Startseite Mathematik Approximation process of a positive linear operator of hypergeometric type
Artikel Open Access

Approximation process of a positive linear operator of hypergeometric type

  • Harun Karsli EMAIL logo
Veröffentlicht/Copyright: 9. August 2024
Veröffentlichen auch Sie bei De Gruyter Brill

Abstract

In this article, we construct a new sequence of positive linear operators H n : B [ 0 , 1 ] C [ 0 , 1 ] using the hypergeometric distribution of probability theory and the rational values of f at the equally spaced control points k n ( k = 0 , 1 , , n ) of the unit interval [0,1]. Moreover, we obtain some approximation properties of these operators. It is important to note that hypergeometric distribution has a special interest in probability theory because of its natural behaviour. Namely, unlike all other discrete distributions, the previous steps in the hypergeometric distribution affect the next steps. In other discrete distributions, the process starts from the beginning at each stage, whereas in the hypergeometric distribution, the previous steps determine the structure of the next steps, since the previous steps are not replaced.

MSC 2010: 41A36; 41A25

1 Introduction

The celebrated Bernstein polynomials are considered to be the precursors, prototypes, and fundamental constructions of linear positive operators in approximation theory, which is one of the active, wide-ranging research areas of mathematical analysis. Bernstein polynomials were created based on probabilistic approach, especially using binomial distributions, to give a constructive proof of the Weierstrass approximation theorem, which presents the notion of approximating continuous functions by polynomial functions.

Inspired by the elegant and constructive work of Bernstein [1], using different probability distributions, such as Poisson distribution, geometric distribution, negative binomial distribution, Markov-Polya distribution, many other polynomials, and operators such as Szász-Mirakyan operators, Baskakov operators, Meyer-König and Zeller operators, Stancu operators, Bleimann-Butzer-Hahn operators etc. were introduced [26].

As fundamental references, for other applications of Bernstein-type operators related to the construction of positive linear operators using the probability density functions and their convergence properties, we mention the monographs of Altomare and Campiti [7] and Lorentz [8].

We will discuss the approximation process of discrete type that acts on the real-valued functions defined on a compact interval K R . Since a linear substitution maps any compact interval [ a , b ] into [ 0 , 1 ] , we will only consider functions defined on [ 0 , 1 ] .

Each positive linear operator L n of the class to which we refer uses an equidistant network with a flexible step of the form Δ n = ( k λ n ) 0 k n , where ( λ n ) n 1 is a strictly decreasing sequence of real numbers with the property

0 < λ n 1 n , n N .

The operators we are referring to are designed as follows:

(1) ( L n f ) ( x ) = k = 0 n a k ( λ n ; x ) f ( k λ n ) , n N , x [ 0 , 1 ] ,

where the kernel function a k ( λ n ; ) : [ 0 , 1 ] R + is continuous for each ( n , k ) N × { 0 , 1 , , n } .

Typically, the operators described by (1) satisfy the condition of reproducing constants. Being linear operators, this property is involved in achieving the following identity:

k = 0 n a k ( λ n ; x ) = 1 , x [ 0 , 1 ] .

Note that such operators are called Markov operators [7].

A particular example of Markov operators are the classical Bernstein operators.

Indeed, for a bounded function defined on the interval [ 0 , 1 ] , by choosing λ n = 1 n and a k ( λ n ; x ) = p n , k ( x ) , where p n , k ( x ) = n k x k ( 1 x ) n k is the well known binomial distribution and also called Bernstein basis, then we obtain a special case of the operators (1), namely the celebrated Bernstein operators. More precisely, B n : B [ 0 , 1 ] C [ 0 , 1 ]   ( n 1 ) is given by

(2) ( B n f ) ( x ) k = 0 n p n , k ( x ) f k n , x [ 0 , 1 ] .

The operators defined by (2) were introduced by Bernstein [1] (for detailed information, see also [7,8]).

Note that Szász-Mirakyan, Baskakov, Meyer-König and Zeller, Stancu and Bleimann-Butzer-Hahn operators are also examples of Markov operators, by some special cases of λ n and a k ( λ n ; ) .

The starting point and the main motivation of this work is to consider the hypergeometric distribution from probability theory, which has never been used in the definition of operators until now, to construct new positive linear operators.

It is important to note that hypergeometric distribution has a special interest in probability theory because of its behaviour. Namely, unlike other discrete distributions, the previous steps in the hypergeometric distribution affect the next steps. In details, in other discrete distributions, the process starts from the beginning at each stage, whereas in the hypergeometric distribution, the previous steps determine the structure of the next steps, since the previous steps are not replaced.

Since the hypergeometric distribution arises when there is no replacement (or without replacement), the domain of the kernel function of our operators will be different and flexible at each stage. By nature of the hypergeometric distribution, this is an important difference between our new operators and the aforementioned positive linear operators.

Motivated by the idea of Bernstein [1], first, we construct hypergeometric operator in Section 2. Then, we will state some auxiliary results related to these operators. In Section 3, we obtain the uniform convergence of these operators in the space C [ 0 , 1 ] , using the well known Korovkin’s theorem. We also estimate the degree of approximation, which is similar to Popoviciu’s theorem of Bernstein operators (2) [8]. In Section 4, we present a Voronovskaya-type result. Finally, some graphical examples in which our newly constructed operators converge to the target function f are presented in Section 5.

