Abstract
C19H19NO7, monoclinic, P21/n (no. 14), a = 9.140(2) Å, b = 14.233(2) Å, c = 13.847(3) Å, β = 99.246(4)°, V = 1777.9(6) Å3, Z = 4, Rgt(F) = 0.0413, wRref(F2) = 0.0979, T = 296 K.

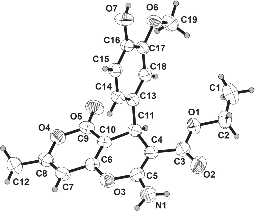
The crystal structure is shown in the figure. Tables 1 and 2 contain details on crystal structure and measurement conditions and a list of the atoms including atomic coordinates and displacement parameters.
Data collection and handling.
| Crystal: | Colourless block |
| Size: | 0.29 × 0.27 × 0.25 mm |
| Wavelength: | Mo Kα radiation (0.71073 Å) |
| μ: | 0.11 mm−1 |
| Diffractometer, scan mode: | Bruker APEX-II, φ and ω-scans |
| θmax, completeness: | 25.0°, >99% |
| N(hkl)measured, N(hkl)unique, Rint: | 8810, 3111, 0.051 |
| Criterion for Iobs, N(hkl)gt: | Iobs > 2 σ(Iobs), 1853 |
| N(param)refined: | 249 |
| Programs: | Bruker [1], SHELX [2], Olex2 [3] |
Fractional atomic coordinates and isotropic or equivalent isotropic displacement parameters (Å2).
| Atom | x | y | z | Uiso*/Ueq |
|---|---|---|---|---|
| N1 | 0.8270(2) | 0.33993(13) | 0.03833(13) | 0.0692(6) |
| H1A | 0.850391 | 0.391232 | 0.011737 | 0.083* |
| H1B | 0.868720 | 0.287963 | 0.026400 | 0.083* |
| O1 | 0.58951(16) | 0.57310(10) | 0.11576(9) | 0.0591(4) |
| O2 | 0.75684(18) | 0.52437(11) | 0.02467(11) | 0.0736(5) |
| O3 | 0.71027(15) | 0.25054(9) | 0.13173(10) | 0.0581(4) |
| O4 | 0.38785(15) | 0.18275(10) | 0.28955(10) | 0.0564(4) |
| O5 | 0.31597(16) | 0.33089(10) | 0.29749(11) | 0.0661(4) |
| O6 | 0.53314(14) | 0.64093(9) | 0.46671(9) | 0.0531(4) |
| O7 | 0.78860(15) | 0.56742(11) | 0.56443(10) | 0.0649(4) |
| H7 | 0.727858 | 0.600274 | 0.586277 | 0.097* |
| C1 | 0.4996(3) | 0.72633(16) | 0.1297(2) | 0.0797(8) |
| H1C | 0.402731 | 0.698425 | 0.117871 | 0.119* |
| H1D | 0.494914 | 0.788607 | 0.102793 | 0.119* |
| H1E | 0.533836 | 0.729367 | 0.198937 | 0.119* |
| C2 | 0.6038(2) | 0.66835(15) | 0.08263(16) | 0.0622(6) |
| H2A | 0.578590 | 0.671790 | 0.011950 | 0.075* |
| H2B | 0.704744 | 0.690447 | 0.101664 | 0.075* |
| C3 | 0.6735(2) | 0.50660(15) | 0.08261(15) | 0.0530(5) |
| C4 | 0.6503(2) | 0.41533(14) | 0.12483(13) | 0.0472(5) |
| C5 | 0.7263(2) | 0.34095(15) | 0.09799(14) | 0.0510(5) |
| C6 | 0.5992(2) | 0.23369(14) | 0.18500(14) | 0.0478(5) |
| C7 | 0.5797(2) | 0.13730(14) | 0.20731(15) | 0.0546(6) |
| H7A | 0.639071 | 0.091303 | 0.185722 | 0.066* |
| C8 | 0.4758(2) | 0.11433(14) | 0.25915(15) | 0.0521(5) |
| C9 | 0.4029(2) | 0.27763(15) | 0.26824(15) | 0.0502(5) |
| C10 | 0.5169(2) | 0.30356(13) | 0.21438(13) | 0.0440(5) |
