Abstract
C20H25NO2, monoclinic, P21/n (no. 14), a = 16.873(4) Å, b = 6.2095(16) Å, c = 16.992(4) Å, β = 100.775(4)°, V = 1748.9(8) Å3, Z = 4, Rgt(F) = 0.0473, wRref(F2) = 0.1417, T = 296(2) K.

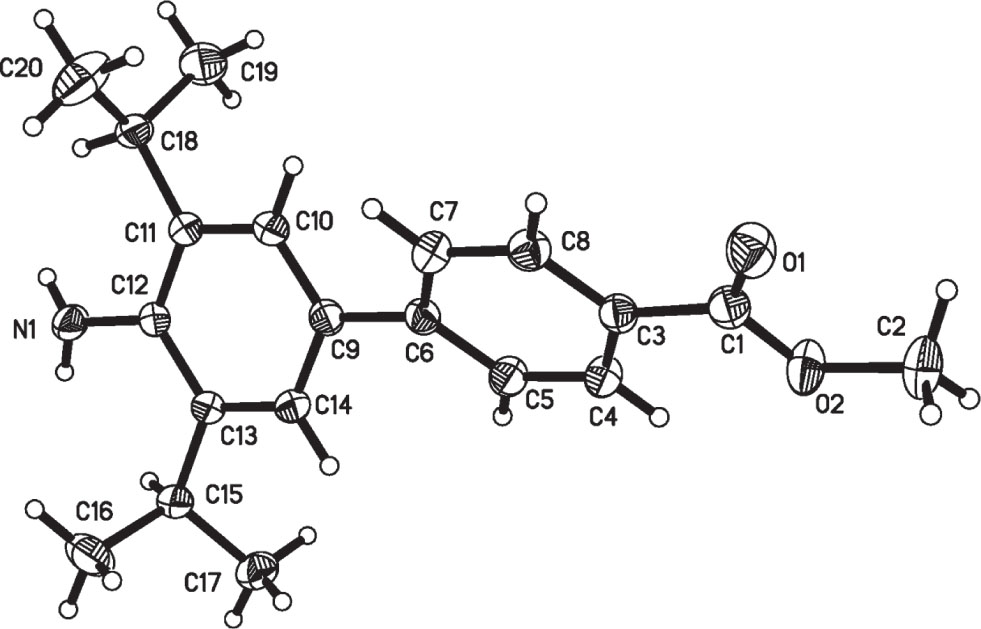
The asymmetric unit of the title crystal structure is shown in the figure. Tables 1 and 2 contain details of the measurement method and a list of the atoms including atomic coordinates and displacement parameters.
Data collection and handling.
| Crystal: | Colourless block |
| Size: | 0.20 × 0.20 × 0.20 mm |
| Wavelength: | Mo Kα radiation (0.71073 Å) |
| μ: | 0.8 cm−1 |
| Diffractometer, scan mode: | Bruker APEX-II, φ and ω |
| 2θmax, completeness: | 55.4°, 97.6% |
| N(hkl)measured, N(hkl)unique, Rint: | 10128, 4022, 0.020 |
| Criterion for Iobs, N(hkl)gt: | Iobs > 2 σ(Iobs), 2790 |
| N(param)refined: | 221 |
| Programs: | Bruker programs [1], SHELX [2, 3] |
Fractional atomic coordinates and isotropic or equivalent isotropic displacement parameters (Å2).
| Atom | x | y | z | Uiso*/Ueq |
|---|---|---|---|---|
| N1 | 1.01666(11) | 0.2618(3) | 0.97156(9) | 0.0501(4) |
| O1 | 0.84255(9) | −0.0313(2) | 0.34469(7) | 0.0597(4) |
| O2 | 0.88168(9) | −0.3656(2) | 0.38274(7) | 0.0585(4) |
| C1 | 0.87000(10) | −0.1570(3) | 0.39652(10) | 0.0434(4) |
| H1A | 1.0528(15) | 0.184(4) | 1.0031(14) | 0.077(7)* |
| H1B | 0.9869(9) | 0.314(4) | 0.9972(13) | 0.073(8)* |
| C2 | 0.85974(15) | −0.4383(4) | 0.30118(11) | 0.0688(6) |
| H2A | 0.8069 | −0.3860 | 0.2785 | 0.103* |
| H2B | 0.8597 | −0.5929 | 0.3000 | 0.103* |
| H2C | 0.8980 | −0.3846 | 0.2707 | 0.103* |
| C3 | 0.89356(9) | −0.1026(3) | 0.48273(9) | 0.0384(4) |
| C4 | 0.92722(10) | −0.2524(3) | 0.53955(10) | 0.0440(4) |
| H4 | 0.9367 | −0.3921 | 0.5238 | 0.053* |
| C5 | 0.94677(11) | −0.1957(3) | 0.61944(10) | 0.0444(4) |
| H5 | 0.9696 | −0.2981 | 0.6569 | 0.053* |
| C6 | 0.93304(9) | 0.0114(3) | 0.64506(9) | 0.0375(4) |
| C7 | 0.89960(10) | 0.1606(3) | 0.58721(10) | 0.0438(4) |
| H7 | 0.8899 | 0.3003 | 0.6027 | 0.053* |
| C8 | 0.88065(10) | 0.1053(3) | 0.50738(10) | 0.0435(4) |
| H8 | 0.8590 | 0.2083 | 0.4697 | 0.052* |
| C9 | 0.95344(9) | 0.0717(3) | 0.73074(9) | 0.0380(4) |
| C10 | 0.90406(10) | 0.2071(3) | 0.76505(10) | 0.0412(4) |
| H10 | 0.8571 | 0.2593 | 0.7332 | 0.049* |
| C11 | 0.92201(9) | 0.2680(3) | 0.84515(9) | 0.0387(4) |
| C12 | 0.99342(9) | 0.1921(3) | 0.89239(9) | 0.0363(3) |
| C13 | 1.04383(9) | 0.0498(3) | 0.85984(9) | 0.0366(4) |
| C14 | 1.02243(9) | −0.0070(3) | 0.78004(9) | 0.0388(4) |
| H14 | 1.0555 | −0.1015 | 0.7585 | 0.047* |
| C15 | 1.12105(10) | −0.0351(3) | 0.91120(10) | 0.0434(4) |
| H15 | 1.1099 | −0.0534 | 0.9654 | 0.052* |
| C16 | 1.18931(12) | 0.1259(4) | 0.91768(16) | 0.0764(7) |
| H16A | 1.2031 | 0.1466 | 0.8659 | 0.115* |
| H16B | 1.2355 | 0.0725 | 0.9543 | 0.115* |
| H16C | 1.1727 | 0.2607 | 0.9370 | 0.115* |
| C17 | 1.14694(13) | −0.2540(3) | 0.88521(13) | 0.0634(6) |
