Abstract
C29H21BrN4, orthorhombic, Pca21 (no. 29), a = 15.6577(5) Å, b = 9.6445(3) Å, c = 31.1869(10) Å, V = 4709.6(2) Å3, Z = 8, Rgt(F) = 0.0435, wRref(F2) = 0.0779, T = 293(2) K.

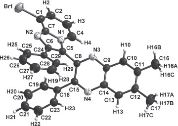
One of two crystallographically independent molecules of the title crystal structure is shown in the figure. Tables 1 and 2 contain details on crystal structure and measurement conditions and a list of the atoms including atomic coordinates and displacement parameters.
Data collection and handling.
| Crystal: | Yellow block |
| Size: | 0.35 × 0.30 × 0.25 mm |
| Wavelength: | Mo Kα radiation (0.71073 Å) |
| μ: | 1.77 mm−1 |
| Diffractometer, scan mode: | Super-Nova, ω-scans |
| θmax, completeness: | 27.5°, >97% |
| N(hkl)measured, N(hkl)unique, Rint: | 25351, 9874, 0.031 |
| Criterion for Iobs, N(hkl)gt: | Iobs > 2 σ(Iobs), 7081 |
| N(param)refined: | 618 |
| Programs: | CrysAlisPRO [1], OLEX2 [2], SHELX [3] |
Fractional atomic coordinates and isotropic or equivalent isotropic displacement parameters (Å2).
| Atom | x | y | z | Uiso*/Ueq |
|---|---|---|---|---|
| Br1 | 0.94258(3) | 0.07417(5) | 0.193128(14) | 0.06155(13) |
| N1 | 0.7050(2) | 0.0126(3) | 0.24655(11) | 0.0377(8) |
| N2 | 0.78915(19) | 0.2021(3) | 0.24963(9) | 0.0389(7) |
| N3 | 0.5589(2) | −0.0291(3) | 0.30477(11) | 0.0405(8) |
| N4 | 0.42874(19) | 0.1698(3) | 0.29460(10) | 0.0393(8) |
| C1 | 0.8395(2) | −0.0082(5) | 0.21050(13) | 0.0435(11) |
| C2 | 0.8214(2) | −0.1416(4) | 0.20045(13) | 0.0470(11) |
| H2 | 0.8595 | −0.1949 | 0.1846 | 0.056* |
| C3 | 0.7426(3) | −0.1981(4) | 0.21468(13) | 0.0483(10) |
| H3 | 0.7303 | −0.2903 | 0.2085 | 0.058* |
| C4 | 0.6851(3) | −0.1225(4) | 0.23681(13) | 0.0497(11) |
| H4 | 0.6333 | −0.1609 | 0.2453 | 0.060* |
| C5 | 0.6593(2) | 0.1146(4) | 0.26892(13) | 0.0379(9) |
| C6 | 0.7144(2) | 0.2269(4) | 0.27134(11) | 0.0350(8) |
| C7 | 0.7822(2) | 0.0742(4) | 0.23511(11) | 0.0373(9) |
| C8 | 0.5726(2) | 0.0893(4) | 0.28389(12) | 0.0355(9) |
| C9 | 0.4792(2) | −0.0507(4) | 0.32094(12) | 0.0389(9) |
| C10 | 0.4620(3) | −0.1733(4) | 0.34383(14) | 0.0493(11) |
| H10 | 0.5032 | −0.2427 | 0.3450 | 0.059* |
| C11 | 0.3855(3) | −0.1920(4) | 0.36448(13) | 0.0475(10) |
| C12 | 0.3228(3) | −0.0869(5) | 0.36254(14) | 0.0447(11) |
| C13 | 0.3377(2) | 0.0292(5) | 0.33936(14) | 0.0448(10) |
| H13 | 0.2952 | 0.0964 | 0.3374 | 0.054* |
| C14 | 0.4165(3) | 0.0510(4) | 0.31791(13) | 0.0374(10) |
| C15 | 0.5040(2) | 0.1865(4) | 0.27644(11) | 0.0360(9) |
| C16 | 0.3707(3) | −0.3244(4) | 0.38919(15) | 0.0706(15) |
| H16A | 0.3538 | −0.3025 | 0.4180 | 0.106* |
| H16B | 0.4224 | −0.3779 | 0.3897 | 0.106* |
| H16C | 0.3264 | −0.3772 | 0.3755 | 0.106* |
| C17 | 0.2392(3) | −0.1015(5) | 0.38657(15) | 0.0643(13) |
| H17A | 0.2506 | −0.1154 | 0.4165 | 0.097* |
| H17B | 0.2081 | −0.1794 | 0.3755 | 0.097* |
| H17C | 0.2059 | −0.0187 | 0.3829 | 0.097* |
| C18 | 0.5133(2) | 0.3123(4) | 0.24912(12) | 0.0402(9) |
| C19 | 0.5567(2) | 0.3095(4) | 0.21050(12) | 0.0496(10) |
| H19 | 0.5819 | 0.2275 | 0.2012 | 0.060* |
| C20 | 0.5629(3) | 0.4280(4) | 0.18564(15) | 0.0613(11) |
| H20 | 0.5929 | 0.4252 | 0.1599 | 0.074* |
| C21 | 0.5258(3) | 0.5481(5) | 0.19842(19) | 0.0675(13) |
| H21 | 0.5305 | 0.6272 | 0.1815 | 0.081* |
| C22 | 0.4805(3) | 0.5529(5) | 0.23693(18) | 0.0686(14) |
| H22 | 0.4545 | 0.6347 | 0.2458 | 0.082* |
| C23 | 0.4749(3) | 0.4352(4) | 0.26146(15) | 0.0524(11) |
| H23 | 0.4444 | 0.4381 | 0.2871 | 0.063* |
| C24 | 0.7030(2) | 0.3590(4) | 0.29456(13) | 0.0372(9) |
| C25 | 0.7548(3) | 0.4712(4) | 0.28450(14) | 0.0509(11) |
| H25 | 0.7942 | 0.4634 | 0.2623 | 0.061* |
| C26 | 0.7486(3) | 0.5940(4) | 0.30687(16) | 0.0574(12) |
| H26 | 0.7857 | 0.6666 | 0.3007 | 0.069* |
| C27 | 0.6880(3) | 0.6100(4) | 0.33819(16) | 0.0606(13) |
| H27 | 0.6825 | 0.6943 | 0.3524 | 0.073* |
| C28 | 0.6352(3) | 0.5003(5) | 0.34869(14) | 0.0530(12) |
| H28 | 0.5945 | 0.5099 | 0.3702 | 0.064* |
| C29 | 0.6434(3) | 0.3761(5) | 0.32683(13) | 0.0433(11) |
