Abstract
The Thomas–Reiche–Kuhn (TRK) sum rule is a fundamental consequence of the position–momentum commutation relation for an atomic electron, and it provides an important constraint on the transition matrix elements for an atom. Here, we propose a TRK sum rule for electromagnetic fields which is valid even in the presence of very strong light–matter interactions and/or optical nonlinearities. While the standard TRK sum rule involves dipole matrix moments calculated between atomic energy levels (in the absence of interaction with the field), the sum rule here proposed involves expectation values of field operators calculated between general eigenstates of the interacting light–matter system. This sum rule provides constraints and guidance for the analysis of strongly interacting light–matter systems and can be used to test the validity of approximate effective Hamiltonians often used in quantum optics.
1 Introduction
1.1 A brief history of sum rules in quantum mechanics
Since the beginning of quantum mechanics, sum rules have proved to be very useful for understanding the general features of difficult problems. These relations, obtained by adding (sum) unknown terms, power tool for the study of physical processes [1]. Historically, the first important sum rule is found in atomic physics and concerns the interaction of electromagnetism with atoms: the Thomas–Reiche–Kuhn (TRK) sum rule [2], [3], [4]. It states that the sum of the squares of the dipole matrix moments from any energy level, weighted by the corresponding energy differences, is a constant. The TRK and analogous sum rules, like the Bethe sum rule [5], play an especially important role in the interaction between light and matter. They have widely been applied to the problems of electron excitations in atoms, molecules, and solids [6].
For an atomic electron, the TRK sum rule is a direct consequence, of the canonical commutation relation between position and momentum. It is possible to view it as a necessary condition in order not to violate this commutation relation [7]. Among the many consequences of this sum rule, it constrains the cross sections for absorption and stimulated emission [8]. It has also been shown that useful sum rules can be obtained for nonlinear optical susceptibilities [9], [10], [11]. A modified TRK sum rule for the motion of the atomic center of mass and a generalized TRK sum rule to include ions have been also obtained [12]. Extensions of the TRK sum rule to the relativistic case have been studied (see, e.g., [13], [, 14]). Important sum rules have also been developed in quantum chromodynamics (see, e.g., [15]).
Such sum rules also play a relevant role in the analysis of interacting electron systems [16], [, 17]. Since they are a direct consequence of particle conservation in the system, their satisfaction is necessary to guarantee a gauge-invariant theory [16], [, 17] (see, e.g., [18], [, 19] as two recent examples). In interacting electron systems, the longitudinal version of the TRK sum rule (known as f-sum rule) provides a very useful check on the consistency of any approximate theory and can permit a direct calculation of collective mode frequencies in the long wavelength limit [16]. A striking example of the relevance of sum rules in interacting electron systems is constituted by the apparent gauge invariance difficulty in superconductors (Meissner effect), originating by the violation of the f-sum rule of approximate models [20].
Almost all the developed sum rules have been derived for the degrees of freedom of particles. One exception is in the study by Barnett and Loudon [21], where optical sum rules have been derived for polaritons propagating through a linear medium.
1.2 Summary of our main results
Here, we propose a TRK sum rule for electromagnetic fields which is valid even in the presence of very strong light–matter interactions and/or optical nonlinearities [22], [, 23]. While the standard TRK sum rule involves dipole matrix moments calculated between atomic energy levels (in the absence of interaction with the field), the sum rule here proposed involves the expectation values of the field coordinates or momenta calculated between general eigenstates of the interacting light–matter system (dressed light–matter states) and the corresponding eigenenergies of the interacting system.
In this work, we also present a generalized atomic TRK sum rule for atoms strongly interacting with the electromagnetic field. This sum rule has the same form of the standard TRK sum rule but involves the energy eigenstates and eigenvalues of the interacting system.
The sum rules for interacting light–matter systems proposed here can be useful to analyze general quantum nonlinear optical effects (see, e.g., [24], [25], [26], [27]) and many-body physics in photonic systems [28], like analogous sum rules for interacting electron systems, which played a fundamental role for understanding the many-body physics of electron liquids [16], [17], [20]. The proposed sum rules become particularly interesting in the nonperturbative regimes of light–matter interactions.
In the last years, several methods to control the strength of the light–matter interaction have been developed, and the ultrastrong coupling (USC) between light and matter has transitioned from theoretical proposals to experimental reality [22], [, 23]. In this new regime of quantum light–matter interaction, beyond weak and strong coupling, the coupling strength becomes comparable to the transition frequencies in the system or even higher (deep strong coupling [DSC]) [29], [30], [31], [32]. In the USC and DSC regimes, approximations widely employed in quantum optics break down [33], allowing processes that do not conserve the number of excitations in the system (see, e.g., [27], [34], [35], [36], [37]). The nonconservation of the excitation number gives rise to a wide variety of novel and unexpected physical phenomena in different hybrid quantum systems [35], [38], [39], [40], [41], [42], [43], [44], [45], [46], [47], [48], [49], [50], [51], [52], [53], [54], [55], [56], [57], [58]. As a consequence, all the system eigenstates, dressed by the interaction, contain different numbers of excitations. Much research on these systems has dealt with understanding whether these excitations are real or virtual, how they can be probed or extracted, how they make possible higher order processes even at very low excitation densities, and how they affect the description of input and output for the system [22], [, 23].
The eigenstates of these systems, including the ground state, can display a complex structure involving superposition of several eigenstates of the noninteracting subsystems [22], [23], [59] and can be difficult to calculate. As a consequence, a number of approximation methods have been developed [60], [, 61]. Moreover, the output field correlation functions, connected to measurements, depend on these eigenstates (see, e.g., [48], [, 62]). Hence, sum rules providing general guidance and constraints can be very useful to test the validity of the approximations. The general sum rule proposed in this article can also be used to test the validity of effective Hamiltonians often used in quantum optics and cavity optomechanics [58], [63], [64]. In addition, this generalized TRK sum rule applies to the broad emerging field of nonperturbative light–matter interactions, including several settings and subfields, as cavity and circuit quantum electrodynamics (QED) [22], collective excitations in solids [65], optomechanics [63], photochemistry and QED chemistry [59], [, 66].
