Home Crystal structure of (E)-7-hydroxy-2-((6-methoxypyridin-2-yl)methylene)-3,4-dihydronaphthalen-1(2H)-one, C17H15NO3
Article Open Access

Crystal structure of (E)-7-hydroxy-2-((6-methoxypyridin-2-yl)methylene)-3,4-dihydronaphthalen-1(2H)-one, C17H15NO3

  • Lun-Hai Liang ORCID logo , Feng-Lan Zhao and Qing-Guo Meng EMAIL logo
Published/Copyright: August 2, 2021

Abstract

C17H15NO3, triclinic, P 1 (no. 2), a = 7.5016(4) Å, b = 13.6750(8) Å, c = 14.8557(9) Å, α = 115.469(6)°, β = 91.726(5)°, γ = 97.325(5)°, V = 1358.48(15) Å3, Z = 4, R gt (F) = 0.0442, wRref(F2) = 0.1095, T = 100 K.

CCDC no.: 2078640

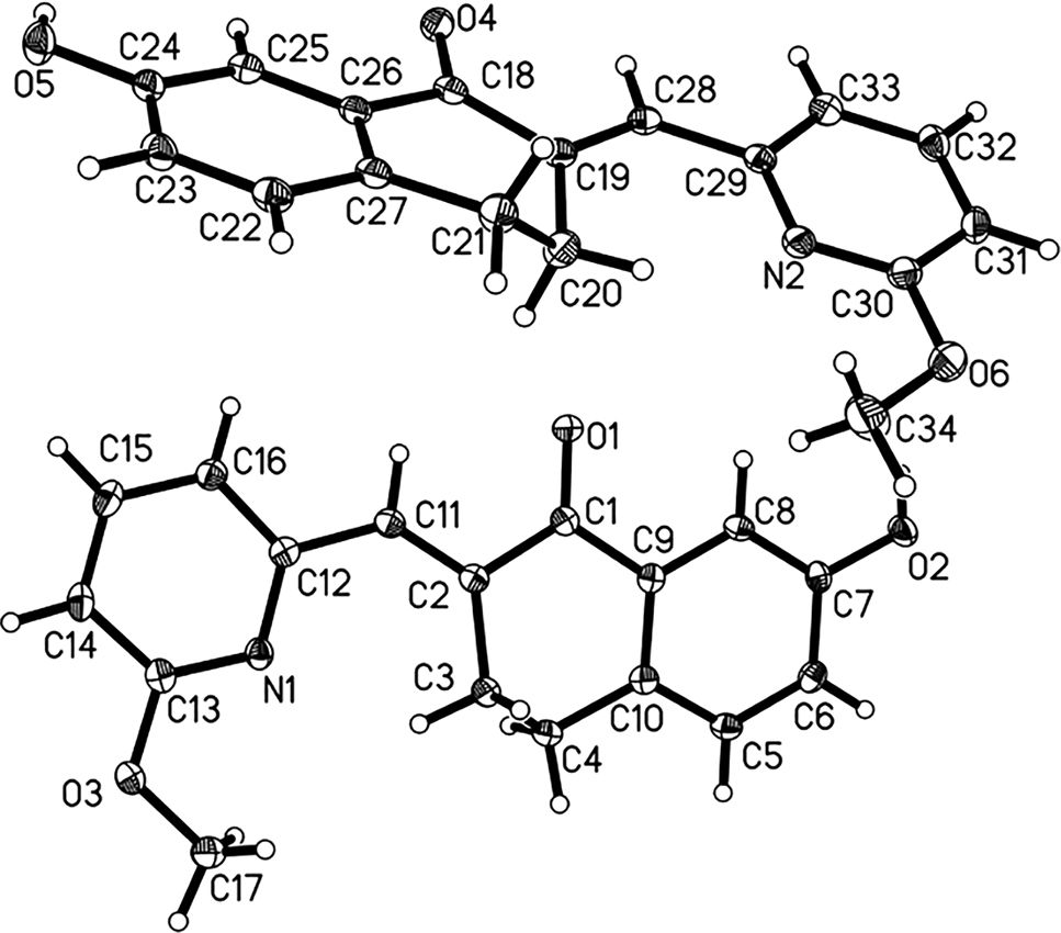
The molecular structure is shown in the figure. Displacement ellipsoids are drawn at the 40% probability level. Table 1 contains crystallographic data and Table 2 contains the list of the atoms including atomic coordinates and displacement parameters.

