Abstract
With the increasing population, the limited natural sources are decreasing and environmental pollution is increasing. In recent years, the increase in industrial wastes and the high cost of disposal methods of these wastes have necessitated the evaluation of industrial wastes in industrials businesses. Truck tires, blast furnace slag, fly ash, waste concrete, and dismantled asphalt coverings can be listed as industrial wastes. If these wastes are used, environmental pollution is reduced, and contributions are made to the country’s economy. In this study, an evaluation of marble waste as base material was performed. In this scope of work, physical tests, a modified Proctor test, a dry/wet California bearing ratio test, and density of soil in place by the sand cone test were conducted. Also, X-ray diffraction, X-ray fluorescence, and mercury intrusion porosimetry analyses were performed on these marble waste. As a result, the physical and mechanical properties of marble waste were determined. In conclusion, marble waste has been found suitable as a base material according to the Technical Specifications of Turkish Highways.
1 Introduction
In recent years, the increase in industrial wastes and the high cost of disposal methods of these wastes have necessitated the utilization of industrial wastes in different business lines. One of the EU Sustainable Development Strategy objectives is increasing the efficient use of natural resources and preventing waste generation by applying the concept of life cycle and promoting reuse and recycling [1]. The objectives of the EU waste management policy are to eliminate, reduce, and prevent pollution, to prevent the exploitation of nature and natural resources in a way that harms the ecological balance, to ensure their rational management, and, to use waste by quality standards [2]. Particularly in industrial production enterprises that produce large quantities, a large amount of waste is produced. Quarry waste is just one of them, and, usually generates significant amounts of natural stone waste. At the same time, this waste accounts for half of the complete stone extracted [3]. Marble wastes are often dumped in landfills because 40% of marble waste are small pieces and of low or zero economic value [4].
The amount of quarry waste that can be stored varies significantly, and open pits and quarries generate much more mine waste than an underground mine [5,6]. Therefore, released wastes cause pollution on the soil, toxic gases, and environmental pollution. To decrease the environmental impact of wastes, solid wastes are recycled for use in building construction or production of building materials [7]. In particular, the limited amount of natural aggregates required for road construction and the increase in transportation costs warrant the use of industrial wastes. Many wastes in the world are evaluated, and contribute to the economy is provided. Rice and wheat husks, peanut husks, cotton stalks, and vegetable wastes are used for cement boards, isolation boards, wall panels, building panels, bricks, and acid-resistant cement production.
Coal residues, steel slag, bauxite red sludge, and construction debris waste are used to produce bricks, blocks, tiles, cement, paint, fine and coarse aggregates, concrete, wood by-products, and ceramic products [6]. Wastes from mining and the iron, copper, zinc, gold, and aluminum industries are used to produce bricks. At the same time, both fine and coarse lightweight aggregates and tiles are made from waste gypsum, lime sludge, limestone waste, broken glass and ceramics, marble processing, and kiln dust wastes. Additionally, blocks, bricks, cement clinkers, gypsum fiber boards, and gypsum plaster are used in cement and supersulfate production. Also, hazardous wastes include galvanizing wastes, metallurgical residues, waste sludge, and waste treatment plants, and tannery wastes are used in the production of boards, brick, cement, ceramics, and tiles [8].
With the advances in technology, the rise and acceleration of housing construction have caused an ever-increasing use of marble. Therefore, to meet the increasing demand, the number of marble-processing plants in Turkey and throughout the world has increased, which has led to the rise of marble waste. In general, quarry waste is obtained during the crushing process of materials in crushers. Also, marble wastes are produced during the cutting of the marbles to produce regular geometric shapes. In recent years, with the rapid development in the construction sector, the use of marble in buildings has been continuously increasing, and the number of marble enterprises has been rising in parallel. Also, because of the use of marble in the form of slabs, marble blocks are cut into large plaques, increasing the marble waste. The use of quarry wastes such as marble waste as building materials prevents the reduction of natural rivers and mining materials [9]. Marble wastes in the quarry environment are in the form of slurry/powder and stones of irregular shape and size, which are dumped in open lands and along roads, which create a lot of environmental and health problems, as shown in Figure 1 [10,11,12,13]. Air pollution, water pollution, accidents due to dumping, accidents due to slippery roads, and loss of flora and fauna may be added as problems [13]. Waste rocks are stacked near to the quarry for associated with transport costs. During mining, a massive quantity of solid wastes is being generated as by-products. In this case, it is important to recycle and use such an enormous amount of waste in the production of construction materials. Also, transportation costs are reduced with the utilization of quarry waste in existing areas [14,15,16]. The aim of this study was to evaluate marble waste, which is an industrial waste. Therefore, cost expenses will be reduced with the region’s evaluation process where the wastes are located.

Marble waste dumped in open lands, Bilecik, Turkey.
The classification of superstructures according to the properties of the materials used in the road pavement layer consists of rigid and flexible structures according to their types and construction techniques. The choice of the pavement depends on the traffic, the soil, environmental conditions, and economic conditions. The rigid pavement is formed by coatings using cement concrete. In pavement, the role of concrete is to transmit traffic loads to the base and, at the same time, to prevent the base from deforming. Flexible pavement is called the superstructure and is formed by using bitumen coatings. Flexible pavement transmits loads from traffic to substrates. The function of the base layer beneath the surface is to transfer vehicle loads to the subbase without exceeding the bearing capacity. The base layer is applied using granular material or stabilized material taken from the furnace and increases the load-bearing capacity of the pavement. The lower foundation layer’s function is to create a working area for the construction of the bitumen-coated layers. The quality of granular materials used in this layer may be lower than that of the base layer [17,18]. At the same time, the subbase layer is the layer that spreads the loads from the traffic to the base and provides resistance against frost/water [19]. The subgrade is formed from compressed natural soil. It is the final stage of transmission of the pavement load and should have good drainage [20]. In short, the properties of the materials used in road construction must meet the specified criteria. When the existing road material does not meet the requirements, mechanical or chemical soil improvement methods are used. Improvements to the soil are usually made by the use of lime, cement, and so on. Also, with the increase in industrial wastes, various waste is used for soil improvement. These industrial wastes, such as blast furnace slag, fly ash, construction waste, dismantled asphalt pavement, and waste marble, can be used for road construction. Waste materials are commonly used as an alternative to nonrenewable resources.
Waste rock may be considered as materials for roads, building foundations, or cement factories, depending on its geotechnical and geochemical characteristics [5,21]. These materials are generally used in the transport infrastructure fields due to the enarmous amount of material required [22,23,24,25,26,27,28]. It is important to split/fill the natural soil to the desired height along the highway route to ensure the safety, speed, and comfort required for motor vehicles. Unfortunately, unused wastes are refused and accumulated as mounds of marble waste close to extraction quarries [29]. Figure 2 shows the flow chart of reusing marble waste processes. The right column in Figure 2 illustrates the steps used in the procedure used to evaluate and use pieces of marble waste in this study.

Flow chart of reusing marble waste processes.
Many quarry waste materials are being studied as sustainable materials [30,31,32,33,34,35,36]. Ilıcalı [37] researched the usability of Erdemir slag as an aggregate. For the compatibility of subbase and base layers, slag breaking and sieving as well as mixing with additional materials such as Portland cement, cement, lime, and asphalt cement were studied. The slag’s chemical and physical properties were found to be suitable for the pavement layers. The mechanical properties of the mixtures were above the desired values in the base and subbase layers. Ilıcalı also stated that it is economical to use Erdemir slag on the road superstructure at sites far from the quarries. Yılmaz et al. [38] examined the suitability of using the quarry material produced in the Seslidere quarry as pavement material on the İyidere–Çayeli route to the Black Sea Region. Los Angeles abrasion loss, peel strength, resistance to weathering (Na2SO4 freezing loss), brittleness, polishing value, flatness index, specific gravity, and absorption percentage values are stated to comply with the standards, which indicated that quarry material can be used as a pavement material. Barritt [39] reported that 5% of recycled materials are used in asphalt applications, 7% in concrete forms, 18% as subbase material, and 70% in the filler. Langer et al. [40] argued that due to the growing economy of countries, there would be a need for large amounts of natural aggregates. Researchers have stated that the use of recycled aggregates in roads, buildings, and asphalt pavement will reduce the need for natural aggregates. In another study, it has been stated that stone waste in different forms, which causes environmental pollution in recent years, can be used in the construction industry as well as in other activities, such as papermaking, the ceramic industry (tiles), and the production of paint, plastics, polymers, glass, rubber, pharmaceuticals, textiles, soaps, wax, and agricultural fields [41]. Swamy and Das [42] have stated that some wastes can be used as sustainable road materials by using an appropriate technology. Estanqueiro [43] noted that recycled aggregates have significant environmental advantages over natural aggregates throughout the life cycle of concrete. Neves et al. [44] noted that the evaluation of recycled materials had ecological and economic contributions. Researchers have compacted the mixes prepared with natural and recycled materials in the field. Low compression deflectometer (FWD) tests were performed after compression, and it was found that the performance of layers prepared with recycled materials to be appropriate. Kim et al. [45] examined the frost sensitivity of aggregates from recycled materials. As a result, it has been observed that recycled aggregates have higher frost sensitivity and better mechanical properties than those of natural aggregates. Ahmed et al. [46] reported that the solution is recovering because large amounts of wastes in marble and granite quarries cause environmental problems. In particular in road and dam construction and as railway ballast, concrete and asphalt mixtures were investigated as aggregates. The researchers conducted modified Proctor and CBR experiments for their usability as the base material and suggested that that they could ultimately be used as base and subbase materials in road construction. In another study, it was stated that marble wastes could be used in different construction works in different sizes [47].
