Abstract
C16H17N1O4, triclinic, P1̅ (no. 2), a = 7.0971(3) Å, b = 7.6638(4) Å, c = 13.2375(6) Å, α = 92.116(10)°, β = 99.690(10)°, γ = 95.196(10)° V = 705.81(6) Å3, Z = 2, Rgt(F) = 0.0529, wRref(F2) = 0.1489, T = 296(2) K.

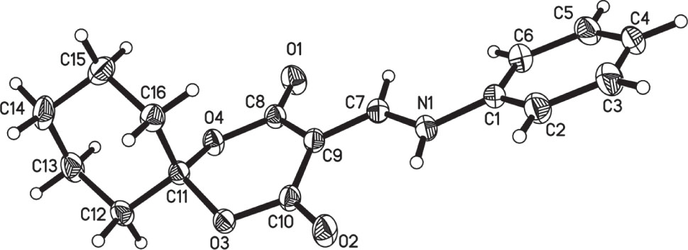
The asymmetric unit of the title crystal structure is shown in the figure. Tables 1 and 2 contain details on crystal structure and measurement conditions and a list of the atoms including atomic coordinates and displacement parameters.
Data collection and handling.
| Crystal: | Yellow block |
| Size: | 0.18 × 0.15 × 0.10 mm |
| Wavelength: | Mo Kα radiation (0.71073 Å) |
| μ: | 0.10 mm−1 |
| Diffractometer, scan mode: | Spider Rapid, ω-scans |
| θmax, completeness: | 27.5°, >99% |
| N(hkl)measured, N(hkl)unique, Rint: | 6856, 3191, 0.021 |
| Criterion for Iobs, N(hkl)gt: | Iobs > 2 σ(Iobs), 2643 |
| N(param)refined: | 190 |
| Programs: | Rigaku programs [1], SHELX [2, 3] |
Fractional atomic coordinates and isotropic or equivalent isotropic displacement parameters (Å2).
| Atom | x | y | z | Uiso*/Ueq |
|---|---|---|---|---|
| O1 | 0.74295(16) | 0.16606(12) | 0.83953(7) | 0.0538(3) |
| C1 | 0.76574(16) | 0.05436(16) | 0.46396(9) | 0.0379(3) |
| N1 | 0.80971(15) | 0.19937(13) | 0.53700(8) | 0.0401(3) |
| H1 | 0.859576 | 0.295752 | 0.516999 | 0.048* |
| O2 | 0.96798(17) | 0.53505(12) | 0.60193(7) | 0.0554(3) |
| C2 | 0.7607(2) | 0.0895(2) | 0.36175(10) | 0.0521(4) |
| H2 | 0.780603 | 0.204463 | 0.342834 | 0.063* |
| O3 | 0.93942(13) | 0.63526(11) | 0.75679(6) | 0.0411(2) |
| C3 | 0.7260(2) | −0.0474(2) | 0.28795(12) | 0.0603(4) |
| H3 | 0.723439 | −0.023964 | 0.219328 | 0.072* |
| C4 | 0.6954(2) | −0.2172(2) | 0.31481(12) | 0.0558(4) |
| H4 | 0.672404 | −0.308556 | 0.264748 | 0.067* |
| O4 | 0.81958(13) | 0.44966(10) | 0.87456(6) | 0.0389(2) |
| C5 | 0.6988(2) | −0.25159(19) | 0.41596(12) | 0.0545(4) |
| H5 | 0.676929 | −0.366749 | 0.434197 | 0.065* |
| C6 | 0.7348(2) | −0.11615(17) | 0.49161(11) | 0.0477(3) |
| H6 | 0.737828 | −0.140382 | 0.560164 | 0.057* |
| C7 | 0.78058(17) | 0.19856(16) | 0.63249(9) | 0.0384(3) |
| H7 | 0.725558 | 0.094262 | 0.653467 | 0.046* |
| C8 | 0.78890(18) | 0.30582(15) | 0.80787(9) | 0.0369(3) |
| C9 | 0.82376(17) | 0.33767(15) | 0.70481(9) | 0.0358(3) |
| C10 | 0.91197(18) | 0.50421(15) | 0.68202(9) | 0.0379(3) |
| C11 | 0.81943(17) | 0.62078(14) | 0.83454(8) | 0.0349(3) |
| C12 | 0.9101(2) | 0.74955(17) | 0.92194(10) | 0.0463(3) |
| H12A | 0.926295 | 0.865948 | 0.896313 | 0.056* |
| H12B | 1.036077 | 0.716974 | 0.950905 | 0.056* |
| C13 | 0.7855(3) | 0.75228(19) | 1.00524(11) | 0.0568(4) |
| H13A | 0.784130 | 0.640454 | 1.037259 | 0.068* |
| H13B | 0.840750 | 0.842930 | 1.057625 | 0.068* |
| C14 | 0.5807(3) | 0.78667(19) | 0.96191(13) | 0.0621(5) |
| H14A | 0.580432 | 0.904892 | 0.938166 | 0.074* |
| H14B | 0.503658 | 0.778252 | 1.015807 | 0.074* |
| C15 | 0.4914(2) | 0.65639(19) | 0.87318(12) | 0.0527(4) |
| H15A | 0.364439 | 0.686868 | 0.844388 | 0.063* |
| H15B | 0.477931 | 0.539399 | 0.898304 | 0.063* |
| C16 | 0.61681(19) | 0.65818(16) | 0.78979(10) | 0.0427(3) |
| H16A | 0.562022 | 0.570190 | 0.735753 | 0.051* |
| H16B | 0.620111 | 0.771931 | 0.760001 | 0.051* |
Source of materials
The title compound was available according to our earlier report [4]. An amount of 0.635 g (6 mmol) trimethoxymethane and 0.92 g (5 mmol) 1,5-dioxaspiro[5.5]undecane-2,4-dione were stirred in ethanol (15 mL) for 2.5 h at reflux temperature. Then 0.47 g (5 mmol) of benzenamine was added. The mixture was heated under reflux for another 5 h. The yellow precipitate was filtered off and dried. (M.p. 395.9–396.6 K). The crystals were collected by evaporation for ethanol after two days.
