Abstract
This article offers a detailed analysis of the Ising model in 2D small-world networks with competing Glauber and Kawasaki dynamics. The non-equilibrium stationary state phase transitions are obtained in these networks. The phase transitions are discussed, and the phase diagrams are obtained via Monte Carlo simulations and finite-size analyzing. We find that as the addition of links increases the phase transition temperature increases and the transition competing probability of tricritical point decreases. For the competition of the two dynamics, ferromagnetic to anti-ferromagnetic phase transitions and the critical endpoints are found in the small-world networks.
1 Introduction
The dynamical behavior of the Ising model was successfully described with the Glauber [1] and Kawasaki [2] mechanisms. In the past decades, an interesting problem has been attracting much attention, i.e., the competing Glauber-type and Kawasaki-type dynamics, which leads to non-equilibrium steady states [3, 4, 5, 6]. This competing mechanism has been applied to the other spin models [7, 8, 9, 10] as well, and the emergence of the dynamical tricritical point and self-organization have been reported. The authors found that, for the non-equilibrium models, the universality class of the stationary critical behavior is the same as the equilibrium models [4, 6]. All of these works were built on the regular square lattices.
In 1998, Watts and Strogatz proposed the small-world networks (SWN) [11], which are believed to catch the essence of many network systems in nature and society [12, 13]. SWNs are those intermediate between a regular lattice and a random network. They can be realized by introducing a very small portion of long-range links to a regular lattice. Such networks appear as small-worlds like random graphs, i.e., with a short average node-node distance that grows logarithmically with the network size. Meanwhile, they also usually have large clustering coefficients.
After Watts and Strogatz’s work, bursting studies of dynamical processes on SWNs appeared(see [12, 14] for review).The critical phenomena in equilibrium and growing networks including the birth of the giant connected component, percolation, k-core percolation, phenomena near epidemic thresholds, condensation transitions, critical phenomena in spin models placed on networks, synchronization, and self-organized criticality effects in interacting systems on networks were investigated in recent years [14]. Using Monte Carlo simulations, phase transitions of the Ising model built on the SWNs were studied by many authors [15, 16, 17], and the mean-field critical exponents were found in 1 to 3 dimension SWNs.
Many authors obtained the exact solutions of the equilibrium phase transitions in a Gaussian system with long range interactions [18, 19]. Zhu and Zhu successfully introduced the SWN effect to the critical dynamics of the spin system. They obtained the analytical results of D-dimensions Gaussian model and 1-dimension Ising model built on the SWNs. In Zhu’s work [20], it has been found that the SWN effect may have different types of influence on the Glauber-type dynamics and the Kawasaki-type dynamics. By focusing on the competition of the dynamics, it is easy for us to understand the significance of the SWN effect further and highlight the disparities between the dynamics. We have generalized the competing dynamics of the Gaussian model and 1D Ising model to the SWNs [21, 22]. By considering the mean field nature of the SWN effect, we obtained the critical behaviors and the phase diagrams analytically.
The 1D Ising model built on SWNs does not show antiferromagnetic phase at any temperature with any competing probability. Moreover, we did not obtain the full phase diagrams of the Gaussian model because of divergence problems. As we assumed that the Hamiltonian of the models have a mean-field nature, we obtained the simple phase diagrams of 1D Ising models in SWNs, in which the critical temperature is constant in non-zero competing probability.
As the mean-field Hamiltonian was used to obtain the analytical results in our previous work, some detail of behaviors of the stationary state transitions were ignored. To obtain more reliable results in this work, we use extensive Monte Carlo simulations to study the non-equilibrium phase transitions in the 2D SWNs. The ferromagnetic Ising model built on the networks is discussed with the competing Glauber and Kawasaki dynamics. To make it easier to follow, we first provide the involved theoretical formulation and the simulation method in Sec. 2. By analyzing the data, the phase transition behaviors and the diagrams are discussed in Sec. 3 and Sec. 4 is the conclusions.
2 The model and simulation method
2.1 Theoretical model
In this work, we study a specific network, in which every site is additionally linked to a randomly selected one with the probability p A on a 2 dimensional square lattice. To make the simulation simpler, we restrict the coordination number of each site lower than 5. If p A = 1, the coordination number equals 5. As the addition of long-range links take a small portion of all the possible links, the network stays in the small-world regime.
The ferromagnetic Hamiltonian of the Ising model built on this network is as follows,
where Jij is the coupling constant which equals J(J > 0) if there is a link between the nodes i and j, and equals zero if the nodes i and j are not connected.
Various dynamic processes in critical phenomena are believed to be governed by two basic mechanisms, i.e., the Glauber-type with order parameter non-conserved and the Kawasaki-type with order parameter conserved. With the competing dynamics, the master equation can be written as:
Here, pG denotes the Glauber mechanism with probability p, and (1 − p)K denotes the Kawasaki mechanism with probability 1 − p.
where {s} and {s'} represent the spin configurations before and after the spin flipping or exchanging respectively. G and K are determined respectively, by the Glauber-type single-spin flip probability Wi(si → ŝi) and by the Kawasaki-type pair-spin exchange probability Wij(sisj → ŝiŝj).
