Home Technology Near-field plates and the near zone of metasurfaces
Article Open Access

Near-field plates and the near zone of metasurfaces

  • Roberto Merlin ORCID logo EMAIL logo
Published/Copyright: July 20, 2020
Become an author with De Gruyter Brill

Abstract

A brief, tutorial account is given of the differences between the near and far regions of the electromagnetic field emphasizing the source-dependent behavior of the former and the universal properties of the latter. Field patterns of near-field plates, that is, metasurfaces used for sub-wavelength applications, are discussed in some detail. Examples are given of fields that decay away from the plates in an exponential manner, a ubiquitous feature of many interface problems, and metasurfaces for which the decay is not exponential, but algebraic. It is also shown that a properly designed system of two parallel near-field plates can produce fields that exhibit pseudo minima, which are potentially useful for near-field tweezer-like applications.

1 Introduction

Metasurfaces are artificial two-dimensional structures used to generate a desired electromagnetic (EM) field pattern or modify an incoming wave to obtain a predetermined result [1]. Most of the EM applications of metasurfaces, from microwave receivers and transmitters [2] to reconfigurable devices [3] and flat optical lenses [4], pertain to the radiation (or far) zone. Metasurfaces whose primary function involves the near field are known as near-field plates (NFPs) [5], [6]. Since the near zone encodes detailed information about the sources, ignoring restrictions imposed by the standard diffraction limit [7] and, moreover, because it allows one to separate the electric from the magnetic field, the interest in NFPs centers primarily on subwavelength focusing [8] and wireless power transfer [9].

In this work, we present an abridged review of the near field properties of metasurfaces, emphasizing the forms of decay of the EM field (although the elastic field is not considered here, many of the results apply also to acoustic metasurfaces [10]). Other than the ever present exponential decay, commonly associated with interface phenomena [11], we show cases where the decay of the near field is algebraic in nature. We also introduce an arrangement of a pair of metasurfaces and describe its potential use as EM tweezers.

2 The near field and evanescent waves

2.1 Localized charges and currents

Textbooks tell us that the EM field of a confined distribution of moving charges behaves very differently in regions that are close to and far from the charges, with the length scale determined by the wavelength of the radiation, λ [12], [13]. Differentiation between the near and far behaviors appears already in the expressions for the fields resulting from the motion of a point charge. The corresponding Liénard–Wiechert potentials involve the sum of two terms: (i) the near-field contribution, which is associated with the static fields and does not contain the acceleration of the sources, and (ii) the radiation or far-field term, which vanishes as the acceleration goes to zero. The separation is also apparent in the expressions for the EM field of a sinusoidally, time-varying electric (magnetic) dipole where the electric (magnetic) field dominates in the near zone whereas, far away from the dipole, the electric and magnetic field are of the same magnitude (Gaussian units), and both decay inversely proportional to the distance. For various reasons, and leaving aside the question of the sources needed to generate a particular field, it is useful to frame the broad near-zone versus far-zone discussion around the behavior of the EM field in vacuum. For fields with time dependence given by eiωt (ω is the angular frequency), the empty-space potentials in the Lorenz gauge satisfy the homogeneous Helmholtz equation

(1)(2+ω2/c2)F=0

where F is the electrostatic potential Φ or a Cartesian component of the potential vector A, and c is the speed of light, with Aiωc2Φ=0. For localized sources, it is convenient to expand F in terms of outgoing spherical waves,

(2)F=lmAlmhl(1)(kr)Ylm(θ,φ),

themselves solutions of Eq. (1). Here, r is the radial distance, θ and φ are the polar and azimuthal angles, k=ω/c is the wave-vector and Alm are expansion coefficients; hl(1) and Ylm are, respectively, a spherical Hankel function of the first kind and order l and a spherical harmonic. Since hl(1)eikr/r for kr1, regardless of l, the far-field 1/r decay behavior is universal. Instead, the near-field properties depend on the particulars of the distribution. Consider sources confined to a region of space of dimensions dλ. Then, for drλ, hl(1)r(l+1) and, since 2[r(l+1)Ylm(θ,φ)]=0, we get 2F0. This is to be expected given that the Helmholtz equation becomes Laplace’s equation in the limit c, when retardation can be ignored (since magnetism is a relativistic effect, care must be exerted when taking this limit for A). To lowest order, we have Φ1/r and Ai ∼ 1/r2, which correspond, respectively, to the fields of a static electric monopole and magnetic dipole. We note that, unlike the Liénard–Wiechert expressions, the spherical-wave expansion does not split into a separate sum of near- and far-zone terms. Rather, each term in Eq. (2) gives the corresponding near- and far-field expressions in two separate limits.

