Abstract
4-(Dimethylamino)thiopivalophenone was prepared from 4-bromo-N,N-dimethylaniline, pivalonitrile and carbon disulfide. Its crystal and molecular structure was determined by single-crystal X-ray diffraction. The experimentally determined bond distances, bond angles and torsion angles are indicative of a significant contribution of a dipolar (“quinodimethane”) resonance structure to the electron distribution in the molecule. Quantum chemical calculations corroborate these results. The calculations, furthermore, provide an explanation of the arrangement of the molecules in the crystal.
1 Introduction
Quite a number of thioketones have been studied by X-ray diffraction analyses. However, crystal structures of only three tert-alkyl aryl thioketones, the cyclohexane derivative 1 [1], the β-arylethyl derivative 2 [2], and a complex tricyclic benzocyclopentenethion [3], are found in the Cambridge Structural Database [4].

We were particularly interested in the electronic structure of this type of thioketones, which would depend on the geometry of the molecule, for instance on the torsion angle between the arene ring and the thiocarbonyl moiety. This, on the other hand, should be significantly influenced by the mesomeric effect of a substituent at the arene ring. In this communication we present our experimental single-crystal X-ray diffraction and quantum chemical results on 4-(dimethylamino)thiopivalophenone 3 which exhibits the para-dimethylamino group as a strong electron donor substituent.
2 Results and discussion
We have prepared tert-butyl 4-dimethylaminophenyl thioketone (4-dimethylamino-thiopivalophenone) (3) from 4-dimethylaminophenyllithium, pivalonitrile and carbon disulfide by use of the Ahmed-Lwowski method [5] (Scheme 1), which we had also successfully applied for the synthesis of the related tert-butyl 4-tert-butylphenyl thioketone [6].

(1) n-BuLi, (2) Me3C–CN, (3) CS2, (4) heating to T=60–70°C.
The thioketone 3 was obtained as red-violet crystals which were suitable for X-ray diffraction. An Ortep plot of the compound is shown in Fig. 1. Selected bond lengths, bond angles and torsion angles of 3 are compiled in Table 1.

Ortep plot of 3. Displacement ellipsoids are drawn at the 40% probability level. Hydrogen atoms are omitted for clarity.
Selected experimental (X-ray diffraction), semi-empirical (PM7), and theoretical (DFT) bond distances, angles and dihedral angles for 3 as a single molecule and in the crystal.
![]() | |||||||||
| Bond lengths (pm) | Bond angles (deg) | ||||||||
|---|---|---|---|---|---|---|---|---|---|
| X-ray | PM7 | DFTa | DFTb | X-ray | PM7 | DFTa | DFTb | ||
| C7–S1 | 164.8(6) | 160.5 | 168.9 | 166.8 | S1–C7–C8 | 118.1(4) | 125.4 | 120.7 | 119.7 |
| C7–C8 | 154.3(8) | 151.8 | 160.0 | 155.2 | S1–C7–C1 | 120.0(5) | 118.6 | 118.5 | 119.5 |
| C1–C7 | 143.4(8) | 146.8 | 150.7 | 146.9 | C1–C7–C8 | 121.9(5) | 116.0 | 120.8 | 120.9 |
| C4–N1 | 134.6(7) | 140.4 | 141.1 | 136.9 | C2–C1–C6 | 114.0(5) | 119.2 | 115.6 | 115.4 |
| C1–C2 | 140.6(8) | 139.6 | 143.5 | 141.8 | C3–C4–C5 | 115.1(5) | 118.4 | 116.3 | 116.7 |
| C2–C3 | 137.2(9) | 138.7 | 141.0 | 138.5 | C1–C6–C5 | 124.1(6) | 120.5 | 122.7 | 122.9 |
| C3–C4 | 140.6(8) | 140.9 | 144.1 | 142.0 | C4–C5–C6 | 121.6(6) | 120.4 | 121.4 | 121.1 |
| C4–C5 | 141.5(8) | 141.2 | 144.3 | 142.3 | C1–C2–C3 | 122.8(6) | 120.6 | 122.5 | 122.6 |
| C5–C6 | 135.6(9) | 138.6 | 140.6 | 138.1 | C2–C3–C4 | 122.3(6) | 120.5 | 121.5 | 121.2 |
| C6–C1 | 140.6(8) | 139.9 | 143.7 | 141.8 | Torsion angles (deg) | ||||
| N1–C12 | 145.6(9) | 147.3 | 149.2 | 145.9 | |||||
| N1–C13 | 1144.9(8) | 147.4 | 149.3 | 145.7 | S1–C7–C1–C6 | −27.3 | −82.1 | −39.4 | −25.9 |
| C8–C7–C1–C2 | −28.6 | −82.1 | −42.4 | −27.9 | |||||
| C3–C4–N1–C12 | 0.3 | −2.0 | −8.3 | 0.4 | |||||
| C5–C4–N1–C13 | 3.7 | 49.4 | 11.6 | 1.5 | |||||
aSingle molecule (gas phase), CP2KQZV2PD3BJ. bMean values of the four molecules in the unit cell, CP2KQZV2PD3BJ, see text and Supporting Information. QZV2PD3BJ=Basis set notation with Grimme’s D3 correction and Becke-Johnson damping.