Berwal et al. [48] gave information on the use of recycled waste from different countries such as the United Kingdom, the Netherlands, Belgium, Japan, and the USA. The researchers also used recycled aggregate as a subbase material and said it was appropriate. As a result, they said that savings could be achieved using recycled aggregates [49,50,51]. Abukhettala [52] reported that using recycled materials in the best way means building better roads and protecting natural resources. In Europe, studies on the utilization of quarry waste are carried out. However, in some countries, waste assessment is not sufficiently provided due to insufficient information and updated legislation [53]. Gautam et al. [54] examined the use of Kota stone mine wastes instead of the aggregate used in the granular substrate. Kota quarry waste was manually separated into aggregates of the desired size and evaluated in terms of physical and mechanical parameters according to the specification. It was found that Kota quarry and slurry waste could be used as a granular substrate in flexible coating. In recent years, waste management through recycling of wastes has attracted much attraction and contributes to the economies [55,56,57,58,59,60,61,62,63,64,65].
The characteristic that distinguishes marble wastes from other wastes such as fly ash, marble dust, and ceramic waste is its use as a direct aggregate. However, other wastes are used by mixing them to the soil. Generally, mixtures of different percentages are prepared, and mixtures which meet the desired criteria are used. The direct use of wastes provides advantages in the process and the use of machinery/equipment fuel. This study examined the percentage CBR value of large pieces of marble waste according to the criteria of the Technical Specifications of Turkish Highways (TSTH) suitability [66].
2 Marble waste
In the geological process of the formation of Earth’s crust, the materials formed as a result of the metamorphism of rocks, such as limestone and dolomite, are crystallized again under elevated temperatures and pressures and became marble. Marble is a metamorphic crystalline rock, and it contains predominantly crystalline grains of calcite, dolomite, or serpentine [67]. Pure marble is translucent and white and can take different colors through various chemical and physical that occur within it [68]. Commercially, it covers many kinds of rocks that are durable when polished. Marble wastes can be divided into those from quarries and enterprises. Natural conditions found in quarries, such as faults, cracks, and slits, can make it nearly impossible for blocks to be obtained. This leads to the emergence of waste materials. Another type is marble dust wastes that are encountered in sedimentation ponds.
Marble wastes used in this study were obtained from marble quarries and processing plants in Bilecik. Marble quarries are located in 3 different regions in Bilecik Province (Figure 3) [69], and marble wastes were obtained from these quarries (Figure 4). Marble wastes are concentrated along a line, including the Central district, Gölpazarı district, and Yenipazar district, and they take these names. To be a reference for future studies, sampling was made at least from three points. The marble wastes in these three regions were sampled and evaluated for usability as the base material in road pavement by performing the tests specified in the TSTH. The average diameters of marble wastes from quarries are 75 to 100 mm, formed into aggregates in the 0–25 mm diameter range by a mini crusher.
![Figure 3 The location of the points on the map where the samples were taken [69].](/document/doi/10.1515/geo-2020-0197/asset/graphic/j_geo-2020-0197_fig_003.jpg)
The location of the points on the map where the samples were taken [69].

Waste collection area.
The physicochemical properties of the marble wastes used in this study were determined by X-ray diffraction (XRD), X-ray fluorescence (XRF), and mercury intrusion porosimetry (MIP) analyses. XRD analysis is a qualitative analysis that gives us information about the mineral contents or solid particles of a specific shape. XRD is one of the basic techniques used in the phase analysis of solid and powdered materials. XRD analysis provided data on the morphology of the material, the amount of phase, crystal size, changes in structure, crystal orientation, and atom positions with XRD. Mineralogical analyses of the marble wastes were carried out by using an X-ray diffractometer (Empyrean, Panalytical) using a CuKα radiation source (λ = 1.5405 Å). Also, the measurement conditions were 45 kV and 40 mA, and scanning speed was 2°/dk. XRD graphs of marble samples are given in Figure 5. Calcite is the main mineral determined by the XRD analysis of the Center, Gölpazarı, and Yenipazar marble samples. Also, XRF analysis was performed to determine the chemical content percentages on the marble wastes using an XRF unit (Panalytical, AXIOS). The measurement conditions were 40 kV and 60 mA, and the measurement environment was 99.999% purity He. The data obtained from the XRF experiment are given in Table 1. The table shows the presence of a high concentration of Ca. The MIP is a commonly used technique for determining powder and bulk pore size and size distribution. In recent years, mercury porosimetry has been widely used to determine the pore diameter distribution of soils. This study used Micrometirics, AUTOPORE IV 9510, and low pressure is 50 psi, and high pressure is 60,000 psi. An increment intrusion–pore size diameter curve, according to the MIP results, is given in Figure 6. In the marble parts of the three regions, the pores are concentrated between 0.003–0.005 mm and 45–150 mm.

XRD analysis results of marble samples.
XRF analysis results
| Component | Center sample (%) | Gölpazarı sample (%) | Yenipazar sample (%) |
|---|---|---|---|
| O | 4.872 | 5.217 | — |
| Na2O | — | 0.041 | 0.046 |
| MgO | 0.093 | 0.081 | 0.102 |
| Al2O3 | 0.083 | 0.652 | 0.115 |
| SiO2 | 0.296 | 1.052 | 0.288 |
| P2O5 | 0.275 | 0.287 | 0.271 |
| SO3 | 0.009 | 0.011 | 0.008 |
| Cl | 0.009 | 0.021 | 0.010 |
| K2O | 0.011 | 0.160 | 0.058 |
| CaO | 94.229 | 91.329 | 98.735 |
| TiO2 | — | 0.198 | — |
| MnO2 | — | 0.026 | 0.034 |
| Fe2O3 | 0.086 | 0.865 | 0.167 |
| NiO | — | 0.013 | 0.016 |
| ZnO | — | 0.017 | 0.012 |
| SrO | 0.036 | 0.026 | 0.133 |
| ZrO2 | — | 0.005 | — |
| LOI | 0.001 | 0 | 0.005 |

Pore size distribution of marbles measured by MIP.
3 Method
This study performed physical tests, the modified Proctor test, the dry/wet strength CBR test, and on-site unit weight of waste marble using the sand cone method . For each mixture, at least three samples were tested to ensure the reproducibility of the data.
3.1 Physical tests
Materials that make up the base layer are divided into fine and coarse aggregates. Coarse aggregates, gravel, are defined as natural aggregates that do not have a specific shape and size [66]. This material can be used to provide the physical properties to the specifications for shallow traffic volume or on roads of low bearing (Table 2). According to AASHTO T-19 [70], values of loose unit weight less than 1,100 kg/m³ are undesirable for this aggregate. Table 3 shows the limit costs necessary for the thin part of the material to be used in making a foundation after passing through a 2.00 mm sieve [66].
The physical properties of coarse aggregate [37]
| Name of the experiment | Criterion | Standard |
|---|---|---|
| Weather resistance test (MgSO4), % | ≤20 | TS EN 1367-2 |
| Fragmentation resistance (Los Angeles), % | ≤35 | TS EN 1097-2 |
| Clay lumps and friable particles, % | ≤1.0 | ASTM C-142 |
| Flatness index, % | ≤25 | TS EN 933-3 |
| Organic matter, (3% NaOH) | Negative | TS EN 1744-1 |
| Water absorption, % | ≤3.0 | TS EN 1097-6 |
The physical properties of the fine aggregate [37]
| Name of the experiment | Criterion | Standard |
|---|---|---|
| Liquid limit, % | NP | TS 1900-1 |
| AASHTO T89 | ||
| Plastiste index, % | NP | TS 1900-1 |
| AASHTO T90 | ||
| Organic matter, %3 NaOH | Negative | TS EN 1744-1 |
| Methylene blue, g/kg | ≤3.0 | TS EN 933-9 |
In this study, mixtures were prepared according to Type-C grading of the granular base material of TSTH. The sieve analysis test, frost resistance test in coarse aggregates with MgSO4, Los Angeles wear test, flatness index, organic matter detection test, and water absorption test were performed. In fine aggregates, the liquid limit, plastic limit, determination of the organic matter, and methylene blue tests were applied. The grain distribution curve was adjusted according to specification values. The modified Proctor test, dry/wet California bearing ratio (CBR) test, and on-site unit weight test using the sand cone method were performed on samples.
Furthermore, X-ray diffraction (XRD), XRF, and mercury porosimetry (MIP) analyses were performed on these wastes. Marble waste samples were taken from İlyasbey village of the Merkez district, Şahinler village of the Gölpazarı district and Kuşça village of the Yenipazar district. These samples were prepared by the gradation (0–25 mm), and road pavement base material physical tests according to the TSTH were performed on the samples.
Using the freeze–thaw test with magnesium sulfate (MgSO4), the aggregates are were found to be resistant against weather effects or freezing effects. With the Los Angeles experiment, the deterioration in the standard gradation of the mineral aggregate is determined as a result of the abrasion factors that the aggregates will be exposed to. The flatness index test is based on defining aggregate particles whose thickness is less than 0.6 of their nominal size as flat. The organic matter experiment with NaOH does not give a quantitative result and is an observational experiment. The test determined whether the aggregate samples contain organic matter or not. Clay lumps test is conducted for the approximate determination of clay lumps and friable particles in aggregates. With the water absorption test, the water accumulation capacity on the surfaces of the aggregate grains is determined. The plasticity of the material is determined by the consistency test (Atterberg consistency). The methylene blue test is performed to determine the pollution rate of the aggregates.
