Abstract
C19H13ClN4O6, monoclinic, P21/n (no. 14), a = 4.8032(1) Å, b = 19.5545(5) Å, c = 19.6915(6) Å, β = 90.640(1)°, V = 1849.39(8) Å3, Z = 4, Rgt(F) = 0.0369, wRref(F2) = 0.1011, T = 100(2) K.

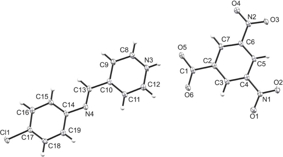
The molecular structure is shown in the figure. Table 1 contains crystallographic data and Table 2 contains the list of the atoms including atomic coordinates and displacement parameters.
Data collection and handling.
| Crystal: | Yellow block |
| Size: | 0.35 × 0.31 × 0.24 mm |
| Wavelength: | Mo Kα radiation (0.71073 Å) |
| μ: | 0.26 mm−1 |
| Diffractometer, scan mode: | Bruker SMART APEX-II, φ and ω |
| θmax, completeness: | 28.4°, >99% |
| N(hkl)measured, N(hkl)unique, Rint: | 23587, 4595, 0.023 |
| Criterion for Iobs, N(hkl)gt: | Iobs > 2 σ(Iobs), 4077 |
| N(param)refined: | 271 |
| Programs: | Bruker [1], SHELX [2], [4], Mercury [3] |
Fractional atomic coordinates and isotropic or equivalent isotropic displacement parameters (Å2).
| Atom | x | y | z | Uiso*/Ueq |
|---|---|---|---|---|
| Cl1 | 1.24030(7) | 0.17151(2) | 0.22774(2) | 0.02373(10) |
| O1 | −0.6861(2) | −0.15929(6) | 0.88344(6) | 0.0303(3) |
| O2 | −1.0191(2) | −0.14248(5) | 0.95467(5) | 0.0266(2) |
| O3 | −1.4605(2) | 0.07664(5) | 0.96821(5) | 0.0245(2) |
| O4 | −1.3363(2) | 0.15901(5) | 0.90140(6) | 0.0275(2) |
| O5 | −0.6239(2) | 0.11936(6) | 0.72800(5) | 0.0290(2) |
| O6 | −0.3923(2) | 0.02022(6) | 0.73132(5) | 0.0276(2) |
| N1 | −0.8627(3) | −0.12316(6) | 0.90962(6) | 0.0207(2) |
| N2 | −1.3163(2) | 0.10035(6) | 0.92263(6) | 0.0194(2) |
| C1 | −0.5720(3) | 0.05961(7) | 0.75157(7) | 0.0200(3) |
| C2 | −0.7529(3) | 0.03677(7) | 0.81005(6) | 0.0185(3) |
| C3 | −0.7222(3) | −0.02998(7) | 0.83349(7) | 0.0190(3) |
| H3A | −0.588469 | −0.059708 | 0.814061 | 0.023* |
| C4 | −0.8907(3) | −0.05222(7) | 0.88575(7) | 0.0183(3) |
| C5 | −1.0871(3) | −0.01087(7) | 0.91609(6) | 0.0178(3) |
| H5 | −1.201508 | −0.027042 | 0.951712 | 0.021* |
| C6 | −1.1080(3) | 0.05523(7) | 0.89178(6) | 0.0175(3) |
| C7 | −0.9479(3) | 0.08027(7) | 0.83905(6) | 0.0183(3) |
| H7 | −0.970819 | 0.125824 | 0.823184 | 0.022* |
| N3 | −0.3050(3) | 0.13949(7) | 0.62705(6) | 0.0233(3) |
| H3 | −0.418643 | 0.132159 | 0.661030 | 0.028* |
| N4 | 0.4151(3) | 0.13075(6) | 0.44523(6) | 0.0209(2) |
| C8 | −0.2935(3) | 0.20121(7) | 0.59871(7) | 0.0219(3) |
| H8 | −0.411018 | 0.236564 | 0.614904 | 0.026* |
| C9 | −0.1129(3) | 0.21478(7) | 0.54600(7) | 0.0210(3) |
| H9 | −0.105578 | 0.259140 | 0.526427 | 0.025* |
| C10 | 0.0573(3) | 0.16282(7) | 0.52204(7) | 0.0190(3) |
| C11 | 0.0382(3) | 0.09823(8) | 0.55152(7) | 0.0249(3) |
| H11 | 0.149314 | 0.061523 | 0.535580 | 0.030* |
| C12 | −0.1447(3) | 0.08833(8) | 0.60424(8) | 0.0281(3) |
| H12 | −0.157379 | 0.044488 | 0.624759 | 0.034* |
| C13 | 0.2526(3) | 0.17694(7) | 0.46668(7) | 0.0194(3) |
| H13 | 0.257027 | 0.221175 | 0.446774 | 0.023* |
| C14 | 0.6074(3) | 0.14498(7) | 0.39310(7) | 0.0191(3) |
| C15 | 0.6740(3) | 0.21052(7) | 0.36949(7) | 0.0228(3) |
| H15 | 0.586773 | 0.249484 | 0.388681 | 0.027* |
| C16 | 0.8670(3) | 0.21873(7) | 0.31817(7) | 0.0223(3) |
| H16 | 0.909986 | 0.263031 | 0.301474 | 0.027* |
| C17 | 0.9961(3) | 0.16144(7) | 0.29162(7) | 0.0193(3) |
| C18 | 0.9382(3) | 0.09634(7) | 0.31485(7) | 0.0211(3) |
| H18 | 1.030379 | 0.057670 | 0.296454 | 0.025* |
| C19 | 0.7423(3) | 0.08864(7) | 0.36569(7) | 0.0202(3) |
| H19 | 0.699963 | 0.044150 | 0.381974 | 0.024* |
Source of material
The Schiff base (E)-N-(4-chlorophenyl)-1-(pyridin-4-yl)methanimine was synthesized using a solvent free grinding of 4-pyridinecarboxaldehyde and 4-chloroaniline [5]. 0.05 mmol of the Schiff base were added to a stirred solution containing magnesium acetate tetrahydrate (0.5 mmol) and 3,5-dinitrobenzoic acid (1 mmol) in ethanol (10 mL) for 6 hours. Slow evaporation of the ethanolic solution led to the formation of X-ray quality, yellow block-shaped crystals of the title compound after three days. Yield = 81%; m.p. =155–157 °C; 1H-NMR (d6DMSO, 400 MHz): δ (ppm) 7.36 (2H, q, J = 2.88 Hz), 7.49 (2H, q, J = 2.88 Hz), 7.84 (2H, d, J = 5.76 Hz), 8.69 (1H, s), 8.76 (2H, d, J = 4.44 Hz), 8.90 (2H, d, J = 2.16 Hz), 9.00 (1H, t, J = 2.12 Hz). 13C-NMR (d6DMSO, 400 MHz): δ (ppm) 115.67, 122.34, 122.59, 122.71, 123.52, 128.92, 129.33, 129.70, 131.71, 135.17, 142.76, 148.77, 149.76, 150.92, 151.55, 164.43, 193.80.
