Home Crystal structure of 6,6′-((1E, 1′E)-(((1R, 2R)-1,2-diphenylethane-1,2-diyl) bis(azanylylidene))bis(methanylylidene))bis(2-ethylphenol), C32H32N2O2
Article Open Access

Crystal structure of 6,6′-((1E, 1′E)-(((1R, 2R)-1,2-diphenylethane-1,2-diyl) bis(azanylylidene))bis(methanylylidene))bis(2-ethylphenol), C32H32N2O2

  • Zeng-Bing Xu , Jing-Yuan He and Da-Bin Shi ORCID logo EMAIL logo
Published/Copyright: March 12, 2021

Abstract

C32H32N2O2, orthorhombic, P212121 (no. 19), a = 9.78920(12) Å, b = 12.71913(14) Å, c = 20.9423(3) Å, V = 2607.53(5) Å3Z = 4, Rgt(F) = 0.0535, wRref(F2) = 0.1365, T = 149.99(10) K.

CCDC no.: 2052199

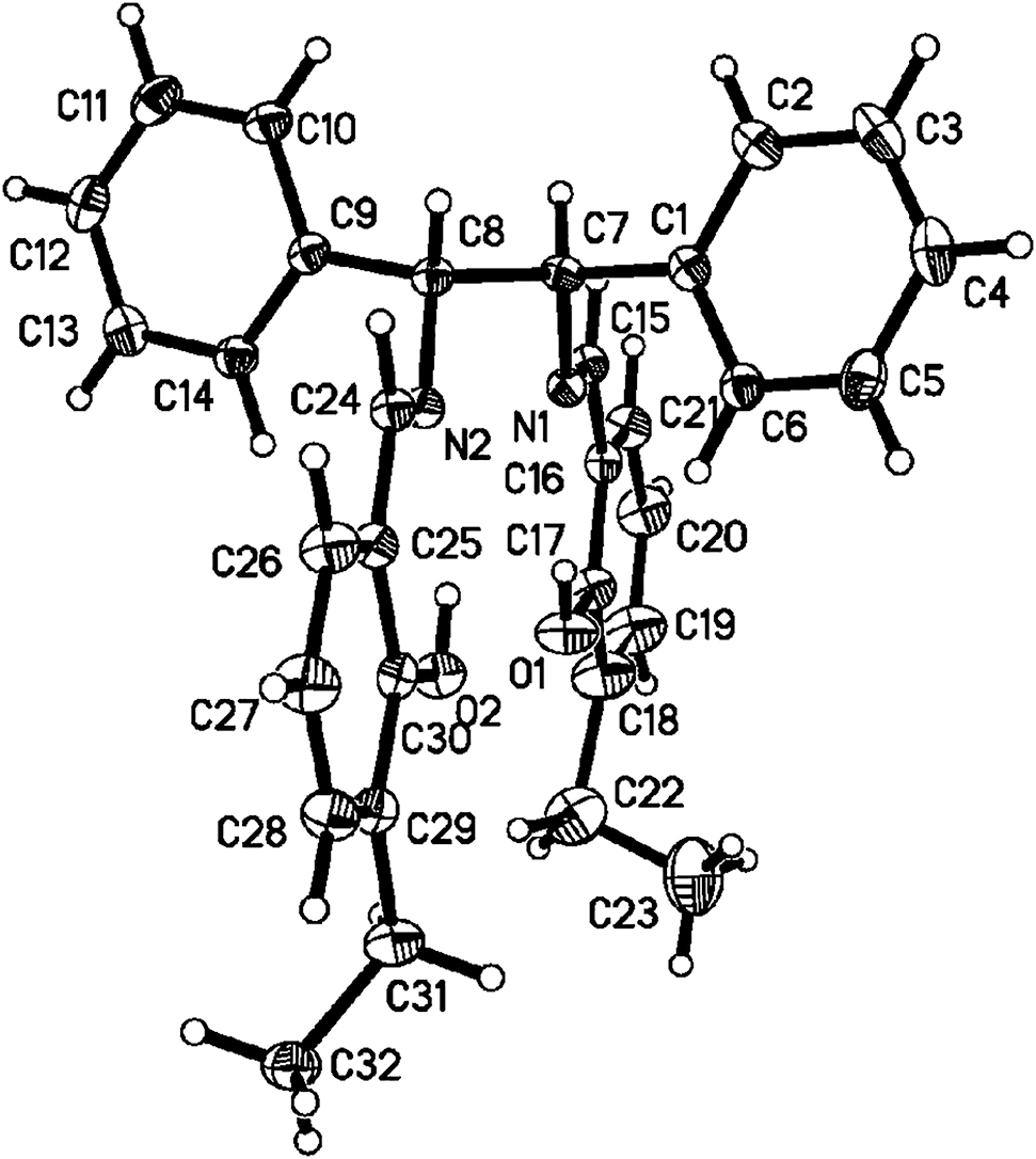
The molecular structure is shown in the figure. Table 1 contains crystallographic data and Table 2 contains the list of the atoms including atomic coordinates and displacement parameters.