Moreover, it is well known that the hypergeometric distribution gives better results (or less error) with respect to the Bernoulli distributions [9]. This implies that hypergeometric operators provide better approximation results (or less error) with respect to the Bernstein polynomials. In order to support and demonstrate this situation, some numerical comparisons between Bernstein polynomials and our newly defined hypergeometric operators are also presented in Section 5.

2 Construction of the operators and preliminary results

Let us now introduce the operators that will be studied in the following sections.

Let p ( 0 , 1 ) and q = 1 p . The population size is N and the sample size is n , so that n < N . The hypergeometric distribution is defined by

(3) h n , k , N ( p ) = N p k N q n k N n , k = 0 , 1 , 2 , , n .

For a bounded real-valued function f defined on [ 0 , 1 ] , we define a new sequence of positive linear operators ( H n ) , using the hypergeometric distribution (3) of probability theory, as follows:

Definition 1

Let ( r n ) be a sequence of positive reals such that r n > 2 n . Let H n : B [ 0 , 1 ] C [ 0 , 1 ] be defined by

(4) ( H n f ) ( x ) = f n r n , 0 x < n r n , k = 0 n h n , k , r n ( x ) f k n , n r n x 1 n r n , f 1 n r n , 1 n r n < x 1 ,

where lim n n r n = 0 and h n , k , r ( x ) , x ( 0 , 1 ) , is the hypergeometric distribution given as (3).

Note that since f is bounded, we have that the aforementioned operators are well defined.

These operators are formally related to the binomial (and Bernoulli) distribution of probability theory, which is connected with the well known Bernstein operators. Due to this analogy, from a constructive point of view, it is necessary to study which of the properties of Bernstein operators are also maintained for the operators H n (4). This study may be motivated by taking into account the close relationships between these probability distributions. For more properties of the distribution h n , k , r ( x ) , please see [7,10].

Due to the structure of this new operator, which we define with the hypergeometric distribution, it does not need any additional modifications and changes on the distributions for Chlodovsky and similar operators, where the domain of the kernel function widens at each step (please see [1113]).

In order to study the convergence of the sequence ( H n ) to the target function f C [ 0 , 1 ] , we need some auxiliary results.

Now, we shall give some preliminary results that we need to investigate the uniform convergence of the operators (4), by using the Popoviciu-Bohman-Korovkin theorem, or briefly Korovkin’s theorem [7,14].

For m = 0 , 1 , 2 , , we define the monomials e m by e m ( x ) x m .

Recall that the Stirling numbers s ( n , k ) and σ ( n , k ) of first and second kind, respectively, are defined by the relations

z n ̲ = k = 0 n s ( n , k ) z k and z n = k = 0 n σ ( n , k ) z k ̲ ( z C ) ,

where z 0 ̲ = 1 and z n ̲ = z ( z 1 ) ( z n + 1 ) , for n N , denote the falling factorials.

Lemma 1

For n r n x 1 n r n , the moments of the operators (4) are given by

( H n e m ) ( x ) = k = 0 m 1 n k j = 0 k σ ( m , m j ) s ( m j , m k ) ( r n x ) m j ̲ ( r n ) m j ̲ .

Proof

Let n r n x 1 n r n . Then, we have

( H n e m ) ( x ) = 1 n m j = 0 m σ ( m , j ) k = 0 n h n , k , r n ( x ) k j ̲ = 1 r n n n m j = 0 m σ ( m , j ) ( r n x ) j ̲ k = j n r n x j k j r n ( 1 x ) n k .

The inner sum is equal to

k = 0 n j r n x j k r n ( 1 x ) n j k = r n j n j ,

where we applied the Vandermonde convolution identity. This implies

( H n e m ) ( x ) = 1 r n n n m j = 0 m σ ( m , j ) ( r n x ) j ̲ r n j n j .

The observation

r n j n j r n n = n j ̲ ( r n ) j ̲

leads to

( H n e m ) ( x ) = j = 0 m σ ( m , j ) ( r n x ) j ̲ ( r n ) j ̲ n j ̲ n m .

The well known relation n j ̲ = i = 0 j s ( j , i ) n i and some technical calculations complete the proof.□

3 Convergence results

Now, we can prove the following convergence results.

Theorem 1

Let f C [ 0 , 1 ] and ( H n ) be the sequence of positive linear operators of hypergeometric type as in (4). Then,

lim n ( H n f ) ( x ) = f ( x )

holds uniformly on [ 0 , 1 ] .

Proof

For the proof of the theorem, we verify the conditions of the Korovkin theorem on the interval [ 0 , 1 ] .

First, we shall estimate ( H n 1 ) ( x ) .

( H n 1 ) ( x ) = k = 0 n r n x k r n r n x n k r n n .

Note that for any positive integers a , b , and n ,

a 0 b n + a 1 b n 1 + + a n b 0 = a + b n

holds true. So one has

(5) ( H n 1 ) ( x ) = 1 .

Now, we evaluate ( H n t l ) ( x ) , where l = 1 , 2 .

( H n t l ) ( x ) = k = 0 n r n x k r n r n x n k r n n k n l .

