Home Physical Sciences Enhanced thermal oxidative stability of silicone rubber by using cerium-ferric complex oxide as thermal oxidative stabilizer
Article Open Access

Enhanced thermal oxidative stability of silicone rubber by using cerium-ferric complex oxide as thermal oxidative stabilizer

  • Lei Wu and Yong Zhang EMAIL logo
Published/Copyright: May 29, 2019
Become an author with De Gruyter Brill

Abstract

Cerium (Ce)-ferric (Fe) complex oxides were prepared via a citric acid sol-gel process, and used as thermal oxidative stabilizers for silicone rubber (SR). The oxides were characterized by X-ray diffraction and Raman spectroscopy. The Ce/Fe molar ratio in Ce-Fe complex oxides significantly influenced the thermal oxidative stability of SR. After aging at 300°C for 24 h, SR filled with 4 phr Ce-Fe complex oxide with a Ce/(Ce+Fe) molar ratio of 0.8 (CeFeO-0.8) exhibited excellent thermal oxidative stability, retaining 56.8% and 54.3% of its original tensile strength and elongation at break, respectively. Some Ce3+ and Fe2+ ions were detected in aged SR composites. Ce3+/Ce4+ and Fe2+/Fe3+ molar ratios in SR/CeFeO-0.8 were less than that in SR/CeO2 and SR/Fe2O3 composites, respectively, as detected by X-ray photoelectron spectroscopy. It implies rapid re-oxidations of Fe2+ and Ce3+ occurred in SR/CeFeO-0.8, enhancing the capacity of CeFeO-0.8 to capture radicals during thermal aging.

Graphical Abstract

1 Introduction

Silicone rubber (SR) has attracted great attention for its high thermal oxidative stability, which can maintain good performance at 250°C for a long time. However, with the advancement of frontier technologies, SR is expected to be used at higher temperature in practical applications. Two competing mechanisms were proposed for describing the degradation process of SR under the presence of heat and oxygen (1, 2, 3, 4). The first is the molecular mechanism that occurs with the depolymerization of SR backbone and the formation of cyclic oligomers, which can shorten the length of SR macromolecule chains, consequently leading to the decreasing of crosslink density. The second is the radical mechanism that functions in side chains of SR under oxygen atmosphere where crosslinking reactions take place, causing the increase of crosslink density.

Some thermal resistant additives were used to improve the thermal oxidative stability of SR, e.g., metal oxides (5, 6, 7, 8, 9, 10), carbon nanotubes (CNTs) (11, 12, 13), graphene (14) and polyhedral oligomeric silsesquioxanes (POSS) (15, 16). Among the additives, rare earth oxides and transition metal oxides such as CeO2 and Fe2O3 have been widely used. SR filled with CeO2 retained 67% and 62% of its original tensile strength and elongation at break, respectively, when subjected to thermal aging at 250°C for 3 days (6). Ce4+ or Fe3+ ions capture radicals and thus suppress the degradation of SR, which is a well-known antioxidation effect mechanism of metal oxides. A new mechanism was proposed for the antioxidation effect of α-Fe2O3 for SR at elevated temperature. The redox cycle of Fe3+ occurs on the outer part of SR but α-Fe2O3 reverts into the form of Fe3O4 in the inner layer of SR (8). The synergistic effects of two fillers were also studied. Fe2O3 modified CNTs was more efficient than Fe2O3 for improving the thermal oxidative stability of SR, which was attributed to that CNTs could facilitate the shift from α-Fe2O3 to γ-Fe2O3 which is a better stabilizer, and the electron transportation effect of CNTs on Fe2O3 (8, 9, 10,17). CNTs and SnO2 nanoparticles also exhibited a positive synergistic effect on the thermal oxidative stability of SR (12).

Ce-Fe complex oxides were developed for heterogeneous catalysts. The incorporation of a small amount of Fe2O3 into CeO2 can enhance the redox properties and lattice oxygen mobility of CeO2 by lowering the activation energy of oxygen migration, thus improving the catalytic properties of CeO2 (18, 19, 20, 21). However, to our knowledge, Ce-Fe complex oxides have not been reported as thermal stabilizers for SR. In this article, Ce-Fe complex oxides were prepared by a citric acid sol-gel method, and were modified with phenyltriethoxysilane to avoid the their aggregation in SR. Ce-Fe complex oxides were then mixed into SR to investigate their effect as thermal oxidative stabilizers.

2 Experimental

2.1 Materials

Ce(NO3)3·6H2O, Fe(NO3)3·9H2O, phenyltriethoxysilane and NH3·H2O were purchased from Shanghai Macklin Biochemical Co., Ltd. Citric acid and ethylene glycol were purchased from Shanghai Lingfeng Chemical Reagent Co., Ltd. Polymethylvinylsiloxane (PMVS)/silica compound (denoted as SR, 100 phr silicone rubber gum (Mn = 5.9 × 104, vinyl content: 0.26 wt%) filled with 50 phr silica and additives) and 2,5-dimethyl-2,5-di-(tert-butylperoxy) hexane (DBPMH) were supplied by Midgold Fine Performance Materials (Shenzhen) Co., Ltd.

2.2 Preparation of thermal oxidative stabilizer

CeO2, Fe2O3 and Ce-Fe complex oxide (CeFeO) were synthesized via the citric acid sol-gel method by referring to the literature (22). Ce(NO3)3·6H2O and Fe(NO3)3·9H2O were dissolved in water according to the molar ratio in Table 1. Citric acid and ethylene glycol were then added slowly into the mixed solution (the molar ratio of citric acid /ethylene glycol/total metal ions was 1.5:1:1). The pH value of the solution was adjusted to 10-11 by adding NH3·H2O. The solution was kept in a water bath at 80°C until the gelation was completed. The as-prepared gel was then dried at 120°C for 24 h, followed by heating to 500°C at a heating rate of 5°C/min and kept for 4 h to obtain Ce-Fe complex oxide. A simple mixture of CeO2 and Fe2O3 with a Ce/(Ce+Fe) molar ratio of 0.8 (denoted as CeO2/Fe2O3) was prepared as a reference by directly grinding CeO2 and Fe2O3 together.