Experimental details
A Bruker Smart APEX2 diffractometer with Mo Kα radiation was used for crystal evaluation and data collection [1]. The structure was solved by the direct method using the SHELXS [2] program and refined. The visual crystal structure information was performed using Mercury [3] system software. All non-hydrogen atoms were refined isotropically and then by anisotropic refinement with full-matrix least squares method based on F2 using SHELXL [4]. All C—Haromatic and N—H bond distances were constrained using the appropriate HFIX commands and Uiso set to 1.2Ueq of the parent atom.
Comment
Schiff bases are condensation products of the reaction of carbonyl compounds (aldehyde or ketones) and amines. They were first isolated by Hugo Schiff in 1864 [6]. Their ability to stabilize metal centers at different oxidation state affords them versatility in biological application and co-ordination chemistry [7], [8]. Benzoic acid derivatives have been used as co-ligands for the formation of heteroleptic complexes [9], [10], [11].
The asymmetric unit of the title compound comprises of an anionic 3,5-dinitrobenzoate and a cationic (E)-4-((4-chlorophenylimino)methyl)pyridinium species. The pyridinium and anilinyl rings of the cationic species are not coplanar and have a dihedral angle of 10.37(7)°. On the other hand, the dihedral angle between each of the meta-nitro groups and the phenyl ring of the anionic species ranged from 1.04(8)° to 1.99(9)° which is narrower than that of the carboxylate group (5.4872(1)°) This could be attributed to the electrostatic effect including the intermolecular N3—H3⋯O5 (N3⋯O5 = 2.5535(15) Å; H3⋯O5 = 1.674 Å; N3—H3⋯O5 = 178°) and C12—H12⋯O6 [C12⋯O6 = 3.0849(18) Å; H12⋯O6 = 2.440 Å; C12—H12⋯O6 = 125°] hydrogen bonding patterns which exists between the carboxylate and pyridinium moieties that are similar to a closely related compound in literature [12].
Acknowledgements
We acknowledge the University of KwaZulu-Natal for financial support and an enabling environment for research.
References
1. Bruker. APEXII. Bruker AXS Inc., Madison, WI, USA (2009).Search in Google Scholar
2. Sheldrick, G. M.: A short history of SHELX. Acta Crystallogr. A64 (2008) 112–122.10.1107/S0108767307043930Search in Google Scholar PubMed
3. Macrae, C. F.; Bruno, I. J.; Chisholm, J. A.; Edgington, P. R.; McCabe, P.; Pidcock, E.; Rodriguez-Monge, L.; Taylor, R.; van de Streek, J.; Wood, P. A.: Mercury CSD 2.0 – new features for the visualization and investigation of crystal structures. J. Appl. Crystallogr. 41 (2008) 466–470.10.1107/S0021889807067908Search in Google Scholar
4. Sheldrick, G. M.: Crystal structure refinement with SHELXL. Acta Crystallogr. C71 (2015) 3–8.10.1107/S2053229614024218Search in Google Scholar PubMed PubMed Central
5. Munzeiwa, W. A.; Nyamori, V. O.; Omondi, B.: N,O-Amino-phenolate Mg(II) and Zn(II) schiff base complexes: synthesis and application in ring-opening polymerization of ϵ-caprolactone and lactides. Inorg. Chim. Acta 487 (2019) 264–274.10.1016/j.ica.2018.12.028Search in Google Scholar
6. Schiff, H.: Mittheilungen aus dem Universitätslaboratorium in Pisa: eine neue Reihe organischer Basen. Liebigs Ann. 131 (1864) 118–119.10.1002/jlac.18641310113Search in Google Scholar
7. Rosengerg, B.; van Camp, L.; Krigas, T.: Inhibition of cell division in Escherichia coli by electrolysis products from a platinum electrode. Nature 205 (1965) 698–699.10.1038/205698a0Search in Google Scholar PubMed