2 Sum rule for interacting photons
A key property used for the derivation of the TRK sum rule is that the commutator between the electron coordinate and the electronic Hamiltonian does not depend on the electronic potential, which is a function of the coordinate only, and hence, it is universal. Considering for simplicity, a single electron 1D system, if x is the electron coordinate and
In the Coulomb gauge, the (transverse) vector potential A represents the field coordinate, while its conjugate momentum Π is proportional to the transverse electric field:
A general feature of the light–matter interaction Hamiltonians derived from the minimal coupling replacement (as for the Coulomb gauge) is that the momenta of the matter system are coupled only to the field coordinate. We can express the total light–matter quantum Hamiltonian as
where the second equality follows from
and
where
and
Here SL is the resonator volume, the subscript m labels a generic mode index with frequency ωm, and
where
Let us now consider the matrix elements of the operators in (2) between two generic eigenstates
where
and
we obtain the corresponding relation for the individual modes:
It is worth noticing that, in the limit when the light–matter interaction vanishes,
Let us now consider the commutator between the mode coordinate and its conjugate momentum:
where we used
Developing the double commutator, considering its matrix elements between two generic eigenstates of the total Hamiltonian
which reduces (choosing j = i) to the TRK sum rule for interacting fields:
By using (4), (7) can be also expressed in terms of the momenta matrix elements:
Formally, it coincides with the TRK sum rule for atoms; however, in (7) the matrix elements of the field-mode coordinate replace the atomic electric dipole matrix elements. An important difference is that the atomic TRK sum rule [67] considers atomic energy eigenstates, calculated in the absence of interaction with the field. On the contrary, this sum rule is very general since it holds in the presence of interactions with arbitrary matter systems every time the interaction occurs via the field coordinate (e.g., Coulomb gauge). We also observe that (7) describes a collection of sum rules, one for each field mode m. Actually, following the same reasoning which led us to (7), a generalized atomic TRK sum rule for atoms strongly interacting with the electromagnetic field [analogous to (7)] can be easily obtained, as shown in Section 4.
3 Applications
3.1 Quantum Rabi model
The quantum Rabi Hamiltonian describes the dipolar coupling between a two-level atom and a single mode of the quantized electromagnetic field. Recently, it has been shown [68] that the correct (satisfying the gauge principle) quantum Rabi Hamiltonian in the Coulomb gauge
strongly differs from the standard model (see also the studies by De Bernardis et al [69], Stokes et al [70], and Settineri et al [71] for gauge issues in the USC regime). Here, ωc is the resonance frequency of the cavity mode, ω0 is the transition frequency of a two-level atom,
(A0 is the zero-point fluctuation amplitude of the field potential and d is the atomic dipole moment) in (A) describes the normalized light–matter coupling strength. When the normalized coupling strength is small (η ≪ 1), considering only first-order contributions in η, the standard interaction term
violates (4) providing coupling-independent values

(a)
These findings show that, using the wrong quadrature (
In order to understand how the sum rule in (7) applies to the quantum Rabi model, we calculate partial sums with an increasing number of states. Specifically, we calculate
Here and in the following, the eigenstates of the total Hamiltonian, obtained for a given coupling strength η, are labeled so that i > j for ωi > ωj. Differently from the JC model, the quantum Rabi model does not conserve the excitation number. Therefore, expectation values like
3.2 Nonlinear electromagnetic resonator
As a further test, we analyze a single-mode nonlinear optical system described by the following effective Hamiltonian:
Here
where the radiative decay rates are
and we assumed an ohmic coupling with the external modes

(a) Thomas–Reiche–Kuhn (TRK) sum rule for a single-mode nonlinear system: partial sums
3.3 Frequency conversion in ultrastrong cavity QED
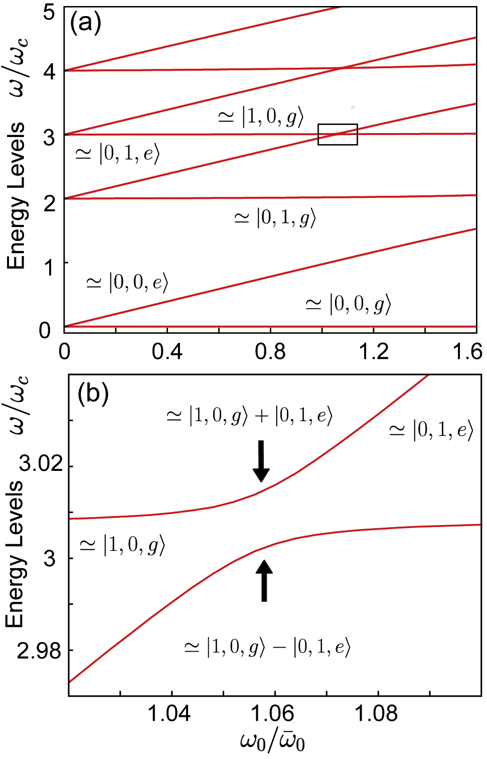
The relations in (4) and (7) are very general. So far, we applied them to single-mode fields; however, they are also valid in the presence of (even interacting) multimode fields (see, e.g., [74], [, 75]). Here, we analyze the TRK sum rule for interacting photons in a three-component system constituted by two single-mode resonators ultrastrongly coupled to a single superconducting flux qubit. This coupling can induce an effective interaction between the fields of the two resonators. Using suitable parameters for the three components, the system provides a method for frequency conversion of photons which is both versatile and deterministic. It has been shown that it can be used to realize both single and multiphoton frequency conversion processes [52]. The system Hamiltonian is given as follows:
where
The mixing is maximum when the level splitting is minimum (at

Energy spectum obtained from the numerical diagonalization of (11). (a) Lowest normalized energy levels versus the qubit frequency. (b) Enlarged view of the spectrum inside the rectangle in (a) showing the presence of an avoided level crossing. Parameters are given in the text.
It has been shown [52] that this effective coupling can be used to transfer a quantum state constituted by an arbitrary superposition of zero and one photon in one resonator (e.g., a) to a quantum state corresponding to the same superposition in the resonator at frequency ωb.
This system represents an interesting example of two interacting optical modes (with the interaction mediated by a qubit). In order to understand how the sum rule in (7) applies to such a system, we investigate its convergence, calculating partial sum rules for the two modes. Figure 4 shows
since
are provided in (C), it is easy to obtain
in agreement with the results in Figure 4(a). Notice that for δ = 0, it results in θ = π/4, and hence,

Thomas–Reiche–Kuhn (TRK) sum rule for interacting photons in the three-component system described by the Hamiltonian in (11). (a) Partial sum rules
4 TRK sum rule for atoms interacting with photons
The standard atomic TRK sum rule [67] considers atomic energy eigenstates, calculated in the absence of interaction with the transverse electromagnetic field. A recent interesting example of descriptions including the electron–electron interaction can be found in the study by Andolina et al. [18].
