of epoxy matrix composites
- Nanosystem’s density functional theory study of the chlorine adsorption on the Fe(100) surface
- A rapid nanobiosensing platform based on herceptin-conjugated graphene for ultrasensitive detection of circulating tumor cells in early breast cancer
- Improving flexural strength of UHPC with sustainably synthesized graphene oxide
- The role of graphene/graphene oxide in cement hydration
- Structural characterization of microcrystalline and nanocrystalline cellulose from Ananas comosus L. leaves: Cytocompatibility and molecular docking studies
- Evaluation of the nanostructure of calcium silicate hydrate based on atomic force microscopy-infrared spectroscopy experiments
- Combined effects of nano-silica and silica fume on the mechanical behavior of recycled aggregate concrete
- Safety study of malapposition of the bio-corrodible nitrided iron stent in vivo
- Triethanolamine interface modification of crystallized ZnO nanospheres enabling fast photocatalytic hazard-free treatment of Cr(vi) ions
- Novel electrodes for precise and accurate droplet dispensing and splitting in digital microfluidics
- Construction of Chi(Zn/BMP2)/HA composite coating on AZ31B magnesium alloy surface to improve the corrosion resistance and biocompatibility
- Experimental and multiscale numerical investigations on low-velocity impact responses of syntactic foam composites reinforced with modified MWCNTs
- Comprehensive performance analysis and optimal design of smart light pole for cooperative vehicle infrastructure system
- Room temperature growth of ZnO with highly active exposed facets for photocatalytic application
- Influences of poling temperature and elongation ratio on PVDF-HFP piezoelectric films
- Large strain hardening of magnesium containing in situ nanoparticles
- Super stable water-based magnetic fluid as a dual-mode contrast agent
- Photocatalytic activity of biogenic zinc oxide nanoparticles: In vitro antimicrobial, biocompatibility, and molecular docking studies
- Hygrothermal environment effect on the critical buckling load of FGP microbeams with initial curvature integrated by CNT-reinforced skins considering the influence of thickness stretching
- Thermal aging behavior characteristics of asphalt binder modified by nano-stabilizer based on DSR and AFM
- Building effective core/shell polymer nanoparticles for epoxy composite toughening based on Hansen solubility parameters
- Structural characterization and nanoscale strain field analysis of α/β interface layer of a near α titanium alloy
- Optimization of thermal and hydrophobic properties of GO-doped epoxy nanocomposite coatings
- The properties of nano-CaCO3/nano-ZnO/SBR composite-modified asphalt
- Three-dimensional metallic carbon allotropes with superhardness
- Physical stability and rheological behavior of Pickering emulsions stabilized by protein–polysaccharide hybrid nanoconjugates
- Optimization of volume fraction and microstructure evolution during thermal deformation of nano-SiCp/Al–7Si composites
- Phase analysis and corrosion behavior of brazing Cu/Al dissimilar metal joint with BAl88Si filler metal
- High-efficiency nano polishing of steel materials
- On the rheological properties of multi-walled carbon nano-polyvinylpyrrolidone/silicon-based shear thickening fluid
- Fabrication of Ag/ZnO hollow nanospheres and cubic TiO2/ZnO heterojunction photocatalysts for RhB degradation
- Fabrication and properties of PLA/nano-HA composite scaffolds with balanced mechanical properties and biological functions for bone tissue engineering application
- Investigation of the early-age performance and microstructure of nano-C–S–H blended cement-based materials
- Reduced graphene oxide coating on basalt fabric using electrophoretic deposition and its role in the mechanical and tribological performance of epoxy/basalt fiber composites
- Effect of nano-silica as cementitious materials-reducing admixtures on the workability, mechanical properties and durability of concrete
- Machine-learning-assisted microstructure–property linkages of carbon nanotube-reinforced aluminum matrix nanocomposites produced by laser powder bed fusion
- Physical, thermal, and mechanical properties of highly porous polylactic acid/cellulose nanofibre scaffolds prepared by salt leaching technique
- A comparative study on characterizations and synthesis of pure lead sulfide (PbS) and Ag-doped PbS for photovoltaic applications
- Clean preparation of washable antibacterial polyester fibers by high temperature and high pressure hydrothermal self-assembly
- Al 5251-based hybrid nanocomposite by FSP reinforced with graphene nanoplates and boron nitride nanoparticles: Microstructure, wear, and mechanical characterization
