Abstract
C18H24N6Na2O10, triclinic, P1̄, a = 6.223(2) Å, b = 7.385(2) Å, c = 14.295(4) Å, α = 75.491(6)°, β = 77.953(6)°, γ = 70.523(6)°, V = 593.9(3) Å3, Z = 1, Rgt(F) = 0.0517, wRref(F2) = 0.1533, T = 296(2) K.

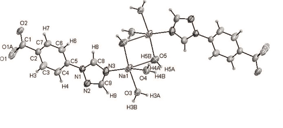
A part of the crystal structure is shown in the figure. Tables 1 and 2 contain details on crystal structure and measurement conditions and a list of the atoms including atomic coordinates and displacement parameters.
Data collection and handling.
| Crystal: | Block, colorless |
| Size: | 0.2 × 0.2 × 0.2 mm |
| Wavelength: | Mo Kα radiation (λ = 0.71073 Å) |
| μ: | 0.151 mm−1 |
| Diffractometer, scan mode: | Bruker APEX-II CCD, Φ and ω-scans |
| θmax, completeness: | 28.8°, >99% |
| N(hkl)measured, N(hkl)unique, Rint: | 4678, 3075, 0.0253 |
| Criterion for Iobs, N(hkl)gt: | Iobs > 2σ(Iobs), 1837 |
| N(param)refined: | 173 |
| Programs: | Bruker programs [1], SHELX [2], [3], [4] |
Fractional atomic coordinates and isotropic or equivalent isotropic displacement parameters (Å2).
| Atom | x | y | z | Uiso*/Ueq |
|---|---|---|---|---|
| Na1 | 0.32484(14) | 0.71525(15) | 0.94416(6) | 0.0573(3) |
| O1 | 0.7263(9) | 0.822(4) | 0.1605(3) | 0.070(3) |
| O1A | 0.736(3) | 0.733(8) | 0.1628(14) | 0.045(6) |
| N1 | 0.3680(3) | 0.7611(2) | 0.61720(11) | 0.0380(4) |
| C1 | 0.8401(4) | 0.7252(4) | 0.23146(15) | 0.0465(5) |
| O2 | 1.0516(3) | 0.6408(2) | 0.22396(11) | 0.0521(4) |
| C2 | 0.7111(3) | 0.7384(3) | 0.33250(13) | 0.0377(5) |
| N2 | 0.1350(3) | 0.8255(3) | 0.63609(13) | 0.0523(5) |
| O3 | −0.0731(2) | 0.8101(2) | 0.97557(10) | 0.0432(4) |
| H3A | −0.140118 | 0.795045 | 1.034305 | 0.052 |
| H3B | −0.166769 | 0.919138 | 0.954986 | 0.052 |
| C3 | 0.4739(4) | 0.7912(4) | 0.35125(16) | 0.0608(7) |
| H3 | 0.389219 | 0.821522 | 0.299984 | 0.073 |
| N3 | 0.2907(4) | 0.7324(3) | 0.77516(13) | 0.0581(6) |
| O5 | 0.7205(2) | 0.5765(2) | 0.92465(11) | 0.0509(4) |
| H5A | 0.817056 | 0.518382 | 0.882099 | 0.061 |
| H5B | 0.799986 | 0.637838 | 0.936953 | 0.061 |
| C5 | 0.4833(3) | 0.7568(3) | 0.52000(13) | 0.0340(4) |
| O4 | 0.3425(3) | 0.8182(2) | 1.09180(11) | 0.0488(4) |
| H4A | 0.445678 | 0.811179 | 1.122965 | 0.059 |
| H4B | 0.262266 | 0.759502 | 1.135456 | 0.059 |
| C4 | 0.3594(4) | 0.7997(4) | 0.44502(16) | 0.0552(6) |
| H4 | 0.199576 | 0.834476 | 0.456618 | 0.066 |
| C7 | 0.8308(4) | 0.7001(4) | 0.40855(15) | 0.0495(6) |
| H7 | 0.990610 | 0.665192 | 0.397209 | 0.059 |
| C6 | 0.7191(4) | 0.7120(4) | 0.50228(16) | 0.0542(6) |
| H6 | 0.802947 | 0.689908 | 0.552922 | 0.065 |
| C8 | 0.4557(4) | 0.7055(4) | 0.70096(15) | 0.0543(6) |
| H8 | 0.611895 | 0.654778 | 0.706254 | 0.065 |
| C9 | 0.1001(4) | 0.8050(4) | 0.73174(16) | 0.0538(6) |
| H9 | −0.046506 | 0.838691 | 0.766712 | 0.065 |
Source of material
The ligand, 4-(1H-1,2,4-triazol-1-yl)benzoic acid, was purchased from alfa aesar company. Sodium hydrate (0.004 g, 0.1 mmol), Hbpt24 (0.0189 g, 0.1 mmol) and distilled water (20 mL) were placed in a 20.0 mL Teflon-lined stainless steel autoclave. It was heated at 383 K for 2 days. After cooling to room temperature, colourless block crystals of the title complex were obtained.
