Abstract
The peripapillary retinal pigment epithelium-basement membrane (ppRPE/BM) layer angle was recently proposed as a potential index for estimating intracranial pressure noninvasively. However, the ppRPE/BM layer angle, measured from the optical coherence tomography (OCT) scans, varied across the radial directions of the optic disc. This made the ppRPE/BM layer angle difficult to be utilized in its full potential. In this study, we developed a mathematical model to quantify the ppRPE/BM layer angles across radial scans in relation to the ppRPE/BM 3D morphology in terms of its 3D angle and scanning tilt angles. Results showed that the variations of the ppRPE/BM layer angle across radial scans were well explained by its 3D angle and scanning tilt angles. The ppRPE/BM layer 3D angle was reversely fitted from the measured ppRPE/BM layer angles across radial directions with application to six eyes from four patients, who underwent medically necessary lumbar puncture. The fitted curve from our mathematical model matched well with the experimental measurements (R 2 > 0.9 in most cases). This further validated our mathematical model. The proposed model in this study has elucidated the variations of ppRPE/BM layer angle across 2D radial scans from the perspective of the ppRPE/BM layer 3D morphology. It is expected that the ppRPE/BM layer 3D angle developed in this study could be further exploited as a new biomarker for the optic disc.
Graphical abstract

1 Introduction
Optical coherence tomography (OCT) has been widely used in ophthalmology for providing high-resolution in vivo retinal structures [1,2]. The retinal OCT scans have been used for the diagnosis and the assessment of various ophthalmological diseases (e.g., glaucoma and macular edema) [3,4,5]. In our recent study, we found that the angle of the peripapillary retinal pigment epithelium-basement membrane (ppRPE/BM) layer changed following the reduced intracranial pressure (ICP) procedure [6]. This implies that the ppRPE/BM layer angle might be a potential index for the noninvasive assessment of the ICP, which is of great importance in clinical practice as abnormal ICP is a major risk factor for ophthalmological and neurological diseases [7,8,9,10]. Such noninvasive ICP assessment would also be highly valuable to human health countermeasures for spaceflight to mitigate microgravity-induced visual impairments [11,12].
Common OCT images consisted of multiple B-scans, each of which provides a two-dimensional (2D) cross-sectional view. However, the ppRPE/BM layer angle varied in these 2D scans due to image tilting. Sibony et al. [13] have shown that such image tilting was due to the oblique orientation of the scanning beam to the optic disc. Symmetric and untilted OCT scans at the nasal-temporal direction required the scanning beam of the OCT machine to be perpendicular to the optic disc, e.g., parallel to the axis of the optic nerve [13,14]. In this way, the ppRPE/BM layer angle in each radial scan is approximately the same, indicating that the 3D shape of the ppRPE/BM layer is conical. However, such imaging protocol is challenging to be implemented considering the uncontrollable eye movements and operator factors during the acquisition process [15]. In clinical practice, the OCT scanning beam is oblique toward the optic disc, leading to a tilted retinal image [15,16,17,18]. Specifically, Hariri et al. [15] reported that the mean inclination angle for the macular scans is 14.52 ± 2.63° at temporal positioning. Hong et al. [16] reported a mean value of 12.62 ± 5.17° for the scanned angle of the optic nerve head images. Consequently, the acquired retinal images were found tilted differently across the radial directions [6,19], which makes it difficult to determine the ppRPE/BM layer angle of a 3D optic disc based on either a single or multiple radial OCT scans. Furthermore, the image tilt led to the measurement bias in the anatomical study such as thickness and angles [15,16,20,21,22]. The measurement bias of retinal thickness caused by such image tilt can go up to several dozens of microns, which accounts for >10% of its true thickness. This will also compromise the measurement reproducibility of the retinal thickness [23], which adversely affected the early diagnosis of optic diseases [24]. Therefore, it would be of great importance to comprehensively understand the tilt effect in the OCT scans to provide solutions to mitigate or even eliminate such effects.
In this study, we will delineate why the measured ppRPE/BM layer angle varies across the radial OCT scans from the perspective of its 3D morphology. We also proposed a mathematical model to quantify the relationship between the ppRPE/BM layer 3D morphology (in terms of its 3D angle and scanning tilt angles) and its 2D cross-sectional radial OCT scans (in terms of the ppRPE/BM layer angles). The ppRPE/BM layer 3D angle could be reversely determined from the measured ppRPE/BM layer angles across radial directions. The impact of each factor (e.g., ppRPE/BM layer 3D angle and scanning tilt angles) on the measured ppRPE/BM layer angle in 2D OCT radial scans was further characterized. To the best of our knowledge, this is the first study to unveil the ppRPE/BM layer angle variation across radial directions through mathematical modeling. Furthermore, the imaging data of six eyes from four patients, who underwent medically necessary lumbar puncture, were analyzed using the method herein.
2 Methods
2.1 Schematic diagrams of the 3D ppRPE/BM layer and its 2D radial scans
The image tilting contributes to the variation of the measured ppRPE/BM layer angle across different radial scans, which limits its application in broader fields. It is important to notice the direction and location of the OCT scanning beam is manually controlled by physicians during the image acquisition process, as illustrated in Figure 1 [25]. If the scanning beam can be positioned perpendicular to the optic disc or aligned with the optic nerve, the ppRPE/BM layer angle in each radial scan will be approximately the same [13,14]. In addition, the ppRPE/BM layer was nearly a straight line in the 2D cross-sectional view. These observations implied that the 3D shape of the ppRPE/BM layer is conical in the region of the optic nerve head.

Position control of the OCT scanning beam for the Cirrus HD-OCT machine (Carl Zeiss Meditec, Inc., Dublin, CA). The X–Y panel controls the horizontal and vertical movement of the screening center (red circle). The Z panel controls the focus.
