Abstract
C14H19NO2S, monoclinic, P21/c (no. 14), a = 8.6849(10) Å, b = 18.740(2) Å, c = 10.0465(12) Å, β = 112.845(3)°, V = 1506.9(3) Å3, Z = 4, Rgt(F) = 0.0685, wRref(F2) = 0.2023, T = 293(2) K.

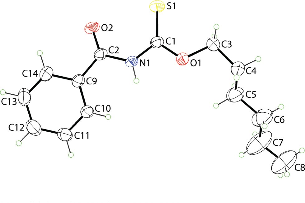
The molecular structure is shown in the figure. Table 1 contains crystallographic data and Table 2 contains the list of the atoms including atomic coordinates and displacement parameters.
Data collection and handling.
| Crystal: | Yellow irregular |
| Size: | 0.30 × 0.13 × 0.09 mm |
| Wavelength: | Mo Kα radiation (0.71073 Å) |
| μ: | 0.21 mm−1 |
| Diffractometer, scan mode: | Bruker APEX-II, φ and ω |
| θmax, completeness: | 26.4°, >99% |
| N(hkl)measured, N(hkl)unique, Rint: | 44808, 3095, 0.060 |
| Criterion for Iobs, N(hkl)gt: | Iobs > 2 σ(Iobs), 1838 |
| N(param)refined: | 167 |
| Programs: | SHELX [1], [2], Bruker [3], SIR2014 [4], WinGX/ORTEP [5] |
Fractional atomic coordinates and isotropic or equivalent isotropic displacement parameters (Å2).
| Atom | x | y | z | Uiso*/Ueq |
|---|---|---|---|---|
| S1 | 0.11624(17) | 0.38660(6) | 0.19203(11) | 0.1009(5) |
| O1 | 0.1362(3) | 0.35784(13) | −0.0561(2) | 0.0774(7) |
| O2 | 0.3238(4) | 0.26347(13) | 0.3469(2) | 0.0834(8) |
| N1 | 0.2573(3) | 0.27733(14) | 0.1066(2) | 0.0590(7) |
| H1N | 0.270(4) | 0.2599(16) | 0.032(2) | 0.071* |
| C1 | 0.1709(4) | 0.34067(17) | 0.0810(3) | 0.0594(8) |
| C2 | 0.3222(4) | 0.23946(17) | 0.2342(3) | 0.0588(8) |
| C3 | 0.0388(6) | 0.4221(2) | −0.1146(4) | 0.0886(12) |
| H3A | 0.100500 | 0.463951 | −0.065618 | 0.106* |
| H3B | −0.065645 | 0.420393 | −0.100794 | 0.106* |
| C4 | 0.0056(6) | 0.4254(2) | −0.2707(4) | 0.1014(15) |
| H4A | −0.052376 | 0.469685 | −0.309502 | 0.122* |
| H4B | 0.111689 | 0.426643 | −0.281772 | 0.122* |
| C5 | −0.0945(7) | 0.3654(3) | −0.3567(5) | 0.1186(17) |
| H5A | −0.196047 | 0.361206 | −0.338742 | 0.142* |
| H5B | −0.031647 | 0.321535 | −0.324734 | 0.142* |
| C6 | −0.1411(8) | 0.3740(4) | −0.5196(6) | 0.160(3) |
| H6A | −0.209413 | 0.416485 | −0.552025 | 0.192* |
| H6B | −0.039607 | 0.381486 | −0.536339 | 0.192* |
| C7 | −0.2306(9) | 0.3141(6) | −0.6063(7) | 0.216(4) |
| H7A | −0.157706 | 0.272763 | −0.579756 | 0.259* |
| H7B | −0.325726 | 0.303690 | −0.581659 | 0.259* |
| C8 | −0.2876(9) | 0.3228(5) | −0.7542(7) | 0.208(4) |
| H8A | −0.350621 | 0.366285 | −0.781458 | 0.313* |
| H8B | −0.357663 | 0.283218 | −0.801407 | 0.313* |
| H8C | −0.194147 | 0.325008 | −0.782623 | 0.313* |
| C9 | 0.3910(4) | 0.16785(17) | 0.2267(3) | 0.0595(8) |
| C10 | 0.3545(5) | 0.13003(18) | 0.0991(4) | 0.0693(9) |
| H10 | 0.289553 | 0.150868 | 0.011070 | 0.083* |
| C11 | 0.4143(6) | 0.0618(2) | 0.1029(5) | 0.0908(12) |
| H11 | 0.387487 | 0.036348 | 0.017329 | 0.109* |
| C12 | 0.5128(6) | 0.0310(3) | 0.2313(6) | 0.1048(15) |
| H12 | 0.553510 | −0.015058 | 0.232688 | 0.126* |
| C13 | 0.5514(6) | 0.0680(3) | 0.3579(5) | 0.1029(14) |
| H13 | 0.618969 | 0.047254 | 0.445186 | 0.123* |
| C14 | 0.4906(5) | 0.1356(2) | 0.3560(4) | 0.0831(11) |
| H14 | 0.516390 | 0.160218 | 0.442349 | 0.100* |
Source of material
O-Hexyl benzoylcarbamothioate was prepared by reacting benzoyl chloride and potassium thiocyanate in acetone. The intermediate isothiocyanate obtained in situ was then reacted with hexan-1-ol to provide the desired thiocarbamate in 71% yield. Yellow solid. M.pt = 343–345 K, MeOH/H2O (lit. [6] M.pt = 343 K, EtOH/H2O). IR (KBr; cm−1): 3259, 3217, 3062, 2954, 2924, 2854, 1697, 1601, 1527, 1489, 1296, 1184, 710. 1H NMR (300 MHz, CDCl3, rotamers, 298 K, TMS): δ = 9.16 (br s, 1H), 7.82 (m, 2H), 7.59 (m, 1H), 7.48 (m, 2H), 4.58 (t, J = 6.6 Hz, 2H), 1.82 (m, 2H), 1.60–1.20 (m, 6H), 0.90 (t, J = 6.6 Hz, 3H). 13C{1H} NMR (75 MHz, CDCl3, rotamers, 298 K, TMS): δ = 189.3, 162.2, 132.8, 132.7, 128.7, 127.4, 73.6, 31.3, 28.0, 25.4, 22.4, 14.0. MS (EI): m/z (rel. intensity) = 265(16) [M]+, 182(41), 123(32), 121(30), 105(100), 77(48), 56(24), 51(23). HRMS calcd. for C14H19NO2S 265.11365, found 265.11493. Yellow crystals were obtained by dissolving the product in hot n-hexane and allowing the solution to slowly evaporate.