Using the identities

i m i = m m 1 i 1 and n N n = N N 1 n 1 ,

we obtain that

( H n t l ) ( x ) = k = 0 n r n x k r n r n x n k r n n k n l = n r n x r n n l k = 1 n k l 1 r n x 1 k 1 r n r n x n k r n 1 n 1 . = n r n x r n n l k = 0 n 1 ( k + 1 ) l 1 r n x 1 k r n r n x n k 1 r n 1 n 1 .

For l = 1 , 2 , we have

(6) ( H n t ) ( x ) = k = 0 n r n x k r n r n x n k r n n k n = x k = 0 n 1 r n x 1 k r n r n x n k 1 r n 1 n 1 = x

and

( H n t 2 ) ( x ) = k = 0 n r n x k r n r n x n k r n n k n 2 = n x n 2 k = 0 n 1 ( k + 1 ) r n x 1 k r n r n x n k 1 r n 1 n 1 = x n k = 0 n 1 k r n x 1 k r n r n x n k 1 r n 1 n 1 + x n k = 0 n 1 r n x 1 k r n r n x n k 1 r n 1 n 1 = x n ( n 1 ) ( r n x 1 ) r n 1 + x n .

Hence, we obtain

(7) lim n ( H n t 2 ) ( x ) = x 2 .

In view of the definition of Operators (4) and (5), it is easy to see that for x [ 0 , n r n ) ,

(8) lim n ( H n f ) ( x ) = lim n f n r n = f ( 0 ) ,

and for x ( 1 n r n , 1 ] ,

(9) lim n ( H n f ) ( x ) = lim n f 1 n r n = f ( 1 )

hold uniformly.

Equalities (5), (6), (7) together with (8) and (9) imply that from the well known theorem of Korovkin,

lim n ( H n f ) ( x ) = f ( x )

holds uniformly on [ 0 , 1 ] .

Note. In addition, by simple computations, we obtain the following results related to the central moments. Namely,

( H n ( t x ) ) ( x ) = n r n x , x 0 , n r n , 0 , x n r n , 1 n r n , 1 n r n x , x 1 n r n , 1 ,

Therefore,

lim n ( H n ( t x ) ) ( x ) = 0 .

As a similar method, we have for x [ n r n , 1 n r n ] ,

(10) ( H n ( t x ) 2 ) ( x ) = x n ( n 1 ) ( r n x 1 ) r n 1 + 1 x 2 = ( r n n ) x ( 1 x ) ( r n 1 ) n A n , r n ( x ) ,

with

lim n ( H n ( t x ) 2 ) ( x ) = lim n A n , r n ( x ) = 0 .

These yield

( H n ( t x ) 2 ) ( x ) = n r n 2 2 x n r n + x 2 , x 0 , n r n , A n , r n ( x ) , x n r n , 1 n r n , 1 n r n 2 2 x 1 n r n + x 2 , x 1 n r n , 1 .

Therefore,

lim n ( H n ( t x ) 2 ) ( x ) = 0

holds true on [ 0 , 1 ] .

Clearly, there is a positive constant M and n N such that

(11) n ( H n ( t x ) 2 ) ( x ) M ,

for every n n , and

(12) lim n n A n , r n ( x ) = x ( 1 x ) 2

hold true. Thus, the thesis can be easily deduced.

We now want to find the degree of approximation of functions f C [ 0 , 1 ] by the operators H n on [ 0 , 1 ] .

It is well known that the usual first-order modulus of continuity ω ( f ; δ ) or briefly ω ( δ ) is defined as

(13) ω ( δ ) = max { f ( t ) f ( x ) : t , x [ a , b ] , t x δ } ,

which tends to zero, as δ 0 .

Theorem 2

Let f C [ 0 , 1 ] and ω ( δ ) be the first-order modulus of continuity of f given in (13), then

( H n f ) ( x ) f ( x ) ( H n f ) ( x ) f ( x ) 2 ω n r n + C ω n 1 2

holds true, where C is a positive constant.

Proof

By the simple calculation, we have the following estimates on the intervals:

0 x < n r n , n r n x 1 n r n , 1 n r n < x 1 .

Clearly, by the definition of the hypergemetric operator (4), if x [ 0 , n r n ] , we have

(14) ( H n f ) ( x ) f ( x ) = f n r n f ( x ) ω n r n ,

and if x [ 1 n r n , 1 ] ,

(15) ( H n f ) ( x ) f ( x ) = f 1 n r n f ( x ) ω n r n ,

hold true.

Now, if x [ n r n , 1 n r n ] , one has

( H n f ) ( x ) f ( x ) = k = 0 n r n x k r n r n x n k r n n f k n f ( x ) k = 0 n r n x k r n r n x n k r n n k = 0 n r n x k r n r n x n k r n n f k n f ( x ) .

According to (13), we obtain the following inequality:

( H n f ) ( x ) f ( x ) ω ( δ ) k = 0 n r n x k r n r n x n k r n n k n x 1 δ + 1 = ω ( δ ) δ k = 0 n r n x k r n r n x n k r n n k n x + ω ( δ ) k = 0 n r n x k r n r n x n k r n n ω ( δ ) δ 2 k = 0 n r n x k r n r n x n k r n n k n x 2 + ω ( δ ) k = 0 n r n x k r n r n x n k r n n .