In their original form, the Glauber-type dynamics and the Kawasaki-type dynamics both favor a lower energy state. However, the competing dynamics are usually used to describe a system in contact with a heat bath while exposed to an external energy flux. Naturally one requires competition between one process favoring lower system-energy and the other one favoring higher system-energy. Usually, the Glauber-type mechanism is used to simulate the contact of the system with a heat bath and it prefers a lower-energy state. On the other hand, the Kawasaki-type mechanism can be modified to simulate an external energy flux that drives the system towards a higher energy state.
2.2 Simulation method
We apply the standard Metropolis Monte Carlo method to this model using a N × N square lattice with random addition of long-range interactions, of which the addition mechanism is described in Sec. 2.1. Let (k, l) be a node’s coordinate of the two-dimensional SWN. The periodic boundary conditions are used in all of our simulations. For a given temperature T and a competing probability p, a randomly uniform number r1 between zero and unity is generated. If r1 ≤ p, the Glauber dynamics are chosen. In this process, a randomly chosen spin skl may flip to −skl. The flipping probability is dependent on Wkl(skl → ŝkl), which is given by
If r1 > p, the Kawasaki dynamics is chosen. In this process, a randomly chosen spin s kl and its coupled spin
Here, ΔEkl is the energy change resulting from flipping spin s kl, and
Typically 2×106 MC steps per spin (MCS) are discarded to reach the stationary state, and 2 × 106 MCS are retained for the averages to obtain the bulk properties. We take 50 network samples for the average and 3 − 5 independent computations with different initial configurations to obtain the error bars. If error bars are not visible then they are smaller than the size of the symbols.
The measured thermodynamic quantities in our simulations are the magnetization per spin, the anti-ferro magnetization, the specific heat, the Binder cumulant and reduced fourth order energy cumulant:
[· · · ] denotes the different network realizations taken over 50 configurations, and< · · · > denotes the thermal average taken over 2 × 105 to 106 MCS. mf and mA give the ferromagnetic and anti-ferromagnetic order parameters respectively. In Eq.(8), if m = mf , U4 represents the Binder cumulant of the ferromagnetic order parameter, while, if m = m A, U4 represents the Binder cumulant of the anti-ferromagnetic order parameter. Lattice sizes from N = 16 to N = 64 are simulated and the data are analyzed via the finite-size scaling.
2.3 Finite-size scaling analysis
Although the original finite-size scaling was used to analyze the equilibrium phase transitions [23], many researchers [4, 6] still proposed that the bulk properties obey the scaling relation near the stationary critical point:
where α and ν are critical exponents, and ϵ = (T − Tc)/Tc, where Tc is the critical temperature. The exponent ν can be obtained via the derivative of the fourth order parameter cumulant U4 [24]:
where K T is the inverse temperature with the definition K T = J/KT, and bL−ω is a small correction term which is not taken into account in this article.
If the phase transition is first order, the peak of the specific heat scales proportional to Ld, where d is the dimension of the system. Moreover, V4 has a minimum at an effective transition temperature which approaches the infinite lattice value as the inverse volume of the system [23]. If the phase transition is of the second order, for large enough lattice size, the curves for the cumulate U4 cross as a function of temperature at a fix point value and the location of the fixed point is the critical point.
3 Results and discussion
The purpose of this work is to reveal the SWN effect on non-equilibrium phase transitions. The order of the phase transitions, the transition temperatures, and the critical exponents are discussed in this part. In contrast to Szolnoki’s work [6], in which they determined the critical points pc at fixed temperatures, we locate the transition points Tc at fixed competing probabilities p instead. We revisit the case of the regular 2D lattice. There exist the anti-ferromagnetic(AF), paramagnetic(PM), and ferromagnetic(FM) in the phase diagrams of the regular lattice systems.
We use the specific heat and the fourth order cumulant of energy to distinguish the first and second phase transitions rather than use V4 only. Typical data for the specific heat and the fourth order cumulant are shown in Figure 1. The specific heat peaks diverge with increasing lattice sizes, following the relations: cmax ∼ N α. If p = 0.5, we get α = 2, which implies that the system undergoes a first order transition. α = 0 (logarithm) when p = 0.7 which implies a second order phase transition. Both results are also confirmed by the curves of the fourth order cumulant.

The bulk properties as functions of temperature in regular square lattice. a) specific heat and b) reduced fourth order energy cumulant at p = 0.5, c) specific heat and b) Binder cumulant at p = 0.7
We simulate the cases of p = 0.1 to 0.9 and get the tricritical point: Tt = 2.17 ± 0.01 and pt = 0.67 ± 0.01,which agree well with the theoretical results of Szolnoki’s work [6].We estimate the exponent from finite-size behavior of specific heat peaks, cmax ∼ Nα/ν. Near the tricritical point, we get α/ν = 1.59. It is clear that the stationary second order transition has the same universality class as the 2D equilibrium Ising model.