| H17A | 1.1021 | −0.3517 | 0.8791 | 0.095* |
| H17B | 1.1902 | −0.3085 | 0.9250 | 0.095* |
| H17C | 1.1648 | −0.2401 | 0.8350 | 0.095* |
| C18 | 0.86296(10) | 0.4105(3) | 0.87851(10) | 0.0481(4) |
| H18 | 0.8851 | 0.4304 | 0.9356 | 0.058* |
| C19 | 0.78179(13) | 0.3036(5) | 0.87322(16) | 0.0864(8) |
| H19A | 0.7558 | 0.2927 | 0.8181 | 0.130* |
| H19B | 0.7489 | 0.3879 | 0.9020 | 0.130* |
| H19C | 0.7890 | 0.1621 | 0.8962 | 0.130* |
| C20 | 0.85654(19) | 0.6319(4) | 0.84090(16) | 0.0891(8) |
| H20A | 0.9093 | 0.6947 | 0.8469 | 0.134* |
| H20B | 0.8228 | 0.7214 | 0.8669 | 0.134* |
| H20C | 0.8334 | 0.6202 | 0.7850 | 0.134* |
Source of materials
Synthesis of 4-iodo-2,6-diisopropylaniline [4, 5] . In a round bottom flask 2,6-di-iso-propylaniline (20 mL, 106 mmol, 1.0 equiv) and sodium bicarbonate (26.8 g, 219 mmol, 3.0 equiv) were introduced in MeOH (400 mL). Iodine (29.6 g, 116.5 mmol, 1.1 equiv) in CH2Cl2 (200 mL) was added and the mixture was stirred at room temperature for 12 h. Then, solids were filtered off and rinsed with CH2Cl2. The filtrate was concentrated under vacuum leading to a dark orange oil. A saturated solution of sodium thiosulfate was added to this oil and stirred for 2 h. After an extraction with CH2Cl2, the combined organic layers were dried over MgSO4 and concentrated under vacuum. The pure product was obtained as brown oil (23.5 g, 73% yield).
Synthesis of the title compound [6]. A mixture of (4-(methoxycarbonyl)phenyl)boronic acid (15.1 g, 84.17 mmol, 1.1 equiv), 4-iodo-2,6-diisopropylaniline (23.2 g, 76.52 mmol, 1.0 equiv), palladium tetrakis(triphenylphosphine) (1.77 g, 1.53 mmol, 2 mol%), and potassium carbonate (34.8 g, 253 mmol, 3.3 equiv) in 360 mL of dioxane/H2O (3/1) was stirred under nitrogen for 72 h at 90 °C. After the mixture was cooled to room temperature, it was extracted with CH2Cl2 and washed with H2O. The organic layer was dried with MgSO4, and the solvent was removed. The resulting crude product was purified by column chromatography using silica gel and petroleum ether/ethyl acetate (20/1) as the eluent. The product was obtained (18.08 g, 58.0% yield). Cystals were obtained by slow evaporation of an ethanol solution at room temperature over a period of seven days, yield: 0.58 g (92.5%). M.p.: 103–104 °C. Elemental analysis – found: C, 77.18%; H, 8.03%; N, 4.53%; calculated for C20H25NO2: C, 77.14%; H, 8.09%; N, 4.50%.
Experimental details
Hydrogen atoms were placed in geometrically idealized positions and refined using a riding model.
Comment
N-Heterocyclic carbenes (NHCs) are an important class of compounds that has found application in various fields of chemistry [7]. Several methods have been reported for the synthesis of NHCs since their discovery in the early 1990s [8]. Amines/anilines have emerged as versatile and useful building blocks in a variety of synthetic transformations, which can be generally designed as different NHCs [9].