Table 1:

Data collection and handling.

Crystal: Yellow block
Size: 0.13 × 0.12 × 0.10 mm
Wavelength: Mo Kα radiation (0.71073 Å)
μ: 0.10 mm−1
Diffractometer, scan mode: SuperNova
θmax, completeness: 25.5°, >99%
N(hkl)measured, N(hkl)unique, Rint: 9244, 5038, 0.025
Criterion for Iobs, N(hkl)gt: Iobs > 2 σ(Iobs), 4080
N(param)refined: 383
Programs: CrysAlisPRO [1], SHELX [2], [3]
Table 2:

Fractional atomic coordinates and isotropic or equivalent isotropic displacement parameters (Å2).

Atom x y z Uiso*/Ueq
C1 0.6511 (2) 0.37693 (13) 0.02118 (11) 0.0175 (3)
C2 0.4853 (2) 0.33607 (13) 0.05593 (11) 0.0182 (4)
C3 0.4599 (2) 0.21732 (14) 0.03643 (12) 0.0228 (4)
H3A 0.334953 0.194165 0.042426 0.027*
H3B 0.534525 0.209552 0.086724 0.027*
C4 0.5094 (2) 0.14321 (14) −0.06736 (12) 0.0227 (4)
H4A 0.504387 0.069222 −0.073809 0.027*
H4B 0.421911 0.141177 −0.117786 0.027*
C5 0.8061 (2) 0.11105 (14) −0.14522 (12) 0.0208 (4)
H5 0.765646 0.035969 −0.173143 0.025*
C6 0.9747 (2) 0.14846 (14) −0.16421 (12) 0.0212 (4)
H6 1.046478 0.098841 −0.203713 0.025*
C7 1.0359 (2) 0.26065 (14) −0.12384 (11) 0.0188 (4)
C8 0.9297 (2) 0.33332 (13) −0.06384 (11) 0.0183 (4)
H8 0.970838 0.408287 −0.036556 0.022*
C9 0.7604 (2) 0.29542 (13) −0.04355 (11) 0.0174 (4)
C10 0.6955 (2) 0.18273 (13) −0.08550 (11) 0.0188 (4)
C11 0.3764 (2) 0.40996 (14) 0.10176 (11) 0.0191 (4)
H11 0.418808 0.479991 0.108651 0.023*
C12 0.2038 (2) 0.40092 (13) 0.14284 (11) 0.0177 (4)
C13 −0.0323 (2) 0.29892 (14) 0.17238 (12) 0.0203 (4)
C14 −0.1197 (2) 0.38971 (15) 0.22199 (12) 0.0239 (4)
H14 −0.228044 0.383070 0.249224 0.029*
C15 −0.0391 (2) 0.48863 (15) 0.22875 (12) 0.0240 (4)
H15 −0.092044 0.551250 0.260781 0.029*
C16 0.1232 (2) 0.49391 (14) 0.18691 (12) 0.0210 (4)
H16 0.177496 0.559801 0.188568 0.025*
C17 −0.0400 (2) 0.10651 (15) 0.10537 (14) 0.0297 (4)
H17A −0.030161 0.099968 0.038791 0.045*
H17B −0.114177 0.042343 0.102317 0.045*
H17C 0.078006 0.113579 0.136486 0.045*
C18 0.7915 (2) 0.87256 (13) 0.49960 (11) 0.0183 (4)
C19 0.9319 (2) 0.79937 (13) 0.47370 (11) 0.0184 (4)
C20 0.9193 (2) 0.71556 (15) 0.51506 (13) 0.0258 (4)
H20A 1.033228 0.688049 0.510952 0.031*
H20B 0.826312 0.654267 0.474908 0.031*
C21 0.8751 (2) 0.76514 (15) 0.62350 (12) 0.0245 (4)
H21A 0.859672 0.708543 0.646730 0.029*
H21B 0.974653 0.820803 0.664974 0.029*
C22 0.5825(2) 0.81246 (14) 0.70147 (12) 0.0219 (4)
H22 0.602239 0.775285 0.739679 0.026*
C23 0.4317(2) 0.86352 (14) 0.71286 (12) 0.0225 (4)
H23 0.351119 0.860032 0.758138 0.027*