Inspection of the data in Table 1 and comparison with literature data of related thioketones compiled in Table 2 shows that 3 exhibits peculiar structural features.
Comparison of selected bond lengths d (pm) and torsion angles θ (deg).
| Compound | 1 | 2 | 3a | 4 | 5 | 6b | 7 |
|---|---|---|---|---|---|---|---|
| d(Car–CX) | 148.6 | 149.5 | 143.4(8) | – | – | 146.9 146.6 | 146.8 |
| d(Car–N) | – | – | 134.6(7) | 139.6 | 139.1a) | 137.6 | |
| d(C=X) | 162.2 | 161.9 | 164.8(6) | – | – | 166.5 | 121.5 |
| d(Car–Car)c | 138 | 138 | 140.8(8) | 140.0 | 139.6 | 140.4 140.0 | 139.3 |
| d(Car–Car)d | 138 | 138 | 136.4(9) | 138.7 | 139.6 | 137.2 137.8 | 136.9 |
| θ(Ar–CCXX) | 49.5 | 78.1 | 28.0 | – | – | –19.4 –40.6 | 4.0 |
| θ(Ar-NMe2) | – | – | –2.0 | ≈ 0 | 5–21 | 3.0–2.9 | ≈ 0 |
aThis study. bDeviating parameters of the two arene rings. cMean values of d(C1–C2)/d(C1–C6)/d(C3–C4)/d(C4–C5). dMean values of d(C2–C3)/d(C5–C6).
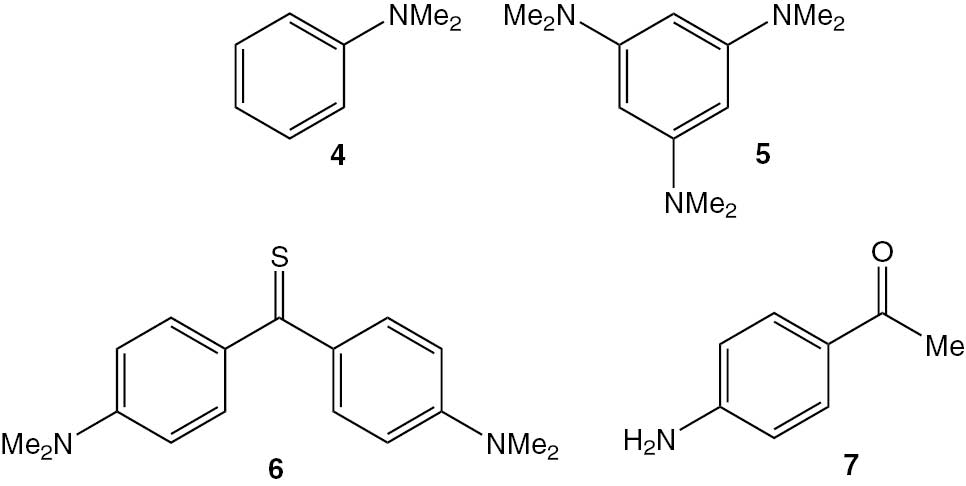
Its geometry deviates significantly from the expected standard geometry. The C=S bond is elongated whereas the Car–C(S) single bond is shortened compared with 1 and 2, and the C–NMe2 bond is shortened compared with the dimethylaminobenzenes 4 [7] and 5 [8] (Scheme 2) which do not exhibit a substituent with –m effect in the para-position.