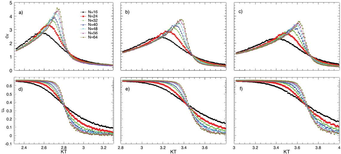
We then introduce the random interactions to the system, and the regular lattice becomes the SWN. Many researchers suggested that the equilibrium critical behaviors have the mean-field nature of such systems. While Newman assumed that the effective dimension is higher than regular lattices [25], and it is an interesting problem to explore how random interactions affect the non-equilibrium stationary state transitions. So we simulate the cases of p A = 0.1,0.5 and 1. Firstly, we study the FM to PM phase transitions. Figure 2 gives the specific heat and the fourth order cumulants of energy as a function of temperature at the competing probability p = 0.5. Table 1 gives the phase transition temperatures(Tf ) obtained from Figure 2.

The bulk properties as functions of temperature at p = 0.5. a) to c) specific heat of the SWNs with the adding probability pA = 0.1, 0.5, 1.0, respectively, d) to f) reduced fourth order energy cumulant of the SWNs with the adding probability pA = 0.1, 0.5, 1.0, respectively
Transition temperatures of FM to PM phases at p = 0.5 with different link addition probability
| pA: | 0.1 | 0.5 | 1 |
|---|---|---|---|
| Tf: | 2.22 | 2.84 | 3.14 |
The simulations show that the transition temperatures become higher as the link addition probability p A increases. Moreover, the peak of the specific heat scales proportional to L2, and V4 has a minimum at the effective transition temperature. Both of these suggest that the system undergoes a first order phase transition at p = 0.5.
If we increase the probability p, the order of the transition will change. The results of p = 0.9 are shown in Figure 3. It is obvious that the exponent α/ν = 0 (logarithm), which is the typical feature of the second phase transitions. The locations of the crossing fixed point of U4 are the critical points. And the critical temperatures (Tc) increase as p A increases. According to the scaling relation, the critical exponent ν and the effective dimensions deff satisfy the formula νdeff = 2− α [26]. By analyzing the data of U4, we obtain the critical exponents 1/ν = 1.02±0.01, 1.05±0.02 and 1.13 ± 0.01, corresponding to pA = 0.1, 0.5, 1.0 respectively. For ν is smaller than 1, deff is larger than 2. The mean-field behavior (deff ⩾ 4) does not appear on the SWNs. The reason for this phenomenon is that we restrict the number of extra links. Besides, we find that the effective dimensions increase as p A increases. Hence we speculated that the SWNs would show the mean-field nature (1/ν = 2 and deff = 4) if enough extra random links exist in the networks.

The bulk properties as functions of temperature at p = 0.9. a) to c) specific heat of the SWNs with the adding probability pA = 0.1, 0.5, 1.0, respectively, d) to f) Binder cumulant of the SWNs with the adding probability pA = 0.1, 0.5, 1.0, respectively
The previous simulations indicate there should be a tricritical point,which connects the first and second phase transitions. To get this point, we simulate the cases of p = 0.01 to 0.9 and estimate the exponent α/ν via finite size analyzing and locate the tricritical point (pt, Tt). The results of pA = 0.1, 0.5, 1.0 are shown in Table 2. Another
Tricritical points with different link addition probability
| pA: | 0.1 | 0.5 | 1 |
|---|---|---|---|
| pt: | 0.65 | 0.63 | 0.58 |
| Tt: | 2.46 | 3.02 | 3.24 |
interesting phenomenon is how the random links affect the self-organization under the competition between the Glauber and Kawasaki processes. If the flux of energy (1 − p) is further increased, the Ising model on the regular square lattice self-organizes into an antiferromagnetic phase [6]. To locate the transition point of the antiferromagnetic phase to other phases on the SWNs we use the order parameters and the cumulants of the antiferromagnetic order parameter. The quantities as a function of competing probabilities are simulated at different constant temperatures.
The phase diagrams are shown in Figure 4. The data plotted in the diagrams are quite different to the one of the regular lattice. There are PM, AF and FM phases in the figures. The more random links give rise to the higher

Phase diagrams of the SWNs with the adding probability pA = 0.1, 0.5, 1.0, respectively. The boundary of the first order transitions are shown by dashed lines and open circles, and the second order transitions are shown by solid lines and closed diamonds. The solid squares represent the tricritical points
transition temperatures of FM to PM. More ferromagnetic coupling makes the system like a ferromagnetic state. The higher temperature is needed to break the ferromagnetic order. Compared to the regular lattice, the region of the FM phase becomes larger, and especially at small p (large energy flux), the systems undergo FM to AF transitions, which does not exist in the regular lattice. The transition of FM to AF is first order. As a result, the critical line of AF to PM meets and is truncated by a first order transition line. The truncated point should be the critical endpoint.
The diagrams reveal the fact that adding random links breaks the AF order and leads to the appearance of the FM phase even at considerable energy flux if the temperature is low. However, the Kawasaki mechanism, which prefers the high temperature, dominates the system when p is small. Hence, when the temperature is high enough, the system will self-organize to the AF phase again. However, the axis p = 0 is a unique zone in the phase diagrams. We cannot identify the system simply as FM or AF, because in this case, it depends on the initial state. If mf ≠ 0 and mA = 0 at the initial state, the system will stay in a FM state; otherwise, the system will be AF.