| C11 | 0.5463(2) | 0.40610(13) | 0.19883(13) | 0.0452(5) |
| H11 | 0.452284 | 0.436670 | 0.172419 | 0.054* |
| C12 | 0.4367(3) | 0.01875(14) | 0.29104(16) | 0.0692(7) |
| H12A | 0.450029 | 0.016446 | 0.361199 | 0.104* |
| H12B | 0.499751 | −0.026999 | 0.267606 | 0.104* |
| H12C | 0.335147 | 0.005285 | 0.264845 | 0.104* |
| C13 | 0.6083(2) | 0.45223(13) | 0.29701(13) | 0.0432(5) |
| C14 | 0.7380(2) | 0.41862(13) | 0.34955(13) | 0.0473(5) |
| H14 | 0.786934 | 0.368971 | 0.324873 | 0.057* |
| C15 | 0.7966(2) | 0.45783(13) | 0.43870(13) | 0.0474(5) |
| H15 | 0.884697 | 0.434470 | 0.473379 | 0.057* |
| C16 | 0.7258(2) | 0.53106(13) | 0.47655(13) | 0.0450(5) |
| C17 | 0.5936(2) | 0.56602(13) | 0.42356(13) | 0.0426(5) |
| C18 | 0.5371(2) | 0.52644(13) | 0.33479(13) | 0.0446(5) |
| H18 | 0.449509 | 0.549854 | 0.299477 | 0.054* |
| C19 | 0.3978(2) | 0.67833(15) | 0.41644(16) | 0.0640(6) |
| H19A | 0.413728 | 0.704053 | 0.354887 | 0.096* |
| H19B | 0.363328 | 0.726909 | 0.455316 | 0.096* |
| H19C | 0.324961 | 0.629277 | 0.405184 | 0.096* |
Source of material
A mixture of 4-hydroxy-6-methyl-pyran-2-one (10 mmol), 4-hydroxy-3-methoxybenzaldehyde (10 mmol), ethyl cyanoacetate (10 mmol) and 4-(dimethylamino)pyridine (DMAP) (1 mmol) in ethanol (100 mL) was refluxed for 2–3 h and then cooled to room temperature. After filtering the precipitates, they were sequentially washed with ice-cooled water and ethanol and then dried under a vacuum.
Experimental details
H atoms bonded to C and N atoms were positioned geometrically and refined using a riding model, with C—H = 0.93/0.96 Å and N—H = 0.86 Å with Uiso(H) = 1.2 times Ueq(C) and 1.2 times Ueq(N).
Comment
Many molecules containing a pyran moiety exhibit interesting pharmacological properties and biological activities [4], [5]. As an ongoing part of our investigations, we report the preparation and structure of the title compound.
In the crystal structure of the title compound (Figure), one methyl group is connected to the ring with the keto function. One ethyl ester group and one amino group are linked to the pyran ring, one phenyl group is connected to the pyran ring by C12—C13 atoms. All bond lengths fall in their normal ranges compared with those in previously studies. The features of the title compound are similar with those in the compound 2-amino-7-methyl-5-oxo-4-phenyl-4H,5Hpyrano[4,3-b]pyran-3-carbonitrile [6]. But there are many more crystal structures which feature the 4H,5H-pyrano-[4,3-b]pyran core (for example see [7], [8]).
