Abstract
C41H38AuNOP2S2, triclinic, P
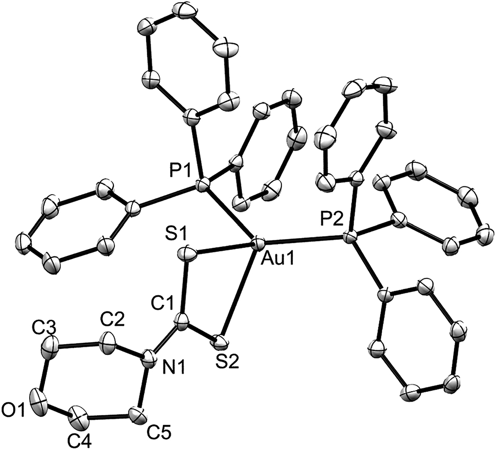
The molecular structure is shown in the Figure. Table 1 contains crystallographic data and Table 2 contains the list of the atoms including atomic coordinates and displacement parameters.

Data collection and handling.
| Crystal: | Colourless block |
| Size: | 0.28 × 0.23 × 0.14 mm |
| Wavelength: | Mo Kα radiation (0.71073 Å) |
| μ: | 4.34 mm−1 |
| Diffractometer, scan mode: | Bruker APEX-II, φ and ω |
| θmax, completeness: | 28.0°, 99 % |
| N(hkl)measured, N(hkl)unique, Rint: | 29308, 8549, 0.022 |
| Criterion for Iobs, N(hkl)gt: | Iobs > 2 σ(Iobs), 8165 |
| N(param)refined: | 434 |
| Programs: | Bruker [1], SHELX [2, 3], Mercury [4] |
Fractional atomic coordinates and isotropic or equivalent isotropic displacement parameters (Å2).
| Atom | x | y | z | Uiso*/Ueq |
|---|---|---|---|---|
| Au1 | 0.64088 (2) | 0.26803 (2) | 0.73120 (2) | 0.01499 (3) |
| S1 | 0.63931 (5) | 0.16917 (4) | 0.92629 (3) | 0.01988 (10) |
| S2 | 0.41445 (5) | 0.21271 (4) | 0.80661 (3) | 0.01885 (9) |
| P1 | 0.65331 (5) | 0.44360 (4) | 0.73709 (3) | 0.01417 (9) |
| P2 | 0.77641 (5) | 0.14261 (4) | 0.64549 (3) | 0.01415 (9) |
| O1 | 0.18867 (19) | 0.19981 (14) | 1.13309 (11) | 0.0338 (4) |
| N1 | 0.38944 (18) | 0.12828 (14) | 0.98998 (11) | 0.0192 (3) |
| C1 | 0.4736 (2) | 0.16656 (15) | 0.91561 (13) | 0.0166 (4) |
| C2 | 0.4212 (2) | 0.10509 (16) | 1.08751 (13) | 0.0223 (4) |
| H2A | 0.519565 | 0.103742 | 1.088554 | 0.027* |
| H2B | 0.403173 | 0.033117 | 1.121123 | 0.027* |
| C3 | 0.3307 (3) | 0.19372 (18) | 1.13468 (15) | 0.0282 (5) |
| H3A | 0.350241 | 0.179367 | 1.200821 | 0.034* |
| H3B | 0.352985 | 0.264696 | 1.102242 | 0.034* |
| C4 | 0.1570 (3) | 0.22056 (19) | 1.03879 (15) | 0.0302 (5) |
| H4A | 0.174174 | 0.292778 | 1.005112 | 0.036* |
| H4B | 0.058132 | 0.222494 | 1.039330 | 0.036* |
| C5 | 0.2433 (2) | 0.13382 (17) | 0.98696 (14) | 0.0227 (4) |
| H5A | 0.220933 | 0.062251 | 1.016994 | 0.027* |
| H5B | 0.222972 | 0.152094 | 0.920749 | 0.027* |
| C6 | 0.5157 (2) | 0.52151 (15) | 0.80716 (13) | 0.0172 (4) |
| C7 | 0.4818 (2) | 0.63551 (16) | 0.78968 (15) | 0.0238 (4) |
| H7 | 0.527541 | 0.676288 | 0.736819 | 0.029* |
| C8 | 0.3813 (2) | 0.68920 (18) | 0.84959 (16) | 0.0286 (5) |
| H8 | 0.358758 | 0.766641 | 0.837317 | 0.034* |
| C9 | 0.3139 (2) | 0.63129 (19) | 0.92663 (16) | 0.0299 (5) |
| H9 | 0.246423 | 0.668521 | 0.967871 | 0.036* |
| C10 | 0.3453 (3) | 0.5185 (2) | 0.94341 (16) | 0.0312 (5) |
| H10 | 0.297734 | 0.478272 | 0.995616 | 0.037* |
| C11 | 0.4461 (2) | 0.46364 (17) | 0.88434 (14) | 0.0239 (4) |
| H11 | 0.467495 | 0.386194 | 0.896758 | 0.029* |
| C12 | 0.8117 (2) | 0.44214 (15) | 0.78215 (13) | 0.0169 (4) |
| C13 | 0.9213 (2) | 0.35228 (17) | 0.77880 (15) | 0.0240 (4) |
| H13 | 0.908720 | 0.290074 | 0.760513 | 0.029* |
| C14 | 1.0490 (2) | 0.35337 (18) | 0.80210 (16) | 0.0284 (5) |
| H14 | 1.123827 | 0.292606 | 0.798390 | 0.034* |
| C15 | 1.0672 (2) | 0.4432 (2) | 0.83080 (15) | 0.0289 (5) |
| H15 | 1.154584 | 0.444088 | 0.846410 | 0.035* |
| C16 | 0.9579 (2) | 0.53108 (19) | 0.83656 (15) | 0.0277 (5) |
| H16 | 0.969653 | 0.591712 | 0.857799 | 0.033* |
| C17 | 0.8314 (2) | 0.53132 (17) | 0.81152 (14) | 0.0221 (4) |
| H17 | 0.757351 | 0.592849 | 0.814407 | 0.027* |
