Assessment of the frequency and biochemical parameters of conjunctivitis in COVID-19 and other viral and bacterial conditions
-
Yavuz Oruc
, Suleyman Aydin, Ramazan Fazil Akkoc
, Suna Aydin , Fatih Cem Gul , Kader Ugur , İbrahim Sahin , Onur Hanbeyoglu , Suleyman Sirri Kilic und Aziz Aksoy
Abstract
Objectives
We compared the laboratory and clinical symptoms of coronavirus disease 2019 (COVID-19), other viral (beside COVID-19), and bacterial conjunctivitis patients with the values of controls.
Methods
Twenty COVID-19, 15 other viral, 15 bacterial patients, and 15 control group were included in the study. COVID-19 was diagnosed with the real time reverse transcription–polymerase chain reaction while the indirect immunofluorescent antibody test was used in the detection of other viral agents. Bacterial agents were determined with the detection of the agent. The ophthalmologic examination of all cases was carried out by direct penlight, and the anterior segment evaluation was performed. The laboratory findings of all cases included in the study were obtained from the hospital records.
Results
It was determined that 5% conjunctivitis and 5% diplopia developed in patients diagnosed with COVID-19, 20% conjunctivitis developed in patients due to other viral agents, and 66.6% conjunctivitis developed in patients due to bacterial agents.
Conclusion
The incidence of conjunctivitis in COVID-19 patients was lower than in other viral and bacterial groups. Neutrophil/lymphocyte ratio and C-reactive protein come to the forefront as precious parameters with high specificity and sensitivity that might be useful to distinguish these diseases.
Öz
Amaç
Koronavirüs hastalığı 2019 (COVID-19), diğer virüs (COVID-19 dışında) ve bakteriyel konjunktivit hastalarının laboratuvar ve klinik semptomlarını kontrol değerleri ile karşılaştırdık.
Gereç ve Yöntemler
Çalışmaya 20 COVID-19, 15 diğer viral, 15 bakteriyel hasta ve 15 kontrol grubu dahil edildi. COVID-19, gerçek zamanlı ters transkripsiyon-polimeraz zincir reaksiyonu ile teşhis edilirken, diğer viral ajanların saptanmasında indirekt immünofloresan antikor testi kullanıldı. Etken tespiti ile bakteriyel etkenler belirlendi. Tüm olguların oftalmolojik muayenesi direk ışıkla yapıldı ve ön segment değerlendirmesi yapıldı. Çalışmaya dahil edilen tüm olguların laboratuvar bulguları hastane kayıtlarından elde edildi.
Bulgular
COVID-19 tanısı alan hastalarda% 5 konjunktivit ve% 5 diplopi geliştiği, diğer viral ajanlara bağlı hastalarda% 20 konjunktivit geliştiği ve hastalarda bakteriyel ajanlara bağlı% 66.6 konjunktivit geliştiği belirlendi.
Sonuç
COVID-19 hastalarında konjunktivit insidansı diğer viral ve bakteriyel gruplara göre daha düşüktü. Nötrofil / lenfosit oranı ve C-reaktif protein, bu hastalıkları ayırt etmede faydalı olabilecek yüksek özgüllük ve duyarlılığa sahip değerli parametreler olarak öne çıkmaktadır.
Introduction
In December 2019, one of the members of the Coronavirus family mutated, causing a pandemic around the world [1]. This Severe Acute Respiratory Syndrome Coronavirus 2 (SARS-CoV-2) causing the pandemic was called Coronavirus Disease 2019 (COVID-19) diseases by the World Health Organization [2]. The SARS-CoV-2 virus is a single-chain RNA virus with a diameter of 80–120 nm and belongs to the SARS-CoV beta coronavirus subgroup [3], and they are genetically similar to each other at a rate of 70% [4]. COVID-19 is a disease, which affects many anatomical organs such as the lungs, liver, kidneys, nose, stomach, and eyes and has a very wide clinical spectrum such as fever, fatigue, dry cough, muscle pain, difficulty in breathing, diarrhea and nausea, and causes death with pneumonia, severe respiratory distress, septic shock and kidney failure, or multiple organ failure [5], [6]. Although rarely, conjunctivitis has been reported to develop in COVID-19 disease [7]. As is known, conjunctivitis can be of bacterial, viral, or allergic origin [8]. In the cohort study of 1.099 cases clinically diagnosed with COVID-19, W Guan et al. stated that there were conjunctivitis findings only in 9 (0.8%) cases [9], Yunyun Z et al. stated in the retrospective cohort study that there were conjunctivitis findings only in 1 (1.5%) of the 67 cases [10]. Thus, the status of conjunctivitis development due to COVID-19 disease varies between 0.8 and 1.5% [11]. However, many viruses, other than the SARS-CoV-2 virus, causes conjunctivitis [12]. For example, adenoviruses are viruses that cause conjunctivitis very commonly [13]. Eye infections due to adenovirus constitute a significant part of ophthalmology outpatient clinic patients since they can be observed sporadically or in the form of epidemics and are highly infectious. In the studies conducted to date, the most common adenovirus types causing keratoconjunctivitis have been previously reported to be Type 8, 19, and 37 [14]. On the contrary, the most common cause of ocular infections in the world (about 50–70%) is conjunctivitis caused by bacteria such as Staphylococcus aureus, Streptococcus pneumoniae, Haemophilus influenza, and Morexella lacunata, and primarily S. epidermidis [15]. Infectious conjunctivitis occurs when the host resistance decreases or microorganisms overcome this resistance [8].
