Abstract
We consider a periodic chain of oscillating dipoles, interacting via long-range dipole–dipole interactions, embedded inside a cuboid cavity waveguide. We show that the mixing between the dipolar excitations and cavity photons into polaritons can lead to the appearance of new states localized at the ends of the dipolar chain, which are reminiscent of Tamm surface states found in electronic systems. A crucial requirement for the formation of polaritonic Tamm states is that the cavity cross section is above a critical size. Above this threshold, the degree of localization of the Tamm states is highly dependent on the cavity size since their participation ratio scales linearly with the cavity cross-sectional area. Our findings may be important for quantum confinement effects in one-dimensional systems with strong light–matter coupling.
1 Introduction
In 1932, Tamm [1] showed the existence of surface states in a one-dimensional (1-D) crystal lattice, due to the abrupt termination of the periodic crystal at an interfacing surface, such as the vacuum [2], [3], [4]. This result highlighted a surprising failure of the theory of a periodic potential with cyclic boundary conditions at the elementary level of the electronic bandstructure, despite its great utility in explaining the bulk properties of solids [5], [6]. Tamm surface states have since been shown to have profound consequences for the rich field of surface science, including for photoluminescence in mesoscopic systems [7], photocurrents in superlattices [8], and the absorption spectra of molecular chains [9], [10], [11].
Over the last two decades, various theories of Tamm states in the latest condensed matter systems have been developed [12]. For example, with exciton–polaritons in multilayer dielectric structures [13], with plasmons at at the boundary between a metal and a dielectric Bragg mirror [14], and with phonons in graphene nanoribbons [15]. Pioneering experimental work has seen the observance of Tamm states in magnetophotonic structures [16], in organic dye-doped polymer layers [17], and latterly in photonic crystals [18], [19], [20].
Due to the rise of topological physics in photonics and plasmonics [21], [22], [23], [24], [25], [26], there is an ongoing interest in finding and classifying unconventional light–matter states. Indeed, the latest advances in topological matter have been made in photon-based systems, leading to the rapidly expanding subfield of topological nanophotonics [27], [28], [29], [30], [31], [32], [33]. It is therefore crucial to also classify and understand surface states of a nontopological origin, such as Tamm-like edge states, in systems with strong light–matter coupling. Indeed, there are recent experimental studies of polariton micropillars, where the localization of both topologically trivial and topologically nontrivial modes is examined in detail [34], [35].
In this work, we consider a nanophotonic system which exhibits Tamm-like edge states: a 1-D chain of regularly spaced nanoresonators, coupled via dipole–dipole interactions, which are housed inside a cavity waveguide (see Figure 1(a)). The linear dipolar chain is of some importance since it is a simple system where one may study the subwavelength transportation of energy and information [36], [37], [38], [39], [40]. In our theory, we place the dipolar chain inside a cuboid cavity in order to study the effect of controllable light–matter interactions. Modulating the cross-sectional area of the cavity allows one to tune both the light–matter coupling strength and the light–matter detuning. In the strong coupling regime, the dipolar excitations in the resonator chain hybridize with the cavity photons to form polaritonic excitations [41], [42]. The resulting polaritons, which display half-light and half-matter properties, can lead to the emergence of a highly localized edge state of a nontopological origin: a Tamm-like state. Notably, neither the dipolar chain nor the cavity photons display Tamm states when the light–matter interaction is switched off. We discuss the properties of the emergent polaritonic Tamm state, including how its creation requires the cavity cross section to be above a critical size and how its localization properties scale with the cavity cross-sectional area.

Panel (a): a sketch of our system: a chain of dipoles embedded inside a cuboid cavity waveguide of dimensions Lx × Ly × Lz. Panel (b): Each dipole is modeled as a harmonic oscillator of resonance frequency ω0. It can be realized by the Mie resonance in a dielectric nanoparticle, spin waves in a magnetic micropillar, or localized surface plasmons in a metallic nanorod. Panel (c): the long chain of
The presented theory of a chain of oscillating dipoles embedded inside a cuboid cavity may be realized in a wide range of dipolar systems, as alluded to in the sketches in Figure 1(b). At the subwavelength scale, exploiting the Mie resonances in a chain of dielectric nanoparticles is a promising option since the system does not suffer from high losses and is hence ideal for energy transportation [43], [44], [45]. Localized surface plasmons hosted by metallic nanoparticles are another accessible platform [46], [47], [48], and there are several recent experimental studies of plasmonic nanoparticles in cavity geometries [49], [50], [51], [52]. Exciting spin waves in magnetic microspheres is another appealing possibility [53] since cavity magnons have been well studied experimentally in recent years [54]. Finally, implementations with Rydberg [55], [56] and ultracold atoms [57], [58], as well as helical resonators [59], are also viable settings for the versatile theory presented here.
The rest of the manuscript is organized as follows: we describe our model in Section 2, we unveil the polaritonic Tamm states in Section 3, and we draw some conclusions in Section 4. The Supplementary material contains additional theoretical details.
2 Model
The Hamiltonian of a chain of oscillating dipoles embedded inside a cavity reads as follows [60], [61], [62]:
accounting for the dipolar dynamics, the cavity photons, and the light–matter coupling, respectively. Importantly, the couplings in Hdp go beyond the nearest-neighbor approximation [25], [40], which is essential for a proper treatment of the type of Tamm states discussed in this system.
We sketch in Figure 1(c) the model of our system: a 1-D array of dipoles, regularly spaced at the interval d, which is encased inside a cuboid cavity of dimensions Lx × Ly × Lz (see panel [a]). Tuning the size of the cavity cross-sectional area (Lx × Ly) modulates both the light–matter coupling strength and the light–matter detuning, such that polariton excitations may be formed by the mixing between the cavity photons and dipolar excitations (which are generally treated as harmonic oscillators, see Figure 1(b) for some physical realizations).