Experimental details
The carbon H-atoms were placed in calculated positions (C—Hphenyl or triazolyl = 0.93 Å) using a riding model (AFIX 43 or AFIX 137 option of the SHELX program [11], [12], [13], and were included with Uiso(H) = 1.2Ueq(C). The water H-atoms were placed in calculated positions (O⋯H = 0.85 Å), and were included with Uiso(H) = 1.2Ueq(O).
Comment
The exploration of alkali-metal complexes has attracted significant interest, due to its potential application in catalysts [5], [6], [7], [8]. The exo-multidentate compounds are often employed as ligands to produce polymeric networks due to their rich coordination sites and various coordination modes [9], [10], [11], [12]. Recently, our group studied the reactions of 4-(1H-1,2,4-triazol-1-yl)benzoic acid (HL) with silver, obtaining a series of coordination compounds [13], [14]. As a follow up study, we report the title complex.
The title complex consists of two Na(I) ion, two L ligands and six coordinated water molecules. Each Na(I) is five-coordinated by one N atom from L and four O atoms from four water molecules. The Na–N distance is 2.437(2) Å and Na–O bond lengths are in the range of 2.3158(17) − 2.530(2) Å. The coordination environment is a distorted trigonal bipyramid, since the N—Na—O and N—Na—O bond angles in the trigonal plane are in the range of 78.13 − 160.18°. The water O5 atom acts as a μ2-bridge linking the Na(I) centers into a the dinuclear complex. Intermolecular hydrogen bonds link dinuclear complexes into a three-dimensional supramolecular framework.
Acknowledgements
We are grateful for financial support from the NSF of China (Grants 21671031, 21705098); Shandong Provincial Science and Technology Department Project (Grants ZR201702200428); Shandong Provincial Higher Education Research Project(J17KA116)).