8. Patange, A. N.; Yadav, U. M.; Desai, P. A.; Singare, P. U.: Synthesis of some novel halogenated platinum(II) complexes of active Schiff’s base ligand derived from 5-bromo isatin and evaluation of their antibacterial activity. WSN 10 (2015) 32–43.10.56431/p-gb7jf1Search in Google Scholar
9. Sarma, R.; Kalita, D.; Baruah, J. B.: Solvent induced reactivity of 3,5-dimethylpyrazole towards zinc (II) carboxylates. Dalton Trans. 36 (2009) 7428–7436.10.1039/b905534gSearch in Google Scholar PubMed
10. Akpan, E. D.; Ojwach, S. O.; Omondi, B.: Structural and kinetic studies of the ring-opening polymerization of cyclic esters using N,N′- diarylformamidines Zn(II) complexes. Polyhedron 10 (2016) 63–72.10.1016/j.poly.2016.02.007Search in Google Scholar
11. Appavoo, D.; Omondi, B.; Guzei, I. A.; van Wyk, J. L.; Zinyemba, O.; Darkwa, J.: Bis(3,5-dimethylpyrazole) copper(II) and zinc(II) complexes as efficient initiators for the ring opening polymerization of ϵ-caprolactone and D,L-lactide. Polyhedron 69 (2014) 55–60.10.1016/j.poly.2013.11.011Search in Google Scholar
12. Sharif, S.; Powell, D. R.; Schagen, D.; Steiner, T.; Toney, M. D.; Fogle, E.; Limback, H.-H.: X-ray crystallographic structures of enamine and amine Schiff bases of pyridoxal and its 1:1 hydrogen bonded complexes with benzoic acid derivatives: evidence for coupled inter- and intra- molecular proton transfer. Acta Crystallogr. B62 (2008) 480–487.10.1107/S0108768105040590Search in Google Scholar PubMed
©2020 Damilola Caleb Akintayo et al., published by De Gruyter, Berlin/Boston
This work is licensed under the Creative Commons Attribution 4.0 Public License.
Articles in the same Issue
- Frontmatter
- Crystal structure of catena-poly[(μ2-3-(benzo[d]thiazol-2-yl)-5-carboxybenzoato-κ2N:O)silver(I)], C15H8AgNO4S
- Crystal structure of bis(4-phenylpiperazin-1-ium) bis(2-(4-phenylpiperazin-1-yl)succinato-κ2O,O′)copper(II) tetrahydrate, C48H70CuN8O12, [C10H14N2]2[Cu(C14H17N2O4)2] ⋅ 4 H2O
- Crystal structure of triaqua-bis(2-(6-hydroxy-5-(hydroxymethyl)-5,8a-dimethyl-2-methylenedecahydronaphthalen-1-yl)-1-(2-oxo-2,5-dihydrofuran-3-yl)ethane-1-sulfonato-κ2O,O′)calcium(II) – ethanol (1/2), C44H76CaO19S2
- The crystal structure of ethyl 5-(4-(diphenylamino)phenyl)thiophene-2-carboxylate, C25H21NO2S
- The crystal structure of 5-bromo-2-(2-methyl-2H-tetrazol-5-yl)pyridine, C7H6BrN5
- The crystal structure of (E)-5-chloro-2-hydroxy-N′-(2-hydroxy-4-methoxybenzylidene)benzohydrazide, C15H13ClN2O4
- The crystal structure of (2Z,2′Z)-N′,N′′′′-(pyridine-2,6-dicarbonyl)dipicolinohydrazonamide, C19H17N9O2
- Photochromic properties and crystal structure of 3,3′-(perfluorocyclopent-1-ene-1,2-diyl)bis(5-(4-(azidomethyl)phenyl)-2-methylthiophene), C29H20F6N6S2
- Crystal structure of aqua-dichlorido-(4-(((3-ethoxy-2-oxidobenzylidene)hydrazono)(oxido)methyl)pyridin-1-ium-κ3N,O,O′)iron(III), C15H16Cl2N3O4Fe
- Crystal structure of catena-poly[diaqua-(μ2-4,4′-bipyridine-κ2N:N′)-bis(2,3,4,5-tetrabromo-6-carboxybenzoato-κ1O)-nickel(II)], C26H14Br8NiN2O10
- Crystal structure of diethanol-κ1O-bis(μ2-N-((2-oxidonaphthalen-1-yl)methylene)pyrazine-2-carbohydrazonato-κ5N,O,O′:O′:N′)-bis(nitrato-κ2O,O′)dieuropium(III), C36H32N10O12Eu2
- The crystal structure of 2-aminoisophthalic acid, C8H7NO4
- Crystal structure of (E)-2-(4-((3,4-difluorobenzyl)oxy)styryl)-4,6-dimethoxybenzaldehyde, C24H20F2O4
- Crystal structure of 2-benzoylpyrene, C23H14O
- Crystal structure of chlorido-(η6-p-cymene)-(N-(2-fluorophenyl)-1-(pyridin-2-yl)methanimine-κ2N,N′)ruthenium(II) – acetone (1/1), C22H23ClN2F7OPRu
