Home The crystal structure of 6,6′-((1E,1′E)-hydrazine-1,2-diylidenebis(methaneylylidene)) bis(2-bromo-4-nitrophenol) — dimethylsulfoxide (1/2), C14H8Br2N4O6⋅2(C2H6OS)
Article Open Access

The crystal structure of 6,6′-((1E,1′E)-hydrazine-1,2-diylidenebis(methaneylylidene)) bis(2-bromo-4-nitrophenol) — dimethylsulfoxide (1/2), C14H8Br2N4O6⋅2(C2H6OS)

  • Ling Ma ORCID logo EMAIL logo , Ruoqi Yang and Jianqing Li
Published/Copyright: April 8, 2021

Abstract

C14H8Br2N4O6⋅2(C2H6OS), triclinic, P1 (no. 2), a = 6.1463(12) Å, b = 8.3637(16) Å, c = 12.461(3) Å, α = 85.578(5)°, β = 85.942(5)°, γ = 86.310(5)°, V = 635.9(2) Å3, Z = 1, Rgt(F) = 0.0601, wRref(F2) = 0.0983, T = 296 K.

CCDC no.: 2057510

Table 1 contains crystallographic data and Table 2 contains the list of the atoms including atomic coordinates and displacement parameters.

Table 1:

Data collection and handling.

Crystal:Yellow block
Size:0.30 × 0.25 × 0.20 mm
Wavelength:Mo Kα radiation (0.71073 Å)
μ:3.40 mm−1
Diffractometer, scan mode:Bruker photon 100, φ and ω
θmax, completeness:26.4°, >99%
N(hkl)measured, N(hkl)unique, Rint:8435, 2602, 0.068
Criterion for Iobs, N(hkl)gt:Iobs > 2σ(Iobs), 1586
N(param)refined:167
Programs:Bruker [1], [2], SHELX [3], [4]
Table 2:

Fractional atomic coordinates and isotropic or equivalent isotropic displacement parameters (Å2).

AtomxyzUiso*/Ueq
Br10.80364 (7)0.88181 (6)0.37022 (4)0.0516 (2)
S1a0.1498 (8)0.7024 (7)0.1549 (4)0.098 (2)
S1Ab0.2235 (6)0.6030 (5)0.0933 (3)0.1053 (17)
O30.1045 (10)0.5372 (6)0.1930 (4)0.149 (2)
N10.6809 (8)0.8227 (6)0.7922 (4)0.0699 (13)
O10.3997 (5)0.7028 (4)0.3952 (2)0.0489 (8)
H10.2972600.6439090.4012730.073*
N20.0921 (5)0.5454 (4)0.4953 (3)0.0393 (9)
O20.5654 (7)0.7917 (6)0.8726 (3)0.1033 (15)
O40.8570 (7)0.8809 (5)0.7921 (3)0.1037 (15)
C10.6473 (7)0.8123 (5)0.4991 (4)0.0378 (11)
C20.4607 (6)0.7271 (5)0.4921 (3)0.0338 (10)
C30.3478 (6)0.6703 (5)0.5883 (3)0.0363 (11)
C40.4199 (7)0.7021 (5)0.6864 (4)0.0428 (11)
H40.3445110.6667380.7502550.051*
C50.6048 (7)0.7866 (5)0.6891 (4)0.0453 (12)
C60.7191 (7)0.8418 (5)0.5959 (4)0.0427 (12)
H60.8436010.8983750.5992240.051*
C70.1569 (6)0.5777 (5)0.5845 (4)0.0388 (11)
H70.0819320.5419190.6484220.047*
C90.0650 (12)0.7526 (11)0.0366 (7)0.170 (4)
H9A0.1107550.669922−0.0108570.255*
H9B0.1253010.8517140.0087770.255*
H9C−0.0916280.7661090.0415110.255*
C100.4294 (12)0.7151 (10)0.1345 (5)0.143 (3)
H10A0.4906940.7240140.2024450.215*
H10B0.4605380.8080770.0871580.215*
H10C0.4924170.6204430.1027210.215*
  1. aOccupancy: 0.418(7), bOccupancy: 0.582(7).