References
Bruker. APEX3, SAINT and SADABS. Brucker AXS Inc., Madison, WI, USA (2016).Suche in Google Scholar
Sheldrick, G. M.: A short history of SHELX. Acta. Crystallogr. A64 (2008) 112–122.10.1107/S0108767307043930Suche in Google Scholar
Sheldrick, G. M.: SHELXT- Integrated space-group and crystal-structure determination. Acta Crystallogr. A71 (2015) 3–8.10.1107/S2053273314026370Suche in Google Scholar
Sheldrick, G. M.: Crystal structure refinement with SHELXL. Acta Crystallogr. C71 (2015) 3–8.10.1107/S2053229614024218Suche in Google Scholar
Luximon, A. B.; Jhurry, D.; Spassky, N.; Pensec, S.; Belleney, J.: Anionic polymerization of d,l-lactide initiated by lithium diisopropylamide. Polymer 42 (2001) 9651–9656.10.1016/S0032-3861(01)00524-9Suche in Google Scholar
Kuo, P.-C.; Chang, J.-C.; Lee, W.-Y.; Lee, H. M.; Huang, J.-H.: Synthesis and characterization of lithium and yttrium complexes containing tridentate pyrrolyl ligands. Single-crystal X-ray structures of {Li[C4H2N(CH2NMe2)2-2,5]}2 (1) and {[C4H2N(CH2NMe2)2-2,5]YCl2(μ-Cl)⋅Li(OEt2)2}2 (2) and ring-opening polymerization of ε-caprolactone. J. Organomet Chem. 609 (2005) 4168–4174.10.1016/j.jorganchem.2005.06.024Suche in Google Scholar
Zhang, J.; Wang, C.; Lu, M.; Yao, Y.-M.; Zhang, Y.; Sheng, Q.: Synthesis and characterization of alkali-metal aryloxo compounds and their catalytic activity for l-lactide polymerization. Polyhedron 30 (2011) 1876–1883.10.1016/j.poly.2011.04.045Suche in Google Scholar
Lu, W. Y.; Hsiao, M. W.; Hsu, S. C. N.; Peng, W. T.; Chang, Y. J.; Tsou, Y. C.; Wu, T. Y.; Lai, Y. C.; Chen, Y.; Chen, H. Y.: Synthesis, characterization and catalytic activity of lithium and sodium iminophenoxide complexes towards ring-opening polymerization of L-lactide. Dalton Trans. 41 (2012) 3659–3667.10.1039/c2dt12063aSuche in Google Scholar PubMed
Fu, A. Y.; Wu, Y. P.; Sun, Y. L.: Syntheses, crystal structures, and fluorescence properties of two isomorphic binuclear compounds incorporating N-acetyl-N-phenylglycinate with N-donor co-ligands. J. Coord. Chem. 63 (2010) 3724–3733.10.1080/00958972.2010.521551Suche in Google Scholar
Fu, A. Y.; Jiang, Y. L.; Wang, Y. Y.; Gao, X. N.; Yang, G. P.; Hou, L.; Shi, Q. Z.: DMF/H2O volume ratio controls the syntheses and transformations of a Series of cobalt complexes constructed using a rigid angular multitopic Ligand. Inorg. Chem. 49 (2010) 5495–5502.10.1021/ic902548fSuche in Google Scholar PubMed
Gao, X. N.; Fu, A. Y.; Wang, Y. Y.: Shape-asymmetry supramolecular isomerism in asymmetrical ligand PCPs and the expression method of three-level isomerism. Inorg. Chem. 55 (2016) 4330–4334.10.1021/acs.inorgchem.6b00081Suche in Google Scholar PubMed
Fu, A.-Y.: Crystal structure of aqua-bis(3-(2-pyridyl)-5-(4-pyridyl)-1H-1,2,4-triazole-κ2N,N′)copper(II) sulfate tetrahydrate, C24H28CuN10O9S. Z. Kristallogr. –NCS 233 (2018) 217–219.10.1515/ncrs-2017-0224Suche in Google Scholar
Jin, J.-C.; Fu, A.-Y.; Sun, C.-B.; Zhang, Y.-H.: The crystal structure of ammonia-(4-(1H-1,2,4-triazol-1-yl)benzoato-κN) silver(I)dihydrate C9H13AgN4Na2O4. Z. Kristallogr. –NCS 232 (2017) 725–726.10.1515/ncrs-2016-0370Suche in Google Scholar
Sun, C.-B.; Fu, A.-Y.; Jin, J.-C.; Zhang, Y.-H.: The crystal structure of (4-(1H-1,2,4-triazol-1-yl)benzoato-κN)-[4-(1H-1,2,4-triazol-1-yl)benzoic acid-κN]silver(I), C18H13AgN6O4. Z. Kristallogr. –NCS 232 (2017) 591–596.10.1515/ncrs-2016-0356Suche in Google Scholar
©2018 Xiaonan Gao et al., published by De Gruyter, Berlin/Boston
This work is licensed under the Creative Commons Attribution-NonCommercial-NoDerivatives 4.0 License.