In COVID-19 disease, the immune system is weakened, and the patient’s resistance decreases. In such a case, conjunctivitis might develop in COVID-19 patients [16]. There are even some reports on its development. Although we performed an extensive literature review, we did not find any scientific study that compares and investigates conjunctivitis due to COVID-19 and other viral and bacterial conjunctivitis conditions together. Therefore, the purpose of this study to reveal how the incidence and biochemical parameters of COVID-19 and other viral and bacterial conjunctivitis change and compare them among themselves and with the control group.
Materials and Methods
With the approval (2020/06-32) dated 4.13.2020 of the non-interventional ethics committee of Firat University, and with also the approval Ministry of Health, 20 COVID-19, 15 other viral, 15 bacterial patients, and 15 healthy volunteers as the control group with similar body mass index (BMI) values and ages who applied to Fethi Sekin City Hospital with certain complaints were included in the study. The history of a disease and physical examination of all patients, nasal or throat swabs and blood cultures, viral panels for early diagnosis, and also routine C-reactive protein (CRP), creatinine, urea, sodium, potassium, chlorine, total bilirubin, white blood cell (WBC), neutrophil, and lymphocyte measurements during the hospitalization of the patients were studied with a Beckman Coulter autoanalyzer AU5800 (Higashino, Nagaizumi-cho, Sunto-gun, Shizuoka, Japan), and the above-mentioned biochemical parameters used in this study were used by obtaining them from the patient file records. The swab was taken from the conjunctiva for the diagnosis of COVID-19 conjunctivitis. Radiological examinations (computed thorax tomography, thorax ultrasound, and chest radiography) were also performed.
Patients administered hospital with symptoms (unexplained fever [≥37.5 °C], cough, sore throat, shortness of breath) were considered to be associated with COVID-19 according to the documents, which have been prepared by health professionals from Turkish Ministry of Health, and also these documents continuously were extended (fatigue, runny nose, muscle pain, joint pain, diarrhea, nausea/vomiting and loss of appetite, loss of sense of smell or taste, and pneumonia) by Turkish Ministry of Health [17]. Then, SARS-CoV-2 virus was confirmed by the real time reverse transcription–polymerase chain reaction (real time RT-PCR) (Rotor-Gene Q, QIAGEN Hilden, Germany). The antibody test was used in the detection of viral agents, other than COVID-19, and bacterial agents were detected with the determination of the agent. Anterior segment evaluation was performed by Slit-Lamp Microscope to find out whether there was eyelid edema, conjunctival hyperemia, infection and chemosis, subconjunctival hemorrhage, and pseudomembrane formation was examined by an experienced and senior ophthalmologist. Protective materials (eyewear, protective visor, N95 mask, overalls, and gloves) were used in accordance with the World Health Organization (WHO) recommendations to prevent possible contamination during the anamnesis, physical and ophthalmologic examinations of these participants. Furthermore, since there were many infectious conjunctivitis agents, only the COVID-19 disease agent (SARS-Cov2), adenoviral conjunctivitis as a viral agent, and S. epidermidis conjunctivitis as a bacterial agent were included in this study.
Statistical analysis
The statistical package for the social sciences (SPSS 22.0; Armonk, New York, International Business Machines, IBM Corp.) package program was used for the statistical evaluation of the data obtained from the study. The conformity of the variables obtained as continuous measurement values to normal distribution was evaluated by the Shapiro–Wilk test. According to the test result, Student’s t-test was used to compare the variables that met the normal distribution assumption between two independent groups, and the Mann–Whitney U test was used when the normal distribution assumption was not met. The Kruskal–Wallis variance analysis technique was used to compare more than two independent groups. When the difference between more than two independent groups was found to be significant, the groups that created the difference were determined by posthoc multiple comparison tests. To test the distribution of categorical variables, the chi-square and Fisher’s exact tests were used. Central location and distribution criteria such as mean ± standard deviation and median (Minimum-Maximum) were used as descriptive statistics for group comparisons and a summary of demographic characteristics. The diagnostic ability of variables such as Neutrophil/Lymphocyte ratio (N/LO), WBC, and CRP with regard to the disease was evaluated by the receiver operating characteristic curve (ROC) analysis. The area under the curve was summarized with 95% confidence intervals. For the variables that were found sufficient in terms of the diagnostic ability, appropriate cut-off points were determined using the Youden index and expressed with the relevant sensitivity and selectivity values. In our study, p<0.05 was selected as the statistical significance level.