Using (10), we have

( H n f ) ( x ) f ( x ) ω ( δ ) δ 2 k = 0 n r n x k r n r n x n k r n n k n x 2 + ω ( δ ) ω ( δ ) 1 + 1 4 n δ 2 .

By choosing δ = n 1 2 and considering (14) and (15), we obtain

( H n f ) ( x ) f ( x ) 2 ω n r n + C ω ( n 1 2 ) .

Thus, the proof is complete.□

4 Voronovskaya-type result

Now, we will present a Voronovskaya-type theorem for the aforementioned hypergeometric operator (4). Note that Voronovskaya-type formulas are essential and unavoidable tools in approximation by positive linear operators to determine the order of the convergence under some special conditions [15]. Basically, such a result has the form

lim n n [ L n f f ] = A f ,

where ( L n ) n 1 is a suitable sequence of positive linear operators and A is a suitable differential operator.

Let f : I R be function. By C 0 ( I ) , we denote the space of all uniformly continuous and bounded functions f : I R . For m 1 by C m ( I ) , the subspace of C 0 ( I ) whose elements f : I R are m times continuously differentiable and f ( k ) C 0 ( I ) .

Let f C m ( I ) and consider the following version of the Taylor formula:

f ( t ) = i = 0 m f ( i ) ( t 0 ) i ! ( t t 0 ) i + R m ( f ; t , t 0 ) ,

where t , t 0 I and R m ( f ; t , t 0 ) = h ( t 0 t ) ( t 0 t ) m is the remainder term.

Theorem 3

Let f B [ 0 , 1 ] such that f ( x ) exists at a point x ( 0 , 1 ) . Then, we have the following Voronovskaya-type result:

lim n n [ ( H n f ) ( x ) f ( x ) ] = x ( 1 x ) 2 f ( x ) .

Proof

Since f ( x ) exists at a point x , there exists a bounded function R 2 such that R 2 ( ς ) 0 as ς 0 . In fact, by the local Taylor’s formula, we have

(16) f k n = f ( x ) + f ( x ) k n x + f ( x ) 2 k n x 2 + R 2 k n t k n x 2 .

In view of (4) and (16), we can write

( H n f ) ( x ) = k = 0 n r n x k r n r n x n k r n n f ( x ) + f ( x ) k n x + f ( x ) 2 + R 2 k n t k n x 2 = f ( x ) + f ( x ) ( H n ( t x ) ) ( x ) + f ( x ) 2 ( H n ( t x ) 2 ) ( x ) + R f ; k n , x ,

where R f ; k n , x is the remainder term given by

R f ; k n , x = k = 0 n r n x k r n r n x n k r n n R 2 k n t k n x 2 .

Let ε > 0 be fixed. Since R 2 ( ) is a bounded function such that R 2 ( ς ) 0 as ς 0 , there exists δ > 0 such that R 2 ( ς ) ε for every ς δ and a constant B > 0 such that R 2 ( ς ) B . Hence, one obtains

R f ; k n , x = k n t < δ + k n t δ r n x k r n r n x n k r n n R 2 k n t k n x 2 = I 1 + I 2 .

Owing to (11), one has

I 1 ε M n

for n sufficiently large and

I 2 B k n t δ r n x k r n r n x n k r n n k n x 2 = o ( n 1 ) .

Thus, we obtain

lim n n R f ; k n , x = 0 .

Finally, by (12), we obtain

lim n n [ ( H n f ) ( x ) f ( x ) ] = lim n n f ( x ) ( H n ( t x ) ) ( x ) + f ( x ) 2 ( H n ( t x ) 2 ) ( x ) + R f ; k n , x = x ( 1 x ) 2 f ( x ) .

So the claim follows.□

5 Some examples: graphical and numerical representations

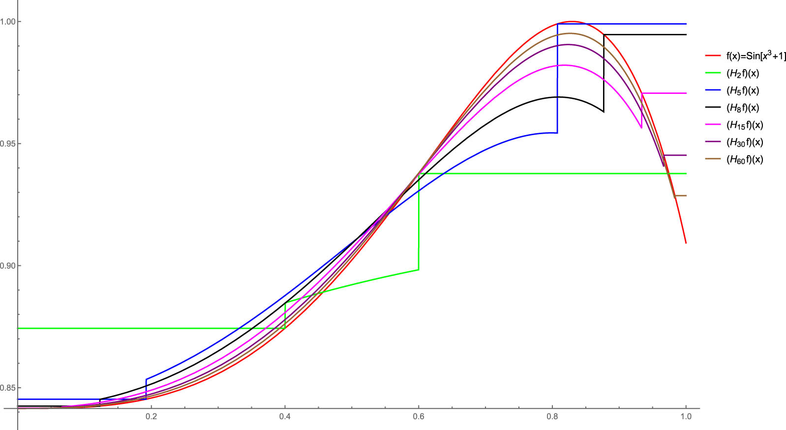
We note that in Figures 1, 2 and 3, the graph with the red line belongs to the original (target) function.