Table 1:

Data collection and handling.

Crystal:Yellow block
Size:0.13 × 0.12 × 0.10 mm
Wavelength:Cu Kα radiation (1.54184 Å)
μ:0.59 mm−1
Diffractometer, scan mode:SuperNova, ω
θmax, completeness:73.8°, >99%
N(hkl)measuredN(hkl)uniqueRint:12,561, 5133, 0.024
Criterion for Iobs, N(hkl)gt:Iobs > 2 σ(Iobs), 5044
N(param)refined:329
Programs:CrysAlisPRO [1], SHELX [2], [3], Olex2 [4]
Table 2:

Fractional atomic coordinates and isotropic or equivalent isotropic displacement parameters (Å2).

AtomxyzUiso*/Ueq
O10.6789 (3)0.32760 (18)0.83208 (10)0.0439 (6)
H10.6394200.3516680.8007790.066*
O20.7564 (2)0.24223 (15)0.68175 (9)0.0322 (4)
H20.7133780.2973990.6842400.048*
N10.5336 (2)0.46340 (18)0.76594 (10)0.0246 (5)
N20.6306 (2)0.40912 (18)0.64151 (10)0.0256 (5)
C10.3444 (3)0.4322 (2)0.69217 (12)0.0273 (6)
C20.2207 (3)0.4771 (3)0.67516 (14)0.0353 (6)
H2A0.2110180.5498540.6755200.042*
C30.1104 (3)0.4138 (3)0.65749 (16)0.0445 (8)
H30.0278360.4445090.6459430.053*
C40.1236 (3)0.3059 (3)0.65709 (16)0.0441 (8)
H40.0498150.2640190.6454770.053*
C50.2459 (3)0.2599 (3)0.67386 (15)0.0404 (7)
H50.2546200.1871300.6731220.048*
C60.3562 (3)0.3220 (2)0.69188 (13)0.0316 (6)
H60.4380450.2905100.7037960.038*
C70.4638 (3)0.5024 (2)0.70887 (12)0.0260 (5)
H70.4285540.5729720.7180360.031*
C80.5647 (3)0.5104 (2)0.65175 (12)0.0250 (5)
H80.5116010.5272260.6134150.030*
C90.6702 (3)0.5964 (2)0.66101 (12)0.0258 (5)
C100.6379 (3)0.6985 (2)0.64190 (14)0.0338 (6)
H100.5515440.7131660.6256360.041*
C110.7340 (4)0.7783 (2)0.64705 (16)0.0426 (8)
H110.7120190.8461880.6341430.051*
C120.8614 (4)0.7572 (3)0.67116 (15)0.0421 (7)
H120.9258490.8106460.6743370.051*
C130.8941 (3)0.6565 (3)0.69071 (15)0.0392 (7)
H130.9805500.6424830.7070920.047*
C140.7985 (3)0.5762 (2)0.68602 (13)0.0314 (6)
H140.8207080.5087600.6996760.038*
C150.5159 (3)0.5141 (2)0.81800 (13)0.0262 (5)
H150.4653180.5759870.8169690.031*
C160.5716 (3)0.4789 (2)0.87885 (12)0.0266 (5)
C170.6504 (3)0.3873 (2)0.88375 (13)0.0344 (6)
C180.7057 (5)0.3569 (3)0.94287 (17)0.0556 (9)
C190.6700 (5)0.4170 (3)0.99639 (16)0.0583 (11)
H190.6999680.3951201.0363850.070*
C200.5925 (4)0.5070 (3)0.99227 (15)0.0464 (8)
H200.5726400.5458371.0287210.056*
C210.5447 (3)0.5388 (3)0.93344 (14)0.0356 (6)
H210.4941330.6004470.9300360.043*
C220.8091 (5)0.2626 (4)0.9480 (2)0.0645 (10)
H22A0.8553180.2517610.9075630.077*
H22B0.8771700.2767210.9805470.077*
C230.7290 (6)0.1703 (5)0.9649 (3)0.0855 (16)
H23A0.6638910.1561480.9317020.128*
H23B0.6816830.1829981.0042860.128*
H23C0.7886010.1109250.9697930.128*
C240.6364 (3)0.3722 (2)0.58495 (12)0.0270 (5)
H240.5954130.4093930.5518530.032*
C250.7054 (3)0.2731 (2)0.57068 (12)0.0268 (5)
C260.7155 (4)0.2385 (2)0.50772 (13)0.0360 (7)
H260.6759610.2778890.4752000.043*
C270.7833 (4)0.1468 (3)0.49300 (15)0.0422 (8)
H270.7894390.1240980.4508820.051*
C280.8424 (3)0.0887 (2)0.54176 (15)0.0364 (7)
H280.8880450.0268690.5314770.044*
C290.8360 (3)0.1193 (2)0.60534 (13)0.0290 (6)
C300.7651 (3)0.2123 (2)0.61966 (12)0.0256 (5)
C310.9035 (4)0.0582 (3)0.65828 (16)0.0396 (7)
H31A0.8403090.0049050.6733570.048*
H31B0.9216790.1055290.6935700.048*
C321.0362 (4)0.0051 (3)0.6391 (2)0.0479 (8)
H32A1.018357−0.0454950.6060580.072*
H32B1.074920−0.0298400.6754420.072*
H32C1.0991450.0569670.6235220.072*

