Home Physical Sciences Study on adaptability of rheological index of nano-PUA-modified asphalt based on geometric parameters of parallel plate
Article Open Access

Study on adaptability of rheological index of nano-PUA-modified asphalt based on geometric parameters of parallel plate

  • Xiaolong Sun EMAIL logo , Yikang Zhang , Qinyuan Peng , Junshen Yuan , Zhi Cang and Jianbing Lv
Published/Copyright: November 11, 2021
Become an author with De Gruyter Brill

Abstract

To clarify the influence of geometric parameters of parallel plate on rheological properties of polyurea elastomer (PUA)-modified asphalt, nano-PUA powder was prepared, and nano-PUA powder modifier was modified by using high-speed shearing apparatus. The apparent viscosity of modified asphalt was evaluated by Brookfield viscosity. The rheological parameters of PUA-modified asphalt were determined by comparing the rheological test results of temperature scanning, frequency scanning, and multiple stress creep recover test using 8 and 25 mm parallel plates. Results indicated that the higher the content of nano-PUA modifier was, the better the high-temperature performance of asphalt would be. When using the 8 mm parallel plate, the high-temperature performance of modified asphalt was worse than that of matrix asphalt, and the PUA modifier would lead to a negative effect on the rheological property of asphalt. Regarding the 25 mm parallel plate, the high-temperature performance of modified asphalt was better than that of matrix asphalt, which was contrary to the results of 8 mm parallel plate. The rheological test results using 25 mm parallel plate were consistent with the results of Brookfield viscosity, indicating that 25 mm parallel plate was more suitable for evaluating the rheological performance of PUA-modified asphalt.

1 Introduction

With the rapid development of expressways, the performance requirements of pavement are increasing [1,2], and asphalt mixture is widely used in pavement construction because of its excellent flatness, low traffic noise, easy maintenance, and rapid construction [3,4,5]. However, the performance characteristics of asphalt pavement mainly depend on the rheological properties of asphalt pavement bonding materials [6,7]. The Strategic Highway Research Program recommends using dynamic shear rheometer (DSR) to determine the rheological properties of asphalt binders. According to AASHTO T315-12 [8], in the DSR test process, the specimens of 1 mm thickness, 25 mm diameter or 2 mm thickness, and 8 mm diameter were first formed between the parallel metal plates. In the test process, one parallel plate oscillates with respect to the other parallel plate under the preselected frequency and rotation deformation amplitude (strain control or torque amplitude stress control). The test conditions of a gap size of 8 mm plate and 2 mm rheometer were selected at low temperature (less than 20°C), whereas the test conditions of a gap size of 25 mm plate and 1 mm rheometer were selected at medium and high temperatures (20–90°C) [9]. However, in the actual asphalt mixture, the film thickness of the coating on the aggregate can vary from a few microns to several millimeters [10]. At the same time, due to the existence of modifier particles in the modified asphalt, it may also interfere with the test configuration. It is difficult to obtain accurate test results by following the superpave specification for evaluating the rheological properties of asphalt binders. Therefore, the size difference between standard test conditions and thin layer state in asphalt mixture has attracted some researchers’ attention. Bahia evaluated the rheological properties of waste rubber adhesives, including rotational viscosity, modulus, phase angle, and low-temperature creep stiffness. Bahia et al. [11] increased the clearance height of DSR from 1 to 2 mm to minimize the influence of rubber particle size and evaluated the different rheological properties of waste rubber adhesives, including rotational viscosity, modulus, phase angle, and low-temperature creep stiffness. The results showed that the high-temperature performance of waste rubber adhesive depends on the size of crushed rubber materials particles, and the linear elastic limit provided by the geometric shape of 2 mm gap height test is similar to that of 1 mm gap height. In 2005, Putman and Thompson [12] increased the DSR clearance height from 1 to 2 mm, so as to accommodate large rubber particles in waste rubber adhesives during DSR test. Through the strain frequency scanning test, they reported that although the test geometry changed, the binder still maintained a linear viscoelastic region. Zhai and Bahia [13] noticed that the elastomer-modified asphalt binder is most sensitive to the change of gap size, whereas the oxidized asphalt is least sensitive to the change of gap size by testing different adhesives with a gap size from 10 μm to 1 mm. Teymourpour et al. [14] measured the high-temperature performance of waste rubber powder binder by adjusting the gap height of 1 mm to minimize the influence of the interaction between asphalt binder and rubber particles on peformance grade grading results. The results showed that higher variability is observed at the height of 2 mm compared with the height of 3 mm gap. Therefore, it is recommended that the height of parallel plate gap is 3 mm, and the corrected stress level and test temperature of multiple stress creep recover (MSCR) test were proposed.

At present, scholars in China and abroad have carried out some research on the rheological gap height of asphalt, but most of them focused on evaluating the rheological properties of comparative asphalt by changing the gap height of parallel plates. However, in the study of asphalt rheological properties from different angles, a series of uninterrupted tests from low temperature to high temperature are needed. Under such conditions, both 8 and 25 mm parallel plates have to undergo a large temperature gradient change process, so it is inevitable that 8 mm parallel plates enter the high-temperature region or 25 mm parallel plates into the low-temperature region, and the data obtained are quite different [15].

Therefore, this study intends to take PUA-modified asphalt as the research object and characterize the apparent viscosity of modified asphalt at different temperatures based on Brookfield viscosity test. The temperature scanning, frequency scanning, and MSCR rheological test results of modified asphalt under 8 and 25 mm parallel plates were compared to determine the adaptability of rheological indexes of PUA-modified asphalt.

2 Materials and methodology

2.1 Materials

2.1.1 Asphalt

The road asphalt used in this study was 70# matrix asphalt, and its performance meets the technical requirements of “Technical Specification for Construction of Highway Asphalt Pavements” (JTG F40-2004) [16]. The technical parameters of matrix asphalt are shown in Table 1.