2.1 Dipolar Hamiltonian
The dipolar Hamiltonian (Hdp in Eq. (1)) describes a linear chain of
where the bosonic creation (annihilation) operator
After ignoring the counter-rotating terms in Eq. (2) (see Ref. [63] for the full treatment), the eigenfrequencies
2.2 Polaritonic Hamiltonian
The photonic Hamiltonian (Hph in Eq. (1)) describes the cavity photons inside the long cuboid cavity of dimensions Lz ≫ Ly > Lx (see Figure 1[a]). In terms of the photonic creation (annihilation) operator
where the cavity photon dispersion
where c is the speed of light in vacuum. The cavity width is Ly and the cavity aspect ratio Ly > Lx, such that only the photonic band of Eq. (5) is relevant for the problem. The full light–matter coupling Hamiltonian (Hdp−ph in Eq. (1)) reads (see Ref. [63] for the derivation) as follows:
where, we have introduced the light–matter coupling constant as follows:
The diamagnetic term (on the second line of Eq. (6)) simply leads to a renormalization of the photon dispersion
a shift which can be safely disregarded throughout this work, since it only leads to small quantitative changes to the results presented here. The paramagnetic term (on the first line of Eq. (6)) is important and gives rise to the formation of polaritonic excitations.
Ignoring counter-rotating terms in the polaritonic Hamiltonian (formed by Eqs. (2), (4), and (6)), we may write the resulting rotating wave approximation polaritonic Hamiltonian as follows:
where the polaritonic Bloch Hamiltonian is
where the index τ = ± labels the upper and lower polariton bands. The polariton dispersion
where the average frequency of the uncoupled dispersions
The bosonic Bogoliubov operators
where the Bogoliubov coefficients are as follows:
in terms of the quantities defined in Eq. (12).
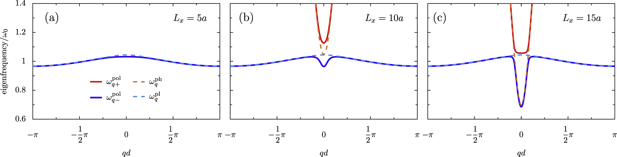
We plot in Figure 2 the polariton dispersion of Eq. (11) for the cavity heights

The polariton dispersion
The Bogoliubov operators of Eq. (13) imply the pair of polaritonic Bloch spinors
where {σx, σy, σz} are the Pauli matrices, and I2 is the two-dimensional identity matrix. Despite this Dirac mapping, the associated spinors
Perhaps surprisingly, the mixing between the dipolar and photonic modes into polaritons also gives rise to the formation of Tamm-like edge states. These localized states are missing in Figure 2 since their emergence requires a finite system (which precludes the use of periodic boundary conditions).
3 Polaritonic Tamm states
In order to search for the edge states in our system of a chain of resonators inside a cavity, it is necessary to solve the eigenproblem of Eq. (1) in real space, thus removing the periodic boundary condition assumption in the Fourier space calculation of the previous section. This procedure leads to the eigenfrequencies
where the summations are over all of the dipole sites n. Extended states residing in the bulk part of the spectrum are characterized by a participation ratio scaling linearly with the system size and in the nearest-neighbor approximation
In Figure 3(a), we plot the polariton bandstructure from Eq. (11) with Lx = 10a (cf. Figure 2(b)), where all-neighbor coupling

Panel (a): the polariton dispersion in the first Brillouin zone, with all-neighbor coupling
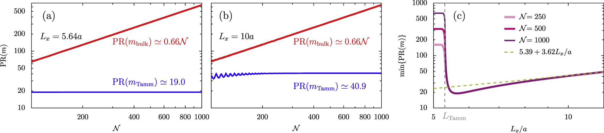
Using Eq. (16), Figure 3(b) displays the participation ratio PR(m) for the equivalent problem in real space for a chain of
We plot in Figure 3(c) the probability density
In Figure 4(a) and (b), we show the dependence of the participation ratio
![Figure 4: Panels (a) and (b): the participation ratio PR(m) as a function of the number of dipoles N$\mathcal{N}$ in the chain, where bulk (Tamm) states are denoted by the thick red (thin blue) lines (cf. Eq. (16)). We show results for the cavity heights Lx = 5.64a (panel [a]) and Lx = 10a (panel [b]). Panel (c): the minimum of the participation ratio min{PR(m)} as a function of the reduced cavity height Lx/a, calculated for N={250,500,1000}$\mathcal{N}=\left\{250,500,1000\right\}$ dipoles. The linear fitting valid for Lx ≳ 8a is given by the dashed green line. The critical cavity size LTamm is denoted by the vertical dashed gray line. In the figure, the interdipole separation d = 3a, the dipole strength ω0c/a=1/10${\omega }_{0}c/a=1/10$, and the cavity aspect ratio Ly = 3Lx are shown.](/document/doi/10.1515/nanoph-2020-0370/asset/graphic/j_nanoph-2020-0370_fig_004.jpg)
Panels (a) and (b): the participation ratio PR(m) as a function of the number of dipoles
We investigate the cavity size Tamm state relationship in Figure 4(c), which shows the minimum of the participation ratio min{PR(m)} as a function of the cavity height Lx, for chains of
We have therefore demonstrated an unusual, nontopological (see the discussion after Eq. (15)) phase transition demarcating the absence and presence of Tamm-like edge states, which are induced by cavity interactions and boundary conditions in the chain beyond those used in the nearest-neighbor approximation. The observation of these proposed Tamm states requires careful sweeping in energy, due to their proximity to bulk states. Such careful measurements can be performed using the latest techniques in cathodoluminescence spectroscopy [76] and optical microscopy and spectroscopy [77]. The detection of such states in the strong coupling regime provides perspectives for the fundamental understanding of the interplay between edge states and light–matter coupling and for controlling the localization of polariton states in nanoscale waveguiding structures. Furthermore, while there is a great quest to find topological nanophotonic states [27], [28], [29], [30], [31], [32], [33], our findings highlight that after the experimental observation of an edge state, one should also consider possible nontopological mechanisms of generation.