Source of material

A solution of 2-ethylphenol (2.4 g, 20 mmol), MgCl2 (5.7 g, 60 mmol), paraformaldehyde (9.0 g, 0.1 mol), triethylamine (15 g 149 mmol) in acetonitrile (50 mL) was refluxed until full consumption of 2-ethylphenol (as indicated by TLC). The mixture was quenched with HCl (1 M) and extracted with ethyl acetate. The combined organic layers were washed with brine, dried with MgSO4 and evaporated under reduced pressure. The crude residue was purified by column chromatography to obtain 3-ethyl-2-hydroxybenzaldehyde (2.2 g, 73% yield) as a yellow oil.

Synthesis of the title compound [5]: 3-ethyl-2- hydroxybenzaldehyde (1 g, 6.7 mmol) was dissolved in 30 mL of ethanol and (1R, 2R)-(−)-1,2-diphenylethane-1,2-diamine (0.71 g, 3.35 mmol) was added to the solution. The solution was heated to reflux for 4 h. The solvent was removed in vacuo and 1.48 g of the product was obtained as yellow solid (95% yield). Crystals were obtained by slow evaporation of an ethanol solution at room temperature over a period of seven days, yield: 0.72 g (93%). M.p.: 105–107 °C. Elemental analysis – found: C, 80.68%; H, 6.72%; N, 5.84%; calculated for C32H32N2O2: C, 80.64%; H, 6.77%; N, 5.88%.

Experimental details

Data were collected via CrysAlisPRO 1.171.39.7e [1], the structure of crystal was determined by SHELXT [2] and refined by OLEX2 [4] and SHELXL [3].

The absolute structure determination succeeded as the derived Flack parameter is found to be near zero with a low standard uncertainty [−0.02(9) from 2090 selected quotients] using Parsons’ method [6]. There is a small disorder of one ethyl group (C22, C23) which was not included in the refinement.

Comment

Hugo Schiff described the condensation between an aldehyde and an amine leading to a Schiff base in 1864 [7]. Schiff base ligands are privileged ligands, as they are easily prepared by the condensation between aldehydes and imines. Stereogenic centres can be introduced in the synthetic design. Schiff base ligands are able to coordinate many different metals, and to stabilize them in various oxidation states, enabling the use of Schiff base metal complexes for a large variety of useful catalytic transformations [8], [9], [10]. When two equivalents of salicylaldehyde are combined with a diamine, a particular chelating Schiff base is obtained – known as salen – with four coordinating sites and two axial sites open to ancillary ligands. Here, we report a new chiral salen compound.

