Home On the connection coefficients and recurrence relations arising from expansions in series of modified generalized Laguerre polynomials: Applications on a semi-infinite domain
Article Open Access

On the connection coefficients and recurrence relations arising from expansions in series of modified generalized Laguerre polynomials: Applications on a semi-infinite domain

  • E.H. Doha EMAIL logo and Y.H. Youssri
Published/Copyright: August 9, 2018
Become an author with De Gruyter Brill

Abstract

Herein, three important theorems were stated and proved. The first relates the modified generalized Laguerre expansion coefficients of the derivatives of a function in terms of its original expansion coefficients; and an explicit expression for the derivatives of modified generalized Laguerre polynomials of any degree and for any order as a linear combination of modified generalized Laguerre polynomials themselves is also deduced. The second theorem gives new modified generalized Laguerre coefficients of the moments of one single modified generalized Laguerre polynomials of any degree. Finally, the third theorem expresses explicitly the modified generalized Laguerre coefficients of the moments of a general-order derivative of an infinitely differentiable function in terms of its modified generalized Laguerre coefficients. Some spectral applications of these theorems for solving ordinary differential equations with varying coefficients and some specific applied differential problems, by reducing them to recurrence relations in their expansion coefficients of the solution are considered.

1 Introduction

Classical Laguerre polynomials [1,2,3,4,] are the main subject of a very extensive literature. If we denote by Ln(α)(x): n = 0,1,2,…}, the sequence of monic Laguerre polynomials, then their crucial property is the following orthogonality condition

0Lm(α)(x)Ln(α)(x)xαexdx=Γ(n+α+1)n!δmn,

where m, n ∈ ℕ and the parameter α satisfies the condition α > – 1 in order to assure the convergence of the integrals. For more details about classical Laguerre polynomials, please see [5].

In this framework, we define the modified generalized Laguerre polynomials Ln(α,β)(x), with the newly added parameter β, the existence of this parameter will affect on the convergence of Ln(α,β)(x), moreover, the classical Laguerre polynomials can be obtained as a direct special case of Ln(α,β)(x) by letting β = 1.

Many differential models in various research disciplines such as mathematics, fluid dynamics, chemistry, biology, viscoelasticity, engineering and physics have arisen in semi-infinite domains [6,7,8,9,10]. Consequently, a lot of researchers have utilized various transformations on classical orthogonal polynomials to map the bounded interval [–1,1] into [0,L] and [0,∞) maintaining their orthogonal property. This idea is acceptable, nevertheless, the rate of convergence as well as the stability of solutions will affected when ≫ 1 also when the number of retained modes is great. In this research we tame the proposed orthogonal polynomials Ln(α,β)(x) to handle some differential problems on a semi-infinite domain.

To be more precise we tackle three important problems over a semi-infinite domain, namely, the Lane-Emden equation, Bratu’s type equation and the nonlinear space-time Burger’s type equation.

The Lane-Emden equation [11,12,13] is one of the basic equations in the theory of stellar structure and has been the focus of many studies. This equation describes the temperature variation of a spherical gas cloud under the mutual attraction of its molecules and subject to the laws of classical thermodynamics. It also describes the variation of density as a function of the radial distance for a polytrope.

The initial value problems of Bratu’s type [14,15] was used to model a combustion problem in a numerical slab. Bratu’s problem is also used in a large variety of applications such as the fuel ignition model of the thermal combustion theory, the model of the thermal reaction process, the Chandrasekhar model [16] of the expansion of the universe, questions in geometry and relativity concerning the Chandrasekhar model, chemical reaction theory, radiative heat transfer and nanotechnology.

The one-dimensional Burgers equation first appeared in a paper by Bateman [17], who derived two of the essentially steady solutions. It is a special case of some mathematical models of turbulence introduced about twenty years ago by Burgers [18]. The distinctive feature of Burger’s equation is that it is the simplest mathematical formulation of the competition between convection and diffusion. It thus offers a relatively convenient means of studying not only turbulence but also the distortion caused by laminar transport of momentum in an otherwise symmetric disturbance and the decay of dissipation layers formed.

In this work, we attempt to solve differntial equations using the modified generalized Laguerre polynomials jointly with the spectral accurate tau and collocation methods. The Laguerre polynomials and the spectral collocation method for the numerical solution of differential equations have been extensively used in [19,20,21,22,23,24]. Guo et al. [25] applied the mixed generalized Laguerre spectral method for the exterior problems. In [26], the mixed Laguerre-Legendre spectral method and pseudospectral method are proposed for solving the fluid folw problems in an infinite channel. Rahmoune [27], presented a spectral collocation method using the scaled Laguerre functions for solving the Fredholm integral equations of the second kind on the half-line. In [28], a spectral collocation method based on the Laguerre polynomials has been proposed for solving the fractional pantograph equation.

In most of these applications, a formula is used that relates the expansion coefficients of derivatives appearing in the differential equation to those of the function itself. For the Galerkin and tau variants of the spectral methods, explicit expressions for the expansion coefficients for the solution are needed. Karageorghis [29], obtained an expression when the basis functions of expansion are shifted Chebyshev polynomials Tn(x),,x ∈ [0, 1]. A corresponding formula for Legendre polynomials Pn(x), x ∈ [–1, 1], is derived by Phillips [30]. Doha [31], has obtained a more general formula when the basis functions are the ultraspherical polynomials Cn(λ)(x), x ∈ [–1, 1], λ ∈ (–12, ∞); formulae for the first and second kinds of Chebyshev polynomials and Legendre polynomials Tn(x), Un(x) and Pn(x) are given as special cases of Cn(λ)(x). A most general formula when the basis functions are the Jacobi polynomials Pn(ν,μ) (x), x ∈ [–1, 1], ν > –1, μ > –1, is given in Doha [32]. Another formula when the basis functions are the Hermite polynomials is obtained in Doha [33], two other formulae for the third and fourth kinds of Chebyshev polynomials Vn(x) and Wn(x) are given in Doha and Abd-Elhameed [34].