2.2 Sources behind a plane: cylindrical and Cartesian waves, and exponential decay

The above considerations are not applicable to extended sources of dimensions λ or, for that matter, to metasurfaces, which divide space into two halves. Let us assume that all the sources are in the half-space defined by z < 0 and expand the empty half-space potentials in terms of the complete set of solutions of Helmholtz equation in cylindrical coordinates

(3)F(ρ,φ,z)=neinφBn(q)Jn(qρ)eiκ(q)zdq

where ρ=r2z2, κ2=k2q2, Jn is a Bessel function of order n and Bn are the parameters of the expansion. Notice that Bn=B0δn0 for azimuthally symmetric fields like, e.g., the axicon [14]. Eq. (3) divides into exponentially-decaying components for which q > k, and traveling waves, commonly known as Bessel beams [15], with real κ<k. This allows for a clear separation between the near and far fields, associated primarily with the evanescent (κ=i|κ|) and traveling components, respectively. Using the orthogonality condition for Bessel functions, we get

(4)Bm(q)=q2πF(ρ,φ,0)eimφJm(qρ)ρdρdφ,

which, together with Eq. (3), establishes an exact relationship between values of the field at two parallel planes (two values of z).

Consider now the equivalent Cartesian coordinate approach [16], [17]. Let F(x,  y,  z0) be the potential field in the plane z = z0. The angular spectrum in this plane is defined as the Fourier transform

(5)α(qx,qy,z0)=14π2F(x,y,z0)ei(qxx+qyy)dxdy.

As before, we assume that all the sources are in the half-space z < 0. Then, the field at any point in the source-free half-space is given by

(6)F(x,y,z)=α(qx,qy,z0)ei[qxx+qyy+κ(zz0)]dqxdqy

where

(7)κ={i|(qx2+qy2k2)1/2|qx2+qy2k2|(k2qx2qy2)1/2|qx2+qy2<k2.

Note that, by construction, (2+ω2/c2)F=0. Like its cylindrical counterpart, Eqs. (3) and (4), this expression can be used (i) to calculate the field propagation in the forward direction or, by back propagation, (ii) to infer the field at z = z0 that will produce a desired field pattern further ahead. The latter approach was applied to the design of a NFP [5] mimicking the behavior of a negative-index slab [18] to attain focusing beyond the standard diffraction limit; one of the first realizations of a metasurface [6].

As for the cylindrical-wave representation, the (Cartesian) angular decomposition allows for a sharp separation between the near- and the far-field depending on whether κ is purely imaginary or real [19]. This, however, should not be construed to imply that the decay of the near-field component of F is always exponential, for planar geometries or otherwise (recall that the near field of a localized charge distribution decays algebraically). Several examples of non-evanescent decay of the metasurface near field are given below. Eq. (6) shows that a sufficient condition for exponential decay to occur is to have a sharp peak in the angular spectrum at a wave-vector q0 of modulus q0 > k so that Fe(q02k2)1/2z. This is precisely the condition met by important interface phenomena, such as total internal reflection, surface polaritons [20] and focusing by a negative-index slab [16]. Similar considerations apply to cylindrical fields for which Bm(q)δ(qq0) with q0 > k; see Eqs. (3) and (4).

3 One-dimensional metasurfaces and near-field plates

From now on, and for simplicity, we focus the attention on problems for which ∂F/∂x ≡ 0. In this case, the most general outgoing-wave solution to Helmholtz’ equation is of the form

(8)F=nCnHn(1)(kη)einβ

where η2=y2+z2 and tanβ=y/z. Hn(1) is a Hankel function of the first kind and order n, and Cn are constants. Since η=0 is the only singularity of the Hankel functions, this expansion accounts for the field on the source-free side of a one-dimensional metasurface placed at arbitrary z > 0. Once again, the behavior of the (two-dimensional) far field is universal since Hn(1)(kη)eikη/η1/2 for kη1, while the near field properties depend on the specifics of the source distribution. Replacing the Hankel functions by their small argument limit, we get

(9)limkη0F=2iC0πln(kη/2)iπnCnΓ(n)(2/kη)neinβ.