Table 1

Technical properties of asphalt

Technical properties Value Specification
Softening point (°C) 50.4 >43
Penetration ([25°C, 100 g, 5 s]/0.1 mm) 71 60–80
Ductility (10°C/cm) 32 >15

2.1.2 PUA

The nano-PUA materials contain acrylic functional groups and urethane bonds, whose cured adhesive has high wear resistance, adhesion, flexibility, high peel strength, excellent low-temperature resistance, and weather resistance. The materials used in this article belong to PUA, and its technical properties are presented in Table 2.

Table 2

Technical properties of PUA

PUA species Solid content (%) Solid content (%) Viscosity (cps) Tensile strength (MPa)
PUA-100 32 81–85 ≤800 28

2.1.3 Preparing process of nano-PUA-modified asphalt

The preparing process of nano-PUA-modified asphalt is shown as follows:

1. The proper amount of PUA raw materials was placed into the hopper of preparing equipment. The H20/35 PUA high-pressure spraying machine (Graco Inc.) was used to prepare PUA film, and the technical parameters were adjusted. The thickness of the molded specimens was measured, and any five points of specimen must be within the range of 2 mm ± 0.1 mm.

2. The 2 mm thick PUA film sample was cut into particles with a side length of 4–5 mm using a paper cutter. In the cutting process, the cutting parameters were set accurately to ensure that the cutting surface was neat and smooth.

3. The PUA particles were put into the storage bin of the grinding equipment, and the storage bin was frozen by liquid nitrogen. Meanwhile, the PUA particles and liquid nitrogen were mixed through a stirring device to confirm the full contact between PUA and liquid nitrogen. When cooled to the glass transition temperature, the PUA particles were sent to the grinder through the raw material conveyor for crushing.

4. The PUA powder with a particle size of 0.075 mm was screened out from the prepared PUA material, and 0.075 mm PUA material with matrix asphalt mass of 3, 6, and 9% was weighed. The 70# asphalt was heated to a molten state by oven, and the PUA powder was added to the molten asphalt three times. After the PUA powder was added, the asphalt was sheared and stirred with the high-speed shear apparatus, and the stirring process followed the principle of “low speed–high speed–low speed.” After shearing and mixing, the modified asphalt was placed at room temperature, and the preparation of PUA-modified asphalt was completed after swelling.

2.2 Methodology

2.2.1 Brookfield viscosity test

In this study, the Brookfield rotational viscometer (ASTM D 4402) [17] was used to analyze the influence of modifiers on the viscosity of asphalt at different temperatures. In this test, the rotor model was SC4-27, the rotation speed was 20 rad/min, and the testing temperatures were 95, 115, 135, 150, and 175°C.

2.2.2 Temperature scanning test

By means of dynamic rheological shear apparatus, the temperature scanning tests of matrix asphalt and PUA-modified asphalt at a single frequency and different temperatures were carried out. The curves of rutting factor G*/sin δ, complex viscosity, and temperature were obtained. The test was started at 46°C and gradually increased to 82°C, with the test temperature interval of 6°C. The flow gap size of 8 mm parallel plate and 25 mm parallel plate was 2 and 1 mm, respectively. The test angular frequency was set to 10 rad/s, and control strain was set at 12%.

2.2.3 Frequency scanning test

DSR was used to conduct frequency scanning tests at different temperatures and frequencies for matrix asphalt and PUA-modified asphalt. Different complex modulus G*, phase angle δ, and complex viscosity were obtained. The test temperature was set to 60°C. The frequency varied from 0.1 to 100 rad/s, and control strain was 1%.

2.2.4 MSCR

MSCR tests were carried out on matrix asphalt and PUA-modified asphalt at a temperature of 64°C and stress levels of 0.1 and 3.2 kPa, respectively. The average strain recovery rate (R) and unrecoverable creep compliance (Jnr) of matrix asphalt and modified asphalt were measured. The test temperature was started at 46°C, and the stress levels included 1.0 and 3.2 kPa, which would be repeated for 20 and 10 times, respectively. Every level included 10 cycles, which consisted of 1 s creep stage and 9 s unloading recovery stage per cycle that would last 300 s [18,19].

3 Results and discussion

3.1 Brookfield viscosity results of PUA-modified asphalt

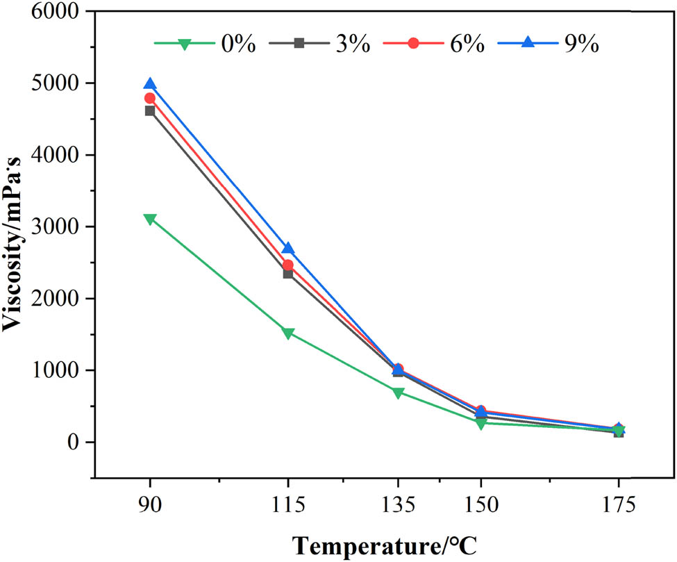
The Brookfield viscosity results of different types of PUA-modified asphalt and matrix asphalt at 90, 115, 135, 150, and 175°C are presented in Figure 1. According to Figure 1, in different temperatures, the viscosity of PUA-modified asphalt was higher than that of matrix asphalt. At the same time, with the increase of PUA content, the viscosity of asphalt increased gradually, indicating that the addition of PUA modifier could increase the viscosity of asphalt and improve the high-temperature performance of asphalt. Compared with 70# asphalt, the viscosity of 3, 6, and 9% PUA-modified asphalt increased by 48, 53, and 60% at 90°C and increased by 53, 61, and 76% at 115°C. When the testing temperature increased to 130°C, the apparent viscosity of modified asphalt and matrix asphalt was almost the same. Therefore, PUA had the best improvement in the apparent viscosity of asphalt at 115°C. That might be due to that the molecular bond between PUA and asphalt increased the interaction between asphalt molecules, thus increasing the apparent viscosity of asphalt [20,21,22]. When the temperature increased above 130°C, due to the high temperature, the fluidity of modified asphalt was better, and the effect of PUA on the viscosity of asphalt was not obvious.