- Interlaminar fracture toughness properties of hybrid glass fiber-reinforced composite interlayered with carbon nanotube using electrospray deposition
- Microstructure and life prediction model of steel slag concrete under freezing-thawing environment
- Synthesis of biogenic silver nanoparticles from the seed coat waste of pistachio (Pistacia vera) and their effect on the growth of eggplant
- Study on adaptability of rheological index of nano-PUA-modified asphalt based on geometric parameters of parallel plate
- Preparation and adsorption properties of nano-graphene oxide/tourmaline composites
- A study on interfacial behaviors of epoxy/graphene oxide derived from pitch-based graphite fibers
- Multiresponsive carboxylated graphene oxide-grafted aptamer as a multifunctional nanocarrier for targeted delivery of chemotherapeutics and bioactive compounds in cancer therapy
- Piezoresistive/piezoelectric intrinsic sensing properties of carbon nanotube cement-based smart composite and its electromechanical sensing mechanisms: A review
- Smart stimuli-responsive biofunctionalized niosomal nanocarriers for programmed release of bioactive compounds into cancer cells in vitro and in vivo
- Photoremediation of methylene blue by biosynthesized ZnO/Fe3O4 nanocomposites using Callistemon viminalis leaves aqueous extract: A comparative study
- Study of gold nanoparticles’ preparation through ultrasonic spray pyrolysis and lyophilisation for possible use as markers in LFIA tests
- Review Articles
- Advance on the dispersion treatment of graphene oxide and the graphene oxide modified cement-based materials
- Development of ionic liquid-based electroactive polymer composites using nanotechnology
- Nanostructured multifunctional electrocatalysts for efficient energy conversion systems: Recent perspectives
- Recent advances on the fabrication methods of nanocomposite yarn-based strain sensor
- Review on nanocomposites based on aerospace applications
- Overview of nanocellulose as additives in paper processing and paper products
- The frontiers of functionalized graphene-based nanocomposites as chemical sensors
- Material advancement in tissue-engineered nerve conduit
- Carbon nanostructure-based superhydrophobic surfaces and coatings
- Functionalized graphene-based nanocomposites for smart optoelectronic applications
- Interfacial technology for enhancement in steel fiber reinforced cementitious composite from nano to macroscale
- Metal nanoparticles and biomaterials: The multipronged approach for potential diabetic wound therapy
- Review on resistive switching mechanisms of bio-organic thin film for non-volatile memory application
- Nanotechnology-enabled biomedical engineering: Current trends, future scopes, and perspectives
- Research progress on key problems of nanomaterials-modified geopolymer concrete
- Smart stimuli-responsive nanocarriers for the cancer therapy – nanomedicine
- An overview of methods for production and detection of silver nanoparticles, with emphasis on their fate and toxicological effects on human, soil, and aquatic environment
- Effects of chemical modification and nanotechnology on wood properties
- Mechanisms, influencing factors, and applications of electrohydrodynamic jet printing
- Application of antiviral materials in textiles: A review
- Phase transformation and strengthening mechanisms of nanostructured high-entropy alloys
- Research progress on individual effect of graphene oxide in cement-based materials and its synergistic effect with other nanomaterials
- Catalytic defense against fungal pathogens using nanozymes
- A mini-review of three-dimensional network topological structure nanocomposites: Preparation and mechanical properties
- Mechanical properties and structural health monitoring performance of carbon nanotube-modified FRP composites: A review
- Nano-scale delivery: A comprehensive review of nano-structured devices, preparative techniques, site-specificity designs, biomedical applications, commercial products, and references to safety, cellular uptake, and organ toxicity
- Effects of alloying, heat treatment and nanoreinforcement on mechanical properties and damping performances of Cu–Al-based alloys: A review
- Recent progress in the synthesis and applications of vertically aligned carbon nanotube materials
- Thermal conductivity and dynamic viscosity of mono and hybrid organic- and synthetic-based nanofluids: A critical review
- Recent advances in waste-recycled nanomaterials for biomedical applications: Waste-to-wealth