Artikel in diesem Heft
- Cover and Frontmatter
- Crystal structure of di-μ2-aqua-tetraaqua-bis(4-(1H-1,2,4-triazol-1-yl)benzoato-κN)disodium(I) C18H24N6Na2O10
- Crystal structure of diaqua-bis(2-bromo-4-chloro-6-formylphenolato-κ2O,O′)cobalt(II), C16H16Cl2CrN3O7
- Crystal structure of catena-poly[(μ2-1-(4-(1H-pyrazol-1-yl)phenyl)ethan-1-one-κ2N:O)-bis(1,1,1-trifluoro-4-oxo-4-(thiophen-2-yl)but-2-en-2-olato-κ2O,O′)copper(II)], C27H18CuF6N2O5S2
- Crystal structure of ethyl 2-amino-4-(3,5-difluorophenyl)-7-methyl-5-oxo-4H,5H-pyrano[4,3-b]pyran-3-carboxylate, C18H15F2NO5
- Crystal structure of 5,5′-dimethoxy-2,2′-[1,1′-(ethylenedioxydinitrilo)diethylidyne]diphenol, C20H24N2O6
- Crystal structure of (E)-1-(4-(((E)-3,5-dichloro-2-hydroxybenzylidene)amino)phenyl)ethan-1-one O-methyl oxime, C16H14Cl2N2O2
- Crystal structure of 2,3,9,10,16,17,23,24-octakis(2,6-dimethylphenoxy)phthalocyanine - trichloromethane (1/2), C98H84Cl6N8O8
- Crystal structure of methyl 2-((1-(2-(methoxycarbonyl)benzyl)-1H-1,2,3-triazol-4-yl)methoxy)-1-naphthoate, C24H21N3O5
- Crystal structure of catena-poly[(μ2-3,3′-thiodipropionato-κ2O:O′)-(bipyridine-κ2N,N′)copper(II)] C16H16CuN2O4S
- Crystal structure of [4-chloro-2-(((2-((3-ethoxy-2-oxidobenzylidene)amino)phenyl)imino)(phenyl)methyl)phenolato-κ4N,N′,O,O′}nickel(II) - ethyl acetate (1/1), C32H29ClN2NiO5
- Crystal structure of (4-(4-chlorophenyl)-5-ethyl-1,3-dioxane-5-carboxylato-κ2O,O′)-(5,5,7,12,12,14-hexamethyl-1,4,8,11-tetraazacyclotetradecane-κ4N,N′,N′′,N′′′)nickel(II) perchlorate monohydrate, C29H52Cl2N4NiO9
- Crystal structure of ethyl 2-amino-4-(3,4-dimethylphenyl)-7-methyl-5-oxo-4H,5H-pyrano[4,3-b]pyran-3-carboxylate, C20H21NO5
- Structure and photochromism of 1,2-bis[2-methyl-5-(3-quinolyl)-3-thienyl]-3,3,4,4,5,5-hexafluorocyclopent-1-ene, C33H20F6N2S2
- Crystal structure of catena-poly[diaqua-bis(μ2-3,5-di(1H-1,2,4-triazol-1-yl)benzoate-κ2N:N′)cobalt(II))] 2.5 hydrate, C22H23CoN12O8.50
- The crystal structure of dichlorido(1,3-dimesityl-1H-3λ4-imidazol-2-yl)(morpholine-κN)palladium(IV), C25H33Cl2N3OPd
- Crystal structure of catena-poly[bis(4,4′-dipyridylaminium-kN)-(μ2-germanowolframato-κ2O:O′)-(2,2′-bipyridine-κ2N,N′)copper(II)] with a Keggin-type heteropolyoxoanion, [Cu(C10H8N2)(C10H10N3)2][GeW12O40] ⋅ H2O
- Crystal structure of diaqua-(N-(1-(pyrazin-2-yl)ethylidene)pyridin-1-ium-4-carbohydrazonate-κ3N,N′,O)-tris[nitrato-κ2O,O′)lanthanum(III), C12H15N8O12La