C24 0.3998 (2) 0.92010 (13) 0.65701 (12) 0.0198 (4)
C25 0.5171 (2) 0.92188 (13) 0.58793 (11) 0.0186 (4)
H25 0.495005 0.958266 0.549320 0.022*
C26 0.6691 (2) 0.86950 (13) 0.57534 (11) 0.0176 (4)
C27 0.7060 (2) 0.81539 (13) 0.63387 (12) 0.0193 (4)
C28 1.0580 (2) 0.81543 (13) 0.41681 (11) 0.0172 (3)
H28 1.041033 0.868530 0.395372 0.021*
C29 1.2178 (2) 0.76286 (13) 0.38312 (11) 0.0176 (4)
C30 1.4004 (2) 0.63949 (14) 0.37863 (13) 0.0224 (4)
C31 1.5203 (2) 0.66874 (14) 0.32111 (13) 0.0249 (4)
H31 1.622063 0.635261 0.301572 0.030*
C32 1.4822 (2) 0.74872 (14) 0.29457 (12) 0.0229 (4)
H32 1.558203 0.770683 0.256145 0.027*
C33 1.3285 (2) 0.79681 (14) 0.32566 (11) 0.0203 (4)
H33 1.300573 0.851035 0.308087 0.024*
C34 1.3078 (2) 0.52660 (18) 0.45777 (18) 0.0454 (6)
H34A 1.305991 0.587024 0.522152 0.068*
H34B 1.340584 0.465398 0.466487 0.068*
H34C 1.190225 0.506202 0.421826 0.068*
N1 0.12467 (16) 0.30214 (11) 0.13616 (9) 0.0189 (3)
N2 1.25470 (17) 0.68363 (11) 0.40945 (10) 0.0201 (3)
O1 0.69851 (14) 0.47535 (9) 0.04534 (8) 0.0232 (3)
O2 1.20095 (14) 0.29427 (10) −0.14626 (9) 0.0258 (3)
H2 1.227398 0.360985 −0.114419 0.039*
O3 −0.11985 (14) 0.20131 (10) 0.16273 (9) 0.0255 (3)
O4 0.77477 (14) 0.93468 (9) 0.46041 (8) 0.0217 (3)
O5 0.25137 (14) 0.97224 (10) 0.67322 (9) 0.0251 (3)
H5A 0.241687 0.998242 0.633132 0.038*
O6 1.43737 (15) 0.55831 (10) 0.40217 (10) 0.0338 (3)

Source of material

Drop 5 mL (25%) sodium hydroxide aqueous solution to 7-hydroxy-3,4-dihydronaphthalen-1(2H)-one and 6-meth-oxypicolinaldehyde, then add 10 mL methanol and stir at room temperature for 3 h. Silica gel thin layer method was used to monitor the process control chromatography (TLC, 254 nm). When the reaction was stopped, the precipitate was filtered from the reaction and dissolved with ethyl acetate. The organic phase was washed successively by water and brine, and dried with anhydrous sodium sulfate. After filtration, the ethyl acetate was condensed under vacuo to yield a white solid, which was purified by silica gel column chromatography (petroleum ether: ethyl acetate = 1:2, v/v). Appropriate crystals of the title compound were obtained by recrystallization from dichloromethane and methanol (1:1, v/v) and dried in vacuo at 65 °C for 3 h.

Experimental details

The H atoms were placed in idealized positions and treated as riding on their parent atoms, with d (C–H) = 0.97 Å (methylene), Uiso(H) = 1.2Ueq(C), and d(C–H) = 0.93 Å (aromatic), Uiso(H) = 1.2Ueq(C).