The tricritical points are found in the diagrams, and this was not reported in the analytical work of 1D networks [22]. If the energy flux is large enough, the transition from FM to PM is the first order; otherwise, the transition is the second order. When the energy flux is small, the Glauber mechanism dominates the system. Consequently, critical phenomena exist in these systems. However, if the energy flux is not sufficiently small, the Glauber and the Kawasaki mechanism competitively govern the system. There is no spontaneous symmetry breaking, so the transition should be the first order. The transition probability pt of tricritical points decreases if the adding probability p A increases. This means that the region of the spontaneous symmetry breaking becomes larger because of the extra random FM coupling.
4 Conclusions
Using extensive MC simulations, we have studied the non-equilibrium phase transitions in 2D SWNs governed by the competing Glauber and Kawasaki mechanism. The Ising model is used, and the phase diagrams are obtained. We find that adding random interactions leads to four effects. First, they make ferro- to paramagnetic phase transition temperatures increase, which is the same effect as the equilibrium transitions in SWNs. Second, the tricritical competing probability pt decreases as the p A increases. Third, the self-organizing behavior is restrained because of the randomness, and the AF to FM phase transition appears in the networks. Finally, the critical endpoints exist in the phase diagrams. Via finite size analyzing, we obtain the critical exponent 1/ν > 1, which implies that the effect dimension is larger than 2. Our results further indicate that the method for analyzing equilibrium phase transitions could be used to analyze studies of the non-equilibrium stationary transitions. We believe that the method can be applied to many real systems in nature and society.
Acknowledgement
This work is supported by the National Natural Science Foundation of China under Grant No. 11405127 and 11647022.
References
[1] Glauber R. J., Time dependent statistics of the Ising model, J. Math. Phys., 1963, 4, 294-307.10.1063/1.1703954Search in Google Scholar
[2] Kawasaki K., Diffusion constants near the critical point for time-dependent Ising models. I, Phys. Rev., 1966, 145, 224-230.10.1103/PhysRev.145.224Search in Google Scholar
[3] Tome T., and Oliveira M. J., Self-organization in a kinetic Ising model, Phys. Rev. A, 1989, 40, 6643-6646.10.1103/PhysRevA.40.6643Search in Google Scholar PubMed
[4] Grandi B. C. S., and FigueiredoW., Critical exponents of the Ising model with competing Glauber and Kawasaki dynamics, Phys. Rev. E, 1996, 53, 5484-5487.10.1103/PhysRevE.53.5484Search in Google Scholar PubMed
[5] Ma Yuqiang and Liu Jiwen, The competing Glauber and Kawasaki dynamics induced phase transition in the ferromagnetic Ising model, Phys. Lett. A, 1998, 238, 159-163.10.1016/S0375-9601(97)00906-7Search in Google Scholar
[6] Szolnoki A., Phase transitions in the kinetic Ising model with competing dynamics, Phy. Rev. E, 2000, 62, 7466-7469.10.1103/PhysRevE.62.7466Search in Google Scholar PubMed
[7] Hontinfinde F., Bekhechi F., and Ferrando R., The kinetic spin-1 Blume-Capel model with competing dynamics, Euo. Phys. J. B, 2000, 16, 681-686.10.1007/s100510070186Search in Google Scholar
[8] Bekhechi S., Benyoussef A., Loulidi M., Kenz A. EI, Kinetic Ashkin-Teller model with competing dynamics, Phys. Rev. E, 2000, 64, 016134.10.1103/PhysRevE.64.016134Search in Google Scholar PubMed
[9] Zhu H., Zhu J. Y., and Zhou Y., Generalized competing Glauber-type dynamics and Kawasaki-type dynamics, Phys. Rev. E, 2002, 66, 036106.10.1103/PhysRevE.66.036106Search in Google Scholar PubMed
[10] Ndizeye P., Hontinfinder F., Kounouhewa B., and Bekhechi S., Numerical study of the three-state Ashkin-Teller model with competing dynamics, Centr. Eur. J. Phys., 2014,12, 375-382.10.2478/s11534-014-0446-ySearch in Google Scholar
[11] Watts D. J., and Strogatz S. H., Collective dynamics of ’small-world’networks, Nature, 1998, 393, 440-442.10.1038/30918Search in Google Scholar PubMed
[12] Albert R., and Barabasi A.-L., Statistical mechanics of complex networks, Rev. Mod. Phys., 2002, 74, 47-97.10.1103/RevModPhys.74.47Search in Google Scholar
[13] Newman M. E. J., The structure and function of complex networks, SIAM Rev., 2003, 45, 167-256.10.1137/S003614450342480Search in Google Scholar
[14] Dorogovtsev S. N., Goltsev A. V., and Mendes J. F. F., Critical phenomena in complex networks, Rev. Mod. Phys., 2008, 80, 1275-1335.10.1103/RevModPhys.80.1275Search in Google Scholar
[15] Pekalski A., Ising model on a small world network, Phys. Rev. E, 2001, 64, 057104.10.1103/PhysRevE.64.057104Search in Google Scholar PubMed
[16] Kim B. J., Hong H., Holme P., Jeon G. S., Minnhagen P., and Choi M. Y., XY model in small-world networks, Phys. Rev. E, 2001, 64, 056135.10.1103/PhysRevE.64.056135Search in Google Scholar PubMed
[17] Herrero C. P., Ising model in small-world networks, Phys Rev. E, 2002, 65, 066110.10.1103/PhysRevE.65.066110Search in Google Scholar PubMed
[18] Wang C. Y., and Kong, X., M., An Attempt to Introduce Long-Range Interactions Into Small-World Networks, Mod. Phys. Lett. B, 2010, 24, 671-679.10.1142/S0217984910022743Search in Google Scholar