- The crystal structure of 2-hydroxy-4-((2-hydroxy-4-methoxy-3,6-dimethylbenzoyl)oxy)-3,6-dimethylbenzoic acid–methanol (1/1), C20H24O8
- Crystal structure of guanidinium tetrapropylammonium bis(hydrogencarbonate) dihydrate, C15H40N4O8
- Crystal structure of (Z)-2-bromo-3-(3,5-di-tert-butyl-4-hydroxyphenyl)-1-phenylprop-2-en-1-one, C23H27BrO2
- Crystal structure of 2-(4-(4H-1,2,4-triazol-4-yl)phenyl)acetic acid, C10H9N3O4
- Crystal structure of 4,4′-(1,4-phenylene)bis(1H-imidazol-3-ium)bis(2-carboxybenzoate), C30H26N4O8
- Crystal structure of 4,4′-(4,10-diphenyl-4,10-dihydropyreno[4,5-d:9,10-d′]diimidazole-5,11-diyl)bis(N,N-diphenylaniline), C66H44N6
- Crystal structure of catena-poly[diaqua-bis(μ2-5-(3-(1H-imidazol-5-yl)phenyl)tetrazol-2-ido-κ2N:N′)cobalt(II)], C20H18CoN12O2
- Crystal structure of 1,3-dimethyl-2-(p-tolyl)-1H-perimidin-3-ium iodide 1.5 hydrate, C20H22IN2O1.5
- Crystal structure of 2-(4-methoxyphenyl)chromane, C16H16O2
- Crystal structure of poly[(μ2-2-carboxy-5-nitroisophthalato-κ2O:O′)-(μ2-4-((1H-imidazol-1-yl)methyl)pyridine-κ2N:N′)zinc(II)], C18H12N4O8Zn
- Crystal structure of bis(1-((2-ethyl-4-methyl-1H-imidazol-1-yl)methyl)-1H-benzo[d][1,2,3]triazole-κ2N:N′)tetraiodidodicadmium(II), [Cd2(C13H15N5)2I4]
- Crystal structure of tetramethylammonium bis(acetato-κ1O)-tetrakis(μ3-3-((hydroxyimino)methyl)-5-methoxy-2-oxidobenzoate-κ5O,O′:O′,N:O′′)tetrazinc(II) — N,N′-dimethylformamide — water (1/2/2), C62H96Zn4N10O28
- Crystal structure of poly[(μ4-5-tert-butylisophthalato-κ4O:O′:O′′:O′′′)-(1,3-dimethyl-2-imidazolidinone-κO)zinc(II)] C17H22N2O5Zn
- Crystal structure of [tris(2-benzimidazolylmethyl)amine-κ4N,N′,N′′,N′′′]-[(pyridine-2,6-dicarboxylato-κ2O,N)]cadmium(II)–methanol (1:3) C34H36CdN8O7
- The crystal structure of bis(1H-benzo[d]imidazol-2-amine-κN)-diiodidocadmium(II), C14H14CdI2N6
- Crystal structure of tetrakis(1H-benzimidazol-2-amine)-κN)-bis(μ2-sulfonato-κ2O:O′)dizinc(II) - methanol (1/1), C30H36N12O10S2Zn2
- Crystal structure of 3β-methoxy-20α-dimethylamino-pregn-5-ene, C24H41NO
- Crystal structure of dimethyl 4,4′-oxydibenzoate, C16H14O5
- Crystal structure of catena-poly[diiodido-(μ2-1,5-dimethyl-2-phenyl-4-((pyridin-3-ylmethylene)amino)-1,2-dihydro-3H-pyrazol-3-one-κ2N:O)zinc(II)], C17H16I2N4OZn