Comment

In inflammatory neurodegenerative diseases of the central nervous system (CNS), the microglia are activated and polarized into pro-inflammatory M1 phenotype. Neuroinflammation is a mediator and key factor in the progression of brain diseases [4]. The inflammatory process may lead to excessive release of inflammatory mediators or cytokines, such as tumor necrosis factor-α (TNF-α), interleukin (IL)-6, and so on [5]. Existing studies have showed that 3,4-dihydronaphthalene-1(2H-1)-one (DHN) derivatives have anti-tumor and anti-inflammatory activity as modifiers for allergic and inflammatory responses, however, few studies on DHN derivatives against neuroinflammation have been conducted. Thus it is promising to synthesize novel pyridine substituted derivatives to fight neuroinflammation [6]. Some DHN derivatives had been designed and synthesized as anti-inflammatory agents [7], [8]. Our group investigated DHN derivatives based on pyridine groups and tested their anti-neuroinflammatory activity. The results showed that the methoxy substituted compounds have better activity.

The title compound crystallizes in the triclinic space group P 1 . Bond lengths and angles are all in the expected ranges [9]. There are two drug molecules in the asymmetric unit. 6-Methoxypyridine and carbonyl groups adopt the E stereochemistry. Because of the distorting effect of 3,4-dihydronaphthalen-1(2H)-one, the 7-hydroxyphenyl and 6-methoxy pyridine groups are not coplanar. This twisted configuration may increase the likelihood of interactions with bioactive molecules, for the purposes of creating more potent biological activity [10].


Corresponding author: Qing-Guo Meng, School of Pharmacy, Collaborative Innovation Center of Advanced Drug Delivery System and Biotech Drugs in Universities of Shandong, Key Laboratory of Molecular Pharmacology and Drug Evaluation (Yantai University), Ministry of Education, Yantai University, Yantai, P. R. China, E-mail:

Funding source: Science and Technology Innovation Development Plan of Yantai

Award Identifier / Grant number: 2020XDRH105

Funding source: National Natural Science Foundation of China doi.org/10.13039/501100001809

Award Identifier / Grant number: 81473104

  1. Author contributions: All the authors have accepted responsibility for the entire content of this submitted manuscript and approved submission.

  2. Research funding: This work was supported by Science and Technology Innovation Development Plan of Yantai (No. 2020XDRH105) and the National Natural Science Foundation of China (No. 81473104).

  3. Conflict of interest statement: The authors declare no conflicts of interest regarding this article.

References

1. Rigaku OD. CrysAlisPRO; Rigaku Oxford Diffraction Ltd: Yarnton, Oxfordshire, England, 2017.Search in Google Scholar

2. Sheldrick, G. M. A short history of SHELX. Acta Crystallogr. 2008, A64, 112–122; https://doi.org/10.1107/s0108767307043930.Search in Google Scholar PubMed

3. Sheldrick, G. M. Crystal structure refinement with SHELXL. Acta Crystallogr. 2015, C71, 3–8; https://doi.org/10.1107/s2053229614024218.Search in Google Scholar

4. Gao, C. L., Hou, G. G., Liu, J., Ru, T., Xu, Y. Z., Zhao, S. Y., Ye, H., Zhang, L. Y., Chen, K. X., Guo, Y. W., Pang, T., Li, X. W. Synthesis and target identification of benzoxepane derivatives as potential anti-neuroinflammatory agents for ischemic stroke. Angew. Chem. Int. Ed. 2020, 59, 2429–2439; https://doi.org/10.1002/anie.201912489.Search in Google Scholar PubMed

5. Li, N., Xin, W. Y., Yao, B. R., Cong, W., Wang, C. H., Hou, G. G. N-Phenylsulfonyl-3,5-bis(arylidene)-4-piperidone derivatives as activation NF-κB inhibitors in hepatic carcinoma cell lines. Eur. J. Med. Chem. 2018, 155, 531–544; https://doi.org/10.1016/j.ejmech.2018.06.027.Search in Google Scholar PubMed