The title compound consists of two substituted phenyl moieties. The dihedral angle between the planes of two aromatic rings is 38.7°. The bond lengths of C12–N1 and C1–O1 are 1.398(2) Å and 1.203(2) Å, respectively. And the bond lengths of C1–O2 and C2–O2 are 1.338(2) Å and 1.439(2) Å, respectively. As a result of the partial conjugation of the aromatic rings, the bond length of C6–C9 is 1.481(2) Å. The bond angle (C1–O2–C2) and (O1–C1–O2) are 116.90(17)° and 123.32(17)°, respectively. In the crystal packing, dipole-dipole and van der Waals interactions are effective besides hydrogen bonding. Bond lengths and bond angles within the molecular system are in agreement with the values reported [10].
Acknowledgements
We are grateful for financial support from National Natural Science Foundation of China (grant no. 21362047) and Science and Technology Foundation of Guizhou Province (grant no. QKHSYZ-2013-3061 and QKHJZ-2014-2175).
References
Bruker. APEX2 and SAINT. Bruker AXS Inc., Madison, Wisconsin, USA (2012).Search in Google Scholar
Sheldrick, G. M.: SHELXS-97. Program for the Solution of Crystal Structures. University of Göttingen, Germany (1997).Search in Google Scholar
Sheldrick, G. M.: A short history of SHELX. Acta Crystallogr. A64 (2008) 112–122.10.1107/S0108767307043930Search in Google Scholar PubMed
Meiries, S.; Nolan, S. P.: A new synthetic route to p-methoxy-2,6-disubstituted anilines and their conversion into N-heterocyclic carbene precursors. Synlett 25 (2014) 393–398.10.1055/s-0033-1340105Search in Google Scholar
Benjamin, W. E.; Veit, D. R.; Perkins, M. J.; Bain, E.; Scharnhorst, K.; McDowall, S.; Patrick, D. L.; Gilbertson, J. D.: Sterically engineered perylene dyes for high efficiency oriented fluorophore luminescent solar concentrators. Chem. Mater. 26 (2014) 1291–1293.10.1021/cm403286vSearch in Google Scholar
Shi, D.; Ren, Y.; Jiang, H.; Cai, B.; Lu, J.: Synthesis, structures, and properties of two three-dimensional metal-organic frameworks, based on concurrent ligand extension. Inorg. Chem. 51 (2012) 6498–6506.10.1021/ic202624eSearch in Google Scholar PubMed
Bugaut, X.; Glorius, F.: Organocatalytic umpolung: N-heterocyclic carbenes and beyond. Chem. Soc. Rev. 41 (2012) 3511–3522.10.1039/c2cs15333eSearch in Google Scholar PubMed
Slugovc, C.; Burtscher, D.; Stelzer, F.; Mereiter, K.: Thermally switchable olefin metathesis initiators bearing chelating carbenes: influence of the chelate’s ring size. Organometallics 24 (2005) 2255–2258.10.1021/om050141fSearch in Google Scholar
Mercs, L.; Albrecht, M.: Beyond catalysis: N-heterocyclic carbine complexes as components for medicinal, luminescent, and functional materials applications. Chem. Soc. Rev. 39 (2010) 1903–1912.10.1039/b902238bSearch in Google Scholar PubMed
Lai, H. W. H.; Wiscons, R. A.; Zentner, C. A.; Zeller, M.; Rowsell, J. L. C.: Supramolecular assembly of tris(4-carboxyphenyl)arenes: relationship between molecular structure and solid-state catenation motifs. Cryst. Growth Des. 16 (2016) 821–833.10.1021/acs.cgd.5b01416Search in Google Scholar
©2018 Mao-Yuan Zhang et al., published by De Gruyter, Berlin/Boston
This work is licensed under the Creative Commons Attribution-NonCommercial-NoDerivatives 4.0 License.
