Contents
-
Publicly AvailableFrontmatterAugust 23, 2024
- Editorial
- New Crystal Structures
-
June 19, 2024
-
August 7, 2024
-
June 19, 2024
-
July 24, 2024
-
July 26, 2024
-
July 26, 2024
-
Open AccessThe crystal structure of 2,2′-(2,2-diphenylethene-1,1-diyl)bis(1,4-dimethoxybenzene), C30H28O4July 23, 2024
-
August 13, 2024
-
August 1, 2024
-
Open AccessThe crystal structure of 3-(6-fluoro-1H-indol-3-yl)-1-methylquinoxalin-2(1H)-one, C17H12FN3OAugust 1, 2024
-
July 23, 2024
-
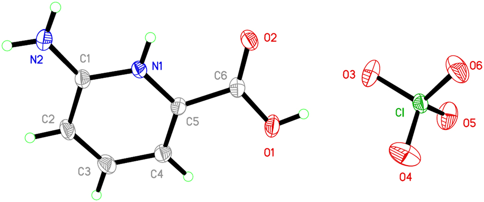
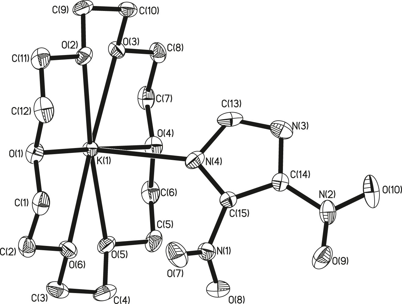
Open AccessThe cocrystal of 2,2′-(hydrazine-1,1-diyl)bis(1H-imidazole-4,5-dicarbonitrile)– methanol (2/3)July 23, 2024
-
July 26, 2024
-
Open AccessCrystal structure of 4-chlorobenzyl (S)-2-(6-methoxynaphthalen-2-yl)propanoate, C21H19ClO3August 7, 2024
-
Open AccessCrystal structure of (S)-1-phenylpropan-1-aminium (S)-(1-phenylpropyl)carbamate C19H26N2O2July 24, 2024
-
August 7, 2024
- Retractions