References
1. Bruker. APEX2, SAINT and SADABS. Bruker AXS Inc., Madison, WI, USA (2008).Search in Google Scholar
2. Sheldrick, G. M.: Crystal structure refinement with SHELXL. Acta Crystallogr. C71 (2015) 3–8.10.1107/S2053229614024218Search in Google Scholar PubMed PubMed Central
3. Dolomanov, O. V.; Bourhis, L. J.; Gildea, R. J.; Howard, J. A. K.; Puschmann, H.: OLEX2: a complete structure solution, refinement and analysis program. J. Appl. Crystallogr. 42 (2009) 339–341.10.1107/S0021889808042726Search in Google Scholar
4. Li, J.; Xue, X.-Y.; Li, X.; Hou, Z.; Yang, X.-H.; Qu, D.; Zhou, Y.; Zhang, Z.-D.; Luo, X.-X.; Li, J.-T.; Li, M.-K.: Synthesis of biscoumarin and dihydropyran derivatives as two novel classes of potential anti-bacterial derivatives. Arch. Pharmacal Res. 39 (2016) 1349–1355.10.1007/s12272-015-0614-7Search in Google Scholar PubMed
5. Li, C.; Guo, D.; Zhao, J.; Zhang, K.; Nie, L.: Two novel pyran annulated heterocyclic compounds for inhibiting growth of human osteosarcoma cells. Lat. Am. J. Pharm. 35 (2016) 421–424.Search in Google Scholar
6. Li, J.; Hou, Z.; Li, F.; Zhang, Z.-D.; Zhou, Y.; Luo, X.-X.; Li, M.-K.: Synthesis, photoluminescent, antibacterial activities and theoretical studies of 4-hydroxycoumarin derivatives. J. Mol. Struct. 1075 (2014) 509–514.10.1016/j.molstruc.2014.07.010Search in Google Scholar
7. Yan, G.: Crystal structure of ethyl 2-amino-4-(3,4-dimethylphenyl)-7-methyl-5-oxo-4H,5H-pyrano[4,3-b]pyran-3-carboxylate, C20H21NO5. Z. Kristallogr. NCS 233 (2018) 997–998.10.1515/ncrs-2018-0106Search in Google Scholar
8. Bassou, O.; Chicha, H.; Bouissane, L.; Rakib, E. M.; Saadi, M.; El Ammari, L.: Ethyl (E)-2-(2,7-dimethyl-5-oxo-4H,5H-pyrano[4,3-b]pyran-4-ylidene)acetate. IUCrData 2 (2017) x170208.10.1107/S2414314617002085Search in Google Scholar
©2019 Xiao-Qiong Zeng et al., published by De Gruyter, Berlin/Boston
This work is licensed under the Creative Commons Attribution 4.0 Public License.
Articles in the same Issue
- Cover and Frontmatter
- Crystal structure of 1H-indole-5-carboxylic acid – 4,4′-bipyridine (2/1), C14H11N2O2
- Crystal structure of ethyl 2-amino-4-(4-ethoxyphenyl)-5-oxo-4H,5H-pyrano[3,2-c] chromene-3-carboxylate, C23H21NO6
- Crystal structure of ethyl 2-amino-4-(4-bromothiophen-2-yl)-5-oxo-5,6,7,8-tetrahydro-4H-chromene-3-carboxylate, C16H16BrNO4S
- The crystal structure of 6-amino-2-methyl-8-(4-(methylthio)phenyl)-2,3,8,8a-tetrahydroisoquinoline-5,7,7(1H)-tricarbonitrile – ethanol (1/1), C20H19N5S
- Crystal structure of 6-amino-8-(4-isopropylphenyl)-2-methyl-2,3,8,8a-tetrahydroisoquinoline-5,7,7(1H)-tricarbonitrile-ethanol (1/1), C24H29N5O
- Crystal structure of 1,1′-(ethane-1,2-diyl)bis(3-ethyl-1H-imidazol-3-ium)bis(hexafluorido phosphate), C12H20F12N4P2
- Crystal structure of dimethyl (3aS,6R,6aS,7S)-2-pivaloyl-2,3-dihydro-1H,6H,7H-3a,6:7,9a-diepoxybenzo[de]isoquinoline-3a1,6a-dicarboxylate, C21H25NO8