A more general situation which often arises in the numerical solution of differential equations with polynomial coefficients in spectral methods is the evaluation of the expansion coefficients of the moments of high-order derivatives of infinitely differentiable functions. A formula for the shifted Chebyshev coefficients of the moments of general-order derivatives of an infinitely differentiable function is given in Karageorghis [29]. Corresponding results for Chebyshev polynomials of the first and second kinds, Legendre, ultraspherical and Hermite polynomials are given in Doha [35], Doha and El-Soubhy [36], Doha [37] and Doha [38], respectively, another work on connection formulae were given in [39,40,41].

Up to now, and to the best of our knowledge, many formulae corresponding to those mentioned previously are not known and traceless in the literature for the modified generalized Laguerre expansions. This motivates our interest in such polynomials. Another motivation is that the theoretical and numerical analyses of numerous physical and mathematical problems very often require the expansion of an arbitrary polynomial or the expansion of an arbitrary function with its derivatives and moments into a set of orthogonal polynomials. This is in particular true (for modified generalized Laguerre polynomials) in quantum mechanical studies of physical systems, where the equation of motion or Schrp̈dinger equation is a second-order differential equation with polynomial coefficients. This is the case not only for the solution of the Schrödinger, Klein–Gordon and Dirac equations for the Coulomb field but also for many other potentials, as shown for example in Bagrov and Gitman [42] and Nikiforov and Uvarov [43].

The presentation of the paper is as follows, in Section 2, we present some important properties of the modified generalized Laguerre polynomials. In Section 3, we state and prove relations between the coefficients Section 3, we state and prove relations between the coefficients an(q) and an and the qth derivative of Ln(α,β)(x). In Section 4, we present explicit relation for the modified generalized Laguerre coefficients of the moments of one single modified Laguerre polynomial of any degree. In Section 5, we present the modified generalized Laguerre coefficients of a general-order derivative of an infinitely differentiable function in terms of its modified Laguerre coefficients. In Section 6, we implement an application to ordinary differential equations with variable coefficients. Finally, in Section 7, we present four applications for solving second-order differential equations with variable coefficients, namely, the Lane-Emden equation, Bratu’s type equation and the nonlinear space-time Burger’s type equation.

2 Some properties of modified generalized Laguerre polynomials

Let wα,β(x) = xα, eβ x with α > – 1 and β > 0. Then the modified generalized Laguerre polynomials (MGLP) are a sequence of polynomials {Ln(α,β)(x) : n = 0,1,2,…}, each of degree n, satisfying the orthogonality relation

0wα,β(x)Lm(α,β)(x)Ln(α,β)(x)dx=Γ(n+α+1)n!βα+1δmn,α>1,β>0,(1)

where δmn is the kronecker symbol. The set of (MGLP) is a complete Lwα,β(x)2(0, ∞)–orthogonal system. The modified generalized Laguerre polynomials may be generated by using Rodrigue’s formula

Ln(α,β)(x)=1n!wα,β(x)dndxn[xn+αeβx],n=0,1,2,.(2)

The following two recurrence relations are of fundamental importance in developing the present work. These are

(n+1)Ln+1(α,β)(x)=(2n+α+1βx)Ln(α,β)(x)(n+α)Ln1(α,β)(x),n=0,1,2,,(3)

with L1(α,β)(x) = 0, and

Ln(α,β)(x)=1βD[Ln(α,β)(x)Ln+1(α,β)(x)],n=0,1,2,,(4)

where Dddx. Note that the recurrence relation (4) may be used to generate the (MGLP) starting from L0(α,β)(x) = 1, and L1(α,β)(x) = 1 + αβx. If β = 1, then Ln(α,β)(x) is the standard modified generalized Laguerre polynomials.

Suppose now we are given a function f(x) which is infinitely differentiable in the interval [0, ∞), then we can write

f(x)=n=0anLn(α,β)(x),(5)

and for the qth derivative of f(x),

f(q)(x)=n=0an(q)Ln(α,β)(x),an(0)=an.(6)

Moreover, if f(x) satisfies, f(x) = O(eαx) for x → ∞, and for some α < 12, then it can be shown (cf, [44]) that the modified generalized Laguerre expansion

f(x)=n=0NanLn(α,β),

converges faster than algebraically as the number of terms N → ∞.

3 Relations between the coefficients an(q) and an and the qth derivative of Ln(α,β) (x)

Theorem 1

If f(x) is infinitely differentiable and expanded as in(5), and the qth derivative of f(x) is expressed as in(6), then

an(q)=βqj=0nnj+q1q1aj,q0,(7)

and

DqLn(α,β)(x)=(β)qj=0nqnj1q1Lj(α,β)(x).(8)

Proof

It is clear that

f(q+1)(x)=n=0an(q+1)Ln(α,β)(x)

and on differentiating (6), and making use of (4), we get

an(q+1)an1(q+1)=βan(q),n=0,1,2,,q0

which immediately gives

an(q+1)=βj=0naj(q)

and this in turn yields

an(1)=βj=0naj,an(2)=β2j=0n(nj+1)aj,an(3)=β3j=0n(nj+1)(nj+2)2aj,

and finally

an(q)=βqj=0n(nj+1)(nj+2)(nj+q1)q1aj,

i.e.

an(q)=βqj=0nnj+q1q1aj,
DLn(α,β)(x)=βj=0n1Lj(α,β)(x),

which immediately gives

DqLn(α,β)(x)=(β)qj=0nqnj1q1Lj(α,β)(x)

and this completes the proof of Theorem 1. □

4 Modified generalized Laguerre coefficients of the moments of one single (MGLP) of any degree

For the evaluation of modified generalized Laguerre coefficients of the moments of higher-order derivatives of infinitely differentiable functions, the following theorem is needed.