3.2 Modified proctor test
This test is an assay for determining the water content, which gives the maximum dry unit volume weight on soil compacted by a particular method. The mechanical setup provided by the 4.53 kg rammer falling freely from 457 mm was used for this experiment. The dry unit-volume weight (ρk) was obtained from a series of experiments, and the corresponding water content (w) values were recorded. In this study, a modified Proctor test was performed according to TSE1900-1 [71].
3.3 CBR TEST
The CBR test determines the bearing capacity. This test is a mechanical strength test that compares the bearing capacity of a material with that of a well-graded crushed stone. This ratio is expressed as a percentage. The CBR sample is prepared at the optimum water content and maximum dry density or any other density at which the test is required by the modified Proctor’s method. The experiment was conducted on dry and wet CBRs to determine the lowest bearing capacity. The voids are filled with water, in other words, to determine the influence of the natural conditions on a sample in the field. The sample was soaked in water for 4 days, during which time the sample was provided with weights representing the estimated load that would generally come upon it. It was checked whether these materials swell in water. No swelling was observed in light aggregates. After four days, the sample was removed from the water and placed under normal conditions. The free waters in the structure were kept until drained and then the CBR test was performed.
Then, the load values (kg) corresponding to the required sinking values (mm) were recorded at the pressures given by the standard (kg/cm2). Horizontal axis penetration and vertical axis pressure values were recorded. Pressure–penetration curves were obtained from these values. As a result of the necessary corrections, the CBR values were found with the corrected pressure value corresponding to the penetrations of 2.54 mm (0.1 in.) and 5.08 mm (0.2 in.). CBR values were calculated multiplied by 100 after the corrected pressure value at the penetration of 2.54 mm (0.1 in.) to a standard pressure of 70.31 kg/cm2. The fixed pressure value at 5.08 mm (0.2 in.) penetration is compared to the standard pressure value of 105.46 kg/cm2. The CBR test is an important test to determine the transport properties of fillers/base or subbase materials. In this study, the CBR test was performed according to the TSE 1900-2 [72] standard.
3.4 Field density test using the sand cone method
In this study, the sand cone method was used to control compaction in the field. The sand cone method used in the soil compaction test was carried out according to the TSE 1900-1 [71] standard. Maximum dry unit volume weight values obtained from laboratory and field were compared, and a ratio was obtained. The ratio obtained is required to be 98%. If the calculated rate is equal to this value, compression is accepted. If it is below this value, compression should be continued. For the control of this ratio to be calculated, the natural unit volume weight (ρn) of the testing terrain and the maximum dry density of the territory are found by determining the water content. In the field, the base plate is carefully placed by removing the loose part that is not fully compressed. The base plate is placed on the prepared soil and fixed to the soil by nailing through four-sided holes. A 15-cm-deep cylindrical hole is made in the middle of the base plate. The weight of the soil sample extracted from the pit is weighed in a bag and recorded so that the water content remains the same. The unit weight cone filled with sand is placed on the soil-mounted base plate with the mouth closed. The predetermined test sand is filled into the cylindrical hole of the cone. Sand starts to flow when opening the switch. The switch is closed when the sand flow is complete. The excess sand is taken into the bag, and its weight is noted. Thus, the sand filling the pit and that remaining in the cone are calculated. The volume of the material taken from the hole is calculated using the unit weight of the sand used in the experiment and the volume of the sand cone.
4 Results and discussions
4.1 Physical test results
The experiments according to the TSTH standards of the materials necessary for laying the road were carried out on waste marble samples obtained from marble quarries located in the Central district, Gölpazarı district, and Yenipazar district. Figure 7 shows the sieve analysis experiments performed on marble waste samples. Results of the freeze–thaw test, the Los Angeles test, the flatness index test, the water absorption test, and the methylene blue test are given in Figure 8.

Grain size distribution of marble waste from the (a) Central, (b) Gölpazarı, and (c) Yenipazar districts.

(a) The freeze–thaw test, (b) the Los Angeles test, (c) the flatness index test, (d) water absorption and (e) methylene blue test results.
It is known that aggregates under the effects of weather for a long time undergo gradation deterioration due to freezing and thawing. Since gradation deterioration will cause deterioration of the road, aggregates are required to be resistant to frost and thawing. As a result of the freeze–thaw experiments in this study, the loss value against the effect of air, which is desired to be at most 20%, was calculated as 16.54% in the Central district sample, 13.46% in the Gölpazarı district sample, and 11.83% in the Yenipazar district sample. Since the degradation of the aggregates will cause segregation, the desired compression ratio is not achieved, and the road foundation exposed to traffic loads may collapse. Therefore, abrasion losses of aggregates to be used in road constructions must be within the specification limits. As a result of the Los Angeles experiments in this study, the maximum accepted loss is 35%, and it is 14.17 in the Central district sample, 11.51 in the Gölpazarı district, and 13.48 in the Yenipazar district sample. The aggregates used in road constructions are required to be crushed stones and not flat. Since aggregates exposed to traffic loads will be exposed to pressures from all directions, flat grains cannot provide the desired strength. Also, the compression of flat grains is not at the desired level. As a result of the flatness tests conducted in this study, a maximum of 25% is required, and the compression was 20.87 in the Central district sample, 14.52 in the Gölpazarı district, and 11.94 in the Yenipazar district sample. It is necessary to know the rate of organic matter in aggregate samples. Since aggregates containing organic matter can lead to chemical reactions in the structure they are part of, which can cause deformations.
For this reason, the amount of organic matter is not desired. These organic materials were not found in the three marble waste samples considered in the experiment. As a result of the clay pellet experiment conducted in this study, no clay lumps were found in the three marble waste samples, which can be at most 1%.
Aggregates with a high water absorption capacity cause soil deterioration because of water stagnating in the foundation ground where they are located. Therefore, the water absorption capacity of the aggregates used in road foundation constructions should be below a threshold limit. As a result of the water absorption capacity in this study, a maximum of 3% is acceptable. It was obtained as 0.0214 in the sample of Central district, 0.0171 in the sample of Gölpazarı district, and 0.0177 in the sample of Yenipazar district. The liquid limit of the samples was found from the experiments performed with the Casagrande instrument, while the plasticity index was calculated based on the results of the liquid limit and plastic limit tests. Aggregates to be used to construct the foundation ground for roads are required to be nonplastic. This is because the plastic behavior of the fine aggregates in the foundation ground will cause deformations to the foundation ground since it will be intensively exposed to water. The consistency tests were carried out on the three marble wastes and, wastes are determined as non-plastic (NP) soils. The fine grain soil being plastic reduces the resistance of the road's foundation soil against traffic loads. As a result of the methylene blue tests carried out in this study, a maximum of 3% is acceptable. It was found as 0.5 in all three samples.
4.2 Modified proctor test
The dry unit volume weights and water contents of the soils were calculated using this test, which was performed by compressing soils with different percentages of water. The dry unit volume weights and water contents obtained according to the amounts of water added at different rates intersected. The maximum dry unit volume weight (ρk max) and optimum water contents (wopt) were calculated. The three samples were prepared according to the Highways Granular Foundation Layer standards, and tests were conducted according to the TS-1900-1 2006 standard. The modified Proctor test results are given in Table 4. According to experimental results, the Central district sample had the lowest optimum water content, while the Gölpazarı district sample’s optimum water content was 24% higher, and the Yenipazar district sample’s optimum water content was 17% higher. Maximum dry unit volume weights (ρk max) and optimum water contents (wopt) were found to be very close to each other.
Modifiye Proctor experiment results
| Material | ρd max (kN/m3) | wopt (%) |
|---|---|---|
| Center district | 21.72 | 4.20 |
| Gölpazarı district | 21.62 | 5.20 |
| Yenipazar district | 21.53 | 4.90 |
(ρd max: maximum dry unit volume weight, and wopt: optimum water contents).