| C18 | 0.6681 (2) | 0.53402 (14) | 0.62149 (13) | 0.0164 (4) |
| C19 | 0.7941 (2) | 0.55653 (15) | 0.57689 (14) | 0.0190 (4) |
| H19 | 0.873378 | 0.531312 | 0.609748 | 0.023* |
| C20 | 0.8046 (2) | 0.61571 (16) | 0.48452 (14) | 0.0237 (4) |
| H20 | 0.890878 | 0.630428 | 0.454536 | 0.028* |
| C21 | 0.6889 (3) | 0.65315 (17) | 0.43633 (14) | 0.0261 (5) |
| H21 | 0.696217 | 0.692975 | 0.373193 | 0.031* |
| C22 | 0.5630 (2) | 0.63252 (17) | 0.48017 (15) | 0.0255 (4) |
| H22 | 0.483737 | 0.659042 | 0.447340 | 0.031* |
| C23 | 0.5521 (2) | 0.57307 (16) | 0.57219 (14) | 0.0204 (4) |
| H23 | 0.465488 | 0.558841 | 0.601806 | 0.024* |
| C24 | 0.8049 (2) | 0.20231 (15) | 0.51993 (13) | 0.0170 (4) |
| C25 | 0.7990 (2) | 0.14800 (16) | 0.44985 (14) | 0.0210 (4) |
| H25 | 0.786098 | 0.075303 | 0.466648 | 0.025* |
| C26 | 0.8120 (2) | 0.19984 (18) | 0.35563 (14) | 0.0258 (4) |
| H26 | 0.806596 | 0.162703 | 0.308387 | 0.031* |
| C27 | 0.8327 (2) | 0.30515 (18) | 0.33012 (15) | 0.0270 (5) |
| H27 | 0.841257 | 0.340253 | 0.265589 | 0.032* |
| C28 | 0.8410 (2) | 0.35927 (17) | 0.39895 (15) | 0.0252 (4) |
| H28 | 0.857369 | 0.430970 | 0.381538 | 0.030* |
| C29 | 0.8255 (2) | 0.30879 (16) | 0.49339 (14) | 0.0212 (4) |
| H29 | 0.828843 | 0.346985 | 0.540355 | 0.025* |
| C30 | 0.7240 (2) | 0.01856 (15) | 0.64220 (13) | 0.0163 (4) |
| C31 | 0.5861 (2) | 0.02495 (16) | 0.63533 (14) | 0.0213 (4) |
| H31 | 0.519014 | 0.088982 | 0.643868 | 0.026* |
| C32 | 0.5464 (2) | −0.06263 (17) | 0.61592 (15) | 0.0247 (4) |
| H32 | 0.452506 | −0.057514 | 0.609767 | 0.030* |
| C33 | 0.6437 (2) | −0.15726 (16) | 0.60556 (14) | 0.0224 (4) |
| H33 | 0.616950 | −0.216089 | 0.590612 | 0.027* |
| C34 | 0.7795 (2) | −0.16579 (16) | 0.61700 (14) | 0.0227 (4) |
| H34 | 0.845175 | −0.231754 | 0.612585 | 0.027* |
| C35 | 0.8207 (2) | −0.07816 (16) | 0.63499 (14) | 0.0202 (4) |
| H35 | 0.914318 | −0.084219 | 0.642336 | 0.024* |
| C36 | 0.9469 (2) | 0.09476 (15) | 0.68573 (13) | 0.0171 (4) |
| C37 | 1.0651 (2) | 0.11945 (16) | 0.63032 (15) | 0.0230 (4) |
| H37 | 1.060649 | 0.156551 | 0.566528 | 0.028* |
| C38 | 1.1898 (2) | 0.08991 (18) | 0.66819 (18) | 0.0296 (5) |
| H38 | 1.270186 | 0.107493 | 0.630142 | 0.035* |
| C39 | 1.1981 (2) | 0.03521 (18) | 0.76062 (18) | 0.0306 (5) |
| H39 | 1.283532 | 0.015740 | 0.786266 | 0.037* |
| C40 | 1.0812 (3) | 0.00906 (19) | 0.81546 (17) | 0.0311 (5) |
| H40 | 1.086930 | −0.029983 | 0.878630 | 0.037* |
| C41 | 0.9557 (2) | 0.03920 (18) | 0.77922 (15) | 0.0267 (4) |
| H41 | 0.875482 | 0.022127 | 0.817889 | 0.032* |
Source of material
Au(tht)Cl (tht = tetrahydrothiophene; 0.32 g, 1 mmol) dissolved in 10 mL acetonitrile was added to a stirring acetonitrile solution of sodium morpholinecarbodithioate, [Na(S2CNC4H8O)] (0.19 g, 1 mmol) and triphenylphosphine (0.52 g, 2 mmol) and the mixture was stirred for 2 h. The resulting white precipitate was filtered and washed with water:ethanol (50:50) and dried under vacuum. Colourless block crystals were obtained by vapour diffusion of hexane into dichloromethane. Yield = 0.69 g (78%); m.p. = 168–169 °C; FT–IRυmax(cm−1): 2846(s), 1477(w), 1453(m), 1432(s), 1412(s), 1260(m), 1212(s), 1098(m), 689(s), 493(m), 422(m) 1H NMR (400 MHz, DMSO-d6) δ 7.49 (th, J = 4.3, 1.9 Hz, 18H), 7.45–7.38 (m, 12H), 4.09 (t, J = 4.9 Hz, 4H), 3.62 (t, J = 4.8 Hz, 4H).