Articles in the same Issue
- Cover and Frontmatter
- Bis(tetraethylammonium) carbonate – boric acid – water (1/2/5), C17H56B2N2O14
- Crystal structure of 4-methoxy-6-phenyl-2H-pyran-2-one, C12H10O3
- Crystal structure of tris{(3-((E)-(((E)-2-oxidobenzylidene)hydrazono)methyl)-2-oxo-2H-chromen-4-olato-κ3O,N:N′)}dicobalt(III)tris(dimethylformamide), C60H50Co2N9O15
- Crystal structure of poly[bis(1-methyl-[4,4′-bipyridin]-1-ium-κN)-tetrakis(μ3-sulfato-κ3O:O′:O′′)trizinc(II)], C22H22Zn3N4O16S4
- Crystal structure of (5Z,10Z)-3,13-dichloro-17,18-dioxo-5,11-diphenyl-8,9,17,18-tetrahydro-7H-dibenzo[e,n][1,4,8,12]tetraazacyclopentadecine-16,19-diido-κ4N,N′,N′′,N′′′)copper(II), C31H22N4O2Cl2Cu
- Crystal structure of bis{5-methoxy-2-(((2-oxo-2H-chromen-6-yl)imino)methyl)phenolato-κ2N,O}zinc(II), C34H24N2O8Zn
- Crystal structure of 2,2′-((((ethane-1,2-diylbis(oxy))bis(2,1-phenylene))bis(azanylylidene))bis(methanylylidene))diphenolato-κ2N;κ4O)nickel(II), C28H22N2O4Ni
- Crystal structure of 1,1′-((1E,1′E)-(((ethane-1,2-diylbis(oxy))bis(2,1-phenylene))bis(azanylylidene))bis(methanylylidene))bis(naphthalen-2-olato)cobalt(II), C36H26N2O4Co
- Crystal structure of camptothecin, C20H16N2O4
- Crystal structure of (2-(chlorophenyl)-5-methyl-1,3-dioxane-5-carboxylato–κ2O,O′)(5,5,7,12,12,14-hexamethyl-1,4,8,11-tetraazacyclotetradecane-κ4N,N′,N′′,N′′′)nickel(II) perchlorate monohydrate, Ni(C16H36N4)(C12H12O4Cl)ClO4⋅H2O
- Crystal structure of 3-(2-chloro-6-methoxyquinolin-3-yl)-5-phenylisoxazole (C19H13ClN2O2)
- Crystal structure of tetrakis(μ2-acetato-κ2O:O′)-bis{[(E)-2,6-diisopropyl-N-(pyridin-3-ylmethylene)aniline]copper (II)}, C44H56Cu2N4O8
- Crystal structure of diethyl 2-(2-chlorophenyl)-1,3-dioxane-5,5-dicarboxylate, C16H19Cl1O6
- Crystal structure of (μ2-2,2′-bipyridine-3,3′-dicarboxylato)-bis(5,5,7,12,12,14-hexamethyl-1,4,8,11-tetraazacyclotetradecane)-di-nickel(II) perchlorate N,N′-dimethylformamide solvate, C50H92Cl2N12Ni2O14
- Crystal structure of catena-poly[triaqua(μ2-1,2-bis(4-pyridyl)ethane-κ2N:N′)-(1,2-bis(4-pyridyl)ethane-κN)nickel(II)] 2-aminonicotinate nitrate – 1,2-bis(4-pyridyl)ethane – water (2/1/8), C36H44N8NiO12
- Hydrothermal synthesis and crystal structure of poly[bis(μ2-3-(3,5-dicarboxyphenoxy)phthalato-κ3O,O′:O′′)-(μ2-1,2-di(pyridin-4-yl)ethane-κ2N:N′)copper(II)], C22H14CuNO9
- Crystal structure of catena-poly[aqua-(methanol-κO)-bis(μ2-4-(pyridin-4-yl)benzoato-κ2N:O)-bis(triphenylphospine-κP)disilver(I)], C61H52Ag2N2O6P2
- The crystal structure of 6-(4-bromobenzyl)-1,3,5-trimethyl-7-phenyl-1,5-dihydro-2H-pyrrolo[3,2-d]pyrimidine-2,4(3H)-dione, C22H20BrN3O2
- Synthesis and crystal structure of catena-poly[bis(2-(2-((2,6-dichlorophenyl)amino)phenyl)acetato-κO;κ2O′,O′′)-(μ2-1,4-di(pyridin-4-yl)benzene-κ2N:N′)zinc(II)], C44H32N4ZnCl4O4
- Crystal structure of diaqua-bis[N-phenyl-2-(quinolin-8-yloxy)acetamide-κ3-N,O,O′]-nitrato(κ2O,O′)-cerium(III) dinitrate - acetone (1/2), C40H44N7O17Ce
- Crystal structure of the 2D coordination polymer poly[aqua(μ2-2,2′-(1,2-phenylene)diacetato-κ3O,O′:O′)-(μ2-4,4′-bis((1H-1,2,4-triazol-1-yl)methyl)-1,1′-biphenyl-κ2N:N′)cobalt(II)], C28H26CoN6O5
- Crystal structure of (dimethylformamide-κO)(perchlorato-κ2O,O′){μ2-6,6′-((1,2-phenylenebis(azanylylidene))bis(methanylylidene))bis(4-bromo-2-methoxyphenolate)-κ8N,N′,O:O,O′:O′,O′′,O′′′}sodium(I)nickel(II), C25H23Br2ClN3NaNiO9