A schematic diagram of the conical ppRPE/BM layer was developed to illustrate variations in the ppRPE/BM layer angles in four imaging scenarios (Figure 2). The 3D ppRPE/BM layer is a portion of the conical surface intersecting with the cylindrical optic nerve and sharing the same axis of symmetry. The ppRPE/BM layer 3D angle (denoted as γ, also referred to as 3D angle) was adopted in this study to be consistent with the ppRPE/BM layer angle (

Schematic diagrams of the ppRPE/BM layer morphology with columns: relative position between the OCT scanning beam and optic disc; the OCT cross-sectional view in nasal-temporal direction; and the OCT cross-sectional view in the superior-inferior direction. The ppRPE/BM layer angle (
As the axis of the scanning beam coincides with the axis of the optic nerve (Figure 2a), the acquired ppRPE/BM layer morphology would be the same across all radial directions (Figure 2a2 and a3). Thus, the measured ppRPE/BM layer angle (
2.2 Experimental data processing
Three right eyes and three left eyes from four patients, who underwent medically necessary lumbar puncture, were analyzed in this study. The details of experimental procedures were introduced in our previous study [6]. Briefly, for each optic disc, 12 uniformly distributed radial OCT scans (an angle of 15° between neighboring scans), illustrated in Figure 3, were acquired using Cirrus HD-OCT (Carl Zeiss Meditec Inc, USA). Each OCT scan had an anatomical size of 1,876 × 625 pixels (6 × 2 mm). Because of the discontinuity and curvature of the ppRPE/BM layer in the central region of the optic disc (highlighted with a red circle in Figure 3a), we quantified the ppRPE/BM layer in the peripheral region between the radius of 1.56 mm (the red circle) and 3 mm (the green circle in Figure 3a). In each OCT radial scan, the ppRPE/BM layer angle to the horizontal plane (Figure 3b and c) was quantified using the semi-automatic method as described in our previous study [6,26]. Here, we organized the calculated ppRPE/BM layer angle based on their radial position from 0° to 345° (denoted as

(a) Enface projection of the radial OCT centered over the optic disc. Twelve radial scans (green line) were acquired for each optic disc. The insert indicates the position of the corresponding scan shown in panel b (nasal-temporal direction) and panel c (superior-inferior direction). The red circle marks the inner boundary of the peripheral region of the optic disc for segmentation, and the green circle marks the outer boundary of the OCT scan. The radial position of the scan was assigned counterclockwise (marked with red circle arrow) starting from 0° at the temporal direction. (b) The ppRPE/BM layer angle (
2.3 Mathematical model of a conical ppRPE/BM layer
A Cartesian coordinate system was established with its Z-axis coinciding with the axis of the OCT scanning beam, as shown in Figure 2a. The conical vertex of the ppRPE/BM surface is set to be in the global X–Y plane. The scanning tilt angle was defined as the angle between the axis of the scanning beam and the axis of the optic disc. The conical ppRPE/BM surface, without tilt angles and vertex translation (e.g., Figure 2a1), could be described by
where r is the distance from any point on the conical surface to the axis of the conical surface,
Considering a tilt angle (β) between the axis of the scanning beam and the axis of the optic disc in the nasal-temporal direction (clockwise rotation around Y-axis) (Figure 2b1), the conical ppRPE/BM layer could be modified as follows:
which could be also expressed as follows:
Adding a tilt angle (θ) between the axis of the scanning beam and the axis of the optic disc in the nasal-temporal direction (clockwise rotation around X-axis) (Figure 2c1), the conical ppRPE/BM layer could be represented as follows:
which could be also expressed as follows:
Adding the translation of the conical vertex
The common clinical data are composed of radial scans at 24 half cross-sectional angle (also referred to as radial angle, denoted as

The fundus view (a) and a cross-sectional view (b) of the optic disc. (a) The red circle marked the inner boundary of the ppRPE/BM layer in the OCT scan, and the green circle marked the outer boundary. The distance of the surface vertex
For
Then, with Z-coordinates of P
0 and P
1, the ppRPE/BM layer angle (
These equations (equations 6–10) have established the relationship among the clinical measurements in radial scans (
In addition, we can also calculate the eccentricity (ε) based on the projection of the vertex to the fundus view (Figure 4a) as follows:
2.4 The control variate method for characterizing the ppRPE/BM layer angle variation
The measured ppRPE/BM layer angle (
2.5 Reverse fitting for identifying the ppRPE/BM surface and its orientation
Given the clinical measurements of the ppRPE/BM layer angle and eccentricity, we are able to obtain individualized parameters
Then, the remaining parameters
where the subscript
The boundary conditions of
The optimal solution of equation (12) was obtained using the fmincon function of the MultiStart procedure in MATLAB [28]. To accelerate the computing speed, a parallel computing toolbox using multiple cores (n = 8) was applied. To ensure the fitted results were independent of the start points number in the MultiStart procedure, a convergence study was performed considering both the accuracy and efficiency. For example, we first ran the reverse fitting by using 1,000 starting points and then followed by another reverse fitting using 5,000 starting points. The results would be regarded as converged if the fitted ppRPE/BM layer parameters between the two simulations had a difference of less than 5%. If the difference was greater than 5%, we would add another 5,000 starting points and rerun the fitting until the differences between the consecutive simulations satisfy the 5% criterion. Based on the converged ppRPE/BM layer parameters
3 Results
3.1 The ppRPE/BM layer angle variation model
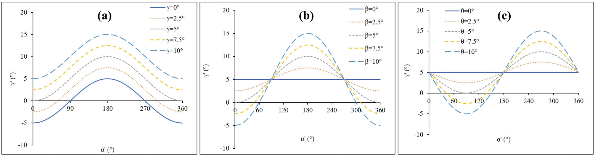
Based on our mathematical model, the 2D cross-sectional view of the ppRPE/BM conical surface depend on four factors: the ppRPE/BM layer 3D angle (γ), the tilt angle (β) between the axis of the OCT scanning beam and the axis of the optic disc in the nasal-temporal direction, the tilt angle (θ) between the axis of the OCT scanning beam and the axis of the optic disc in the superior-inferior direction, and the location of the ppRPE/BM layer vertex to the axis of the scanning beam
Figure 5 shows the role of the ppRPE/BM layer 3D angle γ and tilt angles (β and θ) on the measured ppRPE/BM layer angle

The ppRPE/BM layer angle
Figure 6 has illustrated the role of the ppRPE/BM surface vertex translation

The influence of (a) the vertex translation of the ppRPE/BM surface in X-axis (
3.2 Reverse fitting for determining the ppRPE/BM layer 3D parameters
For each eye, we could measure eccentricity,

Comparison between the experimental measurements and model fitting results of with respect to

Comparison between the experimental measurements and model fitting results with respect to
The goodness of fit of our model to the measured data points was quantified by the coefficient of determination (R 2). Values of R 2 are larger than 0.9 in most model predictions, indicating the effectiveness of the mathematical model developed in this study, which further illustrated the relationship between the ppRPE/BM 3D morphology and its 2D cross-sectional radial scans (commonly used in clinical practices).
The convergence study using the MultiStart procedure is illustrated in Table 1. It is clear that the ppRPE/BM layer parameters were converged with a larger number of the start points (N), but in the cost of a longer computation time.
Convergence of the fitted ppRPE/BM layer parameters using MultiStart procedure (representative data: No. 1 right eye)
| Number of start points (N) | Fitted ppRPE/BM layer parameters | Computing time (s) | |||||
|---|---|---|---|---|---|---|---|
| γ | β | θ | |||||
| Value (°) | Change (%) | Value (°) | Change (%) | Value (°) | Change (%) | ||
| 1,000 | 4.439 | 5.506 | 0.499 | 839 | |||
| 5,000 | 4.597 | 3.56 | 5.510 | 0.07 | 0.618 | 23.85 | 3385 |
| 10,000 | 4.549 | −1.04 | 5.512 | 0.04 | 0.684 | 10.68 | 6607 |
| 15,000 | 4.564 | 0.33 | 5.470 | −0.76 | 0.709 | 3.65 | 9627 |
4 Discussion
In this study, a mathematical model has been developed to delineate the relationship between the ppRPE/BM layer 3D morphology and its 2D cross-sections in various radial directions. It has been found out that the measured ppRPE/BM layer angle variation across the radial directions depends on the ppRPE/BM layer 3D angle and the scanning tilt angles, which could be calculated by reverse fitting the measured 2D data points in the radial OCT scans. This study provided a mechanistic understanding of the ppRPE/BM layer 3D morphology, which could be further exploited for the diagnosis and prevention of the ocular and neurological diseases [29,30]. Moreover, the computational framework could be applied to other biomedical studies that integrate different 2D observations into 3D representation [31,32,33].