Following the same reasoning which led us to (7), a generalized atomic TRK sum rule for atoms strongly interacting with the electromagnetic field [analogous to (7)] can be easily obtained, starting from the dipole gauge. In this gauge (see, e.g., [68]), the light–matter interaction term does not depend on the particle momentum, and the same steps used to obtain (7) can thus be followed. The resulting atomic generalized TRK sum rule formally coincides with the standard one, with the only difference that all the expectation values are calculated using the eigenstates of the total light–matter system. For example, we consider a system described by a single effective particle with mass m and charge q displaying a dipolar interaction with a single mode resonator:
where A0 is the zero-point fluctuation amplitude of the field potential. The following commutation relation holds:
where
5 Discussion
The TRK sum rule for interacting photons proposed here can be useful for investigating general quantum nonlinear optical effects and many-body physics in photonic systems (see, e.g., [24], [25], [26], [27], [28]), like the corresponding sum rules for interacting electron systems, which played a fundamental role for understanding the many-body physics of interacting electron systems [16], [17], [20].
We provided a few examples showing how the light–matter interaction can change significantly the number of excited photonic states exhausting the sum rule. Using the sum rule, one can prove without explicit calculations that other excited states have negligible oscillator strength.
The relations in (4) and (7) are very general. They are also valid in systems including several dipoles (see, e.g., [77], [, 78]) and modes (see, e.g., [75]). These relations provide a very useful check on the consistency of approximate models in quantum optics. Approximate Hamiltonians and effective models can violate one of them. Such a violation indicates that the model may miss some relevant physics [16]. For example, we have shown that the JC model, a widespread description for the dipolar coupling between a two-level atom and a quantized electromagnetic field, violates the relation (4). An additional example of a model violating this relation is provided by the well-known and widely employed cavity optomechanical interaction Hamiltonian
An interesting feature of the relations proposed here is that they hold in the presence of light–matter interactions of arbitrary strength. Moreover, the obtained sum rule can be useful for the analysis of strongly interacting light–matter systems, especially when exact eigenstates are not available. These relations in (4) and (7) can provide constraints and a guidance in the development of effective Hamiltonians in quantum optics and cavity optomechanics.
Following the same reasoning leading to (7), we also proposed a generalized TRK sum rule for the matter component involving transitions between the total light–matter energy eigenstates [(14)], describing particle conservation in the presence of arbitrary light–matter interactions.
Funding source: Army Research Office
Award Identifier / Grant number: W911NF-18-1-0358
Award Identifier / Grant number: W911NF1910065
Funding source: Japan Science and Technology Agency
Award Identifier / Grant number: JPMJCR1676
Funding source: Japan Society for the Promotion of Science
Award Identifier / Grant number: JPJSBP120194828
Award Identifier / Grant number: JP20H00134
Funding source: Foundational Questions Institute Fund (FQXi)
Award Identifier / Grant number: FQXi-IAF19-06
Funding source: Silicon Valley Community Foundation
Funding source: NTT Research
Funding source: Asian Office of Aerospace Research and Development (AOARD)
Acknowledgments
F.N. is supported in part by the NTT Research, Army Research Office (ARO) (Grant No. W911NF-18-1-0358), Japan Science and Technology Agency (JST) (via the CREST Grant No. JPMJCR1676), Japan Society for the Promotion of Science (JSPS) (via the KAKENHI Grant No. JP20H00134, and the grant JSPS-RFBR Grant No. JPJSBP120194828) and the Grant No. FQXi-IAF19-06 from the Foundational Questions Institute Fund (FQXi), a donor advised fund of the Silicon Valley Community Foundation. S.S. acknowledges the Army Research Office (ARO) (Grant No. W911NF1910065).
Author contribution: All the authors have accepted responsibility for the entire content of this submitted manuscript and approved submission.
Research funding: F.N. is supported in part by the NTT Research, Army Research Office (ARO) (Grant No. W911NF-18-1-0358), Japan Science and Technology Agency (JST) (via the CREST Grant No. JPMJCR1676), Japan Society for the Promotion of Science (JSPS) (via the KAKENHI Grant No. JP20H00134, and the grant JSPS-RFBR Grant No. JPJSBP120194828), the Asian Office of Aerospace Research and Development (AOARD), and the Grant No. FQXi-IAF19-06 from the Foundational Questions Institute Fund (FQXi), a donor advised fund of the Silicon Valley Community Foundation. S.S. acknowledges the Army Research Office (ARO) (Grant No. W911NF1910065).
Conflict of interest statement: The authors declare no conflicts of interest regarding this article.
Appendix: A Linear response theory and transmission of a nonlinear optical system
This section provides a derivation of the transmission coefficient of a nonlinear optical system based on the dressed master equation approach [80], [, 81].