Source of materials

All chemicals were analytical reagent grade and used without further purification. The title compound was prepared according to the synthetic route as following. Into a 100 mL round-bottom flask with a reflux condenser, 3-bromo-5-nitro-2-hydroxybenzaldehyde (10 mmol, 2.4668 g) were dissolved in 40 mL ethanol and added hydrazine hydrate (1 mmol, 60 μL) into it, refluxing 2 h later, the pale yellow precipitate of the compound was obtained (yield 89%). A few days later, yellow block crystals were obtained from DMSO. 1H NMR (600 MHz, DMSO-d6) (ppm): 9.262 (s, 2H, –HC=N–), 8.658 (s, 2H, Ph–H), 8.551 (s, 2H, Ph–H).

Experimental details

Data integrations were performed by the SAINT program [1], and the absorption data were modified by using the multiscan program SADABS [2]. Structural solutions and refinements were performed by using the SHELXS [3] and SHELXL programs [4]. The H atoms attached to C atoms were placed in calculated idealized positions and refined by a riding model.

Comment

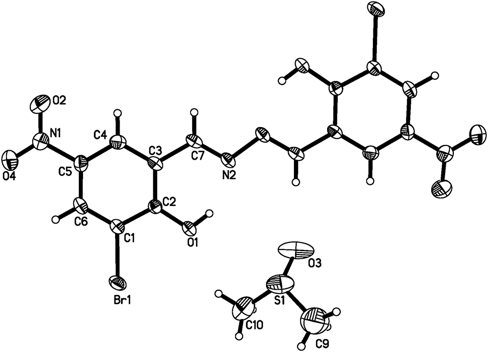
Salicylaldehyde azine (SAA) consists of salicylaldehyde and hydrazine, is a Schiff base with ESIPT process and its derivatives exhibit obvious aggregation-induced emission (AIE) characters with recognizable fluorescence performance which have been used widely in bioimaging and ions detection [5], [6]. Different SAA derivatives with specific spectral properties can be obtained [7], [8]. In this report a SA derivative, named 3-bromo-2-hydroxy-5-nitrobenzaldehyde which has an electron drawing group (–NO2) para to the hydroxyl group, was chosen to study the fluorescence properties and we got the crystal structure of the title compound unexpectedly.

The single-crystal X-ray diffraction revealed that title compound crystallized in the triclinic space group and it contains one dimethylsulfoxide (DMSO) molecule and one half of the hydrazine compound in the asymmetric unit. The aromatic carbon-carbon bond lengths deviate significantly, that the values of the C(3)–C(4) and C(1)–C(6) bond-distances are 1.380(6) and 1.359(6) Å respectively, which are shorter than the values of the remaining bond distances [9], [10]. The length of double bond C(7)–N(2), 1.261(5) Å, is very consistent with the value of 1.259(5) Å given by Safin for the length of carbon-nitrogen double bond of N,N′-bis(5-bromosalicylidene)diamines [10]. The two benzene rings are in trans configuration connected by N2–N2A bond, and are nearly coplanar (C6–C1–C2–O1: 179.9(4)°, O1–C2–C3–C7: 1.2(6)°, C3–C7–N2–N2A: 179.5(4)°, C4–C3–C7–N2: 178.6(4)°. In addition, there are weak interactions in the structure. Firstly, the intramolecular O1–H1···N2 hydrogen bonds form a six-membered ring, generating a S(6) ring motif [11]. Secondly, π···π interactions between aromatic rings are also contained in the structure. The molecules are nearly planar and are arranged in parallel packing, meanwhile the distance between atom N2 and Cg (C1–C2–C3–C7–Br1–O1–N2) is 3.33 Å.