The impact of the ppRPE/BM layer 3D angle and scanning tilt angles on the measured ppRPE/BM layer angle in radial scans was evaluated using the control variate method. The tilt angle (β) between the axis of the OCT scanning beam and the axis of the optic disc in the nasal-temporal direction could be adjusted by moving the scanning beam horizontally (X-axis in Figure 1). The tilt angle (θ) between the axis of the OCT scanning beam and the axis of the optic disc in the superior-inferior direction could be adjusted by moving the scanning beam vertically (Y-axis in Figure 1). The relative position between the vertex of the ppRPE/BM layer and the axis of the scanning beam could be adjusted by moving the scanning center either horizontally or vertically. If the axis of the OCT scanning beam aligned with the axis of the optic disc, e.g., no tilting, the measured ppRPE/BM layer angle will be the same across all radial directions (Figure 5b and c). However, the optic nerve head is naturally located at the nasal side of the eyeball (e.g., tilt in nasal-temporal direction), which led to common image tilting during OCT scanning. To enforce a nontilt ppRPE/BM layer, the OCT scanning beam should be positioned towards the temporal portion of the pupil [13]. Thus, the measured ppRPE/BM layer angle variations along the different radial directions exhibited as cosine-like curve, as illustrated in our OCT image postprocessing (Figures 7 and 8). Our model revealed that ppRPE/BM layer angle variations were highly dependent on the ppRPE/BM layer 3D angle (Figure 5a) and the tilt angle between the axis of the OCT scanning beam and the axis of the optic disc (Figure 5b and c). Specifically, the midline of the angle variation curve depends on the ppRPE/BM layer 3D angle, and the amplitude of the angle variation curve depends on the tilt angles. Conversely, the position of the ppRPE/BM surface vertex has a minimal impact on the measured ppRPE/BM layer angle when the vertex is within the central region of the optic disc. The good match between the fitted curve and the clinical measurements from OCT image (R 2 > 0.9 in most cases) supported the aforementioned understandings and especially indicated the capability of the mathematical model in relating the variation of the ppRPE/BM layer angle along different radial directions with its 3D parameters.
The measured ppRPE/BM layer angle in radial scans was further reverse fitted into its 3D morphology in terms of the ppRPE/BM layer 3D angle. The quantified ppRPE/BM layer 3D angle was a comprehensive description of the peripapillary geometry, compared to the single measurement from a 2D cross-sectional scan [13,14]. The ppRPE/BM layer 3D angle could be considered as a new biomarker for evaluating the severity of the disease (e.g., papilledema or idiopathic hypertension) and the effect of treatment [13,34]. Besides, it can avoid the tilt artifact that was born with the shape analysis of 2D scans [13]. Generally, the OCT scanning beam was required to be perpendicularly oriented over the optic nerve so as to obtain the symmetrical and untilted 2D scans. There is no need to do so by using the model developed in this study, as the reverse fitting will determine the ppRPE/BM layer 3D morphology parameters. In addition, the quantified ppRPE/BM layer 3D angle could also be used for the noninvasive ICP estimation since the ppRPE/BM layer angle in 2D radial scans was found to change in response to the ICP level [13,14,19]. Moreover, such biomarker shows a promising prospect for accurate noninvasive ICP assessment as our previous study has shown that the minimum detectable change of the ppRPE/BM layer angle can be as low as 0.19° [6]. This could be particularly important when invasive ICP monitoring is not applicable due to ethical or safety concerns or difficulty in manipulating the test, such as for patients with normal-tension glaucoma [35] or acute mountain sickness [36,37,38], or for astronauts in the spaceflight [12,39].
We could automatically adjust the retinal OCT radial scans to eliminate the tilting effect based on the mathematical model developed in this study. It could then increase the accuracy and reproducibility of the retinal nerve fiber layer (RNFL) thickness in the optic nerve head or macula [15,16,20,21,22,23]. Hong et al. reported that different scan angles could induce significant artifact (e.g., mean difference 13.26 ± 14.95 µm) in the measurement of RNFL thickness where the adjustment is necessary [16]. Lee et al. observed that the RNFL thickness measured in radial scans with the adjusted ppRPE/BM layer angle showed better reproducibility [23]. Furthermore, it was observed that the peripapillary RNFL thickness was significantly associated with the tilt degree of the optic disc, and a larger temporally tilted optic disc led to a thicker temporal RNFL [22,40]. Considering the association between myopia and optic disc tilt [41,42], the developed model might be transformed to the myopic population [40,43].
In this study, the ppRPE/BM layer 3D morphology was assumed as a perfect conical shape for developing the mathematical model that derives the ppRPE/BM layer angle in 2D radial scans under different imaging scenarios. Such an assumption was made to understand the association between 3D morphology and 2D radial scans. The application of this study is limited to the straight ppRPE/BM layer. The patients with curved ppRPE/BM layers (two out of 36 eyes) in our previous lumbar puncture study [6] will not be included.
In conclusion, the developed mathematical model in this study delineated how the ppRPE/BM layer angle across radial scans are related to the ppRPE/BM 3D parameters during the scanning process. The variations of the ppRPE/BM layer angle in different radial scans depend on the 3D angle and tilt angles. The ppRPE/BM layer 3D angle could be reversely fitted using the measured ppRPE/BM layer angles across radial directions. The ppRPE/BM layer 3D angle, first proposed herein, could be used to enhance the understanding of 2D radial scans and to exploit its potential as biomarkers of ocular diseases. In addition, the framework of this study could be transformed across many different biomedical studies that will require the integration of multifaceted observations in its broadest sense [44].
-
Funding information: The authors state no funding involved.
-
Author contributions: All authors have accepted responsibility for the entire content of this manuscript and approved its submission.
-
Conflict of interest: The authors state no conflict of interest.