Experimental details
All H atoms were refined with riding coordinates. The H atoms of phenylamino ring were refined with the C—H distance restrained to 0.93 Å, N—H distance restrained to 0.86 Å, (AFIX 43 option of the SHELXL program [2, 3] ). However, the H atoms of CH2-groups in the cyclohexane ring were refined with the C—H distance restrained to 0.97 Å, (AFIX 23 option of the SHELXL program [2, 3] ). The Uiso(H) values of all hydrogen atoms were set to 1.2Ueq.
Discussion
Many spiro compounds possessing high biological activities have been synthesized over the past decades. Recently, spiro compounds containing oxygen are increasingly being studied due to their biological activities such as antitumor [5, 6] , antibiotic [7, 8] , insecticidal [9], anti-breast cancer activities [10], anisochronic properties etc.
Crystallographic studies show that the title compound belongs to triclinic crystal system, with space group P1̅. As can be seen from the crystal structure of the title compound (cf. the figure), the title molecule consists of a 1,5-dioxaspiro[5.5]undecane-2,4-dione group and phenylamino ring in the asymmetric unit, which are connected with the central C(7) atom. The C7—C9 bond length of 1.3833(15) Å has double-bond character. The N1—C7—C9 bond angle is 126.38(11)°, which resembles to an earlier reported structure [4]. The C1—N1—C7—C9 torsion angles of 179.44(11)° documents the planarity of this moiety. The 1,3-dioxane ring is in an envelope conformation. The cyclohexane ring adopts a chair conformation. The molecules are connected via one type of a N—H⋯O hydrogen bond. The N⋯O distance of 2.7581(14) Å indicates the hydrogen bond to be medium strong.
Acknowledgements
We thank the financial support of the National Natural Science Foundation of China (No. 51541205), Foundation of State Key Laboratory of High-efficiency Utilization of Coal and Green (No. 2017-K29) and the Natural Science Foundation of Shandong Province (No. ZR2017BEE038).
References
Rigaku/MSC. CrystalClear. Rigaku/MSC Inc., The Woodlands, TX, USA (2006).Search in Google Scholar
Sheldrick, G.-M.: SHELXT – Integrated space-group and crystal-structure determination. Acta Crystallogr. A71 (2015) 3–8.10.1107/S2053273314026370Search in Google Scholar PubMed PubMed Central
Sheldrick, G.-M.: Crystal structure refinement with SHELXL. Acta Cryst. C71 (2015) 3–8.10.1107/S2053229614024218Search in Google Scholar PubMed PubMed Central
Zeng, W.-L.; Jiang, J.-H.: Syntheses and crystal structures of two novel O, N-containing spiro compounds. Crystals 6 (2016) 134.10.3390/cryst6100134Search in Google Scholar
El-Desoky, S.-I.; Badria, F.-A.; Abozeid, M.-A.; Kandeel, E.-A.; Abdel-Rahman, A.-H.: Synthesis and antitumor studies of novel benzopyrano-1,2,3-selenadiazole and spiro[benzopyrano]-1,3,4-thiadiazoline derivatives. Med. Chem. Res. 22 (2013) 2105–2114.10.1007/s00044-012-0201-0Search in Google Scholar
Gupta, A.-K.; Bharadwaj, M.; Kumar, A.; Mehrotra, R.: Spiro-oxindoles as a promising class of small molecule inhibitors of p53-CMDM2 interaction useful in targeted cancer therapy. Top. Curr. Chem. 375 (2017) 3.10.1007/s41061-016-0089-0Search in Google Scholar PubMed
Arasakumar, T.; Mathusalini, S.; Ata, A.; Shankar, R.; Gopalan, S.; Lakshmi, K.; Sakthivel, P.; Mohan, P.-S.: Synthesis of first ever 4-quinolone-3-carboxylic acid-appended spirooxindole-pyrrolidine derivatives and their biological applications. Mol. Divers. 21 (2017) 37–52.10.1007/s11030-016-9695-6Search in Google Scholar PubMed
Kita, Y.-Y.; Higuchi, K.; Yoshida, Y.; Iio, K.; Kitagaki, S.; Ueda, K.; Akai, S.; Fujioka, H.: Enantioselective total synthesis of a potent antitumor antibiotic, fredericamycin A. J. Am. Chem. Soc. 123 (2001) 3214–3222.10.1021/ja0035699Search in Google Scholar PubMed
Chen, N.-Y.; Ren, L.-P.; Zou, M.-M.; Xu, Z.-P.; Shao, X.-S.; Xu, X.-Y.; Li, Z.: Design, synthesis and insecticidal activity of spiro heterocycle containing neonicotinoid analogs. Chin. Chem. Lett. 25 (2014) 197–200.10.1016/j.cclet.2013.12.004Search in Google Scholar
Berberoglu, I.; Asmafiliz, N.; Kilic, E.; Hokelek, T.; Koc, Y.; Acik, L.; Türk, M.; Soltanzade, H.; Dal, S.: Phosphorus nitrogen compounds: Part 34. Syntheses, structural investigations, cytotoxic and biological activities of spiro-ansa-spiro and spiro-bino-spiro tetrameric phosphazene derivatives. Inorganica Chim. Acta. 446 (2016) 75–86.10.1016/j.ica.2016.02.060Search in Google Scholar
©2018 Jiang Jin-He et al., published by De Gruyter, Berlin/Boston
This work is licensed under the Creative Commons Attribution-NonCommercial-NoDerivatives 4.0 License.