4 Conclusion
We have presented a theory of polaritonic Tamm states, forged due to the mixing between the collective excitations in a dipolar chain and cavity photons. Importantly, the very existence of Tamm states requires the cavity cross-sectional area to be above a critical value. In this supercritical regime, the degree of localization of the Tamm states is highly dependent on the cavity size, with the participation ratio scaling linearly with the cavity cross-sectional area. We have also shown the crucial role played by dipole–dipole interactions beyond the celebrated nearest-neighbor approximation, without which the Tamm edge states do not form. The theory demonstrates the possibility of light trapping in nontopological 1-D structures, which may be important for waveguiding at the nanoscale. Our results also highlight how edge states may be generated via nontopological means, quite distinct from iconic topological models.
Our proposed model can be implemented in a host of systems based upon dipolar resonators, including dielectric and metallic nanoparticles [78]. Our theoretical proposal therefore offers the opportunity to finely control the propagation and localization of collective light–matter excitations at the subwavelength scale and provides perspectives for more complicated and higher dimensional nanophotonic systems [79], [80].
Funding source: Consejo Superior de Investigaciones Científicas
Award Identifier / Grant number: MAT2017-88358-C3-I-R
Funding source: Quantum Materials and Devices (Q-MAD)
Funding source: Ministerio de Economía y Competitividad (MINECO)
Funding source: Juan de la Cierva program
Author contribution: All the authors have accepted responsibility for the entire content of this submitted manuscript and approved submission.
Research funding: This work was supported by the Aragón government through the project Quantum Materials and Devices (Q-MAD) and Ministerio de Economía y Competitividad (MINECO) (Contract No. MAT2017-88358-C3-I-R). CAD acknowledges support from the Juan de la Cierva program (MINECO, Spain).
Conflict of interest statement: The authors declare no conflicts of interest regarding this article.
References
[1] I. E. Tamm, “On the possible bound states of electrons on a crystal surface,” Phys. Z. Sowjetunion, vol. 1, p. 733, 1932.Search in Google Scholar
[2] R. H. Fowler, “Notes on some electronic properties of conductors and insulators,” Proc. Roy. Soc. A, vol. 141, p. 56, 1933.10.1098/rspa.1933.0103Search in Google Scholar
[3] W. Shockley, “On the surface states associated with a periodic potential,” Phys. Rev., vol. 56, p. 317, 1939.10.1103/PhysRev.56.317Search in Google Scholar
[4] F. Forstmann, “The concepts of surface states,” Prog. Surf. Sci., vol. 42, p. 21, 1993.10.1016/0079-6816(93)90055-ZSearch in Google Scholar
[5] S. G. Davison and M. Steslicka, Basic Theory of Surface States, Oxford, Oxford University Press, 1996.Search in Google Scholar
[6] S. Y. Ren, Electronic States in Crystals of Finite Size: Quantum Confinement of Bloch Waves, Berlin, Springer, 2005.10.1007/b137381Search in Google Scholar
[7] H. Ohno, E. E. Mendez, J. A. Brum, et al., “Observation of “Tamm states” in superlattices,” Phys. Rev. Lett., vol. 64, p. 2555, 1990.10.1103/PhysRevLett.64.2555Search in Google Scholar
[8] H. Ohno, E. E. Mendez, A. Alexandrou, and J. M. Hong, “Tamm states in superlattices,” Surf. Sci., vol. 267, p. 161, 1990.10.1016/0039-6028(92)91112-OSearch in Google Scholar
[9] V. M. Agranovich, K. Schmidt, and K. Leo, “Surface states in molecular chains with strong mixing of Frenkel and charge-transfer excitons,” Chem. Phys. Lett., vol. 325, p. 308, 2000.10.1016/S0009-2614(00)00678-3Search in Google Scholar
[10] K. Schmidt, “Quantum confinement in linear molecular chains with strong mixing of Frenkel and charge-transfer excitons,” Phys. Lett. A, vol. 293, p. 83, 2002.10.1016/S0375-9601(01)00841-6Search in Google Scholar
[11] M. Hoffmann, “Mixing of Frenkel and charge-transfer excitons and their quantum confinement in thin films,” Thin Films Nanostruct., vol. 31, p. 221, 2003.10.1016/S1079-4050(03)31005-1Search in Google Scholar
[12] For a review of Tamm states in photonic crystals, see A. P. Vinogradov, A. V. Dorofeenko, A. M. Merzlikin, and A. A. Lisyansky, “Surface states in photonic crystals,” Phys.-Usp., vol. 53, p. 243, 2010.10.3367/UFNe.0180.201003b.0249Search in Google Scholar
[13] A. Kavokin, I. Shelykh, and G. Malpuech, “Optical Tamm states for the fabrication of polariton lasers,” Appl. Phys. Lett., vol. 87, p. 261105, 2005.10.1063/1.2136414Search in Google Scholar
[14] M. Kaliteevski, I. Iorsh, S. Brand, et al., “Tamm plasmon-polaritons: possible electromagnetic states at the interface of a metal and a dielectric Bragg mirror,” Phys. Rev. B, vol. 76, p. 165415, 2007.10.1103/PhysRevB.76.165415Search in Google Scholar