Compounds comparable with 3.
Even the six C–C bonds in the phenyl ring of 3 are not equally long as emphasized by bold italic types in Table 2. Thus, the six-membered cycle is not perfectly aromatic but exhibits considerable quinodimethane character. Furthermore, the torsion angle Θ1 between the thioketone plane and the arene plane is only 28° compared with 48° for 1 and 77° for 2, and the dimethylamino group of 3 is nearly coplanar (Θ2=2°) with the arene ring as compared to Θ2 values of up to 20.8° for the various dimethylamino groups of 5 [8].
This indicates a distinct contribution of the dipolar resonance formula 3a to the structure of the thioketone, which can thus be considered as a phenylogous thioamide (Scheme 3).

Resonance of the thioketone 3.
A similar effect is observed for the phenylogous thiourea 4,4′-bis(dimethylamino)thiobenzophenone 6 [9], cf. Table 2. The phenylogous amide character of 4-aminoacetophenone 7 [10], on the other hand, is less pronounced as compared with 3, cf. Table 2.
3 Computational results
Computations of molecular structures in the solid state have emerged tremendously during the last decade [11], [12], [13]. Particularly, significant improvements have been achieved with DFT-type calculations considering weak attractions between atoms and molecules known as London dispersion forces. Grimme and coworkers successfully introduced the atom pairwise dispersion correction with the Becke-Johnson damping scheme (D3BJ) [14], [15], [16], [17].
We chose two different approaches to compare the quantum chemical with the experimental results.
First, we performed calculations on a single gas phase molecule of 3. We applied the semi-empirical PM7 method [18] and DFT calculations particularly utilizing the PBE functional [19], [20] and Ahlrichs’ split valence basis set def2-tzvp [21], [22] by means of the Nwchem program package [23]. The considerably differing PM7 and DFT results are compiled in Table 2. The C=S bond length as calculated by the PM7 method is much too short while the DFT calculation results in a significantly too long C=S bond. Also, the CAryl–N and the C–C bond lengths of the phenyl ring are calculated too long compared with the corresponding crystal structure data. Considering the bond angles, the DFT results are closer to the experimental results as the PM7 values. Also the DFT torsion angles agree better with the experimental values as compared to the PM7 results.
Thus, the phenylogous thioamide structure of 3, as is evident from the X-ray diffraction structure is not fully sustained by the theoretical calculations on a single gas phase molecule.
Secondly, we calculated a unit cell consisting of four molecules of 3 to take the intermolecular interactions in the crystal into account, which surely should exhibit a significant impact on the structure. The experimental unit cell, as a reference, was constructed from the cif data deposited at CCDC by means of the program Avogadro [24]. To generate the theoretical unit cell on the basis of the X-ray cell parameters with Z=4, we used the CP2K code [25] developed by Hutter et al. with the Gaussian plane wave method [26] for the condensed phase of 3. Additionally, dispersion correction (D3BJ) was used for both types of DFT calculations, which led to nearly identical results. The differences between the respective distances and angles of the four molecules in the theoretical unit cell are virtually nil (cf. Table S1 and S2 in the Supporting Information available online). Mean values are therefore given in Table 1. Expectedly, the deviations from the single-molecule data are noticeable and the agreement of all bond lengths, bond angles and even the torsion angles as calculated for the unit cell, with the crystal structure, is significantly better (see Table 1).
The experimental (X-ray diffraction) and the calculated (DFT) unit cells are compared in Fig. 2.

Unit cell of 3, top: experimental (X-ray diffraction), bottom: theoretical (CP2K, QZV2P incl. D3BJ).