Results
The mean ages of the COVID-19, adenoviral and bacterial conjunctivitis cases and control participants included in the study were 61.57 ± 19.06 years, 65.60 ± 5.06 years, 57.46 ± 16.11 years, and 60.80 ± 16.37 years, respectively, and there was no significant difference between them (p>0.05). All of the participants are alive, and there were no fatalities. Some demographic characteristics (gender) and disease data (eye involvement, history of onset, the presence of comorbidity) of the individuals participating in the study are summarized in Table 1. In 56% of all patients participating in the study, there was generally fever in 18 (36%) and cough in 10 (20%) patients as initial complaints (Table 1).
Comparison of the demographic characteristics of the patient and control groups.
| n | % | ||
|---|---|---|---|
| Groups | Control | 15 | 23.1 |
| COVID-19 | 20 | 30.7 | |
| Viral | 15 | 23.1 | |
| Bacterial | 15 | 23.1 | |
| Fever | 18 | 36 | |
| Fever + Respiratory distress | 1 | 2 | |
| Sore throat | 1 | 2 | |
| Initial complaint | Diplopia | 1 | 2 |
| Conjunctivitis | 14 | 28 | |
| Cough | 10 | 20 | |
| Respiratory distress | 5 | 10 | |
| Gender | Female | 35 | 53.85 |
| Male | 30 | 46.15 | |
| Eye involvement | No | 44 | 88.0 |
| Yes | 6 | 12.0 | |
| Comorbidity | No | 30 | 60.0 |
| Yes | 20 | 40.0 | |
Furthermore, the number of patients with comorbidity (diabetes, hypertension, etc.) was 20 (40%). While conjunctivitis (5%) was recorded in one male patient and diplopia was recorded in one male patient (5%) among COVID-19 patients, conjunctivitis was recorded in three individuals (20%, two males, one female) among viral cases (except COVID-19), bacterial conjunctivitis was observed in 10 patients (66.6%, six males, four females). Table 2 also indicates comparison of some biochemical parameters of the patient and control groups with and without comorbitidy. The WBC, CRP, and N/LO variables are not affected by the comorbidity.
Comparison of the WBC, CRP, and N/LO values in groups with and without comorbidity.
| Group | Parameter | Additional disease (+) | Additional disease (–) | p-Values | ||
|---|---|---|---|---|---|---|
| Mean ± SD | Median | Mean ± SD | Median | |||
| COVID-19 | WBC | 6.92 ± 3.55 | 5.90 (13.60) | 6.20 ± 1.83 | 6.60 (4.50) | 0.896 |
| CRP | 27.84 ± 42.16 | 8.47 (119.90) | 28.99 ± 20.04 | 24.60 (52.73) | 0.315 | |
| N/LO | 3.16 ± 1.51 | 3.11 (6.45) | 5.36 ± 4.25 | 3.32 (10.57) | 0.157 | |
| Viral | WBC | 9.03 ± 3.57 | 8.20 (11.00) | 7.52 ± 2.70 | 8.05 (6.40) | 0.601 |
| CRP | 12.45 ± 9.90 | 7.79 (23.80) | 37.39 ± 44.70 | 37.39 (63.22) | 0.296 | |
| N/LO | 4.94 ± 3.41 | 3.56 (10.45) | 3.17 ± 2.35 | 3.40 (4.88) | 0.361 | |
| Bacterial | WBC | 7.57 ± 1.16 | 7.75 (2.80) | 10.21 ± 2.99 | 10.30 (9.70) | 0.101 |
| CRP | 14.56 ± 8.76 | 13.30 (17.40) | 14.60 ± 14.88 | 9.20 (38.06) | 0.540 | |
| N/LO | 3.06 ± 0.72 | 3.11 (1.65) | 6.24 ± 6.58 | 4.42 (23.39) | 0.296 | |
*Viral: Other than COVID-19; CRP, C-reactive protein; N/LO, Neutrophil/Lymphocyte ratio; SD, Standard deviation; WBC, White blood cell; p, Probability.