Experimental details
The structure was solved by the direct method using the SHELXS [2] program and refined. The visual crystal structure information was performed using Mercury [4] system software.
Comment
Dithiocarbamates (
The crystal structure of the title compound has one molecular unit consisting of a bidentate morpholinecarbodithioate unit, two triphenylphosphine moieties and Au(I) centre. The metal centre’s coordination environment is occupied by two sulfur and two phosphorous atoms of the morpholinecarbodithioate and triphenylphosphine ligands, respectively. Furthermore, the Au(I) centre adopts a distorted tetrahedral geometry with bond angles around the Au(I) atom ranging from 66.16(2) to 132.12(2)°. All bond distances are comparable to those of closely related compounds in literature [17–20]. Interestingly, the title compound is isostructural to the (piperidine-1-carbodithioato-S,S′) derivative[17] with a calculated root mean squared deviation of 1.604 Å for their crystal packing similarity. Intermolecular C—H···π interactions exist between the hydrogen atoms of the morphilinyl unit and the phenyl rings.
Acknowledgements
We thank the University of KwaZulu-Natal for providing the research facilities and Rand gold refinery for the generous gift of HAuCl4.
Author contributions: All the authors have accepted responsibility for the entire content of this submitted manuscript and approved submission.
Research funding: None declared.
Conflict of interest statement: The authors declare no conflicts of interest regarding this article.
References
1. Bruker. APEXII; Bruker AXS Inc: Madison, Wisconsin, USA, 2009.Search in Google Scholar
2. Sheldrick, G. M. A short history of SHELX. Acta Crystallogr. 2008, A64, 112–122; https://doi.org/10.1107/s0108767307043930.Search in Google Scholar
3. Sheldrick, G. M. Crystal structure refinement with SHELXL. Acta Crystallogr. 2015, C71, 3–8; https://doi.org/10.1107/s2053229614024218.Search in Google Scholar
4. Macrae, C. F., Bruno, I. J., Chisholm, J. A., Edgington, P. R., McCabe, P., Pidcock, E., Rodriguez-Monge, L., Taylor, R., van de Streek, J., Wood, P. A. Mercury CSD 2.0 – new features for the visualization and investigation of crystal structures. J. Appl. Crystallogr. 2008, 41, 466–470; https://doi.org/10.1107/s0021889807067908.Search in Google Scholar
5. Coucouvanis, D. The chemistry of the dithioacid and 1,1-dithiolate complexes, 1968–1977. Prog. Inorg. Chem. 1979, 26, 301–469.10.1002/9780470166277.ch5Search in Google Scholar
6. Hogarth, G. Metal-dithiocarbamate complexes: chemistry and biological activity. Mini Rev. Med. Chem. 2012, 12, 1202–1215; https://doi.org/10.2174/138955712802762095.Search in Google Scholar
7. Hogarth, G. Transition metal dithiocarbamates: 1978–2003. Prog. Inorg. Chem. 2005, 53, 71–561; https://doi.org/10.1002/0471725587.ch2.Search in Google Scholar
8. Noordik, J. Tris(N,N-diethyldithiocarbamato)gold(III), C15H30AuN3S6. Cryst. Struct. Commun. 1973, 2, 81–84.Search in Google Scholar
9. Ronconi, L., Giovagnini, L., Marzano, C., Bettìo, F., Graziani, R., Pilloni, G., Fregona, D. Gold dithiocarbamate derivatives as potential antineoplastic agents: design, spectroscopic properties, and in vitro antitumor activity. Inorg. Chem. 2005, 44, 1867–1881; https://doi.org/10.1021/ic048260v.Search in Google Scholar
10. Ronconi, L., Marzano, C., Zanello, P., Corsini, M., Miolo, G., Macca, C., Trevisan, A., Fregona, D. Gold (III) dithiocarbamate derivatives for the treatment of cancer: solution chemistry, DNA binding, and hemolytic properties. J. Med. Chem. 2006, 49, 1648–1657; https://doi.org/10.1021/jm0509288.Search in Google Scholar