Table 1

The formula of CeO2, Fe2O3 and CeFeO.

SampleCe(NO3)3:Fe(NO3)3 (molar ratio)Ce/(Ce+Fe) molar ratio
CeO21:01
CeFeO-0.84:10.8
CeFeO-0.63:20.6
CeFeO-0.42:30.4
CeFeO-0.21:40.2
Fe2O30:1-

2.3 Surface modification of thermal oxidative stabilizer

1 g thermal oxidative stabilizer, 0.1 g phenyltriethoxysilane (PTES) and 20 mL ethanol were mixed under ultrasonication for 30 min and stirred at 60°C for 6 h. The resultant mixture was centrifugated, and the precipitate was washed with ethanol for three times and dried in a vacuum oven at 60°C to obtain modified oxides (m-CeO2, m-Fe2O3, m-CeFeO and m-CeO2/Fe2O3).

2.4 Preparation of SR composites

150 phr PMVS/silica compound, 4 phr modified or unmodified stabilizer and 2 phr DBPMH were mixed on a two-roll mill. The obtained compound was then cured at 170°C under a pressure of 10 MPa for the optimum curing time t90. SR filled with 4 phr m-CeO2/Fe2O3 was prepared as a reference. The fabrication process of SR composites was illustrated in Figure 1.

Figure 1 The fabrication process of SR composites.
Figure 1

The fabrication process of SR composites.

2.5 Thermal oxidative aging

The vulcanizates were aged in an air-blowing oven at 300°C for 24 h.

2.6 Characterization and measurement

X-ray diffraction (XRD) patterns were measured on a Bruker D8 Advance using Cu Kα radiation (λ = 1.54 Å). Raman spectra were obtained by using a DXR Raman spectrometer with 532 nm laser excitation. The morphology of thermal oxidative stabilizer was observed by transmission electron microscopy (TEM, JEOL2100F). And Scanning electron microscope (SEM) images and energy dispersive spectroscopy (EDS) were obtained on a Hitachi S-2150 field-emission SEM system. Fourier transform infrared (FTIR) spectra were obtained on a Perkin Elmer Paragon 1000PC spectrometer as the background from 500-4000 cm-1. X-ray photoelectron spectroscopy (XPS) measurements were performed on an RBD upgraded PHI-5000C ESCA system (Perkin Elmer)with Al radiation ( = 1486 eV). To eliminate the influence of Ce3+ and Fe2+ produced during the vulcanization and improve the signal intensity of Ce3d and Fe2p XPS spectra, 100 phr silicone rubber gum was filled with 30 phr stabilizer, and the resultant compound was aged at 300°C for 48 h. The non-aged and aged samples were used for XPS measurement. The thermal stability was measured through thermogravimetric analysis (TGA) in air atmosphere at a heating rate of 20°C·min-1 from 50 to 700°C by using a TA Instruments Q5000IR. Stress-strain curves were obtained using a tensile machine (Instron 4465, USA) at a crosshead speed of 500 mm/min at room temperature. The crosslink density of SR vulcanizates was evaluated via the equilibrium swelling method. The details of the process and calculation are given in the Supplementary material.

3 Results and discussion

3.1 Characterization of thermal oxidative stabilizer

XRD patterns and Raman spectra of CeO2, Fe2O3 and CeFeO are shown in Figure 2. All the reflections observed in Figure 2a can be assigned to either α-Fe2O3 (hexagonal) (23) or cubic CeO2 (fluorite structure) (24). For CeFeO-0.8 and CeFeO-0.6, only reflections from cubic CeO2 are visible, while the simply mixture CeO2/Fe2O3 shows the reflections of both cubic CeO2 and α-Fe2O3. In the patterns of CeFeO-0.4 and CeFeO-0.2, reflections are less visible, indicating their amorphous structures which could be related to the high Fe content. Compared with pure CeO2 and Fe2O3, the CeO2 and α-Fe2O3 components in the CeFeO complex oxides exhibits wider and weaker diffraction peaks, which may be attributed to the reduction of crystallite size of CeO2 and Fe2O3, as caused by the combination of CeO2 and Fe2O3. The unit cell parameters (a) and crystalline sizes were calculated on the basis of three intensive XRD peaks (111), (220) and (311), and shown in Table 2. The unit cell parameters of cubic CeO2 in CeFeO-0.8 (5.398 Å) and CeFeO-0.6 (5.404 Å) were a little smaller than that of pure CeO2 (5.411 Å), suggesting that Fe3+ has been incorporated into the CeO2 lattice to form a Ce-Fe solid solution, with the contraction of the cell parameter (19,25). CeFeO-0.4 and CeFeO-0.2 had considerable weak intensity of diffraction peaks in XRD patterns, and their unit cell parameter and crystalline size are unable to be calculated.

Figure 2 (a) XRD patterns and (b) Raman spectra of CeFeO. The inset in (b) is the Raman spectrum of pure CeO2 with a characteristic peak at 461 cm–1.
Figure 2

(a) XRD patterns and (b) Raman spectra of CeFeO. The inset in (b) is the Raman spectrum of pure CeO2 with a characteristic peak at 461 cm–1.

Table 2

The unit cell parameters (a) and crystalline sizes of CeO2 and CeFeOs.