[19] Wang C. Y., and Kong, X., M., Critical temperature of the Gauss system under long-range interactions, Acta Phys. Sin., 2005, 54, 4365-4369.10.7498/aps.54.4365Search in Google Scholar
[20] Zhu J. Y., and Zhu H., Introducing small-world network effects to critical dynamics, Phys. Rev. E, 2003, 67, 026125.10.1103/PhysRevE.67.026125Search in Google Scholar PubMed
[21] Zhu J. Y., Liu W., and Zhu H., Small-world network effect in competing Glauber-and Kawasaki-type dynamics, Euo. Phys. J. B, 2003, 36, 545-553.10.1140/epjb/e2004-00010-8Search in Google Scholar
[22] Liu W., and Zhu J. Y., One-dimensional Ising model built on small-world networks: Competing dynamics, Phys. Rev. E, 2005, 71, 056123.10.1103/PhysRevE.71.056123Search in Google Scholar PubMed
[23] Landau D. P., and Binder K, A Guide to Monte Carlo Simulations in Statistical Physics, 2nd ed, Cambridge University Press, 2005.10.1017/CBO9780511614460Search in Google Scholar
[24] Ferrenberg A. M., and Landau D. P., Critical behavior of the three-dimensional Ising model: A high-resolution Monte Carlo study, Phys. Rev. B, 1991, 44, 5081-5091.10.1103/PhysRevB.44.5081Search in Google Scholar
[25] Newman M. E. J., and Watts D. J., Scaling and percolation in the small-world network model, Phys. Rev. E, 1999, 60, 7332-7342.10.1515/9781400841356.310Search in Google Scholar
[26] Odor G., Universality classes in nonequilibrium lattice systems, Rev. Mod. Phys., 2004, 76, 663.10.1103/RevModPhys.76.663Search in Google Scholar
© 2019 W. Liu et al., published by De Gruyter
This work is licensed under the Creative Commons Attribution 4.0 International License.
Articles in the same Issue
- Regular Articles
- Non-equilibrium Phase Transitions in 2D Small-World Networks: Competing Dynamics
- Harmonic waves solution in dual-phase-lag magneto-thermoelasticity
- 10.1515/phys-2019-0003
- Zagreb Polynomials and redefined Zagreb indices of nanostar dendrimers
- Solar concentrators manufacture and automation
- Idea of multi cohesive areas - foundation, current status and perspective
- Derivation method of numerous dynamics in the Special Theory of Relativity
- An application of Nwogu’s Boussinesq model to analyze the head-on collision process between hydroelastic solitary waves
- Competing Risks Model with Partially Step-Stress Accelerate Life Tests in Analyses Lifetime Chen Data under Type-II Censoring Scheme
- Group velocity mismatch at ultrashort electromagnetic pulse propagation in nonlinear metamaterials
- Investigating the impact of dissolved natural gas on the flow characteristics of multicomponent fluid in pipelines
- Analysis of impact load on tubing and shock absorption during perforating
- Energy characteristics of a nonlinear layer at resonant frequencies of wave scattering and generation
- Ion charge separation with new generation of nuclear emulsion films
- On the influence of water on fragmentation of the amino acid L-threonine
- Formulation of heat conduction and thermal conductivity of metals
- Displacement Reliability Analysis of Submerged Multi-body Structure’s Floating Body for Connection Gaps
- Deposits of iron oxides in the human globus pallidus
- Integrability, exact solutions and nonlinear dynamics of a nonisospectral integral-differential system
- Bounds for partition dimension of M-wheels
- 10.1515/phys-2019-0040
- Analysis of repulsive central universal force field on solar and galactic dynamics
- Solitary Wave Solution of Nonlinear PDEs Arising in Mathematical Physics
- Understanding quantum mechanics: a review and synthesis in precise language
- Plane Wave Reflection in a Compressible Half Space with Initial Stress
- Evaluation of the realism of a full-color reflection H2 analog hologram recorded on ultra-fine-grain silver-halide material
- Graph cutting and its application to biological data
- Time fractional modified KdV-type equations: Lie symmetries, exact solutions and conservation laws
- Exact solutions of equal-width equation and its conservation laws
- MHD and Slip Effect on Two-immiscible Third Grade Fluid on Thin Film Flow over a Vertical Moving Belt
- Vibration Analysis of a Three-Layered FGM Cylindrical Shell Including the Effect Of Ring Support
- Hybrid censoring samples in assessment the lifetime performance index of Chen distributed products
- Study on the law of coal resistivity variation in the process of gas adsorption/desorption
- Mapping of Lineament Structures from Aeromagnetic and Landsat Data Over Ankpa Area of Lower Benue Trough, Nigeria
- Beta Generalized Exponentiated Frechet Distribution with Applications
- INS/gravity gradient aided navigation based on gravitation field particle filter
- Electrodynamics in Euclidean Space Time Geometries
- Dynamics and Wear Analysis of Hydraulic Turbines in Solid-liquid Two-phase Flow
- 10.1515/phys-2019-0085
- New Complex Solutions to the Nonlinear Electrical Transmission Line Model
- The effects of quantum spectrum of 4 + n-dimensional water around a DNA on pure water in four dimensional universe
- Quantum Phase Estimation Algorithm for Finding Polynomial Roots
- Vibration Equation of Fractional Order Describing Viscoelasticity and Viscous Inertia
- The Errors Recognition and Compensation for the Numerical Control Machine Tools Based on Laser Testing Technology