Experimental details
The C-bound H atoms were geometrically placed (C—H = 0.93–0.97 Å) and refined as riding with Uiso(H) = 1.2–1.5Ueq(C). The N-bound H atom was refined with N—H = 0.86 ± 0.01 Å, and with Uiso(H) = 1.2Ueq(N). Evidence for disorder is noted in the terminal ethyl residue but, this was not resolved.
Comment
The title compound, O-hexyl benzoylcarbamothioate, (I), is an example of a benzoylthiocarbamic acid ester, RC(=O)N(H)C(=S)OR′, and has been reported in the literature [6], [7]. Herein, the hitherto unreported crystal structure of (I) is described. While the molecules themselves attract attention with respect to the relative conformation of the thione and carbonyl groups in the central C(=O)N(H)C(=S) chromophore [8], metal complexes of these molecules are comparatively rare. In this context, the characterisation of a binuclear bis(triphenylphosphane)copper species is noted [9].
The molecular structure of (I) is shown in the figure (25% displacement ellipsoids) and exhibits key geometric parameters of C1—S1 [1.620(3) Å], C2—O2 [1.214(3) Å], C1—N1 [1.374(4) Å] and C2—N1 [1.379(4) Å], indicative of limited delocalisation of π-electron density over this residue. This is despite the observation this part of the molecule is almost planar as seen in the values of the C2—N1—C1—S1 and C1—N1—C2—O2 torsion angles of −2.4(5) and −8.0(5)°, respectively. The thione-S1 and carbonyl-O2 atoms are to a first approximation in a syn conformation. The conformation in (I) is also found in the PhC(=O)N(H)C(=S)OR′ derivatives with R′ = Me [10], Et [11] and n-Bu [12].
The most prominent feature of the molecular packing is the formation of amide-N—H⋯O(amide) [N1—H1n⋯O2i: H1n⋯O2i = 2.13(3) Å, N1⋯O2i = 2.983(3) Å with angle at H1n = 169(3)° for symmetry operation (i) x, 1/2 − y, −1/2 + z] hydrogen bonds which lead to zig-zag chains along the c-axis [glide symmetry]. As the chains pack without directional interactions between them, a further analysis of the molecular packing was conducted via the calculation of the Hirshfeld surfaces and of the full and delineated two-dimensional fingerprint plots using Crystal Explorer 17 [13] and established methods [14].
The most notable feature of the fingerprint plots is the sharp spikes due to the N—H⋯O hydrogen bonding. Overall, H⋯O/O⋯H contacts contribute 11.0% to the Hirshfeld surface. Greater contributions are made by H⋯S/S⋯H [12.7%], H⋯C/C⋯H [18.4%] and, especially, H⋯H contacts [54.6%]. In common with (I), the crystals of the R′ = Me [10], Et [11] and n-Bu [12] derivatives feature supramolecular zig-zag chains. Systematic variations in the contributions to the calculated surface contacts are noted with H⋯H decreasing with the decreasing size of the R′ group [49.8, 39.1 and 35.0%, respectively] with concomitant increasing contributions by H⋯C/C⋯H, H⋯S/S⋯H and H⋯O/O⋯H of, for example, for R′ = Me, 22.5, 17.1 and 15.9%, respectively.
Acknowledgements
The Brazilian agencies Coordination for the Improvement of Higher Education Personnel, CAPES, Finance Code 001 and the National Council for Scientific and Technological Development (CNPq) are acknowledged for grants (312210/2019–1, 433957/2018–2 and 406273/2015–4) to IC and for a fellowship (303207/2017–5) to JZS. Sunway University Sdn Bhd is thanked for financial support of this work through Grant No. STR-RCTR-RCCM-001–2019.