Figure 1 
               
                  
                     
                        
                        
                           f
                           
                              (
                              
                                 x
                              
                              )
                           
                           =
                           
                              
                                 x
                              
                              
                                 5
                              
                           
                           ,
                           
                              (
                              
                                 
                                    
                                       H
                                    
                                    
                                       n
                                    
                                 
                                 f
                              
                              )
                           
                        
                        f\left(x)={x}^{5},\left({H}_{n}f)
                     
                   is the hypergeometric operator.
Figure 1

f ( x ) = x 5 , ( H n f ) is the hypergeometric operator.

Figure 2 
               
                  
                     
                        
                        
                           f
                           
                              (
                              
                                 x
                              
                              )
                           
                           =
                           sin
                           
                              (
                              
                                 
                                    
                                       x
                                    
                                    
                                       3
                                    
                                 
                                 +
                                 1
                              
                              )
                           
                           ,
                           
                              (
                              
                                 
                                    
                                       H
                                    
                                    
                                       n
                                    
                                 
                                 f
                              
                              )
                           
                        
                        f\left(x)=\sin \left({x}^{3}+1),\left({H}_{n}f)
                     
                   is the hypergeometric operator.
Figure 2

f ( x ) = sin ( x 3 + 1 ) , ( H n f ) is the hypergeometric operator.

Figure 3 
               
                  
                     
                        
                        
                           f
                           
                              (
                              
                                 x
                              
                              )
                           
                           =
                           
                              
                                 e
                              
                              
                                 x
                                 −
                                 
                                    
                                       x
                                    
                                    
                                       2
                                    
                                 
                              
                           
                           ,
                           
                              (
                              
                                 
                                    
                                       H
                                    
                                    
                                       n
                                    
                                 
                                 f
                              
                              )
                           
                        
                        f\left(x)={e}^{x-{x}^{2}},\left({H}_{n}f)
                     
                   is the hypergeometric operator.
Figure 3

f ( x ) = e x x 2 , ( H n f ) is the hypergeometric operator.

In the graphs below, the graphs of the different values of n of the hypergeometric operator sequence are expressed in different colors and are indicated next to the graph.

In addition, we give numerical tables for comparison between Bernstein and hypergeometric operators at some points.

Example 1

Let us consider the operator f ( x ) = x 5 , and we take its corresponding hypergeometric operator ( H n f ) ( x ) as r n = n 2 + 1 , then one has

The evaluation for comparison between Bernstein and hypergeometric operators at some points yield numerically, for n = 10 , 20 , and 40,

n = 10 n = 20 n = 40 ( H n f ) ( 0.3 ) 0.00984124 0.00575161 0.0039761 ( B n f ) ( 0.3 ) 0.0109222 0.00596114 0.00402021 f ( 0.3 ) 0.00243 0.00243 0.00243 ,

n = 10 n = 20 n = 40 ( H n f ) ( 0.5 ) 0.0633554 0.0471639 0.0391465 ( B n f ) ( 0.5 ) 0.066875 0.0480078 0.0393506 f ( 0.5 ) 0.03125 0.03125 0.03125 ,

n = 10 n = 20 n = 40 ( H n f ) ( 0.8 ) 0.400063 0.366051 0.347485 ( B n f ) ( 0.8 ) 0.406409 0.367857 0.347966 f ( 0.8 ) 0.32768 0.32768 0.32768 .

Example 2

Now, we consider the function f ( x ) = sin ( x 3 + 1 ) , then again for its corresponding hypergeometric operator ( H n f ) ( x ) as r n = n 2 + 1 , one has

Numerically, for n = 10 , 20 , and 40, we have

n = 10 n = 20 n = 40 ( H n f ) ( 0.3 ) 0.863464 0.859953 0.857941 ( B n f ) ( 0.3 ) 0.864157 0.860156 0.857995 f ( 0.3 ) 0.855751 0.855751 0.855751 ,

n = 10 n = 20 n = 40 ( H n f ) ( 0.5 ) 0.908374 0.906162 0.904457 ( B n f ) ( 0.5 ) 0.908705 0.906317 0.904507 f ( 0.5 ) 0.902268 0.902268 0.902268 ,

n = 10 n = 20 n = 40 ( H n f ) ( 0.8 ) 0.974208 0.985531 0.991698 ( B n f ) ( 0.8 ) 0.9723 0.984958 0.991542 f ( 0.8 ) 0.998272 0.998272 0.998272 .

Example 3

Let us finally consider the function f ( x ) = e x x 2 , then again for its corresponding hypergeometric operator ( H n f ) ( x ) as again r n = n 2 + 1 , one has

As the reader will observe, also taking into account the numerical calculations, the H n f approximate to the function f in general somewhat better than B n f , at least for the particular functions f ( x ) = x 5 , f ( x ) = sin ( x 3 + 1 ) , as well as for f ( x ) = e x x 2 .

Acknowledgement

I would like to thank the editor and referees for their careful reading and valuable suggestions that improved the quality and presentation of the paper.

  1. Funding information: The author did not receive support from any organization for the submitted work.

  2. Author contributions: The author confirms the sole responsibility for the conception of the study, presented results, and prepared the manuscript.