- Crystal structure of 4-((E)-((E)-5-(2-fluorobenzylidene)-1-((4-fluorophenyl)sulfonyl)-4-oxopiperidin-3-ylidene)methyl)benzonitrile, C26H18F2N2O3S
- Crystal structure of bis(acetato-κ1O)-bis(1-(pyridin-2-yl)ethan-1-one oxime-κ2N,N′)zinc(II), C18H22N4O6Zn
- The crystal structure of 9-butoxy-2-(hydroxymethyl)-2H-imidazo[1,5-a]quinolin-10-ium bromide, C17H21O2N2Br
- Crystal stucture of 2-(tert-butyl)-6-(hydroxymethyl)-4-methylphenol, C12H18O2
- Crystal structure of catena-poly[(2-(5-chloroquinolin-8-yloxy)-1-(pyrrolidin-1-yl)ethan-1-one-κ3N,O,O′)-(dinitrato-κ2O,O′)mercury(II)], C15H15N4O8ClHg
- Crystal structure of dimethyl (3aS,6R,6aS,7S)-1H,3H,6H,7H-3a,6:7,9a-diepoxybenzo[de]isochromene-3a1,6a-dicarboxylate, C16H16O7
- The crystal structure of 2-(dimethoxymethyl)-4-(4-methylphenyl)-1H-imidazole—petroleum ether-chloroform (3/1), C27H33Cl3N4O4
- Crystal structure of 8-(trifluoromethyl)imidazo[1,2-a]pyridine-3-carbaldehyde, C9H5F3N2O
- The crystal structure of N,N-diethyl-4,6-bis(naphthalen-2-yloxy)-1,3,5-triazin-2-amine, C27H24N4O2
- Crystal structure of 5-bromo-7-chloro-3,3a-dihydrocyclopenta[b]chromen-1(2H)-one, C12H8BrClO2
- Crystal structure of 2-(bis(4-fluorophenyl)methylene)hydrazine-1-carbothioamide, C14H11F2N3S
Artikel in diesem Heft
- Cover and Frontmatter
- Crystal structure of di-μ2-aqua-tetraaqua-bis(4-(1H-1,2,4-triazol-1-yl)benzoato-κN)disodium(I) C18H24N6Na2O10
- Crystal structure of diaqua-bis(2-bromo-4-chloro-6-formylphenolato-κ2O,O′)cobalt(II), C16H16Cl2CrN3O7
- Crystal structure of catena-poly[(μ2-1-(4-(1H-pyrazol-1-yl)phenyl)ethan-1-one-κ2N:O)-bis(1,1,1-trifluoro-4-oxo-4-(thiophen-2-yl)but-2-en-2-olato-κ2O,O′)copper(II)], C27H18CuF6N2O5S2
- Crystal structure of ethyl 2-amino-4-(3,5-difluorophenyl)-7-methyl-5-oxo-4H,5H-pyrano[4,3-b]pyran-3-carboxylate, C18H15F2NO5
- Crystal structure of 5,5′-dimethoxy-2,2′-[1,1′-(ethylenedioxydinitrilo)diethylidyne]diphenol, C20H24N2O6
- Crystal structure of (E)-1-(4-(((E)-3,5-dichloro-2-hydroxybenzylidene)amino)phenyl)ethan-1-one O-methyl oxime, C16H14Cl2N2O2
- Crystal structure of 2,3,9,10,16,17,23,24-octakis(2,6-dimethylphenoxy)phthalocyanine - trichloromethane (1/2), C98H84Cl6N8O8
- Crystal structure of methyl 2-((1-(2-(methoxycarbonyl)benzyl)-1H-1,2,3-triazol-4-yl)methoxy)-1-naphthoate, C24H21N3O5
- Crystal structure of catena-poly[(μ2-3,3′-thiodipropionato-κ2O:O′)-(bipyridine-κ2N,N′)copper(II)] C16H16CuN2O4S