- Evaluation and Decision Making of Organization Quality Specific Immunity Based on MGDM-IPLAO Method
- Key Frame Extraction of Multi-Resolution Remote Sensing Images Under Quality Constraint
- Influences of Contact Force towards Dressing Contiguous Sense of Linen Clothing
- Modeling and optimization of urban rail transit scheduling with adaptive fruit fly optimization algorithm
- 10.1515/phys-2019-0098
- Chaos synchronization of fractional–order discrete–time systems with different dimensions using two scaling matrices
- Stress Characteristics and Overload Failure Analysis of Cemented Sand and Gravel Dam in Naheng Reservoir
- A Big Data Analysis Method Based on Modified Collaborative Filtering Recommendation Algorithms
- Semi-supervised Classification Based Mixed Sampling for Imbalanced Data
- The Influence of Trading Volume, Market Trend, and Monetary Policy on Characteristics of the Chinese Stock Exchange: An Econophysics Perspective
- Estimation of sand water content using GPR combined time-frequency analysis in the Ordos Basin, China
- Special Issue Applications of Nonlinear Dynamics
- Discrete approximate iterative method for fuzzy investment portfolio based on transaction cost threshold constraint
- Multi-objective performance optimization of ORC cycle based on improved ant colony algorithm
- Information retrieval algorithm of industrial cluster based on vector space
- Parametric model updating with frequency and MAC combined objective function of port crane structure based on operational modal analysis
- Evacuation simulation of different flow ratios in low-density state
- A pointer location algorithm for computer visionbased automatic reading recognition of pointer gauges
- A cloud computing separation model based on information flow
- Optimizing model and algorithm for railway freight loading problem
- 10.1515/phys-2019-0015
- Radiation effects of nuclear physics rays on hepatoma cells
- Special issue: XXVth Symposium on Electromagnetic Phenomena in Nonlinear Circuits (EPNC2018)
- A study on numerical integration methods for rendering atmospheric scattering phenomenon
- Wave propagation time optimization for geodesic distances calculation using the Heat Method
- Analysis of electricity generation efficiency in photovoltaic building systems made of HIT-IBC cells for multi-family residential buildings
- A structural quality evaluation model for three-dimensional simulations
- WiFi Electromagnetic Field Modelling for Indoor Localization
- Modeling Human Pupil Dilation to Decouple the Pupillary Light Reflex
- Principal Component Analysis based on data characteristics for dimensionality reduction of ECG recordings in arrhythmia classification
- Blinking Extraction in Eye gaze System for Stereoscopy Movies
- Optimization of screen-space directional occlusion algorithms
- Heuristic based real-time hybrid rendering with the use of rasterization and ray tracing method
- Review of muscle modelling methods from the point of view of motion biomechanics with particular emphasis on the shoulder
- The use of segmented-shifted grain-oriented sheets in magnetic circuits of small AC motors
- High Temperature Permanent Magnet Synchronous Machine Analysis of Thermal Field
- Inverse approach for concentrated winding surface permanent magnet synchronous machines noiseless design
- An enameled wire with a semi-conductive layer: A solution for a better distibution of the voltage stresses in motor windings
- High temperature machines: topologies and preliminary design
- Aging monitoring of electrical machines using winding high frequency equivalent circuits
- Design of inorganic coils for high temperature electrical machines
- A New Concept for Deeper Integration of Converters and Drives in Electrical Machines: Simulation and Experimental Investigations
- Special Issue on Energetic Materials and Processes
- Investigations into the mechanisms of electrohydrodynamic instability in free surface electrospinning
- Effect of Pressure Distribution on the Energy Dissipation of Lap Joints under Equal Pre-tension Force
- Research on microstructure and forming mechanism of TiC/1Cr12Ni3Mo2V composite based on laser solid forming
- Crystallization of Nano-TiO2 Films based on Glass Fiber Fabric Substrate and Its Impact on Catalytic Performance
- Effect of Adding Rare Earth Elements Er and Gd on the Corrosion Residual Strength of Magnesium Alloy
- Closed-die Forging Technology and Numerical Simulation of Aluminum Alloy Connecting Rod
- 10.1515/phys-2019-0057
- Research and Analysis of the Effect of Heat Treatment on Damping Properties of Ductile Iron
- Effect of austenitising heat treatment on microstructure and properties of a nitrogen bearing martensitic stainless steel
- Special Issue on Fundamental Physics of Thermal Transports and Energy Conversions
- Numerical simulation of welding distortions in large structures with a simplified engineering approach
- Investigation on the effect of electrode tip on formation of metal droplets and temperature profile in a vibrating electrode electroslag remelting process
- 10.1515/phys-2019-0079
- Three-dimensional optimal design of a cooled turbine considering the coolant-requirement change
- Theoretical analysis of particle size re-distribution due to Ostwald ripening in the fuel cell catalyst layer