- The crystal structure of 2-bromoisonicotinic acid, C6H4BrNO2
- Crystal structure of 1,3,5,7-tetraphenyl-8-(N-phenylformamido)-2-oxa-5-azabicyclo[4.2.0]oct -3-en-7-yl benzoate, C44H34N2O4
- Synthesis and crystal structure of 4-(3-acetyl-5-(thiophen-2-yl)-2,3-dihydro-1,3,4-oxadiazol-2-yl)-7-(diethylamino)-2H-chromen-2-one, C21H21N3O4S
- Crystal structure of poly[diaqua-(μ2-4,4′-bipyridine-κ2N:N′)-(μ2-3,4,5,6-tetrafluorophthalato-κ2O:O′)nickel(II)], C18H12F4NiN2O6
- Crystal structure of 4-hydroxynaphtho[2,3-b]benzofuran-6,11-dione, C16H8O4
- The crystal structure of 3,10-bis(4-methoxyphenyl)-6,12-dibenzyl-2,9-acetyl-6,12-diazapentacyclo[6.3.1.02,7.04,11.05,9]dodecane – acetone (1/1), C45H48N2O5
- The crystal structure of (E)-2-(((2-(1H-indol-3-yl)ethyl)iminio)methyl)-6-bromophenolate, C17H15N2BrO
- Crystal structure of catena-poly[diaqua-(μ2-oxalyl dihydrazide-κ4N,O:N′,O′)-bis(μ2-pyridine-2,3-dicarboxylato-κ3N,O,O′)dicadmium(II)] hexahydrate, C16H28O18N6Cd2
- Crystal structure of poly[tetra-(μ4-naphthalene-1,8-dicarboxylato-κ4O:O,O′: O′′:O′′,O′′′)-(μ4-oxo-κ4O:O:O:O) penta-lead(II)], C48H24O17Pb5
- Crystal structure of 5H-dibenzo[c,f][1,5]oxabismocin-12 (7H)-yl acetate, C16H15O3Bi
- The crystal structure of 2-(4-chloro-6-nitrophenyl)-1-(4-chloro-3-nitrophenyl)diazene 1-oxide, C12H6Cl2N4O5
- Crystal structure of bis(3-methyl-N-(1-(pyrazin-2-yl)ethylidene)benzohydrazonato-κ3O,N,N′)nickel(II), C28H26N8O2Ni
- Crystal structure of 3,10-bis(4-chlorophenyl)-6,12-dibenzyl-2,9-acetyl-6,12-diazapentacyclo[6.3.1.02,7.04,11.05,9]-dodecane, C40H36Cl2N2O2
- Crystal structure of bis[(μ2-4⋯O,O′:O′)-(4-hydroxybenzoato-κ2O,O′)-(1,10-phenanthroline-κ2N,N′)]-di-lead(II)μ-4-hydroxybenzoato-κ3O,O′:O′;κ3O,O′:O′-bis-[(4-hydroxybenzoato-κ2O,O′)bis(1,10-phenanthroline-κ2N,N′)di-lead(II)] monohydrate, C52H36N4O12Pb2 ⋅ H2O
- Crystal structure of poly[diaqua-(μ3-3,4,5,6-tetrafluoro-phthalato-κ3O:O′:O′′)-(μ2-1,2-bis(4-pyridyl)ethene-κ2N:N′)cobalt(II)], C14H9CoF4NO6
- Crystal structure of 7-hydroxy-4-phenyl-2H-chromen-2-one, C15H10O3
- Crystal structure of 3,7-dimethyl-1-(5-oxohexyl)-3,7-dihydro-1H-purine-2,6-dione 4-hydroxybenzoic acid, C20H24N4O6
- Crystal structure of catena-poly[(μ2-1,5-dimethyl-2-phenyl-4-((pyridin-4-ylmethylene)amino)-1,2-dihydro-3H-pyrazol-3-one-κ2N:O)-bis(nitrato-κ1O)zinc(II)], C17H16N6O7Zn
- The crystal structure of diaqua-bis(6-aminopicolinato-κ2N,O)magnesium(II), C12H14O6N4Mg
- Crystal structure of (pyridine-2-carboxamide-κ2N,O)-[tris((1H-benzo[d]imidazol-2-yl)methyl)amine-κ4N,N′,N′′,N′′′]nickel(II) diperchlorate — methanol (1/3), C33H39Cl2N9NiO12
- Crystal structure of catena-poly[diaqua-bis(3-(4-trifluoromethyl-phenyl)-acrylato-κO1)-(μ2-1,4-bis(1-imidazolyl)benzene-κ2N3:N3′)cobalt(II)], C32H26CoF6N4O6
- Crystal structure of (E)-3-(2-(2-hydroxy-4-methoxystyryl)-3,3-dimethyl-3H-indol-1-ium-1-yl)propane-1-sulfonate monohydrate, C22H25NO5S⋅H2O
- The crystal structure of bis(N-oxy-2-(1H-tetrazol-1-yl) acetamide κ2O,O′)-diaqua-zinc(II), C6H12ZnN10O6
- Crystal structure of (E)-4-((4-chlorophenylimino)methyl)pyridinium 3,5-dinitrobenzoate, C19H13ClN4O6
- Crystal structure of dichlorido-bis((E)-2-((pyridin-4-ylmethylene)amino)phenol)zinc(II), C24H20Cl2N4O2Zn
- Crystal structure of cyclo-[tetrachlorido-bis(μ2-p-xylylenediamine-κ2N:N′)dipalladium(II)] dimethyl sulfoxide solvate, C20H36Cl4N4O2Pd2S2
- Crystal structure of 4-(3-fluorophenyl)-7-hydroxy-2H-chromen-2-one, C15H9FO3
- Crystal structure of (E)-2-((2-(pyrimidin-2-yl)hydrazono)methyl)quinolin-1-ium perchlorate – methanol (1/1), C15H16N5O5Cl