  3. Conflict of interest: The author states that there is no conflict of interest.

References

[1] S. N. Bernstein, Demonstration du Thĕoreme de Weierstrass fondĕ sur le calcul des probabilitĕs, Comm. Soc. Math. 13 (1912/13), 1–2. Suche in Google Scholar

[2] W. Meyer-Konig and K. Zeller, Bernsteinsche Potenzreihen, Studia Math. 19 (1960), 89–94. 10.4064/sm-19-1-89-94Suche in Google Scholar

[3] D. D. Stancu, Approximation of functions by a new class of linear polynomial operators, Rev. Roumaine Math. Pures Appl. 13 (1968), 1173–1994. Suche in Google Scholar

[4] V. Baskakov, An instance of a sequence of linear positive operators in the space of continuous functions, Dokl. Akad. Nauk SSSR 113 (1957), no. 2, 249–251. Suche in Google Scholar

[5] O. Szász, Generalization of S. Bernsteinas polynomials to infinite interval, J. Res. Nat. Bur. Standards 45 (1959), 239–245. 10.6028/jres.045.024Suche in Google Scholar

[6] G. Bleimann, P. L. Butzer, and L. Hahn, A Bernstein Type operator approximating continuous functions on the semi-axis, Indag. Math. 42 (1980), 255–262. 10.1016/1385-7258(80)90027-XSuche in Google Scholar

[7] F. Altomare and M. Campiti, Korovkin-Type Approximation Theory and its Applications, De Gruyter Studies in Mathematics, vol. 17, Walter de Gruyter and Co., Berlin, 1994. 10.1515/9783110884586Suche in Google Scholar

[8] G. G. Lorentz, Bernstein Polynomials, University of Toronto Press, Toronto, 1953, 130 pp. Suche in Google Scholar

[9] H. D. Brunk, J. E. Holstein, and F. Williams, A comparison of binomial approximations to the hypergeometric distribution, Amer Stat. 22 (1968), no. 1, 24–26. 10.1080/00031305.1968.10480437Suche in Google Scholar

[10] A. N. Shiryayev, Probability, Springer-Verlag, NewYork, 1984. 10.1007/978-1-4899-0018-0Suche in Google Scholar

[11] I. Chlodovsky, Sur le développement des fonctions définies dans un intervalle infini en séries de polynomes de M. S. Bernstein, Compositio Math. 4 (1937), 380–393. Suche in Google Scholar

[12] H. Karsli, A complete extension of the Bernstein-Weierstrass Theorem to the infinite interval (−∞,+∞) via Chlodovsky polynomials, Adv. Oper. Theory 7 (2022), 15. 10.1007/s43036-021-00178-7Suche in Google Scholar

[13] T. Kilgore, On a constructive proof of the Weierstrass theorem with a weight function on unbounded intervals, Mediterr. J. Math. 14 (2017), no. 6, Art. 217, 9 pp. 10.1007/s00009-017-1011-xSuche in Google Scholar

[14] P. P. Korovkin, Linear Operators and Approximation Theory, Hindustan Publishing Corporation, Delhi, 1960. Suche in Google Scholar

[15] E. Voronovskaya, Détermination de la forme asymptotique daapproximation des fonctions par les polynômes de M. Bernstein, C. R. Acad. Sci. URSS 79 (1932), 79–85. Suche in Google Scholar

Received: 2023-07-30
Revised: 2023-10-27
Accepted: 2023-11-13
Published Online: 2024-08-09

© 2024 the author(s), published by De Gruyter

This work is licensed under the Creative Commons Attribution 4.0 International License.