4.3 CBR test
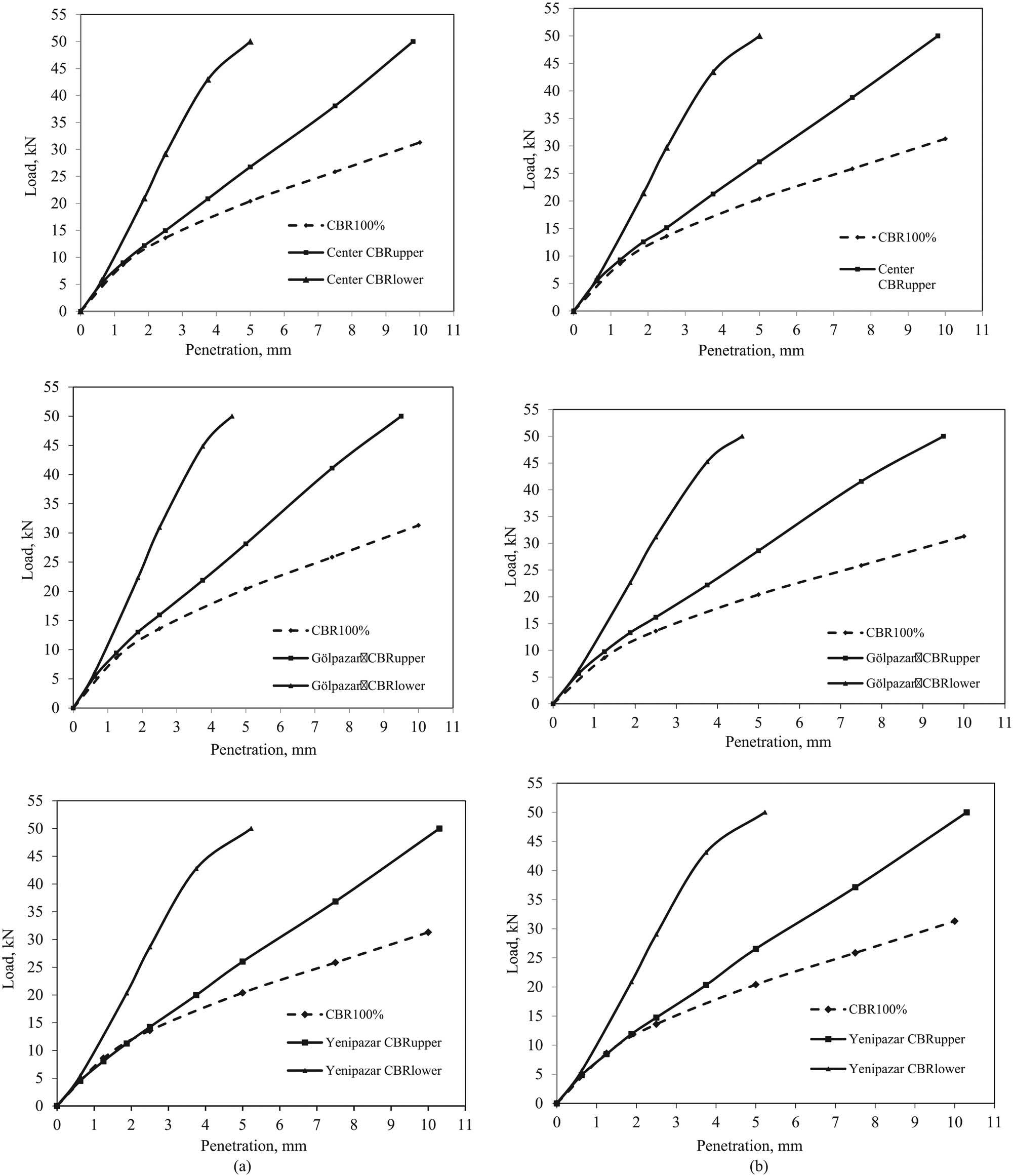
The CBR test provides the carrying ratio of soils using the correlation between the amount of load applied to the soil and its penetration. According to the TSTH, the maximum dry unit volume weight found by the modified Proctor test must be 98% for the base material, and the wet CBR value is not less than 100%. For this purpose, the mixtures were first prepared in the maximum dry unit volume weight determined by the modified Proctor test. The samples were compressed again using a modified Proctor method. For the wet CBR test, the compressed samples were soaked in water for 4 days. Whether the materials would swell under the influence of water was also checked during this process. After soaking, whether the desired 100% value was reached was checked by performing the CBR test. For CBR 100% crushed stone curve in the TSTH, the penetration of 1.25 mm is 0.84 kN, penetration of 2.5 mm is 13.2 kN, and penetration of 5.0 mm is 20 kN. The results of the CBR test applied to dry and wet samples are given in Figure 9. All the CBR experiments conducted on the three samples show that the desired CBR 100% value has been reached according to the TSTH. Also, no swelling occurred in any sample during saturation for four days.

(a) Dry CBR curves and (b) wet CBR curves.
4.4 Field density test using the sand cone method
Field compaction was carried out with the help of cylinders (Figure 10). The compaction result depends on the type of compaction device, soil grain size distribution, water content, layer thickness, number of cylinder passes, and the passing speed of the compaction aid. In this study, the percentage of compaction was determined by the sand cone method. It was calculated the compaction percentages of the road fill, or base layers laid, in the field. A Mobile crusher was installed in the marble quarry in Ilyasbey, where the sample from the Central district was used. Thus, in large tonnages, marble waste was graded to 0–25 mm and laid as the primary material for the road. The samples of the marble wastes laid were compacted using cylinders; thus, the foundation of the road was produced. The sand cone test was carried out in three different regions of the base production made with the Central district sample. The compaction percentages of the material were calculated as 99.2%, 99.6%, and 99.7%. They were appropriate according to the TSTH standards [16].

(a) Compaction of the base layer made of marble waste and (b) control by sand cone method on the base layer.
5 Conclusions
This study, conducted on the reuse of marble piece wastes, pointed out that marble waste generates environmental pollution and causes economic loss. A large amount of waste is generated with marble mining activity. In this study, marble waste samples taken from the Central district, Gölpazarı district, and Yenipazar district of Bilecik Province, which have different characteristics as marble structures, were examined according to the TSTH standards as to whether or not their properties are within desired limits of base materials. The modified Proctor test, dry/wet CBR test, and on site density of soil test by the sand cone method, and XRD, XRF, and MIP analyses were applied to three different marble wastes. The experimental results showed that the marble wastes are suitable to be used as base materials, and evaluations of the results obtained are presented below:
XRD, XRF, and MIP analyses were performed on these wastes. Calcite is the main mineral determined by the XRD analysis of all three marble samples. The XRF analysis shows the presence of a high concentration of Ca. Also, according to the MIP analysis the pores are seen to be concentrated between 0.003–0.005 mm and 45–150 mm.
Mixtures were prepared according to Type-C grading of the granular base material of TSTH. Firstly, the wastes were determined to be homogeneous in the range of 0–25 mm base material grading specified as Type-C by the sieve analysis test.
Of the freeze–thaw test, the Los Angeles test, the flatness index test, the water absorption test, the methylene blue test, clay lumps test, organic matter test, and consistency test showed that these marble wastes are suitable as base material according to the TSTH.
The modified Proctor tests were conducted on samples, and maximum dry unit volume weights (ρk max) and optimum water contents (wopt) were found to be very close to each other.
The dry/wet CBR test were performed on samples, and CBR values were determined above 100%.
In this study, marble waste was graded to be 0–25 mm and laid as the primary material for the road after the percentage of compaction was determined by the sand cone method. The sand cone test was conducted in the field for the compaction percentages of the road fill, or base layers laid. The compaction percentages of the samples were calculated as 99.2%, 99.6%, and 99.7%. Compaction percentages obtained were found to be appropriate according to the TSTH [16].
Based on the results of this study, a solution to the problems of environmental pollution and raw material supply can be found by evaluating the marble waste according to the regulations of each country. All over the world, studies on waste utilization should be encouraged within the scope of efficient and environmentally friendly use of resources, dissemination of recycling, and contributing to the economy.
Acknowledgments
This study has been produced from Gökhan Yakşe’s master’s thesis titled “Waste Marble Particles Evaluation as the Base Material.”