Figure 1 
                  Brookfield viscosity test results.
Figure 1

Brookfield viscosity test results.

3.2 Rheological properties of PUA-modified asphalt based on different size parallel plates

3.2.1 Correlation under temperature scanning test

Figure 2 depicts the temperature scanning test results of PUA-modified asphalt with different contents under different parallel plates. It could be seen from the figure that the complex shear modulus G* and rutting factor |G*|/sin δ of modified asphalt decreased with the increase of temperature whether in 8 or 25 mm parallel plate and showed a trend of rapid decline first before flattening. From the analysis in Figure 2(a) and (e), it could be analyzed that under the action of 8 mm parallel plate, the G* and |G*|/sin δ of modified asphalt with 9% content were the largest and 3% was the smallest, whereas the distinction between 0 and 6% was low. The measured G* was close to |G*|/sin δ, and the curve was almost coincident. The results indicated that the high-temperature performance of modified asphalt with 9% content was the best, 3% was the worst, and there was no difference between 0 and 6% high-temperature performance, which contradicts the results of Section 3.1. By analyzing the corresponding phase angle, it could be found that the phase angle of modified asphalt increases first and then decreases with the increase of temperature, which reflected that the viscosity of modified asphalt decreased first and then increased during the heating process, which was also inconsistent with the results of Brookfield viscosity.

Figure 2 
                     Temperature scanning results under different parallel plates: (a) 8 mm G*, (b) 25 mm G*, (c) 8 mm δ, (d) 25 mm δ, (e) 8 mm |G*|/sin δ, and (f) 25 mm |G*|/sin δ.
Figure 2

Temperature scanning results under different parallel plates: (a) 8 mm G*, (b) 25 mm G*, (c) 8 mm δ, (d) 25 mm δ, (e) 8 mm |G*|/sin δ, and (f) 25 mm |G*|/sin δ.

In contrast to the results under the action of 25 mm parallel plates, it could be observed from Figure 2(b) and (e) that both G* and |G*|/sin δ of the modified asphalt were larger than those of the matrix asphalt, and the order from large to small was 9, 6, 3, and 0%. It showed that the addition of the modifier improved the high-temperature performance of the asphalt, and with the increase of the content of the modifier, the high-temperature performance of the asphalt continues to increase, which was consistent with the results of the Brookfield viscosity test. The phase angle diagram showed that the phase angle of each asphalt increased and that the viscosity of asphalt decreased with the increase of temperature, which was consistent with the results of Brookfield viscosity test. The above results displayed that the temperature scanning test under 8 mm parallel plate could not accurately reflect the high-temperature performance of PUA-modified asphalt; however, the temperature scanning test under 25 mm parallel plate could accurately reflect the high-temperature performance of modified asphalt with different contents.

3.2.2 Correlation under frequency scanning test

Figure 3 shows the frequency scanning test results of PUA-modified asphalt under different parallel plates. It could be seen from Figure 3(a) and (c) that under the action of 8 mm parallel plate, the complex modulus G* of each asphalt increased with the increase of frequency, among which the complex modulus between each asphalt at low frequency (0.1–10 rad/s) was small and the difference was not obvious. At high frequency (10 –100 rad/s), the difference of complex modulus between asphalts was obvious, among which the complex modulus G* of matrix asphalt was the largest, followed by modified asphalt with 9% content, and the smallest was 6%. For the phase angle δ, the matrix asphalt showed a stable downward trend under the action of high and low frequencies. The phase angle δ of three modified asphalts with PUA modifiers fluctuated greatly under low frequency. When ω > 10 rad/s, the δ of modified asphalt decreased rapidly with the increase of frequency. This result reflected that under the action of 8 mm parallel plate, the high-temperature stability of matrix asphalt was more stable than that of PUA modification, and PUA had a reverse effect on the modification of matrix asphalt.

Figure 3 
                     Frequency scanning results under different parallel plates: (a) 8 mm G*, (b) 25 mm G*, (c) 8 mm δ, and (d) 25 mm δ.
Figure 3

Frequency scanning results under different parallel plates: (a) 8 mm G*, (b) 25 mm G*, (c) 8 mm δ, and (d) 25 mm δ.

Figure 3(b) and (d) shows the frequency scanning results of modified asphalt under 25 mm parallel plate. From the complex modulus results, it could be seen that the change trend of complex modulus G* of four kinds of asphalt was similar, that is, G* increased with the increase of frequency. Among them, the G* of PUA-modified asphalt was larger than that of base asphalt, indicating that PUA modifier could improve the high-temperature performance of asphalt. The phase angle diagram analysis showed that the δ of each asphalt decreased with the increase of frequency, and the decreasing trend of the three modified asphalts was consistent, and the matrix asphalt was slightly floating. This furthermore reflected that the high-temperature performance of PUA-modified asphalt was better than that of matrix asphalt under the frequency scanning at 60°C.