References
1. Sheldrick, G. M.: SADABS. University of Göttingen, Germany (1996).Search in Google Scholar
2. Sheldrick, G. M.: Crystal structure refinement with SHELXL. Acta Crystallogr. C71 (2015) 3–8.10.1107/S2053229614024218Search in Google Scholar PubMed PubMed Central
3. Bruker. APEX2 and SAINT. Bruker AXS Inc., Madison, WI, USA (2009).Search in Google Scholar
4. Burla, M. C.; Caliandro, R.; Carrozzini, B.; Cascarano, G. L.; Cuocci, C.; Giacovazzo, C.; Mallamo, M.; Mazzone, A.; Polidori, G.: Crystal structure determination and refinement via SIR2014. J. Appl. Cryst. 48 (2015) 306–309.10.1107/S1600576715001132Search in Google Scholar
5. Farrugia, L. J.: WinGX and ORTEP for Windows: an update. J. Appl. Cryst. 45 (2012) 849–854.10.1107/S0021889812029111Search in Google Scholar
6. Schröder, U.; Beyer, L.; Dietze, F.; Richter, R.; Schmidt, S.; Hoyer, E.: Ligand properties of N-acyl-thiocarbamic-O-alkylesters – a new class of aza-analogous 1,3-thioxoketones. J. Prakt. Chem. 337 (1995) 184–188.10.1002/prac.19953370141Search in Google Scholar
7. Ribeiro da Silva, M. A. V.; Santos, L. M. N. B. F.; Schröder, B.; Dietze, F.; Beyer, L.: Standard molar enthalpies of formation of three N-benzoylthiocarbamic-O-alkylesters. J. Chem. Thermodyn. 36 (2004) 491–495.10.1016/j.jct.2004.03.004Search in Google Scholar
8. Channar, P. A.; Saeed, A.; Larik, F. A.; Flörke, U.; El-Seedi, H.; Rodriguez, P.; Lucas, S.; Erben, M. F.: An intramolecular 1,5-chalcogen bond on the conformational preference of carbonyl thiocarbamate species. New J. Chem. 44 (2020) 5243–5253.10.1039/C9NJ06417FSearch in Google Scholar
9. Nor, N. A. M. M.; Ahmad, J.; Abdullah, Z.; Halim, S. N. A.; Otero-de-la-Roza, A.; Tiekink, E. R. T.: Bipodal benzoylthiocarbamic acid esters: crystal and molecular structures of R = Et (a polymorph), and of a binuclear Cu(I) complex, R = iPr. Z. Kristallogr. Cryst. Mater. 230 (2015) 397–405.10.1515/zkri-2014-1820Search in Google Scholar
10. Odame, F.; Hosten, E.; Tshentu, Z. R.; Betz, R.: Crystal structure of N-(methoxy)methanethioylbenzamide, C9H9NO2S. Z. Kristallogr. NCS 229 (2014) 329–330.10.1515/ncrs-2014-0169Search in Google Scholar
11. Arslan, H.; Flörke, U.; Külcü, N.: Theoretical studies of molecular structure and vibrational spectra of O-ethyl benzoylthiocarbamate. Spectrochim. Acta, Part A 67 (2007) 936–943.10.1016/j.saa.2006.09.011Search in Google Scholar PubMed
12. Plutín, A. M.; Suárez, M.; Machado, T.; Álvarez, A.; Rodríguez, A.; Martińez, R.; Duque, J.; Martinez-Alvarez, R.; Martin, N.: On the selective methylation of benzoyl and furoylthiocarbamates. ARKIVOC 11 (2010) 276–290.10.3998/ark.5550190.0011.a23Search in Google Scholar
13. Turner, M. J.; McKinnon, J. J.; Wolff, S. K.; Grimwood, D. J.; Spackman, P. R.; Jayatilaka, D.; Spackman, M. A.: Crystal Explorer v17. The University of Western Australia, Australia (2017).Search in Google Scholar
14. Tan, S. L.; Jotani, M. M.; Tiekink, E. R. T.: Utilizing Hirshfeld surface calculations, non-covalent interaction (NCI) plots and the calculation of interaction energies in the analysis of molecular packing. Acta Crystallogr. E75 (2019) 308–318.10.1107/S2056989019001129Search in Google Scholar PubMed PubMed Central
©2020 Ignez Caracelli et al., published by De Gruyter, Berlin/Boston
This work is licensed under the Creative Commons Attribution 4.0 International License.
Articles in the same Issue
- Frontmatter
- Crystal structure of poly[tetraaqua-bis(μ4-5-(4-carboxy-benzylamino)-isophthalato-κ4O,O′:O′′:O′′′)-(μ2-4,4′-di(1H-imidazol-1-yl)-1,1′-biphenyl-κ2N:N′)dicadmium(II)], C25H22N3O8Cd
- The crystal structure of 2-(2-(2,3,4,9-tetrahydro-1H-pyrido[3,4-b]indol-2-ium-1-yl)phenoxy)acetate, C19H18N2O3
- Crystal structure of poly[aqua-μ2-4,4′-bipyridine-κ2N:N′)-μ2-bis(2-(2-((2,6-dichlorophenyl)amino)phenyl)acetato-κ2O,O′)zinc(II)], C38H28Cl4N4O4Zn
- Crystal structure of 1-(2-(1H-indol-3-yl)ethyl)-4-benzyl-3-hydroxy-3,6-diphenylpiperazine-2,5-dione, C33H29N3O3