- Layup sequence and interfacial bonding of additively manufactured polymeric composite: A brief review
- Quantum dots synthetization and future prospect applications
- Approved and marketed nanoparticles for disease targeting and applications in COVID-19
- Strategies for improving rechargeable lithium-ion batteries: From active materials to CO2 emissions
Articles in the same Issue
- Research Articles
- Improved impedance matching by multi-componential metal-hybridized rGO toward high performance of microwave absorption
- Pure-silk fibroin hydrogel with stable aligned micropattern toward peripheral nerve regeneration
- Effective ion pathways and 3D conductive carbon networks in bentonite host enable stable and high-rate lithium–sulfur batteries
- Fabrication and characterization of 3D-printed gellan gum/starch composite scaffold for Schwann cells growth
- Synergistic strengthening mechanism of copper matrix composite reinforced with nano-Al2O3 particles and micro-SiC whiskers
- Deformation mechanisms and plasticity of ultrafine-grained Al under complex stress state revealed by digital image correlation technique
- On the deformation-induced grain rotations in gradient nano-grained copper based on molecular dynamics simulations
- Removal of sulfate from aqueous solution using Mg–Al nano-layered double hydroxides synthesized under different dual solvent systems
- Microwave-assisted sol–gel synthesis of TiO2-mixed metal oxide nanocatalyst for degradation of organic pollutant
- Electrophoretic deposition of graphene on basalt fiber for composite applications
- Polyphenylene sulfide-coated wrench composites by nanopinning effect
- Thermal conductivity and thermoelectric properties in 3D macroscopic pure carbon nanotube materials
- An effective thermal conductivity and thermomechanical homogenization scheme for a multiscale Nb3Sn filaments
- Friction stir spot welding of AA5052 with additional carbon fiber-reinforced polymer composite interlayer
- Improvement of long-term cycling performance of high-nickel cathode materials by ZnO coating
- Quantum effects of gas flow in nanochannels
- An approach to effectively improve the interfacial bonding of nano-perfused composites by in situ growth of CNTs
- Effects of nano-modified polymer cement-based materials on the bending behavior of repaired concrete beams
- Effects of the combined usage of nanomaterials and steel fibres on the workability, compressive strength, and microstructure of ultra-high performance concrete
- One-pot solvothermal synthesis and characterization of highly stable nickel nanoparticles
- Comparative study on mechanisms for improving mechanical properties and microstructure of cement paste modified by different types of nanomaterials
- Effect of in situ graphene-doped nano-CeO2 on microstructure and electrical contact properties of Cu30Cr10W contacts
- The experimental study of CFRP interlayer of dissimilar joint AA7075-T651/Ti-6Al-4V alloys by friction stir spot welding on mechanical and microstructural properties
- Vibration analysis of a sandwich cylindrical shell in hygrothermal environment
- Water barrier and mechanical properties of sugar palm crystalline nanocellulose reinforced thermoplastic sugar palm starch (TPS)/poly(lactic acid) (PLA) blend bionanocomposites
- Strong quadratic acousto-optic coupling in 1D multilayer phoxonic crystal cavity
- Three-dimensional shape analysis of peripapillary retinal pigment epithelium-basement membrane layer based on OCT radial images
- Solvent regulation synthesis of single-component white emission carbon quantum dots for white light-emitting diodes
- Xanthate-modified nanoTiO2 as a novel vulcanization accelerator enhancing mechanical and antibacterial properties of natural rubber
- Effect of steel fiber on impact resistance and durability of concrete containing nano-SiO2
- Ultrasound-enhanced biosynthesis of uniform ZnO nanorice using Swietenia macrophylla seed extract and its in vitro anticancer activity
- Temperature dependence of hardness prediction for high-temperature structural ceramics and their composites
- Study on the frequency of acoustic emission signal during crystal growth of salicylic acid
- Controllable modification of helical carbon nanotubes for high-performance microwave absorption
- Role of dry ozonization of basalt fibers on interfacial properties and fracture toughness of epoxy matrix composites
- Nanosystem’s density functional theory study of the chlorine adsorption on the Fe(100) surface
- A rapid nanobiosensing platform based on herceptin-conjugated graphene for ultrasensitive detection of circulating tumor cells in early breast cancer