- Effect of phase change materials on heat dissipation of a multiple heat source system
- Wetting properties and performance of modified composite collectors in a membrane-based wet electrostatic precipitator
- Implementation of the Semi Empirical Kinetic Soot Model Within Chemistry Tabulation Framework for Efficient Emissions Predictions in Diesel Engines
- Comparison and analyses of two thermal performance evaluation models for a public building
- A Novel Evaluation Method For Particle Deposition Measurement
- Effect of the two-phase hybrid mode of effervescent atomizer on the atomization characteristics
- Erratum
- Integrability analysis of the partial differential equation describing the classical bond-pricing model of mathematical finance
- Erratum to: Energy converting layers for thin-film flexible photovoltaic structures
Articles in the same Issue
- Regular Articles
- Non-equilibrium Phase Transitions in 2D Small-World Networks: Competing Dynamics
- Harmonic waves solution in dual-phase-lag magneto-thermoelasticity
- 10.1515/phys-2019-0003
- Zagreb Polynomials and redefined Zagreb indices of nanostar dendrimers
- Solar concentrators manufacture and automation
- Idea of multi cohesive areas - foundation, current status and perspective
- Derivation method of numerous dynamics in the Special Theory of Relativity
- An application of Nwogu’s Boussinesq model to analyze the head-on collision process between hydroelastic solitary waves
- Competing Risks Model with Partially Step-Stress Accelerate Life Tests in Analyses Lifetime Chen Data under Type-II Censoring Scheme
- Group velocity mismatch at ultrashort electromagnetic pulse propagation in nonlinear metamaterials
- Investigating the impact of dissolved natural gas on the flow characteristics of multicomponent fluid in pipelines
- Analysis of impact load on tubing and shock absorption during perforating
- Energy characteristics of a nonlinear layer at resonant frequencies of wave scattering and generation
- Ion charge separation with new generation of nuclear emulsion films
- On the influence of water on fragmentation of the amino acid L-threonine
- Formulation of heat conduction and thermal conductivity of metals
- Displacement Reliability Analysis of Submerged Multi-body Structure’s Floating Body for Connection Gaps
- Deposits of iron oxides in the human globus pallidus
- Integrability, exact solutions and nonlinear dynamics of a nonisospectral integral-differential system
- Bounds for partition dimension of M-wheels
- 10.1515/phys-2019-0040
- Analysis of repulsive central universal force field on solar and galactic dynamics
- Solitary Wave Solution of Nonlinear PDEs Arising in Mathematical Physics
- Understanding quantum mechanics: a review and synthesis in precise language
- Plane Wave Reflection in a Compressible Half Space with Initial Stress
- Evaluation of the realism of a full-color reflection H2 analog hologram recorded on ultra-fine-grain silver-halide material
- Graph cutting and its application to biological data
- Time fractional modified KdV-type equations: Lie symmetries, exact solutions and conservation laws
- Exact solutions of equal-width equation and its conservation laws
- MHD and Slip Effect on Two-immiscible Third Grade Fluid on Thin Film Flow over a Vertical Moving Belt
- Vibration Analysis of a Three-Layered FGM Cylindrical Shell Including the Effect Of Ring Support
- Hybrid censoring samples in assessment the lifetime performance index of Chen distributed products
- Study on the law of coal resistivity variation in the process of gas adsorption/desorption
- Mapping of Lineament Structures from Aeromagnetic and Landsat Data Over Ankpa Area of Lower Benue Trough, Nigeria
- Beta Generalized Exponentiated Frechet Distribution with Applications
- INS/gravity gradient aided navigation based on gravitation field particle filter
- Electrodynamics in Euclidean Space Time Geometries
- Dynamics and Wear Analysis of Hydraulic Turbines in Solid-liquid Two-phase Flow
- 10.1515/phys-2019-0085
- New Complex Solutions to the Nonlinear Electrical Transmission Line Model
- The effects of quantum spectrum of 4 + n-dimensional water around a DNA on pure water in four dimensional universe
- Quantum Phase Estimation Algorithm for Finding Polynomial Roots
- Vibration Equation of Fractional Order Describing Viscoelasticity and Viscous Inertia
- The Errors Recognition and Compensation for the Numerical Control Machine Tools Based on Laser Testing Technology
- Evaluation and Decision Making of Organization Quality Specific Immunity Based on MGDM-IPLAO Method
- Key Frame Extraction of Multi-Resolution Remote Sensing Images Under Quality Constraint
- Influences of Contact Force towards Dressing Contiguous Sense of Linen Clothing
- Modeling and optimization of urban rail transit scheduling with adaptive fruit fly optimization algorithm
- 10.1515/phys-2019-0098
- Chaos synchronization of fractional–order discrete–time systems with different dimensions using two scaling matrices
- Stress Characteristics and Overload Failure Analysis of Cemented Sand and Gravel Dam in Naheng Reservoir
- A Big Data Analysis Method Based on Modified Collaborative Filtering Recommendation Algorithms
- Semi-supervised Classification Based Mixed Sampling for Imbalanced Data