Compared with the frequency scanning results of 8 and 25 mm parallel plates, the phase angle curve of asphalt had obvious floating and irregular under 8 mm parallel plates, which was significantly different from the phase angle curve of conventional asphalt frequency scanning. From the perspective of complex modulus, matrix asphalt showed better high-temperature performance, which all indicated that 8 mm parallel plate cannot evaluate the modification effect of PUA on asphalt. For the 25 mm parallel plate, the phase angle curve and the complex modulus curve were not abnormal. The modified asphalt with PUA had obvious discrimination compared with the matrix asphalt in phase angle and complex modulus, and the complex modulus of the three modified asphalts was larger than that of the matrix asphalt, indicating that PUA modifier could better improve the high-temperature performance of asphalt under the 25 mm parallel plate.

3.2.3 Correlation under MSCR test

Figure 4 demonstrates the MSCR testing results of PUA-modified asphalt and matrix asphalt under 8 mm and 25 mm parallel plates. Under the 8 mm parallel plate, the accumulated strain of each asphalt increased gradually with stress loading, and there was no strain rebound during unloading. In contrast, cumulative strain of matrix asphalt was greater than that of modified asphalt under the 25 mm parallel plate. Under 0.1 kPa stress level, the peak strain of modified asphalt was slightly larger than the initial strain, and the strain had obvious rebound change. Under 3.2 kPa stress level, the peak strain of modified asphalt was much larger than the initial strain, and the asphalt shown a small strain rebound during unloading stage. Based on this, the recovery rate R0.1, unrecoverable creep compliance Jnr0.1 in 0.1 kPa load cycle and the recovery rate R3.2, unrecoverable creep compliance Jnr3.2 in 3.2 kPa load cycle were calculated as the study indices of MSCR. The calculated results of study indices are plotted in Figure 5.

Figure 4 
                     MSCR results of PUA-modified asphalt under different parallel plates: (a) 8 mm parallel plates/0–200 s, (b) 25 mm parallel plates/0–200 s, (c) 8 mm parallel plates/200–300 s, and (d) 25 mm parallel plates/200–300 s.
Figure 4

MSCR results of PUA-modified asphalt under different parallel plates: (a) 8 mm parallel plates/0–200 s, (b) 25 mm parallel plates/0–200 s, (c) 8 mm parallel plates/200–300 s, and (d) 25 mm parallel plates/200–300 s.

Figure 5 
                     Unrecoverable creep compliance and creep recovery rate of asphalt under different parallel plates: (a) Jnr under 8 mm parallel plate, (b) Jnr under 25 mm parallel plate, (c) R under 8 mm parallel plate, and (d) R under 25 mm parallel plate.
Figure 5

Unrecoverable creep compliance and creep recovery rate of asphalt under different parallel plates: (a) Jnr under 8 mm parallel plate, (b) Jnr under 25 mm parallel plate, (c) R under 8 mm parallel plate, and (d) R under 25 mm parallel plate.

Figure 5 shows the calculation results of irreversible creep compliance Jnr and creep recovery rate R of asphalt under two parallel plates. Under the 8 mm parallel plate, the unrecoverable creep compliance Jnr of each asphalt was close to about 1. Jnr contents of different modified asphalts were lower than that of matrix asphalt when using 25 mm flat. Under different stress levels, compared with matrix asphalt, with the increase of PUA content, Jnr decreased first and then increased. At the stress level of 0.1 kPa, the Jnr content of 3, 6, and 9% decreased by 21, 32, and 30% compared with the matrix asphalt, respectively. At the stress level of 3.2 kPa, the Jnr content of 3, 6, and 9% decreased by 21, 30, and 29% compared with the matrix asphalt, respectively. This showed that PUA modifier could increase the elastic properties of asphalt, and the modified effect was best when the dosage was 6%. Under the 8 mm parallel plate, the R values of different asphalts were all negative, and the values were almost the same. The negative R values might be because at 64°C using 8 mm plate, the plate gap increased to 2 mm, the flow of asphalt becomes stronger, resulting in the measurement results were wrong. Therefore, in the MSCR test, 8 mm parallel plate could not be used to evaluate the modification effect of PUA on asphalt.

3.3 Correlation between rheological properties and Brookfield viscosity of modified asphalt with different size parallel plates

3.3.1 Correlation between temperature sweeping and Brookfield viscosity

Figure 6 shows the complex viscosity results of PUA-modified asphalt scanned at different parallel plates. The complex viscosity of modified asphalt under 8 and 25 mm parallel plates decreased gradually with the increase of temperature, and the trend was sharply decreased first and then tends to be gentle, which showed that the viscosity of modified asphalt under the two parallel plates decreased with the increase of temperature, and the overall trend was similar to the Brookfield viscosity. Further analysis of the chart showed that in the 8 mm parallel plate, the complex viscosity of the modified asphalt at the same temperature was in the order of 9% > 6% ≈ 0% > 3%, that is, the modified asphalt with 9% content had the largest viscosity in the temperature sweeping test, followed by 6 and 0%, and the modified asphalt with the minimum content of 3%. In contrast to the temperature scanning under 25 mm parallel plate, it could be known from Figure 6(b) that the complex viscosity of modified asphalt increased with the increase of modifier content at 46–82°C, which indicated that the addition of modifier can improve the viscosity of asphalt, and the viscosity of asphalt was better and the high-temperature performance was better with the increase of modifier content.

Figure 6 
                     Complex viscosity of temperature sweeping under different parallel plates: (a) complex viscosity under 8 mm parallel plate and (b) complex viscosity under 25 mm parallel plate.
Figure 6

Complex viscosity of temperature sweeping under different parallel plates: (a) complex viscosity under 8 mm parallel plate and (b) complex viscosity under 25 mm parallel plate.

The results of Brookfield viscosity test in Section 3.1 showed that adding PUA modifier could increase the viscosity of asphalt and improve the high-temperature performance of asphalt, and the greater the content of PUA modifier, the better the viscosity of asphalt. Compared with the complex viscosity of temperature sweeping under 8 and 25 mm parallel plates, it was found that the complex viscosity law under 25 mm parallel plates was consistent with the Brookfield viscosity law, which reflected that PUA modifier could improve the high-temperature performance of asphalt. The greater the content of modifier, the greater the viscosity of asphalt, and the better the high-temperature performance. In summary, 8 mm parallel plate could not evaluate the modification effect of PUA-modified asphalt in temperature sweeping test.