- The crystal structure 2,2′-bipyridine-κ2N,N′-(2-(3-amino-4-chlorobenzoyl)benzoato-κ1O)-(2-(3-amino-4-chlorobenzoyl)benzoato-κ2O,O′)zinc(II) — ethanol (1/1), C40H32Cl2N4O7Zn
- Crystal structure of catena-poly[(μ3-2-carboxy-4-(3-carboxy-5-carboxylatophenoxy)benzoato-κ3O:O′:O′′)-bis(μ2-4,4′-bis(pyrid-4-yl)biphenyl-k1N)copper(II)], C60H40N4O9Cu
- The crystal structure of dimethylammonium catena-[di(μ-aqua)-bis(μ9-benzene-1,3,5-tricarboxylato)pentalithium], C20H16Li5NO13
- Crystal structure of tetraaqua-bis(3,5-di(pyridin-4-yl)-1,2,4-triazol-1-ido-κ1N)nickel(II) dihydrate, C24H28O6N10Ni
- The crystal structure of tetrakis(1-methylimidazole-κ1N)-oxido-(sulfato-κ1O)vanadium(IV), C16H24N8O5SV
- Crystal structure of methyl 2-(6,11-dioxo-2,3,6,11-tetrahydro-1H-benzo[f]pyrrolo[2,1-a]isoindole-5-carbonyl)benzoate, C24H17NO5
- Crystal structure of (E)-N′-(2-hydroxy-4-(2-(piperidin-1-yl)ethoxy)benzylidene) nicotinohydrazide monohydrate, C20H24N4O3 ⋅ H2O
- Crystal structure of poly[bis(μ3-(1-(3,5-di(1H-imidazol-1-yl)phenyl)-1H-imidazole-κ3N:N′:N′′)cobalt(II)] dinitrate — N,N-dimethylformamide (1/4), C42H52N18O10Co
- The crystal structure bis{hexakis(1-methyl-1H-imidazole-κ1N)cobalt(II)} tetrakis(μ3-oxido)-octakis(μ2-oxido)-tetradecaoxido-octamolybdate(VI), C24H36CoMo4N12O13
- Crystal structure of di-μ-nicotinato-κ2N:O; κ2O:N-bis-[aqua-bis(benzyl)(nicotinato-κ2O,O′)tin(IV)], C52H48N4O10Sn2
- Crystal structure of dichlorido-bis[2-(2-(3-(pyridin-2-yl)-1H-1,2,4-triazol-5-yl)phenoxy)benzoic acidmanganese(II) monohydrate, C40H30N8O7MnCl2
- The crystal structure of benzyl 3β-acetylglycyrrhetate, C39H54O5
- Synthesis and crystal structure of (E)-1-benzyl-3-(4-methoxystyryl)quinoxalin-2(1H)-one, C24H20N2O2
- Crystal structure of trans-dichloridobis(4-chlorophenyl-κC1)(1,10-phenanthroline-κ2N,N′)tin(IV) dimethylsulphoxide solvate, C26H22Cl4N2OSSn
- Crystal structure of phenyl(1,3,4a-triphenyl-4a,5,6,10b-tetrahydro-1H-[1,4]oxazino[2,3-c]quinolin-5-yl)methanone, C36H28N2O2
- Crystal structure of (4aS,5S,6aS,6a1S, 10aS)-4a,5,6a,6a1,9,10-hexahydro-7H-4,5-methanocyclobuta[4,5]naphtho[8a,1-b]pyran-6(2H)-one, C15H16O2
- Crystal structure of [(Z)-O-isopropyl N-(4-chlorophenyl)thiocarbamato-κS]-(triphenylphosphine-κP)-gold(I), C28H26AuClNOPS
- Crystal structure of (μ2-1,1′-bis(diphenylphosphino)ferrocene-P,P′)-bis[(Z)-O-isopropyl N-(4-chlorophenyl)thiocarbamato-S]-di-gold(I) acetonitrile di-solvate, C54H50Au2Cl2FeN2O2P2S2⋅2(C2H3N)
- Crystal structure of (6aR,6a1S,10aS)-2,4a,6a,6a1,9,10-hexahydro-7H-4,5-methanocyclobuta[4,5]naphtho[8a,1-b]pyran, C15H16O
- Crystal structure of 5,17-diformyl-25,26,27,28-tetrahydroxycalix[4]arene- dichloromethane, C31H26Cl2O6
- Crystal structure of 2-tert-butyl 1-methyl 5-{4-[(methoxycarbonyl)amino]phenyl}-2,5-dihydro-1H-pyrrole-1,2-dicarboxylate, C19H24N2O6
- Crystal structure of [2-carboxybenzene-1-thiolato-S]-(triethylphosphane-P)-gold(I), C13H20AuO2PS
- Synthesis and crystal structure of bis(5-methyl-2-aldehyde-phenolato-κ2O1,O2)copper(II), C16H14CuO4
- Crystal structure of poly[triaqua-(di(2,2′-bipyridine-κ2N,N′)-μ4-silanetetrayltetrakis(benzene-4,1-diyl)tetrakis (hydrogen phosphonato)-κ4O:O′:O′′:O′′′) dicadmium(II)], C44H42N4O15P4Cd2Si
- Crystal structure of bis[μ2-(N,N-diethylcarbamodithioato-κS:κS,κS′)]-bis(triethylphosphine-P)-di-silver(I), C22H50Ag2N2P2S4
- Crystal structure of bis[μ2-(pyrrolidine-1-carbodithioato-κS:κS,κS′)]-bis(triethylphosphine-κP)disilver(I), C22H46Ag2N2P2S4
- Crystal structure of bis[μ2-(N-(2-hydroxyethyl)-N-methylcarbamodithioato-κS:κS,κS′)]-bis(triethylphosphine-P)-di-silver(I), C20H46Ag2N2O2P2S4
- The crystal structure of (2E,2′E)-,2,2′-bis[1-(2-pyrazinyl)ethylidene]carbonimidic dihydrazide, C13H15N9
- The crystal structure of (E)-1-(quinolin-2-ylmethyl)-2-((1-(quinolin-2-ylmethyl)pyridin-2(1H)-ylidene)amino)pyridin-1-ium, C30H25BrN5
- Crystal structure of catena-poly[(μ2-1-((benzotriazol-1-yl)methyl)-1H-1,3-imdazole-κ2N:N′)-(1-((benzotriazol-1-yl)methyl)-1H-1,3-imdazole-κ1N)-(methanol-κ1O)mercury(II)] dinitrate, C21H22N12O7Hg
- Crystal structure of 1-(6-hydroxy-2-phenylbenzofuran-5-yl)ethan-1-one, C16H12O3