The agreement between the experimental and the theoretical unit cell is quite convincing. Not only the geometric parameters of the four molecules, but also their mutual orientations are exactly reproduced by the calculations as is demonstrated in Fig. 3.

Overlay representation of the experimental structure in the background (C atoms black) and the MD-simulated structure (NVE, 300 K, QZV2P basis) in the foreground (C atoms turquoise).
For the sake of a better understanding of the intermolecular forces, we additionally performed MD simulations at T=0, 300, 390 and 500 K (NVE ensemble, 0.5 fs integration step size, QZV2P basis). The resulting interaction energies EI and dispersion energies ED (Table 3) were calculated based on the averaged total electronic energy by use of equations (1) and (2), respectively.
Comparison of the energies at different temperatures.
| Temperature (K) | EI (kJ mol−1) | ED (kJ mol−1) |
|---|---|---|
| 0 | −182.74 | −58.71 |
| 300 | 299.16 | −63.45 |
| 390 | 450.01 | −65.25 |
| 500 | 629.90 | −63.48 |
These energies are assumed to represent an approximate measure for the binding forces in the crystal.
Increasing values of E indicate decreasing binding forces and contributions of the part of dispersion energy. At room temperature, the averaged interaction energy EI is calculated as ca. 299 kJ mol−1 whereas the long range contribution ED (London dispersion) is computed as ca. −63 kJ mol−1. These results appear to be reasonable compared with data published by Grimme’s [16] and Beran’s research groups [27].
Apparently, the attractive dispersion interactions between the numerous C–H entities of the tert-butyl and methyl groups together with the dipole interactions between the thiocarbonyl and the amino groups are decisive for the orientation of the thioketone molecules in the cell. This observed situation is obviously well reproduced by the DFT calculations under consideration of the dispersion forces.
4 Conclusions
4-(Dimethylamino)thiopivalophenone (3) was synthesized from pivalonitrile and 4-bromo-N,N-dimethylaniline according to the Ahmed and Lwowski [5] protocol.
Single crystals of 3 were studied by X-ray diffraction. The thioketone 3 exhibits typical structural features of a phenylogous thioamide.
This experimental result is corroborated by quantum chemical (DFT) calculations. In particular the bond lengths and bond and torsion angles are well reproduced by the calculations if dispersion effects are taken into consideration. Furthermore, this leads to the correct orientation of the four molecules observed in the unit cell.
5 Experimental section
Melting point (corrected): Electrothermal. 1H NMR (CDCl3, δ in ppm vs. Me4Si): Varian EM 360. IR spectrum (KBr pellet): Perkin-Elmer 399. Column chromatography: Silica gel 60 (70–230 mesh, Merck).
5.1 1-[4-(Dimethylamino)phenyl]-2,2-dimethylpropane-1-thione [4-(dimethylamino)thiopivalophenone] (3)
4-Bromo-N,N-dimethylaniline (Aldrich, 4.00 g, 20.0 mmol) was dissolved in 30 mL dry diethyl ether. Under N2, a solution (15% in n-hexane) of n-butyllithium (11.5 mL, 22.0 mmol) was added. The reaction mixture was refluxed for 3 h and stirred at room temperature for another 1 h. Pivalonitrile (Aldrich, 1.66 g, 2.00 mL, 20.0 mmol) was dropped into the mixture which immediately turned yellow. After 15 min stirring, the solution was cooled (T=0°C to −5°C). Dry CS2 (1.52 g, 20.0 mmol) in 5 mL of dry diethyl ether was dropped in. After another 10 min stirring, the reaction mixture was quenched by pouring it into ice. The aqueous solution was washed with two portions of cold pentane and then heated to T=60–70°C for 10 min. The thioketone separated at the surface as a solid. The aqueous phase was extracted three times with diethyl ether. The combined organic extracts were dried over MgSO4. The red-violet residue obtained by removal of the solvent under vacuum was recrystallized from pentane to yield 1.24 g (22%) of pure 3, m. p. 105–106°C. – IR: ν=1600 cm−1 (C=C). – 1H NMR: 1.60 (s, 9 H, CCH3), 3.00 (s, 6 H, NCH3), 6.5–7.8 (AA′XX′, 4 H). – Analysis calcd. for C13H19NS (221.37): C 70.54, H 8.65, N 6.33, S 14.49; found C 70.46, H 8.90, N 6.27, S 14.49%.