References
[1] European Commission (EC). Report From The Commission To The European Parliament, The European Economic And Social Committee And The Committee Of The Regions on the Thematic Strategy on the Prevention and Recycling of Waste. Brussels: The Directorate-General Environment of the European Commission; 2011.Search in Google Scholar
[2] European Union (EU). Directive 2008/98/EC of the European Parliament and of the council, of 19 November 2008 on waste and repealing certain directives. Off J Eur Union. 2008;L 312(3):28.Search in Google Scholar
[3] Sardegna Ricerche and Consorzio 21. Natural Stone from Sardinia. Technical Handbook. Cagliari: Sardegna Ricerche; 2002.Search in Google Scholar
[4] Aukour FJ, Al-Qinna MI. Marble production and environmental constrains: case study from Zarqa Governorate. Jordan, Jordan J Earth Environ Sci. 2008;1(1):11–21.Search in Google Scholar
[5] BRGM. Management of mining, quarrying and ore-processing waste in the European Union. European Commission; 2001. p. 79.Search in Google Scholar
[6] Korban Z. “Problem odpadów wydobywczych i oddziaływania ich na środowisko”, na przykładzie zwałowiska nr 5A/W-1 KWK X. Górnictwo i Geologia. 2011;T. 6:109–20.Search in Google Scholar
[7] Shirazi EK. Reusing of stone waste in various industrial activities. 2011 2nd International Conference on Environmental Science and Development. vol. 4, Singapore: IPCBEE; 2011.Search in Google Scholar
[8] Pappu A, Saxena M, Asolekar SR. Solid wastes generation in India and their recycling potential in building materials. Build Environ. 2007;42:2311–20.10.1016/j.buildenv.2006.04.015Search in Google Scholar
[9] Ilangovana R, Mahendrana N, Nagamanib K. Strength and durability properties of concrete containing quarry rock dust as fine aggregate. ARPN J Eng Appl Sci. 2008;3:20–26.Search in Google Scholar
[10] Kore SD, Vyas AK. Impact of marble waste as coarse aggregate on properties of lean cement concrete. Case Stud Constr Mater. 2016;4:85–92.10.1016/j.cscm.2016.01.002Search in Google Scholar
[11] Corinaldesi V, Moriconi G, Naik TR. Characterization of marble powder for its use in mortar and concrete. Constr Build Mater. 2010;24:113–7.10.1016/j.conbuildmat.2009.08.013Search in Google Scholar
[12] Dino GA, Chiappino C, Rossetti P. Quarry waste management and recovery: first results connected to Carrara marble ravaneti (Italy). Geophys Res Abstr. 2017;19:EGU2017–3982.Search in Google Scholar
[13] Mehta D, Paliwal D, Sankhla VS, Tege S. Study of marble waste and its utilization. Int Res J Eng Technol (IRJET). July 2020;7(7):5.Search in Google Scholar
[14] Safiuddin M, Raman SN, Zain MFM. Utilization of quarry waste fine aggregate in concrete mixtures. J Appl Sci Res. 2007;3:202–8.Search in Google Scholar
[15] Kudełko J, Nitek D. Utilization of waste from mining activities as substitutes for mineral resources. CUPRUM. 2011;3(60):14 (in Polish).Search in Google Scholar
[16] Careddu N, Dino GA, Danielsen SW, Přikry R. Raw materials associated with extractive industry: an overview. Resour Policy. 2018;59:1–6. 10.1016/j.resourpol.2018.09.014.Search in Google Scholar
[17] Saltan M. Analytical Evaluation of Flexible Pavements. Isparta, Turkey: Dissertation, Süleyman Demirel University; 1999 (in Turkish).Search in Google Scholar
[18] Umar F, Ağar E. Road Superstructure. Istanbul: ITU Construction Faculty Printing House; 1991. p. 339 (in Turkish).Search in Google Scholar
[19] Ilıcalı M, Tayfur S, Özen H, Sönmez I, Eren K. Asphalt and Applications. No:1 Istanbul: ISFALT, Scientific publication; 2001 (in Turkish).Search in Google Scholar
[20] Karaşahin M, Dawson AR, Holden JT. Applicability of Resilient Constitutive Models of Granular Material for Unbound Base Layers. Washington, D.C: National Research Council; 1993. p. 98–107.Search in Google Scholar
[21] Mamta BR, Pitroda J. A study of utilization aspect of stone waste in Indian context. Int J Therm & Environ Eng. Jan 2013;2(1):2.Search in Google Scholar
[22] Prabakar J, Dendorkar N, Morchhale K. Influence of fly ash on strength behavior of typical soils. Construct build mater. Int J Sci Res Publ. 2004;18:263–7.Search in Google Scholar
[23] Sen T, Mishra U. Usage of industrial waste products in village road construction. Int J Environ Sci Dev. 2010;1(2):122–6.10.7763/IJESD.2010.V1.25Search in Google Scholar
[24] Kolisetty RK, Chore HS. Utilization of waste materials in construction activities: a green concept. Proceedings of International conference on Green Computing and Technology. Beijing, China: The 2013 IEEE International Conference on Green Computing and Communications; 2013. p. 1–5.Search in Google Scholar
[25] Lidmila M, Tesárek P, Plachy T, Rácová Z, Padevět P, Nežerka V, et al. Utilization of recycled binder for improvement of Subsoil under railway sleepers. Appl Mech Mater. 2013;486:323–6.10.4028/www.scientific.net/AMM.486.323Search in Google Scholar
[26] Anupam AK, Kumar P, Ransinchung RNGD. Use of various agricultural and industrial waste materials in road construction. Procedia Soc Behav Sci. 2013;104:264–73.10.1016/j.sbspro.2013.11.119Search in Google Scholar
[27] Bolden J, Abu-Lebdeh T, Fini E. Utilization of recycled and waste materials in various construction applications. Am J Environ Sci. 2013;9(1):14–24.10.3844/ajessp.2013.14.24Search in Google Scholar
[28] Mishra B, Mishra RS. A study on use of industrial wastes in rural road construction. Int J Innovative Res Science, Eng Technol. 2015;4(11):10387–98.10.15680/IJIRSET.2015.0411009Search in Google Scholar
[29] Bapna RK. Marble waste minimization. Dep Mines & Geol Newsl. 2002;23:4.Search in Google Scholar
[30] Reid JM. The use of alternative materials in road construction, International Symposium on Unbound Aggregates in Roads–UNBAR. vol. 5, Nottingham, England, Rotterdam, Netherlands; Brookfield, VT: A.A. Balkema; 2000.Search in Google Scholar
[31] Rezende LR, Carvalho JC. The use of quarry waste in pavement construction. Resources, Conserv Recycling. August 2003;39(1):91–105.10.1016/S0921-3449(02)00123-4Search in Google Scholar
[32] Hámor T. Sustainable mining in the European Union: the legislative aspect. Environ Manag. 2004;33:252–61.10.1007/s00267-003-0081-7Search in Google Scholar
[33] Ribeiro de Rezende L, Ramos da Silveira L, Lima W, de Araújo M, Pereira da Luz. Reuse of fine quarry wastes in pavement: case study in Brazil. J Mater Civ Eng. 2013;26(8):05014003.10.1061/(ASCE)MT.1943-5533.0000997Search in Google Scholar
[34] Pietrzyk-Sokulska E, Uberman R, Kulczycka J. The impact of mining on the environment in Poland – myths and reality. Gospodarka Surowcami Miner – Miner Resour Manag. 2015;31(1):45–64. 10.1515/gospo-2015-0009Search in Google Scholar
[35] Wellmer FW, Hagelüken C. The feedback control cycle ofminerals supply, increase of raw materials efficiency, and sustainable development. Minerals. 2015;5:815–836. https://pdfs.semanticscholar.org/95f4/0f211a9b6a8055be37242df9f77086a58112.pdf.10.3390/min5040527Search in Google Scholar
[36] Ghisellini P, Cialani C, Ulgiati S. A review on circular economy: the expected transition to a balanced interplay of environmental and economic systems. J Clean Prod. 2016;114:11e3211e32. 10.1016/j.jclepro.2015.09.007Search in Google Scholar
[37] Ilıcalı M. Investigation of Usability of Erdemir Slag in Highway Superstructure. Ph.D. dissertation. Istanbul, Turkey: Yıldız Technical University; 1988 (in Turkish).Search in Google Scholar
[38] Yılmaz AO, Alp İ, Kaya R, Çavuşoğlu İ. Investigation of quarries in Trabzon province and aggregate potential. 3. National Crushed Stone Symposium. Istanbul: Nadir Kitap; 2003(in Turkish). p. 133–41.Search in Google Scholar
[39] Barritt JC. “Overcoming Barriers to Recycling”, Presentation at 2nd International Conference on pavem ent engineering and asphalt technology. Liverpool, UK: Liverpool John Moores University; 26 February 2003.Search in Google Scholar
[40] Langer WH, Drew LJ, Sachs JS. “Aggregate and the environment”, Environmental Awareness Series 8. Alexandria, VA: American Geological Institute; 2004.Search in Google Scholar
[41] Shirazi EK. Reusing of stone waste in various industrial activities. 2nd International Conference on Environmental Science and Development. Vol. 4, Singapore: IPCBEE; 2011.Search in Google Scholar
[42] Swamy AK, Das A. Possible use of some waste materials in road construction. The Masterbuilder. 2012;3(42):44–48.Search in Google Scholar
[43] Estanqueiro BAM. Life cycle assessment of the use of recycled aggregates in the production of concrete. Lisboa, Portugal: Instituto Superior Técnico, Universidade Técnica de Lisboa-UTL; 2012.Search in Google Scholar
[44] Neves J, Freire AC, Roque AJ, Martins IM, Antunes ML, Faria G. Utilization of recycled materials in unbound granular layers validated by experimental test sections. Ninth International conference on the Bearing Capacity of Roads, Railways and Airfields (BCRRA 2013). Norway, Rotterdam, Netherlands; Brookfield, VT: A.A. Balkema: June 2013.Search in Google Scholar
[45] Kim S-H, Ashtiani R, Vaughan D, Islets JD. Use of recycled concrete materials as aggregate base layer. Airfield & Highway Pavement Conferenc. June 9–12, 2013, Los Angeles, California, Reston, Virginia: American Society of Civil Engineers; 2013.10.1061/9780784413005.107Search in Google Scholar
[46] Ahmed AAM, Kareem KHA, Altohamy AM, Rizk SAM. Potential use of mines and quarries solid waste in road construction and as replacement soil undre foundations. J Eng Sci Assiut Univ Faculty Eng. 2014;42(4):1094–105.10.21608/jesaun.2014.115043Search in Google Scholar
[47] Sharma DP, Sharma GP. Utilization of various properties of marble waste in different building works. Int J Emerg Trends Sci Technol. 2015;2(9):3152–5. ISSN 2348-948010.18535/ijetst/v2i9.03Search in Google Scholar
[48] Berwal P, Aggarwal P, Goel R. Use of recycled aggregates in Granular sub-base. Int J Innovative Res Science, Eng Technol. 2014;3(10):8.10.15680/IJIRSET.2014.0310078Search in Google Scholar
[49] Specification for Highway Works, Department of Transport, HMSO, 1986.Search in Google Scholar
[50] British Standard 6543. The Use of Industrial By-Products and Waste Materials in Building and Civil Engineering. London: British Standard Institution; 1985.Search in Google Scholar
[51] Kasai Y, “Studies into the Reuse of Demolished Concrete in Japan. EDA (European Demolition Association)/RILEM Conference on Demo-Recycling, (Rotterdam)”, Part 2. Reuse of concrete and brick materials, 1985.Search in Google Scholar