Theorem 2

βmxmLj(α,β)(x)=n=02mamn(j)Lj+mn(α,β)(x),m0,j0,(9)

where

amn(j)=(1)mn(m!)2Γ(j+mn+α+1)k=max(0,jn)min(j+mn,j)j+mnkΓ(m+k+α+1)(jk)!(nj+k)!(mj+k)!.(10)

Proof

We use the induction principle to prove this theorem. In view of the recurrence relation (3), we may write

βxLj(α,β)(x)=(j+1)Lj+1(α,β)(x)+(2j+α+1)Lj(α,β)(x)(j+α)Lj1(α,β)(x),

which may be put in the form

βxLj(α,β)(x)=a10(j)Lj+1(α,β)(x)+a11(j)Lj(α,β)(x)+a12(j)Lj1(α,β)(x),(11)

this in turn shows that (9) is true for m = 1. Proceeding by induction, assuming that (9) is valid for m, we want to prove that

βm+1xm+1Lj(α,β)(x)=n=02m+2am+1,n(j)Lj+mn+1(α,β)(x).(12)

From (11) and assuming the validity of (9), we have

βm+1xm+1Lj(α,β)(x)=n=02mam,n(j)a10(j+mn)Lj+mn+1(α,β)(x)+a11(j+mn)Lj+mn(α,β)(x)+a12(j+mn)Lj+mn1(α,β)(x).(13)

Collecting similar terms, we get

βm+1xm+1Lj(α,β)(x)=am0(j)a10(j+m)Lj+m+1(α,β)(x)+am1(j)a10(j+m1)+am0(j)a11(j+m)Lj+m(α,β)(x)+n=02mam,n(j)a10(j+mn)+am,n1(j)a11(j+mn+1)+am,n2(j)a12(j+mn+2)Lj+mn+1(α,β)(x)+am,2m(j)a11(jm)+am,2m1(j)a12(jm+1)Ljm(α,β)(x)+am,2m(j)a12(jm)Ljm1(α,β)(x).(14)

It can be easily shown that

am+1,0(j)=am0(j)a10(j+m)am+1,1(j)=am1(j)a10(j+m1)+am0(j)a10(j+m)am+1,n(j)=amn(j)a10(j+mn)+am,n1(j)a11(j+mn+1)+am,n2(j)a12(j+mn+2)
am+1,2m+1(j)=am,2m(j)a11(jm)+am,2m1(j)a12(jm+1)am+1,2m+2(j)=am,2m(j)a12(jm)

and accordingly, formula (14) becomes,

βm+1xm+1Lj(α,β)(x)=n=02m+2am+1,n(j)Lj+mn+1(α,β)(x),

which completes the induction and proves the theorem. □

It is worth noting here that, recalling the definition of Pochhammer’s symbol,

(z)n=Γ(z+n)Γ(z)=(1)nΓ(1z)Γ(1zn),

and the identity

nk=(1)k(n)kk!,

formula (10) can be written in terms of a 3F2 hypergeometric function of unit argument.

amn(j)=(1)mn(m!)2Γ(m+α+1)j!(nj)!(mj)!Γ(j+mn+α+1)×3F2njm,j,m+α+1,;1nj+1,mj+1,.

Corollary 1

It is not difficult to show that

βmxmLj(α,β)(x)=n=0j+mam,j+mn(j)Ln(α,β)(x),j0,m0(15)

and

βmxm=n=0mam,mn(0)Ln(α,β)(x),m0(16)

where

am,mn(0)=(1)nm!Γ(m+α+1)(mn)!Γ(n+α+1).

5 Modified generalized Laguerre coefficients of a general-order derivative of an infinitely differentiable function

Theorem 3

Let f(x) and all its derivatives be smooth and f(x) and f(q)(x) be expanded as in(5)and(6), respectively, and for a positive integral l, let

βxf(q)(x)=Iq,,(17)

and if we write

Iq,=j=0biq,Li(α,β)(x),(18)

then

biq,=k=01a,k+i(k)ak(q)+k=0ia,k+2i(k+)ak+(q),0i;k=i1a,k+i(k)ak(q)+k=0ia,k+2i(k+)ak+(q),+1i21;k=i2ia,k+2i(k+)ak(q),i2.(19)

Proof

Relations (6), (9) and (17) give

Iq,=k=0ak(q)j=02a,j(k)Lk+j(α,β)(x).(20)

By letting i = k + lj, (20) may be written in the form

Iq,=k=01ak(q)i=kk+a,k+i(k)Li(α,β)(x)+k=ak(q)i=kk+a,k+i(k)Li(α,β)(x)=1+2,(21)

where

1=k=01ak(q)i=kk+a,k+i(k)Li(α,β)(x),2=k=ak(q)i=kk+a,k+i(k)Li(α,β)(x).

Considering 1 first,

1=k=01ak(q)i=k1a,k+i(k)Li(α,β)(x)(22)
+k=01ak(q)i=0k+a,k+i(k)Li(α,β)(x)=11+12.(23)

Clearly,

11=k=01ak(q)i=k1a,k+i(k)Li(α,β)(x)=k=01ak(q)i=1ka,k++i(k)Li(α,β)(x)

hence

11=0.(24)
12=k=01ak(q)i=0k+a,k+i(k)Li(α,β)(x)=i=0k=01ak(q)a,k+i(k)Li(α,β)(x)+i=+121k=i1ak(q)a,k+i(k)Li(α,β)(x),

hence,

12=i=021k=max(0,i)1ak(q)a,k+i(k)Li(α,β)(x).(25)

Substitution of (24) and (25) into (23) yields,

1=i=021k=max(0,i)1ak(q)a,k+i(k)Li(α,β)(x).(26)

When considering 2, if one takes k + l instead of k, then it is not difficult to show that

2=i=0k=max(0,i2)iak+(q)a,k+2i(k+)Li(α,β)(x).(27)

Substitution of (26) and (27) into (21) gives the required results (19) and completes the proof of Theorem 3. □

6 Application to ordinary differential equations with variable coefficients

  1. Let y(x) be infinitely differentiable function defined on [0, ∞) and having the Laguerre expansion as in (5), and assume that it satisfies the linear nonhomogenous differential equation of order n > 0,

    i=0npi(x)y(i)(x)=f(x),x[0,),(28)

    where p0, p1,…,pn ≠ 0 are polynomials of x, and the coefficients of Laguerre series of f(x) are known; formula (7), (9) and (19) enable one to construct, in view of (28), the linear recurrence relation of order r, namely,

    j=0rαj(k)ak+j=β(k),k0,(29)

    where α0, α1,…, αr (α0,αr ≠ 0) are polynomials of the variable k. The interested reader is referred to [45] for a similar derivation of (29) when the basis of expansion is Jacobi polynomials.