5.2 Crystal structure determination
The crystal data of 3 and a summary of experimental details are given in Table 4. The structures were solved by Direct Methods (Multan) [28], and differential Fourier synthesis [29]. Refinement was performed by least-squares methods [30]. Crystallographic data of 3 have been deposited [31].
Crystal data and parameters pertinent to data collection and structure refinement of 3.
| Empirical formula | C13H19NS |
| Formula weight, Mr | 221.37 |
| Crystal shape | Red-violet block |
| Crystal system | Orthorhombic |
| Space group | Pna21 |
| a, pm | 2688.0(2) |
| b, pm | 780.1(1) |
| c, pm | 606.0(2) |
| Cell volume, V, pm3 | 1270.7·106 |
| Z | 4 |
| Temperature, K | 298 |
| Density ρcalcd., g cm−3 | 1.16 |
| F(000), e | 480 |
| Diffractometer | CAD4-SDP (Enraf Nonius) |
| Radiation; Monochromator | CuKα; graphite |
| Wave length μ, Å | 1.54184 |
| Scan mode | θ–2θ |
| θ range, deg | 2–70 |
| hkl range | +31, +9, +7 |
| Reflections observed | 1011 |
| Refined parameters | 212 |
| R [I>3 σ(I)] | 0.035 |
| Rw [I>3σ(I); w=σ−2] | 0.031 |
| Δρfin (max/min), e Å−3 | 0.33/−0.25 |
5.3 Quantum chemical calculations
The software package Mopac 2016 [18] was used for the PM7 calculations. DFT-based geometry optimizations were performed by the PBE functional [19], [20] with def2-tzvp basis set [21], [22]. The program Nwchem V6.8 [23] was used for the DFT calculations invoking Grimme’s dispersion correction as well as GCP correction [32]. The CP2K program V5.1 [25] was used for calculations of the unit cell (PBE functional, GTH Basis set [33], [34], [35], GTH pseudopotential [33], [34], [35]). CP2K has been designed for the calculation of very large entities up to several thousand atoms. Special basis sets like the GTH set (Gödecker–Teter–Hutter) with corresponding pseudopotentials describing the core electron potential have been optimized for this kind of calculations [33], [34], [35]. CP2K utilizes sophisticated mathematical methods [36] to ensure fast computation of the underlying matrices (e.g. Kohn-Sham Matrix). The Public Domain programs Draw, Avogadro [24], Mercury 3.10 [37] and VMD 1.9.3 [38] were used for the graphical analysis and presentation of the results. The High Performance Cluster of the University of Hamburg data center was used for the computations.
6 Supporting information
The calculated bond distances, bond angles and torsion angles of the individual four molecules in the unit cell of 3 are given as Supplementary Material (Table S1 and S2) available online (DOI: 10.1515/znb-2019-0113).
Dedicated to: Professor Wolfgang Walter on the occasion of his 100th birthday on November 19th, 2019.
Acknowledgements
Support of this work by the Universität Hamburg, and the Deutsche Forschungsgemeinschaft is gratefully acknowledged. We thank Prof. U. Behrens, Universität Hamburg (X-ray) and Dr. H. Stüben, Universität Hamburg (data processing) for valuable help.
