Differential cytotoxic activity of the petroleum ether extract and its furanosesquiterpenoid constituents from Commiphora molmol resin
-
Seif-Eldin N. Ayyad
, Thomas R. Hoye
, Walied M. Alarif , Sana’a M. Al Ahmadi , Salim A. Basaif , Mohamed A. Ghandourah and Farid A. Badria
Abstract
This study revealed a differential cytotoxic activity of the petroleum ether extract (IC50=5 μg/mL) of the resinous exudates of Commiphora molmol against two mouse cell lines KA31T and NIH3T3 (untransformed and transformed mouse fibroblasts, respectively). Four new compounds (1–4) and five known compounds (5–9) were isolated from the petroleum ether extract. The identity of these new compounds was determined as γ-elemane lactone (1), 5-αH,8-βH-eudesma-1,3,7(11)-trien-8,12-olide (2), 2-hydroxy-11,12-dihydrofuranodiene (3), and 2-hydroxyfuranodiene (4). 1 and 2 displayed the highest cytotoxic activity against NIH3T3 cells. 7 and 9 exhibited moderate cytotoxic activity against KA31T cells. Compounds 3–6 showed weak cytotoxic activities against both cell lines. These results may explain the high efficacy of the petroleum ether fraction in several myrrh-derived pharmaceutical preparations.
1 Introduction
The genus Commiphora (Burseraceae) comprises more than 150 species and is common in the tropical and subtropical regions [1]. The manuscripts of the ancient Egyptians, Indians, Chinese, and Greeks are replete with a broad spectrum of benefits and functions of the resinous exudates of myrrh (Commiphora species). For example, it is used in folk medicine for the treatment of gastrointestinal diseases, pain, wound, arthritis, obesity, fractures, and diseases caused by blood stagnation. Moreover, it is used in the manufacture of many perfumery substances [2].
The chemical composition of different Commiphora species gum resins has been reported to contain sugars, terpenoids (mainly sesquiterpene hydrocarbons and furanosesquiterpenes), steroids, flavonoids, and lignans [3–5]. Recently, purified materials from Commiphora species were reported in several pharmacological investigations as antimicrobial, anti-inflammatory, antiproliferative, hepatoprotective, and cardiovascular agents. The common resin used in Egypt, Commiphora molmol [syn. Commiphora myrrha (Nees) Engl.], was reported mainly as antiparasitic [6] and possesses schistosomicidal activity as well [7, 8].
However, the isolation and identification of active components of myrrh resin, which are specifically responsible for its activity, remained unknown or not thoroughly studied. Therefore, this study intended to isolate, characterize, and identify the active fractions as well as active pure compounds of myrrh. High-resolution gas chromatography/mass spectrometry (HRGCMS) and nuclear magnetic resonance (NMR) spectroscopic techniques and series of biological assays were used during this study.
2 Results and discussion
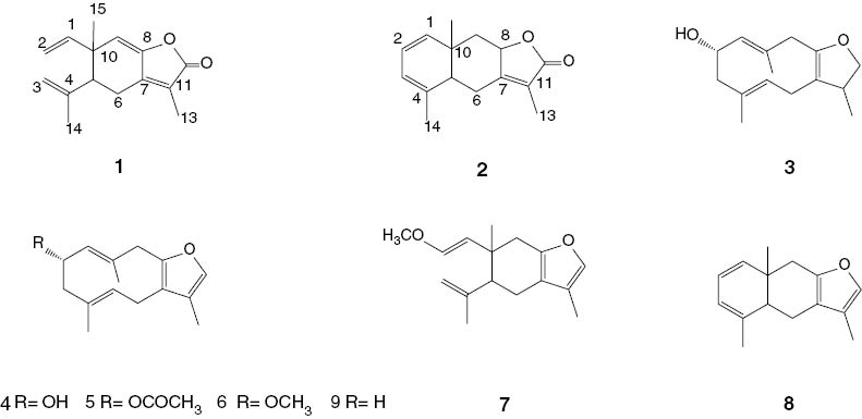
The petroleum ether extract of the oleo-gum resin of C. molmol was fractionated on an alumina oxide column using a gradient of n-hexane/ether and then n-hexane/ethyl acetate (EtOAc) for elution. The obtained fractions were evaluated for their effect on the proliferation of two mouse cell lines, NIH3T3 and KA31T [9]. Fractionation guided by the biological assay resulted in the isolation of nine compounds (1–9; Figure 1).

Structures of compounds 1–9.
The chemical structures of the known compounds 5–9 were deduced by comparing their spectral data with those reported in the literature [10–13].