Corresponding author: Ling Ma, Department of Chemistry and Chemical Engineering, Jinzhong University, Jinzhong, Shanxi030619, P. R. China, E-mail:

Funding source: Construction Plan of ‘1331 Engineering’ Fluorescent Probe Team

Award Identifier / Grant number: jzxycktd2019038

Award Identifier / Grant number: 21671124

  1. Author contributions: All the authors have accepted responsibility for the entire content of this submitted manuscript and approved submission.

  2. Research funding: Research Fund for Construction Plan of ‘1331 Engineering’ Fluorescent Probe Team (jzxycktd2019038) and the National Natural Science Foundation of China (Grant no. 21671124).

  3. Conflict of interest statement: The authors declare no conflicts of interest regarding this article.

References

1. Bruker. SAINT; Bruker AXS Inc.: Madison, Wisconsin, USA, 2012.Search in Google Scholar

2. Bruker. SADABS; Bruker AXS Inc.: Madison, Wisconsin, USA, 2001.Search in Google Scholar

3. Sheldrick, G. M. A short history of SHELX. Acta Crystallogr. 2008, A64, 112–122; https://doi.org/10.1107/s0108767307043930.Search in Google Scholar

4. Sheldrick, G. M. Crystal structure refinement with SHELXL. Acta Crystallogr. 2015, C71, 3–8; https://doi.org/10.1107/s2053229614024218.Search in Google Scholar

5. Lu, W., Chen, J. C., Shi, J. Z., Xu, L., Yang, S. L., Gao, B. H. A novel quinoline-based turn-on fuorescent probe for the highly selective detection of Al(III) and its bioimaging in living cells, plants tissues and zebrafsh. J. Biol. Inorg. Chem. 2021; https://doi.org/10.1007/s00775-020-01836-6.10.1007/s00775-020-01836-6Search in Google Scholar PubMed

6. Gupta, A. S., Paul, K., Luxami, V. A fluorescent probe with “AIE + ESIPT” characteristics for Cu2+ and F− ions estimation. Sens. Actuators B 2017, 246, 653–661.10.1016/j.snb.2017.02.080Search in Google Scholar

7. Guo, S. W., Song, Y. S., He, Y. L., Hu, X. Y., Wang, L. Y. Highly efficient artificial light-harvesting systems constructed in aqueous solution based on supramolecular self-assembly. Angew. Chem. Int. Ed. 2018, 57, 3163–3167; https://doi.org/10.1002/anie.201800175.Search in Google Scholar

8. Chai, J., Wu, Y. B., Yang, B. S., Liu, B. The photochromism, light harvesting and self-assembly activity of a multi-function Schiff-base compound based on the AIE effect. J. Mater. Chem. C 2018, 6, 4057–4064. https://doi.org/10.1039/c8tc00509e.Search in Google Scholar

9. Arcovito, G., Bonamico, M., Dornenicano, A., Vaciago, A. Crystal and molecular structure of salicylaldehyde azine. J. Chem. Soc. B 1969, 733–741; https://doi.org/10.1039/j29690000733.Search in Google Scholar

10. Safin, D. A., Robeyns, K., Garcia, Y. Solid-state thermo- and photochromism in N,N′-bis(5-X-salicylidene)diamines (X = H, Br). RSC Adv. 2012, 2, 11379–11388; https://doi.org/10.1039/c2ra21631k.Search in Google Scholar

11. Wang, L., Su, Q., Wu, Q. L., Gao, W., Mu, Y. Synthesis of new substituted benzaldazine derivatives, hydrogen bonding-induced supramolecular structures and luminescent properties. C. R. Chimie 2012, 15, 463–470; https://doi.org/10.1016/j.crci.2011.12.006.Search in Google Scholar

Received: 2021-03-02
Accepted: 2021-03-18
Published Online: 2021-04-08
Published in Print: 2021-07-27

© 2021 Ling Ma et al., published by De Gruyter, Berlin/Boston

This work is licensed under the Creative Commons Attribution 4.0 International License.