- The crystal structure of catena-poly[bis((4-aminophenyl)sulfonyl)(pyrimidin-2-yl)amido-κ2N,N′)-bis(μ2-4,4′-bipyridine-N,N′-κ2N:N′)zinc(II) – methanol (1/2), C32H34N10O6S2Zn
- Synthesis and crystal structure poly[aqua(μ3-2-(((7-hydroxy-3-(4-hydroxy-3-sulfonatophenyl)-4-oxo-4H-chromen-8-yl)methyl)ammonio)acetate-κ4O,O′:O′′:O′′′) sodium] monohydrate, C18H18NNaO11S
- Crystal structure of methyl 4′-amino-3′,5′-diisopropyl-[1,1′-biphenyl]-4-carboxylate, C20H25NO2
- Crystal structure of (η6-1-isopropyl-4-methyl benzene)-(N-(2,5-dichlorophenyl)-1-(pyridin-2-yl)methanimine-κ2N,N′)ruthenium(II) perchlorate, C22H22Cl4N2O4Ru
- Crystal structure of 2-(2-(1-Chlorocyclopropyl)-3-(2-chlorophenyl)-2-hydroxypropyl)-1H-1,2,4-triazole-3(2H)-thione, C14H15Cl2N3OS
- Crystal structure of methyl 4′-amino-3′,5′-dimethyl-[1,1′-biphenyl]-4-carboxylate, C16H17NO2
- The crystal structure of 1-(5-ferrocenyl-3-(trifluoromethyl)-1H-pyrazol-1-yl)pentan-1-on, C19H19F3FeN2O
- The crystal structure of (3S,12R,20R,24S)-3,12-diacetyl-20,24-epoxy-dammarane-3,12,25-triol acetone solvate, C34H56O6
- Crystal structure of methyl 10-(pyridin-4-yl)-anthracene-9-carboxylate, C21H15NO2
- Crystal structure of catena-poly[diaqua-bis(di(N2,N6-dihydroxypyridine-2,6-dicarboxamide))potassium(I)]tetrahydrate, C14H25N6O14K
- Crystal structure of poly{[μ2-(E)-1,4-bis(1H-benzo[d]imidazol-1-yl)but-2-ene-κ2N:N′][μ3–cyclohexane-1,4-dicarboxylato-κ4O,O′:O′′:O′′′]cadmium(II)}, C26H26CdN4O4
- Crystal structure of poly[aqua(μ3-[2,2′-bipyridine]-3,3′-dicarboxylato-κ4N,N′:O:O′)zinc(II)] – dimethylformamide (1/1), C15H15N3O6Zn
- The crystal structure of poly[tetraaqua-tris(μ2-2,6-di(1H-imidazol-1-yl)naphthalene-κ2N:N′)-bis(thiophene-2,5-dicarboxylato-κ1O)]dicobalt(II), C30H24CoN6O6S
- Crystal structure of (S)-1-(5-(anthracen-9-yl)-3-phenyl-4,5-dihydro-1H-pyrazol-1-yl)propan-1-one, C26H22N2O
- Crystal structure of 5-methyl-3,3-diphenyl-1-tosyl-1,2,3,4-tetrahydropyridine, C25H25NO2S
- Synthesis and crystal structure of μ-[1,1′-di(mesitylphosphanido)ferrocene]bis[η5-cyclopentadienylnickel(II)] tetrahydrofurane solvate, C42H48FeNi2OP2
- Synthesis and crystal structure of (E)-1-(4-(((E)-5-chloro-2-hydroxybenzylidene)amino)phenyl)ethan-1-one O-methyl oxime, C16H15ClN2O2
- Crystal structure of bis(1-(phenylsulfonyl)-2-(1-(pyrazin-2-yl)ethylidene)hydrazin-1-ido-κ3N,N′,O)nickel(II), C24H22N8O4S2Ni
- Crystal Structure of bis(1-(phenylsulfonyl)-2-(1-(pyrazin-2-yl)ethylidene)hydrazin-1-ido-κ3N,N′,O)copper(II), C24H22N8O4S2Cu
- Synthesis and crystal structure of poly[aqua{μ3-(1S,2S)-1-((7-hydroxy-3-(4-hydroxy-3-sulfonatophenyl)-4-oxo-4H-chromen-8-yl)methyl)pyrrolidin-1-ium-2-carboxylato-κ4O,O′:O′′:O′′′}sodium(I)] monohydrate, C21H22NNaO11S
- Halogen bonds in the crystal structure of 1,4-diiodotetrafluorobenzene–1,2-bis(4-pyridyl)propane (1/1), C19H14F4I2N2
- Crystal structure of bis(μ-N-i-propyl-N-n-propyldithiocarbamato-κ2S:S′) bis(N-i-propyl-N-n-propyldithiocarbamato-κ2S,S′)dizinc(II), C28H56N4S8Zn2
- Crystal structure of bis(μ-N-i-propyl-N-n-propyldithiocarbamato-κ3S,S′:S)bis(N-i-propyl-N-n-propyldithiocarbamato-κ2S,S′)dicadmium(II), C28H56Cd2N4S8
- Crystal structure of bis(μ2-di-n-butyldithiocarbamato-κ3S,S′:S;κ3S:S:S′)-hexacarbonyl-di-rhenium(I), C24H36N2O6Re2
- Crystal structure of 7-(4-methylphenyl)imidazo[1,2-a][1,3,5]triazin-4-amine, C12H11N5