Compound 1 was obtained as pale yellow oil with [α]D -3.0 (c.0.01, CH2Cl2). The molecular formula, C15H18O2, was determined by HRGCMS at m/z 230.1302 [M]+ (calcd. for C15H18O2, 230.1307). GCMS showed a parent molecular ion [M]+ peak at m/z 230 and, together with 15 signals that appeared in the 13C NMR spectrum, supported a 15-carbon atom structure with seven degrees of unsaturation. The infrared (IR) spectrum of 1 showed strong absorption bands ascribable to the carbonyl of an α-β unsaturated γ-lactone (1766 cm–1) and olefin (1646, 1455, and 950 cm–1) functionalities. The 13C NMR spectral data (cf. exp.) showed characteristic signals due to α-substituted α-β unsaturated γ-lactone function [δC 173.1 (s), 164.6 (s), and 122.3 (s)] and α-methyl lactone (δC 10.0). The 1H NMR spectrum displayed the presence of three tertiary methyls [δH 1.98 (s), 1.72 (br s), and 0.98 (s)]. The 1H and 2D NMR data showed the presence of three olefinic protons of vinyl moiety (CH2=CH) [δH 5.76 (dd, J=17.7, 10.5 Hz, H-1), 5.02 (dd, J=10.5, 1.5 Hz, H-2a), and 4.98 (dd, J=17.7, 1.5 Hz, H-2b)], two olefinic protons of 1,1-disubstituted carbon-carbon double bond (CH2=C) [δH 4.86 (d, J=1.5 Hz, H-3a) and 4.84 (d, J=1.5 Hz, H-3b)], and an olefinic proton of a trisubstituted carbon-carbon double bond (CH=C) [δH 5.55 (br s, H-9)]. From the previous discussion, 1 is a sesquiterpenoid with four carbon-carbon double bonds and a lactone function. A bicyclic structure was adopted to fulfill seven degrees of unsaturation. The heteronuclear multiple bond correlation (HMBC) correlation between H3-15 resonating at δH 0.98 with C-10 (δC 40.5), C-5 (δC 53.3), C-9 (δC 130.1), and C-1 (δC 146.5), along with the correlation between H-5 resonating at δH 2.69 with C-10, C-6 (δC 28.7), and C-4 (δC 146.0), determined the size of the carbocyclic ring. Hence, 1 is a compound of the elemane skeleton fused with a γ-lactone ring (Figure 1). The structure was also supported by the interpretation of H-H COESY, heteronuclear single-quantum correlation (HSQC), and HMBC spectral data (Figure 2). Therefore, compound 1 was assigned as γ-elemane lactone (1).
Compound 2 was obtained as pale yellow oil with [α]D 22.0 (c 0.11, CH2Cl2). The molecular formula, C15H18O2, was determined by HRGCMS at m/z 230.1302 [M]+ (calcd. for C15H18O2, 230.1307). GCMS showed a parent molecular ion [M]+ peak at m/z 230 and, together with 15 signals that appeared in the 13C NMR spectrum, supported a 15-carbon atom structure with seven degrees of unsaturation. Compound 2 has an α-substituted α-β unsaturated γ-lactone moiety [IR (1753, 1676, and 1625 cm–1) and 13C NMR (δC 174.1, 161.3, and 134.6)]. The 1H NMR spectrum (cf. exp.) showed the presence of three tertiary methyls [δH 1.98 (s), 1.84 (br s), and 1.03 (s)]. The 1H, 13C NMR and H-H COESY spectral data showed three conjugated olefinic protons [δH 5.81 (dd, J=9, 6 Hz), 5.76 (br d, J=6 Hz), and 5.54 (d, J=9 Hz)] indicating a conjugated diene, an oxygenated methine proton (α-ether of γ-lactone ring) [δH/δC 4.89 (dd, J=10, 4.5 Hz)/78.6 (d)], monosubstituted bridgehead carbon atoms [δH/δC 2.97/46.3 (C-5), 35.1 (C-10), and 1.03/19.0 (C-15)], and an olefinic methyl group [δH/δC 1.84 (br s)/14.4]. From the previous discussion, 2 is a sesquiterpenoid with three carbon-carbon double bonds and a lactone function. A tricyclic structure was adopted to fulfill seven degrees of unsaturation. Hence, 2 is a bicyclic compound of the eudesman skeleton fused with a γ-lactone ring (Figure 1). The structure was also supported by H-H COESY, HSQC, and HMBC spectral data. Hence, 2 was identified as eudesma-1,3,7(11)-trien-8,12-olide (2). To the best of our knowledge, this is the first report on the isolation and identification of this compound from any natural source. However, 2 was synthesized by Blay et al. [13], and the obtained data are in agreement with those reported by them.

Selected H-H COESY (—) and HMBC (➝) correlations of compounds 1–4.