The dressed master equation in the Schrödinger picture can be written as follows [80], [, 81]:
where
is the system Hamiltonian expressed in the dressed basis, constituted by the energy eigenstates of the nonlinear system. Dissipation is described by the Lindbladian superoperator defined by
This equation includes the thermal populations
and the damping rates
Here,
At T = 0, being
We also consider a coherent drive entering from the left port, described by the following interaction Hamiltonian:
where
is a c-number corresponding to the mean value of the external (left) field operators, assumed to be in a coherent state. We will also assume
where
We assume that the light field from the left port is coherent with driving frequency ω:
Retaining only the terms depending linearly from the input field and using Eqs. (A1), (A7), (A8), assuming
(i.e., oscillating resonantly with the driving field), and using the rotating wave approximation, we obtain (to first order in the field)
where, being T = 0, only the ground state is populated in the absence of interaction (
where, for the sake of simplicity, we disregarded the spatial dependence, and
which can be expressed as follows:
where
Assuming
Using (A.11), we have for the mean value of the input sent through the port (L)
where we assumed a coherent drive input at frequency ω:
Considering the linear response only, the projection operator oscillates at the frequency ω of the drive,
using Eqs. (A13) and (A14), the mean value for the output is given as follows:
where
Using Eqs. (A15)–(A17), we can calculate the transmission coefficient T(ω) due to the signal detected from the port (R) when a driving field is sent through the port (L) as follows:
where
References
[1] G. Orlandini and M. Traini, “Sum rules for electron-nucleus scattering,” Rep. Prog. Phys., vol. 54, p. 257, 1991, https://doi.org/10.1088/0034-4885/54/2/002.Search in Google Scholar
[2] W. Thomas, “Über die Zahl der Dispersionselektronen, die einem stationären Zustande zugeordnet sind. (Vorläufige Mitteilung),” Naturwissenschaften, vol. 13, p. 627, 1925, https://doi.org/10.1007/bf01558908.Search in Google Scholar
[3] W. Kuhn, “ber die Gesamtstrke der von einem Zustande ausgehenden Absorptionslinien,” Z. Phys., vol. 33, p. 408, 1925, https://doi.org/10.1007/bf01328322.Search in Google Scholar
[4] F. Reiche and W. Thomas, “ber die Zahl der Dispersionselektronen, die einem stationren Zustand zugeordnet,” Z. Phys., vol. 34, p. 510, 1925, https://doi.org/10.1007/bf01328494.Search in Google Scholar
[5] H. Bethe, “Zur Theorie des Durchgangs schneller Korpuskularstrahlen durch Materie,” Ann. Phys., vol. 397, p. 325, 1930, https://doi.org/10.1002/andp.19303970303.Search in Google Scholar
[6] S. Wang, “Generalization of the Thomas-Reiche-Kuhn and the Bethe sum rules,” Phys. Rev. A, vol. 60, p. 262, 1999, https://doi.org/10.1103/physreva.60.262.Search in Google Scholar
[7] S. M. Barnett and R. Loudon, “Sum rule for modified spontaneous emission rates,” Phys. Rev. Lett., vol. 77, p. 2444, 1996, https://doi.org/10.1103/physrevlett.77.2444.Search in Google Scholar
[8] E. Merzbacher, Quantum Mechanics, 2nd ed., New York, Wiley, 1970.Search in Google Scholar
[9] F. Bassani and S. Scandolo, “Dispersion relations and sum rules in nonlinear optics,” Phys. Rev. B, vol. 44, p. 8446, 1991, https://doi.org/10.1103/physrevb.44.8446.Search in Google Scholar
[10] S. Scandolo and F. Bassani, “Nonlinear sum rules: the three-level and the anharmonic-oscillator models,” Phys. Rev. B, vol. 45, p. 13257, 1992, https://doi.org/10.1103/physrevb.45.13257.Search in Google Scholar
[11] S. Scandolo and F. Bassani, “Kramers-Kronig relations and sum rules for the second-harmonic susceptibility,” Phys. Rev. B, vol. 51, p. 6925, 1995, https://doi.org/10.1103/physrevb.51.6925.Search in Google Scholar
[12] C. Baxter, “Center-of-mass motion of anN-particle atom or ion and the Thomas-Reiche-Kuhn sum rule,” Phys. Rev. A, vol. 50, p. 875, 1994, https://doi.org/10.1103/physreva.50.875.Search in Google Scholar
[13] J. S. Levinger, M. L. Rustgi, and K. Okamoto, “Relativistic corrections to the dipole sum rule,” Phys. Rev., vol. 106, p. 1191, 1957, https://doi.org/10.1103/physrev.106.1191.Search in Google Scholar
[14] J. L. Friar and S. Fallieros, “Relativistic and retardation effects in the Thomas-Reiche-Kuhn sum rule for a bound particle,” Phys. Rev. C, vol. 11, p. 274, 1975, https://doi.org/10.1103/physrevc.11.274.Search in Google Scholar
[15] M. Nielsen, F. S. Navarra, and S. H. Lee, “New charmonium states in QCD sum rules: A concise review,” Phys. Rep., vol. 497, p. 41, 2010, https://doi.org/10.1016/j.physrep.2010.07.005.Search in Google Scholar
[16] D. Pines and P. Nozieres, The Theory of Quantum Liquids, New York, W. A. Benjamin, 1966.Search in Google Scholar
[17] G. Giuliani and G. Vignale, Quantum Theory of the Electron Liquid, Cambridge, Cambridge University Press, 2005.10.1017/CBO9780511619915Search in Google Scholar
[18] G. M. Andolina, F. M. D. Pellegrino, V. Giovannetti, A. H. MacDonald, and M. Polini, “Cavity quantum electrodynamics of strongly correlated electron systems: A no-go theorem for photon condensation.” Phys. Rev. B, vol. 100, p. 121109, 2019, https://doi.org/10.1103/physrevb.100.121109.Search in Google Scholar
[19] L. Garziano, A. Settineri, O. Di Stefano, S. Savasta, and F. Nori, “Gauge invariance of the Dicke and Hopfield models,” Phys. Rev. A. vol. 102, p. 023718, 2020.10.1103/PhysRevA.102.023718Search in Google Scholar
[20] P. W. Anderson, “Random-phase approximation in the theory of superconductivity,” Phys. Rev., vol. 112, p. 1900, 1958, https://doi.org/10.1103/physrev.112.1900.Search in Google Scholar
[21] S. M. Barnett and R. Loudon, “Optical Thomas-Reiche-Kuhn sum rules,” Phys. Rev. Lett., vol. 108, p. 013601, 2012.10.1103/PhysRevLett.108.013601Search in Google Scholar PubMed