3.3.2 Correlation between frequency sweep and Brookfield viscosity

The complex viscosity results of PUA-modified asphalt under different parallel plates frequency scanning are shown in Figure 7. The figure shows that the complex viscosity of modified asphalt decreases with the increase in frequency under 8 and 25 mm parallel plates, indicating that increasing the loading frequency would reduce the viscosity of modified asphalt, thereby weakening the high temperature rutting resistance of modified asphalt. From Figure 7(a), it could be found that under the loading frequency of 0.1–1 rad/s, the complex viscosity of modified asphalt was relatively unstable, and there was a large floating. At the loading frequency of 1–100 rad/s, the complex viscosity of each asphalt decreases gradually, and at the same frequency, the complex viscosity of matrix asphalt was greater than that of modified asphalt, from large to small it was in the order of 0% > 9% > 3% > 6%, indicating that under the frequency scanning test of 8 mm parallel plate, the viscosity of modified asphalt was lower than that of matrix asphalt, and PUA modifier had no improvement in the high-temperature performance of matrix asphalt. By analyzing the frequency scanning under the 25 mm parallel plate, it could be seen that the complex viscosity of each asphalt decreased with the increase of frequency, and the change trend of each curve was relatively stable. In particular, the decreasing trend of the three modified asphalts with PUA modifier was basically the same. In addition, at the same frequency, the complex viscosity of modified asphalt with PUA was much larger than that of matrix asphalt, which showed that the addition of PUA modifier could increase the viscosity of asphalt and improve the high-temperature performance of asphalt.

Figure 7 
                     Complex viscosity of modified asphalt frequency scanning under different parallel plates: (a) complex viscosity under 8 mm parallel plate and (b) complex viscosity under 25 mm parallel plate.
Figure 7

Complex viscosity of modified asphalt frequency scanning under different parallel plates: (a) complex viscosity under 8 mm parallel plate and (b) complex viscosity under 25 mm parallel plate.

In summary, compared with the results of the Brookfield viscosity test, the frequency scanning results under the 8 mm parallel plate were inconsistent with the high-temperature performance of different asphalts reflected by the Brookfield viscosity results, whereas the frequency scanning results under the 25 mm parallel plate was consistent with Brookfield viscosity results, whereas the frequency scanning results under the 25 mm parallel plate was consistent with Brookfield viscosity results. The high-temperature performance law between asphalts was consistent with the results of Brookfield viscosity, indicating that the modification effect of PUA modifier on asphalt could not be evaluated under the 8 mm parallel plate, and the 25 mm parallel plate was more suitable for evaluating the high-temperature performance of PUA-modified asphalt.

4 Conclusion

In this article, PUA-modified asphalt was taken as the research object. The high-temperature performance of modified asphalt was evaluated by Brookfield viscosity. The rheological properties of modified asphalt were compared and analyzed by changing the size of parallel plates in DSR test, and the influence of different sizes of parallel plates on modified asphalt was clarified.

1. With the increase of PUA-modifier content, the Brookfield viscosity of asphalt increased gradually, and the viscosity increased continuously. The addition of modifier could effectively improve the high-temperature performance of asphalt.

2. Under the action of 8 mm parallel plate, the high-temperature performance of modified asphalt was lower than that of matrix asphalt, and the modifier had a negative effect on the modification of asphalt. Under the 25 mm parallel plate, the high-temperature performance of modified asphalt was higher than that of matrix asphalt. With the increase of PUA, the high-temperature performance of asphalt was better, and the modifier had the effect on the high temperature performance of asphalt.

3. Compared with the Brookfield viscosity test results, the rheological test results under 8 mm parallel plate were inconsistent with the Brookfield viscosity of different asphalts reflected by the results of Brookfield viscosity. The rheological test results under 25 mm parallel plate showed that the high-temperature performance law of each asphalt was consistent with the results of Brookfield viscosity, indicating that 25 mm parallel plate was more suitable for evaluating the high-temperature performance of PUA-modified asphalt.

  1. Funding information: This article describes the research activities mainly requested and sponsored by Shanxi Transportation Holdings Group Co., Ltd. Technical Project under grant number 19-JKKJ-20, Foundation Committee of Basic and Applied Basic Research of Guangdong Province Youth Foundation Project under grant number 2019A1515110348, Guangdong Provincial Natural Science Foundation Project under grant number 2019A1515011397, and Special Fund for Science and Technology Innovation Strategy of Guangdong Province under grant number pdjh2021a0149. That sponsorship and interest are gratefully acknowledged.

  2. Author contributions: All authors have accepted responsibility for the entire content of this manuscript and approved its submission.

  3. Conflict of interest: The authors state no conflict of interest.

References

[1] Yu H, Yao D, Qian G, Cai J, Gong X, Cheng L. Effect of ultraviolet aging on dynamic mechanical properties of SBS modified asphalt mortar. Constr Build Mater. 2021;281:122328.10.1016/j.conbuildmat.2021.122328Search in Google Scholar

[2] Jin J, Gao Y, Wu Y, Liu S, Liu R, Wei H, et al. Rheological and adhesion properties of nano-organic palygorskite and linear SBS on the composite modified asphalt. Powder Technol. 2021;377:212–21.10.1016/j.powtec.2020.08.080Search in Google Scholar

[3] Yu H, Zhu Z, Leng Z, Wu C, Zhang Z, Wang D, et al. Effect of mixing sequence on asphalt mixtures containing waste tire rubber and warm mix surfactants. J Clean Prod. 2020;246:119008.10.1016/j.jclepro.2019.119008Search in Google Scholar