References
[1] T. Y. Fu, M. Leibovitch, J. R. Scheffer, J. Trotter, Acta Crystallogr.1997, C53, 1255–1256.10.1107/S0108270197005283Search in Google Scholar
[2] T. Y. Fu, J. R. Scheffer, J. Trotter, Acta Crystallogr.1998, C54, 496–497.10.1107/S0108270197015904Search in Google Scholar
[3] N. Tokitoh, M. Noguchi, Y. Kabe, W. Ando, M. Goto, H. Maki, Tetrahedron Lett.1990, 31, 7641–7644.10.1016/S0040-4039(00)97320-9Search in Google Scholar
[4] C. R. Groom, I. J. Bruno, M. P. Lightfoot, S. C. Ward, Acta Crystallogr.2016, B72, 171–179. Search: 12/10/2019: CSD version 5.40, updates February 2019.10.1107/S2052520616003954Search in Google Scholar
[5] R. Ahmed, W. Lwowski, Tetrahedron Lett.1969, 10, 3611–3612.10.1016/S0040-4039(01)88467-7Search in Google Scholar
[6] C.-P. Klages, J. Voss, Chem. Ber.1980, 113, 2255–2277.10.1002/cber.19801130620Search in Google Scholar
[7] V. P. Novikov, S. Samdal, L. V. Vilkov, Zhur. Obshch. Khim.2004, 74, 1348–1354; Russ. J. Gen. Chem.2004, 74, 1247–1253.10.1007/s11176-005-0146-9Search in Google Scholar
[8] N. Kuhn, W. Laarz, M. Schulten, R. Boese, D. Bläser, W. A. Brett, P. Stellberg, Z. Naturforsch.1992, 47b, 1233–1244.10.1515/znb-1992-0904Search in Google Scholar
[9] P. Arjunan, V. Ramamurthy, K. Venkatesan, Acta Crystallogr.1984, C40, 552–555.10.1107/S0108767384096690Search in Google Scholar
[10] M. Haisa, S. Kashino, T. Yuasa, K. Akigawa, Acta Crystallogr.1976, B32, 1326–1328.10.1107/S0567740876012600Search in Google Scholar
[11] E. Fabiano, P. Gori-Giorgi, M. Seidl, F. Della Sala, J. Chem. Theory Comput.2016, 12, 4885–4896.10.1021/acs.jctc.6b00713Search in Google Scholar PubMed
[12] F. Della Sala, E. Fabiano, L. A. Constantin, Phys. Rev.2015, B 91, 035126.10.1103/PhysRevB.91.035126Search in Google Scholar
[13] L. A. Constantin, E. Fabiano, J. M. Pitarke, F. Della Sala, Phys. Rev.2016, B 93, 115127.10.1103/PhysRevB.93.115127Search in Google Scholar
[14] S. Grimme, S. Ehrlich, L. Goerigk, J. Comput. Chem.2011, 32, 1456–1465.10.1002/jcc.21759Search in Google Scholar PubMed
[15] S. Grimme, J. Antony, S. Ehrlich, H. Krieg, J. Chem. Phys.2010, 132, 154104.10.1063/1.3382344Search in Google Scholar PubMed
[16] J. G. Brandenburg, S. Grimme, Top. Curr. Chem.2014, 345, 1–23.Search in Google Scholar
[17] S. Grimme, A. Hansen, J. G. Brandenburg, C. Bannwarth, Chem. Rev.2016, 116, 5105–5154.10.1021/acs.chemrev.5b00533Search in Google Scholar PubMed
[18] J. J. P. Stewart, J. Mol. Mod.2007, 13, 1173–1213. URL: http://www.springerlink.com/content/ar33482301010477/fulltext.pdf. We thank Prof. Stewart for providing us with the newest version Mopac 2016 for our calculations.10.1007/s00894-007-0233-4Search in Google Scholar PubMed PubMed Central
[19] J. P. Perdew, K. Burke, M. Ernzerhof, Phys. Rev. Lett.1996, 77, 3865–3868.10.1103/PhysRevLett.77.3865Search in Google Scholar PubMed