References
[1] Fujimoto J , Swanson E . The development, commercialization, and impact of optical coherence tomography. Investig Ophthalmol Vis Sci. 2016;57(9):OCT1–13.10.1167/iovs.16-19963Search in Google Scholar PubMed PubMed Central
[2] Baghaie A , Yu Z , D’Souza RM . State-of-the-art in retinal optical coherence tomography image analysis. Quant Imaging Med Surg. 2015;5(4):603–17.Search in Google Scholar
[3] Dong ZM , Wollstein G , Schuman JS . Clinical utility of optical coherence tomography in glaucoma. Investig Ophthalmol Vis Sci. 2016;57(9):OCT556–67.10.1167/iovs.16-19933Search in Google Scholar PubMed PubMed Central
[4] Kansal V , Armstrong JJ , Pintwala R , Hutnik C . Optical coherence tomography for glaucoma diagnosis: an evidence based meta-analysis. PLoS One. 2018;13(1):e0190621.10.1371/journal.pone.0190621Search in Google Scholar PubMed PubMed Central
[5] Lee CS , Tyring AJ , Deruyter NP , Wu Y , Rokem A , Lee AY . Deep-learning based, automated segmentation of macular edema in optical coherence tomography. Biomed Opt Express. 2017;8(7):3440–8.10.1364/BOE.8.003440Search in Google Scholar PubMed PubMed Central
[6] Tong J , Dong P , Kedar S , Ghate D , Gu L . Three-dimensional characterization of peripapillary retinal pigment epithelium-basement membrane layer in patients following lumbar puncture. Appl Sci. 2020;10(5):1559.10.3390/app10051559Search in Google Scholar
[7] Zhang X , Medow JE , Iskandar BJ , Wang F , Shokoueinejad M , Koueik J , et al. Invasive and noninvasive means of measuring intracranial pressure: a review. Physiol Meas. 2017;38(8):R143.10.1088/1361-6579/aa7256Search in Google Scholar PubMed
[8] Hua Y , Tong J , Ghate D , Kedar S , Gu L . Intracranial pressure influences the behavior of the optic nerve head. J Biomech Eng. 2017;139:3.10.1115/1.4035406Search in Google Scholar PubMed
[9] Cardim D , Robba C , Donnelly J , Bohdanowicz M , Schmidt B , Damian M , et al. Prospective study on noninvasive assessment of intracranial pressure in traumatic brain-injured patients: comparison of four methods. J Neurotrauma. 2016;33(8):792–802.10.1089/neu.2015.4134Search in Google Scholar PubMed PubMed Central
[10] Ghate D , Kedar S , Havens S , Fan S , Thorell W , Nelson C , et al. The effects of acute intracranial pressure changes on the episcleral venous pressure, retinal vein diameter and intraocular pressure in a pig model. Curr Eye Res. 2020;46:1–8.10.1080/02713683.2020.1805769Search in Google Scholar PubMed
[11] Marshall-Bowman K , Barratt MR , Gibson CR . Ophthalmic changes and increased intracranial pressure associated with long duration spaceflight: an emerging understanding. Acta Astron. 2013;87:77–87.10.1016/j.actaastro.2013.01.014Search in Google Scholar
[12] Zhang L-F , Hargens AR . Spaceflight-induced intracranial hypertension and visual impairment: pathophysiology and countermeasures. Physiol Rev. 2018;98(1):59–87.10.1152/physrev.00017.2016Search in Google Scholar PubMed
[13] Sibony P , Kupersmith MJ , Rohlf FJ . Shape analysis of the peripapillary RPE layer in papilledema and ischemic optic neuropathy. Investig Ophthalmol Vis Sci. 2011;52(11):7987–95.10.1167/iovs.11-7918Search in Google Scholar PubMed PubMed Central
[14] Gampa A , Vangipuram G , Shirazi Z , Moss HE . Quantitative association between peripapillary Bruch’s membrane shape and intracranial pressure. Investig Ophthalmol Vis Sci. 2017;58(5):2739–45.10.1167/iovs.17-21592Search in Google Scholar PubMed PubMed Central
[15] Hariri A , Lee SY , Ruiz-Garcia H , Nittala MG , Heussen FM , Sadda SR . Effect of angle of incidence on macular thickness and volume measurements obtained by spectral-domain optical coherence tomography. Investig Ophthalmol Vis Sci. 2012;53(9):5287–91.10.1167/iovs.12-9767Search in Google Scholar PubMed
[16] Hong S , Kim CY , Seong GJ . Adjusted peripapillary retinal nerve fiber layer thickness measurements based on the optic nerve head scan angle. Investig Ophthalmol Vis Sci. 2010;51(8):4067–74.10.1167/iovs.09-4301Search in Google Scholar PubMed
[17] Fan YY , Jonas JB , Wang YX , Chen CX , Wei WB . Horizontal and vertical optic disc rotation. The Beijing eye study. PLoS One. 2017;12(5):e0175749.10.1371/journal.pone.0175749Search in Google Scholar PubMed PubMed Central
[18] Kraus MF , Liu JJ , Schottenhamml J , Chen C-L , Budai A , Branchini L , et al. Quantitative 3D-OCT motion correction with tilt and illumination correction, robust similarity measure and regularization. Biomed Opt Express. 2014;5(8):2591–613.10.1364/BOE.5.002591Search in Google Scholar PubMed PubMed Central
[19] Malhotra K , Patel MD , Shirazi Z , Moss HE . Association between peripapillary bruch’s membrane shape and intracranial pressure: effect of image acquisition pattern and image analysis method, a preliminary study. Front Neurol. 2018;9:1137.10.3389/fneur.2018.01137Search in Google Scholar PubMed PubMed Central
[20] Alonso-Caneiro D , Read SA , Vincent SJ , Collins MJ , Wojtkowski M . Tissue thickness calculation in ocular optical coherence tomography. Biomed Opt Express. 2016;7(2):629–45.10.1364/BOE.7.000629Search in Google Scholar PubMed PubMed Central
[21] Antony BJ , Stetson PF , Abramoff MD , Lee K , Colijn JM , Buitendijk GH , et al. Characterizing the impact of off-axis scan acquisition on the reproducibility of total retinal thickness measurements in SDOCT volumes. Transl Vis Sci Technol. 2015;4(4):3.10.1167/tvst.4.4.3Search in Google Scholar PubMed PubMed Central
[22] Uji A , Abdelfattah NS , Boyer DS , Balasubramanian S , Lei J , Sadda SR . Variability of retinal thickness measurements in tilted or stretched optical coherence tomography images. Transl Vis Sci Technol. 2017;6(2):1.10.1167/tvst.6.2.1Search in Google Scholar PubMed PubMed Central
[23] Lee K , Sonka M , Kwon YH , Garvin MK , Abramoff MD . Adjustment of the retinal angle in SD-OCT of glaucomatous eyes provides better intervisit reproducibility of peripapillary RNFL thickness. Investig Ophthalmol Vis Sci. 2013;54(7):4808–12.10.1167/iovs.13-12211Search in Google Scholar PubMed PubMed Central
[24] Medeiros FA , Zangwill LM , Bowd C , Vessani RM , Susanna Jr R , Weinreb RN . Evaluation of retinal nerve fiber layer, optic nerve head, and macular thickness measurements for glaucoma detection using optical coherence tomography. Am J Ophthalmol. 2005;139(1):44–55.10.1016/j.ajo.2004.08.069Search in Google Scholar PubMed
[25] Meditec CZ . Cirrus HD-OCT user manual. Dublin, CA, USA: Carl Zeiss Meditec; 2016.Search in Google Scholar
[26] Mayer MA , Hornegger J , Mardin CY , Tornow RP . Retinal nerve fiber layer segmentation on FD-OCT scans of normal subjects and glaucoma patients. Biomed Opt Express. 2010;1(5):1358–83.10.1364/BOE.1.001358Search in Google Scholar PubMed PubMed Central
[27] Kucherenko S , Delpuech B , Iooss B , Tarantola S . Application of the control variate technique to estimation of total sensitivity indices. Reliab Eng Syst Saf. 2015;134:251–9.10.1016/j.ress.2014.07.008Search in Google Scholar
[28] Moles CG , Mendes P , Banga JR . Parameter estimation in biochemical pathways: a comparison of global optimization methods. Genome Res. 2003;13(11):2467–74.10.1101/gr.1262503Search in Google Scholar PubMed PubMed Central
[29] Tong J , Kedar S , Ghate D , Gu L . Indirect traumatic optic neuropathy induced by primary blast: a fluid–structure interaction study. J Biomech Eng. 2019;141(10):101011.10.1115/1.4043668Search in Google Scholar PubMed
[30] Tong J , Ghate D , Kedar S , Gu L . Relative contributions of intracranial pressure and intraocular pressure on lamina cribrosa behavior. J Ophthalmol. 2019;2019(3064949):3064949.10.1155/2019/3064949Search in Google Scholar PubMed PubMed Central