6. Zhou, Y. Q., Hou, G. G., Meng, Q. G., Hou, Y. Crystal structure and anti-inflammatory activity of (3E,5E)-1-((4-chlorophenyl)sulfonyl)-3-(pyridin-4-ylmethylene)-5-(2-(trifluoromethyl) benzylidene)piperidin-4-one, C25H18ClF3N2O3S. Z. Kristallogr. N. Cryst. Struct. 2020, 235, 411–413; https://doi.org/10.1515/ncrs-2019-0716.Search in Google Scholar

7. Zhang, X. F., Meng, Q. G. Crystal structure of (3E,5E)-2-((2-methoxy-3-pyridyl) methylene)-7-fluoro-3,4-dihydronaphthalen-1(2H)-one, C17H14FNO2. Z. Kristallogr. N. Cryst. Struct. 2021, 236, 507–509; https://doi.org/10.1515/ncrs-2020-0603.Search in Google Scholar

8. Luan, M. Z., Wang, H. Y., Zhang, M., Song, J., Hou, G. G., Zhao, F. L., Meng, Q. G. Crystal structure of (E)-2-(3,5-bis(trifluoromethyl)benzylidene)-7-methoxy-3,4-dihydronaphthalen-1(2H)-one, C20H14F6O2. Z. Kristallogr. N. Cryst. Struct. 2021, 236, 61–63; https://doi.org/10.1515/ncrs-2020-0446.Search in Google Scholar

9. Xiong, C. L., Lan, Y. D., Song, X. Y., Xiong, W. M., Nie, X. L. Crystal structure of methyl 4-acetoxy-3,5-dimethoxybenzoate, C12H14O6. Z. Kristallogr. N. Cryst. Struct. 2021, 236, 573–575; https://doi.org/10.1515/ncrs-2020-0632.Search in Google Scholar

10. Sun, Y., Liu, Y. K., Li, J. D., Meng, Q. G., Hou, G. G. Crystal structure and anti-inflammatory activity of (3E,5E)-3-(2-fluorobenzylidene)-1- ((4-fluorophenyl)sulfonyl)-5-(pyridin-3-ylmethylene)piperidin-4-one, C24H18F2N2O3S. Z. Kristallogr. N. Cryst. Struct. 2020, 235, 377–379; https://doi.org/10.1515/ncrs-2019-0683.Search in Google Scholar

Received: 2021-06-15
Accepted: 2021-07-13
Published Online: 2021-08-02
Published in Print: 2021-09-27

© 2021 Lun-Hai Liang et al., published by De Gruyter, Berlin/Boston

This work is licensed under the Creative Commons Attribution 4.0 International License.