| H29 | 0.6079 | 0.3024 | 0.3340 | 0.052* |
| Br2 | 0.32555(3) | 0.06796(5) | 0.615630(14) | 0.06446(14) |
| N5 | 0.56557(18) | 0.0109(3) | 0.56477(12) | 0.0384(9) |
| N6 | 0.48072(19) | 0.1995(3) | 0.56079(10) | 0.0411(8) |
| N7 | 0.7113(2) | −0.0274(3) | 0.50617(11) | 0.0423(8) |
| N8 | 0.84127(19) | 0.1704(3) | 0.51734(10) | 0.0389(8) |
| C30 | 0.4299(2) | −0.0128(5) | 0.59881(13) | 0.0404(10) |
| C31 | 0.4497(2) | −0.1440(5) | 0.60887(13) | 0.0479(11) |
| H31 | 0.4103 | −0.1988 | 0.6234 | 0.058* |
| C32 | 0.5292(3) | −0.1988(5) | 0.59764(13) | 0.0533(11) |
| H32 | 0.5428 | −0.2894 | 0.6053 | 0.064* |
| C33 | 0.5866(2) | −0.1219(4) | 0.57583(13) | 0.0440(9) |
| H33 | 0.6395 | −0.1586 | 0.5684 | 0.053* |
| C34 | 0.6104(2) | 0.1125(4) | 0.54250(12) | 0.0365(9) |
| C35 | 0.5562(2) | 0.2240(4) | 0.53963(12) | 0.0381(9) |
| C36 | 0.4872(2) | 0.0708(4) | 0.57549(12) | 0.0375(9) |
| C37 | 0.6989(2) | 0.0874(4) | 0.52765(13) | 0.0369(9) |
| C38 | 0.7914(3) | −0.0499(4) | 0.48990(14) | 0.0417(10) |
| C39 | 0.8094(3) | −0.1704(4) | 0.46677(14) | 0.0480(11) |
| H39 | 0.7682 | −0.2398 | 0.4653 | 0.058* |
| C40 | 0.8858(3) | −0.1896(4) | 0.44625(13) | 0.0466(10) |
| C41 | 0.9490(2) | −0.0827(5) | 0.44884(13) | 0.0441(11) |
| C42 | 0.9336(2) | 0.0340(5) | 0.47249(14) | 0.0422(10) |
| H42 | 0.9757 | 0.1016 | 0.4747 | 0.051* |
| C43 | 0.8547(2) | 0.0539(4) | 0.49363(12) | 0.0362(9) |
| C44 | 0.7659(2) | 0.1851(4) | 0.53599(12) | 0.0392(9) |
| C45 | 0.9024(3) | −0.3200(5) | 0.42117(16) | 0.0705(14) |
| H45A | 0.9512 | −0.3668 | 0.4329 | 0.106* |
| H45B | 0.9131 | −0.2969 | 0.3917 | 0.106* |
| H45C | 0.8534 | −0.3796 | 0.4229 | 0.106* |
| C46 | 1.0322(3) | −0.0975(5) | 0.42518(14) | 0.0594(13) |
| H46A | 1.0233 | −0.0793 | 0.3952 | 0.089* |
| H46B | 1.0536 | −0.1901 | 0.4287 | 0.089* |
| H46C | 1.0729 | −0.0326 | 0.4364 | 0.089* |
| C47 | 0.7561(2) | 0.3063(4) | 0.56494(13) | 0.0418(10) |
| C48 | 0.7147(2) | 0.2958(5) | 0.60423(13) | 0.0548(11) |
| H48 | 0.6922 | 0.2112 | 0.6130 | 0.066* |
| C49 | 0.7070(3) | 0.4111(6) | 0.63021(16) | 0.0767(16) |
| H49 | 0.6789 | 0.4047 | 0.6564 | 0.092* |
| C50 | 0.7415(3) | 0.5367(6) | 0.6170(2) | 0.0840(16) |
| H50 | 0.7357 | 0.6146 | 0.6343 | 0.101* |
| C51 | 0.7834(3) | 0.5468(5) | 0.5790(2) | 0.0761(15) |
| H51 | 0.8067 | 0.6312 | 0.5705 | 0.091* |
| C52 | 0.7914(3) | 0.4323(4) | 0.55321(15) | 0.0565(11) |
| H52 | 0.8210 | 0.4394 | 0.5275 | 0.068* |
| C53 | 0.5676(2) | 0.3579(4) | 0.51739(12) | 0.0387(9) |
| C54 | 0.5137(3) | 0.4682(4) | 0.52644(14) | 0.0521(11) |
| H54 | 0.4714 | 0.4573 | 0.5471 | 0.062* |
| C55 | 0.5212(3) | 0.5936(5) | 0.50559(18) | 0.0666(14) |
| H55 | 0.4851 | 0.6668 | 0.5126 | 0.080* |
| C56 | 0.5827(4) | 0.6100(5) | 0.47403(17) | 0.0646(14) |
| H56 | 0.5876 | 0.6937 | 0.4595 | 0.077* |
| C57 | 0.6362(3) | 0.5019(5) | 0.46447(15) | 0.0553(12) |
| H57 | 0.6786 | 0.5136 | 0.4439 | 0.066* |
| C58 | 0.6280(3) | 0.3766(5) | 0.48494(13) | 0.0483(11) |
| H58 | 0.6632 | 0.3032 | 0.4771 | 0.058* |
Source of material
The solution of 2-oxo-2-phenylacetaldehyde (134 mg, 1 mmol) and tert-butyl-(2-amino-4,5-dimethylphenyl)carbamate (236 mg, 1 mmol) in isopropyl alcohol was added in a 20 mL microwave vial, then the 8-bromo-2-phenylimidazo[1,2-α]pyridine (273 mg, 1 mmol) was added. The reaction solution was stirred at 60 °C for 3 h, then evaporated. The residue was dissolved in 5% trifluoroacetic acid (TFA)/dichloroethane (DCE), which was sealed and heated under microwave irradiation at 60 °C for 10 min. The reaction mixture was washed with water and brine, and extracted with ethyl acetate. The organic solution was dried and concentrated, and purified by column chromatography over silica gel eluting with a gradient of ethyl acetate (EA)/hexane (Hex) (0–20%) to afford the yellow solid. Yield, 303 mg, 60%. The title compound (200 mg, 0.39 mmol) was dissolved in 20% EA/Hex, and the solvent slowly evaporated at room temperature. After 1 week, yellow crystals were obtained.