- The crystal structure of bis(N-(amino(pyridin-2-yl)methylene)-5-chloro-2-hydroxybenzohydrazonato-κ3N,N′,O)zinc(II) – methanol (2/5), C57H60Cl2N16O13Zn2
- Synthesis and crystal structure of 4,4′-di(4-pyridyl)-6,6′-di(tert-butyl)-2,2′-[propylenedioxybis(nitrilomethylidyne)]diphenol, C35H40N4O4
- Crystal structure of (3E,3′E)-3,3′-((1,3,4-thiadiazole-2,5-diyl)bis(sulfanediyl))bis(4-hydroxy-4-phenylbut-3-en-2-one), C22H18N2O4S3
- Crystal structure of (N-benzyl-N-methyl-dithiocarbamato-κ2S,S′)di(4-chlorobenzyl)chloridotin(IV), C23H22Cl3NS2Sn
- Crystal structure of (1,4,7,10,13,16-hexaoxacyclooctadecane-κ6O6) sodium bromide hydrate, [Na(18-crown-6)]Br ⋅ H2O, C12H26BrNaO7
- Crystal structure of 7-ethoxyl-6,8-difluoro-4-oxo-1-phenyl-1,4-dihydro-quinoline-3-carboxylic acid, C18H13F2N1O4
- Crystal structure of chlorido (2-(4-ethylphenyl)pyrimidine-k2C,N)(triphenylphosphane-kP) palladium(II), C30H26ClN2PPd
- Crystal structure of 18-crown-6 – 1,4-diiodotetrafluorobenzene – acetonitrile (1/1/2), C22H30F4I2N2O6
- Crystal structure of diisobutyl 2,5-dihydroxycyclohexa-1,4-diene-1,4-dicarboxylate, C16H24O6
- Crystal structure of poly[[tris(μ2-cis-1,2-cyclohexanedicarboxylato)-κ2O, O′]-bis[μ3-1,3,5-tris[(1H-imidazol-1-yl)methyl]benzene-κ3N, N′,N′′]-trizinc(II)] – water (1/20), C60H106N12O32Zn3
- The synthesis and crystal structure of 5-amino-1-(2,6-dichloro-4-(trifluoromethyl)phenyl)-4-((trifluoromethyl)sulfinyl)-1H-pyrazole-3-carboxamide–tetrahydrofuran (1/1), C16H14N4Cl2F6O3S
- Crystal structure of dimethylbis(diisopropyldithiocarbamato-κ2S,S′)tin(IV), C16H34N2S4Sn
- Crystal structure of diisopropyl 2,5-dihydroxycyclohexa-1,4-diene-1,4-dicarboxylate, C14H20O6
- The synthesis and crystal structure of ethyl (E)-1-(2,6-dichloro-4-(trifluoromethyl)phenyl)-5-((2-methoxybenzylidene)amino)-4-((trifluoromethyl)sulfinyl)-1H-pyrazole-3-carboxylate, C22H15N3Cl2F6O4S
- The crystal structure of a matrine derivative, 13-(methylamine-1-yl) carbodithioate matrine, C17H27N3OS2
- Crystal structure of bis(2-hydroxy-6-((phenylimino)methyl)phenolato-κ2N,O)copper(II), C26H20CuN2O4
- The crystal structure of 2-p-fluorophenyl-5-dihydroxymethyl-1,3,4-oxadiazole, C9H7FN2O3
- Crystal structure of dichloridobis(4-chlorophenyl-κC1)(1,10-phenanthroline-κ2N,N′)tin(IV), C24H16Cl4N2Sn
- Crystal structure of bis{bromido-triphenyltin(IV)}(μ2-[4,4′-bipyridine]1,1′-dioxide-κ2O:O′), C46H38Br2N2O2Sn2
- Crystal structure of 2-(5-chloro-quinolin-8-yloxy)-N-quinolin-8-yl-acetamide, C20H14N3O2Cl
- Crystal structure of bis(N-(1-(3-ethylpyrazin-2-yl)ethylidene)-3-hydroxy-2-naphthohydrazonato-κ3N,N′,O)cobalt(II) — dimethylformamide (1/1), C41H41N9O5Co
- Crystal structure of bis[2-(1-(3-ethylpyrazin-2-yl)ethylidene)-1-tosylhydrazin-1-ido-κ3-N,N′,O]copper(II), C30H34N8O4S2Cu
- Crystal structure of (2-p-tolylpyrimidine-κ2C,N)(triphenylphosphane-κP) palladium(II), C29H24ClN2PPd
- Halogen bonding in crystal structure of bis(1,4,7,10-tetraoxacyclododecane-κ4O,O′,O′′,O′′′)cesium triiodide, C16H32CsI3O8
- The synthesis and crystal structure of N-(3-cyano-1-(2,6-dichloro-4-(trifluoromethyl)phenyl)-4-(trifluoromethylsulfinyl)-1H-pyrazol-5-yl)-2-phenylacetamide, C20H10N4Cl2F6O2S
- The crystal structure of 4-(trifluoromethyl)nicotinic acid, C7H4F3NO2
- Crystal structure of 3-(2-methylbenzyl)thiazolidin-2-one, C11H13ONS
- The crystal structure of 2,2,2-trifluoro-1-(isoquinolin-1-yl)ethane-1,1-diol, C11H8F3NO2
- The crystal structure of 3-bromoisonicotinic acid, C6H4BrNO2
- The crystal structure of 5-nitropicolinic acid monohydrate, C6H6N2O5