Articles in the same Issue
- Cover and Frontmatter
- Crystal structure of (E)-1-(4-(((E)-2-hydroxy-5-methylbenzylidene)amino)phenyl)ethan-1-one O-methyl oxime, C17H18N2O2
- Crystal structure of 1,3,5,7-tetraazaadamantane-1,3-diium 2,5-dicarboxyterephthalate, C16H18N4O8
- Crystal structure of guanidinium tetrabutyl-ammonium 5-hydroxyisophthalate dihydrate, C25H50N4O7
- Crystal structure of poly[aqua-(μ2-5-methoxyisophthalate-κ3O,O′:O′′)-(μ2-1,4-bis((1H-1,2,4-triazol-1-yl)methyl)benzene-κ2N:N′)nickel(II), NiC21H20N6O6
- Crystal structure of aqua-bis(3,4-dimethoxybenzoato-κ1O)-(2,2′-bipyridine-κ2N,N′)copper(II), C28H26CuN2O9
- Crystal structure of catena-poly[aqua-(μ2-(3,5-di(1H-imidazol-1-yl)-pyridine-κ2N:N′)-(μ2-2-(carboxylatomethyl)benzoato-κ2O:O′)] cadmium(II), C20H17CdN5O5
- The crystal structure of catena-poly[chlorido-(μ2-5-methyl-1,3,4-thiadiazole-2-thiolato-κ2S:N)mercury(II)], C3H3ClHgN2S2
- Crystal structure of (E)-2,4-dichloro-6-(((4-methyl-2-nitrophenyl)imino)methyl)phenol, C14H10Cl2N2O3
- Crystal structure of a new polymorph of bis[μ-1,3-bis(diphenylphosphino)propane-κ2P:P′-disilver(I)] bis(tetrafluoroborate), [Ag(dppp)]2(BF4)2, C54H52Ag2B2F8P4
- The crystal structure of 2-phenyl-4,6-bis(R-tert-butylsulfonamido)-1,3,5-triazine – ethyl acetate (2/1), C38H58N10O6S4
- Crystal structure of 6-amino-8-(2-methoxy-phenyl)-2-methyl-2,3,8,8a-tetrahydro-1H-iso-quinoline-5,7,7-tricarbonitrile monohydrate, C20H21N5O2
- Crystal structure of methyl (1-phenylethyl)carbamate, C10H13NO2
- Crystal structure of dimethanol-(μ2-squarato-κ2O:O′)-tetrakis(tri-p-tolylphosphane-κP)disilver(I) – methanol (1/2), C92H98Ag2O8P4
- Crystal structure of catena-poly[bis(μ2-1,4-bis(triazol-1-ylmethyl)benzene-κ2N:N′)-bis(5-tert-butyl-isophthalate-κO)copper(II)]tetrahydrate, C36H46CuN6O12
- Crystal structure of 4-aminopyridinium 4-acetyl-(pyridin-4-yl)-1H-1,2,3-triazol-5-olate monohydrate, C14H16N6O3
- Crystal structure of 2-(8-bromo-2-phenylimidazo[1,2-α]pyridin-3-yl)-6,7-dimethyl-3-phenylquinoxaline, C29H21BrN4
- Crystal structure of aqua(1-(2-pyridyl)ethanone oxime-κ2N,N′)(1-(2-pyridyl)ethanone oximato-κ2N,N′) nitrate monohydrate, C14H19N5O7Cu
- Crystal structure of poly[tetraaqua-(μ4-oxalato-κ4O,O′:O′′,O′′′)-(μ8-benzene-1,2,4,5-tetracarboxylato-κ8O1:O2:O3:O4:O5:O6:O7:O8)yttrium(III)], C6H5O8Y
- Crystal structure of bis{catena-poly[(μ2-1,2-bis(4-pyridyl)ethane-κ2N:N′)silver(I)]} diaqua-bis(5-(4-carboxyphenyl)pyridine-2-carboxylato-κ2N,O)-(μ2-1,2-bis(4-pyridyl)ethane-κ2N:N′)disilver(I) octahydrate, C31H35Ag2N4O9
- Crystal structure of (E)-N-(2-(benzylamino)-2-oxo-1-(4-oxo-4H-chromen-3-yl)ethyl)-N-(4-bromophenyl)-3-chloroacrylamide hydrate, C27H22BrClN2O5
- Crystal structure of catena-poly[octaaqua-bis(μ2-4,6-dicarboxyisophthalate-κ2O:O′)cadmium(II)disodium(I)] dihydrate, C20H28CdNa2O26
- Crystal structure of acetonitrile{bis(2-benzimidazolylmethyl)amine-κ3N,N′,N′′}-{maleato-κO}zinc(II) perchlorate - acetonitrile (1/1), C24H24ClN7O8Zn
- Crystal structure of 2-amino-4-(3,5-dibromo-4-hydroxyphenyl)-7-methyl-5-oxo-2H,5H-pyrano[4,3-b]pyran-3-carbonitrile, C16H10Br2N2O4