[31] Mozafari H , Zhou C , Gu L . Mechanical contribution of vascular smooth muscle cells in the tunica media of artery. Nanotechnol Rev. 2019;8(1):50–60.10.1515/ntrev-2019-0005Search in Google Scholar
[32] Lin S , Dong P , Zhou C , Dallan LAP , Zimin VN , Pereira G , et al. Degradation modeling of poly-l-lactide acid (PLLA) bioresorbable vascular scaffold within a coronary artery. Nanotechnol Rev. 2020;9(1):1217–26.10.1515/ntrev-2020-0093Search in Google Scholar PubMed PubMed Central
[33] Xing F , Zhou C , Hui D , Du C , Wu L , Wang L , et al. Hyaluronic acid as a bioactive component for bone tissue regeneration: fabrication, modification, properties, and biological functions. Nanotechnol Rev. 2020;9(1):1059–79.10.1515/ntrev-2020-0084Search in Google Scholar
[34] Sibony P , Kupersmith MJ , Honkanen R , Rohlf FJ , Torab-Parhiz A . Effects of lowering cerebrospinal fluid pressure on the shape of the peripapillary retina in intracranial hypertension. Investig Ophthalmol Vis Sci. 2014;55(12):8223–31.10.1167/iovs.14-15298Search in Google Scholar PubMed PubMed Central
[35] Baneke AJ , Aubry J , Viswanathan AC , Plant GT . The role of intracranial pressure in glaucoma and therapeutic implications. Eye. 2020;34(1):178–91.10.1038/s41433-019-0681-ySearch in Google Scholar PubMed PubMed Central
[36] Keyes LE , Paterson R , Boatright D , Browne V , Leadbetter G , Hackett P . Optic nerve sheath diameter and acute mountain sickness. Wilderness Environ Med. 2013;24(2):105–11.10.1016/j.wem.2012.11.003Search in Google Scholar PubMed
[37] DiPasquale DM , Muza SR , Gunn AM , Li Z , Zhang Q , Harris NS , et al. Evidence for cerebral edema, cerebral perfusion, and intracranial pressure elevations in acute mountain sickness. Brain Behav. 2016;6(3):e00437.10.1002/brb3.437Search in Google Scholar PubMed PubMed Central
[38] Tian X , Zhang B , Jia Y , Wang C , Li Q . Retinal changes following rapid ascent to a high-altitude environment. Eye. 2018;32(2):370–4.10.1038/eye.2017.195Search in Google Scholar PubMed PubMed Central
[39] Vijay V , Mollan SP , Mitchell JL , Bilton E , Alimajstorovic Z , Markey KA , et al. Using optical coherence tomography as a surrogate of measurements of intracranial pressure in idiopathic intracranial hypertension. JAMA Ophthalmol. 2020;138(12):1264–71.10.1001/jamaophthalmol.2020.4242Search in Google Scholar PubMed PubMed Central
[40] Hwang YH , Yoo C , Kim YY . Myopic optic disc tilt and the characteristics of peripapillary retinal nerve fiber layer thickness measured by spectral-domain optical coherence tomography. J Glaucoma. 2012;21(4):260–5.10.1097/IJG.0b013e31820719e1Search in Google Scholar PubMed
[41] How AC , Tan GS , Chan Y-H , Wong TT , Seah SK , Foster PJ , et al. Population prevalence of tilted and torted optic discs among an adult Chinese population in Singapore: the Tanjong pagar study. Arch Ophthalmol. 2009;127(7):894–9.10.1001/archophthalmol.2009.134Search in Google Scholar PubMed
[42] You Q , Xu L , Jonas J . Tilted optic discs: the Beijing eye study. Eye. 2008;22(5):728–9.10.1038/eye.2008.87Search in Google Scholar PubMed
[43] Shin H-Y , Park H-YL , Park CK . The effect of myopic optic disc tilt on measurement of spectral-domain optical coherence tomography parameters. Br J Ophthalmol. 2015;99(1):69–74.10.1136/bjophthalmol-2014-305259Search in Google Scholar PubMed
[44] Mozafari H , Wang L , Lei Y , Gu L . Multi-scale modeling of the lamellar unit of arterial media. Nanotechnol Rev. 2019;8(1):539–47.10.1515/ntrev-2019-0048Search in Google Scholar
© 2021 Junfei Tong et al., published by De Gruyter
This work is licensed under the Creative Commons Attribution 4.0 International License.
Articles in the same Issue
- Research Articles
- Improved impedance matching by multi-componential metal-hybridized rGO toward high performance of microwave absorption
- Pure-silk fibroin hydrogel with stable aligned micropattern toward peripheral nerve regeneration
- Effective ion pathways and 3D conductive carbon networks in bentonite host enable stable and high-rate lithium–sulfur batteries
- Fabrication and characterization of 3D-printed gellan gum/starch composite scaffold for Schwann cells growth
- Synergistic strengthening mechanism of copper matrix composite reinforced with nano-Al2O3 particles and micro-SiC whiskers
- Deformation mechanisms and plasticity of ultrafine-grained Al under complex stress state revealed by digital image correlation technique
- On the deformation-induced grain rotations in gradient nano-grained copper based on molecular dynamics simulations
- Removal of sulfate from aqueous solution using Mg–Al nano-layered double hydroxides synthesized under different dual solvent systems
- Microwave-assisted sol–gel synthesis of TiO2-mixed metal oxide nanocatalyst for degradation of organic pollutant
- Electrophoretic deposition of graphene on basalt fiber for composite applications
- Polyphenylene sulfide-coated wrench composites by nanopinning effect
- Thermal conductivity and thermoelectric properties in 3D macroscopic pure carbon nanotube materials
- An effective thermal conductivity and thermomechanical homogenization scheme for a multiscale Nb3Sn filaments
- Friction stir spot welding of AA5052 with additional carbon fiber-reinforced polymer composite interlayer
- Improvement of long-term cycling performance of high-nickel cathode materials by ZnO coating
- Quantum effects of gas flow in nanochannels
- An approach to effectively improve the interfacial bonding of nano-perfused composites by in situ growth of CNTs
- Effects of nano-modified polymer cement-based materials on the bending behavior of repaired concrete beams
- Effects of the combined usage of nanomaterials and steel fibres on the workability, compressive strength, and microstructure of ultra-high performance concrete
- One-pot solvothermal synthesis and characterization of highly stable nickel nanoparticles
- Comparative study on mechanisms for improving mechanical properties and microstructure of cement paste modified by different types of nanomaterials
- Effect of in situ graphene-doped nano-CeO2 on microstructure and electrical contact properties of Cu30Cr10W contacts
- The experimental study of CFRP interlayer of dissimilar joint AA7075-T651/Ti-6Al-4V alloys by friction stir spot welding on mechanical and microstructural properties
- Vibration analysis of a sandwich cylindrical shell in hygrothermal environment
- Water barrier and mechanical properties of sugar palm crystalline nanocellulose reinforced thermoplastic sugar palm starch (TPS)/poly(lactic acid) (PLA) blend bionanocomposites
- Strong quadratic acousto-optic coupling in 1D multilayer phoxonic crystal cavity
- Three-dimensional shape analysis of peripapillary retinal pigment epithelium-basement membrane layer based on OCT radial images
- Solvent regulation synthesis of single-component white emission carbon quantum dots for white light-emitting diodes
- Xanthate-modified nanoTiO2 as a novel vulcanization accelerator enhancing mechanical and antibacterial properties of natural rubber
- Effect of steel fiber on impact resistance and durability of concrete containing nano-SiO2
- Ultrasound-enhanced biosynthesis of uniform ZnO nanorice using Swietenia macrophylla seed extract and its in vitro anticancer activity
- Temperature dependence of hardness prediction for high-temperature structural ceramics and their composites
- Study on the frequency of acoustic emission signal during crystal growth of salicylic acid
- Controllable modification of helical carbon nanotubes for high-performance microwave absorption
- Role of dry ozonization of basalt fibers on interfacial properties and fracture toughness of epoxy matrix composites
- Nanosystem’s density functional theory study of the chlorine adsorption on the Fe(100) surface