- Crystal structure of [4-chloro-2-(((2-((3-ethoxy-2-oxidobenzylidene)amino)phenyl)imino)(phenyl)methyl)phenolato-κ4N,N′,O,O′}nickel(II) - ethyl acetate (1/1), C32H29ClN2NiO5
- Crystal structure of (4-(4-chlorophenyl)-5-ethyl-1,3-dioxane-5-carboxylato-κ2O,O′)-(5,5,7,12,12,14-hexamethyl-1,4,8,11-tetraazacyclotetradecane-κ4N,N′,N′′,N′′′)nickel(II) perchlorate monohydrate, C29H52Cl2N4NiO9
- Crystal structure of ethyl 2-amino-4-(3,4-dimethylphenyl)-7-methyl-5-oxo-4H,5H-pyrano[4,3-b]pyran-3-carboxylate, C20H21NO5
- Structure and photochromism of 1,2-bis[2-methyl-5-(3-quinolyl)-3-thienyl]-3,3,4,4,5,5-hexafluorocyclopent-1-ene, C33H20F6N2S2
- Crystal structure of catena-poly[diaqua-bis(μ2-3,5-di(1H-1,2,4-triazol-1-yl)benzoate-κ2N:N′)cobalt(II))] 2.5 hydrate, C22H23CoN12O8.50
- The crystal structure of dichlorido(1,3-dimesityl-1H-3λ4-imidazol-2-yl)(morpholine-κN)palladium(IV), C25H33Cl2N3OPd
- Crystal structure of catena-poly[bis(4,4′-dipyridylaminium-kN)-(μ2-germanowolframato-κ2O:O′)-(2,2′-bipyridine-κ2N,N′)copper(II)] with a Keggin-type heteropolyoxoanion, [Cu(C10H8N2)(C10H10N3)2][GeW12O40] ⋅ H2O
- Crystal structure of diaqua-(N-(1-(pyrazin-2-yl)ethylidene)pyridin-1-ium-4-carbohydrazonate-κ3N,N′,O)-tris[nitrato-κ2O,O′)lanthanum(III), C12H15N8O12La
- The crystal structure of 2-hydroxy-4-((2-hydroxy-4-methoxy-3,6-dimethylbenzoyl)oxy)-3,6-dimethylbenzoic acid–methanol (1/1), C20H24O8
- Crystal structure of guanidinium tetrapropylammonium bis(hydrogencarbonate) dihydrate, C15H40N4O8
- Crystal structure of (Z)-2-bromo-3-(3,5-di-tert-butyl-4-hydroxyphenyl)-1-phenylprop-2-en-1-one, C23H27BrO2
- Crystal structure of 2-(4-(4H-1,2,4-triazol-4-yl)phenyl)acetic acid, C10H9N3O4
- Crystal structure of 4,4′-(1,4-phenylene)bis(1H-imidazol-3-ium)bis(2-carboxybenzoate), C30H26N4O8
- Crystal structure of 4,4′-(4,10-diphenyl-4,10-dihydropyreno[4,5-d:9,10-d′]diimidazole-5,11-diyl)bis(N,N-diphenylaniline), C66H44N6
- Crystal structure of catena-poly[diaqua-bis(μ2-5-(3-(1H-imidazol-5-yl)phenyl)tetrazol-2-ido-κ2N:N′)cobalt(II)], C20H18CoN12O2
- Crystal structure of 1,3-dimethyl-2-(p-tolyl)-1H-perimidin-3-ium iodide 1.5 hydrate, C20H22IN2O1.5
- Crystal structure of 2-(4-methoxyphenyl)chromane, C16H16O2
- Crystal structure of poly[(μ2-2-carboxy-5-nitroisophthalato-κ2O:O′)-(μ2-4-((1H-imidazol-1-yl)methyl)pyridine-κ2N:N′)zinc(II)], C18H12N4O8Zn