When the biochemical electrolytes of patients and control participants were compared, the potassium value was found to be statistically significantly higher in COVID-19 patients compared to the control group (p<0.05). There was no significant difference between the other biochemical electrolytes of the participants (Table 3). When neutrophil and lymphocyte counts were compared between COVID-19 and other viral conjunctivitis, no statistical difference was found between them (p>0.05). However, when they were compared with bacterial conjunctivitis, neutrophil and lymphocyte counts were low in both groups, and this was statistically significant (p<0.05). Nevertheless, upon being compared with the control group, neutrophil levels were reported to be higher, and lymphocyte levels were reported to be low in all patient groups. When the control and patient values were compared in terms of WBC, there was no statistically significant difference, while there was a statistically significant increase (p<0.05) in the CRP and N/LO ratios in the patient groups. However, when the patients were evaluated among themselves in terms of CRP and N/LO, it was not significant (Table 3). It was also determined that WBC, CRP, and N/LO compared in those with and without comorbidity in all groups did not correlate with the presence of comorbidity and were not statistically significant (p>0.356, p>0.928, p>0.15, respectively) (Table 3).
Comparison of some biochemical parameters of the patient and control groups.
| Parameter | Control | COVID-19 | Viral | Bacterial | p-Values |
|---|---|---|---|---|---|
| Creatinine, mg/dL | 0.77 ± 0.20 | 0.89 ± 0.24 | 0.75 ± 0.28 | 0.80 ± 0.27 | 0.254 |
| Urea, mg/dL | 28.96 ± 10.72 | 34.56 ± 19.92 | 46.58 ± 35.12 | 43.48 ± 22.18 | 0.496 |
| Sodium, mmol/L | 136.47 ± 3.02 | 136.70 ± 3.28 | 139.50 ± 4.00 | 137.87 ± 3.00 | 0.058 |
| Potassium, mmol/L | 3.89 ± 0.25 | 4.17 ± 0.34 | 4.12 ± 0.48 | 4.02 ± 0.70 | 0.007 |
| Chlorine, mmol/L | 104.33 ± 2.79 | 102.75 ± 4.15 | 103.38 ± 2.81 | 103.00 ± 4.62 | 0.304 |
| Total bilirubin, mg/dL | 0.56 ± 0.25 | 0.52 ± 0.26 | 0.51 ± 0.17 | 0.62 ± 0.31 | 0.582 |
| WBC, 109/L | 7.22 ± 1.29 | 6.74 ± 3.19 | 8.63 ± 3.34 | 9.51 ± 2.85 | 0.079 |
| Neutrophil, 109/L | 3.75 ± 1.27 | 4.60 ± 2.75 | 6.01 ± 3.14 | 6.86 ± 3.00 | 0.024 |
| Lymphocyte, 109/L | 2.21 ± 0.45 | 1.38 ± 0.58 | 1.71 ± 0.79 | 1.64 ± 0.50 | 0.005 |
| N/LO | 1.77 ± 0.73 | 3.71 ± 2.54 | 4.47 ± 3.19 | 5.39 ± 5.76 | 0.018 |
| CRP, mg/dL | 2.97 ± 0.70 | 28.13 ± 37.34 | 17.44 ± 20.21 | 14.59 ± 13.06 | 0.001 |
*Viral: Other than Covid-19; CRP, C-reactive protein; N/LO, Neutrophil/Lymphocyte ratio; SD, Standard deviation; WBC, White blood cell.
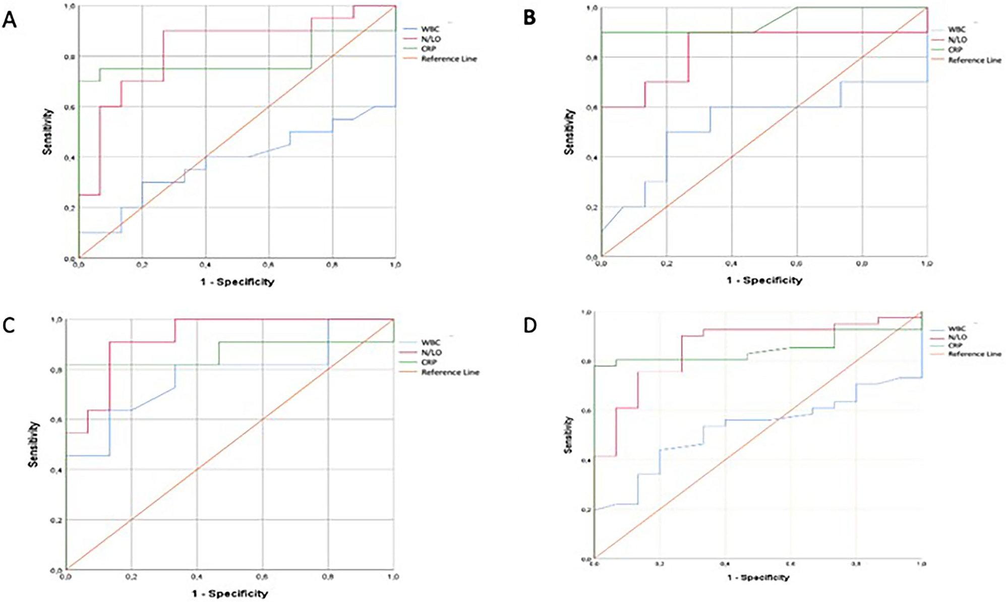
As a result of the ROC analysis, the areas under the curve were examined, and this index evaluating the diagnostic abilities of the CRP and N/LO variables was found to be significant (p<0.001) (Figure 1). Upon examining COVID-19 and control participants, there is the discrimination of the CRP and N/LO parameters. For N/LO, it was calculated according to the Youden index that the 1.875 cut-off point corresponding to 0.90 sensitivity and 0.73 selectivity points could distinguish the disease. For CRP, this point was calculated as 6.180, corresponding to 0.70 sensitivity and 1.00 selectivity. When the other viral conditions and control are examined, there is the discrimination of the WBC, CRP, and N/LO ratio. The value of 8.70 corresponding to 0.63 sensitivity and 0.86 selectivity for WBC and the point of 2.483 corresponding to 0.90 sensitivity and 0.86 selectivity for N/LO was calculated as the cut-off points that could distinguish the disease according to the Youden index. For CRP, this point was recorded as 4.660 corresponding to 0.81 sensitivity and 1.00 selectivity. Upon examining bacterial conjunctivitis cases, there is the discrimination of the CRP and N/LO parameters. For N/LO, it was calculated according to the Youden index that the point of 2.004 corresponding to 0.90 sensitivity and 0.733 selectivity points was the cut-off point that could distinguish the disease. For CRP, this point was 4.190 corresponding to 0.90 sensitivity and 1.00 selectivity. When all groups were evaluated together, the cut-off point determined according to the Youden index for the CRP variable was calculated as 4.190 corresponding to 0.780 sensitivity and 1.000 selectivity points. Likewise, the cut-off point calculated for N/LO was calculated as the point of 1.875 corresponding to 0.902 sensitivity and 0.733 selectivity that could distinguish the diseases.