  2. Consider the linear ordinary differential equation of order n of the form

    i=0nfi(x)y(i)(x)=g(x),x[0,),(30)

    where fi(x) and g(x) are functions of x only. Suppose the equation to be solved in the interval [0, ∞) subject to n linear boundary conditions, and assume we approximate y(x) a truncated expansion of Laguerre polynomials

    i=0nfi(x)j=0NajDjLj(α,β)(x)=g(x),(31)

    which may be written in the form

    j=0Naji=0nfi(x)ajDjLj(α,β)(x)=g(x).(32)

    The boundary conditions associated with (30) give rise to n equations connecting the coefficients aj, and the remaining equations may be obtained in two ways:

  1. We may equate the coefficients of the various Li(α,β)(x) after expanding the two sides of (33) in Laguerre series.

  2. We may collocate at m = Nn selected points in (0, ∞).

The system of equations obtained from the collocation is of the form

j=0Naji=0nfi(xk)ajDjLj(α,β)(xk)=g(xk),k=1,2,,m,(33)

where xk are the collocation points, which are usually chosen at the zeros of Lm(α,β)(x), (see, for instance, [46]). Since the derivatives DjLj(α,β)(x) are now expressible explicitly in terms of Lj(α,β)(x), then the problem of computing them solved by using the formula (8). Therefore, the resulting linear system obtained from (31) and the n linear boundary conditions can easily be solved using the standard direct solvers.

7 Applications and Numerical Results

Example 1

[38] An example dealing with nonhomogenous differential equation with polynomial coefficients is considered in order to clarify application of the results obtained. Consider the nonhomogenous differential equation

2xy(x)+(1+4x)y(x)+(1+2x)y(x)=exy(0)=0,y(0)=1.(34)

If exis expanded in the form

ex=i=0fiLi(α,β)(x),(35)

then

fi=βα+1(1+β)i+α+1,(36)

and if y(x) is expanded in the form

y(x)=i=0aiLi(α,β)(x),(37)

then by virtue of formulae(18)and(19), Eq. (34), takes the form

2bi2,1+bi1,0+4bi2,1+bi0,0+2bi0,1=fi,i0,(38)

wherebiq,lare as given in(19). Following the procedure of Doha [38], and after some rather lengthy manipulations, we get,

ai=β1+α(1+αi)(1+β)i+α+2.(39)

It is worthy to mention here that, if β = 1, formulae(36)and(39)of fi and ai will reduced to

fi=12i+α+1,ai=(1+αi)2i+α+2,

which is in complete agreement of Doha [38].

Example 2

Consider the Lane-Emden type equation

xy(x)+2y(x)+xy(x)=0,y(0)=1,y(0)=0.(40)

with the exact solution

y(x)=sinxx.

If y(x) is expanded in the form

y(x)=i=0NaiLi(α,β)(x),(41)

then by virtue of formulae(18)and(19), Eq. (40), takes the form

bi2,1+2bi1,0+bi0,1=0,i0,(42)

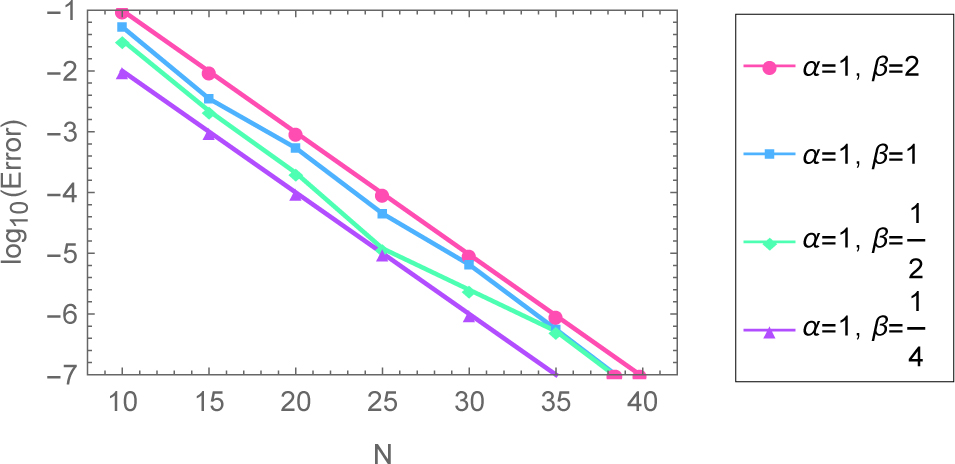
wherebiq,lare as given in(19). In Table 1, we list the maximum absolute error of Example 2, for different values of α, βand N over the interval (0, 10). In Figures 1, 2, we depict the graph of approximate and absolute error of Example 2, respectively, for the case α = 1, β = 12and N = 40. In Figure 3, we show the convergence of the method when N increases.