- Crystal structure of methyl 4-(4-bromothiophen-2-yl)-2,7,7-trimethyl-5-oxo-1,4,5,6,7,8-hexahydroquinoline-3-carboxylate, C18H20BrNO3S
- Hydrothermal synthesis and crystal structure of catena-poly[bis(4-((pyridin-4-ylmethyl)amino)benzoato-κ3N:O,O′)zinc(II) – 1,2-di(pyridin-4-yl)ethene – water (1/1/1), C38H34N6O5Zn
- The crystal structure of 1,2-dimethyl-3,4-dinitrobenzene, C8H8N2O4
- Synthesis and crystal structure of trans-tetraaqua-bis(3-(((7-hydroxy-3-(4-hydroxy-3-sulfonatophenyl)-4-oxo-4H-chromen-8-yl)methyl)ammonio)propanoato-κO)zinc(II) tetrahydrate, C38H48N2O26S2Zn
- Crystal structure of diaqua-bis(μ2-6-chloropyridin-2-olato-κ3N,O:O)-tetrakis(chloropyridin-2-olato-κ1O)-bis(penanthroline-κ2N,N′)diterbium(III), C54H38Cl6Tb2N10O8
- Crystal structure of oxidobis(piperidine-1-carbodithioato-κ2S,S′)vanadium(IV), C12H20N2OS4V
- Crystal structure of 2-((tert-butyldimethylsilyl)oxy)-5-methylisophthalaldehyde, C15H22O3Si
- Crystal structure of catena-poly[tetraiodido-(μ2-1,4-bis(2-methyl-1H-imidazol-1-yl)benzene-κ2N:N′)dimercury(II)], C14H14Hg2I4N4
- Crystal structure of tetrakis(n-butyl)-(μ2-1,2-bis(2-oxidobenzoyl)hydrazine-1,2-diido-κ6N,O,O′:N′,O′′,O′′′)ditin(IV), C30H44N2O4Sn2
- Crystal structure of ethyl 2-amino-4-(4-hydroxy-3-methoxyphenyl)-7-methyl-5-oxo-4H,5H-pyrano-[4,3-b]pyran-3-carboxylate, C19H19NO7
- Crystal structure of 3-aminopyrazine-2-carbohydrazide, C5H7N5O
- Crystal structure of ethanol-bis(N-((5-(ethoxycarbonyl)-3,4-dimethyl-1H-pyrrol-2-yl)methylene)benzohydrazonato-κ2N,O)copper(II), C36H42N6O7Cu
- Crystal structure of 3-methyl-2-oxo-2H-chromen-7-yl propionate, C13H12O4
- Crystal structure of 2-(dimethylamino)ethyl 4-aminobenzoate, C11H16N2O2
- Crystal structure of 3-(benzo[d]thiazol-2-ylamino)isobenzofuran-1(3H)-one, C15H10N2O2S
- Crystal structure of 3-((1H-benzo[d]imidazol-2-yl)amino)-2-(1H-benzo[d]imidazol-2-yl)isoindolin-1-one, C22H16N6O
- Crystal structure of (2,2′-bipyridine-κ2N,N′)bis(4-(dimethylamino)phenyldiphenylphosphane-κP)copper(I) tetrafluoroborate, C50H48BCuF4N4P2
- Crystal structure of citric acid–acetonitrile (1/1), C8H11NO7
- Crystal structure of diethyl 2-(4-methoxyphenyl)-1-phenyl-1,2-dihydropyridine-3,5-dicarboxylate, C24H25NO5
- The crystal structure of poly[triaqua-bis(μ3-2,5-dihydroxyterephthalato-κ4O,O′:O′′:O′′′)-(μ4-oxalato-κ4O,O′:O′′,O′′′)cerium(III)], C9H10CeO11
- Crystal structure of 1-(5-(anthracen-9-yl)-3-(4-hydroxyphenyl)-4,5-dihydro-1H-pyrazol-1-yl)propan-1-one, C26H22N2O2
- Synthesis and crystal structure of 5-(8-(((2-carboxyethyl)ammonio)methyl)-7-hydroxy-4-oxo-4H-chromen-3-yl)-2-hydroxybenzenesulfonate trihydrate, C19H23NO12S
- Crystal structure of rac-trans-6,6′-((cyclohexane-1,2-diylbis(azanylylidene))bis(methanylylidene))bis(2-bromophenolato-κ4N,N′,O,O′)-bis(methanol)cobalt(III) chloride, C22H25Br2Co8N2O4Cl