[20] A. D. Becke, J. Chem. Phys.1992, 97, 9173–9177.10.1063/1.463343Search in Google Scholar
[21] A. Schäfer, H. Horn, R. Ahlrichs, J. Chem. Phys.1992, 97, 2571–2577.10.1063/1.463096Search in Google Scholar
[22] A. Schäfer, C. Huber, R. Ahlrichs, J. Chem. Phys.1994, 100, 5829–5835.10.1063/1.467146Search in Google Scholar
[23] M. Valiev, E. J. Bylaska, N. Govind, K. Kowalski, T. P. Straatsma, H. J. J. van Dam, D. Wang, J. Nieplocha, E. Apra, T. L. Windus, W. A. de Jong, Comput. Phys. Commun.2010, 181, 1477–1489. DOI:10.1016/j.cpc.2010.04.018.10.1016/j.cpc.2010.04.018Search in Google Scholar
[24] M. D. Hanwell, D. E. Curtis, D. C. Lonie, T. Vandermeersch, E. Zurek, G. R. Hutchison, J. Cheminf. 2012, 4, 17. DOI: 10.1186/1758-2946-4–17.10.1186/1758-2946-4–17Search in Google Scholar
[25] The CP2K Developers Group, CP2K (version 5.1) 2017 and references cited therein. CP2K is freely available from https://www.cp2k.org/.Search in Google Scholar
[26] G. Lippert, J. Hutter, M. Parrinello, Mol. Phys.1997, 92, 477–487. http://dx.doi.org/10.1080/002689797170220.10.1080/00268979709482119Search in Google Scholar
[27] G. J. O. Beran, S. Wen, K. Nanda, Y. Huang, Y. Heit, Top. Curr. Chem.2014, 345, 59–93.10.1007/128_2013_502Search in Google Scholar
[28] G. Germain, P. Main, M. M. Woolfson, Acta Crystallogr.1971, A27, 368–376.10.1107/S0567739471000822Search in Google Scholar
[29] A. C. T. North, D. C. Phillips, F. S. Mathews, Acta Crystallogr.1968, A24, 351–359.10.1107/S0567739468000707Search in Google Scholar
[30] B. A. Frenz, Structure Determination Package, College Station, Texas (USA) 1982.Search in Google Scholar
[31] CCDC 1515406 contains the supplementary crystallographic data for 3a. These data can be obtained free of charge from the Cambridge Crystallographic Data Centre via www.ccdc.cam.ac.uk/data_request/cif.Search in Google Scholar
[32] H. Kruse, S. Grimme, J. Chem. Phys.2012, 136, 154101.10.1063/1.3700154Search in Google Scholar
[33] S. Goedecker, M. Teter, J. Hutter, Phys. Rev.1996, B54, 1703–1710.10.1103/PhysRevB.54.1703Search in Google Scholar
[34] C. Hartwigsen, S. Goedecker, J. Hutter, Phys. Rev.1998, B58, 3641–3662.10.1103/PhysRevB.58.3641Search in Google Scholar
[35] M. Krack, Theor. Chem. Acc.2005, 114, 145–152.10.1007/s00214-005-0655-ySearch in Google Scholar
[36] J. VandeVondele, J. Hutter, J. Chem. Phys.2007, 127, 114105/1–114105/9.10.1063/1.2770708Search in Google Scholar
[37] CCDC Cambridge Crystallographic Data Centre; https://www.ccdc.cam.ac.uk/solutions/csd-system/components/mercury/. https://www.ccdc.cam.ac.uk/solutions/csd-system/components/mercury/.Search in Google Scholar
[38] W. Humphrey, A. Dalke, K. Schulten, J. Mol. Graphics1996, 14, 33–38.10.1016/0263-7855(96)00018-5Search in Google Scholar
Supplementary Material
The online version of this article offers supplementary material (https://doi.org/10.1515/znb-2019-0113).