This expression is formally identical to the general solution of the two-dimensional Laplace’s equation in polar coordinates that is consistent with F → 0 at infinity. With F becoming a harmonic function (that is, a function that satisfies ∇2F = 0 in two dimensions) and, after some rearrangement of terms, the limit kη0 leads to the multipole expansion of the static electric (Φ) and magnetic (A) potentials (we observe once more that caution must be applied when calculating A since the magnetic field vanishes for c).

Figure 1 shows results for

(10)F=n=0NHn(1)(kη)Hn(1)(kR)cosnβ.
Figure 1: Near and far field of a one-dimensional metasurface; see Eq. (10). (A) Contour plot of the normalized field, Re[F(y, z)]/|F(0, z)|, for N = 20, R = 10 and λ=106$\lambda ={10}^{6}$. (B) ln|F(0, z)| versus z (blue curve). Gray curves are asymptotes. For small and intermediate distances from the metasurface, F ∝ z−N and F ∝ ln z(102≲z≲105)$\left({10}^{2}< sim z< sim {10}^{5}\right)$. These near-field forms correspond, respectively, to the small argument limit of HN(1)${H}_{N}^{\left(1\right)}$ and H0(1)${H}_{0}^{\left(1\right)}$. In the far field, z≳105$z\gtrsim {10}^{5}$, F∝1/z$F\propto 1/\sqrt{z}$.
Figure 1:

Near and far field of a one-dimensional metasurface; see Eq. (10). (A) Contour plot of the normalized field, Re[F(y, z)]/|F(0, z)|, for N = 20, R = 10 and λ=106. (B) ln|F(0, z)| versus z (blue curve). Gray curves are asymptotes. For small and intermediate distances from the metasurface,  zN and  ln z(102z105). These near-field forms correspond, respectively, to the small argument limit of HN(1) and H0(1). In the far field, z105, F1/z.

At large N, this expression gives a field that is sharply peaked at β=0 in the circle η=R. The contour plot, Figure 1A, and Figure 1B (y = 0) reveal three distinctive regions with the subwavelength scale R setting the boundary between the two that belong to the near field. For y = 0 and zRλ, the behavior of F is determined by HN(1), the leading term of which is zN while, in the intermediate near-zone region Rzλ, the dominant term is H0(1)lnkz. As expected,  z−1/2 in the far field (kz1). Also important is that, for zR, F shows a peak of width ≈z/N centered at y = 0 (Figure 1A covers too large a range to notice the z-dependence of the width).

Returning to the angular spectrum representation, consider a situation where F(y, 0) is localized mainly in a segment of length λ, as in the above example and, more generally, for a generic NFP. We can then ignore contributions to α(q,0) from all, but spatial frequencies k, so that the near field can be approximated by the harmonic expression

(11)F(y,z)α(q,0)eiqye|q|zdq.

It is well known that arbitrary functions of the form f(iy ± z) are solutions to Laplace’s equation in two dimensions. Thus, the near field associated with a subwavelength-localized F(y, 0) is a harmonic function that is analytic in the half-space z > 0 and decays with increasing z.