Experimental details
All of the hydrogen atoms were placed in the calculated positions and all the non-hydrogen atoms were refined anisotropically.
Discussion
Imidazo[1,2-α]pyridine and quinoxaline are important nitrogen-containing aromatic heterocyclic compounds, which posess a p-conjugated system, as well as desirable electronic and charge-transport properties [4]. These characteristics result in the extensive potential application in chemistry [5], materials chemistry and medicinal chemistry [6].
The asymmetric unit of the title compound contains two molecules. The bond lengths and angles in both crystallographically independent molecules are in the normal ranges. In conclusion, we have developed a facile microwave-assisted process for the synthesis of an imidazo[1,2-α]pyridine-quinoxaline compound using a one-pot procedure. This facile procedure can be readily used to synthesize a diverse range of compounds for high throughput screening in medicinal chemistry.
Acknowledgements
We acknowledge support for the publication fee by the Key Project of Chongqing Municipal Education Commission (KJ1501124, KJ1501128, and KJ1401114), Natural Science Foundation Project of Yongchuan CSTC (Ycstc, 2016nc5001) and Chongqing University of Arts and Sciences (Z2015CH03).
References
Agilent: CrysAlis PRO, version 1.171.37.35, Agilent Technologies UK Ldt, Yarnton, England (2014).Search in Google Scholar
Dolomanov, O. V.; Bourhis, L. J.; Gildea, R. J.; Howard, J. A. K.; Puschmann, H.: OLEX2: a complete structure solution, refinement and analysis program. J. Appl. Cryst. 42 (2009) 339–341.10.1107/S0021889808042726Search in Google Scholar
Sheldrick, G. M.: A short history of SHELX. Acta Crystallogr. A64 (2008) 112–122.10.1107/S0108767307043930Search in Google Scholar PubMed
Meng, J. P.; Xu, Q.: Crystal structure of 3,6-di(1H-imidazol-1-yl)-9H-carbazole, C18H13N5. Z. Kristallogr. NCS 231 (2016) 561–563.10.1515/ncrs-2015-0191Search in Google Scholar
Li, Y.; Meng, J. P.; Lei, J.; Chen, Z. Z.; Tang, D. Y.; Zhu, J.; Zhang, J.; Xu, Z. G.: Efficient synthesis of fused oxazepino-isoquinoline scaffolds via an ugi, followed by an intramolecular cyclization. ACS Comb. Sci. 19 (2017) 324–330.10.1021/acscombsci.7b00002Search in Google Scholar PubMed
Song, G. T.; Li, S. Q.; Yang, Z. W.; Yuan, J. H.; Wang, M. S.; Zhu, J.; Chen, Z. Z.; Xu, Z. G.: Microwave-assisted synthesis of fused piperazine-benzimidazoles via a facile, one-pot procedure. Tetrahedron Lett. 56 (2015) 4616–4618.10.1016/j.tetlet.2015.06.035Search in Google Scholar
©2018 Gui Ting Song et al., published by De Gruyter, Berlin/Boston
This work is licensed under the Creative Commons Attribution-NonCommercial-NoDerivatives 4.0 License.