11. Milacic, V., Chen, D., Ronconi, L., Landis-Piwowar, K. R., Fregona, D., Dou, Q. P. A novel anticancer gold (III) dithiocarbamate compound inhibits the activity of a purified 20S proteasome and 26S proteasome in human breast cancer cell cultures and xenografts. Cancer Res. 2006, 66, 10478–10486; https://doi.org/10.1158/0008-5472.can-06-3017.Search in Google Scholar
12. Altaf, M., Monim-ul-Mehboob, M., Seliman, A. A., Sohail, M., Wazeer, M. I., Isab, A. A., Li, L., Dhuna, V., Bhatia, G., Dhuna, K. Synthesis, characterization and anticancer activity of gold (I) complexes that contain tri-tert-butylphosphine and dialkyl dithiocarbamate ligands. Eur. J. Med. Chem. 2015, 95, 464–472; https://doi.org/10.1016/j.ejmech.2015.03.019.Search in Google Scholar
13. Altaf, M., Casagrande, N., Mariotto, E., Baig, N., Kawde, A.-N., Corona, G., Larcher, R., Borghese, C., Pavan, C., Seliman, A. A. Potent in vitro and in vivo anticancer activity of new bipyridine and bipyrimidine gold (III) dithiocarbamate derivatives. Cancers 2019, 11, 474; https://doi.org/10.3390/cancers11040474.Search in Google Scholar
14. Lawal, M. M., Lawal, I. A., Klink, M. J., Tolufashe, G. F., Ndagi, U., Kumalo, H. M. Density functional theory study of gold (III)-dithiocarbamate complexes with characteristic anticancer potentials. J. Inorg. Biochem. 2020, 206, 111044; https://doi.org/10.1016/j.jinorgbio.2020.111044.Search in Google Scholar
15. Sharma, J., Chhabra, R., Yan, H., Liu, Y. A facile in situ generation of dithiocarbamate ligands for stable gold nanoparticle–oligonucleotide conjugates. Chem. Commun. 2008, 2140–2142; https://doi.org/10.1039/b800109j.Search in Google Scholar
16. Rohit, J. V., Kailasa, S. K. Simple and selective detection of pendimethalin herbicide in water and food samples based on the aggregation of ractopamine-dithiocarbamate functionalized gold nanoparticles. Sens. Actuators, B 2017, 245, 541–550; https://doi.org/10.1016/j.snb.2017.02.007.Search in Google Scholar
17. Razak, I. A., Shanmuga Sundara Raj, S., Fun, H.-K., Jian, F.-F., Bei, F.-L., Yang, X.-J., Lu, L.-D., Wang, X. (Piperidine-1-carbodithioato-S, S′)bis(triphenylphosphine-P) gold(I). Acta Crystallogr. 2000, 56, 666–667; https://doi.org/10.1107/s0108270100003760.Search in Google Scholar
18. Jian, F.-F., Lu, L.-D., Wang, X., Shanmuga Sundara Raj, S., Razak, I. A., Fun, H.-K.. Diisopropyldithiocarbamato-N,NS′ bis (triphenylphosphine-P) gold(I) butane solvate. Acta Crystallogr. 2000, C56, 939–940; https://doi.org/10.1107/s0108270100007319.Search in Google Scholar
19. Guzei, I. A., Spencer, L. C., Lillywhite, S., Darkwa, J. (μ-Piperazine-1,4-dicarbodithioato-κ4S1,S1′:S4S4′)bis[bis(triphenylphosphane-κP)gold(I)] chloroform disolvate. Acta Crystallogr. 2001, E67, m1629–m1630.10.1107/S1600536811044229Search in Google Scholar
20. Yeo, C. I., Tiekink, E. R. T. Crystal structure of [(Z)-O-isopropyl N-(4-nitrophenyl)thiocarbamato-κS]-(triphenylphosphine-κP)-gold(I), C28H26AuN2O3PS. Z. Kristallogr. NCS 2020, 235, 1263–1265. https://doi.org/10.1515/ncrs-2020-0306Search in Google Scholar
© 2021 Tunde L. Yusuf et al., published by De Gruyter, Berlin/Boston
This work is licensed under the Creative Commons Attribution 4.0 International License.
Articles in the same Issue
- Frontmatter
- New Crystal Structures
- Crystal structure of poly[(μ2-aqua-tetraaqua-(μ3-glutarato-κ4O,O′:O′:O′′)-(μ5-glutarato-κ6O:O,O′:O′:O′′:O′′′)distrontium(II)], C10H22O13Sr2
- The crystal structure of acetato-κ1O-{(2-(2-(2-aminophenoxy)ethoxy)phenyl)(4-oxo-4-phenylbut-2-en-2-yl)amido-κ2N,N′,O}copper(II), C26H26CuN2O5