[22] A. F. Kockum, A. Miranowicz, S. D. Liberato, S. Savasta, and F. Nori, “Ultrastrong coupling between light and matter,” Nat. Rev. Phys., vol. 1, p. 19, 2019, https://doi.org/10.1038/s42254-019-0046-2.Search in Google Scholar
[23] P. Forn-Díaz, L. Lamata, E. Rico, J. Kono, and E. Solano, “Ultrastrong coupling regimes of light-matter interaction,” Rev. Mod. Phys., vol. 91, p. 025005, 2019, https://doi.org/10.1103/revmodphys.91.025005.Search in Google Scholar
[24] T. Peyronel, O. Firstenberg, L. Qi-Yu, et al.., “Quantum nonlinear optics with single photons enabled by strongly interacting atoms,” Nature, vol. 488, p. 57, 2012, https://doi.org/10.1038/nature11361.Search in Google Scholar
[25] D. E. Chang, V. Vuletić, and M. D. Lukin, “Quantum nonlinear optics – photon by photon,” Nat. Photonics, vol. 8, p. 685, 2014, https://doi.org/10.1038/nphoton.2014.192.Search in Google Scholar
[26] T. Guerreiro, A. Martin, B. Sanguinetti, et al.., “Nonlinear interaction between single photons,” Phys. Rev. Lett., vol. 113, p. 173601, 2014, https://doi.org/10.1103/physrevlett.113.173601.Search in Google Scholar
[27] A. F. Kockum, A. Miranowicz, V. Macrì, S. Savasta, and F. Nori, “Deterministic quantum nonlinear optics with single atoms and virtual photons,” Phys. Rev. A, vol. 95, p. 063849, 2017a, https://doi.org/10.1103/physreva.95.063849.Search in Google Scholar
[28] I. Carusotto and C. Ciuti, “Quantum fluids of light,” Rev. Mod. Phys., vol. 85, p. 299, 2013, https://doi.org/10.1103/revmodphys.85.299.Search in Google Scholar
[29] S. De Liberato, “Light-matter decoupling in the deep strong coupling regime: The breakdown of the Purcell effect,” Phys. Rev. Lett., vol. 112, p. 016401, 2014, https://doi.org/10.1103/physrevlett.112.016401.Search in Google Scholar
[30] J. J. García-Ripoll, B. Peropadre, and S. De Liberato, “Light-matter decoupling and A2 term detection in superconducting circuits,” Sci. Rep., vol. 5, p. 16055, 2015, https://doi.org/10.1038/srep16055.Search in Google Scholar
[31] A. Bayer, M. Pozimski, S. Schambeck, et al.., “Terahertz light-matter interaction beyond unity coupling strength,” Nano Lett., vol. 17, p. 6340, 2017, https://doi.org/10.1021/acs.nanolett.7b03103.Search in Google Scholar
[32] F. Yoshihara, T. Fuse, S. Ashhab, K. Kakuyanagi, S. Saito, and K. Semba, “Characteristic spectra of circuit quantum electrodynamics systems from the ultrastrong- to the deep-strong-coupling regime,” Phys. Rev. A, vol. 95, p. 053824, 2017, https://doi.org/10.1103/physreva.95.053824.Search in Google Scholar
[33] A. Ridolfo, M. Leib, S. Savasta, and M. J. Hartmann, “Photon blockade in the ultrastrong coupling regime,” Phys. Rev. Lett., vol. 109, p. 193602, 2012, https://doi.org/10.1103/physrevlett.109.193602.Search in Google Scholar
[34] T. Niemczyk, F. Deppe, H. Huebl, et al.., “Circuit quantum electrodynamics in the ultrastrong-coupling regime,” Nat. Phys., vol. 6, p. 772, 2010, https://doi.org/10.1038/nphys1730.Search in Google Scholar
[35] J. Casanova, G. Romero, I. Lizuain, J. J. García-Ripoll, and E. Solano, “Deep strong coupling regime of the Jaynes-Cummings model,” Phys. Rev. Lett., vol. 105, p. 263603, 2010, https://doi.org/10.1103/physrevlett.105.263603.Search in Google Scholar
[36] L. Garziano, V. Macrì, R. Stassi, O. Di Stefano, F. Nori, and S. Savasta, “One photon can simultaneously excite two or more atoms,” Phys. Rev. Lett., vol. 117, p. 043601, 2016, https://doi.org/10.1103/physrevlett.117.043601.Search in Google Scholar
[37] R. Stassi, V. Macrì, A. F. Kockum, et al.., “Quantum nonlinear optics without photons,” Phys. Rev. A, vol. 96, p. 023818, 2017, https://doi.org/10.1103/physreva.96.023818.Search in Google Scholar
[38] S. De Liberato, C. Ciuti, and I. Carusotto, “Quantum vacuum radiation spectra from a semiconductor microcavity with a time-modulated vacuum Rabi frequency,” Phys. Rev. Lett., vol. 98, p. 103602, 2007, https://doi.org/10.1103/physrevlett.98.103602.Search in Google Scholar
[39] S. Ashhab and F. Nori, “Qubit-oscillator systems in the ultrastrong-coupling regime and their potential for preparing nonclassical states,” Phys. Rev. A, vol. 81, p. 042311, 2010, https://doi.org/10.1103/physreva.81.042311.Search in Google Scholar
[40] I. Carusotto, S. De Liberato, D. Gerace, and C. Ciuti “Back-reaction effects of quantum vacuum in cavity quantum electrodynamics,” Phys. Rev. A, vol. 85, p. 023805, 2012, https://doi.org/10.1103/physreva.85.023805.Search in Google Scholar
[41] A. Auer and G. Burkard, “Entangled photons from the polariton vacuum in a switchable optical cavity,” Phys. Rev. B, vol. 85, p. 235140, 2012, https://doi.org/10.1103/physrevb.85.235140.Search in Google Scholar
[42] L. Garziano, A. Ridolfo, R. Stassi, O. Di Stefano, and S. Savasta, “Switching on and off of ultrastrong light-matter interaction: Photon statistics of quantum vacuum radiation,” Phys. Rev. A, vol. 88, p. 063829, 2013, https://doi.org/10.1103/physreva.88.063829.Search in Google Scholar
[43] R. Stassi, A. Ridolfo, O. Di Stefano, M. J. Hartmann, and S. Savasta, “Spontaneous conversion from virtual to real photons in the ultrastrong-coupling regime,” Phys. Rev. Lett., vol. 110, p. 243601, 2013, https://doi.org/10.1103/physrevlett.110.243601.Search in Google Scholar
[44] L. Garziano, R. Stassi, A. Ridolfo, O. Di Stefano, and S. Savasta, “Vacuum-induced symmetry breaking in a superconducting quantum circuit,” Phys. Rev. A, vol. 90, p. 043817, 2014, https://doi.org/10.1103/physreva.90.043817.Search in Google Scholar
[45] J.-F. Huang and C. K. Law, “Photon emission via vacuum-dressed intermediate states under ultrastrong coupling,” Phys. Rev. A, vol. 89, p. 033827, 2014, https://doi.org/10.1103/physreva.89.033827.Search in Google Scholar