Artikel in diesem Heft

  1. Regular Articles
  2. On the p-fractional Schrödinger-Kirchhoff equations with electromagnetic fields and the Hardy-Littlewood-Sobolev nonlinearity
  3. L-Fuzzy fixed point results in -metric spaces with applications
  4. Solutions of a coupled system of hybrid boundary value problems with Riesz-Caputo derivative
  5. Nonparametric methods of statistical inference for double-censored data with applications
  6. LADM procedure to find the analytical solutions of the nonlinear fractional dynamics of partial integro-differential equations
  7. Existence of projected solutions for quasi-variational hemivariational inequality
  8. Spectral collocation method for convection-diffusion equation
  9. New local fractional Hermite-Hadamard-type and Ostrowski-type inequalities with generalized Mittag-Leffler kernel for generalized h-preinvex functions
  10. On the asymptotics of eigenvalues for a Sturm-Liouville problem with symmetric single-well potential
  11. On exact rate of convergence of row sequences of multipoint Hermite-Padé approximants
  12. The essential norm of bounded diagonal infinite matrices acting on Banach sequence spaces
  13. Decay rate of the solutions to the Cauchy problem of the Lord Shulman thermoelastic Timoshenko model with distributed delay
  14. Enhancing the accuracy and efficiency of two uniformly convergent numerical solvers for singularly perturbed parabolic convection–diffusion–reaction problems with two small parameters
  15. An inertial shrinking projection self-adaptive algorithm for solving split variational inclusion problems and fixed point problems in Banach spaces
  16. An equation for complex fractional diffusion created by the Struve function with a T-symmetric univalent solution
  17. On the existence and Ulam-Hyers stability for implicit fractional differential equation via fractional integral-type boundary conditions
  18. Some properties of a class of holomorphic functions associated with tangent function
  19. The existence of multiple solutions for a class of upper critical Choquard equation in a bounded domain
  20. On the continuity in q of the family of the limit q-Durrmeyer operators
  21. Results on solutions of several systems of the product type complex partial differential difference equations
  22. On Berezin norm and Berezin number inequalities for sum of operators
  23. Geometric invariants properties of osculating curves under conformal transformation in Euclidean space ℝ3
  24. On a generalization of the Opial inequality
  25. A novel numerical approach to solutions of fractional Bagley-Torvik equation fitted with a fractional integral boundary condition
  26. Holomorphic curves into projective spaces with some special hypersurfaces
  27. On Periodic solutions for implicit nonlinear Caputo tempered fractional differential problems
  28. Approximation of complex q-Beta-Baskakov-Szász-Stancu operators in compact disk
  29. Existence and regularity of solutions for non-autonomous integrodifferential evolution equations involving nonlocal conditions
  30. Jordan left derivations in infinite matrix rings
  31. Nonlinear nonlocal elliptic problems in ℝ3: existence results and qualitative properties
  32. Invariant means and lacunary sequence spaces of order (α, β)
  33. Novel results for two families of multivalued dominated mappings satisfying generalized nonlinear contractive inequalities and applications
  34. Global in time well-posedness of a three-dimensional periodic regularized Boussinesq system
  35. Existence of solutions for nonlinear problems involving mixed fractional derivatives with p(x)-Laplacian operator
  36. Some applications and maximum principles for multi-term time-space fractional parabolic Monge-Ampère equation
  37. On three-dimensional q-Riordan arrays
  38. Some aspects of normal curve on smooth surface under isometry
  39. Mittag-Leffler-Hyers-Ulam stability for a first- and second-order nonlinear differential equations using Fourier transform
  40. Topological structure of the solution sets to non-autonomous evolution inclusions driven by measures on the half-line
  41. Remark on the Daugavet property for complex Banach spaces
  42. Decreasing and complete monotonicity of functions defined by derivatives of completely monotonic function involving trigamma function
  43. Uniqueness of meromorphic functions concerning small functions and derivatives-differences
  44. Asymptotic approximations of Apostol-Frobenius-Euler polynomials of order α in terms of hyperbolic functions
  45. Hyers-Ulam stability of Davison functional equation on restricted domains
  46. Involvement of three successive fractional derivatives in a system of pantograph equations and studying the existence solution and MLU stability
  47. Composition of some positive linear integral operators
  48. On bivariate fractal interpolation for countable data and associated nonlinear fractal operator
  49. Generalized result on the global existence of positive solutions for a parabolic reaction-diffusion model with an m × m diffusion matrix
  50. Online makespan minimization for MapReduce scheduling on multiple parallel machines
  51. The sequential Henstock-Kurzweil delta integral on time scales
  52. On a discrete version of Fejér inequality for α-convex sequences without symmetry condition
  53. Existence of three solutions for two quasilinear Laplacian systems on graphs
  54. Embeddings of anisotropic Sobolev spaces into spaces of anisotropic Hölder-continuous functions
  55. Nilpotent perturbations of m-isometric and m-symmetric tensor products of commuting d-tuples of operators
  56. Characterizations of transcendental entire solutions of trinomial partial differential-difference equations in ℂ2#
  57. Fractional Sturm-Liouville operators on compact star graphs
  58. Exact controllability for nonlinear thermoviscoelastic plate problem
  59. Improved modified gradient-based iterative algorithm and its relaxed version for the complex conjugate and transpose Sylvester matrix equations
  60. Superposition operator problems of Hölder-Lipschitz spaces
  61. A note on λ-analogue of Lah numbers and λ-analogue of r-Lah numbers
  62. Ground state solutions and multiple positive solutions for nonhomogeneous Kirchhoff equation with Berestycki-Lions type conditions
  63. A note on 1-semi-greedy bases in p-Banach spaces with 0 < p ≤ 1
  64. Fixed point results for generalized convex orbital Lipschitz operators
  65. Asymptotic model for the propagation of surface waves on a rotating magnetoelastic half-space
  66. Multiplicity of k-convex solutions for a singular k-Hessian system
  67. Poisson C*-algebra derivations in Poisson C*-algebras
  68. Signal recovery and polynomiographic visualization of modified Noor iteration of operators with property (E)
  69. Approximations to precisely localized supports of solutions for non-linear parabolic p-Laplacian problems