- The Influence of Trading Volume, Market Trend, and Monetary Policy on Characteristics of the Chinese Stock Exchange: An Econophysics Perspective
- Estimation of sand water content using GPR combined time-frequency analysis in the Ordos Basin, China
- Special Issue Applications of Nonlinear Dynamics
- Discrete approximate iterative method for fuzzy investment portfolio based on transaction cost threshold constraint
- Multi-objective performance optimization of ORC cycle based on improved ant colony algorithm
- Information retrieval algorithm of industrial cluster based on vector space
- Parametric model updating with frequency and MAC combined objective function of port crane structure based on operational modal analysis
- Evacuation simulation of different flow ratios in low-density state
- A pointer location algorithm for computer visionbased automatic reading recognition of pointer gauges
- A cloud computing separation model based on information flow
- Optimizing model and algorithm for railway freight loading problem
- 10.1515/phys-2019-0015
- Radiation effects of nuclear physics rays on hepatoma cells
- Special issue: XXVth Symposium on Electromagnetic Phenomena in Nonlinear Circuits (EPNC2018)
- A study on numerical integration methods for rendering atmospheric scattering phenomenon
- Wave propagation time optimization for geodesic distances calculation using the Heat Method
- Analysis of electricity generation efficiency in photovoltaic building systems made of HIT-IBC cells for multi-family residential buildings
- A structural quality evaluation model for three-dimensional simulations
- WiFi Electromagnetic Field Modelling for Indoor Localization
- Modeling Human Pupil Dilation to Decouple the Pupillary Light Reflex
- Principal Component Analysis based on data characteristics for dimensionality reduction of ECG recordings in arrhythmia classification
- Blinking Extraction in Eye gaze System for Stereoscopy Movies
- Optimization of screen-space directional occlusion algorithms
- Heuristic based real-time hybrid rendering with the use of rasterization and ray tracing method
- Review of muscle modelling methods from the point of view of motion biomechanics with particular emphasis on the shoulder
- The use of segmented-shifted grain-oriented sheets in magnetic circuits of small AC motors
- High Temperature Permanent Magnet Synchronous Machine Analysis of Thermal Field
- Inverse approach for concentrated winding surface permanent magnet synchronous machines noiseless design
- An enameled wire with a semi-conductive layer: A solution for a better distibution of the voltage stresses in motor windings
- High temperature machines: topologies and preliminary design
- Aging monitoring of electrical machines using winding high frequency equivalent circuits
- Design of inorganic coils for high temperature electrical machines
- A New Concept for Deeper Integration of Converters and Drives in Electrical Machines: Simulation and Experimental Investigations
- Special Issue on Energetic Materials and Processes
- Investigations into the mechanisms of electrohydrodynamic instability in free surface electrospinning
- Effect of Pressure Distribution on the Energy Dissipation of Lap Joints under Equal Pre-tension Force
- Research on microstructure and forming mechanism of TiC/1Cr12Ni3Mo2V composite based on laser solid forming
- Crystallization of Nano-TiO2 Films based on Glass Fiber Fabric Substrate and Its Impact on Catalytic Performance
- Effect of Adding Rare Earth Elements Er and Gd on the Corrosion Residual Strength of Magnesium Alloy
- Closed-die Forging Technology and Numerical Simulation of Aluminum Alloy Connecting Rod
- 10.1515/phys-2019-0057
- Research and Analysis of the Effect of Heat Treatment on Damping Properties of Ductile Iron
- Effect of austenitising heat treatment on microstructure and properties of a nitrogen bearing martensitic stainless steel
- Special Issue on Fundamental Physics of Thermal Transports and Energy Conversions
- Numerical simulation of welding distortions in large structures with a simplified engineering approach
- Investigation on the effect of electrode tip on formation of metal droplets and temperature profile in a vibrating electrode electroslag remelting process
- 10.1515/phys-2019-0079
- Three-dimensional optimal design of a cooled turbine considering the coolant-requirement change
- Theoretical analysis of particle size re-distribution due to Ostwald ripening in the fuel cell catalyst layer
- Effect of phase change materials on heat dissipation of a multiple heat source system
- Wetting properties and performance of modified composite collectors in a membrane-based wet electrostatic precipitator
- Implementation of the Semi Empirical Kinetic Soot Model Within Chemistry Tabulation Framework for Efficient Emissions Predictions in Diesel Engines
- Comparison and analyses of two thermal performance evaluation models for a public building
- A Novel Evaluation Method For Particle Deposition Measurement
- Effect of the two-phase hybrid mode of effervescent atomizer on the atomization characteristics
- Erratum
- Integrability analysis of the partial differential equation describing the classical bond-pricing model of mathematical finance
- Erratum to: Energy converting layers for thin-film flexible photovoltaic structures