- Crystal structure of 1-((R)-(2′-(dimethylamino)-[1,1′-binaphthalen]-2-yl))-3-((S)-2-hydroxy-1-phenylethyl)thiourea, C31H29N3OS
- Crystal structure and photochemical property of 1,8-bis(p-tolylthio)pyrene, C30H22S2
- Crystal structure of 2-(2-(2-amino-6-chloro-9H-purin-9-yl)ethyl)propane-1,3-diyl diacetate, C14H18ClN5O4
- Crystal structure of ethyl 5-amino-1-(pyridin-2-yl)-1H-pyrazole-4-carboxylate, C11H12N4O2
- Crystal structure of trichloro-(4-chloro-2,6-bis(diphenylmethyl)-N-((pyridin-2-yl)methylene)aniline)-aluminum dichloromethane solvate, C39H31AlCl6N2
- Bis(ethanol-κO)-bis(6-aminopicolinato-κ2N,O)magnesium(II), C16H22O6N4Mg
- Crystal structure of catena-poly[aqua-(μ2-1,7-dicarba-closo-dodecaborane-1,7-dicarboxylato-κ2O:O′)-(1,10-phenanthrolin-κ2N,N′)copper(II)], C16H20B10CuN2O5
- Crystal structure of (1,2-dicarba-closo-dodecaborane-1,2-dithiolato κ2S,S′)-bis(1,10-phenanthroline κ2N,N′)zinc(II), C26H26B10Zn4S2
- Crystal structure of diaqua-bis(1,10-phenanthroline-κ2N,N′)-bis(1,7-dicarba-closo-dodecaborane-1,7-dicarboxylato-κ3O,O′:O′′) dicobalt(II) — ethanol (1/1), C34H46B20Co2N4O11
- Crystal structure of ((5,5′-dimethoxy-2,2′-(1,2-phenylenebis(nitrilomethylidyne)))diphenolato-κ4O,N,O′,N′)copper(II), C22H18N2CuO4
- Crystal structure of 1-(5-bromo-2-(4-methoxyphenyl)-1H-indol-7-yl)ethan-1-ol, C17H14BrNO2
- Crystal structure of (E)-2-(((6-bromopyridin-2-yl)methylene)amino)-3′,6′-bis(diethylamino)spiro[isoindoline-1,9′-xanthen]-3-one, C34H34N5O2Br
- Crystal structure of (Z)-2-((adamantan-1-ylimino)methyl)-5-methoxyphenol, C18H23NO2
- Crystal structure of bis((E)-2-ethoxy-6-(((2-hydroxyethyl)imino)methyl)phenolato-κ2N,O)copper(II), C22H28N2CuO6
- Crystal structure of 2,3-diphenyl-5,6-bis(4-methoxyphenyl)pyrazine, C30H24N2O2
- Crystal structure of dichlorido bis[1-((2,4-dimethyl-1H-imidazol-1-yl)methyl)-1H-benzo[d][1,2,3]triazole-κN]cadmium(II), Cd(C12H13N5)2Cl2
- The crystal structure of 1,5-di(naphthalen-2-yl)-3-(pyridin-2-yl)pentane-1,5-dione, C30H23NO2
- The crystal structure of 2-((3-methylthiophen-2-yl)methylene)malononitrile, C9H6N2S
- The crystal structure of 1,4-dinitroso-2,3,5,6-tetraacetoxy-piperazine, C12H16N4O10
- Crystal structure of bis(2,4,6-trichlorophenyl) malonate, C15H6Cl6O4
- The crystal structure of trans-dichlorido-bis(pyridine-2-carboxylato-κ2N,O)platinum(IV), C12H8Cl2N2O4Pt
- Crystal structure of 3-nitroquinoline 1-oxide, C9H6N2O3
- Crystal structure of 2-(piperidin-1-ium-4-yl)-1H-benzo[d]imidazol-3-ium dichloride dihydrate, C12H21Cl2N3O2
- Crystal structure of (4S,4aS,6aR,6bR,12aS,12bR,14aS,14bR)-3,3,6a,6b,9,9,12a-heptamethyloctadecahydro-1H,3H-4,14b-ethanophenanthro[1,2-h]isochromene, C30H50O
- Crystal structure of (E)-4-((2-fluoro-3-(trifluoromethyl)benzylidene)amino)-3-methyl-1H-1,2,4-triazole-5(4H)-thione, C11H8F4N4S
- Crystal structure of 5-(4-fluorophenyl)-4-methyl-2,4-dihydro-3H-1,2,4-triazole-3-thione, C9H8FN3S