Articles in the same Issue
- Cover and Frontmatter
- Crystal structure of (E)-1-(4-(((E)-2-hydroxy-5-methylbenzylidene)amino)phenyl)ethan-1-one O-methyl oxime, C17H18N2O2
- Crystal structure of 1,3,5,7-tetraazaadamantane-1,3-diium 2,5-dicarboxyterephthalate, C16H18N4O8
- Crystal structure of guanidinium tetrabutyl-ammonium 5-hydroxyisophthalate dihydrate, C25H50N4O7
- Crystal structure of poly[aqua-(μ2-5-methoxyisophthalate-κ3O,O′:O′′)-(μ2-1,4-bis((1H-1,2,4-triazol-1-yl)methyl)benzene-κ2N:N′)nickel(II), NiC21H20N6O6
- Crystal structure of aqua-bis(3,4-dimethoxybenzoato-κ1O)-(2,2′-bipyridine-κ2N,N′)copper(II), C28H26CuN2O9
- Crystal structure of catena-poly[aqua-(μ2-(3,5-di(1H-imidazol-1-yl)-pyridine-κ2N:N′)-(μ2-2-(carboxylatomethyl)benzoato-κ2O:O′)] cadmium(II), C20H17CdN5O5
- The crystal structure of catena-poly[chlorido-(μ2-5-methyl-1,3,4-thiadiazole-2-thiolato-κ2S:N)mercury(II)], C3H3ClHgN2S2
- Crystal structure of (E)-2,4-dichloro-6-(((4-methyl-2-nitrophenyl)imino)methyl)phenol, C14H10Cl2N2O3
- Crystal structure of a new polymorph of bis[μ-1,3-bis(diphenylphosphino)propane-κ2P:P′-disilver(I)] bis(tetrafluoroborate), [Ag(dppp)]2(BF4)2, C54H52Ag2B2F8P4
- The crystal structure of 2-phenyl-4,6-bis(R-tert-butylsulfonamido)-1,3,5-triazine – ethyl acetate (2/1), C38H58N10O6S4
- Crystal structure of 6-amino-8-(2-methoxy-phenyl)-2-methyl-2,3,8,8a-tetrahydro-1H-iso-quinoline-5,7,7-tricarbonitrile monohydrate, C20H21N5O2
- Crystal structure of methyl (1-phenylethyl)carbamate, C10H13NO2
- Crystal structure of dimethanol-(μ2-squarato-κ2O:O′)-tetrakis(tri-p-tolylphosphane-κP)disilver(I) – methanol (1/2), C92H98Ag2O8P4
- Crystal structure of catena-poly[bis(μ2-1,4-bis(triazol-1-ylmethyl)benzene-κ2N:N′)-bis(5-tert-butyl-isophthalate-κO)copper(II)]tetrahydrate, C36H46CuN6O12
- Crystal structure of 4-aminopyridinium 4-acetyl-(pyridin-4-yl)-1H-1,2,3-triazol-5-olate monohydrate, C14H16N6O3
- Crystal structure of 2-(8-bromo-2-phenylimidazo[1,2-α]pyridin-3-yl)-6,7-dimethyl-3-phenylquinoxaline, C29H21BrN4
- Crystal structure of aqua(1-(2-pyridyl)ethanone oxime-κ2N,N′)(1-(2-pyridyl)ethanone oximato-κ2N,N′) nitrate monohydrate, C14H19N5O7Cu
- Crystal structure of poly[tetraaqua-(μ4-oxalato-κ4O,O′:O′′,O′′′)-(μ8-benzene-1,2,4,5-tetracarboxylato-κ8O1:O2:O3:O4:O5:O6:O7:O8)yttrium(III)], C6H5O8Y
- Crystal structure of bis{catena-poly[(μ2-1,2-bis(4-pyridyl)ethane-κ2N:N′)silver(I)]} diaqua-bis(5-(4-carboxyphenyl)pyridine-2-carboxylato-κ2N,O)-(μ2-1,2-bis(4-pyridyl)ethane-κ2N:N′)disilver(I) octahydrate, C31H35Ag2N4O9
- Crystal structure of (E)-N-(2-(benzylamino)-2-oxo-1-(4-oxo-4H-chromen-3-yl)ethyl)-N-(4-bromophenyl)-3-chloroacrylamide hydrate, C27H22BrClN2O5
- Crystal structure of catena-poly[octaaqua-bis(μ2-4,6-dicarboxyisophthalate-κ2O:O′)cadmium(II)disodium(I)] dihydrate, C20H28CdNa2O26
- Crystal structure of acetonitrile{bis(2-benzimidazolylmethyl)amine-κ3N,N′,N′′}-{maleato-κO}zinc(II) perchlorate - acetonitrile (1/1), C24H24ClN7O8Zn
- Crystal structure of 2-amino-4-(3,5-dibromo-4-hydroxyphenyl)-7-methyl-5-oxo-2H,5H-pyrano[4,3-b]pyran-3-carbonitrile, C16H10Br2N2O4
- Crystal structure of catena-poly[diaqua-(μ2-3,5-bis(pyridin-4-ylmethoxy)benzoate-κ2N:O) manganese(II)] tetrahydrate [(3,5-bis-(pyridin-4-ylmethoxy)-benzoic-κ1Oκ1N) manganese(II)] trihydrate, C38H42MnN4O14
- The crystal structure of 2-carboxybenzaldehyde-2-phenylacetohydrazone, C16H14N2O3
- The crystal structure of poly[μ2-aqua-(μ2-2-naphthylamine-1-sulfonato-κ3O,O′:O′′)sodium(I)], C10H10N1O4S1Na
- The crystal structure of phthalazin-1(2H)-one, C8H6N2O1
- Crystal structure of 3,5-bis(trifluoromethyl)benzyl(Z)-N-(adamantan-1-yl)morpholine-4-carbothioimidate, C24H28F6N2OS
- Crystal structure of diazido-bis(μ2-pyridin-2-ylmethanolato-κ2N:O)-bis(pyridin-2-ylmethanolato-κ2N,O)dicobalt(III) – methanol (1/3), C27H35Co2N10O7