Compound 3 was obtained as colorless oil with [α]D 70.0 (c 0.15, CHCl3). The molecular formula, C15H22O2, was determined by HRGCMS at m/z 234.1608 [M]+ (calcd. for C15H22O2, 234.1620). GCMS showed a parent molecular ion [M]+ peak at m/z 234 and, together with 15 signals that appeared in the 13C NMR spectrum, supported a 15-carbon atom structure with five degrees of unsaturation. The IR spectrum of 3 showed absorption bands at 3455, 1645, 1560, and 1080 cm–1 assigned to OH, C=C furan, and C-O-C furan functions, respectively. The 1H NMR spectrum (cf. exp.) of 3 featured the presence of three methyls [one secondary δH 1.00 (d, J=6.8 Hz) and two tertiary δH 1.91 (s) and 1.57 (s)], the lack of a characteristic downfield signal at δH 7.10 of the α-furan proton, the appearance of oxygenated methylene protons resonating at δH 3.57 (dd, J=10.8, 4.8 Hz, H-12a) and 3.48 (dd, J=10.8, 5.6 Hz, H-12b), and an allylic proton at δH 1.82 (m, H-11), as analyzed with the aid of H-H COESY (Figure 2) to assure the existence of the 11,12-dihydrofuran ring. The 1H and H-H COESY NMR spectra showed also a multiplet signal at δH 5.01 that was proven by spin decoupling to be due to the olefinic H-5 neighboring the C-6 methylene protons [δH 2.62 (m) and 2.17 (m)]. The doublet at 4.94 (J=10.4 Hz) was assigned by spin decoupling to the olefinic H-1 neighboring the oxygenated methine at δH 4.68 (td, J=10.4, 5.6 Hz, H-2). This oxygenated methine proton was assigned to H-2 vicinally coupled with H-1 and two protons of C-3. The up-field shift of the methyl protons at δH 1.57 (s, H-14) can be ascribed to the diamagnetic shielding by the opposite double bond. The 13C NMR spectrum displayed resonances due to three carbon-carbon double bonds δC [134.0 (s, C-4), 130.5 (d, C-1), 128.0 (d, C-5), 122.2 (s, C-8), 121.5 (s, C-10), and 119.9 (s, C-7)] and three oxygenated carbons [two etheric at δC 122.2 and 60.6 (t, C-12) and an alcoholic at δC 70.6 (d, C-2)]. Therefore, 3 has a bicyclic structure that was unambiguously assigned as a germacrane-sesquiterpene fused with a dihydrofuran ring. The interpretation of H-H COESY, HSQC, and HMBC spectral data allowed us to assign compound 3 as 2-hydroxy-11,12-dihydrofuranodiene (Figure 1).
The orientation of the hydroxyl group was determined by studying the coupling constant values (J) with the aid of molecular modeling. The coupling constant with H-1 and H-2, as well as with H-3a, is 10.4 Hz; this large value allowed us to assign trans-diaxial orientation of these three protons. Applying molecular modeling, this arrangement of H-1, H-2, and H-3a is only allowed when H-2 occupies α-orientation. Therefore, 3 can be assigned as 2-hydroxy-11,12-dihydrofuranodiene.
Compound 4 was isolated as pale yellow with [α]D 49.0 (c 0.1, CHCl3). The molecular formula of 4 was established as C15H20O2 based on 13C NMR and HRGCMS (m/z found 232.1458, calcd. 232.1463). The IR spectrum of 4 showed absorption bands at 3445, 1664, and 1085 assigned to OH, C=C (furan), and C-O-C (furan) functions, respectively. The presence of a furan moiety in compound 4 was characterized by a proton NMR singlet at δH 7.07. Furthermore, the furan ring resulted in the significant mass peak m/z 108 (cf. exp.), which is a characteristic of furanosesquiterpenes with an unsubstituted carbon atom in the α-position to the furan ring [14]. Compound 4 is two mass units less than the mass of 3; together with the similarity of the spectral data of the two compounds, and by a similar approach to data interpretation (cf. exp.; Figure 2), we can conclude that 4 is a 11,12-dehydrogenated derivative of 3. Therefore, compound 4 can be assigned as 2-hydroxyfuranodiene.
The hydroxyl group was found to be in the β-position by using an approach similar to that used for compound 3. Hence, 4 can be assigned as 2β-hydroxyfuranodiene.
Cytotoxicity results revealed that the petroleum ether extract of the C. molmol resin exhibited the highest cytotoxic activity among all extracts tested against NIH3T3 and KA31T, with IC50 values of 5 and 10 μg/mL, respectively, as presented in Table 1. Subsequently, the bioguided fractionation of the most active extract (petroleum ether) resulted in the isolation of compounds with higher cytotoxicity.