The asymmetric unit of the title structure contains one 6,6′-((1E, 1′E)-(((1R, 2R)-1,2-diphenylethane-1,2-diyl) bis(azanylylidene))bis(methanylylidene))bis(2-ethylphenol). In the crystal structure, bond lengths and bond angles within the molecule are in agreement with the values reported [11]. The bond lengths of C15–N1 and C24–N2 are 1.278(3) and 1.275(3) Å, respectively. As a result of the conjugation of the benzene moiety and adjacent carbon-nitrogen double bond, the bond lengths of C15–C16 and C24–C25 are 1.457(4) and 1.461(4) Å respectively, which is shorter than that of typical C–C bond. Furthermore, the bond lengths of C17–O1 and C30–O2 are 1.351(3) and 1.358(3) Å, respectively. The bond angles (C15–N1–C7) and (C24–N2–C8) are 117.5(2)° and 118.8(2)°, respectively. There are two intramolecular hydrogen bonds (d D···A 2.63 Å; H···A 1.904 Å) between H1 and N1 atom and (d D···A 2.594 Å; H···A 1.864 Å) between H2 and N2 atom, which stabilize the crystal structure [11], [12]. In the crystal packing, dipole-dipole and van der Waals interactions are effective besides an intermolecular hydrogen bond in the molecular packing.


Corresponding author: Da-Bin Shi, School of Pharmaceutical Sciences, Zunyi Medical University, Zunyi 563000, P. R. China, E-mail: .

Funding source: National Natural Science Foundation of China

Award Identifier / Grant number: 21861045

Funding source: Zunyi Medical University

Award Identifier / Grant number: ZYDC2020038

  1. Author contributions: All the authors have accepted responsibility for the entire content of this submitted manuscript and approved submission.

  2. Research funding: National Natural Science Foundation of China (grant no. 21861045) and Technology University Students Science and Technology Innovation and Entrepreneurship Training Program Project in Zunyi Medical University (No. ZYDC2020038).

  3. Conflict of interest statement: The authors declare no conflicts of interest regarding this article.

References

1. Rigaku Corporation. CrysAlisPRO; Yarnton, Oxfordshire, England, 2015.Search in Google Scholar

2. Sheldrick, G. M. SHELXTL – integrated space-group and crystal-structure determination. Acta Crystallogr. 2015, A71, 3–8; https://doi.org/10.1107/s2053273314026370.Search in Google Scholar

3. Sheldrick, G. M. Crystal structure refinement with SHELXL. Acta Crystallogr. 2015, C71, 3–8; https://doi.org/10.1107/s2053229614024218.Search in Google Scholar

4. Dolomanov, O. V., Bourhis, L. J., Gildea, R. J., Howard, J. A. K., Puschmann, H. OLEX2: a complete structure solution, refinement and analysis program. J. Appl. Crystallogr. 2009, 42, 339–341; https://doi.org/10.1107/s0021889808042726.Search in Google Scholar

5. Reiss, H., Shalit, H., Vershinin, V., More, N. Y., Forckosh, H., Pappo, D. Cobalt [salen]-catalyzed selective aerobic oxidative cross-coupling between electron-rich phenols and 2-naphthols. J. Org. Chem. 2019, 84, 7950–7960; https://doi.org/10.1021/acs.joc.9b00822.Search in Google Scholar

6. Parsons, S., Flack, H. D., Wagner, T. Use of intensity quotients and differences in absolute structure refinement. Acta Crystallogr. 2013, B69, 249–259; https://doi.org/10.1107/s2052519213010014.Search in Google Scholar

7. Schiff, H. The syntheses and characterization of Schiff base. Ann. Chem. Pharm. Suppl. 1864, 3, 343–349.Search in Google Scholar

8. Belokon, Y. N., North, M., Parsons, T. Vanadium-catalyzed asymmetric cyanohydrin synthesis. Org. Lett. 2000, 2, 1617–1619; https://doi.org/10.1021/ol005893e.Search in Google Scholar

9. Zeng, X. P., Cao, Z. Y., Wang, X., Chen, L., Zhou, F., Zhu, F., Wang, C. H., Zhou, J. Activation of chiral (salen)AlCl complex by phosphorane for highly enantioselective cyanosilylation of ketones and enones. J. Am. Chem. Soc. 2016, 138, 416–425; https://doi.org/10.1021/jacs.5b11476.Search in Google Scholar

10. Kunisu, T., Oguma, T., Katsuki, T. Aerobic oxidative kinetic resolution of secondary alcohols with naphthoxide-bound iron(salan) complex. J. Am. Chem. Soc. 2011, 133, 12937–12939; https://doi.org/10.1021/ja204426s.Search in Google Scholar