Comparison of the sensitivity and specificity values of some biochemical parameters according to the ROC curve by diseases.
Discussion
In this study, the frequency and biochemical changes of conjunctivitis developing due to COVID-19, other viral and bacterial agents were compared and investigated for the first time. In the development of conjunctivitis, bacterial conjunctivitis ranked first with 66.6%, followed by other viral conjunctivitis, except COVID-19, with 20%. Conjunctivitis and diplopia developing due to COVID-19 were observed in 5% and 5% of patients, respectively. In previous studies, approximately 50–70% of conjunctivitis has been reported to be bacterial [18]. In this study, bacterial conjunctivitis developing at a rate of 66.6% confirms the previous reports [19], [20]. Thus, according to these data, bacterial conjunctivitis is understood to be the primary cause of ocular infections. Putting aside bacteria, which are the primary cause of ocular infections, viruses take the second place [12], [13]. In this study, conjunctivitis developing due to COVID-19 was detected in 5%, and conjunctivitis developing due to other viral agents was detected in 20%. In addition to COVID-19, adenoviral conjunctivitis of viral origin was included in this study because adenoviral conjunctivitis has been reported as viral conjunctivitis in previous studies [21]. In this study, viral conjunctivitis was determined at a rate of 25%. While 5% of the 25% viral conjunctivitis reported here developed due to COVID-19, the remaining 20% was conjunctivitis developing due to other viral agents [8]. This means that the main cause of viral conjunctivitis is adenoviruses rather than SARS Cov-2 [21]. Moreover, previous studies have reported that Type 8, 19, and 37 adenoviruses are mainly responsible for keratoconjunctivitis [14]. In fact, the percentage of conjunctivitis of SARS Cov-2 we reported here was higher compared to the previously reported studies. For example, in the cohort study of 1.099 cases clinically diagnosed with COVID-19, Guan et al. reported that there was conjunctival congestion only in 9 (0.8%) cases [9]. In a retrospective cohort study, another group of researchers (Yunyun et al.) also reported that there were conjunctivitis findings only in 1 (1.5%) of the 67 cases [10]. This study is inadequate to explain whether SARS Cov-2, which is the agent of COVID-19 disease, causes conjunctivitis indirectly, or directly as replication in the eye tissue. The SARS-Cov-2 virus uses the Angiotensin-converting enzyme 2 (ACE2) receptor to enter the cell [22]. Holappa M et al. have demonstrated the presence of the ACE2 receptor in aqueous fluid, and recent studies have reported that the ACE2 receptor is present in almost all organs, including eye tissue [23]. The possible reason for the rare occurrence of COVID-19 diseases in the eye may be tears. This virus may not be tear-resistant. However, our current data are still far from explaining why conjunctivitis related to this virus is observed rarely. The possible reason for the high conjunctivitis percentage in our study in comparison with the results obtained by Guan et al. [9] and Yunyun et al. [10] may be a different lifestyle of our cases (possibly frequent habits of bringing their hands to their eyes) or may be the different ACE2 receptors of the races. Nevertheless, we also accept that these different results cannot be explained by factors such as age, gender, and lifestyle habits. Therefore, this issue is left behind as an important study subject that needs to be explained. However, it should not be forgotten that another study evaluated both the tears and conjunctival scraps of 17 patients with the confirmed SARS-CoV infection by RT-PCR and reported that no positive result was obtained in favor of SARS-CoV in any of these samples taken [24]. In this study, in which ocular symptoms were investigated, the presence of diplopia due to COVID-19 disease was also reported in one patient. The possible cause of diplopia here may be due to the COVID-19 infection affecting the central nervous system because studies have shown that ACE2, which acts as a receptor for SARS–CoV-2, is also present in the central nervous system tissue [25]. Therefore, we temporarily suggest that this situation may cause diplopia.