Articles in the same Issue

  1. Frontmatter
  2. New Crystal Structures
  3. Crystal structure of poly[(μ2-aqua-tetraaqua-(μ3-glutarato-κ4O,O′:O′:O′′)-(μ5-glutarato-κ6O:O,O′:O′:O′′:O′′′)distrontium(II)], C10H22O13Sr2
  4. The crystal structure of acetato-κ1O-{(2-(2-(2-aminophenoxy)ethoxy)phenyl)(4-oxo-4-phenylbut-2-en-2-yl)amido-κ2N,N′,O}copper(II), C26H26CuN2O5
  5. Crystal structure of dimethanolato-k2O:O-bis(1-((2-methyl-1H-benzo[d]imidazol-1-yl)methyl)-1H-benzo[d][1,2,3]triazole-κN)-bis(thiocyanato-κN)dicopper(II), C34H32Cu2N12O2S2
  6. Crystal structure of poly[diaqua-bis(μ2-3-(pyrimidin-5-yl)benzoato-κ2N:O)cobalt(II)] dihydrate, [Co(C11H11O2N2)2(H2O)2]
  7. Crystal structure of bis(3,3-dimethyl-1-phenylbut-1-en-2-yl)(trimethylsilyl)amido-k1N)zinc(II), Zn(C15H24NSi)2
  8. Crystal structure of catena-poly[(μ2-methanolato-κ2O:O)-(μ2-1-((2-methyl-1H-benzo[d]imidazol-1-yl)methyl)-1H-benzo[d][1,2,3]triazole-κ2N:N′)-(thiocyanato-κ1N)copper(II)] 0.25 hydrate, C17H16CuN6OS ⋅ 0.5H2O
  9. The crystal structure of 2-amino-5-nitroanilinium iodide monohydrate, C6H8IN3O2
  10. The crystal structure of 3-amino-5-carboxypyridin-1-ium perchlorate monohydrate, C6H9ClN2O7
  11. Crystal structure of 7-hydroxy-2,4-dimethoxy-9,10-dihydrophenanthrene from Arundina graminifolia, C16H16O3
  12. Crystal structure of 6,6′-((1E, 1′E)-(((1R, 2R)-1,2-diphenylethane-1,2-diyl) bis(azanylylidene))bis(methanylylidene))bis(2-ethylphenol), C32H32N2O2
  13. The crystal structure of 2-amino-5-carboxypyridin-1-ium iodide monohydrate, C6H9IN2O3
  14. The crystal structure of 2-(3,5-difluorophenyl)-2,3-dihydro-1H-naphtho[1,8-de][1,3,2]diazaborinine, C16H11BF2N2
  15. Crystal structure of bis{(2-pyridinyl)-1-phenyl-1-isopropylmethanolato-κ2N,O}nickel, C30H32N2NiO2
  16. Crystal structure of poly[(m3-3-carboxyadamantane-1-carboxylato-κ3O:O′:O″)-(phenanthroline-κ2N,N′)sodium(II)], C24H23N2NaO4
  17. Crystal structure of 2-phenylethynyl-1,3,6,8-tetramethylBOPHY (BOPHY = bis(difluoroboron)-1,2-bis((1H-pyrrol-2-yl)methylene)hydrazine), C22H20B2F4N4
  18. Crystal structure of 4-tert-butyl-2-N-(2-pyridylmethyl)aminophenol, C16H20N2O
  19. The crystal structure of (3Z,3′Z)-4,4′-((1,4-phenylenebis(methylene))bis(azanediyl))bis(pent-3-en-2-one), C18H24N2O2
  20. Crystal structure of (morpholine-1-carbodithioato-κ2-S,S′)bis(triphenylphosphine-κ-P)gold(I), C41H38AuNOP2S2
  21. Crystal structure of 1,4-bis(4-bromobenzyl)-4-(4-chlorophenyl)-1,4-dihydropyridine-3-carbonitrile, C26H19Br2ClN2
  22. The crystal structure of fac-tricarbonyl (N′-benzoyl-N,N-diphenylcarbamimidothioato-κ2S,O)-(pyrazole-κN)rhenium(I) — methanol (1/1) C26H23O4N4SRe