- The crystal structure of 3-(4-hydroxybenzyl)-1,5-dioxaspiro[5.5]undecane-2,4-dione, C16H18O5
- Crystal structure of [[Mo3Se7(S2CNEt2)3]2(μ-Se)] ⋅ 2(C6H4Cl2), C42H68Cl4Mo6N6S12Se15
- Crystal structure of (E)-4-hydroxy-3-((5-phenyl-1,3,4-oxadiazol-2-yl)thio)pent-3-en-2-one, C13H12N2O3S
- The crystal structure of (2,3-dioxo-5,6:13,14-dibenzo-9,10-benzo-1,4,8,11-7, 11-diene-κ4N,N′,N′′,N′′′)-nickel(II), Ni(C22H14N4O2)
- Crystal structure of 3-(1-benzyl-2-ethyl-4-nitro-1H-imidazol-5-ylthio)-propanoic acid, C15H17N3O4S
- The crystal structure of dichlorobis(2-(dicyclohexylphosphino)-2′,4′,6′-tri-i-propyl-1,1′-biphenyl) palladium(II)-dichloroform, C68H100Cl8P2Pd
- Crystal structure and antimicrobial properties of (1,4,7,10-tetraoxacyclododecane-κ4O,O′,O′′,O′′′)cesium(I) pentaiodide, C16H32CsI5O8
Articles in the same Issue
- Frontmatter
- Crystal structure of catena-poly[(μ2-3-(benzo[d]thiazol-2-yl)-5-carboxybenzoato-κ2N:O)silver(I)], C15H8AgNO4S
- Crystal structure of bis(4-phenylpiperazin-1-ium) bis(2-(4-phenylpiperazin-1-yl)succinato-κ2O,O′)copper(II) tetrahydrate, C48H70CuN8O12, [C10H14N2]2[Cu(C14H17N2O4)2] ⋅ 4 H2O
- Crystal structure of triaqua-bis(2-(6-hydroxy-5-(hydroxymethyl)-5,8a-dimethyl-2-methylenedecahydronaphthalen-1-yl)-1-(2-oxo-2,5-dihydrofuran-3-yl)ethane-1-sulfonato-κ2O,O′)calcium(II) – ethanol (1/2), C44H76CaO19S2
- The crystal structure of ethyl 5-(4-(diphenylamino)phenyl)thiophene-2-carboxylate, C25H21NO2S
- The crystal structure of 5-bromo-2-(2-methyl-2H-tetrazol-5-yl)pyridine, C7H6BrN5
- The crystal structure of (E)-5-chloro-2-hydroxy-N′-(2-hydroxy-4-methoxybenzylidene)benzohydrazide, C15H13ClN2O4
- The crystal structure of (2Z,2′Z)-N′,N′′′′-(pyridine-2,6-dicarbonyl)dipicolinohydrazonamide, C19H17N9O2
- Photochromic properties and crystal structure of 3,3′-(perfluorocyclopent-1-ene-1,2-diyl)bis(5-(4-(azidomethyl)phenyl)-2-methylthiophene), C29H20F6N6S2
- Crystal structure of aqua-dichlorido-(4-(((3-ethoxy-2-oxidobenzylidene)hydrazono)(oxido)methyl)pyridin-1-ium-κ3N,O,O′)iron(III), C15H16Cl2N3O4Fe
- Crystal structure of catena-poly[diaqua-(μ2-4,4′-bipyridine-κ2N:N′)-bis(2,3,4,5-tetrabromo-6-carboxybenzoato-κ1O)-nickel(II)], C26H14Br8NiN2O10
- Crystal structure of diethanol-κ1O-bis(μ2-N-((2-oxidonaphthalen-1-yl)methylene)pyrazine-2-carbohydrazonato-κ5N,O,O′:O′:N′)-bis(nitrato-κ2O,O′)dieuropium(III), C36H32N10O12Eu2
- The crystal structure of 2-aminoisophthalic acid, C8H7NO4
- Crystal structure of (E)-2-(4-((3,4-difluorobenzyl)oxy)styryl)-4,6-dimethoxybenzaldehyde, C24H20F2O4
- Crystal structure of 2-benzoylpyrene, C23H14O
- Crystal structure of chlorido-(η6-p-cymene)-(N-(2-fluorophenyl)-1-(pyridin-2-yl)methanimine-κ2N,N′)ruthenium(II) – acetone (1/1), C22H23ClN2F7OPRu
- The crystal structure of 2-bromoisonicotinic acid, C6H4BrNO2
- Crystal structure of 1,3,5,7-tetraphenyl-8-(N-phenylformamido)-2-oxa-5-azabicyclo[4.2.0]oct -3-en-7-yl benzoate, C44H34N2O4
- Synthesis and crystal structure of 4-(3-acetyl-5-(thiophen-2-yl)-2,3-dihydro-1,3,4-oxadiazol-2-yl)-7-(diethylamino)-2H-chromen-2-one, C21H21N3O4S
- Crystal structure of poly[diaqua-(μ2-4,4′-bipyridine-κ2N:N′)-(μ2-3,4,5,6-tetrafluorophthalato-κ2O:O′)nickel(II)], C18H12F4NiN2O6
- Crystal structure of 4-hydroxynaphtho[2,3-b]benzofuran-6,11-dione, C16H8O4
- The crystal structure of 3,10-bis(4-methoxyphenyl)-6,12-dibenzyl-2,9-acetyl-6,12-diazapentacyclo[6.3.1.02,7.04,11.05,9]dodecane – acetone (1/1), C45H48N2O5
- The crystal structure of (E)-2-(((2-(1H-indol-3-yl)ethyl)iminio)methyl)-6-bromophenolate, C17H15N2BrO