- Crystal structure of dimethanolato-k2O:O-bis(1-((2-methyl-1H-benzo[d]imidazol-1-yl)methyl)-1H-benzo[d][1,2,3]triazole-κN)-bis(thiocyanato-κN)dicopper(II), C34H32Cu2N12O2S2
- Crystal structure of poly[diaqua-bis(μ2-3-(pyrimidin-5-yl)benzoato-κ2N:O)cobalt(II)] dihydrate, [Co(C11H11O2N2)2(H2O)2]
- Crystal structure of bis(3,3-dimethyl-1-phenylbut-1-en-2-yl)(trimethylsilyl)amido-k1N)zinc(II), Zn(C15H24NSi)2
- Crystal structure of catena-poly[(μ2-methanolato-κ2O:O)-(μ2-1-((2-methyl-1H-benzo[d]imidazol-1-yl)methyl)-1H-benzo[d][1,2,3]triazole-κ2N:N′)-(thiocyanato-κ1N)copper(II)] 0.25 hydrate, C17H16CuN6OS ⋅ 0.5H2O
- The crystal structure of 2-amino-5-nitroanilinium iodide monohydrate, C6H8IN3O2
- The crystal structure of 3-amino-5-carboxypyridin-1-ium perchlorate monohydrate, C6H9ClN2O7
- Crystal structure of 7-hydroxy-2,4-dimethoxy-9,10-dihydrophenanthrene from Arundina graminifolia, C16H16O3
- Crystal structure of 6,6′-((1E, 1′E)-(((1R, 2R)-1,2-diphenylethane-1,2-diyl) bis(azanylylidene))bis(methanylylidene))bis(2-ethylphenol), C32H32N2O2
- The crystal structure of 2-amino-5-carboxypyridin-1-ium iodide monohydrate, C6H9IN2O3
- The crystal structure of 2-(3,5-difluorophenyl)-2,3-dihydro-1H-naphtho[1,8-de][1,3,2]diazaborinine, C16H11BF2N2
- Crystal structure of bis{(2-pyridinyl)-1-phenyl-1-isopropylmethanolato-κ2N,O}nickel, C30H32N2NiO2
- Crystal structure of poly[(m3-3-carboxyadamantane-1-carboxylato-κ3O:O′:O″)-(phenanthroline-κ2N,N′)sodium(II)], C24H23N2NaO4
- Crystal structure of 2-phenylethynyl-1,3,6,8-tetramethylBOPHY (BOPHY = bis(difluoroboron)-1,2-bis((1H-pyrrol-2-yl)methylene)hydrazine), C22H20B2F4N4
- Crystal structure of 4-tert-butyl-2-N-(2-pyridylmethyl)aminophenol, C16H20N2O
- The crystal structure of (3Z,3′Z)-4,4′-((1,4-phenylenebis(methylene))bis(azanediyl))bis(pent-3-en-2-one), C18H24N2O2
- Crystal structure of (morpholine-1-carbodithioato-κ2-S,S′)bis(triphenylphosphine-κ-P)gold(I), C41H38AuNOP2S2
- Crystal structure of 1,4-bis(4-bromobenzyl)-4-(4-chlorophenyl)-1,4-dihydropyridine-3-carbonitrile, C26H19Br2ClN2
- The crystal structure of fac-tricarbonyl (N′-benzoyl-N,N-diphenylcarbamimidothioato-κ2S,O)-(pyrazole-κN)rhenium(I) — methanol (1/1) C26H23O4N4SRe
- The crystal structure of Ba2Mn(SeO3)2Cl2 containing 1∞[Mn(SeO3)2Cl2]4− chains
- Crystal structure of 3,3′,3″-((1E,1′E,1″E)-((nitrilotris(ethane-2,1-diyl))tris(azaneylylidene)) tris(methaneylylidene))tris(4-hydroxy-1-naphthaldehyde) monohydrate, C42H36N4O6·H2O
- The crystal structure of 4-(6-acetyl-5-methyl-4,7-dihydrotetrazolo[1,5-a]pyrimidin-7-yl)benzonitrile, C14H12N6O
- Crystal structure of benzo[d][1,3]dioxol-5-yl-2-(6-methoxynaphthalen-2-yl)propanoate, C21H18O5
- The crystal structure of ethyl 5-methyl-7-(4-(phenylthio)phenyl)-4,7-dihydrotetrazolo[1,5-a]pyrimidine-6-carboxylate, C20H19N5O2S
- Crystal structure of N′,N‴-((propane-2,2-diylbis(1H-pyrrole-5,2-diyl))bis(methaneylylidene))-di(isonicotinohydrazide)– water – dimethylformamide (1/4/2), C25H24N8O2·4H2O·2C3H7NO
- Synthesis and crystal structure of 4-(2,4-dinitrophenoxy)benzaldehyde, C13H8N2O6
- The crystal structure of 1-dodecylpyridin-1-ium bromide monohydrate, C17H32BrNO
- Crystal structure of (E)-amino(2-(4-(dimethylamino)benzylidene)hydrazineyl)methaniminium nitrate, C10H16N6O3
- Crystal structure of (E)-(2-((1H-pyrrol-2-yl)methylene)hydrazineyl)(amino)methaniminium nitrate monohydrate, C6H12N6O4
- The crystal structure of hexakis(1-propylimidazole-κ1N)copper(II) dichloride, C36H60Cl2CuN12
- The crystal structure of bis{(μ2-3,3-dimethyl-1-phenylbut-1-en-2-yl)((dimethylamino)dimethylsilyl)amido-κ3N,N′:N′}dilithium, C32H54Li2N4Si2