SampleUnit cell parameter, a(Å)Crystalline size (nm)
CeO25.41111.5
CeFeO-0.85.3989.8
CeFeO-0.65.4048.4

Figure 2b shows the Raman spectra of CeO2, Fe2O3 and CeFeO. In the spectra of the CeFeO-0.4 and CeFeO-0.2, signals from both α-Fe2O3 and cubic CeO2 are visible. In the case of the CeFeO-0.8 and CeFeO-0.6, although the Raman spectra for the complex oxides resemble that of pure CeO2, several features should be highlighted. First, the main Raman band (Imain) shifted to lower frequency (454 cm-1 and 449 cm-1, respectively) with respect to that of pure cubic CeO2 (461 cm-1), which can be ascribed to the decrease in the crystal particle size, resulting in a shift to lower frequency (19). Moreover, a weak and broad band at 598 cm-1 can be observed in the Raman spectra of CeFeO-0.8 and CeFeO-0.6, which is proved to be related to the oxygen vacancies in CeO2 and also a strong evidence for the formation of Ce-Fe solid solution (26). The intensity ratio of the band at 598 cm-1 and the main Raman band (I598/Imain) was used to estimate the concentration of oxygen vacancies in complex oxides (20). As calculated, I598/Imain value for CeFeO-0.8 is 0.11 which is higher than that for CeFeO-0.6 (0.09), suggesting there are more oxygen vacancies in CeFeO-0.8.

The morphology of CeFeO is shown in Figure 3. The particle sizes of CeFeO-0.8 and CeFeO-0.6 are about 10 nm, which are close to the crystalline sizes calculated from XRD. Besides, CeFeO-0.8 has slightly larger particle size than CeFeO-0.6.

Figure 3 TEM images of CeFeO: (a) CeFeO-0.8; (b) CeFeO-0.6.
Figure 3

TEM images of CeFeO: (a) CeFeO-0.8; (b) CeFeO-0.6.

3.2 Effect of PTES on the properties of thermal oxidative stabilizers and SR composites

The successful modification of the CeFeO-0.8 by PETS proved by FTIR in Figure S1. And the SEM images in Figure S2 present the positive role PTES plays in the dispersion of CeFeO-0.8 in silicone rubber (Supplementary material).

Figure 4 exhibits the modification effect of PTES on the mechanical properties of the SR composites. After modification, the simultaneous increases in the tensile strength and elongation at break of SR can be attributed to the more uniform distribution of CeFeO-0.8 in SR matrix, which is observed in SEM images (Figure S2). Also, the better dispersion of metal oxide particles in SR could be beneficial to the thermal oxidative stability of silicone rubber, which might be associated with the larger specific surface area so caused.

Figure 4 Mechanical properties of SR/CeFeO-0.8 and SR/m-CeFeO-0.8 composites before and after thermal oxidative aging: (a) Tensile strength; (b) Elongation at break.
Figure 4

Mechanical properties of SR/CeFeO-0.8 and SR/m-CeFeO-0.8 composites before and after thermal oxidative aging: (a) Tensile strength; (b) Elongation at break.

3.3 Thermal-oxidative aging properties of SR composites

The mechanical properties of SR composites before and after aging are shown in Figure 5 and Table 3. SR without any thermal oxidative stabilizer showed a cracked and shrunken appearance with a sharp rise in hardness and failed the tensile properties tests after thermal oxidative aging, indicating the occurrence of radical mechanism during thermal oxidative degradation. With the incorporation of m-CeFeO, the mechanical properties of aged SR composites could be kept to a great extent. However, the anti-oxidative performance of m-CeFeO depended on Ce/Fe mole ratio. For the aged SR/m-CeFeO-0.8 composite, the retentions of the tensile strength and elongation at break achieved 56.8% and 54.3%, respectively, which are the highest among all the composites. m-CeFeO-0.6 behaved better than m-CeO2 and m-Fe2O3 in improving the thermal oxidative stability of silicone rubber. This could be ascribed to the high oxygen vacancies content caused by the incorporation of Fe3+ into CeO2 lattice. Previous study showed that small doping amount of Fe3+ into CeO2 facilitated the formation of oxygen vacancies whereas large doping amount of Fe3+ annihilated oxygen vacancies (20). Our Raman results demonstrate that there are little oxygen vacancies in CeFeO-0.4 and CeFeO-0.2 samples. The oxygen vacancies existed in CeFeO-0.8 and CeFeO-0.6 could enhance the radical capturing ability of the complex oxides, which benefits the thermal stability of SR.

Figure 5 Mechanical properties of SR composites before and after thermal oxidative aging: (a) tensile strength; (b) elongation at break; (c) retentions of tensile strength and elongation at break (d) the photograph of SR composites after aging.
Figure 5

Mechanical properties of SR composites before and after thermal oxidative aging: (a) tensile strength; (b) elongation at break; (c) retentions of tensile strength and elongation at break (d) the photograph of SR composites after aging.

Table 3

Hardness of SR composites before and after aging.

SampleHardness (Shore A)
Before agingAfter aging
SR/m-CeO257.5 ± 0.555.3 ± 0.7
SR/m-CeFeO-0.857.5 ± 0.455.9 ± 0.4
SR/m-CeFeO-0.658.1 ± 0.556.1 ± 0.4
SR/m-CeFeO-0.457.7 ± 0.755.7 ± 0.5
SR/m-CeFeO-0.258.7 ± 0.456.7 ± 0.3
SR/m-Fe2O358.3 ± 0.656.3 ± 0.5
Blank SR57.3 ± 0.696.4 ± 0.6

3.4 The measurement of the average molecular weight between crosslinking knots (Mc ) of SR composites

Swelling measurements were carried out to further explore the effect of CeFeO on the thermal-oxidative stability of SR. The changing amplitude of Mc of SR before and after aging is calculated by Eq. 1:

(1)Decreasingamplitude=MC(Before aging)MC(After aging)MC(Before aging)

The different decreasing amplitudes in Mc of SR composites before and after aging can give an indirect indication for their thermal stability and degradation mechanism. As shown in Table 4, the Mc of SR composites decreased after thermal aging under air atmosphere, which confirms it is the radical mechanism that mainly occurs during degradation process of SR under the experimental conditions of thermal aging. Focusing on the Mc decreasing amplitudes before and after aging, it is observed that the minimum variation of Mc can be achieved by SR/m-CeFeO-0.8 composite, while SR/m-CeO2 performed worst among all SR composites. It is obvious that m-CeFeO-0.8 and m-CeFeO-0.6 function better on the thermal resistance of SR compared with pure m-CeO2 and m-Fe2O3. This can be ascribed to the successful combination of CeO2 and Fe2O3 in both complex oxides where oxygen vacancies have their share on the oxygen migration and metal ions play their roles on the radical capturing.