Fig. 1 Approximate solution of Example 2
Fig. 1

Approximate solution of Example 2

Fig. 2 Absolute Error of Example 2
Fig. 2

Absolute Error of Example 2

Fig. 3 Log-Error of Example 2
Fig. 3

Log-Error of Example 2

Table 1

Maximum absolute errors for Example 2

Nα =1, β = 2α =1, β =1α =1, β =12α = 1, β =14
109.21 .10–15.36 .10–25.36 .10–31.21 .10–3
202.59 .10–23.47 .10–34.25 .10–48.37 .10–5
309.37 .10–26.92 .10–48.34 .10–52.22 .10–5
401.29 .10–38.61.10–42.83 .10–64.27 .10–6

Example 3

Consider the Bratu type equation

y(x)2ey(x)=0,y(0)=y(0)=0.(43)

with the exact solution

y(x)=logcos2x.

If y(x) is expanded in the form

y(x)=i=0NaiLi(α,β)(xk),(44)

here, we apply the collocation technique. In Table 2, we list the maximum absolute error of Example 3, for different values α, β and N over the interval (0, 1.57). In Figures 4 and 5, we depict the graph of approximate and absolute error of Example 3, respectively, for the case α = 1, β = 14and N = 20. In Figure 6, we show the convergence of the method when N increases.

Table 2

Maximum absolute errors for Example 3

Nα =1, β = 2α =1, β =1α = 1, β =12α =1, β =14
58.12 .10–12.27 . 10–26.29 . 10–23.27 . 10–2
109.76 . 10–23.86 .10–32.67 .10–34.44 .10–3
157.38 . 10–24.97 .10–42.81 .10–33.67 .10–4
205.38 .10–39.37 .10–43.94 .10–41.00 .10–5

Fig. 4 Approximate solution of Example 3
Fig. 4

Approximate solution of Example 3

Fig. 5 Absolute Error of Example 3
Fig. 5

Absolute Error of Example 3

Fig. 6 Log-Error of Example 3
Fig. 6

Log-Error of Example 3

Example 4

Consider the space-time nonlinear Burgers type equation

ut(x,t)μuxx(x,t)+u(x,t)ux(x,t)=π2e2π2μtsin(2πx),(x,t)(1,1)×(0,τ)(45)

subject to the homogenous boundary conditions

u(±1,t)=0,

and the initial condition

u(x,0)=sin(πx),

with the exact smooth solution

u(x,t)=eπ2μtsin(πx).

We write

u(x,t)uN(x,t)=i=0Nj=0NcijTi(x)Lj(α,β)(t),

where N is even number and Ti(x) denotes the Chebyshev polynomials of degree i. The residual of Eq. (45)is given by

R(x,t)=utN(x,t)μuxxN(x,t)+uN(x,t)uxN(x,t)π2e2π2μtsin(2πx),(46)

we select the following collocation points

xi=cos(2i+1)π2N+2,tj=jτN+1,0i,jN+1,

where xi are the distinct roots of the first kind Chebyshev polynomial TN+1(x) and tj are the equidistant Riemann points. Now we have the following system of nonlinear algebraic equations

R(xi,tj)=0,0i,jN1(47)
u(±1,tj)=0,0jN21(48)
u(xi,0)=sin(πxi),0iN(49)

The dimension of this system is (N+1)2, thanks to the Newton’s iterative method for solving this nonlinear system and finally we obtain the solution. We solve this system for the case corresponding to μ = 0.02, τ = 10, N = 20 and (α,β) = (32,12).In Figures 7, 8, we depict the approximate solution of Eq. (45)and the error E = uuN, respectively.

Fig. 7 Approximate solution of Example 4
Fig. 7

Approximate solution of Example 4

Fig. 8 Error of Example 4
Fig. 8

Error of Example 4

8 Concluding Remarks

A formula expressing the modified generalized Laguerre coefficients of a general-order derivative of an infinitely differentiable function in terms of its original coefficients is proved, and a formula expressing explicitly the derivatives of modified Laguerre polynomials of any degree and for any order as a linear combination of suitable modified Laguerre polynomials is deduced. A formula for the modified Laguerre coefficients of the moments of one single modified Laguerre polynomial of certain degree is given. Four applications were implemented to illustrate the effect of the new parameter β on the convergence and accuracy of the methods.

References

[1] S. Odake, R. Sasaki. Infinitely many shape-invariant potentials and cubic identities of the Laguerre and Jacobi polynomials. Journal of Mathematical Physics, 51(5):053513, 2010.10.1063/1.3371248Search in Google Scholar

[2] J.S. Dehesa, R.J. Yáñez, A.I. Aptekarev, V. Buyarov. Strong asymptotics of Laguerre polynomials and information entropies of two-dimensional harmonic oscillator and one-dimensional coulomb potentials. Journal of Mathematical Physics, 39(6):3050–3060, 1998.10.1063/1.532238Search in Google Scholar

[3] T. Tanaka. N-fold supersymmetry and quasi-solvability associated with x 2-Laguerre polynomials. Journal of Mathematical Physics, 51(3):032101, 2010.10.1063/1.3332378Search in Google Scholar

[4] R. Sasaki, S. Tsujimoto, A. Zhedanov. Exceptional Laguerre and Jacobi polynomials and the corresponding potentials through darboux–crum transformations. Journal of Physics A: Mathematical and Theoretical, 43(31):315204, 2010.10.1088/1751-8113/43/31/315204Search in Google Scholar

[5] G. Szego. Orthogonal polynomials, volume 23. American Mathematical Soc., 1939.10.1090/coll/023Search in Google Scholar

[6] R. Garrappa, M. Popolizio. On the use of matrix functions for fractional partial differential equations. Mathematics and Computers in Simulation, 81(5):1045–1056, 2011.10.1016/j.matcom.2010.10.009Search in Google Scholar

[7] B.J. Noye, M. Dehghan. New explicit finite difference schemes for two-dimensional diffusion subject to specification of mass. Numerical Methods for Partial Differential Equations, 15(4):521–534, 1999.10.1002/(SICI)1098-2426(199907)15:4<521::AID-NUM7>3.0.CO;2-RSearch in Google Scholar

[8] Y. Zhao, W. Bu, X. Zhao, Y. Tang. Galerkin finite element method for two-dimensional space and time fractional bloch–torrey equation. Journal of Computational Physics, 350:117–135, 2017.10.1016/j.jcp.2017.08.051Search in Google Scholar