- Crystal structure of the co-crystal O-isopropyl phenylcarbamothioate – 4,4′-bipyridine (2/1), C15H17N2OS
- Crystal structure of the coordination polymer catena-poly[chlorido-{μ2-2-(((3,5-dimethyl-1H-pyrazol-1-yl)methyl)amino)-3-hydroxybutanoato-κ4N,N,O:O′}copper(II)], C11H16ClCuN2O3
- Synthesis and crystal structure of bis(μ2-acetato-κ2O:O′)-di(ethanol)-bis{μ2-5-(N,N′-diethylamine)-5′-methoxyl-2,2′-[ethylenediyldioxybis(nitrilomethylidyne)]diphenolato-κ6O:O,N,N,O′:O′}trinickel(II) – ethanol – acetonitrile (1/2/2), C58H86Ni3N8O18
- Crystal structure of the bis((E)-O-ethyl-N-phenylthiocarbamate) – 4,4′-bipyridine co-crystal (2/1), C28H30N4O2S2
- Crystal structure of the (E)-O-methyl-N-phenyl-thiocarbamate – 4,4′-bipyridine (1/1), C18H17N3OS
- Crystal structure of bis(μ2-diethyldithiocarbamato-κ3S,S′:S′)-bis(tricyclohexylphosphane-κP)dicopper(I), C46H86Cu2N2P2S4
- Crystal structure of N-(3-chlorophenyl)ethoxycarbothioamide, C9H10ClNOS
- Crystal structure of bis(μ2-pyrrolidine-1-carbodithioato-κ3S,S′:S;κ3S:S:S′)-bis(tricyclohexylphosphane-P)-di-copper(I), C46H82Cu2N2P2S4
- Crystal structure of N-(2-chlorophenyl)methoxycarbothioamide, C8H8ClNOS
- Crystal structure of chlorido-methanol-(N-(2-(oxy)-3-methoxybenzylidene)pyridine-4-carbohydrazonato-κ3O,N,O′)-(4-methylphenyl)methyl-tin(IV), C23H24ClN3O4Sn
- Crystal structure of N-(3-chlorophenyl)(propan-2-yloxy)carbothioamide, C10H12ClNOS
- Crystal structure of 1-[(Z)-[4-(4-methoxyphenyl)butan-2-ylidene]amino]-3-phenylurea, C18H21N3O2
- A triclinic polymorph of bis(μ-N,N-bis(2-hydroxyethyl)dithiocarbamato-κ3S,S′:S′) bis(N,N-bis(2-hydroxyethyl)dithiocarbamato-κ2S:S′)zinc(II), C20H40N4O8S8Zn2
Articles in the same Issue
- Cover and Frontmatter
- Bis(tetraethylammonium) carbonate – boric acid – water (1/2/5), C17H56B2N2O14
- Crystal structure of 4-methoxy-6-phenyl-2H-pyran-2-one, C12H10O3
- Crystal structure of tris{(3-((E)-(((E)-2-oxidobenzylidene)hydrazono)methyl)-2-oxo-2H-chromen-4-olato-κ3O,N:N′)}dicobalt(III)tris(dimethylformamide), C60H50Co2N9O15
- Crystal structure of poly[bis(1-methyl-[4,4′-bipyridin]-1-ium-κN)-tetrakis(μ3-sulfato-κ3O:O′:O′′)trizinc(II)], C22H22Zn3N4O16S4
- Crystal structure of (5Z,10Z)-3,13-dichloro-17,18-dioxo-5,11-diphenyl-8,9,17,18-tetrahydro-7H-dibenzo[e,n][1,4,8,12]tetraazacyclopentadecine-16,19-diido-κ4N,N′,N′′,N′′′)copper(II), C31H22N4O2Cl2Cu
- Crystal structure of bis{5-methoxy-2-(((2-oxo-2H-chromen-6-yl)imino)methyl)phenolato-κ2N,O}zinc(II), C34H24N2O8Zn
- Crystal structure of 2,2′-((((ethane-1,2-diylbis(oxy))bis(2,1-phenylene))bis(azanylylidene))bis(methanylylidene))diphenolato-κ2N;κ4O)nickel(II), C28H22N2O4Ni
- Crystal structure of 1,1′-((1E,1′E)-(((ethane-1,2-diylbis(oxy))bis(2,1-phenylene))bis(azanylylidene))bis(methanylylidene))bis(naphthalen-2-olato)cobalt(II), C36H26N2O4Co
- Crystal structure of camptothecin, C20H16N2O4
- Crystal structure of (2-(chlorophenyl)-5-methyl-1,3-dioxane-5-carboxylato–κ2O,O′)(5,5,7,12,12,14-hexamethyl-1,4,8,11-tetraazacyclotetradecane-κ4N,N′,N′′,N′′′)nickel(II) perchlorate monohydrate, Ni(C16H36N4)(C12H12O4Cl)ClO4⋅H2O
- Crystal structure of 3-(2-chloro-6-methoxyquinolin-3-yl)-5-phenylisoxazole (C19H13ClN2O2)
- Crystal structure of tetrakis(μ2-acetato-κ2O:O′)-bis{[(E)-2,6-diisopropyl-N-(pyridin-3-ylmethylene)aniline]copper (II)}, C44H56Cu2N4O8