[15] A. V. Savin and Y. S. Kivshar, “Vibrational Tamm states at the edges of graphene nanoribbons,” Phys. Rev. B, vol. 81, p. 165418, 2010.10.1103/PhysRevB.81.165418Search in Google Scholar
[16] T. Goto, A. V. Dorofeenko, A. M. Merzlikin, et al., “Optical Tamm states in one-dimensional magnetophotonic structures,” Phys. Rev. Lett., vol. 101, p. 113902, 2008.10.1103/PhysRevLett.101.113902Search in Google Scholar PubMed
[17] S. Núñez-Sánchez, M. Lopez-Garcia, M. M. Murshidy, et al., “Excitonic optical Tamm states: a step toward a full molecular-dielectric photonic integration,” ACS Photonics, vol. 3, p. 743, 2016.10.1021/acsphotonics.6b00060Search in Google Scholar
[18] A. Juneau-Fecteau and L. G. Fréchette, “Tamm plasmon-polaritons in a metal coated porous silicon photonic crystal,” Opt. Mater. Express, vol. 8, p. 2774, 2018.10.1364/OME.8.002774Search in Google Scholar
[19] A. Juneau-Fecteau, R. Savin, A. Boucherif, and L. G. Fréchette, “Tamm phonon-polaritons: localized states from phonon–light interactions,” Appl. Phys. Lett., vol. 114, p. 141101, 2019.10.1063/1.5089693Search in Google Scholar
[20] Y. Nakata, Y. Ito, Y. Nakamura, and R. Shindou, “Topological boundary modes from translational deformations,” Phys. Rev. Lett., vol. 124, p. 073901, 2020.10.1103/PhysRevLett.124.073901Search in Google Scholar PubMed
[21] A. P. Slobozhanyuk, A. N. Poddubny, A. E. Miroshnichenko, P. A. Belov, and Y. S. Kivshar, “Subwavelength topological edge states in optically resonant dielectric structures,” Phys. Rev. Lett., vol. 114, p. 123901, 2015.10.1103/PhysRevLett.114.123901Search in Google Scholar PubMed
[22] C. W. Ling, M. Xiao, C. T. Chan, S. F. Yu, and K. H. Fung, “Topological edge plasmon modes between diatomic chains of plasmonic nanoparticles,” Opt. Express, vol. 23, p. 2021, 2015.10.1364/OE.23.002021Search in Google Scholar PubMed
[23] C. A. Downing and G. Weick, “Topological collective plasmons in bipartite chains of metallic nanoparticles,” Phys. Rev. B, vol. 95, p. 125426, 2017.10.1103/PhysRevB.95.125426Search in Google Scholar
[24] S. R. Pocock, X. Xiao, P. A. Huidobro, and V. Giannini, “Topological plasmonic chain with retardation and radiative effects,” ACS Photonics, vol. 5, p. 2271, 2018.10.1021/acsphotonics.8b00117Search in Google Scholar
[25] C. A. Downing and G. Weick, “Topological plasmons in dimerized chains of nanoparticles: robustness against long-range quasistatic interactions and retardation effects,” Eur. Phys. J. B, vol. 91, p. 253, 2018.10.1140/epjb/e2018-90199-0Search in Google Scholar
[26] Á. Gutiérrez-Rubio, L. Chirolli, L. Martín-Moreno, F. J. García-Vidal, and F. Guinea, “Polariton anomalous Hall effect in transition-metal dichalcogenides,” Phys. Rev. Lett., vol. 121, p. 137402, 2018.10.1103/PhysRevLett.121.137402Search in Google Scholar PubMed
[27] L. Lu, J. D. Joannopoulos, and M. Soljačić, “Topological photonics,” Nat. Photonics, vol. 8, p. 821, 2014.10.1038/nphoton.2014.248Search in Google Scholar
[28] A. B. Khanikaev and G. Shvets, “Two-dimensional topological photonics,” Nat. Photonics, vol. 11, p. 763, 2017.10.1038/s41566-017-0048-5Search in Google Scholar
[29] X.-C. Sun, C. H. Xiao, P. Liu, M.-H. Lu, S.-N. Zhu, and Y.-F. Chen, “Two-dimensional topological photonic systems,” Prog. Quantum. Electron., vol. 55, p. 52, 2017.10.1016/j.pquantelec.2017.07.004Search in Google Scholar
[30] V. M. Martinez Alvarez, J. E. Barrios Vargas, M. Berdakin, and L. E. F. Foa Torres, “Topological states of non-Hermitian systems,” Eur. Phys. J. Spec. Top., vol. 227, p. 1295, 2018.10.1140/epjst/e2018-800091-5Search in Google Scholar
[31] T. Ozawa, H. M. Price, A. Amo, et al., “Topological photonics,” Rev. Mod. Phys., vol. 91, p. 015006, 2019.10.1103/RevModPhys.91.015006Search in Google Scholar
[32] M. S. Rider, S. J. Palmer, S. R. Pocock, X. Xiao, P. A. Huidobro, and V. Giannini, “A perspective on topological nanophotonics,” J. Appl. Phys., vol. 125, p. 120901, 2019.10.1063/1.5086433Search in Google Scholar
[33] Y. Ota, K. Takaka, T. Ozawa, et al., “Active topological photonics,” Nanophotonics, vol. 9, p. 547, 2020.10.1515/nanoph-2019-0376Search in Google Scholar
[34] P. St-Jean, V. Goblot, E. Galopin, et al., “Lasing in topological edge states of a one-dimensional lattice,” Nat. Photonics, vol. 11, p. 651, 2017.10.1038/s41566-017-0006-2Search in Google Scholar
[35] C. E. Whittaker, E. Cancellieri, P. M. Walker, et al., “Effect of photonic spin-orbit coupling on the topological edge modes of a Su-Schrieffer-Heeger chain,” Phys. Rev. B, vol. 99, p. 081402(R), 2019.10.1103/PhysRevB.99.081402Search in Google Scholar
[36] M. L. Brongersma, J. W. Hartman, and H. A. Atwater, “Electromagnetic energy transfer and switching in nanoparticle chain arrays below the diffraction limit,” Phys. Rev. B, vol. 62, p. R16356(R), 2000.10.1103/PhysRevB.62.R16356Search in Google Scholar