[9] W. Bu, Y. Tang, Y. Wu, J. Yang. Finite difference/finite element method for two-dimensional space and time fractional bloch–torrey equations. Journal of Computational Physics, 293:264–279, 2015.10.1016/j.jcp.2014.06.031Search in Google Scholar

[10] M.A. Zaky, E.H. Doha, T.M. Taha, D. Baleanu. New recursive approximations for variable-order fractional operators with applications. Mathematical Modelling and Analysis, 23:227-239, 2018.10.3846/mma.2018.015Search in Google Scholar

[11] S. Chandrasekhar, S. Chandrasekhar. An introduction to the study of stellar structure, volume 2. Courier Corporation, 1957.Search in Google Scholar

[12] H.T. Davis. Introduction to nonlinear differential and integral equations. Courier Corporation, 1962.Search in Google Scholar

[13] W.M. Abd-Elhameed. New Galerkin operational matrix of derivatives for solving Lane-Emden singular-type equations. The European Physical Journal Plus, 130(3):52, 2015.10.1140/epjp/i2015-15052-2Search in Google Scholar

[14] R. Gupta, A.S. Mujumdar. Aerodynamics of a vibrated fluid bed. The Canadian Journal of Chemical Engineering, 58(3):332–338, 1980.10.1002/cjce.5450580309Search in Google Scholar

[15] J.P. Boyd. An analytical and numerical study of the two-dimensional bratu equation. Journal of Scientific Computing, 1(2):183–206, 1986.10.1007/BF01061392Search in Google Scholar

[16] M. Lemou, P.H. Chavanis. Escape of stars from gravitational clusters in the chandrasekhar model. Physica A: Statistical Mechanics and its Applications, 389(5):1021–1040, 2010.10.1016/j.physa.2009.11.009Search in Google Scholar

[17] H. Bateman. Some recent researches on the motion of fluids. Monthly Weather Review, 43(4):163–170, 1915.10.1175/1520-0493(1915)43<163:SRROTM>2.0.CO;2Search in Google Scholar

[18] J.M. Burgers. Mathematical examples illustrating relations occurring in the theory of turbulent fluid motion. In Selected Papers of JM Burgers, pages 281–334. Springer, 1995.10.1007/978-94-011-0195-0_10Search in Google Scholar

[19] C.I. Gheorghiu. The Laguerre collocation method. In Spectral Methods for Non-Standard Eigenvalue Problems, pages 85–110. Springer, 2014.10.1007/978-3-319-06230-3_4Search in Google Scholar

[20] K. Parand, A. Taghavi. Rational scaled generalized Laguerre function collocation method for solving the blasius equation. Journal of Computational and Applied Mathematics, 233(4):980–989, 2009.10.1016/j.cam.2009.08.106Search in Google Scholar

[21] J. Shen. Stable and efficient spectral methods in unbounded domains using Laguerre functions. SIAM Journal on Numerical Analysis, 38(4):1113–1133, 2000.10.1137/S0036142999362936Search in Google Scholar

[22] O. Coulaud, D. Funaro, O. Kavian. Laguerre spectral approximation of elliptic problems in exterior domains. Computer Methods in Applied Mechanics and Engineering, 80(1-3):451–458, 1990.10.1016/0045-7825(90)90050-VSearch in Google Scholar

[23] A.H. Bhrawy, M.A. Zaky. An improved collocation method for multi-dimensional space-time variable-order fractional Schrödinger equations. Applied Numerical Mathematics, 111:451–458, 197-218, 2017.10.1016/j.apnum.2016.09.009Search in Google Scholar

[24] M.A. Zaky. An improved tau method for the multi-dimensional fractional Rayleigh-Stokes problem for a heated generalized second grade fluid. Computers & Mathematics with Applications, 2017.10.1016/j.camwa.2017.12.004Search in Google Scholar

[25] B.Y. Guo, J. Shen, C.L. Xu. Generalized Laguerre approximation and its applications to exterior problems. Journal of computational Mathematics, pages 113–130, 2005.Search in Google Scholar

[26] T.J. Wang, B.Y. Guo. Composite generalized Laguerre–Legendre pseudospectral method for fokker–planck equation in an infinite channel. Applied Numerical Mathematics, 58(10):1448–1466, 2008.10.1016/j.apnum.2007.08.007Search in Google Scholar

[27] A. Rahmoune. Spectral collocation method for solving fredholm integral equations on the half-line. Applied Mathematics and Computation, 219(17):9254–9260, 2013.10.1016/j.amc.2013.03.043Search in Google Scholar

[28] A.H. Bhrawy, A.A. Al-Zahrani, Y.A. Alhamed, D. Baleanu. A new generalized Laguerre-gauss collocation scheme for numerical solution of generalized fractional pantograph equations. Rom. J. Phys, 59(7-8):646–657, 2014.10.1155/2014/692193Search in Google Scholar

[29] A. Karageorghis. A note on the chebyshev coefficients of the moments of the general order derivative of an infinitely differentiable function. Journal of Computational and Applied Mathematics, 21(3):383–386, 1988.10.1016/0377-0427(88)90322-6Search in Google Scholar

[30] T.N. Phillips. On the Legendre coefficients of a general-order derivative of an infinitely differentiable function. IMA Journal of Numerical Analysis, 8(4):455–459, 1988.10.1093/imanum/8.4.455Search in Google Scholar

[31] E.H. Doha. The coefficients of differentiated expansions and derivatives of ultraspherical polynomials. Computers & Mathematics with Applications, 21(2):115–122, 1991.10.1016/0898-1221(91)90089-MSearch in Google Scholar

[32] E.H. Doha. On the coefficients of differentiated expansions and derivatives of Jacobi polynomials. Journal of Physics A: Mathematical and General, 35(15):3467, 2002.10.1088/0305-4470/35/15/308Search in Google Scholar