- Crystal structure of catena-poly[diaqua-(μ2-oxalyl dihydrazide-κ4N,O:N′,O′)-bis(μ2-pyridine-2,3-dicarboxylato-κ3N,O,O′)dicadmium(II)] hexahydrate, C16H28O18N6Cd2
- Crystal structure of poly[tetra-(μ4-naphthalene-1,8-dicarboxylato-κ4O:O,O′: O′′:O′′,O′′′)-(μ4-oxo-κ4O:O:O:O) penta-lead(II)], C48H24O17Pb5
- Crystal structure of 5H-dibenzo[c,f][1,5]oxabismocin-12 (7H)-yl acetate, C16H15O3Bi
- The crystal structure of 2-(4-chloro-6-nitrophenyl)-1-(4-chloro-3-nitrophenyl)diazene 1-oxide, C12H6Cl2N4O5
- Crystal structure of bis(3-methyl-N-(1-(pyrazin-2-yl)ethylidene)benzohydrazonato-κ3O,N,N′)nickel(II), C28H26N8O2Ni
- Crystal structure of 3,10-bis(4-chlorophenyl)-6,12-dibenzyl-2,9-acetyl-6,12-diazapentacyclo[6.3.1.02,7.04,11.05,9]-dodecane, C40H36Cl2N2O2
- Crystal structure of bis[(μ2-4⋯O,O′:O′)-(4-hydroxybenzoato-κ2O,O′)-(1,10-phenanthroline-κ2N,N′)]-di-lead(II)μ-4-hydroxybenzoato-κ3O,O′:O′;κ3O,O′:O′-bis-[(4-hydroxybenzoato-κ2O,O′)bis(1,10-phenanthroline-κ2N,N′)di-lead(II)] monohydrate, C52H36N4O12Pb2 ⋅ H2O
- Crystal structure of poly[diaqua-(μ3-3,4,5,6-tetrafluoro-phthalato-κ3O:O′:O′′)-(μ2-1,2-bis(4-pyridyl)ethene-κ2N:N′)cobalt(II)], C14H9CoF4NO6
- Crystal structure of 7-hydroxy-4-phenyl-2H-chromen-2-one, C15H10O3
- Crystal structure of 3,7-dimethyl-1-(5-oxohexyl)-3,7-dihydro-1H-purine-2,6-dione 4-hydroxybenzoic acid, C20H24N4O6
- Crystal structure of catena-poly[(μ2-1,5-dimethyl-2-phenyl-4-((pyridin-4-ylmethylene)amino)-1,2-dihydro-3H-pyrazol-3-one-κ2N:O)-bis(nitrato-κ1O)zinc(II)], C17H16N6O7Zn
- The crystal structure of diaqua-bis(6-aminopicolinato-κ2N,O)magnesium(II), C12H14O6N4Mg
- Crystal structure of (pyridine-2-carboxamide-κ2N,O)-[tris((1H-benzo[d]imidazol-2-yl)methyl)amine-κ4N,N′,N′′,N′′′]nickel(II) diperchlorate — methanol (1/3), C33H39Cl2N9NiO12
- Crystal structure of catena-poly[diaqua-bis(3-(4-trifluoromethyl-phenyl)-acrylato-κO1)-(μ2-1,4-bis(1-imidazolyl)benzene-κ2N3:N3′)cobalt(II)], C32H26CoF6N4O6
- Crystal structure of (E)-3-(2-(2-hydroxy-4-methoxystyryl)-3,3-dimethyl-3H-indol-1-ium-1-yl)propane-1-sulfonate monohydrate, C22H25NO5S⋅H2O
- The crystal structure of bis(N-oxy-2-(1H-tetrazol-1-yl) acetamide κ2O,O′)-diaqua-zinc(II), C6H12ZnN10O6
- Crystal structure of (E)-4-((4-chlorophenylimino)methyl)pyridinium 3,5-dinitrobenzoate, C19H13ClN4O6
- Crystal structure of dichlorido-bis((E)-2-((pyridin-4-ylmethylene)amino)phenol)zinc(II), C24H20Cl2N4O2Zn
- Crystal structure of cyclo-[tetrachlorido-bis(μ2-p-xylylenediamine-κ2N:N′)dipalladium(II)] dimethyl sulfoxide solvate, C20H36Cl4N4O2Pd2S2
- Crystal structure of 4-(3-fluorophenyl)-7-hydroxy-2H-chromen-2-one, C15H9FO3
- Crystal structure of (E)-2-((2-(pyrimidin-2-yl)hydrazono)methyl)quinolin-1-ium perchlorate – methanol (1/1), C15H16N5O5Cl
- The crystal structure of bis(N-(amino(pyridin-2-yl)methylene)-5-chloro-2-hydroxybenzohydrazonato-κ3N,N′,O)zinc(II) – methanol (2/5), C57H60Cl2N16O13Zn2
- Synthesis and crystal structure of 4,4′-di(4-pyridyl)-6,6′-di(tert-butyl)-2,2′-[propylenedioxybis(nitrilomethylidyne)]diphenol, C35H40N4O4
- Crystal structure of (3E,3′E)-3,3′-((1,3,4-thiadiazole-2,5-diyl)bis(sulfanediyl))bis(4-hydroxy-4-phenylbut-3-en-2-one), C22H18N2O4S3
- Crystal structure of (N-benzyl-N-methyl-dithiocarbamato-κ2S,S′)di(4-chlorobenzyl)chloridotin(IV), C23H22Cl3NS2Sn
- Crystal structure of (1,4,7,10,13,16-hexaoxacyclooctadecane-κ6O6) sodium bromide hydrate, [Na(18-crown-6)]Br ⋅ H2O, C12H26BrNaO7
- Crystal structure of 7-ethoxyl-6,8-difluoro-4-oxo-1-phenyl-1,4-dihydro-quinoline-3-carboxylic acid, C18H13F2N1O4