- Crystal structure of catena-poly[diaqua-(μ2-3,5-bis(pyridin-4-ylmethoxy)benzoate-κ2N:O) manganese(II)] tetrahydrate [(3,5-bis-(pyridin-4-ylmethoxy)-benzoic-κ1Oκ1N) manganese(II)] trihydrate, C38H42MnN4O14
- The crystal structure of 2-carboxybenzaldehyde-2-phenylacetohydrazone, C16H14N2O3
- The crystal structure of poly[μ2-aqua-(μ2-2-naphthylamine-1-sulfonato-κ3O,O′:O′′)sodium(I)], C10H10N1O4S1Na
- The crystal structure of phthalazin-1(2H)-one, C8H6N2O1
- Crystal structure of 3,5-bis(trifluoromethyl)benzyl(Z)-N-(adamantan-1-yl)morpholine-4-carbothioimidate, C24H28F6N2OS
- Crystal structure of diazido-bis(μ2-pyridin-2-ylmethanolato-κ2N:O)-bis(pyridin-2-ylmethanolato-κ2N,O)dicobalt(III) – methanol (1/3), C27H35Co2N10O7
- Crystal structure of N-[[(4,6-dimethoxy-2-pyrimidinyl)amino]carbonyl]-3-(2,2,2-trifluoroethoxy)-2-pyridinesulfonamide, C14H14F3N5O6S
- Crystal structure of 1-phenyl-N′-(1-phenyl-5-(thiophen-2-yl)-1H-pyrazole-3-carbonyl)-5-(thiophen-2-yl)-1H-pyrazole-3-carbohydrazide, C28H20N6O2S2
- The crystal structure of poly[bis(4-hydroxybenzoato-κO)-(μ2-4,4′-bipyridine-κ2N:N′)copper(II)] hydrate, C24H20N2O7Cu
- Crystal structure of poly[μ3-5-(4-(2,6-di(pyridine-2-yl)pyridine-4-yl)phenoxy)isophthalato-κ5O:O′,O′′:N,N′,N′′cobalt(II)], C29H17CoN3O5
- Crystal structure of poly[μ3-5-(4-(2,6-di(pyridine-2-yl)pyridine-4-yl)phenoxy)isophthalato-κ6O:O′,O′′:N,N′,N′′)cobalt(II)] C29H17CoN3O5
- Crystal structure of diaqua-(acetato-κ3O,O′:O′′)-(μ3-4,6-di(1H-imidazol-1-yl)isophthalato-κ4O:O′:O′′,O′′′)lanthanum(III), C16H15LaN4O8
- Synthesis and crystal structure of 6-carboxy-1-(3,5-dicarboxyphenyl)-1H-benzo[d]imidazol-3-ium-5-carboxylate dihydrate, C18H12N2O8
- Crystal structure of (E)-2-hydroxybenzaldehyde O-(2-(((E)-(4-(dimethylamino)benzylidene)amino)oxy)ethyl)oxime, C18H21N3O3
- Crystal structure of bis{2-((E)-((4-((E)-1-(methoxyimino)ethyl)phenyl)imino)methyl)phenolato-κ2N,O}zinc(II), C32H30N4O4Zn
- Crystal structure of bis(9-aminoacridin-10-ium) tetrachloridocuprate(II) monohydrate, C26H24Cl4CuN4O
- The crystal structure of 4-tert-butyl-N′-[(E)-(4-fluoro-3-methoxyphenyl)methylidene]benzohydrazide, C19H21F1N2O2
- Crystal structure of (E)-3-(3-(5-methyl-1-4-tolyl-1H-1,2,3-triazol-4-yl)-1-phenyl-1H-pyrazol-4-yl)-1-(5-methyl-1-phenyl-1H-1,2,3-triazol-4-yl)prop-2-en-1-one, C31H26N8O
- Crystal structure of (E)-N′-(4-methoxybenzylidene)-5-methyl-1-(4-tolyl)-1H-1,2,3-triazole-4-carbohydrazide, C19H19N5O2
- Crystal structure and molecular packing of O-ethyl (2-chlorophenyl)carbamothioate, C9H10ClNOS
- Crystal structure of pyrene-2-carbaldehyde, C17H10O
- Crystal structure of (E)-2,4-diiodo-6-(4-methyl-2-nitrostyryl)phenol, C14H10I2N2O3
- Crystal structure of (E)-2,4-dichloro-6-(((4-methoxy-2-nitrophenyl)imino)methyl)phenol, C14H10Cl2N2O4
- Crystal structure of (E)-2-bromo-4-chloro-6-(4-methoxy-2-nitrostyryl)phenol, C14H10BrClN2O4
- Crystal structure of (E)-4,6-diiodo-2-(((4-methoxy-2-nitrophenyl)imino)methyl)-3-methylphenol, C14H10I2N2O4
- The crystal structure of 7-bromo-1-cyclopropyl-8-methyl-4-oxo-1,4-dihydroquinoline-3-carboxylic acid an intermediate of the ozenoxacin synthesis, C14H12BrNO3
- Crystal structure of bis(N-(1-(pyrazin-2-yl)ethylidene)nicotinohydrazonato-κ3N,N′,O)copper(II) C24H20N10O2Cu