In our study, when the cases were evaluated without considering the conjunctivitis case, the potassium values were observed to be lower in COVID-19 positive patients compared to the control group. Furthermore, this index that evaluates the diagnostic abilities of the N/LO and CRP levels in these patients was found to be significant in the ROC analysis (p<0.001). In other words, it is observed that N/LO and CRP play an essential role in the diagnosis of these patients. Guan et al. reported that lymphocytopenia was observed in COVID-19 patients, similarly to our study [9]. In the same study, fever and cough were frequent complaints at admission to the hospital, while cough and respiratory distress were the two main findings in our study. Moreover, in our study, the number of cases with comorbidity (diabetes, hypertension, etc.) corresponds to 33% of all cases. The clinical observations we have noted here about COVID-19 are consistent with the observations reported to date.
Our study has some limitations. First of all, the number of cases in all groups is low. Especially, the number of conjunctivitis cases contains an insufficient number due to the nature of the diseases (normally, conjunctivitis is also rarely observed). Although the study has the above-mentioned limitations, as a result, the previous reports and our study demonstrate that while the rate of conjunctivitis is low in cases with the COVID-19 infection and other viral conditions, this rate is high in bacterial origin. Whether there is a relation between the low conjunctivitis rates due to the COVID-19 infection in the eye with the ACE2 receptors is also ambiguous according to the available data. Based on all these data, since we do not have sufficient information about the transmission of COVID-19 through the eyes, we predict that it is important that primarily ophthalmologists and other members of society take measures to protect themselves from infection. Furthermore, according to our current ROC analysis data, it is observed that the CRP and N/LO variables are two parameters that help in diagnosing the disease.
Research funding: None declared
Author contributions: All authors have accepted responsibility for the entire content of this manuscript and approved its submission.
Competing interests: Authors have no conflict of interest.
Informed consent: Informed consent was obtained from all individuals included in this study.
Ethical approval: With the approval (2020/06-32) dated 4.13.2020 of the non-interventional ethics committee of Firat University, and with the approval Ministry of Health, 20 COVID-19, 15 other viral, 15 bacterial patients, and 15 healthy volunteers who applied to Fethi Sekin City Hospital were included in the study.
References
1. Shereen, MA, Khan, S, Kazmi, A, Bashir, N, Siddique, R. COVID-19 infection: origin, transmission, and characteristics of human coronaviruses. J Adv Res 2020; 24: 91–8. https://doi.org/10.1016/j.jare.2020.03.005.Suche in Google Scholar
2. https://www.who.int/emergencies/diseases/novel-coronavirus-2019/technical-guidance/naming-the-coronavirus-disease-(covid-2019)-and-the-virus-that-causes-it.Suche in Google Scholar
3. Sahu, KK, Mishra, AK, Lal, A. Comprehensive update on current outbreak of novel coronavirus infection (2019-nCoV). Ann Transl Med 2020; 8: 393. https://doi.org/10.21037/atm.2020.02.92.Suche in Google Scholar
4. Gralinski, LE, Menachery, VD. Return of the coronavirus: 2019-nCoV. Viruses 2020; 12: E135. https://doi.org/10.3390/v12020135.Suche in Google Scholar
5. https://cen.acs.org/biological-chemistry/infectious-disease/What-explains-non-respiratory-symptoms-seen-in-some-COVID-19-patients/98/web/2020/04.Suche in Google Scholar
6. Lescure, FX, Bouadma, L, Nguyen, D, Parisey, M, Wicky, PH, Behillil, S, et al. Clinical and virological data of the first cases of COVID-19 in Europe: a case series. Lancet Infect Dis 2020;S1473-3099:30200–0. https://doi.org/10.1016/S1473-3099(20)30200-0. Article in press.Suche in Google Scholar
7. Scalinci, SZ, Trovato Battagliola, E. Conjunctivitis can be the only presenting sign and symptom of COVID-19. IDCases 2020; 20: e00774. https://doi.org/10.1016/j.idcr.2020.e00774.Suche in Google Scholar PubMed PubMed Central