[52] Abukhettala M. Use of Recycled Materials in Road Construction. Proceedings of the 2nd International Conference on Civil, Structural and Transportation Engineering (ICCSTE’16), Ottawa, Canada, May 5–6, 2016, Paper No. 1382016.Search in Google Scholar
[53] Dino GA, Danielsen SW, Chiappino C, Engelsen CJ. Recycling of rock materials as part of sustainable aggregate production in Norway and Italy. Q J Eng Geol Hydrogeol. 2017;50(4):412–6.10.1144/qjegh2016-131Search in Google Scholar
[54] Gautam PK, Patidar P, Kalla P, Jethoo AS, Harshwardhan SC. Use of Kota stone cutting and quarry waste as subbase material. Interdiscip Environ Rev (IER). 2017;18(2):8.10.1504/IER.2017.087908Search in Google Scholar
[55] Shon C-S, Estakhri CK, Lee D, Zhang D. Evaluating feasibility of modified drilling waste materials in flexible base course construction. Constr Build Mater. 2016;116:79–86.10.1016/j.conbuildmat.2016.04.100Search in Google Scholar
[56] Jamsawang P, Poorahong H, Yoobanpot N, Songpiriyakij S, Jongpradist P. Improvement of soft clay with cement and bagasse ash waste. Constr Build Mater. 2017;154:61–71.10.1016/j.conbuildmat.2017.07.188Search in Google Scholar
[57] Xiao H, Wang W, Goh SH. Effectiveness study for fly ash cement improved marine clay. Constr Build Mater. 2017;157:1053–64.10.1016/j.conbuildmat.2017.09.070Search in Google Scholar
[58] Arulrajah A, Yaghoubi E, Wongb YC, Horpibulsuk S. Recycled plastic granules and demolition wastes as construction materials: resilient moduli and strength characteristics. Constr Build Mater. 2017;147:639–47.10.1016/j.conbuildmat.2017.04.178Search in Google Scholar
[59] Shariatmadari N, Zeinali SM, Mirzaeifar H, Keramati M. Evaluating the effect of using shredded waste tire in the stone columns as an improvement technique. Constr Build Mater. 2018;176:700–9.10.1016/j.conbuildmat.2018.05.090Search in Google Scholar
[60] Park S-S, Kim S-J, Chen KQ, Lee Y-J, Lee S-B. Crushing characteristics of a recycled aggregate from waste concrete. Constr Build Mater. 2018;160:100–5.10.1016/j.conbuildmat.2017.11.036Search in Google Scholar
[61] Erdoğan PÖ, Başar HM. Recycling of marine dredged materials, coal fly ash and waste foundry sand as lightweight aggregates. J Fac Eng Archit Gazi Univ. 2019;34(3):1377–94.Search in Google Scholar
[62] Brito J, Pereira AS, Correia JR. Mechanical behaviour of non-structural concrete made with recycled ceramic aggregates. Cem Concr Compos. 2005;27:429–33.10.1016/j.cemconcomp.2004.07.005Search in Google Scholar
[63] Correia JR, Brito J, Pereira AS. Effects on concrete durability of using recycled ceramic aggregates. Mater Struct. 2006;39:169–77.10.1617/s11527-005-9014-7Search in Google Scholar
[64] Gomes M, Brito J. Structural concrete with incorporation of coarse recycled concrete and ceramic aggregates: durability performance. Mater Struct. 2008;42:663–75.10.1617/s11527-008-9411-9Search in Google Scholar
[65] Jiménez JR, Ayuso J, López M, Fernández JM, Brito J. Use of fine recycled aggregates from ceramic waste in masonry mortar manufacturing. Constr Build Mater. 2013;40:679–90.10.1016/j.conbuildmat.2012.11.036Search in Google Scholar
[66] Technical Specification of Turkish Highways. Ministry of Transport, Maritime Affairs and Communications. Ankara: General Directorate of Highways; 2013, (in Turkish).Search in Google Scholar
[67] ASTM International. ASTM C119: Standard Terminology Relating to Dimension Stone. West Conshohocken, PA: ASTM International.Search in Google Scholar
[68] Marble Institute of America (MIA) (2012).Search in Google Scholar
[69] General Directorate of the Mineral Research & Exploration of Turkey: Bilecik province mining and energy resources, 2010 http://www.mta.gov.tr/v3.0/sayfalar/bilgi-merkezi/maden_potansiyel_2010/Bilecik_Madenler.pdf (in Turkish).Search in Google Scholar
[70] AASHTO T 19M/T 19-14. Standard Method of Test for Bulk Density (“Unit Weight”) and Voids in Aggregate. Washington, DC, ABD: American Association of State and Highway Transportation Officials; 2018.Search in Google Scholar
[71] TSE1900-1. Soil laboratory experiments in Civil Engineering, Part1: Determination of physical properties. Ankara, Turkey; Turkish Standardization Institute; 2006 (in Turkish).Search in Google Scholar
[72] TSE 1900-2. Soil laboratory experiments in Civil Engineering, Part 2: Determination of mechanical properties. Ankara, Turkey; Turkish Standardization Institute; 2006 (in Turkish).Search in Google Scholar
© 2020 Nazile Ural and Gökhan Yakşe, published by De Gruyter
This work is licensed under the Creative Commons Attribution 4.0 International License.
Articles in the same Issue
- Regular Articles
- The simulation approach to the interpretation of archival aerial photographs
- The application of137Cs and210Pbexmethods in soil erosion research of Titel loess plateau, Vojvodina, Northern Serbia
- Provenance and tectonic significance of the Zhongwunongshan Group from the Zhongwunongshan Structural Belt in China: insights from zircon geochronology
- Analysis, Assessment and Early Warning of Mudflow Disasters along the Shigatse Section of the China–Nepal Highway
- Sedimentary succession and recognition marks of lacustrine gravel beach-bars, a case study from the Qinghai Lake, China
- Predicting small water courses’ physico-chemical status from watershed characteristics with two multivariate statistical methods
- An Overview of the Carbonatites from the Indian Subcontinent
- A new statistical approach to the geochemical systematics of Italian alkaline igneous rocks
- The significance of karst areas in European national parks and geoparks
- Geochronology, trace elements and Hf isotopic geochemistry of zircons from Swat orthogneisses, Northern Pakistan
- Regional-scale drought monitor using synthesized index based on remote sensing in northeast China
- Application of combined electrical resistivity tomography and seismic reflection method to explore hidden active faults in Pingwu, Sichuan, China
- Impact of interpolation techniques on the accuracy of large-scale digital elevation model
- Natural and human-induced factors controlling the phreatic groundwater geochemistry of the Longgang River basin, South China
- Land use/land cover assessment as related to soil and irrigation water salinity over an oasis in arid environment
- Effect of tillage, slope, and rainfall on soil surface microtopography quantified by geostatistical and fractal indices during sheet erosion
- Validation of the number of tie vectors in post-processing using the method of frequency in a centric cube
- An integrated petrophysical-based wedge modeling and thin bed AVO analysis for improved reservoir characterization of Zhujiang Formation, Huizhou sub-basin, China: A case study
- A grain size auto-classification of Baikouquan Formation, Mahu Depression, Junggar Basin, China
- Dynamics of mid-channel bars in the Middle Vistula River in response to ferry crossing abutment construction
- Estimation of permeability and saturation based on imaginary component of complex resistivity spectra: A laboratory study
- Distribution characteristics of typical geological relics in the Western Sichuan Plateau
- Inconsistency distribution patterns of different remote sensing land-cover data from the perspective of ecological zoning
- A new methodological approach (QEMSCAN®) in the mineralogical study of Polish loess: Guidelines for further research
- Displacement and deformation study of engineering structures with the use of modern laser technologies
- Virtual resolution enhancement: A new enhancement tool for seismic data
- Aeromagnetic mapping of fault architecture along Lagos–Ore axis, southwestern Nigeria
- Deformation and failure mechanism of full seam chamber with extra-large section and its control technology
- Plastic failure zone characteristics and stability control technology of roadway in the fault area under non-uniformly high geostress: A case study from Yuandian Coal Mine in Northern Anhui Province, China
- Comparison of swarm intelligence algorithms for optimized band selection of hyperspectral remote sensing image
- Soil carbon stock and nutrient characteristics of Senna siamea grove in the semi-deciduous forest zone of Ghana
- Carbonatites from the Southern Brazilian platform: I
- Seismicity, focal mechanism, and stress tensor analysis of the Simav region, western Turkey
- Application of simulated annealing algorithm for 3D coordinate transformation problem solution
- Application of the terrestrial laser scanner in the monitoring of earth structures
- The Cretaceous igneous rocks in southeastern Guangxi and their implication for tectonic environment in southwestern South China Block
- Pore-scale gas–water flow in rock: Visualization experiment and simulation
- Assessment of surface parameters of VDW foundation piles using geodetic measurement techniques
- Spatial distribution and risk assessment of toxic metals in agricultural soils from endemic nasopharyngeal carcinoma region in South China
- An ABC-optimized fuzzy ELECTRE approach for assessing petroleum potential at the petroleum system level
- Microscopic mechanism of sandstone hydration in Yungang Grottoes, China
- Importance of traditional landscapes in Slovenia for conservation of endangered butterfly
- Landscape pattern and economic factors’ effect on prediction accuracy of cellular automata-Markov chain model on county scale
- The influence of river training on the location of erosion and accumulation zones (Kłodzko County, South West Poland)
- Multi-temporal survey of diaphragm wall with terrestrial laser scanning method
- Functionality and reliability of horizontal control net (Poland)
- Strata behavior and control strategy of backfilling collaborate with caving fully-mechanized mining
- The use of classical methods and neural networks in deformation studies of hydrotechnical objects
- Ice-crevasse sedimentation in the eastern part of the Głubczyce Plateau (S Poland) during the final stage of the Drenthian Glaciation
- Structure of end moraines and dynamics of the recession phase of the Warta Stadial ice sheet, Kłodawa Upland, Central Poland
- Mineralogy, mineral chemistry and thermobarometry of post-mineralization dykes of the Sungun Cu–Mo porphyry deposit (Northwest Iran)
- Main problems of the research on the Palaeolithic of Halych-Dnister region (Ukraine)
- Application of isometric transformation and robust estimation to compare the measurement results of steel pipe spools
- Hybrid machine learning hydrological model for flood forecast purpose
- Rainfall thresholds of shallow landslides in Wuyuan County of Jiangxi Province, China
- Dynamic simulation for the process of mining subsidence based on cellular automata model