[4] Yu H, Deng G, Zhang Z, Zhu M, Gong M, Oeser M. Workability of rubberized asphalt from a perspective of particle effect. Transport Res D Transp Environ. 2020;91:102712.10.1016/j.trd.2021.102712Search in Google Scholar

[5] Niu D, Xie X, Zhang Z, Niu Y, Yang Z. Influence of binary waste mixtures on road performance of asphalt and asphalt mixture. J Clean Prod. 2021;298:126842.10.1016/j.jclepro.2021.126842Search in Google Scholar

[6] Zhang H, Chen Z, Xu G, Shi C. Physical, rheological and chemical characterization of aging behaviors of thermochromic asphalt binder. Fuel. 2018;211:850–8.10.1016/j.fuel.2017.09.111Search in Google Scholar

[7] Airey GD, Rahimzadeh B. Combined bituminous binder and mixture linear rheological properties. Constr Build Mater. 2004;18(7):535–48.10.1016/j.conbuildmat.2004.04.008Search in Google Scholar

[8] ASTM D7175-15. Standard test method for determining the rheological properties of asphalt binder using a dynamic shear rheometer. West Conshohocken, PA: ASTM International; 2015.Search in Google Scholar

[9] Liu Q, Wu J, Qu X, Wang C, Oeser M. Investigation of bitumen rheological properties measured at different rheometer gap sizes. Constr Build Mater. 2020;265:120287.10.1016/j.conbuildmat.2020.120287Search in Google Scholar

[10] Wu J, Liu Q, Yang S, Oeser M, Ago C. Study of migration and diffusion during the mixing process of asphalt mixtures with RAP. Road Mater Pavement Des. 2020;22(7):1578–93.10.1080/14680629.2019.1710237Search in Google Scholar

[11] Bahia HU, Zhai H, Zeng M, Hu Y, Turner P. Development of binder specification parameters based on characterization of damage behavior. J Assoc Asph Paving Technol. 2001;70:442–70.Search in Google Scholar

[12] Putman BJ, Thompson JU. High temperature properties of crumb rubber modified binders. Proc Mair-epave. 2005;4:1–9.Search in Google Scholar

[13] Zhai H, Bahia HU. Effect of film thickness on rheological behavior of asphalt binders. Transport Res Rec. 2000;1728(1):7–14.10.3141/1728-02Search in Google Scholar

[14] Teymourpour P, Hanz AJ, Amirkhanian SN. Effect of parallel plate gap height on repeatability in DSR measurements of crumb-rubber modified binders. J Mater Civ Eng. 2016;28(8):04016047.10.1061/(ASCE)MT.1943-5533.0001542Search in Google Scholar

[15] Meng YJ, Chi FX, Zhang XN. Ascertaining temperature applying range for different parallel plates in dynamic shear rheometer based on WLF equation. Highway. 2007;2007(5):149–53 (in Chinese).Search in Google Scholar

[16] Ministry of Transport of the People’s Republic of China. Technical specification for construction of highway asphalt pavements; 2004 (in Chinese).Search in Google Scholar

[17] ASTM, D4402. Standard test method for viscosity determination of asphalt at elevated temperatures using a rotational viscometer. American Society for Testing and Materials; 2015.Search in Google Scholar

[18] Zhang H, Chen Z, Xu G, Shi C. Evaluation of aging behaviors of asphalt binders through different rheological indices. Fuel. 2018;221:78–88.10.1016/j.fuel.2018.02.087Search in Google Scholar

[19] Liu K, Fu CL, Xu PX, Li SQ, Huang MY. An eco-friendliness inductive asphalt mixture comprising waste steel shavings and waste ferrites. J Clean Prod. 2021;283(2021):124639.10.1016/j.jclepro.2020.124639Search in Google Scholar

[20] Wang C, Chen Q, Guo T, Li Q. Environmental effects and enhancement mechanism of graphene/tourmaline composites. J Clean Prod. 2020;262:121313.10.1016/j.jclepro.2020.121313Search in Google Scholar

[21] Qin X, Shen A, Guo Y, Li Z, Lv Z. Characterization of asphalt mastics reinforced with basalt fibers. Constr Build Mater. 2018;159:508–16.10.1016/j.conbuildmat.2017.11.012Search in Google Scholar

[22] Ban XY. Study on preparation and properties of polyurethane (PU) modified asphalt. Master degree. Xi’an, Shaanxi: Chang’an University; 2017 (in Chinese).Search in Google Scholar

Received: 2021-08-17
Revised: 2021-09-16
Accepted: 2021-09-17
Published Online: 2021-11-11

© 2021 Xiaolong Sun et al., published by De Gruyter

This work is licensed under the Creative Commons Attribution 4.0 International License.