11. Jiao, L., Tan, H., Sun, J., Zhang, L., Wu, Q. Crystal structure of rac-trans-N,N′-bis(3,5-dibromosalicylidene)-1,2-cyclohexanediamine, C20H18Br4N2O2. Z. Kristallogr. NCS 2020, 235, 847–848; https://doi.org/10.1515/ncrs-2020-0052.Search in Google Scholar

12. Wu, Q., Tang, Y., Li, J., Li, Y., Fang, Y. Crystal structure of rac-trans-N,N′-bis(3,5-diiodosalicylidene)-1,2-cyclohexanediamine, C20H18I4N2O2. Z. Kristallogr. NCS 2019, 234, 69–70; https://doi.org/10.1515/ncrs-2018-0173.Search in Google Scholar

Received: 2021-02-10
Accepted: 2021-02-26
Published Online: 2021-03-12
Published in Print: 2021-07-27

© 2021 Zeng-Bing Xu et al., published by De Gruyter, Berlin/Boston

This work is licensed under the Creative Commons Attribution 4.0 International License.

Articles in the same Issue

  1. Frontmatter
  2. New Crystal Structures
  3. Crystal structure of poly[(μ2-aqua-tetraaqua-(μ3-glutarato-κ4O,O′:O′:O′′)-(μ5-glutarato-κ6O:O,O′:O′:O′′:O′′′)distrontium(II)], C10H22O13Sr2
  4. The crystal structure of acetato-κ1O-{(2-(2-(2-aminophenoxy)ethoxy)phenyl)(4-oxo-4-phenylbut-2-en-2-yl)amido-κ2N,N′,O}copper(II), C26H26CuN2O5
  5. Crystal structure of dimethanolato-k2O:O-bis(1-((2-methyl-1H-benzo[d]imidazol-1-yl)methyl)-1H-benzo[d][1,2,3]triazole-κN)-bis(thiocyanato-κN)dicopper(II), C34H32Cu2N12O2S2
  6. Crystal structure of poly[diaqua-bis(μ2-3-(pyrimidin-5-yl)benzoato-κ2N:O)cobalt(II)] dihydrate, [Co(C11H11O2N2)2(H2O)2]
  7. Crystal structure of bis(3,3-dimethyl-1-phenylbut-1-en-2-yl)(trimethylsilyl)amido-k1N)zinc(II), Zn(C15H24NSi)2
  8. Crystal structure of catena-poly[(μ2-methanolato-κ2O:O)-(μ2-1-((2-methyl-1H-benzo[d]imidazol-1-yl)methyl)-1H-benzo[d][1,2,3]triazole-κ2N:N′)-(thiocyanato-κ1N)copper(II)] 0.25 hydrate, C17H16CuN6OS ⋅ 0.5H2O
  9. The crystal structure of 2-amino-5-nitroanilinium iodide monohydrate, C6H8IN3O2
  10. The crystal structure of 3-amino-5-carboxypyridin-1-ium perchlorate monohydrate, C6H9ClN2O7
  11. Crystal structure of 7-hydroxy-2,4-dimethoxy-9,10-dihydrophenanthrene from Arundina graminifolia, C16H16O3
  12. Crystal structure of 6,6′-((1E, 1′E)-(((1R, 2R)-1,2-diphenylethane-1,2-diyl) bis(azanylylidene))bis(methanylylidene))bis(2-ethylphenol), C32H32N2O2
  13. The crystal structure of 2-amino-5-carboxypyridin-1-ium iodide monohydrate, C6H9IN2O3
  14. The crystal structure of 2-(3,5-difluorophenyl)-2,3-dihydro-1H-naphtho[1,8-de][1,3,2]diazaborinine, C16H11BF2N2
  15. Crystal structure of bis{(2-pyridinyl)-1-phenyl-1-isopropylmethanolato-κ2N,O}nickel, C30H32N2NiO2
  16. Crystal structure of poly[(m3-3-carboxyadamantane-1-carboxylato-κ3O:O′:O″)-(phenanthroline-κ2N,N′)sodium(II)], C24H23N2NaO4
  17. Crystal structure of 2-phenylethynyl-1,3,6,8-tetramethylBOPHY (BOPHY = bis(difluoroboron)-1,2-bis((1H-pyrrol-2-yl)methylene)hydrazine), C22H20B2F4N4
  18. Crystal structure of 4-tert-butyl-2-N-(2-pyridylmethyl)aminophenol, C16H20N2O