  23. The crystal structure of Ba2Mn(SeO3)2Cl2 containing 1[Mn(SeO3)2Cl2]4− chains
  24. Crystal structure of 3,3′,3″-((1E,1′E,1″E)-((nitrilotris(ethane-2,1-diyl))tris(azaneylylidene)) tris(methaneylylidene))tris(4-hydroxy-1-naphthaldehyde) monohydrate, C42H36N4O6·H2O
  25. The crystal structure of 4-(6-acetyl-5-methyl-4,7-dihydrotetrazolo[1,5-a]pyrimidin-7-yl)benzonitrile, C14H12N6O
  26. Crystal structure of benzo[d][1,3]dioxol-5-yl-2-(6-methoxynaphthalen-2-yl)propanoate, C21H18O5
  27. The crystal structure of ethyl 5-methyl-7-(4-(phenylthio)phenyl)-4,7-dihydrotetrazolo[1,5-a]pyrimidine-6-carboxylate, C20H19N5O2S
  28. Crystal structure of N′,N‴-((propane-2,2-diylbis(1H-pyrrole-5,2-diyl))bis(methaneylylidene))-di(isonicotinohydrazide)– water – dimethylformamide (1/4/2), C25H24N8O2·4H2O·2C3H7NO
  29. Synthesis and crystal structure of 4-(2,4-dinitrophenoxy)benzaldehyde, C13H8N2O6
  30. The crystal structure of 1-dodecylpyridin-1-ium bromide monohydrate, C17H32BrNO
  31. Crystal structure of (E)-amino(2-(4-(dimethylamino)benzylidene)hydrazineyl)methaniminium nitrate, C10H16N6O3
  32. Crystal structure of (E)-(2-((1H-pyrrol-2-yl)methylene)hydrazineyl)(amino)methaniminium nitrate monohydrate, C6H12N6O4
  33. The crystal structure of hexakis(1-propylimidazole-κ1N)copper(II) dichloride, C36H60Cl2CuN12
  34. The crystal structure of bis{(μ2-3,3-dimethyl-1-phenylbut-1-en-2-yl)((dimethylamino)dimethylsilyl)amido-κ3N,N′:N′}dilithium, C32H54Li2N4Si2
  35. The crystal structure of methyl 4-(1H-naphtho[1,8-de][1,3,2]diazaborinin-2(3H)-yl)benzoate, C18H15BN2O2
  36. Crystal structure of (E)-N-(1-((2-chlorothiazol-5-yl)methyl)pyridin-2(1H)-ylidene)-2,2,2-trifluoroacetamide, C11H7ClF3N3OS
  37. Crystal structure of N′, N‴-((propane-2,2-diylbis(1H-pyrrole-5,2-diyl))bis (methaneylylidene))di(picolinohydrazide) – water – methanol (1/1/1), C25H24N8O2·H2O·CH3OH
  38. Crystal structure of 3-(2-chloro-benzyl)-7-[4-(2-chloro-benzyl)-piperazin-1-yl]-5,6,8-trifluoro-3H-quinazolin-4-one, C26H21Cl2F3N4O
  39. Crystal structure of N1,N2-bis(2-fluorobenzyl)benzene-1,2-diamine,C20H18F2N2
  40. The crystal structure of 2-(benzo[d][1,3]dioxol-5-yl)-2,3-dihydro-1H-naphtho[1,8-de][1,3,2]diazaborinine, C17H13BN2O2
  41. The crystal structure of 6,6′-((1E,1′E)-hydrazine-1,2-diylidenebis(methaneylylidene)) bis(2-bromo-4-nitrophenol) — dimethylsulfoxide (1/2), C14H8Br2N4O6⋅2(C2H6OS)
  42. Selective biocatalytic synthesis and crystal structure of (2R,6R)-hydroxyketaminium chloride, C13H17Cl2NO2