Articles in the same Issue

  1. Research Articles
  2. Improved impedance matching by multi-componential metal-hybridized rGO toward high performance of microwave absorption
  3. Pure-silk fibroin hydrogel with stable aligned micropattern toward peripheral nerve regeneration
  4. Effective ion pathways and 3D conductive carbon networks in bentonite host enable stable and high-rate lithium–sulfur batteries
  5. Fabrication and characterization of 3D-printed gellan gum/starch composite scaffold for Schwann cells growth
  6. Synergistic strengthening mechanism of copper matrix composite reinforced with nano-Al2O3 particles and micro-SiC whiskers
  7. Deformation mechanisms and plasticity of ultrafine-grained Al under complex stress state revealed by digital image correlation technique
  8. On the deformation-induced grain rotations in gradient nano-grained copper based on molecular dynamics simulations
  9. Removal of sulfate from aqueous solution using Mg–Al nano-layered double hydroxides synthesized under different dual solvent systems
  10. Microwave-assisted sol–gel synthesis of TiO2-mixed metal oxide nanocatalyst for degradation of organic pollutant
  11. Electrophoretic deposition of graphene on basalt fiber for composite applications
  12. Polyphenylene sulfide-coated wrench composites by nanopinning effect
  13. Thermal conductivity and thermoelectric properties in 3D macroscopic pure carbon nanotube materials
  14. An effective thermal conductivity and thermomechanical homogenization scheme for a multiscale Nb3Sn filaments
  15. Friction stir spot welding of AA5052 with additional carbon fiber-reinforced polymer composite interlayer
  16. Improvement of long-term cycling performance of high-nickel cathode materials by ZnO coating
  17. Quantum effects of gas flow in nanochannels
  18. An approach to effectively improve the interfacial bonding of nano-perfused composites by in situ growth of CNTs
  19. Effects of nano-modified polymer cement-based materials on the bending behavior of repaired concrete beams
  20. Effects of the combined usage of nanomaterials and steel fibres on the workability, compressive strength, and microstructure of ultra-high performance concrete
  21. One-pot solvothermal synthesis and characterization of highly stable nickel nanoparticles
  22. Comparative study on mechanisms for improving mechanical properties and microstructure of cement paste modified by different types of nanomaterials
  23. Effect of in situ graphene-doped nano-CeO2 on microstructure and electrical contact properties of Cu30Cr10W contacts
  24. The experimental study of CFRP interlayer of dissimilar joint AA7075-T651/Ti-6Al-4V alloys by friction stir spot welding on mechanical and microstructural properties
  25. Vibration analysis of a sandwich cylindrical shell in hygrothermal environment
  26. Water barrier and mechanical properties of sugar palm crystalline nanocellulose reinforced thermoplastic sugar palm starch (TPS)/poly(lactic acid) (PLA) blend bionanocomposites
  27. Strong quadratic acousto-optic coupling in 1D multilayer phoxonic crystal cavity
  28. Three-dimensional shape analysis of peripapillary retinal pigment epithelium-basement membrane layer based on OCT radial images
  29. Solvent regulation synthesis of single-component white emission carbon quantum dots for white light-emitting diodes
  30. Xanthate-modified nanoTiO2 as a novel vulcanization accelerator enhancing mechanical and antibacterial properties of natural rubber
  31. Effect of steel fiber on impact resistance and durability of concrete containing nano-SiO2
  32. Ultrasound-enhanced biosynthesis of uniform ZnO nanorice using Swietenia macrophylla seed extract and its in vitro anticancer activity
  33. Temperature dependence of hardness prediction for high-temperature structural ceramics and their composites
  34. Study on the frequency of acoustic emission signal during crystal growth of salicylic acid
  35. Controllable modification of helical carbon nanotubes for high-performance microwave absorption
  36. Role of dry ozonization of basalt fibers on interfacial properties and fracture toughness of epoxy matrix composites
  37. Nanosystem’s density functional theory study of the chlorine adsorption on the Fe(100) surface
  38. A rapid nanobiosensing platform based on herceptin-conjugated graphene for ultrasensitive detection of circulating tumor cells in early breast cancer
  39. Improving flexural strength of UHPC with sustainably synthesized graphene oxide
  40. The role of graphene/graphene oxide in cement hydration
  41. Structural characterization of microcrystalline and nanocrystalline cellulose from Ananas comosus L. leaves: Cytocompatibility and molecular docking studies
  42. Evaluation of the nanostructure of calcium silicate hydrate based on atomic force microscopy-infrared spectroscopy experiments
  43. Combined effects of nano-silica and silica fume on the mechanical behavior of recycled aggregate concrete
  44. Safety study of malapposition of the bio-corrodible nitrided iron stent in vivo
  45. Triethanolamine interface modification of crystallized ZnO nanospheres enabling fast photocatalytic hazard-free treatment of Cr(vi) ions
  46. Novel electrodes for precise and accurate droplet dispensing and splitting in digital microfluidics
  47. Construction of Chi(Zn/BMP2)/HA composite coating on AZ31B magnesium alloy surface to improve the corrosion resistance and biocompatibility
  48. Experimental and multiscale numerical investigations on low-velocity impact responses of syntactic foam composites reinforced with modified MWCNTs
  49. Comprehensive performance analysis and optimal design of smart light pole for cooperative vehicle infrastructure system
  50. Room temperature growth of ZnO with highly active exposed facets for photocatalytic application
  51. Influences of poling temperature and elongation ratio on PVDF-HFP piezoelectric films
  52. Large strain hardening of magnesium containing in situ nanoparticles
  53. Super stable water-based magnetic fluid as a dual-mode contrast agent
  54. Photocatalytic activity of biogenic zinc oxide nanoparticles: In vitro antimicrobial, biocompatibility, and molecular docking studies
  55. Hygrothermal environment effect on the critical buckling load of FGP microbeams with initial curvature integrated by CNT-reinforced skins considering the influence of thickness stretching
  56. Thermal aging behavior characteristics of asphalt binder modified by nano-stabilizer based on DSR and AFM
  57. Building effective core/shell polymer nanoparticles for epoxy composite toughening based on Hansen solubility parameters
  58. Structural characterization and nanoscale strain field analysis of α/β interface layer of a near α titanium alloy
  59. Optimization of thermal and hydrophobic properties of GO-doped epoxy nanocomposite coatings
  60. The properties of nano-CaCO3/nano-ZnO/SBR composite-modified asphalt
  61. Three-dimensional metallic carbon allotropes with superhardness
  62. Physical stability and rheological behavior of Pickering emulsions stabilized by protein–polysaccharide hybrid nanoconjugates