Table 4

Mc of SR composites before and after thermal oxidative aging.

SampleMc ë 10-3*Decreasing amplitude/%
Before agingAfter aging
SR/m-CeO23.482.8019.5
SR/m-CeFeO-0.83.503.189.1
SR/m-CeFeO-0.63.523.1012.0
SR/m-CeFeO-0.43.322.7218.1
SR/m-CeFeO-0.23.412.7619.1
SR/m-Fe2O33.352.8814.0

3.5 TGA curves of SR composites

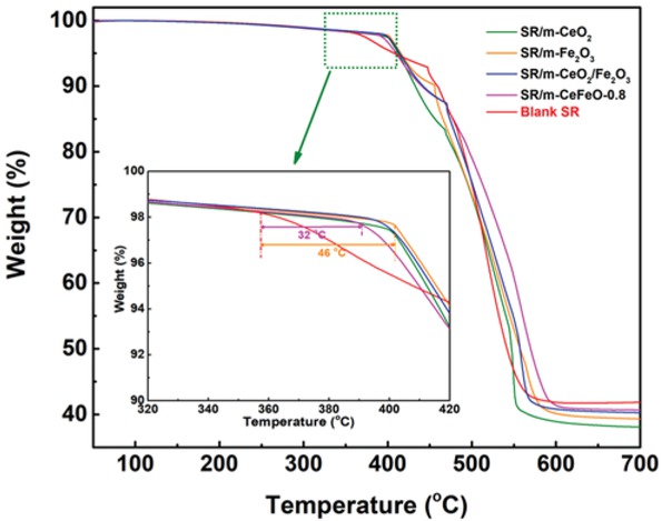
The thermal stability of SR composites is reflected by TGA curves in Figure 6. And the corresponding characteristic data are listed in Table 5. All the samples underwent two steps of thermal oxidative degradation. The first one (weight loss ca. 10%) should be ascribed to the decomposition of low molecular mass additives and polyvinylsiloxane. In this step, a very significant feature is that the initial mass loss temperature of blank SR without heat resistant additive is at least about 30°C lower than those of SR composites, demonstrating the positive effect of modified stabilizer on the thermal oxidative degradation process of SR. And the second step is the main weight loss step which was chosen to compare the effect of additives on the thermal oxidative stability of SR. A temperature at weight loss of 50% (T50) can reflect the thermal stability of SR composites. The addition of m-CeFeO-0.8 can significantly improve T50 from 541.7°C to 569.8°C, while the value for SR/m-CeO2/Fe2O3 is just 557.7°C. Besides, SR/m-CeFeO-0.8 got the highest THeat-resistance index (THRI) of 235.3°C among all the composites, indicating the prominent function of m-CeFeO-0.8 to improve the thermal oxidative stability of SR (27, 28, 29). The TGA results of SR composites are consistent with the mechanical properties results.

Figure 6 TGA curves of SR composites under air atmosphere.
Figure 6

TGA curves of SR composites under air atmosphere.

Table 5

The characteristic data obtained from TGA curves (air, 20°C/min).

SampleWeight loss temperature/°C*THRI/°C Residue/%
T5T30T50
SR/m-CeO2412.6508.0547.0230.238.3
SR/m-CeO2/Fe2O3413.7511.3557.7231.440.3
SR/m-CeFeO-0.8409.9527.2569.8235.340.8
SR/m-CeFeO-0.6405.8516.8560.9231.440.7
SR/m-CeFeO-0.4414.8509.2546.6231.040.9
SR/m-CeFeO-0.2413.6510.8547.9231.240.3
SR/m-Fe2O3415.6509.2557.4231.239.3
Blank SR408.0508.8541.7229.542.3
  1. *The sample’s heat-resistance index is calculated by Eq. 2

    (2)THRI=0.49×[T5+0.6(T30T5)]

    T5 and T30 are the temperatures at weight losses of 5% and 30%, respectively.

3.6 FTIR spectra of SR composites before and after aging

Figure 7 displays the FTIR spectra of SR composites which were applied to explore the status of the side groups before and after thermal oxidative aging. Two peaks stand out in the spectra at 1004 cm-1 and 784 cm-1 which could be ascribed to Si-O-Si and Si-CH3. The intensity of the peak belongs to Si-O-Si group turn stronger after thermal oxidative aging while the intensity of the Si-CH3 peak become weaker after aging, demonstrating that the destruction of side methyl and the formation of new Si-O-Si groups under the action of heat and oxygen. To further compare the effect of different CeFeO, the conservation rate (R) of the side methyl group were calculated as follows (30):

(3)Conservation rate(R)=AbsSiCH3(After aging)×AbsSiOSi(Before aging)AbsSiOSi(After aging)×AbsSiCH3(Before aging)
Figure 7 FTIR spectra of SR composites before and after thermal oxidative aging.
Figure 7

FTIR spectra of SR composites before and after thermal oxidative aging.

where, AbsSi-CH3 and AbsSi-O-Si are the absorption intensity of Si-CH3 and Si-O-Si peaks, respectively, which can be calculated through the transmittance intensity (T):

(4)Abs=1gT

The absorption intensity and R are listed in Table 6. After aging, R values of SR composites, especially SR/m-CeFeO-0.8, are higher than that of SR/m-CeO2 andSR/m-Fe2O3, indicating that the combination of CeO2 and Fe2O3 could effectively protect the side methyl groups from attacking by heat and oxygen.

Table 6

The absorption intensity and conservation rate obtained from FTIR spectra.