  70. Solving nonlinear fractional differential equations by common fixed point results for a pair of (α, Θ)-type contractions in metric spaces
  71. Pseudo compact almost automorphic solutions to a family of delay differential equations
  72. Periodic measures of fractional stochastic discrete wave equations with nonlinear noise
  73. Asymptotic study of a nonlinear elliptic boundary Steklov problem on a nanostructure
  74. Cramer's rule for a class of coupled Sylvester commutative quaternion matrix equations
  75. Quantitative estimates for perturbed sampling Kantorovich operators in Orlicz spaces
  76. Review Articles
  77. Penalty method for unilateral contact problem with Coulomb's friction in time-fractional derivatives
  78. Differential sandwich theorems for p-valent analytic functions associated with a generalization of the integral operator
  79. Special Issue on Development of Fuzzy Sets and Their Extensions - Part II
  80. Higher-order circular intuitionistic fuzzy time series forecasting methodology: Application of stock change index
  81. Binary relations applied to the fuzzy substructures of quantales under rough environment
  82. Algorithm selection model based on fuzzy multi-criteria decision in big data information mining
  83. A new machine learning approach based on spatial fuzzy data correlation for recognizing sports activities
  84. Benchmarking the efficiency of distribution warehouses using a four-phase integrated PCA-DEA-improved fuzzy SWARA-CoCoSo model for sustainable distribution
  85. Special Issue on Application of Fractional Calculus: Mathematical Modeling and Control - Part II
  86. A study on a type of degenerate poly-Dedekind sums
  87. Efficient scheme for a category of variable-order optimal control problems based on the sixth-kind Chebyshev polynomials
  88. Special Issue on Mathematics for Artificial intelligence and Artificial intelligence for Mathematics
  89. Toward automated hail disaster weather recognition based on spatio-temporal sequence of radar images
  90. The shortest-path and bee colony optimization algorithms for traffic control at single intersection with NetworkX application
  91. Neural network quaternion-based controller for port-Hamiltonian system
  92. Matching ontologies with kernel principle component analysis and evolutionary algorithm
  93. Survey on machine vision-based intelligent water quality monitoring techniques in water treatment plant: Fish activity behavior recognition-based schemes and applications
  94. Artificial intelligence-driven tone recognition of Guzheng: A linear prediction approach
  95. Transformer learning-based neural network algorithms for identification and detection of electronic bullying in social media
  96. Squirrel search algorithm-support vector machine: Assessing civil engineering budgeting course using an SSA-optimized SVM model
  97. Special Issue on International E-Conference on Mathematical and Statistical Sciences - Part I
  98. Some fixed point results on ultrametric spaces endowed with a graph
  99. On the generalized Mellin integral operators
  100. On existence and multiplicity of solutions for a biharmonic problem with weights via Ricceri's theorem
  101. Approximation process of a positive linear operator of hypergeometric type
  102. On Kantorovich variant of Brass-Stancu operators
  103. A higher-dimensional categorical perspective on 2-crossed modules
  104. Special Issue on Some Integral Inequalities, Integral Equations, and Applications - Part I
  105. On parameterized inequalities for fractional multiplicative integrals
  106. On inverse source term for heat equation with memory term
  107. On Fejér-type inequalities for generalized trigonometrically and hyperbolic k-convex functions
  108. New extensions related to Fejér-type inequalities for GA-convex functions
  109. Derivation of Hermite-Hadamard-Jensen-Mercer conticrete inequalities for Atangana-Baleanu fractional integrals by means of majorization
  110. Some Hardy's inequalities on conformable fractional calculus
  111. The novel quadratic phase Fourier S-transform and associated uncertainty principles in the quaternion setting
  112. Special Issue on Recent Developments in Fixed-Point Theory and Applications - Part I
  113. A novel iterative process for numerical reckoning of fixed points via generalized nonlinear mappings with qualitative study
  114. Some new fixed point theorems of α-partially nonexpansive mappings
  115. Generalized Yosida inclusion problem involving multi-valued operator with XOR operation
  116. Periodic and fixed points for mappings in extended b-gauge spaces equipped with a graph
  117. Convergence of Peaceman-Rachford splitting method with Bregman distance for three-block nonconvex nonseparable optimization
  118. Topological structure of the solution sets to neutral evolution inclusions driven by measures
  119. (α, F)-Geraghty-type generalized F-contractions on non-Archimedean fuzzy metric-unlike spaces
  120. Solvability of infinite system of integral equations of Hammerstein type in three variables in tempering sequence spaces c 0 β and 1 β
  121. Special Issue on Nonlinear Evolution Equations and Their Applications - Part I
  122. Fuzzy fractional delay integro-differential equation with the generalized Atangana-Baleanu fractional derivative
  123. Klein-Gordon potential in characteristic coordinates
  124. Asymptotic analysis of Leray solution for the incompressible NSE with damping
  125. Special Issue on Blow-up Phenomena in Nonlinear Equations of Mathematical Physics - Part I
  126. Long time decay of incompressible convective Brinkman-Forchheimer in L2(ℝ3)
  127. Numerical solution of general order Emden-Fowler-type Pantograph delay differential equations
  128. Global smooth solution to the n-dimensional liquid crystal equations with fractional dissipation
  129. Spectral properties for a system of Dirac equations with nonlinear dependence on the spectral parameter
  130. A memory-type thermoelastic laminated beam with structural damping and microtemperature effects: Well-posedness and general decay
  131. The asymptotic behavior for the Navier-Stokes-Voigt-Brinkman-Forchheimer equations with memory and Tresca friction in a thin domain
  132. Absence of global solutions to wave equations with structural damping and nonlinear memory
  133. Special Issue on Differential Equations and Numerical Analysis - Part I
  134. Vanishing viscosity limit for a one-dimensional viscous conservation law in the presence of two noninteracting shocks
  135. Limiting dynamics for stochastic complex Ginzburg-Landau systems with time-varying delays on unbounded thin domains
  136. A comparison of two nonconforming finite element methods for linear three-field poroelasticity
Heruntergeladen am 5.2.2026 von https://www.degruyterbrill.com/document/doi/10.1515/dema-2023-0135/html
Button zum nach oben scrollen