- A rapid nanobiosensing platform based on herceptin-conjugated graphene for ultrasensitive detection of circulating tumor cells in early breast cancer
- Improving flexural strength of UHPC with sustainably synthesized graphene oxide
- The role of graphene/graphene oxide in cement hydration
- Structural characterization of microcrystalline and nanocrystalline cellulose from Ananas comosus L. leaves: Cytocompatibility and molecular docking studies
- Evaluation of the nanostructure of calcium silicate hydrate based on atomic force microscopy-infrared spectroscopy experiments
- Combined effects of nano-silica and silica fume on the mechanical behavior of recycled aggregate concrete
- Safety study of malapposition of the bio-corrodible nitrided iron stent in vivo
- Triethanolamine interface modification of crystallized ZnO nanospheres enabling fast photocatalytic hazard-free treatment of Cr(vi) ions
- Novel electrodes for precise and accurate droplet dispensing and splitting in digital microfluidics
- Construction of Chi(Zn/BMP2)/HA composite coating on AZ31B magnesium alloy surface to improve the corrosion resistance and biocompatibility
- Experimental and multiscale numerical investigations on low-velocity impact responses of syntactic foam composites reinforced with modified MWCNTs
- Comprehensive performance analysis and optimal design of smart light pole for cooperative vehicle infrastructure system
- Room temperature growth of ZnO with highly active exposed facets for photocatalytic application
- Influences of poling temperature and elongation ratio on PVDF-HFP piezoelectric films
- Large strain hardening of magnesium containing in situ nanoparticles
- Super stable water-based magnetic fluid as a dual-mode contrast agent
- Photocatalytic activity of biogenic zinc oxide nanoparticles: In vitro antimicrobial, biocompatibility, and molecular docking studies
- Hygrothermal environment effect on the critical buckling load of FGP microbeams with initial curvature integrated by CNT-reinforced skins considering the influence of thickness stretching
- Thermal aging behavior characteristics of asphalt binder modified by nano-stabilizer based on DSR and AFM
- Building effective core/shell polymer nanoparticles for epoxy composite toughening based on Hansen solubility parameters
- Structural characterization and nanoscale strain field analysis of α/β interface layer of a near α titanium alloy
- Optimization of thermal and hydrophobic properties of GO-doped epoxy nanocomposite coatings
- The properties of nano-CaCO3/nano-ZnO/SBR composite-modified asphalt
- Three-dimensional metallic carbon allotropes with superhardness
- Physical stability and rheological behavior of Pickering emulsions stabilized by protein–polysaccharide hybrid nanoconjugates
- Optimization of volume fraction and microstructure evolution during thermal deformation of nano-SiCp/Al–7Si composites
- Phase analysis and corrosion behavior of brazing Cu/Al dissimilar metal joint with BAl88Si filler metal
- High-efficiency nano polishing of steel materials
- On the rheological properties of multi-walled carbon nano-polyvinylpyrrolidone/silicon-based shear thickening fluid
- Fabrication of Ag/ZnO hollow nanospheres and cubic TiO2/ZnO heterojunction photocatalysts for RhB degradation
- Fabrication and properties of PLA/nano-HA composite scaffolds with balanced mechanical properties and biological functions for bone tissue engineering application
- Investigation of the early-age performance and microstructure of nano-C–S–H blended cement-based materials
- Reduced graphene oxide coating on basalt fabric using electrophoretic deposition and its role in the mechanical and tribological performance of epoxy/basalt fiber composites
- Effect of nano-silica as cementitious materials-reducing admixtures on the workability, mechanical properties and durability of concrete
- Machine-learning-assisted microstructure–property linkages of carbon nanotube-reinforced aluminum matrix nanocomposites produced by laser powder bed fusion
- Physical, thermal, and mechanical properties of highly porous polylactic acid/cellulose nanofibre scaffolds prepared by salt leaching technique
- A comparative study on characterizations and synthesis of pure lead sulfide (PbS) and Ag-doped PbS for photovoltaic applications
- Clean preparation of washable antibacterial polyester fibers by high temperature and high pressure hydrothermal self-assembly
- Al 5251-based hybrid nanocomposite by FSP reinforced with graphene nanoplates and boron nitride nanoparticles: Microstructure, wear, and mechanical characterization
- Interlaminar fracture toughness properties of hybrid glass fiber-reinforced composite interlayered with carbon nanotube using electrospray deposition
- Microstructure and life prediction model of steel slag concrete under freezing-thawing environment
- Synthesis of biogenic silver nanoparticles from the seed coat waste of pistachio (Pistacia vera) and their effect on the growth of eggplant
- Study on adaptability of rheological index of nano-PUA-modified asphalt based on geometric parameters of parallel plate
- Preparation and adsorption properties of nano-graphene oxide/tourmaline composites
- A study on interfacial behaviors of epoxy/graphene oxide derived from pitch-based graphite fibers
- Multiresponsive carboxylated graphene oxide-grafted aptamer as a multifunctional nanocarrier for targeted delivery of chemotherapeutics and bioactive compounds in cancer therapy
- Piezoresistive/piezoelectric intrinsic sensing properties of carbon nanotube cement-based smart composite and its electromechanical sensing mechanisms: A review
- Smart stimuli-responsive biofunctionalized niosomal nanocarriers for programmed release of bioactive compounds into cancer cells in vitro and in vivo
- Photoremediation of methylene blue by biosynthesized ZnO/Fe3O4 nanocomposites using Callistemon viminalis leaves aqueous extract: A comparative study
- Study of gold nanoparticles’ preparation through ultrasonic spray pyrolysis and lyophilisation for possible use as markers in LFIA tests
- Review Articles
- Advance on the dispersion treatment of graphene oxide and the graphene oxide modified cement-based materials
- Development of ionic liquid-based electroactive polymer composites using nanotechnology
- Nanostructured multifunctional electrocatalysts for efficient energy conversion systems: Recent perspectives
- Recent advances on the fabrication methods of nanocomposite yarn-based strain sensor
- Review on nanocomposites based on aerospace applications
- Overview of nanocellulose as additives in paper processing and paper products
- The frontiers of functionalized graphene-based nanocomposites as chemical sensors
- Material advancement in tissue-engineered nerve conduit
- Carbon nanostructure-based superhydrophobic surfaces and coatings
- Functionalized graphene-based nanocomposites for smart optoelectronic applications
- Interfacial technology for enhancement in steel fiber reinforced cementitious composite from nano to macroscale
- Metal nanoparticles and biomaterials: The multipronged approach for potential diabetic wound therapy
- Review on resistive switching mechanisms of bio-organic thin film for non-volatile memory application
- Nanotechnology-enabled biomedical engineering: Current trends, future scopes, and perspectives
- Research progress on key problems of nanomaterials-modified geopolymer concrete
- Smart stimuli-responsive nanocarriers for the cancer therapy – nanomedicine
- An overview of methods for production and detection of silver nanoparticles, with emphasis on their fate and toxicological effects on human, soil, and aquatic environment