Cytotoxic activity of C. molmol extracts and isolated compounds.
| IC50 (μg/mL)a | IC50 (μM) | 5-FU | |||||||||||
|---|---|---|---|---|---|---|---|---|---|---|---|---|---|
| TME | PE | EE | EtOAc | 1 | 2 | 3 | 4 | 5 | 6 | 7 | 9 | ||
| NIH3T3 | 25±0.05 | 5±0.12 | 7.5±0.08 | 7.5±0.15 | 10±0.02 | 10±0.1 | 150±0.07 | 60±0.2 | 91±0.13 | 142±0.01 | 100±0.05 | 34±0.03 | 9.5±0.03 |
| KA31T | 50±0.05 | 10±0.01 | 35±0.07 | 35±0.06 | 40±0.11 | 30±0.2 | 110±0.04 | 60±0.1 | 127±0.09 | 142±0.05 | 20±0.08 | 14±0.12 | 12.2±0.19 |
5-FU, 5-fluorouracil; EE, ether extract; EtOAc, ethyl acetate extract; PE, petroleum ether extract; TME, total methanolic extract.aData are presented as five replicates±SEM.
Compounds 1 and 2 showed to be the most cytotoxic against NIH3T3. Compounds 7 and 9 exhibited moderate cytotoxic activity against KA31T. Compounds 3–6 showed weak cytotoxic activities against both cell lines. These results may explain the high efficacy of the petroleum ether fraction in several myrrh-derived pharmaceutical preparations.
Preliminary conclusions regarding structure-activity relationships of the isolated sesquiterpenoids can be drawn.
Regardless of the sesquiterpenoid class, the α,β-unsaturated γ-lactone group is required for appreciable cytotoxicity against NIH3T3 (e.g., 1 and 2).
Within the same sesquiterpenoid class (e.g., furanodiene), the loss of substitution on C-2 enhances the cytotoxic activity as presented in the case of 5 and 6 with 9.
3 Conclusions
Among the different organic extracts of the C. molmol resin, the petroleum ether extract exhibited the highest cytotoxic activity against the two mouse cell lines, NIH3T3 and KA31T. The bioguided fractionation of the petroleum ether extract resulted in the isolation of nine furanosesquiterpenoids (1–9). 1 and 2 were most cytotoxic in NIH3T3, 7 and 9 were moderately cytotoxic in KA31T, and 3–6 were weakly cytotoxic in both cell lines.
4 Materials and methods
4.1 General
1H NMR spectra were recorded on Varian 500 MHz or Bruker WM 400 MHz spectrometers; 13C NMR at 75, 100, or 125 MHz. Chemical shifts are given in (ppm) relative to tetramethylsilane as internal standard. Gas chromatographic mass spectra were determined at 70 eV on a Kratos MS-25 instrument. Thin-layer chromatography (TLC) was performed on silica gel (Kieselgel 60, F254) of 0.25 mm layer thickness. Preparative TLC (PTLC) was performed on aluminum oxide plates (20×20 cm) of 250 mm thickness.
4.2 Extraction and isolation
Myrrh, C. molmol, was purchased from a commercial market in Mansoura City, Egypt. The gum exudate of C. molmol (200 g) was extracted by petroleum ether and allowed to stand at room temperature for several days. The filtration and concentration of the filtrate yielded a colorless oil (19 g). The residue was chromatographed on an aluminum oxide column using n-hexane/ether and n-hexane/EtOAc gradients. Fractions of ∼50 mL were collected. The course of fractionation was followed by TLC using silica-gel chromatoplates, appropriate solvent system, and p-anisaldehyde-sulfuric acid as spraying agent. If the material was not homogenous, PTLC on aluminum oxide plates (20×20 cm) of 250 mm thickness was applied using the appropriate solvent system. The fractions containing a single compound were combined.
4.3 Column chromatography
4.3.1 Fraction A:
Fraction A, eluted by n-hexane, was purified by chromatography on a small column of aluminum oxide (60 g, 25×2), eluted by n-hexane/ether (99:1, v/v) and then PTLC on aluminum oxide plates to yield two pure compounds (9 and 8).
4.4 (10)E,4E-furanodiene (9)
Colorless oil (10 mg), Rf=0.48. HRGCMS: m/z 216.1496 [M]+ (calcd. for C15H20O, 216.1514). GCMS (70 eV) m/z (rel. int.): 216 [M]+ (C15H20O) (100), 201 (15), 145 (14), 121 (12), 108 (84), 93 (17). The chemical structure of compound 9 was deduced by comparing its spectral data with those reported in the literature [10].
4.5 Furanoeudesma-1,3-diene (8)
Colorless oil (2 mg), Rf=0.47. HRGCMS: m/z 214.1349 [M]+ (calcd. for C15H18O, 214.1358). GCMS (70 eV) m/z (rel. int.): 214 [M]+ (C15H18O) (100), 199 (25), 141 (10), 128 (10), 188 (25), 108 (87), 106 (31), 91 (25). The chemical structure of compound 8 was deduced by comparing its spectral data with those reported in the literature [13].