- Improving flexural strength of UHPC with sustainably synthesized graphene oxide
- The role of graphene/graphene oxide in cement hydration
- Structural characterization of microcrystalline and nanocrystalline cellulose from Ananas comosus L. leaves: Cytocompatibility and molecular docking studies
- Evaluation of the nanostructure of calcium silicate hydrate based on atomic force microscopy-infrared spectroscopy experiments
- Combined effects of nano-silica and silica fume on the mechanical behavior of recycled aggregate concrete
- Safety study of malapposition of the bio-corrodible nitrided iron stent in vivo
- Triethanolamine interface modification of crystallized ZnO nanospheres enabling fast photocatalytic hazard-free treatment of Cr(vi) ions
- Novel electrodes for precise and accurate droplet dispensing and splitting in digital microfluidics
- Construction of Chi(Zn/BMP2)/HA composite coating on AZ31B magnesium alloy surface to improve the corrosion resistance and biocompatibility
- Experimental and multiscale numerical investigations on low-velocity impact responses of syntactic foam composites reinforced with modified MWCNTs
- Comprehensive performance analysis and optimal design of smart light pole for cooperative vehicle infrastructure system
- Room temperature growth of ZnO with highly active exposed facets for photocatalytic application
- Influences of poling temperature and elongation ratio on PVDF-HFP piezoelectric films
- Large strain hardening of magnesium containing in situ nanoparticles
- Super stable water-based magnetic fluid as a dual-mode contrast agent
- Photocatalytic activity of biogenic zinc oxide nanoparticles: In vitro antimicrobial, biocompatibility, and molecular docking studies
- Hygrothermal environment effect on the critical buckling load of FGP microbeams with initial curvature integrated by CNT-reinforced skins considering the influence of thickness stretching
- Thermal aging behavior characteristics of asphalt binder modified by nano-stabilizer based on DSR and AFM
- Building effective core/shell polymer nanoparticles for epoxy composite toughening based on Hansen solubility parameters
- Structural characterization and nanoscale strain field analysis of α/β interface layer of a near α titanium alloy
- Optimization of thermal and hydrophobic properties of GO-doped epoxy nanocomposite coatings
- The properties of nano-CaCO3/nano-ZnO/SBR composite-modified asphalt
- Three-dimensional metallic carbon allotropes with superhardness
- Physical stability and rheological behavior of Pickering emulsions stabilized by protein–polysaccharide hybrid nanoconjugates
- Optimization of volume fraction and microstructure evolution during thermal deformation of nano-SiCp/Al–7Si composites
- Phase analysis and corrosion behavior of brazing Cu/Al dissimilar metal joint with BAl88Si filler metal
- High-efficiency nano polishing of steel materials
- On the rheological properties of multi-walled carbon nano-polyvinylpyrrolidone/silicon-based shear thickening fluid
- Fabrication of Ag/ZnO hollow nanospheres and cubic TiO2/ZnO heterojunction photocatalysts for RhB degradation
- Fabrication and properties of PLA/nano-HA composite scaffolds with balanced mechanical properties and biological functions for bone tissue engineering application
- Investigation of the early-age performance and microstructure of nano-C–S–H blended cement-based materials
- Reduced graphene oxide coating on basalt fabric using electrophoretic deposition and its role in the mechanical and tribological performance of epoxy/basalt fiber composites
- Effect of nano-silica as cementitious materials-reducing admixtures on the workability, mechanical properties and durability of concrete
- Machine-learning-assisted microstructure–property linkages of carbon nanotube-reinforced aluminum matrix nanocomposites produced by laser powder bed fusion
- Physical, thermal, and mechanical properties of highly porous polylactic acid/cellulose nanofibre scaffolds prepared by salt leaching technique
- A comparative study on characterizations and synthesis of pure lead sulfide (PbS) and Ag-doped PbS for photovoltaic applications
- Clean preparation of washable antibacterial polyester fibers by high temperature and high pressure hydrothermal self-assembly
- Al 5251-based hybrid nanocomposite by FSP reinforced with graphene nanoplates and boron nitride nanoparticles: Microstructure, wear, and mechanical characterization
- Interlaminar fracture toughness properties of hybrid glass fiber-reinforced composite interlayered with carbon nanotube using electrospray deposition
- Microstructure and life prediction model of steel slag concrete under freezing-thawing environment