©2019 Walter de Gruyter GmbH, Berlin/Boston
Articles in the same Issue
- Frontmatter
- In this Issue
- Research Articles
- Electron densities of two cyclononapeptides from invariom application
- Crystal structures, Hirshfeld surface analysis and Pixel energy calculations of three trifluoromethylquinoline derivatives: further analyses of fluorine close contacts in trifluoromethylated derivatives
- Synthesis and antifungal activities of 3-substituted phthalide derivatives
- Unexpected isolation of a cyclohexenone derivative
- Preparation and structure of 4-(dimethylamino)thiopivalophenone – intermolecular interactions in the crystal
- A new binuclear NiII complex with tetrafluorophthalate and 2,2′-bipyridine ligands: synthesis, crystal structure and magnetic properties
- Two mononuclear zinc(II) complexes constructed by two types of phenoxyacetic acid ligands: syntheses, crystal structures and fluorescence properties
- Investigation of the reactivity of 4-amino-5-hydrazineyl-4H-1,2, 4-triazole-3-thiol towards some selected carbonyl compounds: synthesis of novel triazolotriazine-, triazolotetrazine-, and triazolopthalazine derivatives
- Synthesis and structural characterization of a Ni(II) coordination polymer with a tripodal 4-imidazolyl-functional ligand
- Crystal structure and photocatalytic degradation properties of a new two-dimensional zinc coordination polymer based on 4,4ʹ-oxy-bis(benzoic acid)
- Intermetallics of the types REPd3X2 and REPt3X2 (RE=La–Nd, Sm, Gd, Tb; X=In, Sn) with substructures featuring tin and In atoms in distorted square-planar coordination
- A 119Sn Mössbauer-spectroscopic characterization of the diamagnetic birefringence material Sn2B5O9Cl
- Synthesis, crystal structure and photoluminescence of the salts Cation+ [M(caffeine)Cl]− with Cation+=NnBu4+, AsPh4+ and M==Zn(II), Pt(II)
- Synthesis and characterization of two bifunctional pyrazole-phosphonic acid ligands
- A β-ketoiminato palladium(II) complex for palladium deposition
- Orthoamide und Iminiumsalze, XCVIa. Push-pull-substituierte 1,3,5-Hexatriene aus Orthoamiden von Alkincarbonsäuren und Birckenbach-analogen Acetophenonen
- Orthoamide und Iminiumsalze, IIICa. Weitere Ergebnisse bei der Umsetzung von Orthoamiden der Alkincarbonsäuren mit CH2- und CH2/NH-aciden Verbindungen
Articles in the same Issue
- Frontmatter
- In this Issue
- Research Articles
- Electron densities of two cyclononapeptides from invariom application
- Crystal structures, Hirshfeld surface analysis and Pixel energy calculations of three trifluoromethylquinoline derivatives: further analyses of fluorine close contacts in trifluoromethylated derivatives
- Synthesis and antifungal activities of 3-substituted phthalide derivatives
- Unexpected isolation of a cyclohexenone derivative
- Preparation and structure of 4-(dimethylamino)thiopivalophenone – intermolecular interactions in the crystal
- A new binuclear NiII complex with tetrafluorophthalate and 2,2′-bipyridine ligands: synthesis, crystal structure and magnetic properties
- Two mononuclear zinc(II) complexes constructed by two types of phenoxyacetic acid ligands: syntheses, crystal structures and fluorescence properties
- Investigation of the reactivity of 4-amino-5-hydrazineyl-4H-1,2, 4-triazole-3-thiol towards some selected carbonyl compounds: synthesis of novel triazolotriazine-, triazolotetrazine-, and triazolopthalazine derivatives
- Synthesis and structural characterization of a Ni(II) coordination polymer with a tripodal 4-imidazolyl-functional ligand
- Crystal structure and photocatalytic degradation properties of a new two-dimensional zinc coordination polymer based on 4,4ʹ-oxy-bis(benzoic acid)
- Intermetallics of the types REPd3X2 and REPt3X2 (RE=La–Nd, Sm, Gd, Tb; X=In, Sn) with substructures featuring tin and In atoms in distorted square-planar coordination
- A 119Sn Mössbauer-spectroscopic characterization of the diamagnetic birefringence material Sn2B5O9Cl
- Synthesis, crystal structure and photoluminescence of the salts Cation+ [M(caffeine)Cl]− with Cation+=NnBu4+, AsPh4+ and M==Zn(II), Pt(II)
- Synthesis and characterization of two bifunctional pyrazole-phosphonic acid ligands
- A β-ketoiminato palladium(II) complex for palladium deposition
- Orthoamide und Iminiumsalze, XCVIa. Push-pull-substituierte 1,3,5-Hexatriene aus Orthoamiden von Alkincarbonsäuren und Birckenbach-analogen Acetophenonen
- Orthoamide und Iminiumsalze, IIICa. Weitere Ergebnisse bei der Umsetzung von Orthoamiden der Alkincarbonsäuren mit CH2- und CH2/NH-aciden Verbindungen