- Effects of chemical modification and nanotechnology on wood properties
- Mechanisms, influencing factors, and applications of electrohydrodynamic jet printing
- Application of antiviral materials in textiles: A review
- Phase transformation and strengthening mechanisms of nanostructured high-entropy alloys
- Research progress on individual effect of graphene oxide in cement-based materials and its synergistic effect with other nanomaterials
- Catalytic defense against fungal pathogens using nanozymes
- A mini-review of three-dimensional network topological structure nanocomposites: Preparation and mechanical properties
- Mechanical properties and structural health monitoring performance of carbon nanotube-modified FRP composites: A review
- Nano-scale delivery: A comprehensive review of nano-structured devices, preparative techniques, site-specificity designs, biomedical applications, commercial products, and references to safety, cellular uptake, and organ toxicity
- Effects of alloying, heat treatment and nanoreinforcement on mechanical properties and damping performances of Cu–Al-based alloys: A review
- Recent progress in the synthesis and applications of vertically aligned carbon nanotube materials
- Thermal conductivity and dynamic viscosity of mono and hybrid organic- and synthetic-based nanofluids: A critical review
- Recent advances in waste-recycled nanomaterials for biomedical applications: Waste-to-wealth
- Layup sequence and interfacial bonding of additively manufactured polymeric composite: A brief review
- Quantum dots synthetization and future prospect applications
- Approved and marketed nanoparticles for disease targeting and applications in COVID-19
- Strategies for improving rechargeable lithium-ion batteries: From active materials to CO2 emissions
Articles in the same Issue
- Research Articles
- Improved impedance matching by multi-componential metal-hybridized rGO toward high performance of microwave absorption
- Pure-silk fibroin hydrogel with stable aligned micropattern toward peripheral nerve regeneration
- Effective ion pathways and 3D conductive carbon networks in bentonite host enable stable and high-rate lithium–sulfur batteries
- Fabrication and characterization of 3D-printed gellan gum/starch composite scaffold for Schwann cells growth
- Synergistic strengthening mechanism of copper matrix composite reinforced with nano-Al2O3 particles and micro-SiC whiskers
- Deformation mechanisms and plasticity of ultrafine-grained Al under complex stress state revealed by digital image correlation technique
- On the deformation-induced grain rotations in gradient nano-grained copper based on molecular dynamics simulations
- Removal of sulfate from aqueous solution using Mg–Al nano-layered double hydroxides synthesized under different dual solvent systems
- Microwave-assisted sol–gel synthesis of TiO2-mixed metal oxide nanocatalyst for degradation of organic pollutant
- Electrophoretic deposition of graphene on basalt fiber for composite applications
- Polyphenylene sulfide-coated wrench composites by nanopinning effect
- Thermal conductivity and thermoelectric properties in 3D macroscopic pure carbon nanotube materials
- An effective thermal conductivity and thermomechanical homogenization scheme for a multiscale Nb3Sn filaments
- Friction stir spot welding of AA5052 with additional carbon fiber-reinforced polymer composite interlayer
- Improvement of long-term cycling performance of high-nickel cathode materials by ZnO coating
- Quantum effects of gas flow in nanochannels
- An approach to effectively improve the interfacial bonding of nano-perfused composites by in situ growth of CNTs
- Effects of nano-modified polymer cement-based materials on the bending behavior of repaired concrete beams
- Effects of the combined usage of nanomaterials and steel fibres on the workability, compressive strength, and microstructure of ultra-high performance concrete
- One-pot solvothermal synthesis and characterization of highly stable nickel nanoparticles
- Comparative study on mechanisms for improving mechanical properties and microstructure of cement paste modified by different types of nanomaterials
- Effect of in situ graphene-doped nano-CeO2 on microstructure and electrical contact properties of Cu30Cr10W contacts
- The experimental study of CFRP interlayer of dissimilar joint AA7075-T651/Ti-6Al-4V alloys by friction stir spot welding on mechanical and microstructural properties
- Vibration analysis of a sandwich cylindrical shell in hygrothermal environment
- Water barrier and mechanical properties of sugar palm crystalline nanocellulose reinforced thermoplastic sugar palm starch (TPS)/poly(lactic acid) (PLA) blend bionanocomposites
- Strong quadratic acousto-optic coupling in 1D multilayer phoxonic crystal cavity
- Three-dimensional shape analysis of peripapillary retinal pigment epithelium-basement membrane layer based on OCT radial images
- Solvent regulation synthesis of single-component white emission carbon quantum dots for white light-emitting diodes
- Xanthate-modified nanoTiO2 as a novel vulcanization accelerator enhancing mechanical and antibacterial properties of natural rubber
- Effect of steel fiber on impact resistance and durability of concrete containing nano-SiO2
- Ultrasound-enhanced biosynthesis of uniform ZnO nanorice using Swietenia macrophylla seed extract and its in vitro anticancer activity
- Temperature dependence of hardness prediction for high-temperature structural ceramics and their composites
- Study on the frequency of acoustic emission signal during crystal growth of salicylic acid
- Controllable modification of helical carbon nanotubes for high-performance microwave absorption
- Role of dry ozonization of basalt fibers on interfacial properties and fracture toughness of epoxy matrix composites
- Nanosystem’s density functional theory study of the chlorine adsorption on the Fe(100) surface
- A rapid nanobiosensing platform based on herceptin-conjugated graphene for ultrasensitive detection of circulating tumor cells in early breast cancer
- Improving flexural strength of UHPC with sustainably synthesized graphene oxide
- The role of graphene/graphene oxide in cement hydration
- Structural characterization of microcrystalline and nanocrystalline cellulose from Ananas comosus L. leaves: Cytocompatibility and molecular docking studies
- Evaluation of the nanostructure of calcium silicate hydrate based on atomic force microscopy-infrared spectroscopy experiments
- Combined effects of nano-silica and silica fume on the mechanical behavior of recycled aggregate concrete
- Safety study of malapposition of the bio-corrodible nitrided iron stent in vivo
- Triethanolamine interface modification of crystallized ZnO nanospheres enabling fast photocatalytic hazard-free treatment of Cr(vi) ions
- Novel electrodes for precise and accurate droplet dispensing and splitting in digital microfluidics
- Construction of Chi(Zn/BMP2)/HA composite coating on AZ31B magnesium alloy surface to improve the corrosion resistance and biocompatibility
- Experimental and multiscale numerical investigations on low-velocity impact responses of syntactic foam composites reinforced with modified MWCNTs
- Comprehensive performance analysis and optimal design of smart light pole for cooperative vehicle infrastructure system
- Room temperature growth of ZnO with highly active exposed facets for photocatalytic application
- Influences of poling temperature and elongation ratio on PVDF-HFP piezoelectric films
- Large strain hardening of magnesium containing in situ nanoparticles
- Super stable water-based magnetic fluid as a dual-mode contrast agent