- Crystal structure of diethyl 2-(2-chlorophenyl)-1,3-dioxane-5,5-dicarboxylate, C16H19Cl1O6
- Crystal structure of (μ2-2,2′-bipyridine-3,3′-dicarboxylato)-bis(5,5,7,12,12,14-hexamethyl-1,4,8,11-tetraazacyclotetradecane)-di-nickel(II) perchlorate N,N′-dimethylformamide solvate, C50H92Cl2N12Ni2O14
- Crystal structure of catena-poly[triaqua(μ2-1,2-bis(4-pyridyl)ethane-κ2N:N′)-(1,2-bis(4-pyridyl)ethane-κN)nickel(II)] 2-aminonicotinate nitrate – 1,2-bis(4-pyridyl)ethane – water (2/1/8), C36H44N8NiO12
- Hydrothermal synthesis and crystal structure of poly[bis(μ2-3-(3,5-dicarboxyphenoxy)phthalato-κ3O,O′:O′′)-(μ2-1,2-di(pyridin-4-yl)ethane-κ2N:N′)copper(II)], C22H14CuNO9
- Crystal structure of catena-poly[aqua-(methanol-κO)-bis(μ2-4-(pyridin-4-yl)benzoato-κ2N:O)-bis(triphenylphospine-κP)disilver(I)], C61H52Ag2N2O6P2
- The crystal structure of 6-(4-bromobenzyl)-1,3,5-trimethyl-7-phenyl-1,5-dihydro-2H-pyrrolo[3,2-d]pyrimidine-2,4(3H)-dione, C22H20BrN3O2
- Synthesis and crystal structure of catena-poly[bis(2-(2-((2,6-dichlorophenyl)amino)phenyl)acetato-κO;κ2O′,O′′)-(μ2-1,4-di(pyridin-4-yl)benzene-κ2N:N′)zinc(II)], C44H32N4ZnCl4O4
- Crystal structure of diaqua-bis[N-phenyl-2-(quinolin-8-yloxy)acetamide-κ3-N,O,O′]-nitrato(κ2O,O′)-cerium(III) dinitrate - acetone (1/2), C40H44N7O17Ce
- Crystal structure of the 2D coordination polymer poly[aqua(μ2-2,2′-(1,2-phenylene)diacetato-κ3O,O′:O′)-(μ2-4,4′-bis((1H-1,2,4-triazol-1-yl)methyl)-1,1′-biphenyl-κ2N:N′)cobalt(II)], C28H26CoN6O5
- Crystal structure of (dimethylformamide-κO)(perchlorato-κ2O,O′){μ2-6,6′-((1,2-phenylenebis(azanylylidene))bis(methanylylidene))bis(4-bromo-2-methoxyphenolate)-κ8N,N′,O:O,O′:O′,O′′,O′′′}sodium(I)nickel(II), C25H23Br2ClN3NaNiO9
- The crystal structure of catena-poly[bis((4-aminophenyl)sulfonyl)(pyrimidin-2-yl)amido-κ2N,N′)-bis(μ2-4,4′-bipyridine-N,N′-κ2N:N′)zinc(II) – methanol (1/2), C32H34N10O6S2Zn
- Synthesis and crystal structure poly[aqua(μ3-2-(((7-hydroxy-3-(4-hydroxy-3-sulfonatophenyl)-4-oxo-4H-chromen-8-yl)methyl)ammonio)acetate-κ4O,O′:O′′:O′′′) sodium] monohydrate, C18H18NNaO11S
- Crystal structure of methyl 4′-amino-3′,5′-diisopropyl-[1,1′-biphenyl]-4-carboxylate, C20H25NO2
- Crystal structure of (η6-1-isopropyl-4-methyl benzene)-(N-(2,5-dichlorophenyl)-1-(pyridin-2-yl)methanimine-κ2N,N′)ruthenium(II) perchlorate, C22H22Cl4N2O4Ru
- Crystal structure of 2-(2-(1-Chlorocyclopropyl)-3-(2-chlorophenyl)-2-hydroxypropyl)-1H-1,2,4-triazole-3(2H)-thione, C14H15Cl2N3OS
- Crystal structure of methyl 4′-amino-3′,5′-dimethyl-[1,1′-biphenyl]-4-carboxylate, C16H17NO2
- The crystal structure of 1-(5-ferrocenyl-3-(trifluoromethyl)-1H-pyrazol-1-yl)pentan-1-on, C19H19F3FeN2O
- The crystal structure of (3S,12R,20R,24S)-3,12-diacetyl-20,24-epoxy-dammarane-3,12,25-triol acetone solvate, C34H56O6
- Crystal structure of methyl 10-(pyridin-4-yl)-anthracene-9-carboxylate, C21H15NO2
- Crystal structure of catena-poly[diaqua-bis(di(N2,N6-dihydroxypyridine-2,6-dicarboxamide))potassium(I)]tetrahydrate, C14H25N6O14K
- Crystal structure of poly{[μ2-(E)-1,4-bis(1H-benzo[d]imidazol-1-yl)but-2-ene-κ2N:N′][μ3–cyclohexane-1,4-dicarboxylato-κ4O,O′:O′′:O′′′]cadmium(II)}, C26H26CdN4O4
- Crystal structure of poly[aqua(μ3-[2,2′-bipyridine]-3,3′-dicarboxylato-κ4N,N′:O:O′)zinc(II)] – dimethylformamide (1/1), C15H15N3O6Zn