- The crystal structure of methyl 4-(1H-naphtho[1,8-de][1,3,2]diazaborinin-2(3H)-yl)benzoate, C18H15BN2O2
- Crystal structure of (E)-N-(1-((2-chlorothiazol-5-yl)methyl)pyridin-2(1H)-ylidene)-2,2,2-trifluoroacetamide, C11H7ClF3N3OS
- Crystal structure of N′, N‴-((propane-2,2-diylbis(1H-pyrrole-5,2-diyl))bis (methaneylylidene))di(picolinohydrazide) – water – methanol (1/1/1), C25H24N8O2·H2O·CH3OH
- Crystal structure of 3-(2-chloro-benzyl)-7-[4-(2-chloro-benzyl)-piperazin-1-yl]-5,6,8-trifluoro-3H-quinazolin-4-one, C26H21Cl2F3N4O
- Crystal structure of N1,N2-bis(2-fluorobenzyl)benzene-1,2-diamine,C20H18F2N2
- The crystal structure of 2-(benzo[d][1,3]dioxol-5-yl)-2,3-dihydro-1H-naphtho[1,8-de][1,3,2]diazaborinine, C17H13BN2O2
- The crystal structure of 6,6′-((1E,1′E)-hydrazine-1,2-diylidenebis(methaneylylidene)) bis(2-bromo-4-nitrophenol) — dimethylsulfoxide (1/2), C14H8Br2N4O6⋅2(C2H6OS)
- Selective biocatalytic synthesis and crystal structure of (2R,6R)-hydroxyketaminium chloride, C13H17Cl2NO2
- Crystal structure of bis{tetraaqua-[μ3-1-(4-carboxylatophenyl)-5-methyl-1H-pyrazole-3-carboxylate-κ4N,O,O′,O″] [μ2-1-methyl-1H-pyrazole-3,5-dicarboxylate-κ3N,O:O]dicobalt(II)} dihydrate, C36H44Co4N8O26
- Crystal structure of diethyl-2,2′-naphthalene-2,3-diylbis(oxy)diacetate, C18H20O6
- Synthesis and crystal structure of poly[(μ3-2-(2-carboxylatophenyl)-1H-benzo[d]imidazole-5-carboxylato-κO,O′:O′;:O″, O″′)-(μ2-1-(4-(1Himidazol-1-yl)phenyl)-1H-imidazole-κ2N:N′)cadmium(II)], C27H18CdN6O4
- The crystal structure of catena-poly[diaqua-bis(μ2-2-((2-(2-phenylacetyl)hydrazineylidene)methyl)benzoato-κ2O:O')zinc(II)], C32H30N4O8Zn
- The crystal structure of 2-(3,4-dimethoxyphenyl)-2,3-dihydro-1H-naphtho [1,8-de][1,3,2]diazaborinine, C18H17BN2O2
- The crystal structure of hexakis(1-ethylimidazole-κ1N)nickel(II) dichloride – 1-ethylimidazole (1/2), C40H64Cl2NiN16
- Crystal structure of diaqua-bis(2,4-dinitrophenolato-κ2O,O′)copper(II) 1.5 hydrate, C12H13CuN4O13.5
- Crystal structure of N′,N‴-((1E,1′E)-((decane-1,10-diylbis(oxy))bis(2,1-phenylene)) bis(methaneylylidene))di(isonicotinohydrazide), C36H40N6O4
- The crystal structure of 2-[(R)-1-(naphthalen-1-yl)ethyl]-2,3,7,7a-tetrahydro-3a,6-epoxyisoindol-1(6H)-one, C19H20NO2
- Synthesis and crystal structure of (1E,2E)-3-(anthracen-9-yl)-1-(4-methoxyphenyl)prop-2-en-1-one oxime, C24H19NO2
- Synthesis and crystal structure of (2E,2′E)-3,3′-(1,3-phenylene)bis(1-(3-bromophenyl)prop-2-en-1-one), C24H16Br2O2
- The crystal structure of catena-poly[bis(µ2-1,2-bis((1H-imidazol-1-yl)methyl)benzene- κ2N:N′)-bis(nitrato-κO)copper(II)], C28H28N10O6Cu
- Synthesis and crystal structure of the novel chiral acetyl-3-thiophene-5-(9-anthryl)-2-pyrazoline, C23H18N2OS
- Crystal structure of (E)-3-(dimethylamino)-1-(thiophen-3-yl)prop-2-en-1-one, C9H11NOS
- Crystal structure of catena-poly[aqua-(4-iodopyridine-2,6-dicarboxylato-κ3N,O,O′)-(μ2-4-amino-4H-1,2,4-triazole-κ2N:N′) copper(II)], C9H8N5O5CuI
- Crystal structure of cyclopropane-1,2,3-triyltris(phenylmethanone), C24H18O3
- Crystal structure of bis(amino(thioureido)methaniminium) terephthalate, C12H18N8O4S2
- A three-dimensional Eu(III) framework in the crystal structure of dimethylaminium poly[dimethylformamide-κ1N)bis(μ4-terephthalato-κ4O:O′:O′′:O′′′)europium(III)] monohydrate, C21H25EuN2O10
- Crystal structure of 2-methoxyphenyl 2-(6-methoxynaphthalen-2-yl)propanoate, C21H20O4
- The crystal structure of Hexakis(diethylamido)dimolybdenum, Mo2(NEt2)6
Articles in the same Issue
- Frontmatter
- New Crystal Structures
- Crystal structure of poly[(μ2-aqua-tetraaqua-(μ3-glutarato-κ4O,O′:O′:O′′)-(μ5-glutarato-κ6O:O,O′:O′:O′′:O′′′)distrontium(II)], C10H22O13Sr2