8. Azari, AA, Barney, NP. Conjunctivitis: a systematic review of diagnosis and treatment. JAMA 2013; 310: 1721–9. https://doi.org/10.1001/jama.2013.280318.Suche in Google Scholar PubMed PubMed Central
9. Guan, WJ, Ni, ZY, Hu, Y, Liang, WH, Ou, CQ, He, JX, et al. Clinical characteristics of coronavirus disease 2019 in China. N Engl J Med 2020; 382: 1708–20. https://doi.org/10.1056/nejmoa2002032.Suche in Google Scholar
10. https://www.medrxiv.org/content/medrxiv/early/2020/02/12/2020.02.11.20021956.10.1055/s-0040-1710421Suche in Google Scholar
11. Seah, I, Agrawal, R. Can the coronavirus disease 2019 (COVID-19) affect the eyes? A review of coronaviruses and ocular implications in humans and animals. Ocul Immunol Inflamm 2020; 28: 391–5. https://doi.org/10.1080/09273948.2020.1738501.Suche in Google Scholar PubMed PubMed Central
12. Yeu, E, Hauswirth, S. A review of the differential diagnosis of acute infectious conjunctivitis: implications for treatment and management. Clin Ophthalmol 2020; 14: 805–13. https://doi.org/10.2147/opth.s236571.Suche in Google Scholar PubMed PubMed Central
13. Mader, TH, Stulting, RD. Viral keratitis. Infect Dis Clin North Am 1992; 6: 831–49.10.1016/S0891-5520(20)30485-2Suche in Google Scholar
14. Lee, YC, Chen, N, Huang, IT, Yang, HH, Huang, CT, Chen, LK, et al. Human adenovirus type 8 epidemic keratoconjunctivitis with large corneal epithelial full-layer detachment: an endemic outbreak with uncommon manifestations. Clin Ophthalmol 2015; 9: 953–7. https://doi.org/10.2147/opth.s79697.Suche in Google Scholar
15. Teweldemedhin, M, Gebreyesus, H, Atsbaha, AH, Asgedom, SW, Saravanan, M. Bacterial profile of ocular infections: a systematic review. BMC Ophthalmol 2017; 17: 212. https://doi.org/10.1186/s12886-017-0612-2.Suche in Google Scholar
16. Vardhana, SA, Wolchok, JD. The many faces of the anti-COVID immune response. J Exp Med 2020; 217: e20200678. https://doi.org/10.1084/jem.20200678.Suche in Google Scholar
17. https://covid19bilgi.saglik.gov.tr/tr/covid-19-rehberi.html.Suche in Google Scholar
18. Kanski, JJ. Conjunctiva. In: Clinical ophthalmology, 6th ed. Oxford: Butterworth-Heinemann; 2007. p. 215–47.Suche in Google Scholar
19. Webber, SK, Blair, DGS, Elkington, AR, Canning, CR. Ophthalmologists with conjunctivitis: are they fit to work? EYE 1999; 13: 650–2. https://doi.org/10.1038/eye.1999.176.Suche in Google Scholar
20. Rietveld, RP, ter Riet, G, Bindels, PJ, Sloos, JH, van Weert, HC. Predicting bacterial cause in infectious conjunctivitis: cohort study on informativeness of combinations of signs and symptoms. BMJ 2004; 329: 206–10. https://doi.org/10.1136/bmj.38128.631319.ae.Suche in Google Scholar
21. Pinto, RD, Lira, RP, Arieta, CE, Castro, RS, Bonon, SH. The prevalence of adenoviral conjunctivitis at the Clinical Hospital of the State University of Campinas, Brazil. Clinics 2015; 70: 748–50. https://doi.org/10.6061/clinics/2015(11)06.Suche in Google Scholar
22. Zhang, H, Penninger, JM, Li, Y, Zhong, N, Slutsky, AS. Angiotensin-converting enzyme 2 (ACE2) as a SARS-CoV-2 receptor: molecular mechanisms and potential therapeutic target. Intensive Care Med 2020; 46: 586–90. https://doi.org/10.1007/s00134-020-05985-9.Suche in Google Scholar PubMed PubMed Central
23. Holappa, M, Valjakka, J, Vaajanen, A. Angiotensin(1–7) and ACE2, “the hot spots” of renin-angiotensin system, detected in the human aqueous humor. Open Ophthalmol J 2015; 9: 28–32. https://doi.org/10.2174/1874364101509010028.Suche in Google Scholar PubMed PubMed Central
24. Xu, X, Chen, P, Wang, J, Feng, J, Zhou, H, Li, X, et al. Evolution of the novel coronavirus from the ongoing Wuhan outbreak and modeling of its spike protein for risk of human transmission. Sci China Life Sci 2020; 63: 457–60. https://doi.org/10.1007/s11427-020-1637-5.Suche in Google Scholar PubMed PubMed Central
25. Xia, H, Lazartigues, E. Angiotensin-converting enzyme 2 in the brain: properties and future directions. J Neurochem 2008; 107: 1482–94. https://doi.org/10.1111/j.1471-4159.2008.05723.x.Suche in Google Scholar PubMed PubMed Central
© 2020 Walter de Gruyter GmbH, Berlin/Boston
Artikel in diesem Heft
- Frontmatter
- Research Articles
- Development of new total RNA isolation method for tissues with rich phenolic compounds
- Myofibrillar degeneration with diphtheria toxin