- Photocatalytic activity of biogenic zinc oxide nanoparticles: In vitro antimicrobial, biocompatibility, and molecular docking studies
- Hygrothermal environment effect on the critical buckling load of FGP microbeams with initial curvature integrated by CNT-reinforced skins considering the influence of thickness stretching
- Thermal aging behavior characteristics of asphalt binder modified by nano-stabilizer based on DSR and AFM
- Building effective core/shell polymer nanoparticles for epoxy composite toughening based on Hansen solubility parameters
- Structural characterization and nanoscale strain field analysis of α/β interface layer of a near α titanium alloy
- Optimization of thermal and hydrophobic properties of GO-doped epoxy nanocomposite coatings
- The properties of nano-CaCO3/nano-ZnO/SBR composite-modified asphalt
- Three-dimensional metallic carbon allotropes with superhardness
- Physical stability and rheological behavior of Pickering emulsions stabilized by protein–polysaccharide hybrid nanoconjugates
- Optimization of volume fraction and microstructure evolution during thermal deformation of nano-SiCp/Al–7Si composites
- Phase analysis and corrosion behavior of brazing Cu/Al dissimilar metal joint with BAl88Si filler metal
- High-efficiency nano polishing of steel materials
- On the rheological properties of multi-walled carbon nano-polyvinylpyrrolidone/silicon-based shear thickening fluid
- Fabrication of Ag/ZnO hollow nanospheres and cubic TiO2/ZnO heterojunction photocatalysts for RhB degradation
- Fabrication and properties of PLA/nano-HA composite scaffolds with balanced mechanical properties and biological functions for bone tissue engineering application
- Investigation of the early-age performance and microstructure of nano-C–S–H blended cement-based materials
- Reduced graphene oxide coating on basalt fabric using electrophoretic deposition and its role in the mechanical and tribological performance of epoxy/basalt fiber composites
- Effect of nano-silica as cementitious materials-reducing admixtures on the workability, mechanical properties and durability of concrete
- Machine-learning-assisted microstructure–property linkages of carbon nanotube-reinforced aluminum matrix nanocomposites produced by laser powder bed fusion
- Physical, thermal, and mechanical properties of highly porous polylactic acid/cellulose nanofibre scaffolds prepared by salt leaching technique
- A comparative study on characterizations and synthesis of pure lead sulfide (PbS) and Ag-doped PbS for photovoltaic applications
- Clean preparation of washable antibacterial polyester fibers by high temperature and high pressure hydrothermal self-assembly
- Al 5251-based hybrid nanocomposite by FSP reinforced with graphene nanoplates and boron nitride nanoparticles: Microstructure, wear, and mechanical characterization
- Interlaminar fracture toughness properties of hybrid glass fiber-reinforced composite interlayered with carbon nanotube using electrospray deposition
- Microstructure and life prediction model of steel slag concrete under freezing-thawing environment
- Synthesis of biogenic silver nanoparticles from the seed coat waste of pistachio (Pistacia vera) and their effect on the growth of eggplant
- Study on adaptability of rheological index of nano-PUA-modified asphalt based on geometric parameters of parallel plate
- Preparation and adsorption properties of nano-graphene oxide/tourmaline composites
- A study on interfacial behaviors of epoxy/graphene oxide derived from pitch-based graphite fibers
- Multiresponsive carboxylated graphene oxide-grafted aptamer as a multifunctional nanocarrier for targeted delivery of chemotherapeutics and bioactive compounds in cancer therapy
- Piezoresistive/piezoelectric intrinsic sensing properties of carbon nanotube cement-based smart composite and its electromechanical sensing mechanisms: A review
- Smart stimuli-responsive biofunctionalized niosomal nanocarriers for programmed release of bioactive compounds into cancer cells in vitro and in vivo
- Photoremediation of methylene blue by biosynthesized ZnO/Fe3O4 nanocomposites using Callistemon viminalis leaves aqueous extract: A comparative study
- Study of gold nanoparticles’ preparation through ultrasonic spray pyrolysis and lyophilisation for possible use as markers in LFIA tests
- Review Articles
- Advance on the dispersion treatment of graphene oxide and the graphene oxide modified cement-based materials
- Development of ionic liquid-based electroactive polymer composites using nanotechnology
- Nanostructured multifunctional electrocatalysts for efficient energy conversion systems: Recent perspectives
- Recent advances on the fabrication methods of nanocomposite yarn-based strain sensor
- Review on nanocomposites based on aerospace applications
- Overview of nanocellulose as additives in paper processing and paper products
- The frontiers of functionalized graphene-based nanocomposites as chemical sensors
- Material advancement in tissue-engineered nerve conduit
- Carbon nanostructure-based superhydrophobic surfaces and coatings
- Functionalized graphene-based nanocomposites for smart optoelectronic applications
- Interfacial technology for enhancement in steel fiber reinforced cementitious composite from nano to macroscale
- Metal nanoparticles and biomaterials: The multipronged approach for potential diabetic wound therapy
- Review on resistive switching mechanisms of bio-organic thin film for non-volatile memory application
- Nanotechnology-enabled biomedical engineering: Current trends, future scopes, and perspectives
- Research progress on key problems of nanomaterials-modified geopolymer concrete
- Smart stimuli-responsive nanocarriers for the cancer therapy – nanomedicine
- An overview of methods for production and detection of silver nanoparticles, with emphasis on their fate and toxicological effects on human, soil, and aquatic environment
- Effects of chemical modification and nanotechnology on wood properties
- Mechanisms, influencing factors, and applications of electrohydrodynamic jet printing
- Application of antiviral materials in textiles: A review
- Phase transformation and strengthening mechanisms of nanostructured high-entropy alloys
- Research progress on individual effect of graphene oxide in cement-based materials and its synergistic effect with other nanomaterials
- Catalytic defense against fungal pathogens using nanozymes
- A mini-review of three-dimensional network topological structure nanocomposites: Preparation and mechanical properties
- Mechanical properties and structural health monitoring performance of carbon nanotube-modified FRP composites: A review
- Nano-scale delivery: A comprehensive review of nano-structured devices, preparative techniques, site-specificity designs, biomedical applications, commercial products, and references to safety, cellular uptake, and organ toxicity
- Effects of alloying, heat treatment and nanoreinforcement on mechanical properties and damping performances of Cu–Al-based alloys: A review
- Recent progress in the synthesis and applications of vertically aligned carbon nanotube materials
- Thermal conductivity and dynamic viscosity of mono and hybrid organic- and synthetic-based nanofluids: A critical review
- Recent advances in waste-recycled nanomaterials for biomedical applications: Waste-to-wealth
- Layup sequence and interfacial bonding of additively manufactured polymeric composite: A brief review
- Quantum dots synthetization and future prospect applications
- Approved and marketed nanoparticles for disease targeting and applications in COVID-19
- Strategies for improving rechargeable lithium-ion batteries: From active materials to CO2 emissions