- The crystal structure of acetato-κ1O-{(2-(2-(2-aminophenoxy)ethoxy)phenyl)(4-oxo-4-phenylbut-2-en-2-yl)amido-κ2N,N′,O}copper(II), C26H26CuN2O5
- Crystal structure of dimethanolato-k2O:O-bis(1-((2-methyl-1H-benzo[d]imidazol-1-yl)methyl)-1H-benzo[d][1,2,3]triazole-κN)-bis(thiocyanato-κN)dicopper(II), C34H32Cu2N12O2S2
- Crystal structure of poly[diaqua-bis(μ2-3-(pyrimidin-5-yl)benzoato-κ2N:O)cobalt(II)] dihydrate, [Co(C11H11O2N2)2(H2O)2]
- Crystal structure of bis(3,3-dimethyl-1-phenylbut-1-en-2-yl)(trimethylsilyl)amido-k1N)zinc(II), Zn(C15H24NSi)2
- Crystal structure of catena-poly[(μ2-methanolato-κ2O:O)-(μ2-1-((2-methyl-1H-benzo[d]imidazol-1-yl)methyl)-1H-benzo[d][1,2,3]triazole-κ2N:N′)-(thiocyanato-κ1N)copper(II)] 0.25 hydrate, C17H16CuN6OS ⋅ 0.5H2O
- The crystal structure of 2-amino-5-nitroanilinium iodide monohydrate, C6H8IN3O2
- The crystal structure of 3-amino-5-carboxypyridin-1-ium perchlorate monohydrate, C6H9ClN2O7
- Crystal structure of 7-hydroxy-2,4-dimethoxy-9,10-dihydrophenanthrene from Arundina graminifolia, C16H16O3
- Crystal structure of 6,6′-((1E, 1′E)-(((1R, 2R)-1,2-diphenylethane-1,2-diyl) bis(azanylylidene))bis(methanylylidene))bis(2-ethylphenol), C32H32N2O2
- The crystal structure of 2-amino-5-carboxypyridin-1-ium iodide monohydrate, C6H9IN2O3
- The crystal structure of 2-(3,5-difluorophenyl)-2,3-dihydro-1H-naphtho[1,8-de][1,3,2]diazaborinine, C16H11BF2N2
- Crystal structure of bis{(2-pyridinyl)-1-phenyl-1-isopropylmethanolato-κ2N,O}nickel, C30H32N2NiO2
- Crystal structure of poly[(m3-3-carboxyadamantane-1-carboxylato-κ3O:O′:O″)-(phenanthroline-κ2N,N′)sodium(II)], C24H23N2NaO4
- Crystal structure of 2-phenylethynyl-1,3,6,8-tetramethylBOPHY (BOPHY = bis(difluoroboron)-1,2-bis((1H-pyrrol-2-yl)methylene)hydrazine), C22H20B2F4N4
- Crystal structure of 4-tert-butyl-2-N-(2-pyridylmethyl)aminophenol, C16H20N2O
- The crystal structure of (3Z,3′Z)-4,4′-((1,4-phenylenebis(methylene))bis(azanediyl))bis(pent-3-en-2-one), C18H24N2O2
- Crystal structure of (morpholine-1-carbodithioato-κ2-S,S′)bis(triphenylphosphine-κ-P)gold(I), C41H38AuNOP2S2
- Crystal structure of 1,4-bis(4-bromobenzyl)-4-(4-chlorophenyl)-1,4-dihydropyridine-3-carbonitrile, C26H19Br2ClN2
- The crystal structure of fac-tricarbonyl (N′-benzoyl-N,N-diphenylcarbamimidothioato-κ2S,O)-(pyrazole-κN)rhenium(I) — methanol (1/1) C26H23O4N4SRe
- The crystal structure of Ba2Mn(SeO3)2Cl2 containing 1∞[Mn(SeO3)2Cl2]4− chains
- Crystal structure of 3,3′,3″-((1E,1′E,1″E)-((nitrilotris(ethane-2,1-diyl))tris(azaneylylidene)) tris(methaneylylidene))tris(4-hydroxy-1-naphthaldehyde) monohydrate, C42H36N4O6·H2O
- The crystal structure of 4-(6-acetyl-5-methyl-4,7-dihydrotetrazolo[1,5-a]pyrimidin-7-yl)benzonitrile, C14H12N6O
- Crystal structure of benzo[d][1,3]dioxol-5-yl-2-(6-methoxynaphthalen-2-yl)propanoate, C21H18O5
- The crystal structure of ethyl 5-methyl-7-(4-(phenylthio)phenyl)-4,7-dihydrotetrazolo[1,5-a]pyrimidine-6-carboxylate, C20H19N5O2S
- Crystal structure of N′,N‴-((propane-2,2-diylbis(1H-pyrrole-5,2-diyl))bis(methaneylylidene))-di(isonicotinohydrazide)– water – dimethylformamide (1/4/2), C25H24N8O2·4H2O·2C3H7NO
- Synthesis and crystal structure of 4-(2,4-dinitrophenoxy)benzaldehyde, C13H8N2O6
- The crystal structure of 1-dodecylpyridin-1-ium bromide monohydrate, C17H32BrNO
- Crystal structure of (E)-amino(2-(4-(dimethylamino)benzylidene)hydrazineyl)methaniminium nitrate, C10H16N6O3
- Crystal structure of (E)-(2-((1H-pyrrol-2-yl)methylene)hydrazineyl)(amino)methaniminium nitrate monohydrate, C6H12N6O4
- The crystal structure of hexakis(1-propylimidazole-κ1N)copper(II) dichloride, C36H60Cl2CuN12