- The crystal structure of oxonium hexaquaaluminium disulfate hexahydrate
- Crystal structure of catena{(μ2-1,10-phenanthroline-κ4N,N,N′,N′)-(μ2-1,10-phenanthroline-κ3N,N,N′)potassium(I) {[bis(2-hydroxyethyl)iminiumyl](sulfanidyl)methyl}sulfanide hemi(1,10-phenanthroline)}, {C24H16KN4, 0.5(C12H8N2), C5H10NO2S2}
- Crystal structure of chlorido-[(N,N-di-isobutyl)dithiocarbamato-κ2S,S′]-di(4-methylbenzyl-κC)tin(IV), C25H36ClNS2Sn
- Crystal structure of chlorido-(η5-pentamethylcyclopentadienyl)-(4-chloro-4-pyridyl-2,2′:6′,2′′-terpyridine-κ2N,N′) rhodium(III) hexaflourophosphate, C31H29Cl2F6N3PRh
- The crystal structure of catena-poly[bis-(3,5-dinitro-1,2,4-triazolato-κ2N:O)-(μ2-1,4-bis(1-imidazolyl)benzene-κ2N:N′)copper(II)], C16H10CuN14O8
- Crystal structure of poly[triaqua-bis(μ3-3,3′-((5-carboxylato-1,3-phenylene)bis(oxy))dibenzoato)-tris(1,10-phenanthroline)cobalt(II)], C78H46N6O20Co3
- The crystal structure of 2,4-dihydroxybenzoic acid–nicotinamide–methanol (1/1/1), C15H18N2O6
- The crystal structure of aqua{N,N,N′,N′-tetrakis[(1H-benzimidazol-κN3) methyl]cyclohexane-1,2-diamine}lead(II) diacetate–methanol (1/2), C44H54N10O7Pb
- Crystal structure of (2-amino-5-bromo-3-iodophenyl)(3-(4-chlorophenyl)oxiran-2-yl)methanone, C15H10BrClINO2
- Synthesis and crystal structure of 3-octyl-5,5-diphenylimidazolidine-2,4-dione, C23H28N2O2
- Synthesis and crystal structure of 2-azido-N-(4-nitrophenyl)acetamide, C8H7N5O3
- Crystal structure of tert-butyl (1S,2R,5R)-2-(hydroxymethyl)-4-(4-methoxyphenyl)-6-oxa-3-azabicyclo[3.1.0]hexane-3-carboxylate, C17H23NO5
- Crystal structure of 4-[(4-methoxy-2-nitrophenyl)carbamoyl]butanoic acid, C12H14N2O6
- Crystal structure of 3-ethyl-1-[(E)-[(2E)-3-phenylprop-2-en-1-ylidene]amino]thiourea, C12H15N3S
- Crystal structure of 4,4′-bipyridin-1,1′-dium poly[bis(μ4-benzene-1,3,5-triyltris(hydrogen phosphonato-κ4O:O′:O′′:O′′′))zinc(II)], C11H11NO9P3Zn
- Crystal structure of (μ2-1,1′-bis(diphenylphosphino)butane-κ2P,P′)-bis[(Z)-N-(3-fluorophenyl)-O-methylthiocarbamato-κS]-di-gold(I), C44H42Au2F2N2O2P2S2
- Crystal structure of (μ2-1,1′-bis(diphenylphosphino)hexane-κ2P,P′)-bis[(Z)-N-(3-fluorophenyl)-O-methylthiocarbamato-κS]digold(I), C46H46Au2F2N2O2P2S2
- Crystal structure of tetrakis (N-(2-hydroxyethyl)-N-isopropylcarbamodithioato-κS,S′)-(μ2(2-(pyridin-4-yl)vinyl)pyridine-κN,N′)dicadmium(II), C36H58Cd2N6O4S8
- Crystal structure of 4-(2-(benzo[b]thiophen-2-yl)-3,3,4,4,5,5-hexafluorocyclopent-1-en-1-yl)-1,5-dimethyl-1H-pyrrole-2-carbonitrile, C20H12F6N2S
- Crystal structure of bis(octahydrocyclopenta[c]pyrrolium)pentachlorobismuthate(III), (C7NH14)2BiCl5
- The crystal structure of diaqua-tris(nitrato-κ2O,O′)-bis(4,4,5,5-tetramethyl-2-(p-pyridyl)imidazoline-1-oxyl 3-oxide-κN)samarium(III), C24H36N9O15Sm
- Synthesis and crystal structure of methyl 2-(2-((tert-butoxycarbonyl)amino)phenyl)-2-(4-oxo-4H-chromen-3-yl)acetate, C23H23NO6
- Crystal structure of O-hexyl benzoylcarbamothioate, C14H19NO2S
- Crystal structure of chlorido-(O-methyl phenylcarbamothioamide-κS)-bis(triphenylphosphane-κP)silver(I), C44H39AgClNOP2S
- Crystal structure of chlorido-(O-ethyl phenylcarbamothioamide-κS)-bis(triphenylphosphane-κP)-silver(I), C45H41AgClNOP2S
- Crystal structure of 4-[(2-methoxyphenyl)carbamoyl]butanoic acid, C12H15NO4
- Crystal structure of ethyl 4-methyl-2-oxo-5-phenyl-1,3,4-oxadiazinane-3-carboxylate, C13H16N2O4
- Crystal structure of catena-poly[diaqua(μ2-2-(hydroxymethyl)-1H-imidazole-4,5-dicarboxylato)cadmium(II)], C6H8CdN2O7
- Crystal structure of (1S)-N-(chloromethyl)-1-((4S,6aR,8aS, 8bR,9aR)-4-methoxy-6a,8a-dimethyl-1,3,4, 5,6,6a,6b,7,8,8a,9a,10,10a,10b-tetradecahydro-8bH-naphtho[2′,1′:4,5] indeno[1,2-b]oxiren-8b-yl)-N-methylethan-1-amine, C24H46ClNO5
- Crystal structure of 4-[(3,5-dichlorophenyl)carbamoyl]butanoic acid, C11H11Cl2NO3
- Crystal structure of (2Z)-2-amino-3-[(E)-[(2,4-dihydroxyphenyl)methylidene]-amino]but-2-enedinitrile, C11H8N4O2
- Crystal structure of 3-methyl-1-[(E)-(4-phenylbutan-2-ylidene)amino]thiourea, C12H17N3S