  19. The crystal structure of (3Z,3′Z)-4,4′-((1,4-phenylenebis(methylene))bis(azanediyl))bis(pent-3-en-2-one), C18H24N2O2
  20. Crystal structure of (morpholine-1-carbodithioato-κ2-S,S′)bis(triphenylphosphine-κ-P)gold(I), C41H38AuNOP2S2
  21. Crystal structure of 1,4-bis(4-bromobenzyl)-4-(4-chlorophenyl)-1,4-dihydropyridine-3-carbonitrile, C26H19Br2ClN2
  22. The crystal structure of fac-tricarbonyl (N′-benzoyl-N,N-diphenylcarbamimidothioato-κ2S,O)-(pyrazole-κN)rhenium(I) — methanol (1/1) C26H23O4N4SRe
  23. The crystal structure of Ba2Mn(SeO3)2Cl2 containing 1[Mn(SeO3)2Cl2]4− chains
  24. Crystal structure of 3,3′,3″-((1E,1′E,1″E)-((nitrilotris(ethane-2,1-diyl))tris(azaneylylidene)) tris(methaneylylidene))tris(4-hydroxy-1-naphthaldehyde) monohydrate, C42H36N4O6·H2O
  25. The crystal structure of 4-(6-acetyl-5-methyl-4,7-dihydrotetrazolo[1,5-a]pyrimidin-7-yl)benzonitrile, C14H12N6O
  26. Crystal structure of benzo[d][1,3]dioxol-5-yl-2-(6-methoxynaphthalen-2-yl)propanoate, C21H18O5
  27. The crystal structure of ethyl 5-methyl-7-(4-(phenylthio)phenyl)-4,7-dihydrotetrazolo[1,5-a]pyrimidine-6-carboxylate, C20H19N5O2S
  28. Crystal structure of N′,N‴-((propane-2,2-diylbis(1H-pyrrole-5,2-diyl))bis(methaneylylidene))-di(isonicotinohydrazide)– water – dimethylformamide (1/4/2), C25H24N8O2·4H2O·2C3H7NO
  29. Synthesis and crystal structure of 4-(2,4-dinitrophenoxy)benzaldehyde, C13H8N2O6
  30. The crystal structure of 1-dodecylpyridin-1-ium bromide monohydrate, C17H32BrNO
  31. Crystal structure of (E)-amino(2-(4-(dimethylamino)benzylidene)hydrazineyl)methaniminium nitrate, C10H16N6O3
  32. Crystal structure of (E)-(2-((1H-pyrrol-2-yl)methylene)hydrazineyl)(amino)methaniminium nitrate monohydrate, C6H12N6O4
  33. The crystal structure of hexakis(1-propylimidazole-κ1N)copper(II) dichloride, C36H60Cl2CuN12
  34. The crystal structure of bis{(μ2-3,3-dimethyl-1-phenylbut-1-en-2-yl)((dimethylamino)dimethylsilyl)amido-κ3N,N′:N′}dilithium, C32H54Li2N4Si2
  35. The crystal structure of methyl 4-(1H-naphtho[1,8-de][1,3,2]diazaborinin-2(3H)-yl)benzoate, C18H15BN2O2
  36. Crystal structure of (E)-N-(1-((2-chlorothiazol-5-yl)methyl)pyridin-2(1H)-ylidene)-2,2,2-trifluoroacetamide, C11H7ClF3N3OS
  37. Crystal structure of N′, N‴-((propane-2,2-diylbis(1H-pyrrole-5,2-diyl))bis (methaneylylidene))di(picolinohydrazide) – water – methanol (1/1/1), C25H24N8O2·H2O·CH3OH
  38. Crystal structure of 3-(2-chloro-benzyl)-7-[4-(2-chloro-benzyl)-piperazin-1-yl]-5,6,8-trifluoro-3H-quinazolin-4-one, C26H21Cl2F3N4O
  39. Crystal structure of N1,N2-bis(2-fluorobenzyl)benzene-1,2-diamine,C20H18F2N2
  40. The crystal structure of 2-(benzo[d][1,3]dioxol-5-yl)-2,3-dihydro-1H-naphtho[1,8-de][1,3,2]diazaborinine, C17H13BN2O2
  41. The crystal structure of 6,6′-((1E,1′E)-hydrazine-1,2-diylidenebis(methaneylylidene)) bis(2-bromo-4-nitrophenol) — dimethylsulfoxide (1/2), C14H8Br2N4O6⋅2(C2H6OS)