Articles in the same Issue

  1. Frontmatter
  2. New Crystal Structures
  3. Crystal structure of [aqua-(4-iodopyridine-2,6-dicarboxylato-κ3 O,N,O′)-(1,10-phenanothroline-κ2 N,N′)copper(II)] dihydrate, C19H16O7N3CuI
  4. The crystal structure of tetrakis(1-isopropyl-1H-imidazolium) octamolybdate, C24H44Mo8N8O26
  5. Crystal structure of catena-poly[bis(µ2-3,5-bis(1-imidazolyl)pyridine-κ2 N:N′)-(µ2-3-nitrophthalato-k3 O,O′:O″)cadmium(II)] dihydrate, C30H25N11O8Cd
  6. The crystal structure of diaqua-bis(2-(3-(1H-pyrazol-4-yl)-1H-1,2,4-triazol-5-yl)pyridine-κ2 N:N′)-bis(3,5-dicarboxybenzoato-κ1 O)cobalt(II), C38H30CoN12O14
  7. Crystal structure of the nickel(II) complex aqua-(2,6-di(pyrazin-2-yl)-4,4′-bipyridine-κ3 N,N′,N′′)-(phthalato-κ2 O,O′)nickel(II) tetrahydrate, C26H26N6O9Ni
  8. The crystal structure of 1-[5-(2-fluorophenyl)-1-(pyridine-3-sulfonyl)-1H-pyrrol-3-yl]-N-methylmethanaminium 3-carboxyprop-2-enoate, C21H20FN3O6S
  9. The crystal structure of 1,2-bis(4-pyridyl)ethane - 4,4-dihydroxydiphenylmethane (1/1), C25H21N2O2
  10. Crystal structure of bis(2-((E)-5-chloro-2-hydroxybenzylidene)hydrazineyl)methaniminium trifluoroacetate dihydrate, C34H36Cl4N10O12
  11. Crystal structure of 1-cyclopropyl-7-ethoxy-6,8-difluoro-4-oxo-1,4-dihydro-quinoline-3-carboxylic acid, C15H13F2NO4
  12. Crystal structure of methyl 3-(1H-naphtho[1,8-de][1,3,2]diazaborinin-2(3H)-yl)benzoate, C18H15BN2O2
  13. Crystal structure of (E)-N′-(2-chloro-6-hydroxybenzylidene)-2-hydroxybenzohydrazide, C14H11ClN2O3
  14. Crystal structure of Al-rich fluorophlogopite, K1.0(Mg2.8Al0.2)(Si2.8Al1.2)O10F2
  15. The crystal structure of 4,5-diiodo-1,3-dimesityl-1H-1,2,3-triazol-3-ium hexafluoridoantimonate(V), C20H22F6I2N3Sb
  16. Crystal structure of tris(3-iodopyridin-1-ium) catena-poly[(hexachlorido-κ1 Cl)-(μ2-trichlorido-κ2 Cl:Cl)diantimony(III)], C15H15Cl9I3N3Sb2
  17. Crystal structure of methyl 2-(1H-naphtho[1,8-de][1.3.2]diazaborinin-2(3H-yl)benzoate C18H15BN2O2
  18. The crystal structure of 1,8-bis(4-methoxybenzoyl)naphthalene-2,7-diyl dibenzoate, C40H28O8
  19. Crystal structure of 2-bromo-1,3,6,8-tetramethylBOPHY (BOPHY = bis(difluoroboron)-1,2-bis((1H-pyrrol-2-yl)methylene)hydrazine), C14H15B2BrF4N4
  20. The crystal structure of (E)-3-chloro-2-(2-(2-fluorobenzylidene)hydrazinyl)pyridine, C12H9ClFN3
  21. Crystal structure of bis(µ2- 4-iodopyridine-2,6-dicarboxylato-κ3O:N:O′)-bis(4-iodopyridine-2,6-dicarboxylato-κ3O:N:O′)-bis(µ2-1-(4-pyridyl)piperazine-κ2N:N′)-hexa-aqua-tetra-copper(II), C46H46Cu4I4N10O22
  22. Crystal structure of poly[diaqua-(μ2-2,5-dihydroxyterephthalato-κ2O:O′)(μ2-bis(4-pyridylformyl)piperazine-κ2N:N′)cadmium(II)] dihydrate, C24H28CdN4O12
  23. Crystal structure of poly[aqua-(μ2-1,3-di(1H-imidazol-1-yl)propane-κ2N:N′)-(μ3-2,3,5,6-tetrafluoroterephthalato-κ3O:O′:O′′)cadmium(II)], C17H14N4O5F4Cd