4 Modulated grating and single-aperture near-field plates

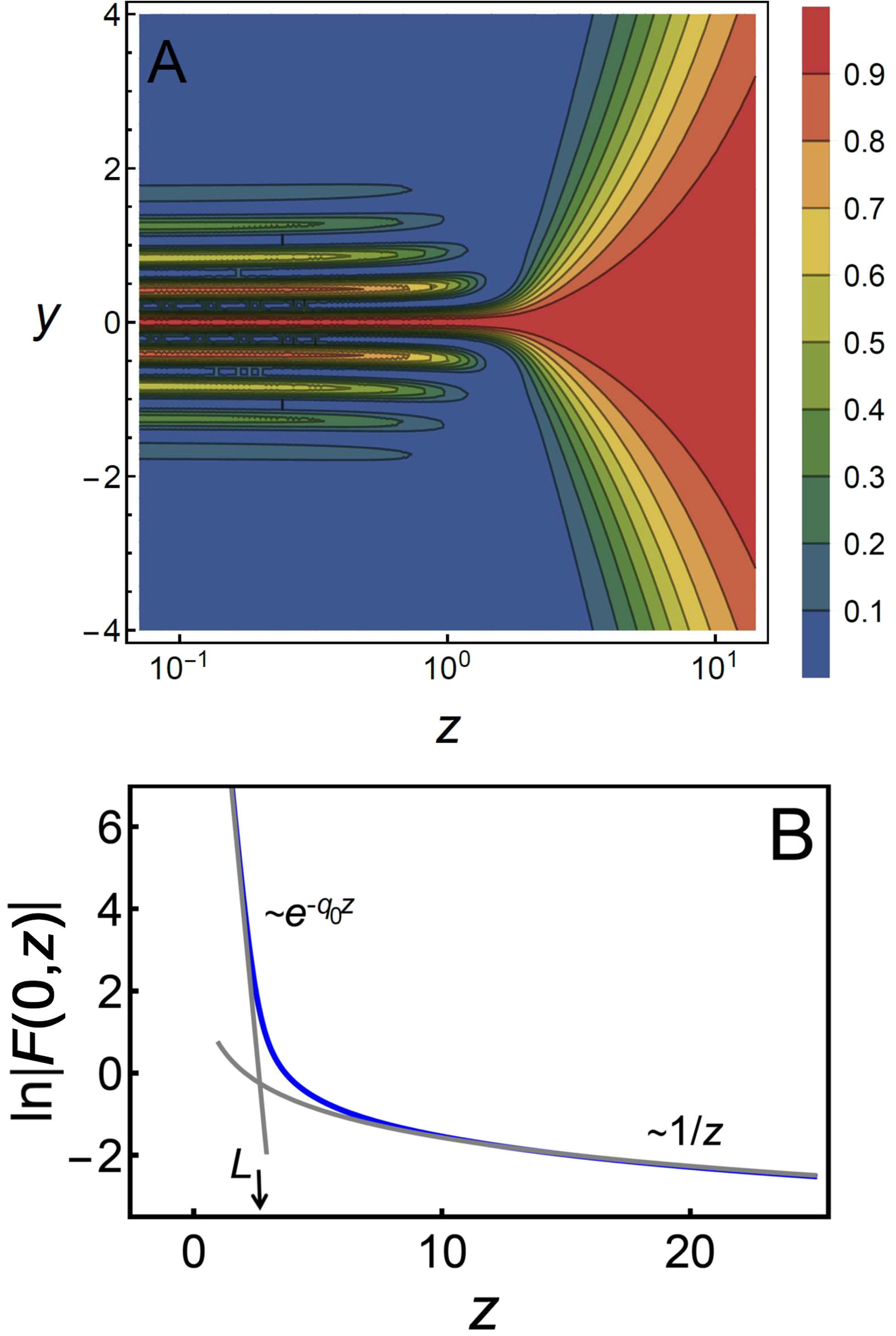
Figure 2 shows calculations using Eq. (11) for

(12)F(y,0)=eiq0yy2+L2;

the corresponding angular spectrum is α(q,0)=eL|qq0|/2L. The modulated-grating profile mirrors the behavior of the EM field at the exit side of a negative-index slab [5], [21]. If q0k, near identical results are obtained using the exact expression, Eq. (6). We emphasize that the plots show only the near field. Because of the dominant peak of α(q,0) at q = q0, F decays first exponentially, turning later into a 1/z dependence for zq01. Not shown in Figure 2 is the far field, which manifests itself for zk1 and decays ∼1/z1/2 for y = 0, as expected. For completeness, we give below the explicit expression of the near field in terms of harmonic functions:

(13)F(y,z)=[1(L+iy+z)1(L+iyz)]eq0L2L+eq0(iyz)(L+iyz)(Liy+z).
Figure 2: Near field of the modulated-grating metasurface; see Eq. (12). (A) Contour plot of the normalized intensity, Re2[F(y, z)]/Re2[F(0, z)], for q0 = 7 and L = 2.5. (B) ln|F(0, z)| versus z (blue curve). Gray curves are asymptotes. For small (large) z, F decays exponentially (F ∝ 1/z).
Figure 2:

Near field of the modulated-grating metasurface; see Eq. (12). (A) Contour plot of the normalized intensity, Re2[F(y, z)]/Re2[F(0, z)], for q0 = 7 and L = 2.5. (B) ln|F(0, z)| versus z (blue curve). Gray curves are asymptotes. For small (large) z, F decays exponentially ( 1/z).

From here, one can show that, as the distance z from the metasurface increases, the width of |F(y, z)| decreases reaching a minimum value q01 at z = L. This closely simulates the behavior of subwavelength focusing by a negative-index slab [18]. Because the field magnitude decreases with increasing z, the focus is a saddle point, something that could have been anticipated since harmonic functions do not have absolute maxima or minima [22].

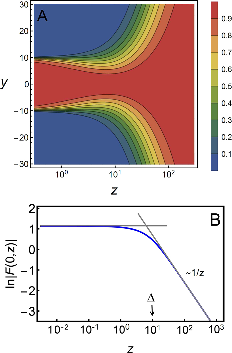
Figure 3 shows an example of near-field focusing without exponential decay. The calculations are for a single-aperture NFP with

(14)F(y,0)=π/2arctany2Δ2L2.
Figure 3: Near field of the single-aperture metasurface; see Eq. (14). (A) Contour plot of Re2[F(y, z)]/Re2[F(0, z)] for Δ=10$\text{{\Delta}}=10$ and L = 1. (B) ln|F(0, z)| versus z (blue curve). Gray curves are asymptotes. For small (large) z, F is nearly constant (F ∝ 1/z).
Figure 3:

Near field of the single-aperture metasurface; see Eq. (14). (A) Contour plot of Re2[F(y, z)]/Re2[F(0, z)] for Δ=10 and L = 1. (B) ln|F(0, z)| versus z (blue curve). Gray curves are asymptotes. For small (large) z, F is nearly constant (F ∝ 1/z).

This expression gives a Lorentzian-like peak of half-width L for LΔ whereas, for LΔ,F ≈ 0 except for |y|<Δ where it is nearly constant. The corresponding angular spectra are roughly of the form e−|q|L and sin(qΔ)/q, respectively. Using these approximations and Eq. (11), we get

(15)F(y,z){L+zy2+(L+z)2(L>>Δ)12(tan1Δ+yz+tan1Δyz)(L<<Δ)

In the limit LΔ(LΔ), and for zL(Δ), F(0,  z) is nearly constant while F(y,  z) exhibits a peak at y = 0 of half-width L(Δ). At large values of z (but zλ),  1/z. The case Δ=10, L = 1 is illustrated in Figure 3. As for the calculations of Figure 2, we underline the fact that these plots depict only the near field. The results show that neither the amplitude (Figure 3B) nor the width of the field vary much in the range zΔ. This makes the single-aperture NFP a promising candidate for subwavelength focusing and power-transfer applications, with the drawback that the high resolution is restricted to distances from the NFP on the order of the resolution itself (the same limitation as in evanescent-wave focusing [23]).

5 Pair of parallel near-field plates

As discussed earlier, at distances zλ, the near-field of a metasurface is well described by a harmonic function that decays away from the plate. For a pair of parallel plates, however, the decay requirement does not longer apply and, thus, an arbitrary singularity-free harmonic function represents a physically realizable near field. This offers a path for the development of near-field devices that could meet the needs of particular applications. Of interest here is the design of near-field structures that can be used to manipulate subwavelength objects by means of radiation pressure, like optical tweezers. Even though harmonic functions such as F do not possess maxima or minima [22], the saddle points make it possible to devise an intensity pattern that comes close to providing a confinement potential for the intensity. Figure 4 shows one such an example. The three-dimensional plot gives Re2[F(y, z)], which is proportional to the intensity, for

(16)F=eq0(iyz)1iyz+eq0(iy+z)1iy+zV0,

with parameters q0 = 4 and V0 = 8. The latter value was chosen so that there is a saddle point at F ≈ 0. The depression around the origin is not a true minimum for it is possible to descend towards regions of lower intensity using the canyon-like features along the planes x = ±1. Nevertheless, the dip can be used to trap a particle with a refractive index smaller than that of the surrounding medium provided its size is large enough to prevent escape through the canyons.