- Developing large-scale international ecological networks based on least-cost path analysis – a case study of Altai mountains
- Seismic characteristics of polygonal fault systems in the Great South Basin, New Zealand
- New approach of clustering of late Pleni-Weichselian loess deposits (L1LL1) in Poland
- Implementation of virtual reference points in registering scanning images of tall structures
- Constraints of nonseismic geophysical data on the deep geological structure of the Benxi iron-ore district, Liaoning, China
- Mechanical analysis of basic roof fracture mechanism and feature in coal mining with partial gangue backfilling
- The violent ground motion before the Jiuzhaigou earthquake Ms7.0
- Landslide site delineation from geometric signatures derived with the Hilbert–Huang transform for cases in Southern Taiwan
- Hydrological process simulation in Manas River Basin using CMADS
- LA-ICP-MS U–Pb ages of detrital zircons from Middle Jurassic sedimentary rocks in southwestern Fujian: Sedimentary provenance and its geological significance
- Analysis of pore throat characteristics of tight sandstone reservoirs
- Effects of igneous intrusions on source rock in the early diagenetic stage: A case study on Beipiao Formation in Jinyang Basin, Northeast China
- Applying floodplain geomorphology to flood management (The Lower Vistula River upstream from Plock, Poland)
- Effect of photogrammetric RPAS flight parameters on plani-altimetric accuracy of DTM
- Morphodynamic conditions of heavy metal concentration in deposits of the Vistula River valley near Kępa Gostecka (central Poland)
- Accuracy and functional assessment of an original low-cost fibre-based inclinometer designed for structural monitoring
- The impacts of diagenetic facies on reservoir quality in tight sandstones
- Application of electrical resistivity imaging to detection of hidden geological structures in a single roadway
- Comparison between electrical resistivity tomography and tunnel seismic prediction 303 methods for detecting the water zone ahead of the tunnel face: A case study
- The genesis model of carbonate cementation in the tight oil reservoir: A case of Chang 6 oil layers of the Upper Triassic Yanchang Formation in the western Jiyuan area, Ordos Basin, China
- Disintegration characteristics in granite residual soil and their relationship with the collapsing gully in South China
- Analysis of surface deformation and driving forces in Lanzhou
- Geochemical characteristics of produced water from coalbed methane wells and its influence on productivity in Laochang Coalfield, China
- A combination of genetic inversion and seismic frequency attributes to delineate reservoir targets in offshore northern Orange Basin, South Africa
- Explore the application of high-resolution nighttime light remote sensing images in nighttime marine ship detection: A case study of LJ1-01 data
- DTM-based analysis of the spatial distribution of topolineaments
- Spatiotemporal variation and climatic response of water level of major lakes in China, Mongolia, and Russia
- The Cretaceous stratigraphy, Songliao Basin, Northeast China: Constrains from drillings and geophysics
- Canal of St. Bartholomew in Seča/Sezza: Social construction of the seascape
- A modelling resin material and its application in rock-failure study: Samples with two 3D internal fracture surfaces
- Utilization of marble piece wastes as base materials
- Slope stability evaluation using backpropagation neural networks and multivariate adaptive regression splines
- Rigidity of “Warsaw clay” from the Poznań Formation determined by in situ tests
- Numerical simulation for the effects of waves and grain size on deltaic processes and morphologies
- Impact of tourism activities on water pollution in the West Lake Basin (Hangzhou, China)
- Fracture characteristics from outcrops and its meaning to gas accumulation in the Jiyuan Basin, Henan Province, China
- Impact evaluation and driving type identification of human factors on rural human settlement environment: Taking Gansu Province, China as an example
- Identification of the spatial distributions, pollution levels, sources, and health risk of heavy metals in surface dusts from Korla, NW China
- Petrography and geochemistry of clastic sedimentary rocks as evidence for the provenance of the Jurassic stratum in the Daqingshan area
- Super-resolution reconstruction of a digital elevation model based on a deep residual network
- Seismic prediction of lithofacies heterogeneity in paleogene hetaoyuan shale play, Biyang depression, China
- Cultural landscape of the Gorica Hills in the nineteenth century: Franciscean land cadastre reports as the source for clarification of the classification of cultivable land types
- Analysis and prediction of LUCC change in Huang-Huai-Hai river basin
- Hydrochemical differences between river water and groundwater in Suzhou, Northern Anhui Province, China
- The relationship between heat flow and seismicity in global tectonically active zones
- Modeling of Landslide susceptibility in a part of Abay Basin, northwestern Ethiopia
- M-GAM method in function of tourism potential assessment: Case study of the Sokobanja basin in eastern Serbia
- Dehydration and stabilization of unconsolidated laminated lake sediments using gypsum for the preparation of thin sections
- Agriculture and land use in the North of Russia: Case study of Karelia and Yakutia
- Textural characteristics, mode of transportation and depositional environment of the Cretaceous sandstone in the Bredasdorp Basin, off the south coast of South Africa: Evidence from grain size analysis
- One-dimensional constrained inversion study of TEM and application in coal goafs’ detection
- The spatial distribution of retail outlets in Urumqi: The application of points of interest
- Aptian–Albian deposits of the Ait Ourir basin (High Atlas, Morocco): New additional data on their paleoenvironment, sedimentology, and palaeogeography
- Traditional agricultural landscapes in Uskopaljska valley (Bosnia and Herzegovina)
- A detection method for reservoir waterbodies vector data based on EGADS
- Modelling and mapping of the COVID-19 trajectory and pandemic paths at global scale: A geographer’s perspective
- Effect of organic maturity on shale gas genesis and pores development: A case study on marine shale in the upper Yangtze region, South China
- Gravel roundness quantitative analysis for sedimentary microfacies of fan delta deposition, Baikouquan Formation, Mahu Depression, Northwestern China
- Features of terraces and the incision rate along the lower reaches of the Yarlung Zangbo River east of Namche Barwa: Constraints on tectonic uplift
- Application of laser scanning technology for structure gauge measurement
- Calibration of the depth invariant algorithm to monitor the tidal action of Rabigh City at the Red Sea Coast, Saudi Arabia
- Evolution of the Bystrzyca River valley during Middle Pleistocene Interglacial (Sudetic Foreland, south-western Poland)
- A 3D numerical analysis of the compaction effects on the behavior of panel-type MSE walls
- Landscape dynamics at borderlands: analysing land use changes from Southern Slovenia
- Effects of oil viscosity on waterflooding: A case study of high water-cut sandstone oilfield in Kazakhstan
- Special Issue: Alkaline-Carbonatitic magmatism
- Carbonatites from the southern Brazilian Platform: A review. II: Isotopic evidences
- Review Article
- Technology and innovation: Changing concept of rural tourism – A systematic review
Articles in the same Issue
- Regular Articles
- The simulation approach to the interpretation of archival aerial photographs
- The application of137Cs and210Pbexmethods in soil erosion research of Titel loess plateau, Vojvodina, Northern Serbia
- Provenance and tectonic significance of the Zhongwunongshan Group from the Zhongwunongshan Structural Belt in China: insights from zircon geochronology
- Analysis, Assessment and Early Warning of Mudflow Disasters along the Shigatse Section of the China–Nepal Highway
- Sedimentary succession and recognition marks of lacustrine gravel beach-bars, a case study from the Qinghai Lake, China
- Predicting small water courses’ physico-chemical status from watershed characteristics with two multivariate statistical methods
- An Overview of the Carbonatites from the Indian Subcontinent
- A new statistical approach to the geochemical systematics of Italian alkaline igneous rocks
- The significance of karst areas in European national parks and geoparks
- Geochronology, trace elements and Hf isotopic geochemistry of zircons from Swat orthogneisses, Northern Pakistan
- Regional-scale drought monitor using synthesized index based on remote sensing in northeast China
- Application of combined electrical resistivity tomography and seismic reflection method to explore hidden active faults in Pingwu, Sichuan, China
- Impact of interpolation techniques on the accuracy of large-scale digital elevation model
- Natural and human-induced factors controlling the phreatic groundwater geochemistry of the Longgang River basin, South China
- Land use/land cover assessment as related to soil and irrigation water salinity over an oasis in arid environment
- Effect of tillage, slope, and rainfall on soil surface microtopography quantified by geostatistical and fractal indices during sheet erosion
- Validation of the number of tie vectors in post-processing using the method of frequency in a centric cube
- An integrated petrophysical-based wedge modeling and thin bed AVO analysis for improved reservoir characterization of Zhujiang Formation, Huizhou sub-basin, China: A case study
- A grain size auto-classification of Baikouquan Formation, Mahu Depression, Junggar Basin, China
- Dynamics of mid-channel bars in the Middle Vistula River in response to ferry crossing abutment construction
- Estimation of permeability and saturation based on imaginary component of complex resistivity spectra: A laboratory study
- Distribution characteristics of typical geological relics in the Western Sichuan Plateau
- Inconsistency distribution patterns of different remote sensing land-cover data from the perspective of ecological zoning
- A new methodological approach (QEMSCAN®) in the mineralogical study of Polish loess: Guidelines for further research
- Displacement and deformation study of engineering structures with the use of modern laser technologies
- Virtual resolution enhancement: A new enhancement tool for seismic data
- Aeromagnetic mapping of fault architecture along Lagos–Ore axis, southwestern Nigeria