SampleAgingAbsSi-O-SiAbsSi-CH3R (%)
Before1.1311.291
SR/m-CeO2After1.2421.16081.8
Before1.1451.308
SR/m-CeFeO-0.889.8
After1.2151.207
Before1.1311.269
SR/m-CeFeO-0.685.4
After1.2231.172
Before1.1491.295
SR/m-CeFeO-0.484.1
After1.2371.173
Before1.1521.296
SR/m-CeFeO-0.282.9
After1.2371.154
Before1.1511.299
SR/m-FeO2382.2
After1.2441.155

3.7 XPS of SR compounds and composites

To study the radical capturing capability of metal oxides during the degradation process of silicone rubber, SR/m-CeO2 (100/30), SR/m-Fe2O3 (100/30) and SR/m-CeFeO-0.8 (100/30) compounds were prepared and kept at an oven at 300oC for 48 h, and the aged and non-aged samples were characterized by XPS. The high-resolution XPS spectra of Ce3d and Fe2p for SR/m-CeO2, SR/m-Fe2O3 and SR/m-CeFeO-0.8 compounds before after thermal oxidative aging are shown in Figure 8, and the characteristic data are listed in Table 7.

Figure 8 XPS spectra of Ce3d and Fe2p for SR composites before and after thermal oxidative aging: (a) Ce3d XPS spectra before aging; (b) Ce3d XPS spectra after aging; (c) Fe2p XPS spectra before aging; and (d) Fe2p XPS spectra after aging.
Figure 8

XPS spectra of Ce3d and Fe2p for SR composites before and after thermal oxidative aging: (a) Ce3d XPS spectra before aging; (b) Ce3d XPS spectra after aging; (c) Fe2p XPS spectra before aging; and (d) Fe2p XPS spectra after aging.

Table 7

The characteristic data of XPS spectra.

SamplesBinding energy (eV)Peak area (%)
Aged SR/m-CeOcomposite 2
Ce4+Ce3d5/2: 882.7 888.2 898.377.8
Ce3d3/2: 901.4 907.4 916.8
Ce3+Ce3d5/2: 881.8 885.422.2
Ce3d3/2: 900.7 904.2
Aged SR/m-Fe2O3 composite
Fe3+Fe2p3/2: 710.7 717.572.4
Fe2p1/2: 724.2 733.1
Fe2+Fe2p3/2: 709.7 714.127.6
Fe2p1/2: 723.0 730.1
Aged SR/m-CeFeO-0.8 composite
Ce4+Ce3d5/2: 883.0 888.1 898.780.2
Ce3d3/2: 901.8 907.0 916.8
Ce3+Ce3d5/2: 881.8 885.619.8
Ce3d3/2:900.1 903.8
Fe3+Fe2p3/2: 711.1 717.475.3
Fe2p1/2: 724.4 733.0
Fe2+Fe2p3/2: 709.8 714.024.7
Fe2p1/2: 722.8 730.0

As shown in Figure 8a, there is no Ce3+ in non-aged SR/m-CeO2 and SR/m-CeFeO-0.8 compounds. After aging, the SR compounds became vulcanizates, implying the occurrence of radical mechanism. In Figure 8b, the Ce3d XPS spectra retained the Ce4+ peaks (3d5/2=882.7-883.0 eV, 888.1-888.2 eV and 898.3-898.7 eV; 3d3/2=901.4-901.8 eV, 907.0-907.4 eV and 916.8 eV). Moreover, the satellite peaks at 885.4-885.6 eV indicate the existence of Ce3+. Besides, other peaks (3d5/2=881.8 eV; 3d3/2=900.1-900.7 eV and 903.8-904.2 eV) are also associated with Ce3+ (21,31,32). The results indicated the partially conversion of Ce4+ to Ce3+ in aged SR composites. Similarly, Figure 8c shows there is no Fe2+ in non-aged SR/m-Fe2O3 and SR/m-CeFeO-0.8 compounds, while the Fe2p XPS spectra in Figure 8d show the co-existence of Fe3+ and Fe2+ in aged samples (33,34). As shown in Table 7, the aged SR/m-CeFeO-0.8 composite got a Fe3+/(Fe3++Fe2+) ratio of 75.3% and a Fe2+/(Fe3++Fe2+) ratio of 24.7%, while the contents of Ce4+/(Ce4++Ce3+) and Ce3+/(Ce4++Ce3+) in the aged SR/m-CeFeO-0.8 composite are about 80.2% and 19.8%, respectively. The results indicate that Fe3+ behaves very active in radical quenching. Moreover, compared with SR/m-CeO2 and SR/m-Fe2O3, SR/m-CeFeO-0.8 composite has less ratios of Fe2+/(Fe3++Fe2+) and Ce3+/(Ce4++Ce3+) after aging. Previous studies in the field of catalysis confirm that the incorporation of low-state Fe3+ into CeO2 lattice could facilitate the migration of oxygen, leading to a fast re-oxidation of Fe2+ and Ce3+, then a redox cycle is formed. Therefore, the synergistic effect of CeO2 and Fe2O3 in CeFeO on the thermal oxidative stability of silicone rubber may be related to the fast redox cycle occurred in CeFeO to enable the continuity of free-radical quenching.

4 Conclusion

Ce-Fe complex oxides were successfully synthesized. A Ce-Fe complex oxide with Ce/(Ce+Fe) molar ratio of 0.8 (CeFeO-0.8) could significantly improve the thermal oxidative stability of silicone rubber. After aging at 300°C for 24 h, silicone rubber filled with 4 phr CeFeO-0.8 has higher retentions of tensile strength and elongation at break, smaller changing amplitude of crosslink density and lower conversion rate of the side methyl group compared with silicone rubbers filled pure CeO2 and Fe2O3. Ce4+ and Fe3+ could react with radicals produced in the thermal degradation process of silicone rubber and the Ce and Fe in Ce-Fe complex oxide have positive synergistic effect on radical capturing as confirmed by XPS spectra. These results indicate that Ce-Fe complex oxides has good potential applications in the manufacture of heat resistant silicone rubber.


Tel: +86-21-54743261

Acknowledgements

This work is supported by National Natural Science Foundation of China (No. 51273109).