- Crystal structure of bis(1-((2-ethyl-4-methyl-1H-imidazol-1-yl)methyl)-1H-benzo[d][1,2,3]triazole-κ2N:N′)tetraiodidodicadmium(II), [Cd2(C13H15N5)2I4]
- Crystal structure of tetramethylammonium bis(acetato-κ1O)-tetrakis(μ3-3-((hydroxyimino)methyl)-5-methoxy-2-oxidobenzoate-κ5O,O′:O′,N:O′′)tetrazinc(II) — N,N′-dimethylformamide — water (1/2/2), C62H96Zn4N10O28
- Crystal structure of poly[(μ4-5-tert-butylisophthalato-κ4O:O′:O′′:O′′′)-(1,3-dimethyl-2-imidazolidinone-κO)zinc(II)] C17H22N2O5Zn
- Crystal structure of [tris(2-benzimidazolylmethyl)amine-κ4N,N′,N′′,N′′′]-[(pyridine-2,6-dicarboxylato-κ2O,N)]cadmium(II)–methanol (1:3) C34H36CdN8O7
- The crystal structure of bis(1H-benzo[d]imidazol-2-amine-κN)-diiodidocadmium(II), C14H14CdI2N6
- Crystal structure of tetrakis(1H-benzimidazol-2-amine)-κN)-bis(μ2-sulfonato-κ2O:O′)dizinc(II) - methanol (1/1), C30H36N12O10S2Zn2
- Crystal structure of 3β-methoxy-20α-dimethylamino-pregn-5-ene, C24H41NO
- Crystal structure of dimethyl 4,4′-oxydibenzoate, C16H14O5
- Crystal structure of catena-poly[diiodido-(μ2-1,5-dimethyl-2-phenyl-4-((pyridin-3-ylmethylene)amino)-1,2-dihydro-3H-pyrazol-3-one-κ2N:O)zinc(II)], C17H16I2N4OZn
- Crystal structure of 4-((E)-((E)-5-(2-fluorobenzylidene)-1-((4-fluorophenyl)sulfonyl)-4-oxopiperidin-3-ylidene)methyl)benzonitrile, C26H18F2N2O3S
- Crystal structure of bis(acetato-κ1O)-bis(1-(pyridin-2-yl)ethan-1-one oxime-κ2N,N′)zinc(II), C18H22N4O6Zn
- The crystal structure of 9-butoxy-2-(hydroxymethyl)-2H-imidazo[1,5-a]quinolin-10-ium bromide, C17H21O2N2Br
- Crystal stucture of 2-(tert-butyl)-6-(hydroxymethyl)-4-methylphenol, C12H18O2
- Crystal structure of catena-poly[(2-(5-chloroquinolin-8-yloxy)-1-(pyrrolidin-1-yl)ethan-1-one-κ3N,O,O′)-(dinitrato-κ2O,O′)mercury(II)], C15H15N4O8ClHg
- Crystal structure of dimethyl (3aS,6R,6aS,7S)-1H,3H,6H,7H-3a,6:7,9a-diepoxybenzo[de]isochromene-3a1,6a-dicarboxylate, C16H16O7
- The crystal structure of 2-(dimethoxymethyl)-4-(4-methylphenyl)-1H-imidazole—petroleum ether-chloroform (3/1), C27H33Cl3N4O4
- Crystal structure of 8-(trifluoromethyl)imidazo[1,2-a]pyridine-3-carbaldehyde, C9H5F3N2O
- The crystal structure of N,N-diethyl-4,6-bis(naphthalen-2-yloxy)-1,3,5-triazin-2-amine, C27H24N4O2
- Crystal structure of 5-bromo-7-chloro-3,3a-dihydrocyclopenta[b]chromen-1(2H)-one, C12H8BrClO2
- Crystal structure of 2-(bis(4-fluorophenyl)methylene)hydrazine-1-carbothioamide, C14H11F2N3S