[37] S. A. Maier, P. G. Kik, and H. A. Atwater, “Optical pulse propagation in metal nanoparticle chain,” Phys. Rev. B, vol. 67, p. 205402, 2003.10.1103/PhysRevB.67.205402Search in Google Scholar
[38] S. Y. Park and D. Stroud, “Surface-plasmon dispersion relations in chains of metallic nanoparticles: an exact quasistatic calculation,” Phys. Rev. B, vol. 69, p. 125418, 2004.10.1103/PhysRevB.69.125418Search in Google Scholar
[39] A. Brandstetter-Kunc, G. Weick, C. A. Downing, D. Weinmann, and R. A. Jalabert, “Nonradiative limitations to plasmon propagation in chains of metallic nanoparticles,” Phys. Rev. B, vol. 94, p. 205432, 2016.10.1103/PhysRevB.94.205432Search in Google Scholar
[40] C. A. Downing, E. Mariani, and G. Weick, “Retardation effects on the dispersion and propagation of plasmons in metallic nanoparticle chains,” J. Phys. Condens. Matter, vol. 30, p. 025301, 2018.10.1088/1361-648X/aa9d59Search in Google Scholar PubMed
[41] R. Ameling and H. Giessen, “Microcavity plasmonics: strong coupling of photonic cavities and plasmons,” Laser Photonics Rev., vol. 7, p. 141, 2013.10.1002/lpor.201100041Search in Google Scholar
[42] P. Ginzburg, “Cavity quantum electrodynamics in application to plasmonics and metamaterials,” Rev. Phys., vol. 1, p. 120, 2016.10.1016/j.revip.2016.07.001Search in Google Scholar
[43] R. S. Savelev, A. V. Yulin, A. E. Krasnok, and Y. S. Kivshar, “Solitary waves in chains of high-index dielectric nanoparticles,” ACS Photonics, vol. 3, p. 1869, 2016.10.1021/acsphotonics.6b00384Search in Google Scholar
[44] R. M. Bakker, Y. Feng, Y. R. Paniagua-Domínguez, B. Luk’yanchuk, and A. I. Kuznetsov, “Resonant light guiding along a chain of silicon nanoparticles,” Nano Lett., vol. 17, p. 3458, 2017.10.1021/acs.nanolett.7b00381Search in Google Scholar PubMed
[45] K. Koshelev, S. Kruk, E. Melik-Gaykazyan, et al., “Subwavelength dielectric resonators for nonlinear nanophotonics,” Science, vol. 367, p. 288, 2020.10.1126/science.aaz3985Search in Google Scholar PubMed
[46] S. J. Barrow, D. Rossouw, A. M. Funston, G. A. Botton, and P. Mulvaney, “Mapping bright and dark modes in gold nanoparticle chains using electron energy loss spectroscopy,” Nano Lett., vol. 14, p. 3799, 2014.10.1021/nl5009053Search in Google Scholar PubMed
[47] F. N. Gür, C. P. T. McPolin, S. Raza, et al., “DNA-assembled plasmonic waveguides for nanoscale light propagation to a fluorescent nanodiamond,” Nano Lett., vol. 18, p. 7323, 2018.10.1021/acs.nanolett.8b03524Search in Google Scholar PubMed
[48] H. T. Rekola, T. K. Hakala, and P. Törmä, “One-dimensional plasmonic nanoparticle chain lasers,” ACS Photonics, vol. 5, p. 1822, 2018.10.1021/acsphotonics.8b00001Search in Google Scholar
[49] M. Barth, S. Schietinger, S. Fischer, et al., “Nanoassembled plasmonic-photonic hybrid cavity for tailored light–matter coupling,” Nano Lett., vol. 10, p. 891, 2010.10.1021/nl903555uSearch in Google Scholar PubMed
[50] F. M. Huang, D. Wilding, J. D. Speed, A. E. Russell, P. N. Bartlett, and J. J. Baumberg, “Dressing plasmons in particle-in-cavity architectures,” Nano Lett., vol. 11, p. 1221, 2011.10.1364/QELS.2011.QFC5Search in Google Scholar
[51] M. A. Schmidt, D. Y. Lei, L. Wondraczek, V. Nazabal, and S. A. Maier, “Hybrid nanoparticle–microcavity–based plasmonic nanosensors with improved detection resolution and extended remote-sensing ability,” Nat. Commun., vol. 3, p. 1108, 2012.10.1038/ncomms2109Search in Google Scholar PubMed PubMed Central
[52] Y. Yin, J. Wang, X. Lu, et al., “In situ generation of plasmonic nanoparticles for manipulating photon–plasmon coupling in microtube cavities,” ACS Nano, vol. 12, p. 3726, 2018.10.1021/acsnano.8b00957Search in Google Scholar PubMed
[53] F. Pirmoradian, B. Z. Rameshti, M. Miri, and S. Saeidian, “Topological magnon modes in a chain of magnetic spheres,” Phys. Rev. B, vol. 98, p. 224409, 2018.10.1103/PhysRevB.98.224409Search in Google Scholar
[54] X. Zhang, C.-L. Zou, L. Jiang, and H. X. Tang, “Strongly coupled magnons and cavity microwave photons,” Phys. Rev. B, vol. 113, p. 156401, 2014.10.1103/PhysRevLett.113.156401Search in Google Scholar PubMed
[55] A. Browaeys, D. Barredo, and T. Lahaye, “Experimental investigations of dipole–dipole interactions between a few Rydberg atoms,” J. Phys. B At. Mol. Opt. Phys., vol. 49, p. 152001, 2016.10.1088/0953-4075/49/15/152001Search in Google Scholar
[56] S. de Léséleuc, V. Lienhard, P. Scholl, et al., “Observation of a symmetry-protected topological phase of interacting bosons with Rydberg atoms,” Science, vol. 365, p. 775, 2019.10.1126/science.aav9105Search in Google Scholar PubMed
[57] H. Weimer, N. Y. Yao, C. R. Laumann, and M. D. Lukin, “Long-range quantum gates using dipolar crystals,” Phys. Rev. Lett., vol. 108, p. 100501, 2012.10.1103/PhysRevLett.108.100501Search in Google Scholar PubMed
[58] N. R. Cooper, J. Dalibard, and I. B. Spielman, “Topological bands for ultracold atoms,” Rev. Mod. Phys., vol. 91, p. 015005, 2019.10.1103/RevModPhys.91.015005Search in Google Scholar