References

1 Patel M., Skinner A.R., Thermal ageing studies on room-temperature vulcanized polysiloxane rubbers. Polym Degrad Stab, 2001, 73(3), 399-402.10.1016/S0141-3910(01)00118-5Search in Google Scholar

2 Camino G., Lomakin S.M., Lazzari M., Polydimethylsiloxane thermal degradation, Part 1. Kinetic aspects. Polymer, 2001, 42(6), 2395-2402.10.1016/S0032-3861(00)00652-2Search in Google Scholar

3 Camino G., Lomakin S.M., Legeard M., Thermal polydimethylsiloxane degradation Part 2. The degradation mechanisms. Polymer, 2002, 43(7), 2011-2015.10.1016/S0032-3861(01)00785-6Search in Google Scholar

4 Thomas T.H., Kendrick T.C., Thermal analysis of polysiloxanes. II. Thermal vacuum degradation of polysiloxanes with different substituents on silicon and in the main siloxane chain. J Polym Sci, Part A: Polym Chem, 1970, 8, 1823-1830.10.1002/pol.1970.160081016Search in Google Scholar

5 Warrick E.L., Pierce O.R., Polmanteer K.E., Saam J.C., Silicone Elastomer Developments 1967-1977. Rubber Chem Technol, 1979, 52(3), 437-525.10.5254/1.3535229Search in Google Scholar

6 Hayashida O., Kazuhiro O., Atsuhito K., Silicone Rubber Composition Having Excellent Heat Resistance. 2015, EP2554585 B1.Search in Google Scholar

7 Katusic S., Michael G.D., Miess H., Scholz M., Kunzmann K., Albers P., Pyrogenically-produced cerium oxide useful in polishing sensitive electronics surfaces, as a heat stabilizer for silicone rubber or as a catalyst has specified coarse and fine fractions. 2004, DE10251029 A1.Search in Google Scholar

8 Fei H.F., Han X.J., Liu B.Z., Gao X.Y., Wang Q., Zhang Z.J., et al., Mechanism of the antioxidation effect of α-Fe2O3 on silicone rubbers at high temperature. RSC Adv, 2016, 6(10), 7717-7722.10.1039/C5RA23795ESearch in Google Scholar

9 Li H.Y., Tao S., Huang Y.H., Su Z.T., Zheng J.P., The improved thermal oxidative stability of silicone rubber by using iron oxide and carbon nanotubes as thermal resistant additives. Compos Sci Technol, 2013, 76, 52-60.10.1016/j.compscitech.2012.12.019Search in Google Scholar

10 Zhang X., Zhang Q., Zheng J.P., Effect and mechanism of iron oxide modified carbon nanotubes on thermal oxidative stability of silicone rubber. Compos Sci Technol, 2014, 99, 1-7.10.1016/j.compscitech.2014.05.003Search in Google Scholar

11 Bai L., Bai Y.L., Zheng J.P., Improving the filler dispersion and performance of silicone rubber/multi-walled carbon nanotube composites by noncovalent functionalization of polymethylphenylsiloxane. J Mater Sci, 2017, 52(12), 7516-7529.10.1007/s10853-017-0984-ySearch in Google Scholar

12 Bai L., Wang X., Tan J., Li H.Y., Zheng J.P., Study of distinctions in the synergistic effects between carbon nanotubes and different metal oxide nanoparticles on enhancing thermal oxidative stability of silicone rubber. J Mater Sci, 2016, 51(15), 7130-7144.10.1007/s10853-016-9990-8Search in Google Scholar

13 Wu Y.L., Bai Y.L., Zheng J.P., Effects of Polyhedral Oligomeric Silsesquioxane Functionalized Multi-walled Carbon Nanotubes on Thermal Oxidative Stability of Silicone Rubber. Sci Adv Mater, 2014, 6(6), 1244-1254.10.1166/sam.2014.1897Search in Google Scholar

14 Qiu X.N., Cai H., Fang X., Zheng J.P., The improved thermal oxidative stability of silicone rubber by incorporating reduced graphene oxide: Impact factors and action mechanism. Polym Compos, 2018, 39(4), 1105-1115.10.1002/pc.24039Search in Google Scholar

15 Chen D.Z., Yi S.P., Wu W.B., Zhong Y.L., Liao J., Huang C., et al., Synthesis and characterization of novel room temperature vulcanized (RTV) silicone rubbers using Vinyl-POSS derivatives as crosslinking agents. Polymer, 2010, 51(17), 3867-3878.10.1016/j.polymer.2010.06.028Search in Google Scholar

16 Liu Y.F., Shi Y.H., Zhang D., Li J.L., Huang G.S., Preparation and thermal degradation behavior of room temperature vulcanized silicone rubber-g-polyhedral oligomeric silsesquioxanes. Polymer, 2013, 54(22), 6140-6149.10.1016/j.polymer.2013.08.041Search in Google Scholar

17 Bai L., Zheng J., Synergistic effect of iron oxide modified carbon nanotubes on the thermal stability of silicone rubber under different atmospheres. J Therm Anal Calorim, 2016, 123(2), 1281-1291.10.1007/s10973-015-5081-3Search in Google Scholar

18 Liang C., Ma Z., Lin H., Ding L., Qiu J., Frandsen W., Su D., Template preparation of nanoscale CexFe1-xO2 solid solutions and their catalytic properties for ethanol steam reforming. J Mater Chem, 2009, 19(10), 1417-1424.10.1039/b817942eSearch in Google Scholar

19 Li K., Wang H., Wei Y., Yan D., Direct conversion of methane to synthesis gas using lattice oxygen of CeO2-Fe2O3 complex oxides. Chem Eng J, 2010, 156(3), 512-518.10.1016/j.cej.2009.04.038Search in Google Scholar

20 Bao H., Chen X., Fang J., Jiang Z., Huang W., Structure-activity relation of Fe2O3-CeO2 composite catalysts in CO oxidation. Catal Lett, 2008, 125(1-2), 160-167.10.1007/s10562-008-9540-3Search in Google Scholar