- Crystal structure of N-[[(4,6-dimethoxy-2-pyrimidinyl)amino]carbonyl]-3-(2,2,2-trifluoroethoxy)-2-pyridinesulfonamide, C14H14F3N5O6S
- Crystal structure of 1-phenyl-N′-(1-phenyl-5-(thiophen-2-yl)-1H-pyrazole-3-carbonyl)-5-(thiophen-2-yl)-1H-pyrazole-3-carbohydrazide, C28H20N6O2S2
- The crystal structure of poly[bis(4-hydroxybenzoato-κO)-(μ2-4,4′-bipyridine-κ2N:N′)copper(II)] hydrate, C24H20N2O7Cu
- Crystal structure of poly[μ3-5-(4-(2,6-di(pyridine-2-yl)pyridine-4-yl)phenoxy)isophthalato-κ5O:O′,O′′:N,N′,N′′cobalt(II)], C29H17CoN3O5
- Crystal structure of poly[μ3-5-(4-(2,6-di(pyridine-2-yl)pyridine-4-yl)phenoxy)isophthalato-κ6O:O′,O′′:N,N′,N′′)cobalt(II)] C29H17CoN3O5
- Crystal structure of diaqua-(acetato-κ3O,O′:O′′)-(μ3-4,6-di(1H-imidazol-1-yl)isophthalato-κ4O:O′:O′′,O′′′)lanthanum(III), C16H15LaN4O8
- Synthesis and crystal structure of 6-carboxy-1-(3,5-dicarboxyphenyl)-1H-benzo[d]imidazol-3-ium-5-carboxylate dihydrate, C18H12N2O8
- Crystal structure of (E)-2-hydroxybenzaldehyde O-(2-(((E)-(4-(dimethylamino)benzylidene)amino)oxy)ethyl)oxime, C18H21N3O3
- Crystal structure of bis{2-((E)-((4-((E)-1-(methoxyimino)ethyl)phenyl)imino)methyl)phenolato-κ2N,O}zinc(II), C32H30N4O4Zn
- Crystal structure of bis(9-aminoacridin-10-ium) tetrachloridocuprate(II) monohydrate, C26H24Cl4CuN4O
- The crystal structure of 4-tert-butyl-N′-[(E)-(4-fluoro-3-methoxyphenyl)methylidene]benzohydrazide, C19H21F1N2O2
- Crystal structure of (E)-3-(3-(5-methyl-1-4-tolyl-1H-1,2,3-triazol-4-yl)-1-phenyl-1H-pyrazol-4-yl)-1-(5-methyl-1-phenyl-1H-1,2,3-triazol-4-yl)prop-2-en-1-one, C31H26N8O
- Crystal structure of (E)-N′-(4-methoxybenzylidene)-5-methyl-1-(4-tolyl)-1H-1,2,3-triazole-4-carbohydrazide, C19H19N5O2
- Crystal structure and molecular packing of O-ethyl (2-chlorophenyl)carbamothioate, C9H10ClNOS
- Crystal structure of pyrene-2-carbaldehyde, C17H10O
- Crystal structure of (E)-2,4-diiodo-6-(4-methyl-2-nitrostyryl)phenol, C14H10I2N2O3
- Crystal structure of (E)-2,4-dichloro-6-(((4-methoxy-2-nitrophenyl)imino)methyl)phenol, C14H10Cl2N2O4
- Crystal structure of (E)-2-bromo-4-chloro-6-(4-methoxy-2-nitrostyryl)phenol, C14H10BrClN2O4
- Crystal structure of (E)-4,6-diiodo-2-(((4-methoxy-2-nitrophenyl)imino)methyl)-3-methylphenol, C14H10I2N2O4
- The crystal structure of 7-bromo-1-cyclopropyl-8-methyl-4-oxo-1,4-dihydroquinoline-3-carboxylic acid an intermediate of the ozenoxacin synthesis, C14H12BrNO3
- Crystal structure of bis(N-(1-(pyrazin-2-yl)ethylidene)nicotinohydrazonato-κ3N,N′,O)copper(II) C24H20N10O2Cu
- Crystal structure of diaqua-dinitrato-k2O,O′((Z)-N-((E)-1-(pyrazin-2-yl)ethylidene)nicotinohydrazonato-k3N,N′,O)europium(II), C12H14N7O9Eu
- Crystal structure of ethyl 4-amino-5-(5-methyl-1-(4-tolyl)-1H-1,2,3-triazole-4-carbonyl)-2-(phenylamino)thiophene-3-carboxylate, C24H23N5O3S
- The crystal structure of acridin-10-ium2-carboxybenzoate, C21H15NO4
- The crystal structure of 3-((phenylamino)methylene)-1,5-dioxaspiro[5.5]undecane-2,4-dione, C16H17N1O4
- Crystal structure of 12-chloro-5,6,7,12-tetrahydrodibenzo[c,f][1,5]oxastibocine, C14H12ClOSb
- Crystal structure of 4-((1,3-dioxoisoindolin-2-yl)methyl)phenethyl 4-methylbenzenesulfonate, C24H21NO5S
- Crystal structure of 3-methyl-2,3-dihydro-2-thioxoquinazolin-4(1H)-one, C9H8N2OS
- Crystal structure of tert-butyl (2-(4-oxo-2-thioxo-1,4-dihydroquinazolin-3(2H)-yl)ethyl)carbamate, C15H19N3O3S
- Crystal structure of ethyl 5-formyl-3,4-dimethylpyrrole-2-carboxylate–1-(propan-2-ylidene)thiosemicarbazide (1/1), C14H22N4O3S
- Crystal structure of bis-(N′-(5-ethoxycarbonyl-3,4-dimethyl-pyrrol-2-yl-methylidene)-3-hydroxybenzohydrazide-κ2O,N)copper(II) – dimethylformamide (1/2), C40H50N8O10Cu
- Crystal structure of bis(acetato-κO)bis{2-((1H-tetrazol-1-yl)methyl)-1H-benzo[d]imidazole-κN}zinc(II), C22H22N12O4Zn