[33] E.H. Doha. On the connection coefficients and recurrence relations arising from expansions in series of hermite polynomials. Integral Transforms and Special Functions, 15(1):13–29, 2004.10.1080/10652460310001600618Search in Google Scholar

[34] E.H. Doha and WM Abd-Elhameed. On the coefficients of integrated expansions and integrals of chebyshev polynomials of third and fourth kinds. Bull. Malays. Math. Sci. Soc.(2), 37(2):383–398, 2014.Search in Google Scholar

[35] E.H. Doha. The first and second kind chebyshev coefficients of the moments for the general order derivative on an infinitely differentiable function. International journal of computer mathematics, 51(1-2):21–35, 1994.10.1080/00207169408804263Search in Google Scholar

[36] E.H. Doha, S.I. El-Soubhy. On the Legendre coefficients of the moments of the general order derivative of an infinitely differentiable function. International journal of computer mathematics, 56(1-2):107–122, 1995.10.1080/00207169508804391Search in Google Scholar

[37] E.H. Doha. The ultraspherical coefficients of the moments of a general-order derivative of an infinitely differentiable function. Journal of computational and applied mathematics, 89(1):53–72, 1998.10.1016/S0377-0427(97)00228-8Search in Google Scholar

[38] E.H. Doha. On the connection coefficients and recurrence relations arising from expansions in series of Laguerre polynomials. Journal of Physics A: Mathematical and General, 36(20):5449, 2003.10.1088/0305-4470/36/20/307Search in Google Scholar

[39] W.M. Abd-Elhameed. New Connection Formulae Between (p, q)-Fibonacci Polynomials and Certain Jacobi Polynomials. Journal of Inequalities and Special Functions, 7(2):1-16, 2016.Search in Google Scholar

[40] W.M. Abd-Elhameed. New formulae between Jacobi polynomials and some fractional Jacobi functions generalizing some connection formulae. Analysis and Mathematical Physics, http://doi.org/10.1007/s13324-017-0183-7.10.1007/s13324-017-0183-7Search in Google Scholar

[41] W.M. Abd-Elhameed. New formulae of squares of some Jacobi polynomials via hypergeometric functions. Hacettepe Journal of Mathematics and Statistics, 46(2):165-176, 2017.10.15672/HJMS.20164518618Search in Google Scholar

[42] V.G. Bagrov, D. Gitman. Exact solutions of relativistic wave equations, volume 39. Springer Science & Business Media, 1990.10.1007/978-94-009-1854-2Search in Google Scholar

[43] A.F. Nikiforov, V.B. Uvarov. Special functions of mathematical physics, volume 205. Springer, 1988.10.1007/978-1-4757-1595-8Search in Google Scholar

[44] D. Gottlieb, S.A. Orszag. Numerical analysis of spectral methods: theory and applications. SIAM, 1977.10.1137/1.9781611970425Search in Google Scholar

[45] S. Lewanowicz. Properties of the polynomials associated with the Jacobi polynomials. mathematics of computation, 47(176):669–682, 1986.10.1090/S0025-5718-1986-0856711-8Search in Google Scholar

[46] A. Abramowitz, I.A. Stegun. Handbook of Mathematical Functions: With Formulas, Graphs, and Mathematical Tables. Dover Publications, 1970.Search in Google Scholar

Received: 2018-04-29
Revised: 2018-06-03
Accepted: 2018-07-06
Published Online: 2018-08-09
Published in Print: 2019-01-28

© 2019 E.H. Doha and Y.H. Youssri, published by De Gruyter.

This work is licensed under the Creative Commons Attribution 4.0 Public License.