4.5.1 Fraction B:
Fraction B, eluted by n-hexane/ether (9:1), gave a pure substance (6).
4.6 2-Methoxyfuranodiene (6)
Colorless oil (100 mg), Rf=0.62. HRGCMS: m/z 246.1620 [M]+ (calcd. for C16H22O2, 246.1636). GCMS (70 eV) m/z (rel. int.): 246 [M]+ (C16H22O2) (52), 214 (16), 159 (32), 123 (100), 107 (37), 91 (21), 45 (40). The chemical structure of compound 6 was deduced by comparing its spectral data with those reported in the literature [11].
4.6.1 Fraction C:
Fraction C, eluted by n-hexane/ether (9:1), gave a colorless oil (750 mg). TLC gave two spots that were separated by column chromatography on aluminum oxide (35 g, 25×1.5). Elution with n-hexane/ether (96:4) gave a pure compound 7, and petroleum ether/ether (94:6) gave a pure compound 5.
4.7 2-Methoxy isofuranogermacrene (7)
Colorless oil (40 mg), Rf=0.55. HRGCMS: m/z 246.1620 [M]+ (calcd. for C16H22O2, 246.1633). GCMS (70 eV) m/z (rel. int.): 246 [M]+ (C16H22O2) (53), 214 (14), 159 (25), 138 (22), 123 (100), 107 (36), 91 (23), 45 (47). The chemical structure of compound 7 was deduced by comparing its spectral data with those reported in the literature [12].
4.8 2-Acetoxyfuranodiene (5)
Pale yellow oil (100 mg), Rf=0.45 from TLC eluted by n-hexane/EtOAc (9.5:0.5). HRGCMS: m/z 274.1558 [M]+ (calcd. for C17H22O3, 274.1568). GCMS (70 eV) m/z (rel. int.): 274 [M]+ (C17H22O3) (25), 232 (19), 214 (46), 199 (26), 177 (15), 159 (14), 149 (26), 146 (45), 123 (15), 108 (100), 91 (24), 43 (46). The chemical structure of compound 5 was deduced by comparing its spectral data with those reported in the literature [11].
4.8.1 Fraction D:
Fraction D (700 mg), eluted by n-hexane/ether (8: 2), was purified by PTLC on aluminum oxide using n-hexane/EtOAc (8.5:1.5). Two bands were separated, one at Rf=0.4 to give compound 1 and another at Rf=0.35 to give compound 2.
4.9 γ-Elemane lactone (1)
Pale yellow oil (20 mg). HRGCMS: m/z 230.1302 [M]+ (calcd. for C15H18O2, 230.1307). GCMS (70 eV) m/z (rel. int.): 230 [M]+ (C15H18O2) (90), 215 (100) [M-Me]+, 185 (20), 171 (35), 159 (55), 119 (90), 105 (80), 91 (40), 77 (35), 53 (30); IR (film): 3060. 3020, 2985, 2870, 1766, 1646, 1455, 1390, 1205, 950, 760 cm–1. 1H NMR (CDCl3, 400 MHz) δ (ppm): 5.76 (1H, dd, J=17.7, 10.5 Hz, H-1), 5.02 (1H, dd, J=10.5, 1.5 Hz, H-2a), 4.98 (1H, dd, J=17.7, 1.5 Hz, H-2b), 4.86 (1H, d, J=1.5 Hz, H-3a), 4.84 (1H, d, J=1.5 Hz, H-3b), 2.69 (1H, dd, J=9.0, 6.5 Hz, H-5), 2.57 (1H, dd, J=12.0, 9.0 Hz, H-6a), 2.42 (1H, dd, J=12.0, 6.5 Hz, H-6b), 5.55 (1H, br s, H-9), 1.98 (3H, s, Me-13), 1.72 (3H, br s, Me-14), 0.98 (3H, s, M-15); 13C NMR (100 MHz) δ: 146.5 (d, C-1), 114.4 (t, C-2), 112.4 (t, C-3), 146.0 (s, C-4), 53.3 (d, C-5), 28.7 (t, C-6), 164.6 (s, C-7), 148.5 (s, C-8), 130.1 (d, C-9), 40.5 (s, C-10), 122.3 (s, C-11), 173.1 (s, C-12), 10.0 (q, C-13), 15.4 (q, C-14), 23.2 (q, C-15).