21 Rocha M.A.L., Ángel G.D., Torres-Torres G., Cervante A., Vázquez A., Arrieta A., et al., Effect of the Pt oxidation state and Ce3+Ce4+ ratio on the Pt/TiO2-CeO2 catalysts in the phenol degradation by catalytic wet air oxidation (CWAO). Catal Today, 2015, 250, 145-154.10.1016/j.cattod.2014.09.016Search in Google Scholar

22 Kuang W., Fan Y., Yao K., Chen Y., Preparation and Characterization of Ultrafine Rare Earth Molybdenum Complex Oxide Particles. J Solid State Chem, 1998,140(2), 354-360.10.1006/jssc.1998.7900Search in Google Scholar

23 Cornell R.M., Schwertmann U., The iron oxides: structure, properties, reactions, occurrence and uses. Mineral Mag, 1997, 61(5), 740-741.10.1002/3527602097Search in Google Scholar

24 Elias J.S., Risch M., Giordano L., Mansour A.N., Shao-Hom Y., Structure, Bonding, and Catalytic Activity of Monodisperse, Transition-Metal-Substituted CeO2 Nanoparticles. J Am Chemi Soc, 2014, 136(49), 17193-17200.10.1021/ja509214dSearch in Google Scholar PubMed

25 Zhang Z., Han D., Wei S., Zhang Y., Determination of active site densities and mechanisms for soot combustion with O2 on Fe-doped CeO2 mixed oxides. J Catal, 2010, 276(1), 16-23.10.1016/j.jcat.2010.08.017Search in Google Scholar

26 Mcbride J.R., Hass K.C., Poindexter B.D., Weber W.H., Raman and x‐ray studies of Ce1-xRExO2-y where RE=La, Pr, Nd, Eu, Gd, and Tb. J Appl Phys, 1998, 76(4), 2435-2441.10.1063/1.357593Search in Google Scholar

27 Gu J.W., Meng X.D., Tang Y.S., Yang L., Zhuang Q., Kong J., Hexagonal boron nitride/silicone rubber dielectric thermally conductive composites with excellent thermal stabilities. Compos Part A-Appl S, 2017, 92, 27-32.10.1016/j.compositesa.2016.11.002Search in Google Scholar

28 Gu J.W., Lv Z.Y., Wu Y.L., Guo Y.Q., Tian L.D., Qiu H., et al., Dielectric thermally conductive boron nitride/polyimide composites with outstanding thermal stabilities via in-situ polymerization-electrospinning-hot press method. Compos Part A-Appl S, 2017, 94, 209-216.10.1016/j.compositesa.2016.12.014Search in Google Scholar

29 Gu J., Dong W., Xu S., Tang Y., Ye L., Kong J., Development of wave-transparent, light-weight composites combined with superior dielectric performance and desirable thermal stabilities. Compos Sci Technol, 2017, 144, 185-192.10.1016/j.compscitech.2017.03.027Search in Google Scholar

30 Qiu J., Lai X., Li H., Zeng X., Zhang Z., Synthesis of Zirconium-Containing Polyhedral Oligometallasilsesquioxane as an Efficient Thermal Stabilizer for Silicone Rubber. Polymers, 2018, 10(5), 520.10.3390/polym10050520Search in Google Scholar PubMed PubMed Central

31 Katta L., Kumar T.V., Durgasri D.N., Reddy B.M., Nanosized Ce1-xLaxO2-δAl2O3 solid solutions for CO oxidation: Combined study of structural characteristics and catalytic evaluation. Catal Today, 2012, 198(1), 133-139.10.1016/j.cattod.2012.07.015Search in Google Scholar

32 Lin T.N., Lee M.C., Yang R.J., Chang J.C., Kao W.X., Lee L.S., Chemical state identification of Ce3+Ce4+ in the Sm0.2Ce0.8O2-δ electrolyte for an anode-supported solid oxide fuel cell after long-term operation. Mater Lett. 2012, 81, 185-188.10.1016/j.matlet.2012.04.122Search in Google Scholar

33 Aronniemi M., Sainio J., Lahtinen J., Chemical state quantification of iron and chromium oxides using XPS: the effect of the background subtraction method. Surf Sci, 2005, 578(1-3), 108-123.10.1016/j.susc.2005.01.019Search in Google Scholar

34 Roosendaal S.J., Asselen B.V., Elsenaar J.W., Vredenberg A.M., Habraken F.H.P.M., The oxidation state of Fe(100) after initial oxidation in O2 Surf Sci, 1999, 442(3), 329-337.10.1016/S0039-6028(99)01006-7Search in Google Scholar

Received: 2018-11-07
Accepted: 2018-12-13
Published Online: 2019-05-29

© 2019 Wu and Zhang, published by De Gruyter

This work is licensed under the Creative Commons Attribution 4.0 Public License.