- Crystal structure of chlorido (2-(4-ethylphenyl)pyrimidine-k2C,N)(triphenylphosphane-kP) palladium(II), C30H26ClN2PPd
- Crystal structure of 18-crown-6 – 1,4-diiodotetrafluorobenzene – acetonitrile (1/1/2), C22H30F4I2N2O6
- Crystal structure of diisobutyl 2,5-dihydroxycyclohexa-1,4-diene-1,4-dicarboxylate, C16H24O6
- Crystal structure of poly[[tris(μ2-cis-1,2-cyclohexanedicarboxylato)-κ2O, O′]-bis[μ3-1,3,5-tris[(1H-imidazol-1-yl)methyl]benzene-κ3N, N′,N′′]-trizinc(II)] – water (1/20), C60H106N12O32Zn3
- The synthesis and crystal structure of 5-amino-1-(2,6-dichloro-4-(trifluoromethyl)phenyl)-4-((trifluoromethyl)sulfinyl)-1H-pyrazole-3-carboxamide–tetrahydrofuran (1/1), C16H14N4Cl2F6O3S
- Crystal structure of dimethylbis(diisopropyldithiocarbamato-κ2S,S′)tin(IV), C16H34N2S4Sn
- Crystal structure of diisopropyl 2,5-dihydroxycyclohexa-1,4-diene-1,4-dicarboxylate, C14H20O6
- The synthesis and crystal structure of ethyl (E)-1-(2,6-dichloro-4-(trifluoromethyl)phenyl)-5-((2-methoxybenzylidene)amino)-4-((trifluoromethyl)sulfinyl)-1H-pyrazole-3-carboxylate, C22H15N3Cl2F6O4S
- The crystal structure of a matrine derivative, 13-(methylamine-1-yl) carbodithioate matrine, C17H27N3OS2
- Crystal structure of bis(2-hydroxy-6-((phenylimino)methyl)phenolato-κ2N,O)copper(II), C26H20CuN2O4
- The crystal structure of 2-p-fluorophenyl-5-dihydroxymethyl-1,3,4-oxadiazole, C9H7FN2O3
- Crystal structure of dichloridobis(4-chlorophenyl-κC1)(1,10-phenanthroline-κ2N,N′)tin(IV), C24H16Cl4N2Sn
- Crystal structure of bis{bromido-triphenyltin(IV)}(μ2-[4,4′-bipyridine]1,1′-dioxide-κ2O:O′), C46H38Br2N2O2Sn2
- Crystal structure of 2-(5-chloro-quinolin-8-yloxy)-N-quinolin-8-yl-acetamide, C20H14N3O2Cl
- Crystal structure of bis(N-(1-(3-ethylpyrazin-2-yl)ethylidene)-3-hydroxy-2-naphthohydrazonato-κ3N,N′,O)cobalt(II) — dimethylformamide (1/1), C41H41N9O5Co
- Crystal structure of bis[2-(1-(3-ethylpyrazin-2-yl)ethylidene)-1-tosylhydrazin-1-ido-κ3-N,N′,O]copper(II), C30H34N8O4S2Cu
- Crystal structure of (2-p-tolylpyrimidine-κ2C,N)(triphenylphosphane-κP) palladium(II), C29H24ClN2PPd
- Halogen bonding in crystal structure of bis(1,4,7,10-tetraoxacyclododecane-κ4O,O′,O′′,O′′′)cesium triiodide, C16H32CsI3O8
- The synthesis and crystal structure of N-(3-cyano-1-(2,6-dichloro-4-(trifluoromethyl)phenyl)-4-(trifluoromethylsulfinyl)-1H-pyrazol-5-yl)-2-phenylacetamide, C20H10N4Cl2F6O2S
- The crystal structure of 4-(trifluoromethyl)nicotinic acid, C7H4F3NO2
- Crystal structure of 3-(2-methylbenzyl)thiazolidin-2-one, C11H13ONS
- The crystal structure of 2,2,2-trifluoro-1-(isoquinolin-1-yl)ethane-1,1-diol, C11H8F3NO2
- The crystal structure of 3-bromoisonicotinic acid, C6H4BrNO2
- The crystal structure of 5-nitropicolinic acid monohydrate, C6H6N2O5
- The crystal structure of 3-(4-hydroxybenzyl)-1,5-dioxaspiro[5.5]undecane-2,4-dione, C16H18O5
- Crystal structure of [[Mo3Se7(S2CNEt2)3]2(μ-Se)] ⋅ 2(C6H4Cl2), C42H68Cl4Mo6N6S12Se15
- Crystal structure of (E)-4-hydroxy-3-((5-phenyl-1,3,4-oxadiazol-2-yl)thio)pent-3-en-2-one, C13H12N2O3S
- The crystal structure of (2,3-dioxo-5,6:13,14-dibenzo-9,10-benzo-1,4,8,11-7, 11-diene-κ4N,N′,N′′,N′′′)-nickel(II), Ni(C22H14N4O2)
- Crystal structure of 3-(1-benzyl-2-ethyl-4-nitro-1H-imidazol-5-ylthio)-propanoic acid, C15H17N3O4S
- The crystal structure of dichlorobis(2-(dicyclohexylphosphino)-2′,4′,6′-tri-i-propyl-1,1′-biphenyl) palladium(II)-dichloroform, C68H100Cl8P2Pd
- Crystal structure and antimicrobial properties of (1,4,7,10-tetraoxacyclododecane-κ4O,O′,O′′,O′′′)cesium(I) pentaiodide, C16H32CsI5O8