4.10 5-αH,8-βH-eudesma-1,3,7(11)-trien-8,12-olide (2)
Pale yellow oil (15 mg). HRGCMS m/z 230.1302 [M]+ (calcd. for C15H18O2, 230.1307). GCMS (70 eV) m/z (rel. int.): 230 [M]+ (C15H18O2) (100), 215 (32), 201 (23), 124 (32), 119 (80), 107 (58), 105 (96), 77 (42), 53 (39), 39 (36); IR (film): 3065. 3035, 2985, 2872, 1753, 1676, 1625, 1455, 1390, 1205, 970, 775 cm–1. 1H NMR (CDCl3, 400 MHz) δ: 5.54 (1H, d, J=9.0 Hz, H-1), 5.81 (1H, dd, J=9.0, 6.0 Hz, H-2), 5.76 (1H, br d, J=6.0 Hz, H-3), 2.97 (1H, d, J=9.8 Hz, H-5), 2.39 (2H, br d, J=9.8 Hz, H-6), 4.89 (1H, dd, J=10.0, 4.5 Hz, H-8), 2.32 (1H, dd, J=11.0, 4.5 Hz, H-9a), 1.41 (1H, t, J=11.0 Hz, H-9b), 1.89 (3H, s, Me-13), 1.84 (3H, br s, Me-14), 1.03 (3H, s, Me-15); 13C NMR (100 MHz) δ: 136.5 (d, C-1), 132.2 (d, C-2), 120.4 (d, C-3), 127.0 (s, C-4), 46. 3(d, C-5), 24.9 (t, C-6), 161.3 (s, C-7), 78.6 (d, C-8), 44.1 (t, C-9), 35.1 (s, C-10), 134.6 (s, C-11), 174.1 (s, C-12), 8.0 (q, C-13), 14.4 (q, C-14), 19.0 (q, C-15).
4.10.1 Fraction E:
Fraction E, eluted by n-hexane/EtOAc (8.5:1.5), gave a colorless oil (50 mg) that was purified by PTLC on aluminum oxide using n-hexane/EtOAc (8:2). The band with Rf=0.4 gave compound 3.
4.11 2-Hydroxy-11,12-dihydrofuranodiene (3)
Colorless oil (10 mg). HRGCMS m/z 234.1608 [M]+ (calcd. for C15H22O2, 234.1620). GCMS (70 eV) m/z (rel. int.): 234 (5) [M]+ (C15H22O2), 216 (30), [M-H2O]+, 212 (30), 197 (100), 182 (25), 169 (60), 152 (20), 128 (10), 83 (15), 41 (13). IR (film): 3455, 3065. 3035, 2985, 2870, 1645, 1560, 1445, 1390, 1205, 1140, 990, 780, 750 cm–1. 1H NMR (CDCl3, 400 MHz) δ: 4.94 (1H, d, J=10.4 Hz, H-1), 4.68 (1H, td, J=10.4, 5.6 Hz, H-2), 2.53 (1H, dd, J=10.4, 5.6 Hz, H-3a), 2.07 (1H, t, J=10.4 Hz, H-3b), 5.01 (1H, m, H-5), 2.62 (1H, m, H-6a), 2.17 (1H, m, H-6b), 3.15 (1H, d, J=14 Hz, H-9a), 2.93 (1H, d, J=14 Hz, H-9b), 1.82 (1H, m, H-11), 3.57 (1H, dd, J=10.8, 4.8 Hz, H-12a), 3.48 (1H, dd, J=10.8, 5.6 Hz, H-12b), 1.00 (3H, d, J=6.8 Hz, Me-13), 1.57 (3H, s, Me-14), 1.91(3H, s, Me-15); 13C NMR (100 MHz) δ: 130.5 (d, C-1), 70.6 (d, C-2), 47.7 (t, C-3), 134.0 (s, C-4), 128.0 (d, C-5), 33.3 (t, C-6), 119.9 (s, C-7), 122.2 (s, C-8), 42.0 (t, C-9), 121.5 (s, C-10), 46.7 (d, C-11), 60.6 (t, C-12), 21.8 (q, C-13), 19.0 (q, C-14), 14.8 (q, C-15).
4.11.1 Fraction F:
Fraction F, eluted by n-hexane/EtOAc (8:2) gave a colorless oil (800 mg). This fraction was purified by PTLC on aluminum oxide using n-hexane/EtOAc (7:3) to obtain pure 4 with Rf=0.3.