Figure 4: Near field of a system of two-metasurfaces; see Eq. (16). The 3D plot shows the square of the field, Re2[F(y, z)].
Figure 4:

Near field of a system of two-metasurfaces; see Eq. (16). The 3D plot shows the square of the field, Re2[F(y, z)].

6 Conclusions

We showed that, unlike the far field, the EM field close to a metasurface exhibits a variety of dependencies with distance, from that of evanescent waves, often (and wrongly) viewed as the hallmark of the near field, to various forms of algebraic decay. We also demonstrated that fields between two parallel near-field plates can have pseudo minima, a property that is potentially useful for applications as near-field EM tweezers.


Corresponding author: Roberto Merlin, The Harrison M. Randall Laboratory of Physics, University of Michigan, Ann Arbor, Michigan 48109-1040, USA, E-mail:

  1. Research funding: None declared.

  2. Conflict of interest statement: The author declare no conflicts of interest regarding this article.

References

[1] O. Quevedo-Teruel, H. Chen, A. Díaz-Rubio, et al., “Roadmap on metasurfaces,” J. Opt., vol. 1, p. 073002, 2019. https://doi.org/10.1088/2040-8986/ab161d.Search in Google Scholar

[2] G. M. Minatti, E. Martini, F. Caminita, et al., “Modulated metasurface antennas for space: synthesis, analysis and realizations,” IEEE Trans. Antennas Propag., vol. 63, pp. 1288–1300, 2015, https://doi.org/10.1109/tap.2014.2377718.Search in Google Scholar

[3] Y. Radi and A. Alù, “Reconfigurable metagratings,” ACS Photonics, vol. 5, pp. 1779–1785, 2018. https://doi.org/10.1021/acsphotonics.7b01528.Search in Google Scholar

[4] M. Khorasaninejad, W. T. Chen, R. C. Devlin, J. Oh, A. Y. Zhu, and F. Capasso, “Metalenses at visible wavelengths: diffraction-limited focusing and subwavelength resolution imaging,” Science, vol. 352, pp. 1190–1194, 2016, https://doi.org/10.1126/science.aaf6644.Search in Google Scholar

[5] R. Merlin, “Radiationless electromagnetic interference: evanescent-field lenses and perfect focusing,” Science, vol. 317, pp. 927–929, 2007, https://doi.org/10.1126/science.1143884.Search in Google Scholar

[6] A. Grbic, L. Jiang, and R. Merlin, “Near-field plates: subdiffraction focusing with patterned surfaces,” Science, vol. 320, pp. 511–513, 2009. https://doi.org/10.1126/science.1154753.Search in Google Scholar

[7] E. Abbe, “Beiträge zur Theorie des Mikroskops und der mikroskopischen Wahrnehmung,” Arch. Mikrosk. Anat., vol. 9, pp. 413–468, 1873, https://doi.org/10.1007/bf02956173.Search in Google Scholar

[8] A. Grbic, R. Merlin, E. M. Thomas, and M. F. Imani, “Near-field plates: metamaterial surfaces/arrays for subwavelength focusing and probing,” Proc. IEEE, vol. 99, pp. 1806–1815, 2011, https://doi.org/10.1109/jproc.2011.2106191.Search in Google Scholar

[9] M. F. Imani and A. Grbic, “Unidirectional wireless power transfer using near-field plates,” J. Appl. Phys., vol. 117, p. 184903, 2015, https://doi.org/10.1063/1.4919842.Search in Google Scholar

[10] Y. Xie, W. Wang, H. Chen, A. Konneker, B. I. Popa, and S. A. Cummer, “Wavefront modulation and subwavelength diffractive acoustics with an acoustic metasurface,” Nat. Commun., vol. 5, p. 5553, 2014, https://doi.org/10.1038/ncomms6553.Search in Google Scholar