[46] G. Benenti, A. D’Arrigo, S. Siccardi, and G. Strini, “Dynamical Casimir effect in quantum-information processing,” Phys. Rev. A, vol. 90, p. 052313, 2014, https://doi.org/10.1103/physreva.90.052313.Search in Google Scholar
[47] L. Garziano, R. Stassi, V. Macrì, A. F. Kockum, S. Savasta, and F. Nori, “Multiphoton quantum Rabi oscillations in ultrastrong cavity QED,” Phys. Rev. A, vol. 92, p. 063830, 2015, https://doi.org/10.1103/physreva.92.063830.Search in Google Scholar
[48] R. Stassi, S. Savasta, L. Garziano, B. Spagnolo, and F. Nori, “Output field-quadrature measurements and squeezing in ultrastrong cavity-QED,” New J. Phys., vol. 18, p. 123005, 2016, https://doi.org/10.1088/1367-2630/18/12/123005.Search in Google Scholar
[49] T. Jaako, Z.-L. Xiang, J. J. Garcia-Ripoll, and P. Rabl, “Ultrastrong-coupling phenomena beyond the Dicke model,” Phys. Rev. A, vol. 94, p. 033850, 2016, https://doi.org/10.1103/physreva.94.033850.Search in Google Scholar
[50] S. De Liberato, “Virtual photons in the ground state of a dissipative system,” Nat. Commun., vol. 8, p. 1465, 2017, https://doi.org/10.1038/s41467-017-01504-5.Search in Google Scholar
[51] M. Cirio, K. Debnath, N. Lambert, and F. Nori, “Amplified optomechanical transduction of virtual radiation pressure,” Phys. Rev. Lett., vol. 119, p. 053601, 2017, https://doi.org/10.1103/physrevlett.119.053601.Search in Google Scholar
[52] A. F. Kockum, V. Macrì, L. Garziano, S. Savasta, and F. Nori, “Frequency conversion in ultrastrong cavity QED,” Sci. Rep., vol. 7, p. 5313, 2017b, https://doi.org/10.1038/s41598-017-04225-3.Search in Google Scholar
[53] F. Albarrán-Arriagada, G. Alvarado Barrios, F. Cárdenas-López, G. Romero, and J. C. Retamal, “Generation of higher dimensional entangled states in quantum Rabi systems,” J. Phys. A: Math. Theor., vol. 50, p. 184001, 2017, https://doi.org/10.1088/1751-8121/aa66a0.Search in Google Scholar
[54] O. Di Stefano, R. Stassi, L. Garziano, A. F. Kockum, S. Savasta, and F. Nori, “Feynman-diagrams approach to the quantum Rabi model for ultrastrong cavity QED: stimulated emission and reabsorption of virtual particles dressing a physical excitation,” New J. Phys., vol. 19, p. 053010, 2017, https://doi.org/10.1088/1367-2630/aa6cd7.Search in Google Scholar
[55] V. Macrì, F. Nori, and A. Kockum, “Simple preparation of Bell and Greenberger-Horne-Zeilinger states using ultrastrong-coupling circuit QED,” Phys. Rev. A, vol. 98, p. 062327, 2018, https://doi.org/10.1103/physreva.98.062327.Search in Google Scholar
[56] L.-L. Zheng, X.-Y. Lü, Q. Bin, Z.-M. Zhan, S. Li, and Y. Wu, “Switchable dynamics in the deep-strong-coupling regime,” Phys. Rev. A, vol. 98, p. 023863, 2018, https://doi.org/10.1103/physreva.98.023863.Search in Google Scholar
[57] S. Felicetti, D. Z. Rossatto, E. Rico, E. Solano, and P. Forn-Díaz, “Two-photon quantum Rabi model with superconducting circuits,” Phys. Rev. A, vol. 97, p. 013851, 2018, https://doi.org/10.1103/physreva.97.013851.Search in Google Scholar
[58] V. Macrì, A. Ridolfo, O. Di Stefano, A. F. Kockum, F. Nori, and S. Savasta, “Nonperturbative dynamical Casimir effect in optomechanical systems: Vacuum Casimir-Rabi splittings,” Phys. Rev. X, vol. 8, p. 011031, 2018, https://doi.org/10.1103/physrevx.8.011031.Search in Google Scholar
[59] J. Flick, C. Schäfer, M. Ruggenthaler, H. Appel, and A. Rubio, “Ab initio optimized effective potentials for real molecules in optical cavities: photon contributions to the molecular ground state,” ACS Photonics, vol. 5, p. 992, 2018, https://doi.org/10.1021/acsphotonics.7b01279.Search in Google Scholar
[60] E. Sánchez-Burillo, L. Martín-Moreno, J. J. García-Ripoll, and D. Zueco, “Single photons by quenching the vacuum,” Phys. Rev. Lett., vol. 123, p. 013601, 2019, https://doi.org/10.1103/physrevlett.123.013601.Search in Google Scholar
[61] U. Mordovina, C. Bungey, H. Appel, P. J. Knowles, A. Rubio, and F. R. Manby, “Polaritonic coupled-cluster theory,” Phys. Rev. Research, vol. 2, p. 023262, 2019.10.1103/PhysRevResearch.2.023262Search in Google Scholar
[62] O. Di Stefano, A. F. Kockum, A. Ridolfo, S. Savasta, and F. Nori, “Photodetection probability in quantum systems with arbitrarily strong light-matter interaction,” Sci. Rep., vol. 8, p. 17825, 2018, https://doi.org/10.1038/s41598-018-36056-1.Search in Google Scholar
[63] C. K. Law, “Interaction between a moving mirror and radiation pressure: A Hamiltonian formulation,” Phys. Rev. A, vol. 51, p. 2537, 1995, https://doi.org/10.1103/physreva.51.2537.Search in Google Scholar
[64] O. Di Stefano, A. Settineri, V. Macrì, et al.., “Interaction of mechanical oscillators mediated by the exchange of virtual photon pairs,” Phys. Rev. Lett., vol. 122, p. 030402, 2019, https://doi.org/10.1103/physrevlett.122.030402.Search in Google Scholar
[65] P. Kirton, M. M. Roses, J. Keeling, and E. G. Dalla Torre, “Introduction to the dicke model: from equilibrium to nonequilibrium, and vice versa,” Adv. Quantum Technol., vol. 2, p. 1800043, 2019, https://doi.org/10.1002/qute.201800043.Search in Google Scholar
[66] J. Flick, M. Ruggenthaler, H. Appel, and A. Rubio, “Atoms and molecules in cavities, from weak to strong coupling in quantum-electrodynamics (QED) chemistry,” Proc. Natl. Acad. Sci. U.S.A., vol. 114, p. 3026, 2017, https://doi.org/10.1073/pnas.1615509114.Search in Google Scholar
[67] J. J. Sakurai, Modern Quantum Mechanics, Reading, MA, Addison-Wesley Publishing Company, Inc., 1994.Search in Google Scholar
[68] O. Di Stefano, A. Settineri, V. Macrì, et al., “Resolution of gauge ambiguities in ultrastrong-coupling cavity quantum electrodynamics,” Nat. Phys., vol. 15, p. 803, 2019, https://doi.org/10.1038/s41567-019-0534-4.Search in Google Scholar
[69] D. De Bernardis, P. Pilar, T. Jaako, S. De Liberato, and P. Rabl, “Breakdown of gauge invariance in ultrastrong-coupling cavity QED,” Phys. Rev. A, vol. 98, p. 053819, 2018a, https://doi.org/10.1103/physreva.98.053819.Search in Google Scholar