- Crystal structure of diaqua-dinitrato-k2O,O′((Z)-N-((E)-1-(pyrazin-2-yl)ethylidene)nicotinohydrazonato-k3N,N′,O)europium(II), C12H14N7O9Eu
- Crystal structure of ethyl 4-amino-5-(5-methyl-1-(4-tolyl)-1H-1,2,3-triazole-4-carbonyl)-2-(phenylamino)thiophene-3-carboxylate, C24H23N5O3S
- The crystal structure of acridin-10-ium2-carboxybenzoate, C21H15NO4
- The crystal structure of 3-((phenylamino)methylene)-1,5-dioxaspiro[5.5]undecane-2,4-dione, C16H17N1O4
- Crystal structure of 12-chloro-5,6,7,12-tetrahydrodibenzo[c,f][1,5]oxastibocine, C14H12ClOSb
- Crystal structure of 4-((1,3-dioxoisoindolin-2-yl)methyl)phenethyl 4-methylbenzenesulfonate, C24H21NO5S
- Crystal structure of 3-methyl-2,3-dihydro-2-thioxoquinazolin-4(1H)-one, C9H8N2OS
- Crystal structure of tert-butyl (2-(4-oxo-2-thioxo-1,4-dihydroquinazolin-3(2H)-yl)ethyl)carbamate, C15H19N3O3S
- Crystal structure of ethyl 5-formyl-3,4-dimethylpyrrole-2-carboxylate–1-(propan-2-ylidene)thiosemicarbazide (1/1), C14H22N4O3S
- Crystal structure of bis-(N′-(5-ethoxycarbonyl-3,4-dimethyl-pyrrol-2-yl-methylidene)-3-hydroxybenzohydrazide-κ2O,N)copper(II) – dimethylformamide (1/2), C40H50N8O10Cu
- Crystal structure of bis(acetato-κO)bis{2-((1H-tetrazol-1-yl)methyl)-1H-benzo[d]imidazole-κN}zinc(II), C22H22N12O4Zn
- Crystal structure of 4-phenyl-3-((4-phenyl-1H-1,2,3-triazol-1-yl)methyl)-1H-1,2,4-triazole-5(4H)-thione, C17H14N6S
- Crystal structure of (Z)-N-(4-nitrophenyl)-3-phenyl-3-(phenylamino)acrylamide, C21H17N3O3
- Crystal structure of 1,1′-(pentane-1,5-diyl)bis(3-methyl-1H-imidazol-3-ium)bis(hexafluorophosphate), C13H22F12N4P2
- Synthesis and crystal structure of bis(furan-2-ylmethanaminium)-catena-[bis(μ2-phthalato-κ2O:O′)cobalt(II)], C26H24CoN2O10
- Crystal structure of methyl (R)-4-(o-chlorobenzoyl)-1-thia-4-azaspiro[4.5]decane-3-carboxylate, C17H20ClNO3S
- Crystal structure of 2-[[4-[2-[4-(4-methoxyphenyl)-1-piperazinyl]ethyl]phenyl] methyl]-1H-isoindole-1,3(2H)-dione, C28H29N3O3
- The crystal structure of benzenaminium 5,7-dihydroxy-4-oxo-2-phenyl-4H-chromene-8-sulfonate hydrate, C21H19NO8S
- Crystal structure of semiconducting potassium poly[(μ2-tetraselenido-κ2Se1:Se4)(μ2-pentaselenido-κ1Se1:Se1)argentate(I)], K3AgSe9
- Crystal structure of 2-isopropyl-8-methyl-phenanthrene-3,4-dione, C18H16O2
- Crystal structure of 2-isopropyl-8,8-dimethyl-5,6,7,8-tetrahydrophenanthrene-3,4-dione, C19H22O2
- Crystal structure of (E)-2-(1-((2-aminophenyl)imino)ethyl)-4-bromophenol, C14H13BrN2O
- Crystal structure of 1,1-di(4-cyanophenyl)-2,2-diphenylethene, C28H18N2
- Crystal structure of bis(hydroxylamido-κ2O,N)-oxido(1H-pyrazole-3-carboxylato-κ2O,N)vanadium(V), C4H7N4O5V
- The crystal structure of In1.2B3O5.6(OH)1.4
- The crystal structure of chlorido(2-(1H-pyrazol-3-yl)phenolato-κ2N,O)(2-(1H-pyrazol-3-yl)phenol-κN)copper(II), C18H15ClCuN4O2
- Crystal structure of 1-heptylpyridazin-1-ium iodide, C11H19N2I
- The crystal structure of N-butylpyridinium bis(μ2-dichlorido)-tetrachloridodicopper(II), C18H28N2Cu2Cl6
- Crystal structure of 6-hydroxy-5-((2-hydroxy-6-oxocyclohex-1-en-1-yl)(4-methoxyphenyl)methyl)-1,3-dimethylpyrimidine-2,4(1H,3H)-dione, C20H22N2O6
- Crystal structure of bis(acetonitrile)-diaqua-dichloridoiron(II), C4H10Cl2N2O2Fe