[11] C. Girard, C. Joachim, and S. Gauthier, “The physics of the near field,” Rep. Prog. Phys., vol. 63, pp. 893–938, 2000, https://doi.org/10.1088/0034-4885/63/6/202.Search in Google Scholar

[12] J. D. Jackson, Classical Electrodynamics, 3rd ed. Hoboken, Wiley, 1999.10.1119/1.19136Search in Google Scholar

[13] J. A. Stratton, Electromagnetic Theory, New York, McGraw-Hill, 1941.Search in Google Scholar

[14] J. H. McLeod, “The Axicon: a new type of optical element,” J. Opt. Soc. Am., vol. 44, p. 592, 1954, https://doi.org/10.1364/josa.44.000592.Search in Google Scholar

[15] J. Durnin, J. J. MiceliJr., and J. H. Eberly, “Diffraction-free beams,” Phys. Rev. Lett., vol. 58, p. 1499, 1987, https://doi.org/10.1103/physrevlett.58.1499.Search in Google Scholar

[16] P. C. Clemmow, The Plane Wave Spectrum Representation of Electromagnetic Fields, Oxford, Pergamon, 1966.10.1016/B978-0-08-013162-7.50004-8Search in Google Scholar

[17] J. W. Goodman, Introduction to Fourier Optics. New York, McGraw-Hill, 1968, p. 48 ff.Search in Google Scholar

[18] J. B. Pendry, “Negative refraction makes a perfect lens,” Phys. Rev. Lett., vol. 85, pp. 3966–3969, 2000, https://doi.org/10.1103/physrevlett.85.3966.10.1103/PhysRevLett.85.3966Search in Google Scholar PubMed

[19] H. F. Arnoldus and J. T. Foley, “Travelling and evanescent parts of the electromagnetic Green’s tensor,” J. Opt. Soc. Am. A, vol. 19, pp. 1701–1711, 2005. https://doi.org/10.1364/josaa.19.001701.Search in Google Scholar

[20] E. Burstein and F. De Martini, Eds. Polaritons, Proceedings of the Taormina Research Conference on the Structure of Matter, New York, Pergamon, 1974.Search in Google Scholar

[21] R. Merlin, “Analytical solution of the almost-perfect-lens problem,” Appl. Phys. Lett., vol. 84, pp. 1290–1292, 2004, https://doi.org/10.1063/1.1650548.Search in Google Scholar

[22] See, e.g., G. B. Arfken, and H. J. Weber, Mathematical Methods for Physicists, 7th ed., Waltham, Academic Press, 2012, ch. 6.Search in Google Scholar

[23] A. Y. Piggott, L. Su, J. Petykiewicz, and J. Vučković, On the fundamental limitations of imaging with evanescent waves, arXiv:2001.00237 [physics.optics].Search in Google Scholar

Received: 2020-05-27
Accepted: 2020-07-02
Published Online: 2020-07-20

© 2020 R. Merlin, published by De Gruyter, Berlin/Boston

This work is licensed under the Creative Commons Attribution 4.0 International License.