- Crystal structure of catena-poly[(1-(4-fluorophenyl)-N–(5-((trimethylstannyl)thio)-1,3,4-thiadiazol-2-yl)methanimine], (C12H14FN3S2Sn)n
- The crystal structure of 4-(methoxycarbonyl)benzoic acid, C9H8O4
- The crystal structure of N,N′-(6-(thiophen-2-yl)-1,3,5-triazine-2,4-diyl)bis(2-methylpropane-2-sulfonamide) – ethyl acetate(2/1), C34H54N10O6S6
- Crystal structure of N′-(1-(2-hydroxyphenyl)ethylidene)-5-methyl-1-phenyl-1H-1,2,3-triazole-4-carbohydrazide, C18H17N5O2
- Crystal structure of 3-(4-methoxyphenyl)-1-phenylprop-2-yn-1-one, C16H12O2
- Crystal structure of N′-(1-(benzofuran-2-yl)ethylidene)-2-cyanoacetohydrazide, C13H11N3O2
- Crystal structure of hexa-μ2-chlorido-μ4-oxido-tetrakis(1-vinyl-1H-imidazole-κN)tetracopper(II), C20H24Cu4Cl6N8O
- Crystal structure of N′-((1E,2E)-4-(7-methoxy-2-oxo-2H-chromen-8-yl)-2-methylbut-2-en-1-ylidene)-4-methylbenzenesulfonohydrazide, C22H22O5N2S
- Crystal structure of 2-acetyl pyrene, C18H12O
Articles in the same Issue
- Cover and Frontmatter
- Crystal structure of 1H-indole-5-carboxylic acid – 4,4′-bipyridine (2/1), C14H11N2O2
- Crystal structure of ethyl 2-amino-4-(4-ethoxyphenyl)-5-oxo-4H,5H-pyrano[3,2-c] chromene-3-carboxylate, C23H21NO6
- Crystal structure of ethyl 2-amino-4-(4-bromothiophen-2-yl)-5-oxo-5,6,7,8-tetrahydro-4H-chromene-3-carboxylate, C16H16BrNO4S
- The crystal structure of 6-amino-2-methyl-8-(4-(methylthio)phenyl)-2,3,8,8a-tetrahydroisoquinoline-5,7,7(1H)-tricarbonitrile – ethanol (1/1), C20H19N5S
- Crystal structure of 6-amino-8-(4-isopropylphenyl)-2-methyl-2,3,8,8a-tetrahydroisoquinoline-5,7,7(1H)-tricarbonitrile-ethanol (1/1), C24H29N5O
- Crystal structure of 1,1′-(ethane-1,2-diyl)bis(3-ethyl-1H-imidazol-3-ium)bis(hexafluorido phosphate), C12H20F12N4P2
- Crystal structure of dimethyl (3aS,6R,6aS,7S)-2-pivaloyl-2,3-dihydro-1H,6H,7H-3a,6:7,9a-diepoxybenzo[de]isoquinoline-3a1,6a-dicarboxylate, C21H25NO8
- Crystal structure of methyl 4-(4-bromothiophen-2-yl)-2,7,7-trimethyl-5-oxo-1,4,5,6,7,8-hexahydroquinoline-3-carboxylate, C18H20BrNO3S
- Hydrothermal synthesis and crystal structure of catena-poly[bis(4-((pyridin-4-ylmethyl)amino)benzoato-κ3N:O,O′)zinc(II) – 1,2-di(pyridin-4-yl)ethene – water (1/1/1), C38H34N6O5Zn
- The crystal structure of 1,2-dimethyl-3,4-dinitrobenzene, C8H8N2O4
- Synthesis and crystal structure of trans-tetraaqua-bis(3-(((7-hydroxy-3-(4-hydroxy-3-sulfonatophenyl)-4-oxo-4H-chromen-8-yl)methyl)ammonio)propanoato-κO)zinc(II) tetrahydrate, C38H48N2O26S2Zn
- Crystal structure of diaqua-bis(μ2-6-chloropyridin-2-olato-κ3N,O:O)-tetrakis(chloropyridin-2-olato-κ1O)-bis(penanthroline-κ2N,N′)diterbium(III), C54H38Cl6Tb2N10O8
- Crystal structure of oxidobis(piperidine-1-carbodithioato-κ2S,S′)vanadium(IV), C12H20N2OS4V
- Crystal structure of 2-((tert-butyldimethylsilyl)oxy)-5-methylisophthalaldehyde, C15H22O3Si