- Synthesis of biogenic silver nanoparticles from the seed coat waste of pistachio (Pistacia vera) and their effect on the growth of eggplant
- Study on adaptability of rheological index of nano-PUA-modified asphalt based on geometric parameters of parallel plate
- Preparation and adsorption properties of nano-graphene oxide/tourmaline composites
- A study on interfacial behaviors of epoxy/graphene oxide derived from pitch-based graphite fibers
- Multiresponsive carboxylated graphene oxide-grafted aptamer as a multifunctional nanocarrier for targeted delivery of chemotherapeutics and bioactive compounds in cancer therapy
- Piezoresistive/piezoelectric intrinsic sensing properties of carbon nanotube cement-based smart composite and its electromechanical sensing mechanisms: A review
- Smart stimuli-responsive biofunctionalized niosomal nanocarriers for programmed release of bioactive compounds into cancer cells in vitro and in vivo
- Photoremediation of methylene blue by biosynthesized ZnO/Fe3O4 nanocomposites using Callistemon viminalis leaves aqueous extract: A comparative study
- Study of gold nanoparticles’ preparation through ultrasonic spray pyrolysis and lyophilisation for possible use as markers in LFIA tests
- Review Articles
- Advance on the dispersion treatment of graphene oxide and the graphene oxide modified cement-based materials
- Development of ionic liquid-based electroactive polymer composites using nanotechnology
- Nanostructured multifunctional electrocatalysts for efficient energy conversion systems: Recent perspectives
- Recent advances on the fabrication methods of nanocomposite yarn-based strain sensor
- Review on nanocomposites based on aerospace applications
- Overview of nanocellulose as additives in paper processing and paper products
- The frontiers of functionalized graphene-based nanocomposites as chemical sensors
- Material advancement in tissue-engineered nerve conduit
- Carbon nanostructure-based superhydrophobic surfaces and coatings
- Functionalized graphene-based nanocomposites for smart optoelectronic applications
- Interfacial technology for enhancement in steel fiber reinforced cementitious composite from nano to macroscale
- Metal nanoparticles and biomaterials: The multipronged approach for potential diabetic wound therapy
- Review on resistive switching mechanisms of bio-organic thin film for non-volatile memory application
- Nanotechnology-enabled biomedical engineering: Current trends, future scopes, and perspectives
- Research progress on key problems of nanomaterials-modified geopolymer concrete
- Smart stimuli-responsive nanocarriers for the cancer therapy – nanomedicine
- An overview of methods for production and detection of silver nanoparticles, with emphasis on their fate and toxicological effects on human, soil, and aquatic environment
- Effects of chemical modification and nanotechnology on wood properties
- Mechanisms, influencing factors, and applications of electrohydrodynamic jet printing
- Application of antiviral materials in textiles: A review
- Phase transformation and strengthening mechanisms of nanostructured high-entropy alloys
- Research progress on individual effect of graphene oxide in cement-based materials and its synergistic effect with other nanomaterials
- Catalytic defense against fungal pathogens using nanozymes
- A mini-review of three-dimensional network topological structure nanocomposites: Preparation and mechanical properties
- Mechanical properties and structural health monitoring performance of carbon nanotube-modified FRP composites: A review
- Nano-scale delivery: A comprehensive review of nano-structured devices, preparative techniques, site-specificity designs, biomedical applications, commercial products, and references to safety, cellular uptake, and organ toxicity
- Effects of alloying, heat treatment and nanoreinforcement on mechanical properties and damping performances of Cu–Al-based alloys: A review
- Recent progress in the synthesis and applications of vertically aligned carbon nanotube materials
- Thermal conductivity and dynamic viscosity of mono and hybrid organic- and synthetic-based nanofluids: A critical review
- Recent advances in waste-recycled nanomaterials for biomedical applications: Waste-to-wealth
- Layup sequence and interfacial bonding of additively manufactured polymeric composite: A brief review
- Quantum dots synthetization and future prospect applications
- Approved and marketed nanoparticles for disease targeting and applications in COVID-19
- Strategies for improving rechargeable lithium-ion batteries: From active materials to CO2 emissions