- The crystal structure of poly[tetraaqua-tris(μ2-2,6-di(1H-imidazol-1-yl)naphthalene-κ2N:N′)-bis(thiophene-2,5-dicarboxylato-κ1O)]dicobalt(II), C30H24CoN6O6S
- Crystal structure of (S)-1-(5-(anthracen-9-yl)-3-phenyl-4,5-dihydro-1H-pyrazol-1-yl)propan-1-one, C26H22N2O
- Crystal structure of 5-methyl-3,3-diphenyl-1-tosyl-1,2,3,4-tetrahydropyridine, C25H25NO2S
- Synthesis and crystal structure of μ-[1,1′-di(mesitylphosphanido)ferrocene]bis[η5-cyclopentadienylnickel(II)] tetrahydrofurane solvate, C42H48FeNi2OP2
- Synthesis and crystal structure of (E)-1-(4-(((E)-5-chloro-2-hydroxybenzylidene)amino)phenyl)ethan-1-one O-methyl oxime, C16H15ClN2O2
- Crystal structure of bis(1-(phenylsulfonyl)-2-(1-(pyrazin-2-yl)ethylidene)hydrazin-1-ido-κ3N,N′,O)nickel(II), C24H22N8O4S2Ni
- Crystal Structure of bis(1-(phenylsulfonyl)-2-(1-(pyrazin-2-yl)ethylidene)hydrazin-1-ido-κ3N,N′,O)copper(II), C24H22N8O4S2Cu
- Synthesis and crystal structure of poly[aqua{μ3-(1S,2S)-1-((7-hydroxy-3-(4-hydroxy-3-sulfonatophenyl)-4-oxo-4H-chromen-8-yl)methyl)pyrrolidin-1-ium-2-carboxylato-κ4O,O′:O′′:O′′′}sodium(I)] monohydrate, C21H22NNaO11S
- Halogen bonds in the crystal structure of 1,4-diiodotetrafluorobenzene–1,2-bis(4-pyridyl)propane (1/1), C19H14F4I2N2
- Crystal structure of bis(μ-N-i-propyl-N-n-propyldithiocarbamato-κ2S:S′) bis(N-i-propyl-N-n-propyldithiocarbamato-κ2S,S′)dizinc(II), C28H56N4S8Zn2
- Crystal structure of bis(μ-N-i-propyl-N-n-propyldithiocarbamato-κ3S,S′:S)bis(N-i-propyl-N-n-propyldithiocarbamato-κ2S,S′)dicadmium(II), C28H56Cd2N4S8
- Crystal structure of bis(μ2-di-n-butyldithiocarbamato-κ3S,S′:S;κ3S:S:S′)-hexacarbonyl-di-rhenium(I), C24H36N2O6Re2
- Crystal structure of 7-(4-methylphenyl)imidazo[1,2-a][1,3,5]triazin-4-amine, C12H11N5
- Crystal structure of the co-crystal O-isopropyl phenylcarbamothioate – 4,4′-bipyridine (2/1), C15H17N2OS
- Crystal structure of the coordination polymer catena-poly[chlorido-{μ2-2-(((3,5-dimethyl-1H-pyrazol-1-yl)methyl)amino)-3-hydroxybutanoato-κ4N,N,O:O′}copper(II)], C11H16ClCuN2O3
- Synthesis and crystal structure of bis(μ2-acetato-κ2O:O′)-di(ethanol)-bis{μ2-5-(N,N′-diethylamine)-5′-methoxyl-2,2′-[ethylenediyldioxybis(nitrilomethylidyne)]diphenolato-κ6O:O,N,N,O′:O′}trinickel(II) – ethanol – acetonitrile (1/2/2), C58H86Ni3N8O18
- Crystal structure of the bis((E)-O-ethyl-N-phenylthiocarbamate) – 4,4′-bipyridine co-crystal (2/1), C28H30N4O2S2
- Crystal structure of the (E)-O-methyl-N-phenyl-thiocarbamate – 4,4′-bipyridine (1/1), C18H17N3OS
- Crystal structure of bis(μ2-diethyldithiocarbamato-κ3S,S′:S′)-bis(tricyclohexylphosphane-κP)dicopper(I), C46H86Cu2N2P2S4
- Crystal structure of N-(3-chlorophenyl)ethoxycarbothioamide, C9H10ClNOS
- Crystal structure of bis(μ2-pyrrolidine-1-carbodithioato-κ3S,S′:S;κ3S:S:S′)-bis(tricyclohexylphosphane-P)-di-copper(I), C46H82Cu2N2P2S4
- Crystal structure of N-(2-chlorophenyl)methoxycarbothioamide, C8H8ClNOS
- Crystal structure of chlorido-methanol-(N-(2-(oxy)-3-methoxybenzylidene)pyridine-4-carbohydrazonato-κ3O,N,O′)-(4-methylphenyl)methyl-tin(IV), C23H24ClN3O4Sn
- Crystal structure of N-(3-chlorophenyl)(propan-2-yloxy)carbothioamide, C10H12ClNOS
- Crystal structure of 1-[(Z)-[4-(4-methoxyphenyl)butan-2-ylidene]amino]-3-phenylurea, C18H21N3O2
- A triclinic polymorph of bis(μ-N,N-bis(2-hydroxyethyl)dithiocarbamato-κ3S,S′:S′) bis(N,N-bis(2-hydroxyethyl)dithiocarbamato-κ2S:S′)zinc(II), C20H40N4O8S8Zn2