Articles in the same Issue

  1. Editorial
  2. Editorial
  3. Optoelectronics and Integrated Photonics
  4. Disorder effects in nitride semiconductors: impact on fundamental and device properties
  5. Ultralow threshold blue quantum dot lasers: what’s the true recipe for success?
  6. Waiting for Act 2: what lies beyond organic light-emitting diode (OLED) displays for organic electronics?
  7. Waveguide combiners for mixed reality headsets: a nanophotonics design perspective
  8. On-chip broadband nonreciprocal light storage
  9. High-Q nanophotonics: sculpting wavefronts with slow light
  10. Thermoelectric graphene photodetectors with sub-nanosecond response times at terahertz frequencies
  11. High-performance integrated graphene electro-optic modulator at cryogenic temperature
  12. Asymmetric photoelectric effect: Auger-assisted hot hole photocurrents in transition metal dichalcogenides
  13. Seeing the light in energy use
  14. Lasers, Active optical devices and Spectroscopy
  15. A high-repetition rate attosecond light source for time-resolved coincidence spectroscopy
  16. Fast laser speckle suppression with an intracavity diffuser
  17. Active optics with silk
  18. Nanolaser arrays: toward application-driven dense integration
  19. Two-dimensional spectroscopy on a THz quantum cascade structure
  20. Homogeneous quantum cascade lasers operating as terahertz frequency combs over their entire operational regime
  21. Toward new frontiers for terahertz quantum cascade laser frequency combs
  22. Soliton dynamics of ring quantum cascade lasers with injected signal
  23. Fiber Optics and Optical Communications
  24. Propagation stability in optical fibers: role of path memory and angular momentum
  25. Perspective on using multiple orbital-angular-momentum beams for enhanced capacity in free-space optical communication links
  26. Biomedical Photonics
  27. A fiber optic–nanophotonic approach to the detection of antibodies and viral particles of COVID-19
  28. Plasmonic control of drug release efficiency in agarose gel loaded with gold nanoparticle assemblies
  29. Metasurfaces for biomedical applications: imaging and sensing from a nanophotonics perspective
  30. Hyperbolic dispersion metasurfaces for molecular biosensing
  31. Fundamentals of Optics
  32. A Tutorial on the Classical Theories of Electromagnetic Scattering and Diffraction
  33. Reflectionless excitation of arbitrary photonic structures: a general theory
  34. Optimization Methods
  35. Multiobjective and categorical global optimization of photonic structures based on ResNet generative neural networks
  36. Machine learning–assisted global optimization of photonic devices
  37. Artificial neural networks for inverse design of resonant nanophotonic components with oscillatory loss landscapes
  38. Adjoint-optimized nanoscale light extractor for nitrogen-vacancy centers in diamond
  39. Topological Photonics
  40. Non-Hermitian and topological photonics: optics at an exceptional point
  41. Topological photonics: Where do we go from here?
  42. Topological nanophotonics for photoluminescence control
  43. Anomalous Anderson localization behavior in gain-loss balanced non-Hermitian systems
  44. Quantum computing, Quantum Optics, and QED
  45. Quantum computing and simulation
  46. NIST-certified secure key generation via deep learning of physical unclonable functions in silica aerogels
  47. Thomas–Reiche–Kuhn (TRK) sum rule for interacting photons
  48. Macroscopic QED for quantum nanophotonics: emitter-centered modes as a minimal basis for multiemitter problems
  49. Generation and dynamics of entangled fermion–photon–phonon states in nanocavities
  50. Polaritonic Tamm states induced by cavity photons
  51. Recent progress in engineering the Casimir effect – applications to nanophotonics, nanomechanics, and chemistry
  52. Enhancement of rotational vacuum friction by surface photon tunneling
  53. Plasmonics and Polaritonics
  54. Shrinking the surface plasmon
  55. Polariton panorama
  56. Scattering of a single plasmon polariton by multiple atoms for in-plane control of light
  57. A metasurface-based diamond frequency converter using plasmonic nanogap resonators
  58. Selective excitation of individual nanoantennas by pure spectral phase control in the ultrafast coherent regime
  59. Semiconductor quantum plasmons for high frequency thermal emission
  60. Origin of dispersive line shapes in plasmon-enhanced stimulated Raman scattering microscopy
  61. Epitaxial aluminum plasmonics covering full visible spectrum
  62. Metaoptics
  63. Metamaterials with high degrees of freedom: space, time, and more
  64. The road to atomically thin metasurface optics
  65. Active nonlocal metasurfaces
  66. Giant midinfrared nonlinearity based on multiple quantum well polaritonic metasurfaces
  67. Near-field plates and the near zone of metasurfaces
  68. High-efficiency metadevices for bifunctional generations of vectorial optical fields
  69. Printing polarization and phase at the optical diffraction limit: near- and far-field optical encryption
  70. Optical response of jammed rectangular nanostructures
  71. Dynamic phase-change metafilm absorber for strong designer modulation of visible light
  72. Arbitrary polarization conversion for pure vortex generation with a single metasurface
  73. Enhanced harmonic generation in gases using an all-dielectric metasurface
  74. Monolithic metasurface spatial differentiator enabled by asymmetric photonic spin-orbit interactions
Downloaded on 11.12.2025 from https://www.degruyterbrill.com/document/doi/10.1515/nanoph-2020-0307/html
Scroll to top button