  24. Crystal structure of 6-(quinolin-8-yl)benzo[a]phenanthridin-5(6H)-one, C26H16N2O
  25. The crystal structure of aqua-bis(6-chloropicolinato-κ2N,O)copper(II), C12H8Cl2N2O5Cu
  26. Crystal structure of catena-poly[diaqua-bis(μ2-4,4′-bipyridyl-κ2N:N′) disilver(I)] 4-oxidopyridine-3-sulfonate trihydrate, C25H29Ag2N5O9S
  27. The crystal structure of 4-(3-bromophenyl)pyrimidin-2-amine, C10H8BrN3
  28. Crystal structure of 6-oxo-4-phenyl-1-propyl-1,6-dihydropyridine-3-carbonitrile, C15H14N2O
  29. Crystal structure of 4-(2,2-difluoroethyl)-2,4-dimethyl-6-(trifluoromethyl)isoquinoline-1,3(2H,4H)-dione, C14H12F5NO2
  30. Crystal structure of dibromido-(1-methyl-1H-imidazole-κ1N)-(3-(3-methyl-1H-imidazol-3-ium-1-yl)propanoato-κ1O)zinc(II), C11H16Br2N4O2Zn
  31. The crystal structure of 1,1′-(((2 (dimethylamino)ethyl)azanediyl)bis(methylene)) bis(naphthalen-2-olato-κ4 N,N′,O,O′)-(pyridine-2,6-dicarboxylato-N,O,O′)- titanium(IV) ─ dichloromethane (2/1), C33H29N3O6Ti
  32. The layered crystal structure of bis(theophyllinium) hexachloridostannate (IV), C14H18N8O8SnCl6
  33. The crystal structre of 3-(1-ethenyl-1H-imidazol-3-ium-3-yl)propane-1-sulfonate, C8H12N2O3S
  34. Synthesis and crystal structure of di-tert-butyl 1″-acetyl-2,2″,9′-trioxo-4a′,9a′-dihydro-1′H,3′H,9′H-dispiro[indoline-3,2′-xanthene-4′,3″-indoline]-1,3′-dicarboxylate, C39H38N2O9
  35. The crystal structure of 4-chloro-2-(quinolin-8-yl)isoindoline-1,3-dione, C17H9ClN2O2
  36. The crystal structure of 1-fluoro-4-(p-tolylethynyl)benzene, C15H11F
  37. The crystal structure of bis[4-bromo-2-(1H-pyrazol-3-yl) phenolato-κ2N,O] copper(II), C18H12Br2CuN4O2
  38. The crystal structure of poly[(μ 3-imidazolato-κ 3 N:N:N′)(tetrahydrofuran- κ 1 O)lithium(I)], C7H11LiN2O
  39. Crystal structure of N′,N′′′-((1E,1′E)-(propane-2,2-diylbis(1H-pyrrole-5,2diyl))bis(methaneylylidene))di(nicotinohydrazide) pentahydrate, C25H24N8O2·5H2O
  40. Crystal structure of 3-(2-ethoxy-2-oxoethyl)-1-ethyl-1H-imidazol-3-ium hexafluoridophos-phate(V), C9H15F6N2O2P
  41. Crystal structure of (1,10-phenanthroline-κ2N,N′)-bis(3-thiophenecarboxylato-κ2O,O′)copper(II), C22H14N2O4S2Cu
  42. The crystal structure of 2-amino-3-carboxypyridin-1-ium iodide hemihydrate, C6H8IN2O2.5
  43. Crystal structure of (E)-7-methoxy-2-((6-methoxypyridin-2-yl)methylene)-tetralone, C18H17NO3
  44. The crystal structure of [μ-hydroxido-bis[(5,5′-dimethyl-2,2′-bipyridine-κ2N,N′)-tricarbonylrhenium(I)] bromide hemihydrate, C30H26N4O9Re2Br
  45. The crystal structure of 2,5-bis(3,5-dimethylphenyl)thiazolo[5,4-d]thiazole, C20H18N2S2
  46. The crystal structure of 5-benzoyl-1-[(E)-(4-fluorobenzylidene)amino]-4-phenylpyrimidin-2(1H)-one, C24H16FN3O2
  47. Crystal structure of monocarbonyl(N-nitroso-N-oxido-phenylamine-κ 2 O,O′)(tricyclohexylphosphine-κP)rhodium(I), C25H39N2O3PRh
  48. Crystal structure of poly[bis[μ3-1,3,5-tris[(1H-imidazol-1-yl)methyl]benzene-κ3N:N′:N″]nickel(II)] hexafluorosilicate, C36H36N12NiSiF6