Articles in the same Issue
- Cover and Frontmatter
- Crystal structure of (E)-1-(4-(((E)-2-hydroxy-5-methylbenzylidene)amino)phenyl)ethan-1-one O-methyl oxime, C17H18N2O2
- Crystal structure of 1,3,5,7-tetraazaadamantane-1,3-diium 2,5-dicarboxyterephthalate, C16H18N4O8
- Crystal structure of guanidinium tetrabutyl-ammonium 5-hydroxyisophthalate dihydrate, C25H50N4O7
- Crystal structure of poly[aqua-(μ2-5-methoxyisophthalate-κ3O,O′:O′′)-(μ2-1,4-bis((1H-1,2,4-triazol-1-yl)methyl)benzene-κ2N:N′)nickel(II), NiC21H20N6O6
- Crystal structure of aqua-bis(3,4-dimethoxybenzoato-κ1O)-(2,2′-bipyridine-κ2N,N′)copper(II), C28H26CuN2O9
- Crystal structure of catena-poly[aqua-(μ2-(3,5-di(1H-imidazol-1-yl)-pyridine-κ2N:N′)-(μ2-2-(carboxylatomethyl)benzoato-κ2O:O′)] cadmium(II), C20H17CdN5O5
- The crystal structure of catena-poly[chlorido-(μ2-5-methyl-1,3,4-thiadiazole-2-thiolato-κ2S:N)mercury(II)], C3H3ClHgN2S2
- Crystal structure of (E)-2,4-dichloro-6-(((4-methyl-2-nitrophenyl)imino)methyl)phenol, C14H10Cl2N2O3
- Crystal structure of a new polymorph of bis[μ-1,3-bis(diphenylphosphino)propane-κ2P:P′-disilver(I)] bis(tetrafluoroborate), [Ag(dppp)]2(BF4)2, C54H52Ag2B2F8P4
- The crystal structure of 2-phenyl-4,6-bis(R-tert-butylsulfonamido)-1,3,5-triazine – ethyl acetate (2/1), C38H58N10O6S4
- Crystal structure of 6-amino-8-(2-methoxy-phenyl)-2-methyl-2,3,8,8a-tetrahydro-1H-iso-quinoline-5,7,7-tricarbonitrile monohydrate, C20H21N5O2
- Crystal structure of methyl (1-phenylethyl)carbamate, C10H13NO2
- Crystal structure of dimethanol-(μ2-squarato-κ2O:O′)-tetrakis(tri-p-tolylphosphane-κP)disilver(I) – methanol (1/2), C92H98Ag2O8P4
- Crystal structure of catena-poly[bis(μ2-1,4-bis(triazol-1-ylmethyl)benzene-κ2N:N′)-bis(5-tert-butyl-isophthalate-κO)copper(II)]tetrahydrate, C36H46CuN6O12
- Crystal structure of 4-aminopyridinium 4-acetyl-(pyridin-4-yl)-1H-1,2,3-triazol-5-olate monohydrate, C14H16N6O3
- Crystal structure of 2-(8-bromo-2-phenylimidazo[1,2-α]pyridin-3-yl)-6,7-dimethyl-3-phenylquinoxaline, C29H21BrN4
- Crystal structure of aqua(1-(2-pyridyl)ethanone oxime-κ2N,N′)(1-(2-pyridyl)ethanone oximato-κ2N,N′) nitrate monohydrate, C14H19N5O7Cu
- Crystal structure of poly[tetraaqua-(μ4-oxalato-κ4O,O′:O′′,O′′′)-(μ8-benzene-1,2,4,5-tetracarboxylato-κ8O1:O2:O3:O4:O5:O6:O7:O8)yttrium(III)], C6H5O8Y
- Crystal structure of bis{catena-poly[(μ2-1,2-bis(4-pyridyl)ethane-κ2N:N′)silver(I)]} diaqua-bis(5-(4-carboxyphenyl)pyridine-2-carboxylato-κ2N,O)-(μ2-1,2-bis(4-pyridyl)ethane-κ2N:N′)disilver(I) octahydrate, C31H35Ag2N4O9
- Crystal structure of (E)-N-(2-(benzylamino)-2-oxo-1-(4-oxo-4H-chromen-3-yl)ethyl)-N-(4-bromophenyl)-3-chloroacrylamide hydrate, C27H22BrClN2O5
- Crystal structure of catena-poly[octaaqua-bis(μ2-4,6-dicarboxyisophthalate-κ2O:O′)cadmium(II)disodium(I)] dihydrate, C20H28CdNa2O26
- Crystal structure of acetonitrile{bis(2-benzimidazolylmethyl)amine-κ3N,N′,N′′}-{maleato-κO}zinc(II) perchlorate - acetonitrile (1/1), C24H24ClN7O8Zn
- Crystal structure of 2-amino-4-(3,5-dibromo-4-hydroxyphenyl)-7-methyl-5-oxo-2H,5H-pyrano[4,3-b]pyran-3-carbonitrile, C16H10Br2N2O4