[59] C. R. Mann, T. J. Sturges, G. Weick, W. L. Barnes, and E. Mariani, “Manipulating type-I and type-II Dirac polaritons in cavity-embedded honeycomb metasurfaces,” Nat. Commun., vol. 9, p. 2194, 2018.10.1038/s41467-018-03982-7Search in Google Scholar PubMed PubMed Central
[60] D. P. Craig and T. Thirunamachandran, Molecular Quantum Electrodynamics: An Introduction to Radiation-Molecule Interactions, London, Academic Press, 1984.Search in Google Scholar
[61] A. Salam, Molecular Quantum Electrodynamics: Long-Range Intermolecular Interactions, New Jersey, Wiley, 2010.10.1002/9780470535462Search in Google Scholar
[62] C. A. Downing, T. J. Sturges, G. Weick, M. Stobińska, and L. Martín-Moreno, “Topological phases of polaritons in a cavity waveguide,” Phys. Rev. Lett., vol. 123, p. 217401, 2019.10.1103/PhysRevLett.123.217401Search in Google Scholar PubMed
[63] See the Supplemental material, which contains Refs. [64]–[66] for further descriptions, details, and derivations.Search in Google Scholar
[64] C. A. Downing, E. Mariani, and G. Weick, “Radiative frequency shifts in nanoplasmonic dimers,” Phys. Rev. B, vol. 96, p. 155421, 2017.10.1103/PhysRevB.96.155421Search in Google Scholar
[65] J. J. Hopfield, “Theory of the contribution of excitons to the complex dielectric constant of crystals,” Phys. Rev., vol. 112, p. 1555, 1958.10.1103/PhysRev.112.1555Search in Google Scholar
[66] C. A. Downing, J. C. López Carreño, A. I. Fernández-Domínguez, and E. del Valle, “Asymmetric coupling between two quantum emitters,” Phys. Rev. A, vol. 102, p. 013723, 2020.10.1103/PhysRevA.102.013723Search in Google Scholar
[67] P. W. Milonni, The Quantum Vacuum: An Introduction to Quantum Electrodynamics, London, Academic Press, 1994.10.1016/B978-0-08-057149-2.50010-2Search in Google Scholar
[68] K. Kakazu and Y. S. Kim, “Quantization of electromagnetic fields in cavities and spontaneous emission,” Phys. Rev. A, vol. 50, p. 1830, 1994.10.1103/PhysRevA.50.1830Search in Google Scholar
[69] J. C. G. Henriques, T. G. Rappoport, Y. V. Bludov, M. I. Vasilevskiy, and N. M. R. Peres, “Topological photonic Tamm states and the Su-Schrieffer-Heeger model,” Phys. Rev. A, vol. 101, p. 043811, 2020.10.1103/PhysRevA.101.043811Search in Google Scholar
[70] M. V. Berry, “Quantal phase factors accompanying adiabatic changes,” Proc. R. Soc. A, vol. 392, p. 45, 1984.10.1142/9789813221215_0006Search in Google Scholar
[71] J. Zak, “Berry’s phase for energy bands in solids,” Phys. Rev. Lett., vol. 62, p. 2747, 1989.10.1103/PhysRevLett.62.2747Search in Google Scholar
[72] J. K. Asboth, L. Oroszlany, and A. Palyi, A Short Course on Topological Insulators, Heidelberg, Springer, 2016.10.1007/978-3-319-25607-8Search in Google Scholar
[73] R. J. Bell and P. Dean, “Atomic vibrations in vitreous silica,” Discuss. Faraday Soc., vol. 50, p. 55, 1970.10.1039/df9705000055Search in Google Scholar
[74] D. J. Thouless, “Electrons in disordered systems and the theory of localization,” Phys. Rep., vol. 13, p. 93, 1974.10.1016/0370-1573(74)90029-5Search in Google Scholar
[75] Of course, for very large cavities where Lx ≫ a, any Tamm-like edge states are lost as they merge into the bulk part of the spectrum. This limit recovers the regular dipolar chain (uncoupled to light) which exhibits the complete absence of any highly localized states. However, this weak light-matter coupling limit goes beyond our strong coupling model, as encapsulated by the 2 × 2 Hamiltonian of Eq. (9). A proper treatment of the problem in the regime Lx >~ 15a${L}_{x}\,\underset{\text{~}}{{ >}}\,15a$ requires many photonic bands to be included in the theory, as discussed in Ref. [63].Search in Google Scholar
[76] S. Peng, N. J. Schilder, X. Ni, et al., “Probing the band structure of topological silicon photonic lattices in the visible spectrum,” Phys. Rev. Lett., vol. 122, p. 117401, 2019.10.1103/PhysRevLett.122.117401Search in Google Scholar PubMed
[77] N. S. Mueller, Y. Okamura, B. G. M. Vieira, et al., “Deep strong light–matter coupling in plasmonic nanoparticle crystals,” Nature, vol. 583, p. 780, 2020.10.1038/s41586-020-2508-1Search in Google Scholar PubMed
[78] D. E. Chang, J. S. Douglas, A. Gonzalez-Tudela, C.-L. Hung, and H. J. Kimble, “Colloquium: quantum matter built from nanoscopic lattices of atoms and photons,” Rev. Mod. Phys., vol. 90, p. 031002, 2018.10.1103/RevModPhys.90.031002Search in Google Scholar
[79] I. D’Amico, D. G. Angelakis, F. Bussieres, et al., “Nanoscale quantum optics,” Riv. Nuovo Cimento, vol. 42, p. 153, 2019.Search in Google Scholar
[80] L. Huang, L. Xu, M. Woolley, and A. E. Miroshnichenko, “Trends in quantum nanophotonics,” Adv. Quantum Technol., vol. 42, p. 153, 2020.10.1002/qute.201900126Search in Google Scholar
Supplementary Material
The online version of this article offers supplementary material (https://doi.org/10.1515/nanoph-2020-0370).