- Crystal structure of carbonyl{hydridotris[3-phenyl-5-methylpyrazol-1-yl]borato-κ3N,N′N′′}copper(I), C31H28BCuN6O
- Crystal structure of ethane-1,2-diylbis(diphenylphosphine oxide) – dihydrogenperoxide (1/2), C26H28O6P2
- Crystal structure of 2-(pyridin-2-ylamino)pyridinium chloride dibenzyldichlorostannane, [C10H10N3]Cl, C14H14Cl2Sn
- Crystal structure of 4-[(3-methoxyphenyl)carbamoyl]butanoic acid, C12H15NO4
- Crystal structure of dichlorido-bis(tri-4-tolylphosphane oxide-κO)-di(4-chlorophenyl-κC)tin(IV), C54H50Cl4O2P2Sn
- Crystal structure of dichloridodimethylbis(tri-4-tolylphosphane oxide-κO)-tin(IV), C44H48Cl2O2P2Sn
- Crystal structure of chlorido(2-methylquinolin-8-olato-κ2N,O)-bis(4-tolyl-κC)tin(IV), C24H22ClNOSn
- Crystal structure of (E)-dichloro(1-chloro-3-methoxyprop-1-en-2-yl)(4-methoxyphenyl)-λ4-tellane, C11H13Cl3O2Te
- Crystal structure of bis{N-methyl-N′-[3-(4-methoxyphenyl)-1-methylpropane-1-ylidene]carbamohydrazonothioato}zinc(II), C26H36N6O2S2Zn
- Crystal structure of (2-carboxy-4-(3-carboxy-5-carboxylatophenoxy)benzoato-κ2O,O′)bis(1,10-phenantroline-κ2N,N′)cobalt(II), C40H24N4O9Co
- The crystal structure of (3S,8R,10R,14R)-17-((2S,5S)-5-(2-hydroxypropan-2-yl)-2-methyltetrahydrofuran-2-yl)-4,4,8,10,14-pentamethyl-12-oxohexadecahydro-1H-cyclopenta[a]phenanthren-3-yl acetate, C32H52O5
- Crystal structure of (μ2-1,1′-bis(diphenylphosphino)ferrocene-κ2P,P′)-bis[(Z)N-(3-fluorophenyl)-O-methylthiocarbamato-S]digold(I) chloroform solvate, C50H42Au2F2FeN2O2P2S2, CHCl3
- Crystal structure of poly[bis(μ2-1,4-di(1H-imidazol-1-yl)benzene-κ2N:N′)-(μ2-tetraoxidomolybdato(VI)-κ2O:O′)cobalt(II)], C24H20N8O4MoCo
Articles in the same Issue
- Frontmatter
- Crystal structure of poly[tetraaqua-bis(μ4-5-(4-carboxy-benzylamino)-isophthalato-κ4O,O′:O′′:O′′′)-(μ2-4,4′-di(1H-imidazol-1-yl)-1,1′-biphenyl-κ2N:N′)dicadmium(II)], C25H22N3O8Cd
- The crystal structure of 2-(2-(2,3,4,9-tetrahydro-1H-pyrido[3,4-b]indol-2-ium-1-yl)phenoxy)acetate, C19H18N2O3
- Crystal structure of poly[aqua-μ2-4,4′-bipyridine-κ2N:N′)-μ2-bis(2-(2-((2,6-dichlorophenyl)amino)phenyl)acetato-κ2O,O′)zinc(II)], C38H28Cl4N4O4Zn
- Crystal structure of 1-(2-(1H-indol-3-yl)ethyl)-4-benzyl-3-hydroxy-3,6-diphenylpiperazine-2,5-dione, C33H29N3O3
- The crystal structure 2,2′-bipyridine-κ2N,N′-(2-(3-amino-4-chlorobenzoyl)benzoato-κ1O)-(2-(3-amino-4-chlorobenzoyl)benzoato-κ2O,O′)zinc(II) — ethanol (1/1), C40H32Cl2N4O7Zn
- Crystal structure of catena-poly[(μ3-2-carboxy-4-(3-carboxy-5-carboxylatophenoxy)benzoato-κ3O:O′:O′′)-bis(μ2-4,4′-bis(pyrid-4-yl)biphenyl-k1N)copper(II)], C60H40N4O9Cu
- The crystal structure of dimethylammonium catena-[di(μ-aqua)-bis(μ9-benzene-1,3,5-tricarboxylato)pentalithium], C20H16Li5NO13
- Crystal structure of tetraaqua-bis(3,5-di(pyridin-4-yl)-1,2,4-triazol-1-ido-κ1N)nickel(II) dihydrate, C24H28O6N10Ni
- The crystal structure of tetrakis(1-methylimidazole-κ1N)-oxido-(sulfato-κ1O)vanadium(IV), C16H24N8O5SV
- Crystal structure of methyl 2-(6,11-dioxo-2,3,6,11-tetrahydro-1H-benzo[f]pyrrolo[2,1-a]isoindole-5-carbonyl)benzoate, C24H17NO5
- Crystal structure of (E)-N′-(2-hydroxy-4-(2-(piperidin-1-yl)ethoxy)benzylidene) nicotinohydrazide monohydrate, C20H24N4O3 ⋅ H2O
- Crystal structure of poly[bis(μ3-(1-(3,5-di(1H-imidazol-1-yl)phenyl)-1H-imidazole-κ3N:N′:N′′)cobalt(II)] dinitrate — N,N-dimethylformamide (1/4), C42H52N18O10Co
- The crystal structure bis{hexakis(1-methyl-1H-imidazole-κ1N)cobalt(II)} tetrakis(μ3-oxido)-octakis(μ2-oxido)-tetradecaoxido-octamolybdate(VI), C24H36CoMo4N12O13
- Crystal structure of di-μ-nicotinato-κ2N:O; κ2O:N-bis-[aqua-bis(benzyl)(nicotinato-κ2O,O′)tin(IV)], C52H48N4O10Sn2
- Crystal structure of dichlorido-bis[2-(2-(3-(pyridin-2-yl)-1H-1,2,4-triazol-5-yl)phenoxy)benzoic acidmanganese(II) monohydrate, C40H30N8O7MnCl2
- The crystal structure of benzyl 3β-acetylglycyrrhetate, C39H54O5
- Synthesis and crystal structure of (E)-1-benzyl-3-(4-methoxystyryl)quinoxalin-2(1H)-one, C24H20N2O2