4.12 2-Hydroxyfuranodiene (4)
The band with Rf=0.3 give a pale yellow oil (200 mg). HRGCMS m/z 232.1458 [M]+ (calcd. for C15H20O2, 1463). GCMS (70 eV) m/z (rel. int.): 232 [M]+ (C15H20O2) (81), 214 (8), 199 (13), 173 (6), 108 (100), 91 (11), 43 (4); IR (film): 3445, 3055. 3035, 2985, 2870, 1664, 1625, 1560, 1445, 1390, 1205, 1140, 1080, 990, 860, 780, 750 cm–1. 1H NMR (CDCl3, 400 MHz) δ: 5.02 (1H, d, J=9.0 Hz, H-1), 4.54 (1H, td, J=10.4, 4.5 Hz, H-2), 2.46 (1H, dd, J=10.0, 4.5 Hz, H-3a), 1.89 (1H, t, J=11.0 Hz, H-3b), 5.01 (1H, m, H-5), 3.11 (1H, dd d, J=17.0, 10.0, H-6a), 3.05 (1H, br d, J=17.0 Hz, H-6b), 3.52 (1H, d, J=15.5 Hz, H-9a), 3.43 (1H, d, J=15.5 Hz, H-9b), 7.07 (1H, s, H-12), 1.91 (3H, d, J=1.5 Hz, Me-13), 1.64 (3H, s, Me-14), 1.32 (3H, s, Me-15); 13C NMR (100 MHz) δ: 132.7 (d, C-1), 70.6 (d, C-2), 49.4 (t, C-3), 134.5 (s, C-4), 130.1 (d, C-5), 24.9 (t, C-6), 120.0 (s, C-7), 149.3 (s, C-8), 41.3 (t, C-9), 130.9 (s, C-10), 122.6 (d, C-11), 136.6 (t, C-12), 9.1 (q, C-13), 17.5 (q, C-14), 17.8 (q, C-15).
4.13 Bioguided cytotoxicity assay
The cytotoxicity of extracts was determined with two permanent mammalian cell lines: untransformed 3T3 Swiss mouse fibroblasts (NIH3T3), obtained from A. Aaronson, National Cancer Institute (Bethesda, MD, USA), and oncogenically transformed 3T3 mouse fibroblasts (KA31T) transformed by the Kirsten strain of Moloney sarcoma virus, obtained from R. Pollack, Columbia University (New York, NY, USA). Cytotoxicity bioassays were carried out for each cell line in triplicate in 200 μL cultures in 96-well microtiter trays (Costar 3595, Corning, Inc., Corning, NY, USA) with myrrh extracts at 0, 1, 2, 5, 10, 20, 50, 100, and 200 μg/mL in sterile Dulbecco’s modified Eagle’s medium containing 5% (v/v) calf serum (HyClone Laboratories, Logan, UT, USA). The wells were inoculated with 10,000 cells from an actively growing culture of NIH3T3 or KA31T cells and cultured for 5 days at 37 °C in a humidified CO2-containing atmosphere. NIH3T3 cells were suspended by flushing monolayer cultures with medium after treatment for 30 s with 0.05% (w/v) trypsin in medium. KA31T cells were suspended by flushing monolayer cultures with medium without trypsin treatment. The proliferation of cells on the bottom of the culture wells was evaluated by fixing washed cultures with 3.7% (w/v) formaldehyde in saline for 30 min at room temperature, decanting, staining with two drops of 0.05% (w/v) crystal violet in 20% (v/v) aqueous methanol, washing away unbound dye with tap water, drying, extracting bound dye by addition of 200 μL DMSO, and measuring the absorbance of each well at 562 nm using a microplate reader (SPECTRAmax PLUS, Molecular Devices, Sunnyvale, CA, USA). IC50 values (concentrations causing 50% inhibition of cell proliferation) were estimated graphically by interpolation from straight lines fitted by the least squares method to plots of mean OD562 values against the logarithm of the concentration using Graphical Analysis 3.1.1 software (Vernier Software and Technology, Beaverton, OR, USA).
Acknowledgments
The authors would like to acknowledge SABIC, the Saudi Arabian Company for Basic Industries, for the financial support of this work (SP-7-57) through the collaboration with the Deanship of Scientific Research at King Abdul-Aziz University.