[70] A. Stokes and A. Nazir, “Gauge ambiguities imply Jaynes-Cummings physics remains valid in ultrastrong coupling QED,” Nat. Commun., vol. 10, 2019, https://doi.org/10.1038/s41467-018-08101-0.Search in Google Scholar
[71] A. Settineri, O. Di Stefano, D. Zueco, S. Hughes, S. Savasta, and F. Nori, “Gauge freedom, quantum measurements, and time-dependent interactions in cavity and circuit QED,” arXiv:1912.08548, 2019.Search in Google Scholar
[72] K. Jacobs and A. J. Landahl, “Engineering giant nonlinearities in quantum nanosystems,” Phys. Rev. Lett., vol. 103, p. 067201, 2009, https://doi.org/10.1103/physrevlett.103.067201.Search in Google Scholar
[73] S. Ferretti and D. Gerace, “Single-photon nonlinear optics with Kerr-type nanostructured materials,” Phys. Rev. B, vol. 85, p. 033303, 2012, https://doi.org/10.1103/physrevb.85.033303.Search in Google Scholar
[74] M. Malekakhlagh and H. E. Türeci, “Origin and implications of an A2-like contribution in the quantization of circuit-QED systems” Phys. Rev. A, vol. 93, p. 012120, 2016, https://doi.org/10.1103/physreva.93.012120.Search in Google Scholar
[75] C. Sánchez Muñoz, F. Nori, and S. De Liberato, “Resolution of superluminal signalling in non-perturbative cavity quantum electrodynamics” Nat. Commun., vol. 9, p. 1924, 2018, https://doi.org/10.1038/s41467-018-04339-w, arXiv:1709.09872.Search in Google Scholar
[76] P. Knüppel, S. Ravets, M. Kroner, S. Fält, W. Wegscheider, and A. Imamoglu, “Nonlinear optics in the fractional quantum Hall regime,” Nature, vol. 572, p. 91, 2019, https://doi.org/10.1038/s41586-019-1356-3.Search in Google Scholar
[77] D. De Bernardis, T. Jaako, and P. Rabl, “Cavity quantum electrodynamics in the nonperturbative regime” Phys. Rev. A, vol. 97, p. 043820, 2018b, https://doi.org/10.1103/physreva.97.043820.Search in Google Scholar
[78] Q. Bin, X. Lü, T. Yin, Y. Li, and Y. Wu, “Collective radiance effects in the ultrastrong-coupling regime” Phys. Rev. A, vol. 99, p. 033809, 2019, https://doi.org/10.1103/physreva.99.033809.Search in Google Scholar
[79] M. Aspelmeyer, T. J. Kippenberg, and F. Marquardt, “Cavity optomechanics,” Rev. Mod. Phys., vol. 86, p. 1391, 2014, https://doi.org/10.1103/revmodphys.86.1391.Search in Google Scholar
[80] F. Beaudoin, J. M. Gambetta, and A. Blais, “Dissipation and ultrastrong coupling in circuit QED” Phys. Rev. A, vol. 84, p. 043832, 2011, https://doi.org/10.1103/physreva.84.043832, arXiv:1107.3990.Search in Google Scholar
[81] A. Settineri, V. Macrì, A. Ridolfo, et al.., “Dissipation and thermal noise in hybrid quantum systems in the ultrastrong-coupling regime,” Phys. Rev. A, vol. 98, p. 053834, 2018, https://doi.org/10.1103/physreva.98.053834.Search in Google Scholar
© 2020 Salvatore Savasta et al., published by De Gruyter, Berlin/Boston
This work is licensed under the Creative Commons Attribution 4.0 International License.
Articles in the same Issue
- Editorial
- Editorial
- Optoelectronics and Integrated Photonics
- Disorder effects in nitride semiconductors: impact on fundamental and device properties
- Ultralow threshold blue quantum dot lasers: what’s the true recipe for success?
- Waiting for Act 2: what lies beyond organic light-emitting diode (OLED) displays for organic electronics?
- Waveguide combiners for mixed reality headsets: a nanophotonics design perspective
- On-chip broadband nonreciprocal light storage
- High-Q nanophotonics: sculpting wavefronts with slow light
- Thermoelectric graphene photodetectors with sub-nanosecond response times at terahertz frequencies
- High-performance integrated graphene electro-optic modulator at cryogenic temperature
- Asymmetric photoelectric effect: Auger-assisted hot hole photocurrents in transition metal dichalcogenides
- Seeing the light in energy use
- Lasers, Active optical devices and Spectroscopy
- A high-repetition rate attosecond light source for time-resolved coincidence spectroscopy
- Fast laser speckle suppression with an intracavity diffuser
- Active optics with silk
- Nanolaser arrays: toward application-driven dense integration
- Two-dimensional spectroscopy on a THz quantum cascade structure
- Homogeneous quantum cascade lasers operating as terahertz frequency combs over their entire operational regime
- Toward new frontiers for terahertz quantum cascade laser frequency combs
- Soliton dynamics of ring quantum cascade lasers with injected signal
- Fiber Optics and Optical Communications
- Propagation stability in optical fibers: role of path memory and angular momentum
- Perspective on using multiple orbital-angular-momentum beams for enhanced capacity in free-space optical communication links
- Biomedical Photonics
- A fiber optic–nanophotonic approach to the detection of antibodies and viral particles of COVID-19
- Plasmonic control of drug release efficiency in agarose gel loaded with gold nanoparticle assemblies
- Metasurfaces for biomedical applications: imaging and sensing from a nanophotonics perspective
- Hyperbolic dispersion metasurfaces for molecular biosensing
- Fundamentals of Optics
- A Tutorial on the Classical Theories of Electromagnetic Scattering and Diffraction
- Reflectionless excitation of arbitrary photonic structures: a general theory
- Optimization Methods
- Multiobjective and categorical global optimization of photonic structures based on ResNet generative neural networks
- Machine learning–assisted global optimization of photonic devices
- Artificial neural networks for inverse design of resonant nanophotonic components with oscillatory loss landscapes
- Adjoint-optimized nanoscale light extractor for nitrogen-vacancy centers in diamond
- Topological Photonics
- Non-Hermitian and topological photonics: optics at an exceptional point
- Topological photonics: Where do we go from here?