  42. Selective biocatalytic synthesis and crystal structure of (2R,6R)-hydroxyketaminium chloride, C13H17Cl2NO2
  43. Crystal structure of bis{tetraaqua-[μ3-1-(4-carboxylatophenyl)-5-methyl-1H-pyrazole-3-carboxylate-κ4N,O,O′,O″] [μ2-1-methyl-1H-pyrazole-3,5-dicarboxylate-κ3N,O:O]dicobalt(II)} dihydrate, C36H44Co4N8O26
  44. Crystal structure of diethyl-2,2′-naphthalene-2,3-diylbis(oxy)diacetate, C18H20O6
  45. Synthesis and crystal structure of poly[(μ3-2-(2-carboxylatophenyl)-1H-benzo[d]imidazole-5-carboxylato-κO,O′:O′;:O″, O″′)-(μ2-1-(4-(1Himidazol-1-yl)phenyl)-1H-imidazole-κ2N:N′)cadmium(II)], C27H18CdN6O4
  46. The crystal structure of catena-poly[diaqua-bis(μ2-2-((2-(2-phenylacetyl)hydrazineylidene)methyl)benzoato-κ2O:O')zinc(II)], C32H30N4O8Zn
  47. The crystal structure of 2-(3,4-dimethoxyphenyl)-2,3-dihydro-1H-naphtho [1,8-de][1,3,2]diazaborinine, C18H17BN2O2
  48. The crystal structure of hexakis(1-ethylimidazole-κ1N)nickel(II) dichloride – 1-ethylimidazole (1/2), C40H64Cl2NiN16
  49. Crystal structure of diaqua-bis(2,4-dinitrophenolato-κ2O,O′)copper(II) 1.5 hydrate, C12H13CuN4O13.5
  50. Crystal structure of N′,N‴-((1E,1′E)-((decane-1,10-diylbis(oxy))bis(2,1-phenylene)) bis(methaneylylidene))di(isonicotinohydrazide), C36H40N6O4
  51. The crystal structure of 2-[(R)-1-(naphthalen-1-yl)ethyl]-2,3,7,7a-tetrahydro-3a,6-epoxyisoindol-1(6H)-one, C19H20NO2
  52. Synthesis and crystal structure of (1E,2E)-3-(anthracen-9-yl)-1-(4-methoxyphenyl)prop-2-en-1-one oxime, C24H19NO2
  53. Synthesis and crystal structure of (2E,2′E)-3,3′-(1,3-phenylene)bis(1-(3-bromophenyl)prop-2-en-1-one), C24H16Br2O2
  54. The crystal structure of catena-poly[bis(µ2-1,2-bis((1H-imidazol-1-yl)methyl)benzene- κ2N:N′)-bis(nitrato-κO)copper(II)], C28H28N10O6Cu
  55. Synthesis and crystal structure of the novel chiral acetyl-3-thiophene-5-(9-anthryl)-2-pyrazoline, C23H18N2OS
  56. Crystal structure of (E)-3-(dimethylamino)-1-(thiophen-3-yl)prop-2-en-1-one, C9H11NOS
  57. Crystal structure of catena-poly[aqua-(4-iodopyridine-2,6-dicarboxylato-κ3N,O,O′)-(μ2-4-amino-4H-1,2,4-triazole-κ2N:N′) copper(II)], C9H8N5O5CuI
  58. Crystal structure of cyclopropane-1,2,3-triyltris(phenylmethanone), C24H18O3
  59. Crystal structure of bis(amino(thioureido)methaniminium) terephthalate, C12H18N8O4S2
  60. A three-dimensional Eu(III) framework in the crystal structure of dimethylaminium poly[dimethylformamide-κ1N)bis(μ4-terephthalato-κ4O:O′:O′′:O′′′)europium(III)] monohydrate, C21H25EuN2O10
  61. Crystal structure of 2-methoxyphenyl 2-(6-methoxynaphthalen-2-yl)propanoate, C21H20O4
  62. The crystal structure of Hexakis(diethylamido)dimolybdenum, Mo2(NEt2)6
Downloaded on 15.11.2025 from https://www.degruyterbrill.com/document/doi/10.1515/ncrs-2021-0060/html
Scroll to top button