Articles in the same Issue

  1. Special Issue: Polymers and Composite Materials / Guest Editor: Esteban Broitman
  2. A novel chemical-consolidation sand control composition: Foam amino resin system
  3. Bottom fire behaviour of thermally thick natural rubber latex foam
  4. Preparation of polymer–rare earth complexes based on Schiff-base-containing salicylic aldehyde groups attached to the polymer and their fluorescence emission properties
  5. Study on the unsaturated hydrogen bond behavior of bio-based polyamide 56
  6. Effect of different nucleating agent on crystallization kinetics and morphology of polypropylene
  7. Effect of surface modifications on the properties of UHMWPE fibres and their composites
  8. Thermal degradation kinetics investigation on Nano-ZnO/IFR synergetic flame retarded polypropylene/ethylene-propylene-diene monomer composites processed via different fields
  9. Properties of carbon black-PEDOT composite prepared via in-situ chemical oxidative polymerization
  10. Regular articles
  11. Polyarylene ether nitrile and boron nitride composites: coating with sulfonated polyarylene ether nitrile
  12. Influence of boric acid on radial structure of oxidized polyacrylonitrile fibers
  13. Preparing an injectable hydrogel with sodium alginate and Type I collagen to create better MSCs growth microenvironment
  14. Application of calcium montmorillonite on flame resistance, thermal stability and interfacial adhesion in polystyrene nanocomposites
  15. Modifications of microcrystalline cellulose (MCC), nanofibrillated cellulose (NFC), and nanocrystalline cellulose (NCC) for antimicrobial and wound healing applications
  16. Polycation-globular protein complex: Ionic strength and chain length effects on the structure and properties
  17. Improving the flame retardancy of ethylene vinyl acetate composites by incorporating layered double hydroxides based on Bayer red mud
  18. N, N’-sebacic bis(hydrocinnamic acid) dihydrazide: A crystallization accelerator for poly(L-lactic acid)
  19. The fabrication and characterization of casein/PEO nanofibrous yarn via electrospinning
  20. Waterborne poly(urethane-urea)s films as a sustained release system for ketoconazole
  21. Polyimide/mica hybrid films with low coefficient of thermal expansion and low dielectric constant
  22. Effects of cylindrical-electrode-assisted solution blowing spinning process parameters on polymer nanofiber morphology and microstructure
  23. Stimuli-responsive DOX release behavior of cross-linked poly(acrylic acid) nanoparticles
  24. Continuous fabrication of near-infrared light responsive bilayer hydrogel fibers based on microfluidic spinning
  25. A novel polyamidine-grafted carboxymethylcellulose: Synthesis, characterization and flocculation performance test
  26. Synthesis of a DOPO-triazine additive and its flame-retardant effect in rigid polyurethane foam
  27. Novel chitosan and Laponite based nanocomposite for fast removal of Cd(II), methylene blue and Congo red from aqueous solution
  28. Enhanced thermal oxidative stability of silicone rubber by using cerium-ferric complex oxide as thermal oxidative stabilizer
  29. Long-term durability antibacterial microcapsules with plant-derived Chinese nutgall and their applications in wound dressing
  30. Fully water-blown polyisocyanurate-polyurethane foams with improved mechanical properties prepared from aqueous solution of gelling/ blowing and trimerization catalysts
  31. Preparation of rosin-based polymer microspheres as a stationary phase in high-performance liquid chromatography to separate polycyclic aromatic hydrocarbons and alkaloids
  32. Effects of chemical modifications on the rheological and the expansion behavior of polylactide (PLA) in foam extrusion
  33. Enhanced thermal conductivity of flexible h-BN/polyimide composites films with ethyl cellulose
  34. Maize-like ionic liquid@polyaniline nanocomposites for high performance supercapacitor
  35. γ-valerolactone (GVL) as a bio-based green solvent and ligand for iron-mediated AGET ATRP
  36. Revealing key parameters to minimize the diameter of polypropylene fibers produced in the melt electrospinning process
  37. Preliminary market analysis of PEEK in South America: opportunities and challenges
  38. Influence of mid-stress on the dynamic fatigue of a light weight EPS bead foam
  39. Manipulating the thermal and dynamic mechanical properties of polydicyclopentadiene via tuning the stiffness of the incorporated monomers
  40. Voigt-based swelling water model for super water absorbency of expanded perlite and sodium polyacrylate resin composite materials
  41. Simplified optimal modeling of resin injection molding process
  42. Synthesis and characterization of a polyisocyanide with thioether pendant caused an oxidation-triggered helix-to-helix transition
  43. A glimpse of biodegradable polymers and their biomedical applications
  44. Development of vegetable oil-based conducting rigid PU foam
  45. Conetworks on the base of polystyrene with poly(methyl methacrylate) paired polymers
  46. Effect of coupling agent on the morphological characteristics of natural rubber/silica composites foams
  47. Impact and shear properties of carbon fabric/ poly-dicyclopentadiene composites manufactured by vacuum‐assisted resin transfer molding
  48. Effect of resins on the salt spray resistance and wet adhesion of two component waterborne polyurethane coating
  49. Modifying potato starch by glutaraldehyde and MgCl2 for developing an economical and environment-friendly electrolyte system
  50. Effect of curing degree on mechanical and thermal properties of 2.5D quartz fiber reinforced boron phenolic composites
  51. Preparation and performance of polypropylene separator modified by SiO2/PVA layer for lithium batteries
  52. A simple method for the production of low molecular weight hyaluronan by in situ degradation in fermentation broth
  53. Curing behaviors, mechanical properties, dynamic mechanical analysis and morphologies of natural rubber vulcanizates containing reclaimed rubber
  54. Developing an epoxy resin with high toughness for grouting material via co-polymerization method
  55. Application of antioxidant and ultraviolet absorber into HDPE: Enhanced resistance to UV irradiation
  56. Study on the synthesis of hexene-1 catalyzed by Ziegler-Natta catalyst and polyhexene-1 applications
  57. Fabrication and characterization of conductive microcapsule containing phase change material
  58. Desorption of hydrolyzed poly(AM/DMDAAC) from bentonite and its decomposition in saltwater under high temperatures
  59. Synthesis, characterization and properties of biomass and carbon dioxide derived polyurethane reactive hot-melt adhesives
  60. The application of a phosphorus nitrogen flame retardant curing agent in epoxy resin
  61. High performance polyimide films containing benzimidazole moieties for thin film solar cells
  62. Rigid polyurethane/expanded vermiculite/ melamine phenylphosphate composite foams with good flame retardant and mechanical properties
  63. A novel film-forming silicone polymer as shale inhibitor for water-based drilling fluids
  64. Facile droplet microfluidics preparation of larger PAM-based particles and investigation of their swelling gelation behavior
  65. Effect of salt and temperature on molecular aggregation behavior of acrylamide polymer
  66. Dynamics of asymmetric star polymers under coarse grain simulations
  67. Experimental and numerical analysis of an improved melt-blowing slot-die
Downloaded on 11.3.2026 from https://www.degruyterbrill.com/document/doi/10.1515/epoly-2019-0026/html
Scroll to top button