  43. Crystal structure of bis{tetraaqua-[μ3-1-(4-carboxylatophenyl)-5-methyl-1H-pyrazole-3-carboxylate-κ4N,O,O′,O″] [μ2-1-methyl-1H-pyrazole-3,5-dicarboxylate-κ3N,O:O]dicobalt(II)} dihydrate, C36H44Co4N8O26
  44. Crystal structure of diethyl-2,2′-naphthalene-2,3-diylbis(oxy)diacetate, C18H20O6
  45. Synthesis and crystal structure of poly[(μ3-2-(2-carboxylatophenyl)-1H-benzo[d]imidazole-5-carboxylato-κO,O′:O′;:O″, O″′)-(μ2-1-(4-(1Himidazol-1-yl)phenyl)-1H-imidazole-κ2N:N′)cadmium(II)], C27H18CdN6O4
  46. The crystal structure of catena-poly[diaqua-bis(μ2-2-((2-(2-phenylacetyl)hydrazineylidene)methyl)benzoato-κ2O:O')zinc(II)], C32H30N4O8Zn
  47. The crystal structure of 2-(3,4-dimethoxyphenyl)-2,3-dihydro-1H-naphtho [1,8-de][1,3,2]diazaborinine, C18H17BN2O2
  48. The crystal structure of hexakis(1-ethylimidazole-κ1N)nickel(II) dichloride – 1-ethylimidazole (1/2), C40H64Cl2NiN16
  49. Crystal structure of diaqua-bis(2,4-dinitrophenolato-κ2O,O′)copper(II) 1.5 hydrate, C12H13CuN4O13.5
  50. Crystal structure of N′,N‴-((1E,1′E)-((decane-1,10-diylbis(oxy))bis(2,1-phenylene)) bis(methaneylylidene))di(isonicotinohydrazide), C36H40N6O4
  51. The crystal structure of 2-[(R)-1-(naphthalen-1-yl)ethyl]-2,3,7,7a-tetrahydro-3a,6-epoxyisoindol-1(6H)-one, C19H20NO2
  52. Synthesis and crystal structure of (1E,2E)-3-(anthracen-9-yl)-1-(4-methoxyphenyl)prop-2-en-1-one oxime, C24H19NO2
  53. Synthesis and crystal structure of (2E,2′E)-3,3′-(1,3-phenylene)bis(1-(3-bromophenyl)prop-2-en-1-one), C24H16Br2O2
  54. The crystal structure of catena-poly[bis(µ2-1,2-bis((1H-imidazol-1-yl)methyl)benzene- κ2N:N′)-bis(nitrato-κO)copper(II)], C28H28N10O6Cu
  55. Synthesis and crystal structure of the novel chiral acetyl-3-thiophene-5-(9-anthryl)-2-pyrazoline, C23H18N2OS
  56. Crystal structure of (E)-3-(dimethylamino)-1-(thiophen-3-yl)prop-2-en-1-one, C9H11NOS
  57. Crystal structure of catena-poly[aqua-(4-iodopyridine-2,6-dicarboxylato-κ3N,O,O′)-(μ2-4-amino-4H-1,2,4-triazole-κ2N:N′) copper(II)], C9H8N5O5CuI
  58. Crystal structure of cyclopropane-1,2,3-triyltris(phenylmethanone), C24H18O3
  59. Crystal structure of bis(amino(thioureido)methaniminium) terephthalate, C12H18N8O4S2
  60. A three-dimensional Eu(III) framework in the crystal structure of dimethylaminium poly[dimethylformamide-κ1N)bis(μ4-terephthalato-κ4O:O′:O′′:O′′′)europium(III)] monohydrate, C21H25EuN2O10
  61. Crystal structure of 2-methoxyphenyl 2-(6-methoxynaphthalen-2-yl)propanoate, C21H20O4
  62. The crystal structure of Hexakis(diethylamido)dimolybdenum, Mo2(NEt2)6
Downloaded on 15.11.2025 from https://www.degruyterbrill.com/document/doi/10.1515/ncrs-2021-0079/html
Scroll to top button