  63. Optimization of volume fraction and microstructure evolution during thermal deformation of nano-SiCp/Al–7Si composites
  64. Phase analysis and corrosion behavior of brazing Cu/Al dissimilar metal joint with BAl88Si filler metal
  65. High-efficiency nano polishing of steel materials
  66. On the rheological properties of multi-walled carbon nano-polyvinylpyrrolidone/silicon-based shear thickening fluid
  67. Fabrication of Ag/ZnO hollow nanospheres and cubic TiO2/ZnO heterojunction photocatalysts for RhB degradation
  68. Fabrication and properties of PLA/nano-HA composite scaffolds with balanced mechanical properties and biological functions for bone tissue engineering application
  69. Investigation of the early-age performance and microstructure of nano-C–S–H blended cement-based materials
  70. Reduced graphene oxide coating on basalt fabric using electrophoretic deposition and its role in the mechanical and tribological performance of epoxy/basalt fiber composites
  71. Effect of nano-silica as cementitious materials-reducing admixtures on the workability, mechanical properties and durability of concrete
  72. Machine-learning-assisted microstructure–property linkages of carbon nanotube-reinforced aluminum matrix nanocomposites produced by laser powder bed fusion
  73. Physical, thermal, and mechanical properties of highly porous polylactic acid/cellulose nanofibre scaffolds prepared by salt leaching technique
  74. A comparative study on characterizations and synthesis of pure lead sulfide (PbS) and Ag-doped PbS for photovoltaic applications
  75. Clean preparation of washable antibacterial polyester fibers by high temperature and high pressure hydrothermal self-assembly
  76. Al 5251-based hybrid nanocomposite by FSP reinforced with graphene nanoplates and boron nitride nanoparticles: Microstructure, wear, and mechanical characterization
  77. Interlaminar fracture toughness properties of hybrid glass fiber-reinforced composite interlayered with carbon nanotube using electrospray deposition
  78. Microstructure and life prediction model of steel slag concrete under freezing-thawing environment
  79. Synthesis of biogenic silver nanoparticles from the seed coat waste of pistachio (Pistacia vera) and their effect on the growth of eggplant
  80. Study on adaptability of rheological index of nano-PUA-modified asphalt based on geometric parameters of parallel plate
  81. Preparation and adsorption properties of nano-graphene oxide/tourmaline composites
  82. A study on interfacial behaviors of epoxy/graphene oxide derived from pitch-based graphite fibers
  83. Multiresponsive carboxylated graphene oxide-grafted aptamer as a multifunctional nanocarrier for targeted delivery of chemotherapeutics and bioactive compounds in cancer therapy
  84. Piezoresistive/piezoelectric intrinsic sensing properties of carbon nanotube cement-based smart composite and its electromechanical sensing mechanisms: A review
  85. Smart stimuli-responsive biofunctionalized niosomal nanocarriers for programmed release of bioactive compounds into cancer cells in vitro and in vivo
  86. Photoremediation of methylene blue by biosynthesized ZnO/Fe3O4 nanocomposites using Callistemon viminalis leaves aqueous extract: A comparative study
  87. Study of gold nanoparticles’ preparation through ultrasonic spray pyrolysis and lyophilisation for possible use as markers in LFIA tests
  88. Review Articles
  89. Advance on the dispersion treatment of graphene oxide and the graphene oxide modified cement-based materials
  90. Development of ionic liquid-based electroactive polymer composites using nanotechnology
  91. Nanostructured multifunctional electrocatalysts for efficient energy conversion systems: Recent perspectives
  92. Recent advances on the fabrication methods of nanocomposite yarn-based strain sensor
  93. Review on nanocomposites based on aerospace applications
  94. Overview of nanocellulose as additives in paper processing and paper products
  95. The frontiers of functionalized graphene-based nanocomposites as chemical sensors
  96. Material advancement in tissue-engineered nerve conduit
  97. Carbon nanostructure-based superhydrophobic surfaces and coatings
  98. Functionalized graphene-based nanocomposites for smart optoelectronic applications
  99. Interfacial technology for enhancement in steel fiber reinforced cementitious composite from nano to macroscale
  100. Metal nanoparticles and biomaterials: The multipronged approach for potential diabetic wound therapy
  101. Review on resistive switching mechanisms of bio-organic thin film for non-volatile memory application
  102. Nanotechnology-enabled biomedical engineering: Current trends, future scopes, and perspectives
  103. Research progress on key problems of nanomaterials-modified geopolymer concrete
  104. Smart stimuli-responsive nanocarriers for the cancer therapy – nanomedicine
  105. An overview of methods for production and detection of silver nanoparticles, with emphasis on their fate and toxicological effects on human, soil, and aquatic environment
  106. Effects of chemical modification and nanotechnology on wood properties
  107. Mechanisms, influencing factors, and applications of electrohydrodynamic jet printing
  108. Application of antiviral materials in textiles: A review
  109. Phase transformation and strengthening mechanisms of nanostructured high-entropy alloys
  110. Research progress on individual effect of graphene oxide in cement-based materials and its synergistic effect with other nanomaterials
  111. Catalytic defense against fungal pathogens using nanozymes
  112. A mini-review of three-dimensional network topological structure nanocomposites: Preparation and mechanical properties
  113. Mechanical properties and structural health monitoring performance of carbon nanotube-modified FRP composites: A review
  114. Nano-scale delivery: A comprehensive review of nano-structured devices, preparative techniques, site-specificity designs, biomedical applications, commercial products, and references to safety, cellular uptake, and organ toxicity
  115. Effects of alloying, heat treatment and nanoreinforcement on mechanical properties and damping performances of Cu–Al-based alloys: A review
  116. Recent progress in the synthesis and applications of vertically aligned carbon nanotube materials
  117. Thermal conductivity and dynamic viscosity of mono and hybrid organic- and synthetic-based nanofluids: A critical review
  118. Recent advances in waste-recycled nanomaterials for biomedical applications: Waste-to-wealth
  119. Layup sequence and interfacial bonding of additively manufactured polymeric composite: A brief review
  120. Quantum dots synthetization and future prospect applications
  121. Approved and marketed nanoparticles for disease targeting and applications in COVID-19
  122. Strategies for improving rechargeable lithium-ion batteries: From active materials to CO2 emissions
Downloaded on 18.1.2026 from https://www.degruyterbrill.com/document/doi/10.1515/ntrev-2021-0106/html
Scroll to top button