- Topological nanophotonics for photoluminescence control
- Anomalous Anderson localization behavior in gain-loss balanced non-Hermitian systems
- Quantum computing, Quantum Optics, and QED
- Quantum computing and simulation
- NIST-certified secure key generation via deep learning of physical unclonable functions in silica aerogels
- Thomas–Reiche–Kuhn (TRK) sum rule for interacting photons
- Macroscopic QED for quantum nanophotonics: emitter-centered modes as a minimal basis for multiemitter problems
- Generation and dynamics of entangled fermion–photon–phonon states in nanocavities
- Polaritonic Tamm states induced by cavity photons
- Recent progress in engineering the Casimir effect – applications to nanophotonics, nanomechanics, and chemistry
- Enhancement of rotational vacuum friction by surface photon tunneling
- Plasmonics and Polaritonics
- Shrinking the surface plasmon
- Polariton panorama
- Scattering of a single plasmon polariton by multiple atoms for in-plane control of light
- A metasurface-based diamond frequency converter using plasmonic nanogap resonators
- Selective excitation of individual nanoantennas by pure spectral phase control in the ultrafast coherent regime
- Semiconductor quantum plasmons for high frequency thermal emission
- Origin of dispersive line shapes in plasmon-enhanced stimulated Raman scattering microscopy
- Epitaxial aluminum plasmonics covering full visible spectrum
- Metaoptics
- Metamaterials with high degrees of freedom: space, time, and more
- The road to atomically thin metasurface optics
- Active nonlocal metasurfaces
- Giant midinfrared nonlinearity based on multiple quantum well polaritonic metasurfaces
- Near-field plates and the near zone of metasurfaces
- High-efficiency metadevices for bifunctional generations of vectorial optical fields
- Printing polarization and phase at the optical diffraction limit: near- and far-field optical encryption
- Optical response of jammed rectangular nanostructures
- Dynamic phase-change metafilm absorber for strong designer modulation of visible light
- Arbitrary polarization conversion for pure vortex generation with a single metasurface
- Enhanced harmonic generation in gases using an all-dielectric metasurface
- Monolithic metasurface spatial differentiator enabled by asymmetric photonic spin-orbit interactions
Articles in the same Issue
- Editorial
- Editorial
- Optoelectronics and Integrated Photonics
- Disorder effects in nitride semiconductors: impact on fundamental and device properties
- Ultralow threshold blue quantum dot lasers: what’s the true recipe for success?
- Waiting for Act 2: what lies beyond organic light-emitting diode (OLED) displays for organic electronics?
- Waveguide combiners for mixed reality headsets: a nanophotonics design perspective
- On-chip broadband nonreciprocal light storage
- High-Q nanophotonics: sculpting wavefronts with slow light
- Thermoelectric graphene photodetectors with sub-nanosecond response times at terahertz frequencies
- High-performance integrated graphene electro-optic modulator at cryogenic temperature
- Asymmetric photoelectric effect: Auger-assisted hot hole photocurrents in transition metal dichalcogenides
- Seeing the light in energy use
- Lasers, Active optical devices and Spectroscopy
- A high-repetition rate attosecond light source for time-resolved coincidence spectroscopy
- Fast laser speckle suppression with an intracavity diffuser
- Active optics with silk
- Nanolaser arrays: toward application-driven dense integration
- Two-dimensional spectroscopy on a THz quantum cascade structure
- Homogeneous quantum cascade lasers operating as terahertz frequency combs over their entire operational regime
- Toward new frontiers for terahertz quantum cascade laser frequency combs
- Soliton dynamics of ring quantum cascade lasers with injected signal
- Fiber Optics and Optical Communications
- Propagation stability in optical fibers: role of path memory and angular momentum
- Perspective on using multiple orbital-angular-momentum beams for enhanced capacity in free-space optical communication links
- Biomedical Photonics
- A fiber optic–nanophotonic approach to the detection of antibodies and viral particles of COVID-19
- Plasmonic control of drug release efficiency in agarose gel loaded with gold nanoparticle assemblies
- Metasurfaces for biomedical applications: imaging and sensing from a nanophotonics perspective
- Hyperbolic dispersion metasurfaces for molecular biosensing
- Fundamentals of Optics
- A Tutorial on the Classical Theories of Electromagnetic Scattering and Diffraction
- Reflectionless excitation of arbitrary photonic structures: a general theory
- Optimization Methods
- Multiobjective and categorical global optimization of photonic structures based on ResNet generative neural networks
- Machine learning–assisted global optimization of photonic devices
- Artificial neural networks for inverse design of resonant nanophotonic components with oscillatory loss landscapes
- Adjoint-optimized nanoscale light extractor for nitrogen-vacancy centers in diamond
- Topological Photonics
- Non-Hermitian and topological photonics: optics at an exceptional point
- Topological photonics: Where do we go from here?
- Topological nanophotonics for photoluminescence control
- Anomalous Anderson localization behavior in gain-loss balanced non-Hermitian systems
- Quantum computing, Quantum Optics, and QED
- Quantum computing and simulation
- NIST-certified secure key generation via deep learning of physical unclonable functions in silica aerogels
- Thomas–Reiche–Kuhn (TRK) sum rule for interacting photons
- Macroscopic QED for quantum nanophotonics: emitter-centered modes as a minimal basis for multiemitter problems
- Generation and dynamics of entangled fermion–photon–phonon states in nanocavities
- Polaritonic Tamm states induced by cavity photons
- Recent progress in engineering the Casimir effect – applications to nanophotonics, nanomechanics, and chemistry
- Enhancement of rotational vacuum friction by surface photon tunneling
- Plasmonics and Polaritonics
- Shrinking the surface plasmon
- Polariton panorama
- Scattering of a single plasmon polariton by multiple atoms for in-plane control of light
- A metasurface-based diamond frequency converter using plasmonic nanogap resonators
- Selective excitation of individual nanoantennas by pure spectral phase control in the ultrafast coherent regime
- Semiconductor quantum plasmons for high frequency thermal emission
- Origin of dispersive line shapes in plasmon-enhanced stimulated Raman scattering microscopy
- Epitaxial aluminum plasmonics covering full visible spectrum
- Metaoptics
- Metamaterials with high degrees of freedom: space, time, and more
- The road to atomically thin metasurface optics
- Active nonlocal metasurfaces
- Giant midinfrared nonlinearity based on multiple quantum well polaritonic metasurfaces
- Near-field plates and the near zone of metasurfaces
- High-efficiency metadevices for bifunctional generations of vectorial optical fields
- Printing polarization and phase at the optical diffraction limit: near- and far-field optical encryption
- Optical response of jammed rectangular nanostructures
- Dynamic phase-change metafilm absorber for strong designer modulation of visible light
- Arbitrary polarization conversion for pure vortex generation with a single metasurface
- Enhanced harmonic generation in gases using an all-dielectric metasurface
- Monolithic metasurface spatial differentiator enabled by asymmetric photonic spin-orbit interactions