- Deformation and failure mechanism of full seam chamber with extra-large section and its control technology
- Plastic failure zone characteristics and stability control technology of roadway in the fault area under non-uniformly high geostress: A case study from Yuandian Coal Mine in Northern Anhui Province, China
- Comparison of swarm intelligence algorithms for optimized band selection of hyperspectral remote sensing image
- Soil carbon stock and nutrient characteristics of Senna siamea grove in the semi-deciduous forest zone of Ghana
- Carbonatites from the Southern Brazilian platform: I
- Seismicity, focal mechanism, and stress tensor analysis of the Simav region, western Turkey
- Application of simulated annealing algorithm for 3D coordinate transformation problem solution
- Application of the terrestrial laser scanner in the monitoring of earth structures
- The Cretaceous igneous rocks in southeastern Guangxi and their implication for tectonic environment in southwestern South China Block
- Pore-scale gas–water flow in rock: Visualization experiment and simulation
- Assessment of surface parameters of VDW foundation piles using geodetic measurement techniques
- Spatial distribution and risk assessment of toxic metals in agricultural soils from endemic nasopharyngeal carcinoma region in South China
- An ABC-optimized fuzzy ELECTRE approach for assessing petroleum potential at the petroleum system level
- Microscopic mechanism of sandstone hydration in Yungang Grottoes, China
- Importance of traditional landscapes in Slovenia for conservation of endangered butterfly
- Landscape pattern and economic factors’ effect on prediction accuracy of cellular automata-Markov chain model on county scale
- The influence of river training on the location of erosion and accumulation zones (Kłodzko County, South West Poland)
- Multi-temporal survey of diaphragm wall with terrestrial laser scanning method
- Functionality and reliability of horizontal control net (Poland)
- Strata behavior and control strategy of backfilling collaborate with caving fully-mechanized mining
- The use of classical methods and neural networks in deformation studies of hydrotechnical objects
- Ice-crevasse sedimentation in the eastern part of the Głubczyce Plateau (S Poland) during the final stage of the Drenthian Glaciation
- Structure of end moraines and dynamics of the recession phase of the Warta Stadial ice sheet, Kłodawa Upland, Central Poland
- Mineralogy, mineral chemistry and thermobarometry of post-mineralization dykes of the Sungun Cu–Mo porphyry deposit (Northwest Iran)
- Main problems of the research on the Palaeolithic of Halych-Dnister region (Ukraine)
- Application of isometric transformation and robust estimation to compare the measurement results of steel pipe spools
- Hybrid machine learning hydrological model for flood forecast purpose
- Rainfall thresholds of shallow landslides in Wuyuan County of Jiangxi Province, China
- Dynamic simulation for the process of mining subsidence based on cellular automata model
- Developing large-scale international ecological networks based on least-cost path analysis – a case study of Altai mountains
- Seismic characteristics of polygonal fault systems in the Great South Basin, New Zealand
- New approach of clustering of late Pleni-Weichselian loess deposits (L1LL1) in Poland
- Implementation of virtual reference points in registering scanning images of tall structures
- Constraints of nonseismic geophysical data on the deep geological structure of the Benxi iron-ore district, Liaoning, China
- Mechanical analysis of basic roof fracture mechanism and feature in coal mining with partial gangue backfilling
- The violent ground motion before the Jiuzhaigou earthquake Ms7.0
- Landslide site delineation from geometric signatures derived with the Hilbert–Huang transform for cases in Southern Taiwan
- Hydrological process simulation in Manas River Basin using CMADS
- LA-ICP-MS U–Pb ages of detrital zircons from Middle Jurassic sedimentary rocks in southwestern Fujian: Sedimentary provenance and its geological significance
- Analysis of pore throat characteristics of tight sandstone reservoirs
- Effects of igneous intrusions on source rock in the early diagenetic stage: A case study on Beipiao Formation in Jinyang Basin, Northeast China
- Applying floodplain geomorphology to flood management (The Lower Vistula River upstream from Plock, Poland)
- Effect of photogrammetric RPAS flight parameters on plani-altimetric accuracy of DTM
- Morphodynamic conditions of heavy metal concentration in deposits of the Vistula River valley near Kępa Gostecka (central Poland)
- Accuracy and functional assessment of an original low-cost fibre-based inclinometer designed for structural monitoring
- The impacts of diagenetic facies on reservoir quality in tight sandstones
- Application of electrical resistivity imaging to detection of hidden geological structures in a single roadway
- Comparison between electrical resistivity tomography and tunnel seismic prediction 303 methods for detecting the water zone ahead of the tunnel face: A case study
- The genesis model of carbonate cementation in the tight oil reservoir: A case of Chang 6 oil layers of the Upper Triassic Yanchang Formation in the western Jiyuan area, Ordos Basin, China
- Disintegration characteristics in granite residual soil and their relationship with the collapsing gully in South China
- Analysis of surface deformation and driving forces in Lanzhou
- Geochemical characteristics of produced water from coalbed methane wells and its influence on productivity in Laochang Coalfield, China
- A combination of genetic inversion and seismic frequency attributes to delineate reservoir targets in offshore northern Orange Basin, South Africa
- Explore the application of high-resolution nighttime light remote sensing images in nighttime marine ship detection: A case study of LJ1-01 data
- DTM-based analysis of the spatial distribution of topolineaments
- Spatiotemporal variation and climatic response of water level of major lakes in China, Mongolia, and Russia
- The Cretaceous stratigraphy, Songliao Basin, Northeast China: Constrains from drillings and geophysics
- Canal of St. Bartholomew in Seča/Sezza: Social construction of the seascape
- A modelling resin material and its application in rock-failure study: Samples with two 3D internal fracture surfaces
- Utilization of marble piece wastes as base materials
- Slope stability evaluation using backpropagation neural networks and multivariate adaptive regression splines
- Rigidity of “Warsaw clay” from the Poznań Formation determined by in situ tests
- Numerical simulation for the effects of waves and grain size on deltaic processes and morphologies
- Impact of tourism activities on water pollution in the West Lake Basin (Hangzhou, China)
- Fracture characteristics from outcrops and its meaning to gas accumulation in the Jiyuan Basin, Henan Province, China
- Impact evaluation and driving type identification of human factors on rural human settlement environment: Taking Gansu Province, China as an example
- Identification of the spatial distributions, pollution levels, sources, and health risk of heavy metals in surface dusts from Korla, NW China
- Petrography and geochemistry of clastic sedimentary rocks as evidence for the provenance of the Jurassic stratum in the Daqingshan area
- Super-resolution reconstruction of a digital elevation model based on a deep residual network
- Seismic prediction of lithofacies heterogeneity in paleogene hetaoyuan shale play, Biyang depression, China
- Cultural landscape of the Gorica Hills in the nineteenth century: Franciscean land cadastre reports as the source for clarification of the classification of cultivable land types
- Analysis and prediction of LUCC change in Huang-Huai-Hai river basin
- Hydrochemical differences between river water and groundwater in Suzhou, Northern Anhui Province, China
- The relationship between heat flow and seismicity in global tectonically active zones
- Modeling of Landslide susceptibility in a part of Abay Basin, northwestern Ethiopia
- M-GAM method in function of tourism potential assessment: Case study of the Sokobanja basin in eastern Serbia
- Dehydration and stabilization of unconsolidated laminated lake sediments using gypsum for the preparation of thin sections
- Agriculture and land use in the North of Russia: Case study of Karelia and Yakutia
- Textural characteristics, mode of transportation and depositional environment of the Cretaceous sandstone in the Bredasdorp Basin, off the south coast of South Africa: Evidence from grain size analysis
- One-dimensional constrained inversion study of TEM and application in coal goafs’ detection
- The spatial distribution of retail outlets in Urumqi: The application of points of interest
- Aptian–Albian deposits of the Ait Ourir basin (High Atlas, Morocco): New additional data on their paleoenvironment, sedimentology, and palaeogeography
- Traditional agricultural landscapes in Uskopaljska valley (Bosnia and Herzegovina)
- A detection method for reservoir waterbodies vector data based on EGADS
- Modelling and mapping of the COVID-19 trajectory and pandemic paths at global scale: A geographer’s perspective
- Effect of organic maturity on shale gas genesis and pores development: A case study on marine shale in the upper Yangtze region, South China
- Gravel roundness quantitative analysis for sedimentary microfacies of fan delta deposition, Baikouquan Formation, Mahu Depression, Northwestern China
- Features of terraces and the incision rate along the lower reaches of the Yarlung Zangbo River east of Namche Barwa: Constraints on tectonic uplift
- Application of laser scanning technology for structure gauge measurement
- Calibration of the depth invariant algorithm to monitor the tidal action of Rabigh City at the Red Sea Coast, Saudi Arabia
- Evolution of the Bystrzyca River valley during Middle Pleistocene Interglacial (Sudetic Foreland, south-western Poland)
- A 3D numerical analysis of the compaction effects on the behavior of panel-type MSE walls
- Landscape dynamics at borderlands: analysing land use changes from Southern Slovenia
- Effects of oil viscosity on waterflooding: A case study of high water-cut sandstone oilfield in Kazakhstan
- Special Issue: Alkaline-Carbonatitic magmatism
- Carbonatites from the southern Brazilian Platform: A review. II: Isotopic evidences
- Review Article
- Technology and innovation: Changing concept of rural tourism – A systematic review