- The crystal structure of bis{(μ2-3,3-dimethyl-1-phenylbut-1-en-2-yl)((dimethylamino)dimethylsilyl)amido-κ3N,N′:N′}dilithium, C32H54Li2N4Si2
- The crystal structure of methyl 4-(1H-naphtho[1,8-de][1,3,2]diazaborinin-2(3H)-yl)benzoate, C18H15BN2O2
- Crystal structure of (E)-N-(1-((2-chlorothiazol-5-yl)methyl)pyridin-2(1H)-ylidene)-2,2,2-trifluoroacetamide, C11H7ClF3N3OS
- Crystal structure of N′, N‴-((propane-2,2-diylbis(1H-pyrrole-5,2-diyl))bis (methaneylylidene))di(picolinohydrazide) – water – methanol (1/1/1), C25H24N8O2·H2O·CH3OH
- Crystal structure of 3-(2-chloro-benzyl)-7-[4-(2-chloro-benzyl)-piperazin-1-yl]-5,6,8-trifluoro-3H-quinazolin-4-one, C26H21Cl2F3N4O
- Crystal structure of N1,N2-bis(2-fluorobenzyl)benzene-1,2-diamine,C20H18F2N2
- The crystal structure of 2-(benzo[d][1,3]dioxol-5-yl)-2,3-dihydro-1H-naphtho[1,8-de][1,3,2]diazaborinine, C17H13BN2O2
- The crystal structure of 6,6′-((1E,1′E)-hydrazine-1,2-diylidenebis(methaneylylidene)) bis(2-bromo-4-nitrophenol) — dimethylsulfoxide (1/2), C14H8Br2N4O6⋅2(C2H6OS)
- Selective biocatalytic synthesis and crystal structure of (2R,6R)-hydroxyketaminium chloride, C13H17Cl2NO2
- Crystal structure of bis{tetraaqua-[μ3-1-(4-carboxylatophenyl)-5-methyl-1H-pyrazole-3-carboxylate-κ4N,O,O′,O″] [μ2-1-methyl-1H-pyrazole-3,5-dicarboxylate-κ3N,O:O]dicobalt(II)} dihydrate, C36H44Co4N8O26
- Crystal structure of diethyl-2,2′-naphthalene-2,3-diylbis(oxy)diacetate, C18H20O6
- Synthesis and crystal structure of poly[(μ3-2-(2-carboxylatophenyl)-1H-benzo[d]imidazole-5-carboxylato-κO,O′:O′;:O″, O″′)-(μ2-1-(4-(1Himidazol-1-yl)phenyl)-1H-imidazole-κ2N:N′)cadmium(II)], C27H18CdN6O4
- The crystal structure of catena-poly[diaqua-bis(μ2-2-((2-(2-phenylacetyl)hydrazineylidene)methyl)benzoato-κ2O:O')zinc(II)], C32H30N4O8Zn
- The crystal structure of 2-(3,4-dimethoxyphenyl)-2,3-dihydro-1H-naphtho [1,8-de][1,3,2]diazaborinine, C18H17BN2O2
- The crystal structure of hexakis(1-ethylimidazole-κ1N)nickel(II) dichloride – 1-ethylimidazole (1/2), C40H64Cl2NiN16
- Crystal structure of diaqua-bis(2,4-dinitrophenolato-κ2O,O′)copper(II) 1.5 hydrate, C12H13CuN4O13.5
- Crystal structure of N′,N‴-((1E,1′E)-((decane-1,10-diylbis(oxy))bis(2,1-phenylene)) bis(methaneylylidene))di(isonicotinohydrazide), C36H40N6O4
- The crystal structure of 2-[(R)-1-(naphthalen-1-yl)ethyl]-2,3,7,7a-tetrahydro-3a,6-epoxyisoindol-1(6H)-one, C19H20NO2
- Synthesis and crystal structure of (1E,2E)-3-(anthracen-9-yl)-1-(4-methoxyphenyl)prop-2-en-1-one oxime, C24H19NO2
- Synthesis and crystal structure of (2E,2′E)-3,3′-(1,3-phenylene)bis(1-(3-bromophenyl)prop-2-en-1-one), C24H16Br2O2
- The crystal structure of catena-poly[bis(µ2-1,2-bis((1H-imidazol-1-yl)methyl)benzene- κ2N:N′)-bis(nitrato-κO)copper(II)], C28H28N10O6Cu
- Synthesis and crystal structure of the novel chiral acetyl-3-thiophene-5-(9-anthryl)-2-pyrazoline, C23H18N2OS
- Crystal structure of (E)-3-(dimethylamino)-1-(thiophen-3-yl)prop-2-en-1-one, C9H11NOS
- Crystal structure of catena-poly[aqua-(4-iodopyridine-2,6-dicarboxylato-κ3N,O,O′)-(μ2-4-amino-4H-1,2,4-triazole-κ2N:N′) copper(II)], C9H8N5O5CuI
- Crystal structure of cyclopropane-1,2,3-triyltris(phenylmethanone), C24H18O3
- Crystal structure of bis(amino(thioureido)methaniminium) terephthalate, C12H18N8O4S2
- A three-dimensional Eu(III) framework in the crystal structure of dimethylaminium poly[dimethylformamide-κ1N)bis(μ4-terephthalato-κ4O:O′:O′′:O′′′)europium(III)] monohydrate, C21H25EuN2O10
- Crystal structure of 2-methoxyphenyl 2-(6-methoxynaphthalen-2-yl)propanoate, C21H20O4
- The crystal structure of Hexakis(diethylamido)dimolybdenum, Mo2(NEt2)6