- Crystal structure of 4-phenyl-3-((4-phenyl-1H-1,2,3-triazol-1-yl)methyl)-1H-1,2,4-triazole-5(4H)-thione, C17H14N6S
- Crystal structure of (Z)-N-(4-nitrophenyl)-3-phenyl-3-(phenylamino)acrylamide, C21H17N3O3
- Crystal structure of 1,1′-(pentane-1,5-diyl)bis(3-methyl-1H-imidazol-3-ium)bis(hexafluorophosphate), C13H22F12N4P2
- Synthesis and crystal structure of bis(furan-2-ylmethanaminium)-catena-[bis(μ2-phthalato-κ2O:O′)cobalt(II)], C26H24CoN2O10
- Crystal structure of methyl (R)-4-(o-chlorobenzoyl)-1-thia-4-azaspiro[4.5]decane-3-carboxylate, C17H20ClNO3S
- Crystal structure of 2-[[4-[2-[4-(4-methoxyphenyl)-1-piperazinyl]ethyl]phenyl] methyl]-1H-isoindole-1,3(2H)-dione, C28H29N3O3
- The crystal structure of benzenaminium 5,7-dihydroxy-4-oxo-2-phenyl-4H-chromene-8-sulfonate hydrate, C21H19NO8S
- Crystal structure of semiconducting potassium poly[(μ2-tetraselenido-κ2Se1:Se4)(μ2-pentaselenido-κ1Se1:Se1)argentate(I)], K3AgSe9
- Crystal structure of 2-isopropyl-8-methyl-phenanthrene-3,4-dione, C18H16O2
- Crystal structure of 2-isopropyl-8,8-dimethyl-5,6,7,8-tetrahydrophenanthrene-3,4-dione, C19H22O2
- Crystal structure of (E)-2-(1-((2-aminophenyl)imino)ethyl)-4-bromophenol, C14H13BrN2O
- Crystal structure of 1,1-di(4-cyanophenyl)-2,2-diphenylethene, C28H18N2
- Crystal structure of bis(hydroxylamido-κ2O,N)-oxido(1H-pyrazole-3-carboxylato-κ2O,N)vanadium(V), C4H7N4O5V
- The crystal structure of In1.2B3O5.6(OH)1.4
- The crystal structure of chlorido(2-(1H-pyrazol-3-yl)phenolato-κ2N,O)(2-(1H-pyrazol-3-yl)phenol-κN)copper(II), C18H15ClCuN4O2
- Crystal structure of 1-heptylpyridazin-1-ium iodide, C11H19N2I
- The crystal structure of N-butylpyridinium bis(μ2-dichlorido)-tetrachloridodicopper(II), C18H28N2Cu2Cl6
- Crystal structure of 6-hydroxy-5-((2-hydroxy-6-oxocyclohex-1-en-1-yl)(4-methoxyphenyl)methyl)-1,3-dimethylpyrimidine-2,4(1H,3H)-dione, C20H22N2O6
- Crystal structure of bis(acetonitrile)-diaqua-dichloridoiron(II), C4H10Cl2N2O2Fe
Articles in the same Issue
- Cover and Frontmatter
- Crystal structure of (E)-1-(4-(((E)-2-hydroxy-5-methylbenzylidene)amino)phenyl)ethan-1-one O-methyl oxime, C17H18N2O2
- Crystal structure of 1,3,5,7-tetraazaadamantane-1,3-diium 2,5-dicarboxyterephthalate, C16H18N4O8
- Crystal structure of guanidinium tetrabutyl-ammonium 5-hydroxyisophthalate dihydrate, C25H50N4O7
- Crystal structure of poly[aqua-(μ2-5-methoxyisophthalate-κ3O,O′:O′′)-(μ2-1,4-bis((1H-1,2,4-triazol-1-yl)methyl)benzene-κ2N:N′)nickel(II), NiC21H20N6O6
- Crystal structure of aqua-bis(3,4-dimethoxybenzoato-κ1O)-(2,2′-bipyridine-κ2N,N′)copper(II), C28H26CuN2O9
- Crystal structure of catena-poly[aqua-(μ2-(3,5-di(1H-imidazol-1-yl)-pyridine-κ2N:N′)-(μ2-2-(carboxylatomethyl)benzoato-κ2O:O′)] cadmium(II), C20H17CdN5O5
- The crystal structure of catena-poly[chlorido-(μ2-5-methyl-1,3,4-thiadiazole-2-thiolato-κ2S:N)mercury(II)], C3H3ClHgN2S2
- Crystal structure of (E)-2,4-dichloro-6-(((4-methyl-2-nitrophenyl)imino)methyl)phenol, C14H10Cl2N2O3
- Crystal structure of a new polymorph of bis[μ-1,3-bis(diphenylphosphino)propane-κ2P:P′-disilver(I)] bis(tetrafluoroborate), [Ag(dppp)]2(BF4)2, C54H52Ag2B2F8P4
- The crystal structure of 2-phenyl-4,6-bis(R-tert-butylsulfonamido)-1,3,5-triazine – ethyl acetate (2/1), C38H58N10O6S4
- Crystal structure of 6-amino-8-(2-methoxy-phenyl)-2-methyl-2,3,8,8a-tetrahydro-1H-iso-quinoline-5,7,7-tricarbonitrile monohydrate, C20H21N5O2
- Crystal structure of methyl (1-phenylethyl)carbamate, C10H13NO2
- Crystal structure of dimethanol-(μ2-squarato-κ2O:O′)-tetrakis(tri-p-tolylphosphane-κP)disilver(I) – methanol (1/2), C92H98Ag2O8P4
- Crystal structure of catena-poly[bis(μ2-1,4-bis(triazol-1-ylmethyl)benzene-κ2N:N′)-bis(5-tert-butyl-isophthalate-κO)copper(II)]tetrahydrate, C36H46CuN6O12
- Crystal structure of 4-aminopyridinium 4-acetyl-(pyridin-4-yl)-1H-1,2,3-triazol-5-olate monohydrate, C14H16N6O3