- Crystal structure of catena-poly[diaqua-(μ2-3,5-bis(pyridin-4-ylmethoxy)benzoate-κ2N:O) manganese(II)] tetrahydrate [(3,5-bis-(pyridin-4-ylmethoxy)-benzoic-κ1Oκ1N) manganese(II)] trihydrate, C38H42MnN4O14
- The crystal structure of 2-carboxybenzaldehyde-2-phenylacetohydrazone, C16H14N2O3
- The crystal structure of poly[μ2-aqua-(μ2-2-naphthylamine-1-sulfonato-κ3O,O′:O′′)sodium(I)], C10H10N1O4S1Na
- The crystal structure of phthalazin-1(2H)-one, C8H6N2O1
- Crystal structure of 3,5-bis(trifluoromethyl)benzyl(Z)-N-(adamantan-1-yl)morpholine-4-carbothioimidate, C24H28F6N2OS
- Crystal structure of diazido-bis(μ2-pyridin-2-ylmethanolato-κ2N:O)-bis(pyridin-2-ylmethanolato-κ2N,O)dicobalt(III) – methanol (1/3), C27H35Co2N10O7
- Crystal structure of N-[[(4,6-dimethoxy-2-pyrimidinyl)amino]carbonyl]-3-(2,2,2-trifluoroethoxy)-2-pyridinesulfonamide, C14H14F3N5O6S
- Crystal structure of 1-phenyl-N′-(1-phenyl-5-(thiophen-2-yl)-1H-pyrazole-3-carbonyl)-5-(thiophen-2-yl)-1H-pyrazole-3-carbohydrazide, C28H20N6O2S2
- The crystal structure of poly[bis(4-hydroxybenzoato-κO)-(μ2-4,4′-bipyridine-κ2N:N′)copper(II)] hydrate, C24H20N2O7Cu
- Crystal structure of poly[μ3-5-(4-(2,6-di(pyridine-2-yl)pyridine-4-yl)phenoxy)isophthalato-κ5O:O′,O′′:N,N′,N′′cobalt(II)], C29H17CoN3O5
- Crystal structure of poly[μ3-5-(4-(2,6-di(pyridine-2-yl)pyridine-4-yl)phenoxy)isophthalato-κ6O:O′,O′′:N,N′,N′′)cobalt(II)] C29H17CoN3O5
- Crystal structure of diaqua-(acetato-κ3O,O′:O′′)-(μ3-4,6-di(1H-imidazol-1-yl)isophthalato-κ4O:O′:O′′,O′′′)lanthanum(III), C16H15LaN4O8
- Synthesis and crystal structure of 6-carboxy-1-(3,5-dicarboxyphenyl)-1H-benzo[d]imidazol-3-ium-5-carboxylate dihydrate, C18H12N2O8
- Crystal structure of (E)-2-hydroxybenzaldehyde O-(2-(((E)-(4-(dimethylamino)benzylidene)amino)oxy)ethyl)oxime, C18H21N3O3
- Crystal structure of bis{2-((E)-((4-((E)-1-(methoxyimino)ethyl)phenyl)imino)methyl)phenolato-κ2N,O}zinc(II), C32H30N4O4Zn
- Crystal structure of bis(9-aminoacridin-10-ium) tetrachloridocuprate(II) monohydrate, C26H24Cl4CuN4O
- The crystal structure of 4-tert-butyl-N′-[(E)-(4-fluoro-3-methoxyphenyl)methylidene]benzohydrazide, C19H21F1N2O2
- Crystal structure of (E)-3-(3-(5-methyl-1-4-tolyl-1H-1,2,3-triazol-4-yl)-1-phenyl-1H-pyrazol-4-yl)-1-(5-methyl-1-phenyl-1H-1,2,3-triazol-4-yl)prop-2-en-1-one, C31H26N8O
- Crystal structure of (E)-N′-(4-methoxybenzylidene)-5-methyl-1-(4-tolyl)-1H-1,2,3-triazole-4-carbohydrazide, C19H19N5O2
- Crystal structure and molecular packing of O-ethyl (2-chlorophenyl)carbamothioate, C9H10ClNOS
- Crystal structure of pyrene-2-carbaldehyde, C17H10O
- Crystal structure of (E)-2,4-diiodo-6-(4-methyl-2-nitrostyryl)phenol, C14H10I2N2O3
- Crystal structure of (E)-2,4-dichloro-6-(((4-methoxy-2-nitrophenyl)imino)methyl)phenol, C14H10Cl2N2O4
- Crystal structure of (E)-2-bromo-4-chloro-6-(4-methoxy-2-nitrostyryl)phenol, C14H10BrClN2O4
- Crystal structure of (E)-4,6-diiodo-2-(((4-methoxy-2-nitrophenyl)imino)methyl)-3-methylphenol, C14H10I2N2O4
- The crystal structure of 7-bromo-1-cyclopropyl-8-methyl-4-oxo-1,4-dihydroquinoline-3-carboxylic acid an intermediate of the ozenoxacin synthesis, C14H12BrNO3
- Crystal structure of bis(N-(1-(pyrazin-2-yl)ethylidene)nicotinohydrazonato-κ3N,N′,O)copper(II) C24H20N10O2Cu