- Crystal structure of catena-poly[tetraiodido-(μ2-1,4-bis(2-methyl-1H-imidazol-1-yl)benzene-κ2N:N′)dimercury(II)], C14H14Hg2I4N4
- Crystal structure of tetrakis(n-butyl)-(μ2-1,2-bis(2-oxidobenzoyl)hydrazine-1,2-diido-κ6N,O,O′:N′,O′′,O′′′)ditin(IV), C30H44N2O4Sn2
- Crystal structure of ethyl 2-amino-4-(4-hydroxy-3-methoxyphenyl)-7-methyl-5-oxo-4H,5H-pyrano-[4,3-b]pyran-3-carboxylate, C19H19NO7
- Crystal structure of 3-aminopyrazine-2-carbohydrazide, C5H7N5O
- Crystal structure of ethanol-bis(N-((5-(ethoxycarbonyl)-3,4-dimethyl-1H-pyrrol-2-yl)methylene)benzohydrazonato-κ2N,O)copper(II), C36H42N6O7Cu
- Crystal structure of 3-methyl-2-oxo-2H-chromen-7-yl propionate, C13H12O4
- Crystal structure of 2-(dimethylamino)ethyl 4-aminobenzoate, C11H16N2O2
- Crystal structure of 3-(benzo[d]thiazol-2-ylamino)isobenzofuran-1(3H)-one, C15H10N2O2S
- Crystal structure of 3-((1H-benzo[d]imidazol-2-yl)amino)-2-(1H-benzo[d]imidazol-2-yl)isoindolin-1-one, C22H16N6O
- Crystal structure of (2,2′-bipyridine-κ2N,N′)bis(4-(dimethylamino)phenyldiphenylphosphane-κP)copper(I) tetrafluoroborate, C50H48BCuF4N4P2
- Crystal structure of citric acid–acetonitrile (1/1), C8H11NO7
- Crystal structure of diethyl 2-(4-methoxyphenyl)-1-phenyl-1,2-dihydropyridine-3,5-dicarboxylate, C24H25NO5
- The crystal structure of poly[triaqua-bis(μ3-2,5-dihydroxyterephthalato-κ4O,O′:O′′:O′′′)-(μ4-oxalato-κ4O,O′:O′′,O′′′)cerium(III)], C9H10CeO11
- Crystal structure of 1-(5-(anthracen-9-yl)-3-(4-hydroxyphenyl)-4,5-dihydro-1H-pyrazol-1-yl)propan-1-one, C26H22N2O2
- Synthesis and crystal structure of 5-(8-(((2-carboxyethyl)ammonio)methyl)-7-hydroxy-4-oxo-4H-chromen-3-yl)-2-hydroxybenzenesulfonate trihydrate, C19H23NO12S
- Crystal structure of rac-trans-6,6′-((cyclohexane-1,2-diylbis(azanylylidene))bis(methanylylidene))bis(2-bromophenolato-κ4N,N′,O,O′)-bis(methanol)cobalt(III) chloride, C22H25Br2Co8N2O4Cl
- Crystal structure of 1-((R)-(2′-(dimethylamino)-[1,1′-binaphthalen]-2-yl))-3-((S)-2-hydroxy-1-phenylethyl)thiourea, C31H29N3OS
- Crystal structure and photochemical property of 1,8-bis(p-tolylthio)pyrene, C30H22S2
- Crystal structure of 2-(2-(2-amino-6-chloro-9H-purin-9-yl)ethyl)propane-1,3-diyl diacetate, C14H18ClN5O4
- Crystal structure of ethyl 5-amino-1-(pyridin-2-yl)-1H-pyrazole-4-carboxylate, C11H12N4O2
- Crystal structure of trichloro-(4-chloro-2,6-bis(diphenylmethyl)-N-((pyridin-2-yl)methylene)aniline)-aluminum dichloromethane solvate, C39H31AlCl6N2
- Bis(ethanol-κO)-bis(6-aminopicolinato-κ2N,O)magnesium(II), C16H22O6N4Mg
- Crystal structure of catena-poly[aqua-(μ2-1,7-dicarba-closo-dodecaborane-1,7-dicarboxylato-κ2O:O′)-(1,10-phenanthrolin-κ2N,N′)copper(II)], C16H20B10CuN2O5
- Crystal structure of (1,2-dicarba-closo-dodecaborane-1,2-dithiolato κ2S,S′)-bis(1,10-phenanthroline κ2N,N′)zinc(II), C26H26B10Zn4S2