  49. The crystal structure of 13-(pyrazole-1-yl-4-carbonitrile)-matrine, C19H25N5O
  50. Crystal structure of 3,5-bis((E)-4-methoxy-2-(trifluoromethyl)benzylidene)-1-methylpiperidin-4-one, C24H21F6NO3
  51. The crystal structure of N,N′-(Disulfanediyldi-2,1-phenylene)di(6′-methylpyridine)-2-carboxamide, C26H22N4O2S2
  52. Crystal structure of (E)-7-fluoro-2-(4-methoxy-2-(trifluoromethyl)benzylidene)-3,4-dihydronaphthalen-1(2H)-one, C19H14F4O2
  53. Crystal structure of ethyl 1-(4-fluorophenyl)-4-phenyl-1H-pyrrole-3-carboxylate, C19H16FNO2
  54. The crystal structure of cis-diaqua-bis (N-butyl-N-(pyridin-2-yl)pyridin-2-amine-κ2N,N′)cobalt(II)] dichloride trihydrate, C28H44Cl2N6O5Co
  55. Crystal structure of (E)-7-methoxy-2-((6-methoxypyridin-3-yl)methylene)-3,4-dihydronaphthalen-1(2H)-one, C18H17NO3
  56. Crystal structure of (E)-2-((3-fluoropyridin-4-yl)methylene)-7-methoxy-3,4-dihydronaphthalen-1(2H)-one, C17H14FNO2
  57. The crystal structure of 6-bromohexanoic acid, C6H11BrO2
  58. The crystal structure of 4-chloro-thiophenol, C6H5ClS
  59. The crystal structure of 4-bromobenzyl chloride, C7H6BrCl
  60. The crystal structure of di-tert-butyl dicarbonate, C10H18O5
  61. The crystal structure of (2-(4-chlorophenyl)-5-methyl-1,3-dioxan-5-yl)methanol, C12H15ClO3
  62. The crystal structure of the co-crystal: 2-hydroxybenzoic acid – N′-(butan-2-ylidene)pyridine-4-carbohydrazide, C10H13N3O·C7H6O3
  63. Crystal structure and anti-inflammatory activity of (E)-7-fluoro-2-((5-methoxypyridin-3-yl)methylene)-3,4-dihydronaphthalen-1(2H)-one, C17H14FNO2
  64. Crystal structure of (E)-7-fluoro-2-((6-methoxypyridin-3-yl)methylene)-3,4-dihydronaphthalen-1(2H)-one, C17H14FNO2
  65. Crystal structure of 1,1′-(butane-1,4-diyl)bis(3-propyl-1H-imidazol-3-ium) bis(hexafluoridophosphate), C32H56F24N8P4
  66. The crystal structure of dichlorido-bis(3-methyl-3-imidazolium-1-ylpropionato-κ2)-cadmium(II), C14H20CdCl2N4O4
  67. Crystal structure of 1-(2-cyanobenzyl)-3-cyano-4-phenyl-4-(2-cyanobenzyl)-1,4-dihydropyridine monohydrate, C56H42N8O
  68. The crystal structure of 3-(carboxymethyl)-1-ethenyl-1H-imidazol-3-ium chloride, C7H9N2O2Cl
  69. The crystal structure of adamantylmethoxydiphenylsilane, C23H28OSi
  70. Redetermination of the crystal structure of (2E,4Z,13E,15Z)-3,5,14,16-tetramethyl-2,6,13,17-tetraazatricyclo[16.4.0.07,12]docosa-1(22),2,4,7,9,11,13,15,18,20-decaene, C22H24N4
  71. Crystal structure of (E)-7-hydroxy-2-((6-methoxypyridin-2-yl)methylene)-3,4-dihydronaphthalen-1(2H)-one, C17H15NO3
  72. Crystal structure of catena-poly[diaqua-bis(μ2-1,3-di(1H-imidazol-1-yl)propane-κ2 N:N′)cobalt(II)] dinitrate, C18H28N10O8Co
Downloaded on 14.10.2025 from https://www.degruyterbrill.com/document/doi/10.1515/ncrs-2021-0245/html?lang=en&srsltid=AfmBOooKUrdgFRfzGpY0tlMr9VUVgJC-B3X-oHr67NTZTGxNASUZv_v_
Scroll to top button