© 2020 Charles A. Downing and Luis Martín-Moreno, published by De Gruyter, Berlin/Boston
This work is licensed under the Creative Commons Attribution 4.0 International License.
Articles in the same Issue
- Editorial
- Editorial
- Optoelectronics and Integrated Photonics
- Disorder effects in nitride semiconductors: impact on fundamental and device properties
- Ultralow threshold blue quantum dot lasers: what’s the true recipe for success?
- Waiting for Act 2: what lies beyond organic light-emitting diode (OLED) displays for organic electronics?
- Waveguide combiners for mixed reality headsets: a nanophotonics design perspective
- On-chip broadband nonreciprocal light storage
- High-Q nanophotonics: sculpting wavefronts with slow light
- Thermoelectric graphene photodetectors with sub-nanosecond response times at terahertz frequencies
- High-performance integrated graphene electro-optic modulator at cryogenic temperature
- Asymmetric photoelectric effect: Auger-assisted hot hole photocurrents in transition metal dichalcogenides
- Seeing the light in energy use
- Lasers, Active optical devices and Spectroscopy
- A high-repetition rate attosecond light source for time-resolved coincidence spectroscopy
- Fast laser speckle suppression with an intracavity diffuser
- Active optics with silk
- Nanolaser arrays: toward application-driven dense integration
- Two-dimensional spectroscopy on a THz quantum cascade structure
- Homogeneous quantum cascade lasers operating as terahertz frequency combs over their entire operational regime
- Toward new frontiers for terahertz quantum cascade laser frequency combs
- Soliton dynamics of ring quantum cascade lasers with injected signal
- Fiber Optics and Optical Communications
- Propagation stability in optical fibers: role of path memory and angular momentum
- Perspective on using multiple orbital-angular-momentum beams for enhanced capacity in free-space optical communication links
- Biomedical Photonics
- A fiber optic–nanophotonic approach to the detection of antibodies and viral particles of COVID-19
- Plasmonic control of drug release efficiency in agarose gel loaded with gold nanoparticle assemblies
- Metasurfaces for biomedical applications: imaging and sensing from a nanophotonics perspective
- Hyperbolic dispersion metasurfaces for molecular biosensing
- Fundamentals of Optics
- A Tutorial on the Classical Theories of Electromagnetic Scattering and Diffraction
- Reflectionless excitation of arbitrary photonic structures: a general theory
- Optimization Methods
- Multiobjective and categorical global optimization of photonic structures based on ResNet generative neural networks
- Machine learning–assisted global optimization of photonic devices
- Artificial neural networks for inverse design of resonant nanophotonic components with oscillatory loss landscapes
- Adjoint-optimized nanoscale light extractor for nitrogen-vacancy centers in diamond
- Topological Photonics
- Non-Hermitian and topological photonics: optics at an exceptional point
- Topological photonics: Where do we go from here?
- Topological nanophotonics for photoluminescence control
- Anomalous Anderson localization behavior in gain-loss balanced non-Hermitian systems
- Quantum computing, Quantum Optics, and QED
- Quantum computing and simulation
- NIST-certified secure key generation via deep learning of physical unclonable functions in silica aerogels
- Thomas–Reiche–Kuhn (TRK) sum rule for interacting photons
- Macroscopic QED for quantum nanophotonics: emitter-centered modes as a minimal basis for multiemitter problems
- Generation and dynamics of entangled fermion–photon–phonon states in nanocavities
- Polaritonic Tamm states induced by cavity photons
- Recent progress in engineering the Casimir effect – applications to nanophotonics, nanomechanics, and chemistry
- Enhancement of rotational vacuum friction by surface photon tunneling
- Plasmonics and Polaritonics
- Shrinking the surface plasmon
- Polariton panorama
- Scattering of a single plasmon polariton by multiple atoms for in-plane control of light
- A metasurface-based diamond frequency converter using plasmonic nanogap resonators
- Selective excitation of individual nanoantennas by pure spectral phase control in the ultrafast coherent regime
- Semiconductor quantum plasmons for high frequency thermal emission
- Origin of dispersive line shapes in plasmon-enhanced stimulated Raman scattering microscopy
- Epitaxial aluminum plasmonics covering full visible spectrum
- Metaoptics
- Metamaterials with high degrees of freedom: space, time, and more
- The road to atomically thin metasurface optics
- Active nonlocal metasurfaces
- Giant midinfrared nonlinearity based on multiple quantum well polaritonic metasurfaces
- Near-field plates and the near zone of metasurfaces
- High-efficiency metadevices for bifunctional generations of vectorial optical fields
- Printing polarization and phase at the optical diffraction limit: near- and far-field optical encryption
- Optical response of jammed rectangular nanostructures
- Dynamic phase-change metafilm absorber for strong designer modulation of visible light
- Arbitrary polarization conversion for pure vortex generation with a single metasurface
- Enhanced harmonic generation in gases using an all-dielectric metasurface
- Monolithic metasurface spatial differentiator enabled by asymmetric photonic spin-orbit interactions
Articles in the same Issue
- Editorial
- Editorial
- Optoelectronics and Integrated Photonics
- Disorder effects in nitride semiconductors: impact on fundamental and device properties
- Ultralow threshold blue quantum dot lasers: what’s the true recipe for success?