- Crystal structure of 2-(8-bromo-2-phenylimidazo[1,2-α]pyridin-3-yl)-6,7-dimethyl-3-phenylquinoxaline, C29H21BrN4
- Crystal structure of aqua(1-(2-pyridyl)ethanone oxime-κ2N,N′)(1-(2-pyridyl)ethanone oximato-κ2N,N′) nitrate monohydrate, C14H19N5O7Cu
- Crystal structure of poly[tetraaqua-(μ4-oxalato-κ4O,O′:O′′,O′′′)-(μ8-benzene-1,2,4,5-tetracarboxylato-κ8O1:O2:O3:O4:O5:O6:O7:O8)yttrium(III)], C6H5O8Y
- Crystal structure of bis{catena-poly[(μ2-1,2-bis(4-pyridyl)ethane-κ2N:N′)silver(I)]} diaqua-bis(5-(4-carboxyphenyl)pyridine-2-carboxylato-κ2N,O)-(μ2-1,2-bis(4-pyridyl)ethane-κ2N:N′)disilver(I) octahydrate, C31H35Ag2N4O9
- Crystal structure of (E)-N-(2-(benzylamino)-2-oxo-1-(4-oxo-4H-chromen-3-yl)ethyl)-N-(4-bromophenyl)-3-chloroacrylamide hydrate, C27H22BrClN2O5
- Crystal structure of catena-poly[octaaqua-bis(μ2-4,6-dicarboxyisophthalate-κ2O:O′)cadmium(II)disodium(I)] dihydrate, C20H28CdNa2O26
- Crystal structure of acetonitrile{bis(2-benzimidazolylmethyl)amine-κ3N,N′,N′′}-{maleato-κO}zinc(II) perchlorate - acetonitrile (1/1), C24H24ClN7O8Zn
- Crystal structure of 2-amino-4-(3,5-dibromo-4-hydroxyphenyl)-7-methyl-5-oxo-2H,5H-pyrano[4,3-b]pyran-3-carbonitrile, C16H10Br2N2O4
- Crystal structure of catena-poly[diaqua-(μ2-3,5-bis(pyridin-4-ylmethoxy)benzoate-κ2N:O) manganese(II)] tetrahydrate [(3,5-bis-(pyridin-4-ylmethoxy)-benzoic-κ1Oκ1N) manganese(II)] trihydrate, C38H42MnN4O14
- The crystal structure of 2-carboxybenzaldehyde-2-phenylacetohydrazone, C16H14N2O3
- The crystal structure of poly[μ2-aqua-(μ2-2-naphthylamine-1-sulfonato-κ3O,O′:O′′)sodium(I)], C10H10N1O4S1Na
- The crystal structure of phthalazin-1(2H)-one, C8H6N2O1
- Crystal structure of 3,5-bis(trifluoromethyl)benzyl(Z)-N-(adamantan-1-yl)morpholine-4-carbothioimidate, C24H28F6N2OS
- Crystal structure of diazido-bis(μ2-pyridin-2-ylmethanolato-κ2N:O)-bis(pyridin-2-ylmethanolato-κ2N,O)dicobalt(III) – methanol (1/3), C27H35Co2N10O7
- Crystal structure of N-[[(4,6-dimethoxy-2-pyrimidinyl)amino]carbonyl]-3-(2,2,2-trifluoroethoxy)-2-pyridinesulfonamide, C14H14F3N5O6S
- Crystal structure of 1-phenyl-N′-(1-phenyl-5-(thiophen-2-yl)-1H-pyrazole-3-carbonyl)-5-(thiophen-2-yl)-1H-pyrazole-3-carbohydrazide, C28H20N6O2S2
- The crystal structure of poly[bis(4-hydroxybenzoato-κO)-(μ2-4,4′-bipyridine-κ2N:N′)copper(II)] hydrate, C24H20N2O7Cu
- Crystal structure of poly[μ3-5-(4-(2,6-di(pyridine-2-yl)pyridine-4-yl)phenoxy)isophthalato-κ5O:O′,O′′:N,N′,N′′cobalt(II)], C29H17CoN3O5
- Crystal structure of poly[μ3-5-(4-(2,6-di(pyridine-2-yl)pyridine-4-yl)phenoxy)isophthalato-κ6O:O′,O′′:N,N′,N′′)cobalt(II)] C29H17CoN3O5
- Crystal structure of diaqua-(acetato-κ3O,O′:O′′)-(μ3-4,6-di(1H-imidazol-1-yl)isophthalato-κ4O:O′:O′′,O′′′)lanthanum(III), C16H15LaN4O8
- Synthesis and crystal structure of 6-carboxy-1-(3,5-dicarboxyphenyl)-1H-benzo[d]imidazol-3-ium-5-carboxylate dihydrate, C18H12N2O8
- Crystal structure of (E)-2-hydroxybenzaldehyde O-(2-(((E)-(4-(dimethylamino)benzylidene)amino)oxy)ethyl)oxime, C18H21N3O3
- Crystal structure of bis{2-((E)-((4-((E)-1-(methoxyimino)ethyl)phenyl)imino)methyl)phenolato-κ2N,O}zinc(II), C32H30N4O4Zn
- Crystal structure of bis(9-aminoacridin-10-ium) tetrachloridocuprate(II) monohydrate, C26H24Cl4CuN4O
- The crystal structure of 4-tert-butyl-N′-[(E)-(4-fluoro-3-methoxyphenyl)methylidene]benzohydrazide, C19H21F1N2O2
- Crystal structure of (E)-3-(3-(5-methyl-1-4-tolyl-1H-1,2,3-triazol-4-yl)-1-phenyl-1H-pyrazol-4-yl)-1-(5-methyl-1-phenyl-1H-1,2,3-triazol-4-yl)prop-2-en-1-one, C31H26N8O
- Crystal structure of (E)-N′-(4-methoxybenzylidene)-5-methyl-1-(4-tolyl)-1H-1,2,3-triazole-4-carbohydrazide, C19H19N5O2
- Crystal structure and molecular packing of O-ethyl (2-chlorophenyl)carbamothioate, C9H10ClNOS
- Crystal structure of pyrene-2-carbaldehyde, C17H10O
- Crystal structure of (E)-2,4-diiodo-6-(4-methyl-2-nitrostyryl)phenol, C14H10I2N2O3