Articles in the same Issue

  1. Chebyshev Operational Matrix Method for Lane-Emden Problem
  2. Concentrating solar power tower technology: present status and outlook
  3. Control of separately excited DC motor with series multi-cells chopper using PI - Petri nets controller
  4. Effect of boundary roughness on nonlinear saturation of Rayleigh-Taylor instability in couple-stress fluid
  5. Effect of Heterogeneity on Imbibition Phenomena in Fluid Flow through Porous Media with Different Porous Materials
  6. Electro-osmotic flow of a third-grade fluid past a channel having stretching walls
  7. Heat transfer effect on MHD flow of a micropolar fluid through porous medium with uniform heat source and radiation
  8. Local convergence for an eighth order method for solving equations and systems of equations
  9. Numerical techniques for behavior of incompressible flow in steady two-dimensional motion due to a linearly stretching of porous sheet based on radial basis functions
  10. Influence of Non-linear Boussinesq Approximation on Natural Convective Flow of a Power-Law Fluid along an Inclined Plate under Convective Thermal Boundary Condition
  11. A reliable analytical approach for a fractional model of advection-dispersion equation
  12. Mass transfer around a slender drop in a nonlinear extensional flow
  13. Hydromagnetic Flow of Heat and Mass Transfer in a Nano Williamson Fluid Past a Vertical Plate With Thermal and Momentum Slip Effects: Numerical Study
  14. A Study on Convective-Radial Fins with Temperature-dependent Thermal Conductivity and Internal Heat Generation
  15. An effective technique for the conformable space-time fractional EW and modified EW equations
  16. Fractional variational iteration method for solving time-fractional Newell-Whitehead-Segel equation
  17. New exact and numerical solutions for the effect of suction or injection on flow of nanofluids past a stretching sheet
  18. Numerical investigation of MHD stagnation-point flow and heat transfer of sodium alginate non-Newtonian nanofluid
  19. A New Finance Chaotic System, its Electronic Circuit Realization, Passivity based Synchronization and an Application to Voice Encryption
  20. Analysis of Heat Transfer and Lifting Force in a Ferro-Nanofluid Based Porous Inclined Slider Bearing with Slip Conditions
  21. Application of QLM-Rational Legendre collocation method towards Eyring-Powell fluid model
  22. Hyperbolic rational solutions to a variety of conformable fractional Boussinesq-Like equations
  23. MHD nonaligned stagnation point flow of second grade fluid towards a porous rotating disk
  24. Nonlinear Dynamic Response of an Axially Functionally Graded (AFG) Beam Resting on Nonlinear Elastic Foundation Subjected to Moving Load
  25. Swirling flow of couple stress fluid due to a rotating disk
  26. MHD stagnation point slip flow due to a non-linearly moving surface with effect of non-uniform heat source
  27. Effect of aligned magnetic field on Casson fluid flow over a stretched surface of non-uniform thickness
  28. Nonhomogeneous porosity and thermal diffusivity effects on stability and instability of double-diffusive convection in a porous medium layer: Brinkman Model
  29. Magnetohydrodynamic(MHD) Boundary Layer Flow of Eyring-Powell Nanofluid Past Stretching Cylinder With Cattaneo-Christov Heat Flux Model
  30. On the connection coefficients and recurrence relations arising from expansions in series of modified generalized Laguerre polynomials: Applications on a semi-infinite domain
  31. An adaptive mesh method for time dependent singularly perturbed differential-difference equations
  32. On stretched magnetic flow of Carreau nanofluid with slip effects and nonlinear thermal radiation
  33. Rational exponential solutions of conformable space-time fractional equal-width equations
  34. Simultaneous impacts of Joule heating and variable heat source/sink on MHD 3D flow of Carreau-nanoliquids with temperature dependent viscosity
  35. Effect of magnetic field on imbibition phenomenon in fluid flow through fractured porous media with different porous material
  36. Impact of ohmic heating on MHD mixed convection flow of Casson fluid by considering Cross diffusion effect
  37. Mathematical Modelling Comparison of a Reciprocating, a Szorenyi Rotary, and a Wankel Rotary Engine
  38. Surface roughness effect on thermohydrodynamic analysis of journal bearings lubricated with couple stress fluids
  39. Convective conditions and dissipation on Tangent Hyperbolic fluid over a chemically heating exponentially porous sheet
  40. Unsteady Carreau-Casson fluids over a radiated shrinking sheet in a suspension of dust and graphene nanoparticles with non-Fourier heat flux
  41. An efficient numerical algorithm for solving system of Lane–Emden type equations arising in engineering
  42. New numerical method based on Generalized Bessel function to solve nonlinear Abel fractional differential equation of the first kind
  43. Numerical Study of Viscoelastic Micropolar Heat Transfer from a Vertical Cone for Thermal Polymer Coating
  44. Analysis of Bifurcation and Chaos of the Size-dependent Micro–plate Considering Damage
  45. Non-Similar Comutational Solutions for Double-Diffusive MHD Transport Phenomena for Non-Newtnian Nanofluid From a Horizontal Circular Cylinder
  46. Mathematical model on distributed denial of service attack through Internet of things in a network
  47. Postbuckling behavior of functionally graded CNT-reinforced nanocomposite plate with interphase effect
  48. Study of Weakly nonlinear Mass transport in Newtonian Fluid with Applied Magnetic Field under Concentration/Gravity modulation
  49. MHD slip flow of chemically reacting UCM fluid through a dilating channel with heat source/sink
  50. A Study on Non-Newtonian Transport Phenomena in Mhd Fluid Flow From a Vertical Cone With Navier Slip and Convective Heating
  51. Penetrative convection in a fluid saturated Darcy-Brinkman porous media with LTNE via internal heat source
  52. Traveling wave solutions for (3+1) dimensional conformable fractional Zakharov-Kuznetsov equation with power law nonlinearity
  53. Semitrailer Steering Control for Improved Articulated Vehicle Manoeuvrability and Stability
  54. Thermomechanical nonlinear stability of pressure-loaded CNT-reinforced composite doubly curved panels resting on elastic foundations
  55. Combination synchronization of fractional order n-chaotic systems using active backstepping design
  56. Vision-Based CubeSat Closed-Loop Formation Control in Close Proximities
  57. Effect of endoscope on the peristaltic transport of a couple stress fluid with heat transfer: Application to biomedicine
  58. Unsteady MHD Non-Newtonian Heat Transfer Nanofluids with Entropy Generation Analysis
  59. Mathematical Modelling of Hydromagnetic Casson non-Newtonian Nanofluid Convection Slip Flow from an Isothermal Sphere
  60. Influence of Joule Heating and Non-Linear Radiation on MHD 3D Dissipating Flow of Casson Nanofluid past a Non-Linear Stretching Sheet
  61. Radiative Flow of Third Grade Non-Newtonian Fluid From A Horizontal Circular Cylinder
  62. Application of Bessel functions and Jacobian free Newton method to solve time-fractional Burger equation
  63. A reliable algorithm for time-fractional Navier-Stokes equations via Laplace transform
  64. A multiple-step adaptive pseudospectral method for solving multi-order fractional differential equations
  65. A reliable numerical algorithm for a fractional model of Fitzhugh-Nagumo equation arising in the transmission of nerve impulses
  66. The expa function method and the conformable time-fractional KdV equations
  67. Comment on the paper: “Thermal radiation and chemical reaction effects on boundary layer slip flow and melting heat transfer of nanofluid induced by a nonlinear stretching sheet, M.R. Krishnamurthy, B.J. Gireesha, B.C. Prasannakumara, and Rama Subba Reddy Gorla, Nonlinear Engineering 2016, 5(3), 147-159”
  68. Three-Dimensional Boundary layer Flow and Heat Transfer of a Fluid Particle Suspension over a Stretching Sheet Embedded in a Porous Medium
  69. MHD three dimensional flow of Oldroyd-B nanofluid over a bidirectional stretching sheet: DTM-Padé Solution
  70. MHD Convection Fluid and Heat Transfer in an Inclined Micro-Porous-Channel
Downloaded on 27.10.2025 from https://www.degruyterbrill.com/document/doi/10.1515/nleng-2018-0073/html
Scroll to top button