- In vitro and in silico studies on AChE inhibitory effects of a series of donepezil-like arylidene indanones
- In vitro antioxidant, anti-inflammatory and anti-cancer activities of methanolic extract of Asparagus horridus grows in North Cyprus Kuzey Kıbrıs da yetişen Asparagus horridus metanolik ekstraktının in-vitro antioksidan, anti-enflamatuar ve anti-kanser aktivitesi
- Purification and characterization of glucose-6-phosphate dehydrogenase from Eisenia fetida and effects of some pesticides and metal ions
- Nephroprotective effects of eriocitrin via alleviation of oxidative stress and DNA damage against cisplatin-induced renal toxicity
- The impact of orally administered gadolinium orthovanadate GdVO4:Eu3+ nanoparticles on the state of phospholipid bilayer of erythrocytes
- An anxiolytic drug buspirone ameliorates hyperglycemia and endothelial dysfunction in type 2 diabetic rat model
- Effects of mesenchymal stem cell and amnion membrane transfer on prevention of pericardial adhesions
- How potential endocrine disruptor deltamethrin effects antioxidant enzyme levels and total antioxidant status on model organisms
- Antiproliferative effect of rosehip tea phenolics in prostate cancer cell lines
- Investigation of MMP-9 rs3918242 and TIMP-2 rs8179090 polymorphisms in renal cell carcinoma tissues
- Investigation of SR-BI gene rs4238001 and rs5888 polymorphisms prevalence and effects on Turkish patients with metabolic syndrome
- Assessment of the frequency and biochemical parameters of conjunctivitis in COVID-19 and other viral and bacterial conditions
- Short Communication
- Lack of hotspot mutations other than TP53 R249S in aflatoxin B1 associated hepatocellular carcinoma
- Letter to the Editors
- Cornuside, identified in Corni fructus, suppresses melanin biosynthesis in B16/F10 melanoma cells through tyrosinase inhibition
- The extract of male bee and beehive from Bombus terrestris has biological efficacies for promoting skin health
- COVID-19 laboratory biosafety guide
- Retraction note
Artikel in diesem Heft
- Frontmatter
- Research Articles
- Development of new total RNA isolation method for tissues with rich phenolic compounds
- Myofibrillar degeneration with diphtheria toxin
- In vitro and in silico studies on AChE inhibitory effects of a series of donepezil-like arylidene indanones
- In vitro antioxidant, anti-inflammatory and anti-cancer activities of methanolic extract of Asparagus horridus grows in North Cyprus Kuzey Kıbrıs da yetişen Asparagus horridus metanolik ekstraktının in-vitro antioksidan, anti-enflamatuar ve anti-kanser aktivitesi
- Purification and characterization of glucose-6-phosphate dehydrogenase from Eisenia fetida and effects of some pesticides and metal ions
- Nephroprotective effects of eriocitrin via alleviation of oxidative stress and DNA damage against cisplatin-induced renal toxicity
- The impact of orally administered gadolinium orthovanadate GdVO4:Eu3+ nanoparticles on the state of phospholipid bilayer of erythrocytes
- An anxiolytic drug buspirone ameliorates hyperglycemia and endothelial dysfunction in type 2 diabetic rat model
- Effects of mesenchymal stem cell and amnion membrane transfer on prevention of pericardial adhesions
- How potential endocrine disruptor deltamethrin effects antioxidant enzyme levels and total antioxidant status on model organisms
- Antiproliferative effect of rosehip tea phenolics in prostate cancer cell lines
- Investigation of MMP-9 rs3918242 and TIMP-2 rs8179090 polymorphisms in renal cell carcinoma tissues
- Investigation of SR-BI gene rs4238001 and rs5888 polymorphisms prevalence and effects on Turkish patients with metabolic syndrome
- Assessment of the frequency and biochemical parameters of conjunctivitis in COVID-19 and other viral and bacterial conditions
- Short Communication
- Lack of hotspot mutations other than TP53 R249S in aflatoxin B1 associated hepatocellular carcinoma
- Letter to the Editors
- Cornuside, identified in Corni fructus, suppresses melanin biosynthesis in B16/F10 melanoma cells through tyrosinase inhibition
- The extract of male bee and beehive from Bombus terrestris has biological efficacies for promoting skin health
- COVID-19 laboratory biosafety guide
- Retraction note