- Crystal structure of trans-dichloridobis(4-chlorophenyl-κC1)(1,10-phenanthroline-κ2N,N′)tin(IV) dimethylsulphoxide solvate, C26H22Cl4N2OSSn
- Crystal structure of phenyl(1,3,4a-triphenyl-4a,5,6,10b-tetrahydro-1H-[1,4]oxazino[2,3-c]quinolin-5-yl)methanone, C36H28N2O2
- Crystal structure of (4aS,5S,6aS,6a1S, 10aS)-4a,5,6a,6a1,9,10-hexahydro-7H-4,5-methanocyclobuta[4,5]naphtho[8a,1-b]pyran-6(2H)-one, C15H16O2
- Crystal structure of [(Z)-O-isopropyl N-(4-chlorophenyl)thiocarbamato-κS]-(triphenylphosphine-κP)-gold(I), C28H26AuClNOPS
- Crystal structure of (μ2-1,1′-bis(diphenylphosphino)ferrocene-P,P′)-bis[(Z)-O-isopropyl N-(4-chlorophenyl)thiocarbamato-S]-di-gold(I) acetonitrile di-solvate, C54H50Au2Cl2FeN2O2P2S2⋅2(C2H3N)
- Crystal structure of (6aR,6a1S,10aS)-2,4a,6a,6a1,9,10-hexahydro-7H-4,5-methanocyclobuta[4,5]naphtho[8a,1-b]pyran, C15H16O
- Crystal structure of 5,17-diformyl-25,26,27,28-tetrahydroxycalix[4]arene- dichloromethane, C31H26Cl2O6
- Crystal structure of 2-tert-butyl 1-methyl 5-{4-[(methoxycarbonyl)amino]phenyl}-2,5-dihydro-1H-pyrrole-1,2-dicarboxylate, C19H24N2O6
- Crystal structure of [2-carboxybenzene-1-thiolato-S]-(triethylphosphane-P)-gold(I), C13H20AuO2PS
- Synthesis and crystal structure of bis(5-methyl-2-aldehyde-phenolato-κ2O1,O2)copper(II), C16H14CuO4
- Crystal structure of poly[triaqua-(di(2,2′-bipyridine-κ2N,N′)-μ4-silanetetrayltetrakis(benzene-4,1-diyl)tetrakis (hydrogen phosphonato)-κ4O:O′:O′′:O′′′) dicadmium(II)], C44H42N4O15P4Cd2Si
- Crystal structure of bis[μ2-(N,N-diethylcarbamodithioato-κS:κS,κS′)]-bis(triethylphosphine-P)-di-silver(I), C22H50Ag2N2P2S4
- Crystal structure of bis[μ2-(pyrrolidine-1-carbodithioato-κS:κS,κS′)]-bis(triethylphosphine-κP)disilver(I), C22H46Ag2N2P2S4
- Crystal structure of bis[μ2-(N-(2-hydroxyethyl)-N-methylcarbamodithioato-κS:κS,κS′)]-bis(triethylphosphine-P)-di-silver(I), C20H46Ag2N2O2P2S4
- The crystal structure of (2E,2′E)-,2,2′-bis[1-(2-pyrazinyl)ethylidene]carbonimidic dihydrazide, C13H15N9
- The crystal structure of (E)-1-(quinolin-2-ylmethyl)-2-((1-(quinolin-2-ylmethyl)pyridin-2(1H)-ylidene)amino)pyridin-1-ium, C30H25BrN5
- Crystal structure of catena-poly[(μ2-1-((benzotriazol-1-yl)methyl)-1H-1,3-imdazole-κ2N:N′)-(1-((benzotriazol-1-yl)methyl)-1H-1,3-imdazole-κ1N)-(methanol-κ1O)mercury(II)] dinitrate, C21H22N12O7Hg
- Crystal structure of 1-(6-hydroxy-2-phenylbenzofuran-5-yl)ethan-1-one, C16H12O3
- The crystal structure of oxonium hexaquaaluminium disulfate hexahydrate
- Crystal structure of catena{(μ2-1,10-phenanthroline-κ4N,N,N′,N′)-(μ2-1,10-phenanthroline-κ3N,N,N′)potassium(I) {[bis(2-hydroxyethyl)iminiumyl](sulfanidyl)methyl}sulfanide hemi(1,10-phenanthroline)}, {C24H16KN4, 0.5(C12H8N2), C5H10NO2S2}
- Crystal structure of chlorido-[(N,N-di-isobutyl)dithiocarbamato-κ2S,S′]-di(4-methylbenzyl-κC)tin(IV), C25H36ClNS2Sn
- Crystal structure of chlorido-(η5-pentamethylcyclopentadienyl)-(4-chloro-4-pyridyl-2,2′:6′,2′′-terpyridine-κ2N,N′) rhodium(III) hexaflourophosphate, C31H29Cl2F6N3PRh
- The crystal structure of catena-poly[bis-(3,5-dinitro-1,2,4-triazolato-κ2N:O)-(μ2-1,4-bis(1-imidazolyl)benzene-κ2N:N′)copper(II)], C16H10CuN14O8
- Crystal structure of poly[triaqua-bis(μ3-3,3′-((5-carboxylato-1,3-phenylene)bis(oxy))dibenzoato)-tris(1,10-phenanthroline)cobalt(II)], C78H46N6O20Co3
- The crystal structure of 2,4-dihydroxybenzoic acid–nicotinamide–methanol (1/1/1), C15H18N2O6
- The crystal structure of aqua{N,N,N′,N′-tetrakis[(1H-benzimidazol-κN3) methyl]cyclohexane-1,2-diamine}lead(II) diacetate–methanol (1/2), C44H54N10O7Pb
- Crystal structure of (2-amino-5-bromo-3-iodophenyl)(3-(4-chlorophenyl)oxiran-2-yl)methanone, C15H10BrClINO2
- Synthesis and crystal structure of 3-octyl-5,5-diphenylimidazolidine-2,4-dione, C23H28N2O2
- Synthesis and crystal structure of 2-azido-N-(4-nitrophenyl)acetamide, C8H7N5O3
- Crystal structure of tert-butyl (1S,2R,5R)-2-(hydroxymethyl)-4-(4-methoxyphenyl)-6-oxa-3-azabicyclo[3.1.0]hexane-3-carboxylate, C17H23NO5
- Crystal structure of 4-[(4-methoxy-2-nitrophenyl)carbamoyl]butanoic acid, C12H14N2O6