References
1. Langenheim JH. Plant resins: chemistry, evolution, ecology and ethnobotany. Portland/Cambridge: Timber Press, 2003;93:784–5.10.1093/aob/mch103Search in Google Scholar
2. Shen T, Li G-H, Wanga X-N, Lou H-X. The genus Commiphora: a review of its traditional uses, phytochemistry and pharmacology. J Ethnopharmacol 2012;142:319–30.10.1016/j.jep.2012.05.025Search in Google Scholar
3. Hanus LO, Rezanka T, Dembitsky VM, Moussaieff A. Myrrh- Commiphora chemistry. Biomed Papers 2005;149:3–28.10.5507/bp.2005.001Search in Google Scholar
4. Ahmed F, Ali M, Singh O. New compounds from Commiphora myrrha (Nees) Engl. Pharmazie 2006;61:728–31.10.1002/chin.200652186Search in Google Scholar
5. Shena T, Wana W, Wanga X, Suna L, Yuanb H, Wangb X, et al. Sesquiterpenoids from the resinous exudates of Commiphora opobalsamum (Burseraceae). Helv Chim Acta 2008;91:881–7.10.1002/hlca.200890092Search in Google Scholar
6. Abdul-Ghani RA, Loutfy N, Hassan A. Myrrh and trematodoses in Egypt: an overview of safety, efficacy and effectiveness profiles. Parasitol Int 2009;58:210–4.10.1016/j.parint.2009.04.006Search in Google Scholar
7. Badria FA, Abou-Mohamed G, El-Mowafy A, Masoud A, Salama O. Mirazid: a new schistosomicidal drug. Pharm Biol 2011;39:127–31.10.1076/phbi.39.2.127.6253Search in Google Scholar
8. Badria FA, El-Nashar EM. Histopathological evaluation of a new schistosomicidal drug from myrrh. Biosci Biotech Res Asia 2003;1:75–8.Search in Google Scholar
9. Abbas HK, Mirocha CJ, Shier WT, Gunther R. Bioassay, extraction, and purification procedures for wortmannin, the hemorrhagic factor produced by Fusarium oxysporum N17B grown on rice. J Assoc Off Anal Chem 1992;75:474–80.10.1093/jaoac/75.3.474Search in Google Scholar
10. Brieskorn CH, Noble P. Inhaltsstoffe des etherischen Öls der Myrrhe. II. Sesquiterpene und Furanosesquiterpene. Planta Med 1982;44:187–9.10.1055/s-2007-971408Search in Google Scholar
11. Brieskorn CH, Noble P. Two furanoeudesmanes from the essential oil of myrrh. Phytochemistry 1983;22:1207–11.10.1016/0031-9422(83)80223-4Search in Google Scholar
12. Maradufu A. Furanosesquiterpenoids of Commiphora erythraea and C. myrrh. Phytochemistry 1982;21:677–80.10.1016/0031-9422(82)83164-6Search in Google Scholar
13. Blay G, Cardona L, Garcıa B, Pedro JR, Sanchez JJ. Stereoselective synthesis of 8,12-furanoeudesmanes from santonin. Absolute stereochemistry of natural furanoeudesma-1,3-diene and tubipofurane. J Org Chem 1996;61:3815–9.10.1021/jo9521458Search in Google Scholar PubMed
14. Porter QN, Baldas J. Mass spectrometry of heterocyclic compounds. New York: Wiley-Interscience, 1971.Search in Google Scholar
©2015 by De Gruyter
Articles in the same Issue
- Frontmatter
- Essential oil composition, phenolic content, antioxidant, and antimicrobial activity of cultivated Satureja rechingeri Jamzad at different phenological stages
- Characterization of a mineral coating of the plant Dyerophytum indicum
- Semisynthesis and insecticidal activity of arylmethylamine derivatives of the neolignan honokiol against Mythimna separata Walker
- Dynamics of alkylresorcinols during rye caryopsis germination and early seedling growth
- New nitrogenous compounds from a Red Sea sponge from the Gulf of Aqaba
- Synthesis and antiproliferative evaluation of novel 5-(4-methylpiperazin-1-yl)-2-phenyl- 1H-benzimidazole derivatives
- Differential cytotoxic activity of the petroleum ether extract and its furanosesquiterpenoid constituents from Commiphora molmol resin
- A novel C25 sterol peroxide from the endophytic fungus Phoma sp. EA-122
- Bioactive compounds isolated from submerged fermentations of the Chilean fungus Stereum rameale
- Combined Autodock and comparative molecular field analysis study on predicting 5-lipoxygenase inhibitory activity of flavonoids isolated from Spatholobus suberectus Dunn
Articles in the same Issue
- Frontmatter
- Essential oil composition, phenolic content, antioxidant, and antimicrobial activity of cultivated Satureja rechingeri Jamzad at different phenological stages
- Characterization of a mineral coating of the plant Dyerophytum indicum
- Semisynthesis and insecticidal activity of arylmethylamine derivatives of the neolignan honokiol against Mythimna separata Walker
- Dynamics of alkylresorcinols during rye caryopsis germination and early seedling growth
- New nitrogenous compounds from a Red Sea sponge from the Gulf of Aqaba
- Synthesis and antiproliferative evaluation of novel 5-(4-methylpiperazin-1-yl)-2-phenyl- 1H-benzimidazole derivatives
- Differential cytotoxic activity of the petroleum ether extract and its furanosesquiterpenoid constituents from Commiphora molmol resin
- A novel C25 sterol peroxide from the endophytic fungus Phoma sp. EA-122
- Bioactive compounds isolated from submerged fermentations of the Chilean fungus Stereum rameale
- Combined Autodock and comparative molecular field analysis study on predicting 5-lipoxygenase inhibitory activity of flavonoids isolated from Spatholobus suberectus Dunn