- Crystal structure of diaqua-bis(1,10-phenanthroline-κ2N,N′)-bis(1,7-dicarba-closo-dodecaborane-1,7-dicarboxylato-κ3O,O′:O′′) dicobalt(II) — ethanol (1/1), C34H46B20Co2N4O11
- Crystal structure of ((5,5′-dimethoxy-2,2′-(1,2-phenylenebis(nitrilomethylidyne)))diphenolato-κ4O,N,O′,N′)copper(II), C22H18N2CuO4
- Crystal structure of 1-(5-bromo-2-(4-methoxyphenyl)-1H-indol-7-yl)ethan-1-ol, C17H14BrNO2
- Crystal structure of (E)-2-(((6-bromopyridin-2-yl)methylene)amino)-3′,6′-bis(diethylamino)spiro[isoindoline-1,9′-xanthen]-3-one, C34H34N5O2Br
- Crystal structure of (Z)-2-((adamantan-1-ylimino)methyl)-5-methoxyphenol, C18H23NO2
- Crystal structure of bis((E)-2-ethoxy-6-(((2-hydroxyethyl)imino)methyl)phenolato-κ2N,O)copper(II), C22H28N2CuO6
- Crystal structure of 2,3-diphenyl-5,6-bis(4-methoxyphenyl)pyrazine, C30H24N2O2
- Crystal structure of dichlorido bis[1-((2,4-dimethyl-1H-imidazol-1-yl)methyl)-1H-benzo[d][1,2,3]triazole-κN]cadmium(II), Cd(C12H13N5)2Cl2
- The crystal structure of 1,5-di(naphthalen-2-yl)-3-(pyridin-2-yl)pentane-1,5-dione, C30H23NO2
- The crystal structure of 2-((3-methylthiophen-2-yl)methylene)malononitrile, C9H6N2S
- The crystal structure of 1,4-dinitroso-2,3,5,6-tetraacetoxy-piperazine, C12H16N4O10
- Crystal structure of bis(2,4,6-trichlorophenyl) malonate, C15H6Cl6O4
- The crystal structure of trans-dichlorido-bis(pyridine-2-carboxylato-κ2N,O)platinum(IV), C12H8Cl2N2O4Pt
- Crystal structure of 3-nitroquinoline 1-oxide, C9H6N2O3
- Crystal structure of 2-(piperidin-1-ium-4-yl)-1H-benzo[d]imidazol-3-ium dichloride dihydrate, C12H21Cl2N3O2
- Crystal structure of (4S,4aS,6aR,6bR,12aS,12bR,14aS,14bR)-3,3,6a,6b,9,9,12a-heptamethyloctadecahydro-1H,3H-4,14b-ethanophenanthro[1,2-h]isochromene, C30H50O
- Crystal structure of (E)-4-((2-fluoro-3-(trifluoromethyl)benzylidene)amino)-3-methyl-1H-1,2,4-triazole-5(4H)-thione, C11H8F4N4S
- Crystal structure of 5-(4-fluorophenyl)-4-methyl-2,4-dihydro-3H-1,2,4-triazole-3-thione, C9H8FN3S
- Crystal structure of catena-poly[(1-(4-fluorophenyl)-N–(5-((trimethylstannyl)thio)-1,3,4-thiadiazol-2-yl)methanimine], (C12H14FN3S2Sn)n
- The crystal structure of 4-(methoxycarbonyl)benzoic acid, C9H8O4
- The crystal structure of N,N′-(6-(thiophen-2-yl)-1,3,5-triazine-2,4-diyl)bis(2-methylpropane-2-sulfonamide) – ethyl acetate(2/1), C34H54N10O6S6
- Crystal structure of N′-(1-(2-hydroxyphenyl)ethylidene)-5-methyl-1-phenyl-1H-1,2,3-triazole-4-carbohydrazide, C18H17N5O2
- Crystal structure of 3-(4-methoxyphenyl)-1-phenylprop-2-yn-1-one, C16H12O2
- Crystal structure of N′-(1-(benzofuran-2-yl)ethylidene)-2-cyanoacetohydrazide, C13H11N3O2
- Crystal structure of hexa-μ2-chlorido-μ4-oxido-tetrakis(1-vinyl-1H-imidazole-κN)tetracopper(II), C20H24Cu4Cl6N8O
- Crystal structure of N′-((1E,2E)-4-(7-methoxy-2-oxo-2H-chromen-8-yl)-2-methylbut-2-en-1-ylidene)-4-methylbenzenesulfonohydrazide, C22H22O5N2S
- Crystal structure of 2-acetyl pyrene, C18H12O