- Crystal structure of 3-ethyl-1-[(E)-[(2E)-3-phenylprop-2-en-1-ylidene]amino]thiourea, C12H15N3S
- Crystal structure of 4,4′-bipyridin-1,1′-dium poly[bis(μ4-benzene-1,3,5-triyltris(hydrogen phosphonato-κ4O:O′:O′′:O′′′))zinc(II)], C11H11NO9P3Zn
- Crystal structure of (μ2-1,1′-bis(diphenylphosphino)butane-κ2P,P′)-bis[(Z)-N-(3-fluorophenyl)-O-methylthiocarbamato-κS]-di-gold(I), C44H42Au2F2N2O2P2S2
- Crystal structure of (μ2-1,1′-bis(diphenylphosphino)hexane-κ2P,P′)-bis[(Z)-N-(3-fluorophenyl)-O-methylthiocarbamato-κS]digold(I), C46H46Au2F2N2O2P2S2
- Crystal structure of tetrakis (N-(2-hydroxyethyl)-N-isopropylcarbamodithioato-κS,S′)-(μ2(2-(pyridin-4-yl)vinyl)pyridine-κN,N′)dicadmium(II), C36H58Cd2N6O4S8
- Crystal structure of 4-(2-(benzo[b]thiophen-2-yl)-3,3,4,4,5,5-hexafluorocyclopent-1-en-1-yl)-1,5-dimethyl-1H-pyrrole-2-carbonitrile, C20H12F6N2S
- Crystal structure of bis(octahydrocyclopenta[c]pyrrolium)pentachlorobismuthate(III), (C7NH14)2BiCl5
- The crystal structure of diaqua-tris(nitrato-κ2O,O′)-bis(4,4,5,5-tetramethyl-2-(p-pyridyl)imidazoline-1-oxyl 3-oxide-κN)samarium(III), C24H36N9O15Sm
- Synthesis and crystal structure of methyl 2-(2-((tert-butoxycarbonyl)amino)phenyl)-2-(4-oxo-4H-chromen-3-yl)acetate, C23H23NO6
- Crystal structure of O-hexyl benzoylcarbamothioate, C14H19NO2S
- Crystal structure of chlorido-(O-methyl phenylcarbamothioamide-κS)-bis(triphenylphosphane-κP)silver(I), C44H39AgClNOP2S
- Crystal structure of chlorido-(O-ethyl phenylcarbamothioamide-κS)-bis(triphenylphosphane-κP)-silver(I), C45H41AgClNOP2S
- Crystal structure of 4-[(2-methoxyphenyl)carbamoyl]butanoic acid, C12H15NO4
- Crystal structure of ethyl 4-methyl-2-oxo-5-phenyl-1,3,4-oxadiazinane-3-carboxylate, C13H16N2O4
- Crystal structure of catena-poly[diaqua(μ2-2-(hydroxymethyl)-1H-imidazole-4,5-dicarboxylato)cadmium(II)], C6H8CdN2O7
- Crystal structure of (1S)-N-(chloromethyl)-1-((4S,6aR,8aS, 8bR,9aR)-4-methoxy-6a,8a-dimethyl-1,3,4, 5,6,6a,6b,7,8,8a,9a,10,10a,10b-tetradecahydro-8bH-naphtho[2′,1′:4,5] indeno[1,2-b]oxiren-8b-yl)-N-methylethan-1-amine, C24H46ClNO5
- Crystal structure of 4-[(3,5-dichlorophenyl)carbamoyl]butanoic acid, C11H11Cl2NO3
- Crystal structure of (2Z)-2-amino-3-[(E)-[(2,4-dihydroxyphenyl)methylidene]-amino]but-2-enedinitrile, C11H8N4O2
- Crystal structure of 3-methyl-1-[(E)-(4-phenylbutan-2-ylidene)amino]thiourea, C12H17N3S
- Crystal structure of carbonyl{hydridotris[3-phenyl-5-methylpyrazol-1-yl]borato-κ3N,N′N′′}copper(I), C31H28BCuN6O
- Crystal structure of ethane-1,2-diylbis(diphenylphosphine oxide) – dihydrogenperoxide (1/2), C26H28O6P2
- Crystal structure of 2-(pyridin-2-ylamino)pyridinium chloride dibenzyldichlorostannane, [C10H10N3]Cl, C14H14Cl2Sn
- Crystal structure of 4-[(3-methoxyphenyl)carbamoyl]butanoic acid, C12H15NO4
- Crystal structure of dichlorido-bis(tri-4-tolylphosphane oxide-κO)-di(4-chlorophenyl-κC)tin(IV), C54H50Cl4O2P2Sn
- Crystal structure of dichloridodimethylbis(tri-4-tolylphosphane oxide-κO)-tin(IV), C44H48Cl2O2P2Sn
- Crystal structure of chlorido(2-methylquinolin-8-olato-κ2N,O)-bis(4-tolyl-κC)tin(IV), C24H22ClNOSn
- Crystal structure of (E)-dichloro(1-chloro-3-methoxyprop-1-en-2-yl)(4-methoxyphenyl)-λ4-tellane, C11H13Cl3O2Te
- Crystal structure of bis{N-methyl-N′-[3-(4-methoxyphenyl)-1-methylpropane-1-ylidene]carbamohydrazonothioato}zinc(II), C26H36N6O2S2Zn
- Crystal structure of (2-carboxy-4-(3-carboxy-5-carboxylatophenoxy)benzoato-κ2O,O′)bis(1,10-phenantroline-κ2N,N′)cobalt(II), C40H24N4O9Co
- The crystal structure of (3S,8R,10R,14R)-17-((2S,5S)-5-(2-hydroxypropan-2-yl)-2-methyltetrahydrofuran-2-yl)-4,4,8,10,14-pentamethyl-12-oxohexadecahydro-1H-cyclopenta[a]phenanthren-3-yl acetate, C32H52O5
- Crystal structure of (μ2-1,1′-bis(diphenylphosphino)ferrocene-κ2P,P′)-bis[(Z)N-(3-fluorophenyl)-O-methylthiocarbamato-S]digold(I) chloroform solvate, C50H42Au2F2FeN2O2P2S2, CHCl3
- Crystal structure of poly[bis(μ2-1,4-di(1H-imidazol-1-yl)benzene-κ2N:N′)-(μ2-tetraoxidomolybdato(VI)-κ2O:O′)cobalt(II)], C24H20N8O4MoCo