- Crystal structure of diaqua-dinitrato-k2O,O′((Z)-N-((E)-1-(pyrazin-2-yl)ethylidene)nicotinohydrazonato-k3N,N′,O)europium(II), C12H14N7O9Eu
- Crystal structure of ethyl 4-amino-5-(5-methyl-1-(4-tolyl)-1H-1,2,3-triazole-4-carbonyl)-2-(phenylamino)thiophene-3-carboxylate, C24H23N5O3S
- The crystal structure of acridin-10-ium2-carboxybenzoate, C21H15NO4
- The crystal structure of 3-((phenylamino)methylene)-1,5-dioxaspiro[5.5]undecane-2,4-dione, C16H17N1O4
- Crystal structure of 12-chloro-5,6,7,12-tetrahydrodibenzo[c,f][1,5]oxastibocine, C14H12ClOSb
- Crystal structure of 4-((1,3-dioxoisoindolin-2-yl)methyl)phenethyl 4-methylbenzenesulfonate, C24H21NO5S
- Crystal structure of 3-methyl-2,3-dihydro-2-thioxoquinazolin-4(1H)-one, C9H8N2OS
- Crystal structure of tert-butyl (2-(4-oxo-2-thioxo-1,4-dihydroquinazolin-3(2H)-yl)ethyl)carbamate, C15H19N3O3S
- Crystal structure of ethyl 5-formyl-3,4-dimethylpyrrole-2-carboxylate–1-(propan-2-ylidene)thiosemicarbazide (1/1), C14H22N4O3S
- Crystal structure of bis-(N′-(5-ethoxycarbonyl-3,4-dimethyl-pyrrol-2-yl-methylidene)-3-hydroxybenzohydrazide-κ2O,N)copper(II) – dimethylformamide (1/2), C40H50N8O10Cu
- Crystal structure of bis(acetato-κO)bis{2-((1H-tetrazol-1-yl)methyl)-1H-benzo[d]imidazole-κN}zinc(II), C22H22N12O4Zn
- Crystal structure of 4-phenyl-3-((4-phenyl-1H-1,2,3-triazol-1-yl)methyl)-1H-1,2,4-triazole-5(4H)-thione, C17H14N6S
- Crystal structure of (Z)-N-(4-nitrophenyl)-3-phenyl-3-(phenylamino)acrylamide, C21H17N3O3
- Crystal structure of 1,1′-(pentane-1,5-diyl)bis(3-methyl-1H-imidazol-3-ium)bis(hexafluorophosphate), C13H22F12N4P2
- Synthesis and crystal structure of bis(furan-2-ylmethanaminium)-catena-[bis(μ2-phthalato-κ2O:O′)cobalt(II)], C26H24CoN2O10
- Crystal structure of methyl (R)-4-(o-chlorobenzoyl)-1-thia-4-azaspiro[4.5]decane-3-carboxylate, C17H20ClNO3S
- Crystal structure of 2-[[4-[2-[4-(4-methoxyphenyl)-1-piperazinyl]ethyl]phenyl] methyl]-1H-isoindole-1,3(2H)-dione, C28H29N3O3
- The crystal structure of benzenaminium 5,7-dihydroxy-4-oxo-2-phenyl-4H-chromene-8-sulfonate hydrate, C21H19NO8S
- Crystal structure of semiconducting potassium poly[(μ2-tetraselenido-κ2Se1:Se4)(μ2-pentaselenido-κ1Se1:Se1)argentate(I)], K3AgSe9
- Crystal structure of 2-isopropyl-8-methyl-phenanthrene-3,4-dione, C18H16O2
- Crystal structure of 2-isopropyl-8,8-dimethyl-5,6,7,8-tetrahydrophenanthrene-3,4-dione, C19H22O2
- Crystal structure of (E)-2-(1-((2-aminophenyl)imino)ethyl)-4-bromophenol, C14H13BrN2O
- Crystal structure of 1,1-di(4-cyanophenyl)-2,2-diphenylethene, C28H18N2
- Crystal structure of bis(hydroxylamido-κ2O,N)-oxido(1H-pyrazole-3-carboxylato-κ2O,N)vanadium(V), C4H7N4O5V
- The crystal structure of In1.2B3O5.6(OH)1.4
- The crystal structure of chlorido(2-(1H-pyrazol-3-yl)phenolato-κ2N,O)(2-(1H-pyrazol-3-yl)phenol-κN)copper(II), C18H15ClCuN4O2
- Crystal structure of 1-heptylpyridazin-1-ium iodide, C11H19N2I
- The crystal structure of N-butylpyridinium bis(μ2-dichlorido)-tetrachloridodicopper(II), C18H28N2Cu2Cl6
- Crystal structure of 6-hydroxy-5-((2-hydroxy-6-oxocyclohex-1-en-1-yl)(4-methoxyphenyl)methyl)-1,3-dimethylpyrimidine-2,4(1H,3H)-dione, C20H22N2O6
- Crystal structure of bis(acetonitrile)-diaqua-dichloridoiron(II), C4H10Cl2N2O2Fe