- Waiting for Act 2: what lies beyond organic light-emitting diode (OLED) displays for organic electronics?
- Waveguide combiners for mixed reality headsets: a nanophotonics design perspective
- On-chip broadband nonreciprocal light storage
- High-Q nanophotonics: sculpting wavefronts with slow light
- Thermoelectric graphene photodetectors with sub-nanosecond response times at terahertz frequencies
- High-performance integrated graphene electro-optic modulator at cryogenic temperature
- Asymmetric photoelectric effect: Auger-assisted hot hole photocurrents in transition metal dichalcogenides
- Seeing the light in energy use
- Lasers, Active optical devices and Spectroscopy
- A high-repetition rate attosecond light source for time-resolved coincidence spectroscopy
- Fast laser speckle suppression with an intracavity diffuser
- Active optics with silk
- Nanolaser arrays: toward application-driven dense integration
- Two-dimensional spectroscopy on a THz quantum cascade structure
- Homogeneous quantum cascade lasers operating as terahertz frequency combs over their entire operational regime
- Toward new frontiers for terahertz quantum cascade laser frequency combs
- Soliton dynamics of ring quantum cascade lasers with injected signal
- Fiber Optics and Optical Communications
- Propagation stability in optical fibers: role of path memory and angular momentum
- Perspective on using multiple orbital-angular-momentum beams for enhanced capacity in free-space optical communication links
- Biomedical Photonics
- A fiber optic–nanophotonic approach to the detection of antibodies and viral particles of COVID-19
- Plasmonic control of drug release efficiency in agarose gel loaded with gold nanoparticle assemblies
- Metasurfaces for biomedical applications: imaging and sensing from a nanophotonics perspective
- Hyperbolic dispersion metasurfaces for molecular biosensing
- Fundamentals of Optics
- A Tutorial on the Classical Theories of Electromagnetic Scattering and Diffraction
- Reflectionless excitation of arbitrary photonic structures: a general theory
- Optimization Methods
- Multiobjective and categorical global optimization of photonic structures based on ResNet generative neural networks
- Machine learning–assisted global optimization of photonic devices
- Artificial neural networks for inverse design of resonant nanophotonic components with oscillatory loss landscapes
- Adjoint-optimized nanoscale light extractor for nitrogen-vacancy centers in diamond
- Topological Photonics
- Non-Hermitian and topological photonics: optics at an exceptional point
- Topological photonics: Where do we go from here?
- Topological nanophotonics for photoluminescence control
- Anomalous Anderson localization behavior in gain-loss balanced non-Hermitian systems
- Quantum computing, Quantum Optics, and QED
- Quantum computing and simulation
- NIST-certified secure key generation via deep learning of physical unclonable functions in silica aerogels
- Thomas–Reiche–Kuhn (TRK) sum rule for interacting photons
- Macroscopic QED for quantum nanophotonics: emitter-centered modes as a minimal basis for multiemitter problems
- Generation and dynamics of entangled fermion–photon–phonon states in nanocavities
- Polaritonic Tamm states induced by cavity photons
- Recent progress in engineering the Casimir effect – applications to nanophotonics, nanomechanics, and chemistry
- Enhancement of rotational vacuum friction by surface photon tunneling
- Plasmonics and Polaritonics
- Shrinking the surface plasmon
- Polariton panorama
- Scattering of a single plasmon polariton by multiple atoms for in-plane control of light
- A metasurface-based diamond frequency converter using plasmonic nanogap resonators
- Selective excitation of individual nanoantennas by pure spectral phase control in the ultrafast coherent regime
- Semiconductor quantum plasmons for high frequency thermal emission
- Origin of dispersive line shapes in plasmon-enhanced stimulated Raman scattering microscopy
- Epitaxial aluminum plasmonics covering full visible spectrum
- Metaoptics
- Metamaterials with high degrees of freedom: space, time, and more
- The road to atomically thin metasurface optics
- Active nonlocal metasurfaces
- Giant midinfrared nonlinearity based on multiple quantum well polaritonic metasurfaces
- Near-field plates and the near zone of metasurfaces
- High-efficiency metadevices for bifunctional generations of vectorial optical fields
- Printing polarization and phase at the optical diffraction limit: near- and far-field optical encryption
- Optical response of jammed rectangular nanostructures
- Dynamic phase-change metafilm absorber for strong designer modulation of visible light
- Arbitrary polarization conversion for pure vortex generation with a single metasurface
- Enhanced harmonic generation in gases using an all-dielectric metasurface
- Monolithic metasurface spatial differentiator enabled by asymmetric photonic spin-orbit interactions