- Crystal structure of (E)-2,4-dichloro-6-(((4-methoxy-2-nitrophenyl)imino)methyl)phenol, C14H10Cl2N2O4
- Crystal structure of (E)-2-bromo-4-chloro-6-(4-methoxy-2-nitrostyryl)phenol, C14H10BrClN2O4
- Crystal structure of (E)-4,6-diiodo-2-(((4-methoxy-2-nitrophenyl)imino)methyl)-3-methylphenol, C14H10I2N2O4
- The crystal structure of 7-bromo-1-cyclopropyl-8-methyl-4-oxo-1,4-dihydroquinoline-3-carboxylic acid an intermediate of the ozenoxacin synthesis, C14H12BrNO3
- Crystal structure of bis(N-(1-(pyrazin-2-yl)ethylidene)nicotinohydrazonato-κ3N,N′,O)copper(II) C24H20N10O2Cu
- Crystal structure of diaqua-dinitrato-k2O,O′((Z)-N-((E)-1-(pyrazin-2-yl)ethylidene)nicotinohydrazonato-k3N,N′,O)europium(II), C12H14N7O9Eu
- Crystal structure of ethyl 4-amino-5-(5-methyl-1-(4-tolyl)-1H-1,2,3-triazole-4-carbonyl)-2-(phenylamino)thiophene-3-carboxylate, C24H23N5O3S
- The crystal structure of acridin-10-ium2-carboxybenzoate, C21H15NO4
- The crystal structure of 3-((phenylamino)methylene)-1,5-dioxaspiro[5.5]undecane-2,4-dione, C16H17N1O4
- Crystal structure of 12-chloro-5,6,7,12-tetrahydrodibenzo[c,f][1,5]oxastibocine, C14H12ClOSb
- Crystal structure of 4-((1,3-dioxoisoindolin-2-yl)methyl)phenethyl 4-methylbenzenesulfonate, C24H21NO5S
- Crystal structure of 3-methyl-2,3-dihydro-2-thioxoquinazolin-4(1H)-one, C9H8N2OS
- Crystal structure of tert-butyl (2-(4-oxo-2-thioxo-1,4-dihydroquinazolin-3(2H)-yl)ethyl)carbamate, C15H19N3O3S
- Crystal structure of ethyl 5-formyl-3,4-dimethylpyrrole-2-carboxylate–1-(propan-2-ylidene)thiosemicarbazide (1/1), C14H22N4O3S
- Crystal structure of bis-(N′-(5-ethoxycarbonyl-3,4-dimethyl-pyrrol-2-yl-methylidene)-3-hydroxybenzohydrazide-κ2O,N)copper(II) – dimethylformamide (1/2), C40H50N8O10Cu
- Crystal structure of bis(acetato-κO)bis{2-((1H-tetrazol-1-yl)methyl)-1H-benzo[d]imidazole-κN}zinc(II), C22H22N12O4Zn
- Crystal structure of 4-phenyl-3-((4-phenyl-1H-1,2,3-triazol-1-yl)methyl)-1H-1,2,4-triazole-5(4H)-thione, C17H14N6S
- Crystal structure of (Z)-N-(4-nitrophenyl)-3-phenyl-3-(phenylamino)acrylamide, C21H17N3O3
- Crystal structure of 1,1′-(pentane-1,5-diyl)bis(3-methyl-1H-imidazol-3-ium)bis(hexafluorophosphate), C13H22F12N4P2
- Synthesis and crystal structure of bis(furan-2-ylmethanaminium)-catena-[bis(μ2-phthalato-κ2O:O′)cobalt(II)], C26H24CoN2O10
- Crystal structure of methyl (R)-4-(o-chlorobenzoyl)-1-thia-4-azaspiro[4.5]decane-3-carboxylate, C17H20ClNO3S
- Crystal structure of 2-[[4-[2-[4-(4-methoxyphenyl)-1-piperazinyl]ethyl]phenyl] methyl]-1H-isoindole-1,3(2H)-dione, C28H29N3O3
- The crystal structure of benzenaminium 5,7-dihydroxy-4-oxo-2-phenyl-4H-chromene-8-sulfonate hydrate, C21H19NO8S
- Crystal structure of semiconducting potassium poly[(μ2-tetraselenido-κ2Se1:Se4)(μ2-pentaselenido-κ1Se1:Se1)argentate(I)], K3AgSe9
- Crystal structure of 2-isopropyl-8-methyl-phenanthrene-3,4-dione, C18H16O2
- Crystal structure of 2-isopropyl-8,8-dimethyl-5,6,7,8-tetrahydrophenanthrene-3,4-dione, C19H22O2
- Crystal structure of (E)-2-(1-((2-aminophenyl)imino)ethyl)-4-bromophenol, C14H13BrN2O
- Crystal structure of 1,1-di(4-cyanophenyl)-2,2-diphenylethene, C28H18N2
- Crystal structure of bis(hydroxylamido-κ2O,N)-oxido(1H-pyrazole-3-carboxylato-κ2O,N)vanadium(V), C4H7N4O5V
- The crystal structure of In1.2B3O5.6(OH)1.4
- The crystal structure of chlorido(2-(1H-pyrazol-3-yl)phenolato-κ2N,O)(2-(1H-pyrazol-3-yl)phenol-κN)copper(II), C18H15ClCuN4O2
- Crystal structure of 1-heptylpyridazin-1-ium iodide, C11H19N2I
- The crystal structure of N-butylpyridinium bis(μ2-dichlorido)-tetrachloridodicopper(II), C18H28N2Cu2Cl6
- Crystal structure of 6-hydroxy-5-((2-hydroxy-6-oxocyclohex-1-en-1-yl)(4-methoxyphenyl)methyl)-1,3-dimethylpyrimidine-2,4(1H,3H)-dione, C20H22N2O6
- Crystal structure of bis(acetonitrile)-diaqua-dichloridoiron(II), C4H10Cl2N2O2Fe